Abstract
Deep reinforcement learning (DRL)-based navigation in an environment with dynamic obstacles is a challenging task due to the partially observable nature of the problem. While DRL algorithms are built around the Markov property (assumption that all the necessary information for making a decision is contained in a single observation of the current state) for structuring the learning process; the partially observable Markov property in the DRL navigation problem is significantly amplified when dealing with dynamic obstacles. A single observation or measurement of the environment is often insufficient for capturing the dynamic behavior of obstacles, thereby hindering the agent’s decision-making. This study addresses this challenge by using an environment-specific heuristic approach to augment the dynamic obstacles’ temporal information in observation to guide the agent’s decision-making. We proposed Multichannel Cost Map Observation for Spatial and Temporal Information (M-COST) to mitigate these limitations. Our results show that the M-COST approach more than doubles the convergence rate in concentrated tunnel situations, where successful navigation is only possible if the agent learns to avoid dynamic obstacles. Additionally, navigation efficiency improved by 35% in tunnel scenarios and by 12% in dense-environment navigation compared to standard methods that rely on raw sensor data or frame stacking.
1. Introduction
Deep reinforcement learning is a sub-field of machine learning, which combines deep neural networks with reinforcement learning algorithms to enable artificial agents to learn complex behaviors and make decisions through trial and error by interacting with the environment and converging to an optimal policy for a given task [1,2]. It is used in various domains, ranging from video games [3] to robotics [4], autonomous driving [5], and natural language processing [6]. The usage of deep neural networks enabled reinforcement learning algorithms to tackle continuous state spaces with complex and high-dimensional inputs from sensors like images, LIDAR data like in DQN [7] A2C [8], and continuous action spaces like in DDPG [9] TD3 [10] SAC [11], thus enabling them to tackle challenging tasks and surpass human-level control in certain domains. These algorithms’ adaptability, ability to generalize to new situations, and capacity to handle high dimensional observations demonstrated a huge potential in addressing and handling real-life problems like in navigation and robotics decision-making [4]. Navigation is a very challenging task and a fundamental part of many applications. Traditional navigation techniques have separate modules, each trying to solve a separate problem like mapping, motion control, and path planning. These techniques mostly rely on predefined maps and static environments. These approaches often struggle with dynamic, unpredictable environments, where obstacles move and change, as the nature of these environments requires real-time adaptation and predictive decision making. This requires hand-crafting algorithms and rules that become very complex as the environment complexity increases. DRL is a promising approach for tackling navigation challenges as it can learn a policy for adapting in real time to the unpredictability of the environment. This approach can also handle modern demands of the navigation tasks, which involve the handling of high dimensional inputs like images [12], LIDAR data, and radars, which combine major modules of traditional navigation modules like path planning, obstacle avoidance, and motion control in one package and does not require a map for navigating most environments [13,14]. Although DRL has a high capacity for high dimensional inputs, is resilient, adaptive, and can generalize to unpredictable and changing environments, the vanilla usage of DRL with navigation tasks has its weaknesses due to the nature of the navigation in dynamic environments and the Markov property of the reinforcement learning algorithms [15]. The fundamental foundation of reinforcement learning is the Markov decision process (MDP), which assumes that the agent’s current observation and action are the only factors affecting the next state and not the sequence of events leading to the next observation. This property simplified the problem of reinforcement learning but imposed other limitations when dealing with environments where the next state depends on the events leading to it; this is defined as a partially observable Markov decision process (POMDP) [15] environment and is applicable to the navigation of a dynamic environment.
This paper proposes a new approach based on environment-specific heuristics. The proposed method reformulates the sensor measurement of the environment and the obstacle behavior into a multichannel abstracted cost map representation. This representation incorporates new features derived from the observation history and temporal information for overcoming the partial observability of the environment (the absence of directional and linear speeds of the obstacles in the environment is considered partially observable), thus enabling the agent to navigate a dynamic obstacle environment. We propose a multichannel cost map for capturing spatial and temporal information (M-COST) from the observations, where each channel encapsulates a different aspect of the environment. Figure 1 demonstrates the approach with two cost map channels. The first channel is a regular cost map representation of the obstacles surrounding the robot. The second channel is a trajectory cost map that depicts the predicted trajectories of dynamic obstacles.
Figure 1.
M-COST observation approach. This Diagram illustrates the overall architecture of the proposed technique, detailing each module and the sequential process flow.
The remainder of this paper is structured as follows: Section 2 discusses the challenges of navigating dynamic environments, how research approached this problem and the limitation of the partially observable Markov decision process and related research in addressing it. Section 3 describes our methodology used to approach this problem and how we restructured the observation to a framework of cost maps to capture temporal information, designing a case study environment to train and test out the approach and comparing our approach with other approaches, Section 4 presents findings and results of our approach and compare it with other approaches when trained on the same environment. Finally, Section 5 concludes and discusses the findings and future work.
2. Related Work
Navigating in an environment with dynamic obstacles has always been a challenge in autonomous systems, and numerous studies have tackled it from different points of view depending on the target system, the nature of the obstacles, and the surrounding environment. This section will discuss research that focuses on differential-drive autonomous robot systems that navigate in environments with dynamic obstacles and how these approaches have attempted to avoid collisions and navigate around these moving obstacles.
2.1. Static Assumption
One of the most popular algorithms used in robotic local path planning is the Dynamic Window Approach (DWA) [16]. This method works under the static assumption of the nature of the obstacles in the environment. It represents the obstacles in a local cost map and samples different velocities within a window that considers the robot dynamics. It selects velocities that maximize certain criteria, such as obstacle avoidance distance, distance to the goal, and orientation. Yet the static assumption of the environment limits the algorithm’s ability to deal with dynamic obstacles, making it a reactive algorithm that calculates trajectories at every control cycle based on a snapshot of the environment. Another approach used for obstacle avoidance is Potential Fields [17], where the robot behaves as a particle within a potential field, where obstacles exert repulsive forces, and where the goal exerts an attractive force. The resultant force on the robot acts as a guide to the robot’s motion. This approach is reactive in nature and suffers from local minima where the robot can get stuck between obstacles and simulated forces. This algorithm was enhanced by the use of Artificial Potential Fields, which add mathematically engineered charges that don’t necessarily follow the physics-based analogies in order to minimize the problem of local minima and enhance performance in more complex environments. However, it is still reactive in nature due to its static assumption. The potential fields’ dynamic obstacle avoidance was enhanced in Evolutionary Artificial Potential Fields [18], which uses evolutionary techniques to continuously optimize the parameters of the potential fields. This allows the robot to adjust its path dynamically based on real-time changes in the environment. While it enhances the potential field approach, it still inherits some of the limitations.
2.2. Algorithms Consider Dynamic Obstacles
Other research efforts have shifted their focus toward understanding and predicting pedestrians’ behavior by building on the foundational work of social force modeling [19], which operates on the principle that pedestrian motion can be modeled as if each individual is subject to “social forces”, which represent internal motivations, rather than physical forces. These forces influence the behavior of the pedestrians, like in [20] where the social force model is used to predict pedestrians’ motion, and a Dynamic Window Approach is used to navigate around obstacles. The social force model provided the agent with social cost, and it was integrated with DWA to enhance performance over static cost planners. Other local planners focus on solving the general problem by considering all dynamic obstacles, like in the Timed Elastic Bands [21]—which build on the concept of elastic bands modeling the robot path as an elastic band deformed by an internal force that represents the tension in the band between the robot and the goal—to make the path short and direct. Then, the external forces push the band away from obstacles. The timed elastic bands extend the concept of elastic bands to incorporate the temporal dimension, or the robot movement timing, to make the trajectory planning suited to handle dynamic environments with moving obstacles.
Navigation is usually solved in multiple modules like mapping, path planning, and motion control. The research presented in [22], proposed an approach that combines motion control and local path planning in dynamic environments by extending a model predictive controller called Model Predictive Contouring Control (MPCC) that is used for path following. The study introduced a Local Model Predictive Contouring Control optimized for mobile robot navigation around dynamic obstacles. Given the measured position data of each obstacle, each obstacle’s future positions and uncertainties were estimated with a linear Kalman filter [23]. At each control cycle, a collision-free trajectory was generated while optimizing the cost function. The function respected different constraints, including dynamic trajectory avoidance of the predicted positions of the dynamic obstacles for a specific number of steps at every step in the computed trajectory.
2.3. Deep Reinforcement Learning Approaches
When addressing a specific problem using deep reinforcement learning, we must formulate it so that the current observation contains all the information needed to make a decision or take action in the environment. This means that the next state depends solely on the current state and action, not on the sequence of events that led to the current state. Reinforcement learning problems are often formulated in a way to have this property to simplify decision-making and the training process to focus on the current state, reward, and action and their outcome to optimize for the optimal policy instead of keeping track of all states and actions leading to the current state which can be computationally expensive. This property is called the Markov property, which allows the reinforcement learning agent to interact with the environment and learn through trial and error. Navigating a dynamic environment with non-collaborative agents, compared to a static one, presents a core challenge in dealing with dynamic obstacles. Their intentions, desired goals, or paths are considered a hidden state that cannot be measured directly with sensors or communicated. Thus, when formulating this problem as a reinforcement learning problem, the Markov property cannot hold completely. This is because the agent cannot make an optimal decision since its observation or state does not include all the information needed to make that decision. For example, it does not include the dynamic obstacles’ trajectories, intentions, or goals in the agent’s observation to make a decision that avoids them while pursuing its goal, which makes this reinforcement learning setting considered a Partially Observable Markov Decision Process (POMDP). Solving a POMDP environment is more challenging than the Markov environments as approaching it with the baseline or basic reinforcement learning techniques will result in sub-optimal decision-making, or in some cases, the algorithm may not even converge to a functioning policy. So, the agent needs to maintain a record of all or a portion of the previous observation or a belief over the previous observations, which adds more complexity as the agent now needs to reason about uncertainty and make a decision that considers the history of the observations.
Deep reinforcement learning approaches often aim to integrate multiple navigation components into a single system. This unified module can navigate in map-less environments [13,14] and control robot motion without explicitly generating a path. Map-less navigation is used when navigating through unknown environments for exploration and mapping, like in [13,14]. When a map is available, we can achieve better performance by using a global path planner that utilizes a map to generate waypoints that guide the deep reinforcement learning-based local motion planner. Most deep reinforcement learning-based navigation uses raw sensor data (like 2D LIDAR data [4], raw images from cameras [12], orientation, and speed measurements) as the input for the model. By leveraging efficient function approximation in the deep learning aspect of reinforcement learning, the system learns an optimal policy directly from raw data. Consequently, a deep reinforcement learning agent can navigate the environment using raw sensory inputs. While this approach is powerful and requires minimal processing of input data (only normalization based on input ranges), most deep RL-based motion planning is reactive due to the Markov property of reinforcement learning algorithms. Raw sensory data cannot provide temporal relations in dynamic environments that indicate dynamic obstacles’ direction and speed. Training a reactive RL agent in a dynamic obstacle environment may converge to policies similar to those of agents trained in static obstacle navigation. As a result, the agent may develop a general avoidance behavior around all obstacles, which increases its chances of successfully navigating when an obstacle is dynamic. For example, it may converge to a policy that leaves an extra gap between the obstacle and the robot or prefers wider paths.
Therefore, relying only on raw sensory data will not provide reinforcement learning agents with enough information regarding the dynamic nature of the environment. Research on deep reinforcement learning applications that benefit from temporal data has relied on techniques to augment inputs with temporal information. This is commonly solved by stacking a number of the previous consecutive observations with the current observation and passing it to the model as the current observation or input to make a decision, and the agent has to extract and evaluate temporal information from these observations, as seen in [24,25]. However, the number of stacked observations used as input can influence the model’s performance, requiring fine-tuning to determine the optimal amount of past observations needed for the agent to make effective decisions while maintaining the performance. Other research augments deep reinforcement learning algorithms with mechanisms that learn to encode observation history and pass it along with the current observation to the agent in order to make a temporally informed decision, such as the use of RNNs in [26,27,28]. Research like [29] used a Gated Recurrent Unit (GRU) as a temporal encoder to capture the temporal information. The proposed approach accounted only for the moving pedestrians and did not consider the presence of static obstacles. In [30] GRU was also used to store relative dependencies among people in a crowd. The proposed approach focused on navigating around humans as the main dynamic obstacles. Their method inferred where humans were likely to go based on their goal positions and motion patterns. In [31,32] RNNs were used to improve mobile robot navigation in dense crowds. Both robot-human interactions and human-human interactions were modeled. Using a decentralized structured RNN, the proposed model was able to remember past interactions. It applied an attention mechanism to assign importance to various interactions, enabling the robot to make informed decisions.
Other work utilized attention mechanisms to address the POMDP problem, such as in [33], which introduced the Socially Attentive Reinforcement Learning algorithm (SARL). The primary objective of SARL was to achieve human-aware navigation in indoor environments. The study in [34] employed a graph-based attention network to represent the robot and external agents as a graph used to model interactions between the robot and other agents. Additionally, this research combined DRL with collision avoidance approaches for short-term collision avoidance by computing collision-free velocities for the robot. Other work used attention to model crowds-robot interaction like in [35].
The use of RNNs or attention mechanisms imposes an additional learning burden on the agent, requiring it to learn both the policy and how to encode relevant temporal data. In the case of RNNs, the agent learns to encode the observation history to aid in decision-making. For attention mechanisms, the agent learns to focus on relevant parts of the observation history. These additional learning requirements lead to longer training times and slower convergence to an optimal policy.
Other research tried to solve the POMDP problem by using heuristic techniques like in [36], which build on the DOVS concept introduced in [37] that calculates the obstacle velocity and feeds it to the reinforcement learning model.
2.4. Contributions
In this research, we propose a novel technique that utilizes multichannel cost maps to encode and abstract observations, capturing both spatial and temporal information for reinforcement learning agents. This method’s main objective is to enable predictive decision-making without the need for explicitly training the network on sequential data, addressing computational efficiency and scalability challenges in dynamic environments. It is also intended to be a generic technique that enables the agent to navigate around any dynamic obstacle and is not limited to pedestrians.
The proposed technique uses cost maps to represent the current observations and future predicted trajectories of dynamic obstacles based on their temporal information.
The main contributions of this work are as follows:
- Introduction of the Multichannel Cost Map Observation framework (M-COST): A new approach that reformulates reinforcement learning navigation observations into a multichannel cost map, where each channel encapsulates different abstractions or hidden temporal information of the environment. This allows the agent to implicitly learn temporal dynamics through spatial representations processed by a CNN.
- Development of a two-fold cost map within the M-COST framework:
- -
- Spatial Channel: Represents the immediate regular cost map of obstacles, providing the agent with current positional information.
- -
- Temporal Channel: Encodes predicted future trajectories of dynamic obstacles based on their temporal data, enabling the agent to anticipate and react to changes in the environment proactively.
- We developed simulations in dynamic environments to train and test reinforcement learning agents using our proposed method. The results show that our approach outperforms traditional observation methods, including those relying on raw sensor data or observation stacking, by offering better navigation efficiency and faster convergence rates.
Our work contributes to reinforcement learning for navigation in dynamic environments by offering a computationally efficient method to incorporate temporal information without the complexities associated with sequential data training.
3. Methodology
This section aims to describe the technical side of the problem, focusing on DRL approaches on one side and motion control and observation representation on the other side. It describes the technique proposed to overcome these challenges and the steps needed to implement, use, and recreate the experiments with the proposed method.
3.1. Problem Formulation
The main problem being tackled can be described as follows. Suppose we have a robot in an environment where we may not have a map in case of map-less navigation. This scenario will be considered the baseline problem since we cannot use a global path planner and must fully rely on the reinforcement learning agent to navigate from the start point to the endpoint. This setup simulates exploration and navigation in a continuously changing environment. We denote the position of the robot in the environment by , which is obtained from the robot odometry, and the goal location by . The dynamic obstacles’ positions are denoted by , which is the x and y positions of obstacle i at time t, and their estimated speeds in x and y axes are . Dynamic obstacles will be simulated by pedestrians or moving shapes like cubes, cylinders, or other robots. The goal is to navigate the environment from the start point to the endpoint using a DRL algorithm while avoiding the dynamic obstacles by relying on observation denoted by where t is the time step at which the observation was calculated and where is the normalized Euclidean distance to the goal point, such as the following:
is the orientation to the goal point at time t, and is calculated as follows:
are the linear and the angular velocity of the robot at time t, obtained from the robot’s encoders. is the deviation from the shortest distance to the goal at time t, calculated by:
represents the cost map at point (x,y), where c indicates the channel of the cost map. The cost map is structured as a multichannel image that is passed to the agent’s CNN feature extraction layer, which will be explained in detail later in Section 3.5.2. The agent controls the robot velocities through the velocity command to reach the goal destination in the least amount of steps while avoiding dynamic and static obstacles using the observation at every time step t.
3.2. Cost Map as State
Usually, the observation of navigation tasks in DRL uses raw sensor data as the observation, as deep neural networks are great for function approximation and can learn to make sense of the raw data directly and learn to predict the optimal actions. However, the usage of the raw sensor data in the case of dynamic environment navigation with moving obstacles cannot encapsulate the temporal information needed. Therefore, representing this temporal information obtained from tracking dynamic obstacles and predicting their paths requires a new representation that can encapsulate the newly calculated data and adapt to its nature.
The new state representation is needed to capture the positions of obstacles relative to the robot and the predicted paths of dynamic obstacles. These predictions can vary in number and length. However, since the input dimension of the deep neural network must remain constant, cost maps were utilized to embed, encapsulate, and represent the environment’s observations. A framework of cost maps was designed, where each layer is responsible for capturing a specific aspect of the environment. These layers are treated as a multi-channel image when fed into the neural network model. To process these cost maps, a convolutional Neural Network (CNN) with feature extraction layers was employed as the input layer, allowing the model to effectively interpret and learn from the cost maps. The usage of a cost map to represent the raw sensory data allowed us to use processes and techniques that can abstract some hyper-parameters outside the model training and add the ability to tune it without retraining the model. For example, the usage of inflation expands the cost of the area surrounding the obstacles creating safe margins around the obstacles. As long as the model is trained to take a path that corresponds to the lower cost, the inflation layer can be adjusted independently to tune the behavior and the safe margins around the robot, which were typically hardwired into the model neural network during training according to the reward signal. The reward signal punishes or lowers the reward when the agent gets closer to obstacles or gives the agent a relatively large negative reward when the training episode terminates due to a collision.
There are two cost map channels used to capture the needed observations of the dynamic navigation task; each channel provides a specific aspect of the state of the environment. In the experimentation, different combinations of these channels will be utilized to achieve different outcomes or targets, and there is no theoretical limit to how many channels can be added to abstract different aspects of the environment. The main channels are the following:
3.2.1. Obstacle Channel with Inflation
The obstacle channel is considered the main channel of the observation cost map. It encodes all the sensors’ raw data into an obstacle cost map that represents their relative position to the robot. The usage of inflation allows us to specify a higher-cost area surrounding the obstacles to discourage navigation in it and to account for uncertainty in obstacle detection. This provides a tunable margin of safety that can be adjusted independently of the training process. A 2D LIDAR typically provides the obstacle data in polar coordinates, where each point is a distance r and an angle , which represent the distance from the LIDAR and the angle from the LIDAR’s forward direction. To represent these obstacles in a cost map, which is represented as a 2D grid in a Cartesian coordinate system, the LIDAR data need to be transformed as follows: Once obstacle positions are identified in the obstacle map Cartesian grid, the corresponding point values in the cost map can be calculated using the following:
Here, is assigned to cells where obstacles are detected, indicating that they are occupied and should be avoided, and 0 is assigned to cells where no obstacles are detected, indicating that they are free space and safe to navigate. The previous step converts LIDAR data, ranging from 10 m, into a 50 × 50 cost map that represents obstacles within m around the robot on the x and y axes.
There are several approaches to calculating the obstacle inflation, but in general, an inflation radius is used to represent the distance around the obstacle within which the cells are assigned a higher cost, and this radius is usually set to the robot radius and a small margin. This cost decreases as we go further from the obstacle, and it can decrease linearly or exponentially. We used an exponential decrease from the obstacles by using the following:
where is the distance from the cell to the nearest obstacle. K is the cost scaling factor, a parameter that influences how quickly the cost decreases with distance. is the inscribed radius of the robot, the distance from the robot’s center to the closest point of its footprint. is the cost assigned to cells inside the inscribed radius.
The following images show an example of the environment (Figure 2) and the corresponding cost map with inflation (Figure 3).
Figure 2.
This is an example view from the simulated dynamic environment, where the blue lines represent the rays of the robot’s 2D LIDAR. The white obstacles represent the dynamic obstacles, and the grey obstacles represent the static obstacles, which are randomized in each episode.
Figure 3.
Example of the obstacle cost map with inflation corresponding to the view shown in Figure 1. The blue cells represent cost, the magenta regions represent the highest cost, and the green polygon represents the robot. The coordinates on top of the obstacles represent the tracked dynamic obstacles. Both the robot’s green polygon and the coordinates of the dynamic obstacles are for demonstration purposes only and are not included in the agent’s observations.
3.2.2. Predicted Trajectory Channel
The main reason this channel exists is to unravel the dynamic aspect of the hidden temporal information between observations and give the agent an intuition regarding the nature of the dynamic obstacles around it. The predicted trajectories were used instead of the past trajectories to simplify the training of the model. When using the past trajectories of the dynamic obstacles, the agent has to create an internal model that can understand these trajectories to be able to predict the optimal actions that do not collide with the future trajectories of the dynamic obstacles that it thinks they will take. In this case, the quality of the agent’s prediction will rely on the training sessions and scenarios it encountered, which may not generalize to other dynamic obstacles that behave differently. Using a separate trajectory predictor encapsulates this step into a module that we can later replace with a different predictor that suits the nature of the dynamic obstacles the agent will face. This approach delegates the task of predicting future trajectories from the agent’s model to an external module, which accelerates convergence during training and makes the resulting agent more general.
In the predicted trajectories cost map channel, the trajectories are plotted as a position probability distribution for every predicted future step. We rely on a detector to detect the dynamic obstacles and determine their position relative to the robot. Any type of detector will be sufficient as long as we can obtain the transformation relative to the robot accurately. In this research, we used the technique mentioned in [38] to detect and track the dynamic obstacles when deploying the model to an actual robot. In training sessions, the ground truth of the obstacle transformations was used because detecting dynamic obstacles was not the main focus of these sessions. When comparing different approaches, the ground truth of the dynamic obstacles was used to eliminate any uncertainty in the detection process and to evaluate only the motion control behavior.
For the actual prediction of the trajectories there are several techniques available, like constant velocity, constant acceleration [39], Social Forces models [19], Kalman filters as used in [22], and other machine learning approaches [40,41]. While constant velocity and acceleration are straightforward, they provide a deterministic prediction, where uncertainties and errors in the detector could affect the predictions significantly. Social forces are more complicated and assume that all the dynamic obstacles we are dealing with are pedestrians, which may not fit scenarios, where the dynamic obstacles are other non-collaborative robots or pets. For the trajectory prediction task, Kalman filters were used as they are simple, relatively fast, and can handle uncertainties and noise in dynamic obstacle detection.
When predicting the future trajectories of the dynamic obstacles using the Kalman filter, we feed the current prediction and uncertainty into it for times, where is the number of steps in the future we want to predict. It was determined empirically. We set this to 50 steps based on a series of trials, balancing prediction accuracy and computational efficiency. We repeatedly solve the following Equations (6) and (7) for every predicted step, as described in Algorithm 1. At each iteration, solving these equations provides the next predicted state of the dynamic obstacle and the next uncertainty of the next state. Both the next predicted state X and the next uncertainty of the next state P are used to solve Equations (6) and (7) again to obtain the consecutive values for . This process is described in Algorithm 1 in lines 10 to 14.
where is the predicted state at time t based on the previous information up to time , F is the state transition matrix, which models how current states propagate to the next states. It is derived based on the linear model of obstacle movement in the x and y directions, where we assume the obstacles move with a constant speed, and is defined as follows:
where Δt is the time step between observations. The is the state estimate of the previous step at time based on all observations up to time . The last terms are neglected since the control input ut at time t is considered zero. This assumption is made because we have no control over the dynamic obstacles and assume they are non-collaborative agents. Finally, B is the control input matrix, which models how control inputs affect the state we are predicting.
where is the predicted covariance matrix at time step t, which represents uncertainty in the predicted state. is the covariance matrix at the previous time step calculated based on information found from all time steps up until . The previous covariance matrix is being propagated using Equation (7) to predict the current covariance matrix. F is the same state transition matrix used in Equation (6). Finally, Q is the process noise that can be fine-tuned to reflect how much the dynamic obstacle behavior can be modeled using F. Q is modeled as white noise and is represented by a diagonal matrix of variances, where , and are the variances in the x and y positions, and and are the variances in the velocities. These variances are chosen to reflect the expected level of uncertainty in the obstacle’s motion.
The result is a vector of predicted states. In our case, we predict the coordinates of the dynamic obstacle:
and a vector of the predicted covariance matrix:
| Algorithm 1: Future state and covariance prediction for multiple tracked dynamic obstacles. |
![]() |
| * The initial position is set to the detected position of the obstacle. The initial velocity is assumed to be zero, reflecting a stationary state at the time of detection. The initial covariance matrix is set to a large diagonal matrix to reflect high uncertainty in the obstacle’s initial velocity and lower uncertainty in the initial position. This matrix was derived empirically and is defined in (A1). |
We then used the predicted coordinates of the dynamic trajectories to plot the probability distribution of this position being in the trajectory of the dynamic obstacle on the cost map. This process is performed for all the predicted coordinates and all the dynamic obstacles within a certain distance (in our implementation: ±2.5 m from the robot) as described in Algorithm 2.
| Algorithm 2: Cost map generation from predicted dynamic trajectories. |
![]() |
Note that in this channel a linear Kalman filter was used as linear motion was assumed, but an Extended or an Unscented Kalman filter may be used for nonlinear assumptions. This approach also does not directly measure the velocity or acceleration of the dynamic obstacles. Instead, the Kalman filter internally estimates the velocity as part of the state vector. Acceleration is neglected in our model under the assumption of constant speed. This simplification is reasonable for our target environments, where sudden changes in obstacle speed are infrequent.
Figure 4 illustrates an example of the obstacle trajectory cost map channel generated by the previous algorithms.
Figure 4.
(a) Obstacle trajectory cost map channel, where the robot is marked as a green polygon. The predicted dynamic obstacle trajectories are shown, where the magenta area represents a higher probability distribution of the dynamic obstacles’ future positions in the next time steps, and the blue represents a lower probability for the positions that the dynamic obstacles might take in the near future. (b) A 3D representation of Figure (a) where the z-axis represents the probability of the dynamic obstacles’ position in the next time steps (lighter colors represent higher probabilities).
Finally, these cost map channel matrices are stacked on top of each other to create a multichannel cost map with a shape of , where N is the number of channels chosen to be incorporated in the final M-COST. are the number of horizontal and vertical grid cells.
3.3. Training Environment
Training a reinforcement learning agent requires an environment that accurately represents the problem the agent is trying to solve. The environment must be designed to allow the agent to interact with it, collect experiences with trial and error, and provide the agent with a well-balanced reward signal. This reward signal, combined with the collected experiences, helps the reinforcement learning algorithm converge to the optimal policy that guides the agent to take actions that maximize the overall reward at each state. For this purpose, we designed two distinct environments to test different aspects that validate our assumptions and train the agent efficiently. We Extended OpenAi’s toolkit [42] to develop our environments using gazebo simulation, as described in [43,44,45]. Additionally, we used ROS to encapsulate our implementation and algorithms and to facilitate communication with the simulation and real hardware deployment.
3.3.1. Environment 1: Tunnel Environment
This environment was designed specifically to investigate the validity of our hypothesis that incorporating the predicted trajectories of the dynamic obstacles into a multi-channel cost map as input to a reinforcement learning agent improves the agent’s performance in avoiding dynamic obstacles and convergence rate in training. We modeled this environment shown in Figure 5 as a tunnel with the agent at one end and the goal at the other. At the beginning of every training episode, different dynamic obstacles are spawned, moving from side to side at varying speeds. The agent’s main objective is to learn to navigate through this tunnel, avoid these dynamic obstacles, and reach its goal.
Figure 5.
Gazebo tunnel simulation environment: Boxes represent obstacles that can be static or dynamic, moving at varying speeds from one side to the other. The humanoids are dynamic actors that also move at varying speeds from one side to the other.
The dynamic obstacles were designed to move at different speeds, challenging the agent and helping the model generalize. This environment was used to train various types of agents with different observation structures to study the impact of these variations on training convergence rates and performance.
- As a baseline, an agent that used the raw LIDAR data and other scalar states as observations
- An agent that only used a single channel cost map that captured the obstacle positions and applied inflation to their cost, as described in Section 3.5.2 where .
- An agent that used a dual channel cost map, where the first channel was exactly like the one used with the previous agent and the second channel was used to show the predicted trajectory probability distributions. The observation used is .
- An agent that uses the previous obstacle cost maps and stacks multiple previous steps to the current observation to train the agent to extract temporal information from them.
This environment was essential to test whether including the dynamic trajectories as a channel of the M-COST, as part of the agent observation, would lead to faster convergence in training and more robust obstacle avoidance strategies. It also tested if the agent could anticipate the movement of these dynamic obstacles compared to the baseline and to the other cost map variants.
3.3.2. Environment 2: Point-to-Point General Navigation
The point-to-point general navigation environments were designed to train the agent for the general navigation task in a more complex, challenging, and varied setting. The agent needs to navigate from a random starting point to a random goal point with varying distances each episode while avoiding static and dynamic obstacles. One environment shown in Figure 6a focuses on navigating while avoiding static obstacles that are randomly spawned at the start of every episode, with only three moving obstacles following a simple path. The static obstacle structure in this environment is relatively simple. The other environment, shown in Figure 6b, is more complex and filled with challenges. It features intricate static obstacle structures and shapes, and it simulates 12 different actors with varied paths and randomized speeds ranging from 0.3 to 1.3 of the robot’s max speed.
Figure 6.
(a) Gazebo simulation for point-to-point navigation: white obstacles are dynamic, grey obstacles represent static randomized obstacles, and blue rays represent the LIDAR rays. (b) The complex environment with 12 dynamic actors.
The agent observations used in this environment were as follows:
- As a baseline, an agent that used the raw LIDAR data and other scalar states as observations
- An agent that only used a single channel cost map that captured the obstacle positions and applied inflation to their cost, as described in Section 3.5.2 where .
- An agent that used a dual channel cost map, where the first channel was exactly like the one used with the previous agent and the second channel was used to show the predicted trajectory probability distributions. The observation used is .
- An agent that uses the previous obstacle cost maps and stacks multiple previous steps to the current observation to train the agent to extract temporal information from them.
3.4. Algorithm
The navigation task requires a DRL algorithm capable of handling continuous observation spaces that contain continuous values like robot orientation relative to the goal and robot normalized Euclidean distance relative to goal , and other continuous values like the cost map. The algorithm also needs to handle continuous action spaces , which are the linear and angular control speeds normalized to be and . State-of-the-art deep reinforcement algorithms suitable for this task are Deep Deterministic Policy Gradient (DDPG), Twin Delayed Deep Deterministic Policy Gradient (TD3), Soft Actor–Critic (SAC), and Proximal Policy Optimization (PPO).
While DDPG and TD3 are suitable, TD3 outperforms DDPG as it introduced some improvements, like noise injection to target actions which makes the policy network more robust to approximation errors. However, both algorithms train a deterministic policy. This means that if the agent encounters some state multiple times, its policy network will always choose the same action. The deterministic behavior may cause the agent to fall into local minima.
The SAC algorithm trains a stochastic policy that samples the action from a distribution of actions, which are suitable as the next action given the current state . The algorithm also encourages the policy to choose actions that maximize the action value function while maintaining high entropy over the action distribution. This means that if the agent falls into a local minimum, it has a higher chance of eventually selecting an action that helps it escape. This suits the navigation problem aspects more than the deterministic policy approaches. SAC is also an off-policy algorithm, which means that it uses a replay buffer for previous experiences and interactions with the environment and learns from it continuously. This is unlike other algorithms that train a stochastic policy, which are on-policy algorithms that can not reuse previous experiences in training and have to use newly generated experiences in training and discard old ones. Using SAC, the agent is trained by optimizing three main objectives:
- The action–value function. It can be viewed as a critic that watches the agent as it explores and interacts with the environment, and it can be viewed as how the environment rewards its actions. The critic function described in Equation (8) is a deep neural network . It predicts the expected return (cumulative reward r from the current time step to the end of the episode) of taking action a in state s and following the same policy of selecting actions to the end of the episode.where is the entropy of the policy , and is the entropy coefficient that balances exploration and exploitation. denotes the expected return when we sample the next state from the environment P, given the current state and action, and the next action is sampled from the policy , given the next state . Finally, represents the action–value function applied to the next state and action.
- Policy. The policy , which is a deep neural network representing the agent, learns to choose the action that maximizes the return. The policy is trained by minimizing the negative of the objective in Equation (9), thereby maximizing both the entropy H and the expected return.
- Entropy coefficient. The entropy Coefficient regulates the entropy term to control the trade-off between maximizing expected reward and encouraging exploration and is automatically tuned in training by minimizing the negative of the following objective in Equation (10) where H is the target entropy which is calculated based on the number of actions.
Figure 7 illustrates the learning process of the Soft Actor–Critic algorithm. It follows a typical actor–critic architecture found in DRL, the actor generates a policy that determines an action based on the current state [46]. The critic evaluates this policy and provides feedback to help the actor move toward an optimal strategy. A distinguishing feature of SAC is the inclusion of an entropy coefficient, denoted as , which adjusts the action–value function to balance exploration and exploitation by weighing entropy.
Figure 7.
SAC learning process.
3.5. Networks and Agents
3.5.1. Raw Data as Observation
This is the most common approach when implementing an RL agent to solve the navigation problem. Raw data are used directly after normalization as input for the neural network. While this approach is simple and efficient, it lacks the understanding of the temporal data hidden between each observation. In this network, shown in Figure 8, we used various inputs, including the Euclidean distance to the goal, the angle to the goal, angular speed, linear speed, the deviation distance from the shortest path to the goal, and the LIDAR data vector. All of these inputs were normalized to be between 0 and 1, except for the angle, which was normalized to be between −1 and 1.
Figure 8.
Fully connected neural network architecture of the policy.
Table 1 describes the actor architecture that uses raw LIDAR data as observations. It outputs mean values and standard deviation values for each output. The mean and standard deviation values define a normal distribution from which suitable actions can be sampled. As shown in the table, there are two output layers: one outputs two mean values for the linear and angular speeds, and the other outputs two standard deviation values for the linear and angular speeds. This is the only network needed to make predictions for suitable actions, but during training, the critic network (described in Table A1) is required to evaluate the actor’s actions. The actor then uses the critic evaluation to adjust its network weights (as described in Equation (9)).
Table 1.
Actor–network architecture—raw LIDAR data observation.
3.5.2. Single Channel Obstacle Cost Map as Observation
Restructuring the LIDAR data to an obstacle cost map is a common approach in classical path planning methods. This approach provides similar benefits to those of using a CNN over a fully connected neural network, as it allows the agent to understand spatial relationships between obstacles. The agent has an understanding of spatial relations between obstacles, which are represented in cells that correspond to real-world coordinates after being represented in a 1D vector. Additionally, techniques from classical algorithms, such as applying a margin of safety through inflation on the obstacles in the cost map, can be applied. This architecture, shown in Figure 9, uses a CNN feature extractor to process the cost map, shown in Figure 10a. The extracted features are then flattened to a 256-dimensional vector and combined with the same scalar inputs as before, which are then passed as input to the fully connected neural network. The network architecture used to train this agent is described in Table 2 and Table A2. Table 2 describes the actor–network where N is the number of the input cost map channels.
Figure 9.
Policy architecture uses CNN as a feature extractor for the cost map and FNN for the extracted features and other scalar data.
Figure 10.
(a) Obstacle cost map as observation, (b) Stacked previous cost maps, and (c) M-COST observation of two channels: obstacles cost map channel and predicted trajectory of the dynamic obstacles in the temporal channel.
Table 2.
Actor network architecture—cost map observation.
3.5.3. The M-COST Observation Architecture
The simple architecture (shown in Figure 9) for the single channel obstacle cost map as observation was reused for the Multichannel Cost Map Observation for Spatial and Temporal Information (M-COST), shown in Figure 10c, with a key difference. The input filter layer in the CNN feature extractor was adjusted to accommodate the number of channels used in the multichannel cost map. In this case, it was adjusted for two channels: one for obstacles and another for the predicted trajectory of the dynamic obstacles. This modification was sufficient to enable our agent to perceive and understand temporal information without the need to stack previous observations or use RNNs or LSTMs, which are challenging to train in a reinforcement learning setup. The actor–network architecture for the M-COST observation is described in Table 2, and the critic network architecture is detailed in Table A2, where N (equal to 2) is the number of cost map channels.
3.5.4. Stacked Previous Obstacle Cost Map Observation Network Architecture
Stacking previous observations with the current observation as input for the agent to provide a temporal understanding is a widely used technique, as shown in Figure 10b. In this agent, we used the obstacle cost map as we did with both the M-COST observation agent and the single channel cost map agent. This approach ensured that the agent had an equal understanding of the spatial information represented by the cost map, allowing us to test its ability to extract temporal information from the stacked previous cost maps. The key difference in the architecture, shown in Figure 9, is the input filter layer for the CNN feature extractor part. It was adjusted to accommodate the stacked observations, as in the M-COST agent. The actor–network architecture for this approach is outlined in Table 2, and the critic network architecture is provided in Table A2, where N (equal to 4) indicates the number of stacked cost map channels.
Table 2 describes the actor–network used with several types of cost map observations. The same network architecture is used for the M-COST observation, single obstacle cost map, and stacked cost map observations. The first module is the CNN image extractor, which uses multiple convolutional layers to extract features from the input cost maps. The features are then flattened to a 256-feature vector. This feature vector is then combined with the scalar input values (the Euclidean distance to the goal, the angle to the goal, angular speed, linear speed, and the deviation distance from the shortest path to the goal), which consist of five values combined in the “Combined Input Layer”. Then the rest of the layers are the same as used in Table 1. The critic network used to evaluate this actor’s architecture is described in Table A2. All the SAC models were trained using the same hyperparameters described in Table A3.
4. Results
Our experiments are divided into two separate objectives. The first objective is to evaluate how restructuring the observation into the M-COST impacts training results and training convergence rate, compared to using raw data, a single obstacle cost map, or stacked previous cost map observation. This experiment was conducted by training each agent through several training sessions, with each session randomized by the same random seeds used for the other agents’ training sessions. These training sessions were conducted at two separate times in two separate environments: the tunnel environment and the point-to-point navigation environment. The tunnel environment focused on the collision avoidance aspect of the navigation task. It assessed the agent’s ability to utilize the temporal channel, which encodes the predicted trajectories, to the baseline agents that had no temporal information, such as those using raw data input, a single obstacle cost map, or stacked previous observations. The point-to-point navigation environment focused on end-to-end navigation behaviour and simulated real-world-like scenarios. All reinforcement learning agents were trained for 350,000 steps at 10× real-time speed using an NVIDIA RTX 4070 GPU and a 12-core CPU operating at 5 GHz (see Appendix A for manufacturer details), with the M-COST method completing the training process within 5 to 6 h on average.
Navigation analyses were conducted on the agents resulting from both types of experiments. The objective of these analyses was to evaluate the navigation performance of each observation approach. Metrics such as path length, number of steps taken to reach the goal, and success rate were used to measure performance. Each agent was tested multiple times in the same set of scenarios to assess the impact of the added temporal information from the M-COST observation compared to other techniques.
4.1. Tunnel Environment Training Results
We conducted multiple training sessions for each agent using different observation approaches. The resulting training rewards compared to the number of training steps are illustrated in Figure 11, while the evaluation rewards over training steps are shown in Figure 12. The agent’s performance is considered acceptable when the agent’s reward reaches 400 or above. Each training session was allowed to run for 350,000 training steps. In this environment, the dynamic obstacles were assigned speeds ranging from 0.3 to 1 of the robot’s full speed. The agent that used the raw LIDAR data performed the worst in training and evaluation. Both the agent with the obstacle cost map and the agent with the stacked cost map performed similarly in terms of training and evaluation rewards, and both outperformed the agent that used raw LIDAR data. Finally, the agent using M-COST as observation achieved the best performance among all observation approaches, demonstrating that the abstracted temporal information in the second cost map channel improved the training convergence rate.
Figure 11.
Training reward vs. training steps in the tunnel scenario. Solid lines represent mean training reward, while shaded areas indicate variation or distribution of scores over different steps.
Figure 12.
Evaluation scores vs. training steps in the tunnel scenario. Solid lines represent mean evaluation scores, while shaded areas indicate variation or distribution of scores over different steps.
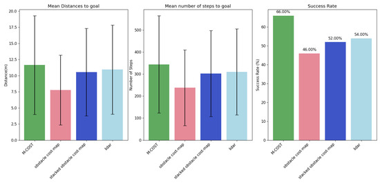
Figure 13 shows the performance comparison of agents trained with different observation approaches. All agents were tested for 100 iterations each in the tunnel environment with the same moving obstacle speeds and motions. They were required to navigate through the tunnel and avoid the dynamic obstacles over a distance of 9 m. The agent with the LIDAR observation had the lowest success rate. The agent that used an obstacle cost map as observation had slightly better results, as it had more spatial information to utilize, including the inflation area around the obstacles. As the agent with the stacked cost map observations had temporal and spatial information, it scored a higher success rate than agents with no temporal information, but the agent had to learn to extract the temporal data from the sequence of cost maps. In the M-COST agent where the temporal information was extracted and trajectories were predicted and abstracted in a separate cost map channel, it scored the highest success rate. Additionally, the M-COST agent traveled the longest distance to reach the goal and used more control steps, as it had to maneuver more and occasionally backtrack to avoid being cornered by a dynamic obstacle.
Figure 13.
Navigation performance metrics for the tunnel environment.
4.2. Point-to-Point Environment Training Results
The primary objective of the point-to-point navigation task is to evaluate whether variations in the model’s observation approach influence performance under realistic conditions. The training was conducted using two distinct configurations: one with predominantly static, randomly placed obstacles and three dynamic obstacles, and the other with static obstacles and 12 dynamic actors, each moving through the environment at different speeds and paths.
4.2.1. Point-to-Point Training in Changing Environments with Static Obstacles
As seen in the training and evaluation results in Figure 14 and Figure 15, the different observation approaches performed nearly the same. Agents that incorporated obstacle cost maps in their observations performed slightly better than the LIDAR agent due to the spatial information embedded in the cost maps. In an environment with static obstacles, the M-COST temporal channel offers no advantages, as there is no hidden temporal state associated with static obstacles.
Figure 14.
Training reward vs. training steps in the point-to-point simple scenario. Solid lines represent mean training reward, while shaded areas indicate score distributions over different steps.
Figure 15.
Evaluation scores vs. training steps in the point-to-point simple scenario. Solid lines represent mean evaluation scores, while shaded areas indicate score distributions over different steps.
4.2.2. Point-to-Point Training in a Dense Dynamic Environment with 12 Actors
Training in this environment tested the agent’s ability to navigate complex environments with different structures of obstacles and the agent’s ability to avoid dynamic obstacles. While training and evaluation results were close, the M-COST agent scored better results, as shown in Figure 16 and Figure 17. In a general dense environment, agents do not always encounter dynamic obstacles in situations that require them to anticipate the obstacles’ movements. Most agents can typically maintain a safe distance from all obstacles, except when maneuvering in tight spaces. This dense, dynamic environment provides a balanced structure, consistently placing the agent in challenging situations with dynamic obstacles in tight spaces, similar to those found in the tunnel environment, while offering more demanding scenarios than static obstacle environments. Consequently, this environment offers a more realistic assessment of the agent’s performance by providing balanced temporal and spatial challenges. The M-COST agent demonstrated a slight performance advantage over other approaches, effectively leveraging both its temporal observation capabilities and spatial awareness to navigate these challenges.
Figure 16.
Training reward vs. training steps in the point-to-point complex scenario. Solid lines represent mean training reward, while shaded areas indicate score distributions over different steps.
Figure 17.
Evaluation scores vs. training steps in the point-to-point complex scenario. Solid lines represent mean evaluation scores, while shaded areas indicate score distributions over different steps.
In the performance test, the agents were required to navigate the same set of random goals from the same set of starting positions. Navigation goals varied in distance, complexity, and number of dynamic actors the agent had to pass. As shown in Figure 18, the LIDAR had a higher success rate than it achieved in a scenario that was heavily focused on dynamic obstacles. The LIDAR observation-based agent also had an advantage over the agents that used an obstacle cost map to navigate the complex structure of static obstacles; this is due to its wider observation range provided by the raw LIDAR data input. This allowed the agent to perceive the environment beyond the range of the obstacle cost map, which only covered ±2.5 m in the X and Y axes. The agent that used M-COST as observation, despite the limited visibility of the obstacle cost map, scored the highest success rate, as it was able to avoid collisions with dynamic obstacles more effectively.
Figure 18.
Navigation performance metrics for the point-to-point navigation test with 12 dynamic actors and complex structure environment.
5. Discussion
The results demonstrate that the proposed restructuring of the observation and embedding spatial and temporal information into a multichannel cost map Observation (M-COST) led to a significant improvement over the usage of raw LIDAR data as observations in dynamic obstacle navigation tasks.
5.1. Tunnel Environment
The tunnel environment experiments focused extensively on dynamic obstacle avoidance. The navigation path complexity was simple and dynamic obstacle avoidance was the main challenge to achieve high success rates. The M-COST agent outperformed agents using raw LIDAR data, an obstacle cost map, and stacked previous cost maps as observations. The M-COST agent had a better spatial and temporal representation of the environment. This allowed it to achieve a higher training convergence rate within the same number of training steps, using the same training reward function and hyper-parameters as the other agents. In the performance analysis, it achieved the highest success rates and traveled a slightly longer distance than the shortest path to the goal, as it had to maneuver the dynamic obstacles more than agents that assumed a static environment and did not proactively consider wider paths around obstacles to avoid collision. It also required the most control steps due to the longer paths taken and the recovery behaviors used to maneuver while occasionally retreating to avoid collisions.
5.2. Point-to-Point General Navigation
In the point-to-point navigation general navigation experiments, two different configurations were used to assess the agents’ navigation and obstacle avoidance performances, as well as their training convergence rates. In a mostly static environment with three slow dynamic obstacles and randomly spawned static obstacles with simple structures, all agents performed similarly, with a slightly better convergence rate in agents that used obstacle cost maps, likely due to a better spatial representation of the obstacle and the presence of an inflated area around the obstacles. In an environment with a complex structure of obstacles and 12 dynamic actors with different paths, M-COST observation agents outperformed agents that used raw LIDAR data, an obstacle cost map, or stacked previous cost maps as observations. The M-COST agents also exhibited the highest variances when it comes to the mean distance to the goal and control steps taken to the goal. However, the agent that used LIDAR data for observation generally performed slightly better or on the same level as the agent that used stacked obstacle cost maps. The LIDAR agent had a larger observation range as it used the full range of the LIDAR, unlike agents with cost maps where the observation range only was ±2.5 m in the X, Y axis. These results would differ if the LIDAR observation agent used a shorter-range LIDAR or if the agents using obstacle cost maps had a larger observation range.
When using the M-COST observation with a moderate observation range, it may be beneficial to also include the LIDAR data in complex environments where the agent must traverse a long path. The LIDAR data could provide insights into the structure of the environment beyond the M-COST observation range, or use an extended M-COST observation range, especially when deploying without a global path planner that could provide suggested waypoints for the agent.
5.3. Future Research
Future research could explore incorporating alternative types of cost map channels to enhance the robot’s perception and decision-making capabilities while providing richer temporal insights. The usage of the robot’s previous path and representing it in a separate channel of the M-COST could enable the agent to leverage its previous trajectory while navigating complex environments to minimize getting stuck in local minima and encourage exploration, while also adding a channel that predicts the robot’s future trajectory based on the agent’s previous movement or advancing the policy multiple steps into the future. This may enable the agent to make proactive adjustments to its actions to avoid future collisions. Furthermore, we plan to extend our approach to incorporate global trajectories and maps, allowing the agent to follow global paths and understand global map structures. This extension could align our method with other approaches and enhance its effectiveness in a broader range of real-world scenarios.
Exploring different techniques for predicting dynamic obstacle trajectories could help provide more accurate and efficient predictions. For example, employing social models for pedestrians or utilizing more advanced variants of the linear Kalman filter used in trajectory prediction, like EKF and UKF, could improve trajectory prediction efficiency and accuracy.
Finally, investigating trajectory prediction in 3D space and representing them using voxel grids or 3D occupancy grids could significantly improve the obstacle avoidance capabilities of this approach. This would also enable the integration of higher-dimensional sensors, such as depth cameras and 3D LIDARs, and enable the application of this technique to aerial vehicles (UAVs) and underwater vehicles (ROUVs), where navigating complex 3D environments is essential.
6. Conclusions
The usage of a multichannel cost map for encapsulating the spatial and temporal data proved to be highly effective in improving the agent’s performance in dynamic environments. By providing a richer representation of the environment, this approach enabled the reinforcement learning agent to make more informed and proactive decisions, which resulted in faster training convergence and higher success rates in obstacle avoidance tasks compared to traditional methods that relied solely on raw sensory data or single/stacked cost map observations. Using this approach, we can abstract tunable parameters outside the model, which were previously learned by the model only during the training phase.
However, the current technique for trajectory prediction remains relatively simple and may require more sophisticated methods when handling highly unpredictable dynamic obstacles or obstacles moving at greater speeds. Although the temporal channel effectively encapsulates the predicted trajectories of dynamic obstacles, incorporating an additional temporal channel, particularly one that includes social temporal information, could further enhance the model’s performance.
It is also important to note that while the M-COST approach excels in dynamic settings, its effectiveness diminishes in static environments. Using raw LIDAR data directly may be more efficient in these cases due to their wider ranges and simpler network structures, which makes them more efficient and easier to train.
Author Contributions
Conceptualization, T.A.F.; methodology, T.A.F.; software, T.A.F.; validation, T.A.F., S.A.M. and O.M.S.; formal analysis, T.A.F.; investigation, T.A.F.; resources, T.A.F.; data curation, T.A.F.; writing—original draft preparation, T.A.F.; writing—review and editing, T.A.F., S.A.M. and O.M.S.; visualization, T.A.F.; supervision, S.A.M. and O.M.S.; project administration, S.A.M. and O.M.S.; funding acquisition, T.A.F. All authors have read and agreed to the published version of the manuscript.
Funding
This research received no external funding.
Data Availability Statement
The code and implementation will be made publicly available on the following GitHub link in the near future. https://github.com/Tareq-Diab/Trajectory_Aware_DRL-NAV (accessed on 1 March 2024).
Acknowledgments
We would like to express our sincere gratitude to Marses Robotics for providing essential tools such as the robot base and for their overall support and contributions throughout this research.
Conflicts of Interest
The authors declare no conflicts of interest.
Abbreviations
The following abbreviations are used in this manuscript:
| RL | Reinforcement Learning |
| POMDP | Partially Observable Markov Decision Process |
| CNN | Convolutions Neural Network |
| RNN | Recurrent Neural Network |
| LSTM | Long Short Term Memory |
| M-COST | Multichannel Costmap Observation for Spatial and Temporal information |
Appendix A
Table A1.
Critic network architecture.
Table A1.
Critic network architecture.
| Name | Description | Shape/Activation Function |
|---|---|---|
| Input Layer | Receives raw observation and action data | (367) |
| Feature Extractor | Flattens the input features for processing | Flatten (start_dim = 1, end_dim = −1) |
| Q-Function 0: Hidden Layer 1 | First hidden layer for Q-value computation | Linear (367 → 256), ReLU |
| Q-Function 0: Hidden Layer 2 | Second hidden layer for Q-value computation | Linear (256 → 256), ReLU |
| Q-Function 0: Output Layer | Computes the Q-value | Linear (256 → 1) |
| Q-Function 1: Hidden Layer 1 | First hidden layer for second Q-value computation | Linear (367 → 256), ReLU |
| Q-Function 1: Hidden Layer 2 | Second hidden layer for second Q-value computation | Linear (256 → 256), ReLU |
| Q-Function 1: Output Layer | Computes the second Q-value | Linear (256 → 1) |
Table A2.
Critic network architecture for SAC model.
Table A2.
Critic network architecture for SAC model.
| Name | Description | Shape/Activation Function |
|---|---|---|
| Image Extractor (CNN) | Extracts features from the cost map input | (N, 32, 8 × 8, stride 4), ReLU (32, 64, 4 × 4, stride 2), ReLU (64, 64, 3 × 3, stride 1), ReLU Flatten |
| Linear Layer (CNN) | Processes the flattened CNN features | Linear (256 → 256), ReLU |
| Scalers Extractor | Flattens scalar values for input | Flatten |
| Q-Function 0: Input Layer | Combines image features (256), scalars (5), and actions (2) | Linear (263 → 256), ReLU |
| Q-Function 0: Hidden Layer 1 | First hidden layer for Q-value computation | Linear (256 → 256), ReLU |
| Q-Function 0: Hidden Layer 2 | Second hidden layer for Q-value computation | Linear (256 → 256), ReLU |
| Q-Function 0: Output Layer | Computes the Q-value | Linear (256 → 1) |
| Q-Function 1: Input Layer | Combines image features (256), scalars (5), and actions (2) | Linear (263 → 256), ReLU |
| Q-Function 1: Hidden Layer 1 | First hidden layer for second Q-value computation | Linear (256 → 256), ReLU |
| Q-Function 1: Hidden Layer 2 | Second hidden layer for second Q-value computation | Linear (256 → 256), ReLU |
| Q-Function 1: Output Layer | Computes the second Q-value | Linear (256 → 1) |
Note: In the “Image Extractor” section of the network architecture, N represents the number of cost map channels.
Table A3.
Hyperparameters used to train all SAC models.
Table A3.
Hyperparameters used to train all SAC models.
| Name | Description | Value |
|---|---|---|
| Learning Rate | Learning rate for the policy and value networks | 3 × 10−4 |
| Buffer Size | Maximum size of the replay buffer | 1,000,000 |
| Learning Starts | Number of steps before learning starts | 100 |
| Batch Size | Batch size for each gradient update | 256 |
| Tau | Soft update coefficient for target networks | 0.005 |
| Gamma | Discount factor for the reward | 0.99 |
| Training Frequency | Frequency of training updates | 1 |
| Gradient Steps | Number of gradient steps to perform after each rollout | 1 |
| Entropy Coefficient | Entropy coefficient | “auto” |
| Target Update Interval | Frequency of target network updates | 1 |
The initial covariance matrix
The following hardware was used in this study:
- NVIDIA RTX 4070 GPU (Micro-Star International (MSI), New Taipei City, Taiwan)
- AMD Ryzen 9 7900 CPU (AMD, Santa Clara, California, USA)
References
- Dhavala, S.S.; Srihari, C.; Vanishree, K.; Rashmi, R. An extensive review of applications, methods and recent advances in deep reinforcement learning. In Proceedings of the 2023 5th International Congress on Human-Computer Interaction, Optimization and Robotic Applications (HORA), Istanbul, Turkey, 8–10 June 2023; pp. 1–6. [Google Scholar] [CrossRef]
- Shakya, A.K.; Pillai, G.; Chakrabarty, S. Reinforcement learning algorithms: A brief survey. Expert Syst. Appl. 2023, 231, 120495. [Google Scholar] [CrossRef]
- Oh, I.; Rho, S.; Moon, S.; Son, S.; Lee, H.; Chung, J. Creating Pro-Level AI for a Real-Time Fighting Game Using Deep Reinforcement Learning. IEEE Trans. Games 2022, 14, 212–220. [Google Scholar] [CrossRef]
- Garaffa, L.C.; Basso, M.; Konzen, A.A.; De Freitas, E.P. Reinforcement Learning for Mobile Robotics Exploration: A Survey. IEEE Trans. Neural Netw. Learn. Syst. 2023, 34, 3796–3810. [Google Scholar] [CrossRef] [PubMed]
- Huang, Z.; Wu, J.; Lv, C. Efficient Deep Reinforcement Learning with Imitative Expert Priors for Autonomous Driving. IEEE Trans. Neural Netw. Learn. Syst. 2023, 34, 7391–7403. [Google Scholar] [CrossRef] [PubMed]
- Uc-Cetina, V.; Navarro-Guerrero, N.; Martin-Gonzalez, A.; Weber, C.; Wermter, S. Survey on reinforcement learning for language processing. Artif. Intell. Rev. 2023, 56, 1543–1575. [Google Scholar] [CrossRef]
- Mnih, V.; Kavukcuoglu, K.; Silver, D.; Rusu, A.A.; Veness, J.; Bellemare, M.G.; Graves, A.; Riedmiller, M.; Fidjeland, A.K.; Ostrovski, G.; et al. Human-level control through deep reinforcement learning. Nature 2015, 518, 529–533. [Google Scholar] [CrossRef]
- Mnih, V.; Badia, A.P.; Mirza, M.; Graves, A.; Lillicrap, T.P.; Harley, T.; Silver, D.; Kavukcuoglu, K. Asynchronous Methods for Deep Reinforcement Learning. arXiv 2016, arXiv:1602.01783. [Google Scholar]
- Lillicrap, T.P.; Hunt, J.J.; Pritzel, A.; Heess, N.; Erez, T.; Tassa, Y.; Silver, D.; Wierstra, D. Continuous control with deep reinforcement learning. arXiv 2019, arXiv:1509.02971. [Google Scholar]
- Fujimoto, S.; van Hoof, H.; Meger, D. Addressing Function Approximation Error in Actor-Critic Methods. arXiv 2018, arXiv:1802.09477. [Google Scholar]
- Haarnoja, T.; Zhou, A.; Abbeel, P.; Levine, S. Soft Actor-Critic: Off-Policy Maximum Entropy Deep Reinforcement Learning with a Stochastic Actor. arXiv 2018, arXiv:1801.01290. [Google Scholar]
- Yokoyama, K.; Morioka, K. Autonomous Mobile Robot with Simple Navigation System Based on Deep Reinforcement Learning and a Monocular Camera. In Proceedings of the 2020 IEEE/SICE International Symposium on System Integration (SII), Honolulu, HI, USA, 12–15 January 2020; pp. 525–530. [Google Scholar] [CrossRef]
- Zhelo, O.; Zhang, J.; Tai, L.; Liu, M.; Burgard, W. Curiosity-driven Exploration for Mapless Navigation with Deep Reinforcement Learning. arXiv 2018, arXiv:1804.00456. [Google Scholar]
- Cimurs, R.; Suh, I.H.; Lee, J.H. Goal-Driven Autonomous Exploration Through Deep Reinforcement Learning. arXiv 2021, arXiv:2103.07119. [Google Scholar] [CrossRef]
- Sutton, R.S.; Barto, A.G. Reinforcement Learning: An Introduction, 2nd ed.; Adaptive Computation and Machine Learning Series; The MIT Press: Cambridge, MA, USA, 2018. [Google Scholar]
- Fox, D.; Burgard, W.; Thrun, S. The dynamic window approach to collision avoidance. IEEE Robot. Autom. Mag. 1997, 4, 23–33. [Google Scholar] [CrossRef]
- Khatib, O. Real-time obstacle avoidance for manipulators and mobile robots. In Proceedings of the 1985 IEEE International Conference on Robotics and Automation, St. Louis, MO, USA, 25–28 March 1985; Volume 2, pp. 500–505. [Google Scholar] [CrossRef]
- Qixin, C.; Yanwen, H.; Jingliang, Z. An Evolutionary Artificial Potential Field Algorithm for Dynamic Path Planning of Mobile Robot. In Proceedings of the 2006 IEEE/RSJ International Conference on Intelligent Robots and Systems, Beijing, China, 9–15 October 2006; pp. 3331–3336. [Google Scholar] [CrossRef]
- Helbing, D.; Molnár, P. Social force model for pedestrian dynamics. Phys. Rev. E 1995, 51, 4282–4286. [Google Scholar] [CrossRef]
- Martini, M.; Pérez-Higueras, N.; Ostuni, A.; Chiaberge, M.; Caballero, F.; Merino, L. Adaptive Social Force Window Planner with Reinforcement Learning. arXiv 2024. [Google Scholar] [CrossRef]
- Rösmann, C.; Hoffmann, F.; Bertram, T. Integrated online trajectory planning and optimization in distinctive topologies. Robot. Auton. Syst. 2017, 88, 142–153. [Google Scholar] [CrossRef]
- Brito, B.; Floor, B.; Ferranti, L.; Alonso-Mora, J. Model Predictive Contouring Control for Collision Avoidance in Unstructured Dynamic Environments. arXiv 2020, arXiv:2010.10190. [Google Scholar] [CrossRef]
- Kalman, R.E. A New Approach to Linear Filtering and Prediction Problems. J. Basic Eng. 1960, 82, 35–45. [Google Scholar] [CrossRef]
- Xu, T.; Shi, D.; Wang, Z.; Chen, X.; Zhang, Y. Distributed Reinforcement Learning with States Feature Encoding and States Stacking in Continuous Action Space. In Collaborative Computing: Networking, Applications and Worksharing; Series Title: Lecture Notes of the Institute for Computer Sciences, Social Informatics and Telecommunications Engineering; Gao, H., Wang, X., Iqbal, M., Yin, Y., Yin, J., Gu, N., Eds.; Springer International Publishing: Cham, Switzerland, 2021; Volume 349, pp. 340–353. [Google Scholar] [CrossRef]
- Ermolov, A.; Sangineto, E.; Sebe, N. Temporal Alignment for History Representation in Reinforcement Learning. In Proceedings of the 2022 26th International Conference on Pattern Recognition (ICPR), Montreal, QC, Canada, 21–25 August 2022; pp. 2172–2178. [Google Scholar] [CrossRef]
- De Andrade Santos, I.B.; Romero, R.A.F. Deep Reinforcement Learning for Visual Semantic Navigation with Memory. In Proceedings of the 2020 Latin American Robotics Symposium (LARS), 2020 Brazilian Symposium on Robotics (SBR) and 2020 Workshop on Robotics in Education (WRE), Natal, Brazil, 9–13 November 2020; pp. 1–6. [Google Scholar] [CrossRef]
- Liu, Y.; Wang, C.; Zhao, C.; Wu, H.; Wei, Y. A Soft Actor-Critic Deep Reinforcement-Learning-Based Robot Navigation Method Using LiDAR. Remote Sens. 2024, 16, 2072. [Google Scholar] [CrossRef]
- Li, Z.; Zhou, A. RDDRL: A recurrent deduction deep reinforcement learning model for multimodal vision-robot navigation. Appl. Intell. 2023, 53, 23244–23270. [Google Scholar] [CrossRef]
- Sun, X.; Zhang, Q.; Wei, Y.; Liu, M. Risk-Aware Deep Reinforcement Learning for Robot Crowd Navigation. Electronics 2023, 12, 4744. [Google Scholar] [CrossRef]
- Samsani, S.S.; Mutahira, H.; Muhammad, M.S. Memory-based crowd-aware robot navigation using deep reinforcement learning. Complex Intell. Syst. 2023, 9, 2147–2158. [Google Scholar] [CrossRef]
- Zhang, Y.; Feng, Z. Crowd-Aware Mobile Robot Navigation Based on Improved Decentralized Structured RNN via Deep Reinforcement Learning. Sensors 2023, 23, 1810. [Google Scholar] [CrossRef] [PubMed]
- Liu, S.; Chang, P.; Liang, W.; Chakraborty, N.; Driggs-Campbell, K. Decentralized Structural-RNN for Robot Crowd Navigation with Deep Reinforcement Learning. In Proceedings of the 2021 IEEE International Conference on Robotics and Automation (ICRA), Xi’an, China, 30 May–5 June 2021; pp. 3517–3524. [Google Scholar] [CrossRef]
- Li, K.; Xu, Y.; Wang, J.; Meng, M.Q.H. SARL: Deep Reinforcement Learning based Human-Aware Navigation for Mobile Robot in Indoor Environments. In Proceedings of the 2019 IEEE International Conference on Robotics and Biomimetics (ROBIO), Dali, China, 6–8 December 2019; pp. 688–694. [Google Scholar] [CrossRef]
- Zhang, T.; Qiu, T.; Pu, Z.; Liu, Z.; Yi, J. Robot Navigation among External Autonomous Agents through Deep Reinforcement Learning using Graph Attention Network. IFAC-PapersOnLine 2020, 53, 9465–9470. [Google Scholar] [CrossRef]
- Chen, C.; Liu, Y.; Kreiss, S.; Alahi, A. Crowd-Robot Interaction: Crowd-Aware Robot Navigation with Attention-Based Deep Reinforcement Learning. In Proceedings of the 2019 International Conference on Robotics and Automation (ICRA), Montreal, QC, Canada, 20–24 May 2019; pp. 6015–6022. [Google Scholar] [CrossRef]
- Martinez-Baselga, D.; Riazuelo, L.; Montano, L. RUMOR: Reinforcement learning for Understanding a Model of the Real World for Navigation in Dynamic Environments. arXiv 2024. [Google Scholar] [CrossRef]
- Martinez-Baselga, D.; Riazuelo, L.; Montano, L. Long-Range Navigation in Complex and Dynamic Environments with Full-Stack S-DOVS. Appl. Sci. 2023, 13, 8925. [Google Scholar] [CrossRef]
- Przybyla, M. Detection and tracking of 2D geometric obstacles from LRF data. In Proceedings of the 2017 11th International Workshop on Robot Motion and Control (RoMoCo), Wasowo Palace, Poland, 3–5 July 2017; pp. 135–141. [Google Scholar] [CrossRef]
- Motoi, N.; Ueda, Y. Velocity Obstacle Considering Collision Prediction Time and Non-Holonomic Constraint for Mobile Robot. In Proceedings of the 2024 IEEE 18th International Conference on Advanced Motion Control (AMC), Kyoto, Japan, 28 February–1 March 2024; pp. 1–6. [Google Scholar] [CrossRef]
- Jiang, X.; Lin, W.; Liu, J. A Method of Pedestrian Trajectory Prediction Based on LSTM. In Proceedings of the 2019 2nd International Conference on Computational Intelligence and Intelligent Systems, Bangkok, Thailand, 23–25 November 2019; pp. 79–84. [Google Scholar] [CrossRef]
- Virdi, J. Using Deep Learning to Predict Obstacle Trajectories for Collision Avoidance in Autonomous Vehicles. Master’s Thesis, University of California, San Diego, CA, USA, 2018. [Google Scholar]
- Brockman, G.; Cheung, V.; Pettersson, L.; Schneider, J.; Schulman, J.; Tang, J.; Zaremba, W. OpenAI Gym. arXiv 2016, arXiv:1606.01540. [Google Scholar]
- Lopez, N.G.; Nuin, Y.L.E.; Moral, E.B.; Juan, L.U.S.; Rueda, A.S.; Vilches, V.M.; Kojcev, R. gym-gazebo2, a toolkit for reinforcement learning using ROS 2 and Gazebo. arXiv 2019, arXiv:1903.06278. [Google Scholar]
- Lucchi, M.; Zindler, F.; Muhlbacher-Karrer, S.; Pichler, H. robo-gym—An Open Source Toolkit for Distributed Deep Reinforcement Learning on Real and Simulated Robots. In Proceedings of the 2020 IEEE/RSJ International Conference on Intelligent Robots and Systems (IROS), Las Vegas, NV, USA, 24 October–24 January 2020; pp. 5364–5371. [Google Scholar] [CrossRef]
- Zamora, I.; Lopez, N.G.; Vilches, V.M.; Cordero, A.H. Extending the OpenAI Gym for robotics: A toolkit for reinforcement learning using ROS and Gazebo. arXiv 2017, arXiv:1608.05742. [Google Scholar]
- An, Q.; Segarra, S.; Dick, C.; Sabharwal, A.; Doost-Mohammady, R. A Deep Reinforcement Learning-Based Resource Scheduler for Massive MIMO Networks. IEEE Trans. Mach. Learn. Commun. Netw. 2023, 1, 242–257. [Google Scholar] [CrossRef]
Disclaimer/Publisher’s Note: The statements, opinions and data contained in all publications are solely those of the individual author(s) and contributor(s) and not of MDPI and/or the editor(s). MDPI and/or the editor(s) disclaim responsibility for any injury to people or property resulting from any ideas, methods, instructions or products referred to in the content. |
© 2024 by the authors. Licensee MDPI, Basel, Switzerland. This article is an open access article distributed under the terms and conditions of the Creative Commons Attribution (CC BY) license (https://creativecommons.org/licenses/by/4.0/).



















