Next Article in Journal
Online Odometry Calibration for Differential Drive Mobile Robots in Low Traction Conditions with Slippage
Next Article in Special Issue
Generating a Dataset for Semantic Segmentation of Vine Trunks in Vineyards Using Semi-Supervised Learning and Object Detection
Previous Article in Journal
Probability-Based Strategy for a Football Multi-Agent Autonomous Robot System
Previous Article in Special Issue
Robot Learning by Demonstration with Dynamic Parameterization of the Orientation: An Application to Agricultural Activities
 
 
Font Type:
Arial Georgia Verdana
Font Size:
Aa Aa Aa
Line Spacing:
Column Width:
Background:
Article

An Efficient Guiding Manager for Ground Mobile Robots in Agriculture

Centre for Automation and Robotics (UPM-CSIC), Arganda del Rey, 28500 Madrid, Spain
*
Author to whom correspondence should be addressed.
Robotics 2024, 13(1), 6; https://doi.org/10.3390/robotics13010006
Submission received: 23 November 2023 / Revised: 21 December 2023 / Accepted: 23 December 2023 / Published: 26 December 2023
(This article belongs to the Special Issue Robotics and AI for Precision Agriculture)

Abstract

:
Mobile robots have become increasingly important across various sectors and are now essential in agriculture due to their ability to navigate effectively and precisely in crop fields. Navigation involves the integration of several technologies, including robotics, control theory, computer vision, and artificial intelligence, among others. Challenges in robot navigation, particularly in agriculture, include mapping, localization, path planning, obstacle detection, and guiding control. Accurate mapping, localization, and obstacle detection are crucial for efficient navigation, while guiding the robotic system is essential to execute tasks accurately and for the safety of crops and the robot itself. Therefore, this study introduces a Guiding Manager for autonomous mobile robots specialized for laser-based weeding tools in agriculture. The focus is on the robot’s tracking, which combines a lateral controller, a spiral controller, and a linear speed controller to adjust to the different types of trajectories that are commonly followed in agricultural environments, such as straight lines and curves. The controllers have demonstrated their usefulness in different real work environments at different nominal speeds, validated on a tracked mobile platform with a width of about 1.48 m, in complex and varying field conditions including loose soil, stones, and humidity. The lateral controller presented an average absolute lateral error of approximately 0.076 m and an angular error of about 0.0418 rad, while the spiral controller presented an average absolute lateral error of about 0.12 m and an angular error of about 0.0103 rad, with a horizontal accuracy of about ±0.015 m and an angular accuracy of about ±0.009 rad, demonstrating its effectiveness in real farm tests.

1. Introduction

Mobile robots have become increasingly prevalent in our modern world, playing vital roles in various applications, from manufacturing [1] and logistics [2] to healthcare [3] and exploration [4], with paramount importance in agriculture [5] throughout the last decades. A fundamental aspect of a mobile robot’s functionality is its ability to navigate and maneuver effectively in its environment, and this capability hinges mainly on its steering mechanisms. In the context of mobile robots, navigation refers to how these machines control the vehicle’s position, speed, and attitude as a function of time [6]. Guidance denotes establishing the desired trajectory from the robot’s current position to a final position, including the desired changes in linear speed, angular speed, and associated accelerations for following the desired trajectory [7].
The navigation of mobile robots encompasses a wide range of technologies and techniques, drawing from disciplines such as robotics, control theory, computer vision, and artificial intelligence [8,9]. As mobile robots become more sophisticated and versatile, their navigation mechanisms continue to evolve, enabling them to operate autonomously and safely in a variety of environments and scenarios [10]. Effective guidance is crucial for deploying robots in economic sectors such as agriculture, which this article focuses on.
Critical challenges in robot navigation, in general, and particularly in agriculture, are mapping, localization, path planning, obstacle detection, and tracking control [11]. Building an accurate map of the environment (Mapping) is essential for navigation in an agricultural field; thus, robots must simultaneously map the environment while localizing themselves [12]. Creating and updating maps in real time can be challenging, especially in dynamic or unstructured environments; another challenge is Localization: robots must accurately determine their position within an environment to prevent navigation failures [13]. Localization methods often rely on sensors like Global Navigation Satellite System (GNSS) [14], LIDARs [15], or computer vision [16], and each has its advantages and limitations. GNSS solutions are preferred for agriculture in open fields where GNSS-denied areas are rare; however, denied areas are relatively common when navigating entire farms.
Once a robot knows its position and has a map of the environment, it needs to plan a safe and efficient path to its destination while considering various factors like terrain, obstacles, and the robot’s capabilities. The module responsible for finding a path is a Path Planner, generally associated with the Path Supervisor [17]. This module oversees the robot following the path defined by the planner and guarantees the fulfillment of the specifications, such as preventing collisions. The Planner generates the path according to the known obstacles, but new static and dynamic obstacles can appear in its environment. Therefore, robots need to perceive their surroundings accurately to detect obstacles and navigate around them. This involves challenges in sensor accuracy [18], occlusion handling [19], and the ability to distinguish between static and moving obstacles [20]. The Obstacle Detection System guarantees these activities. Finally, the robot needs a Tracking Controller to ensure an accurate following of the trajectory defined by the planner.
Controlling these two key aspects (planning and tracking) is challenging due to nonlinear robot dynamics, noise in perception systems, ground disturbances, and several unidentified parameters [21]. The developed methods include classic Proportional-Integral-Derivative (PID) methods [22], sliding mode controllers (SMC) [23], flatness-based algorithms, optimal linear-quadratic techniques [24], backstepping-based strategies [25], optimal preview controllers [26], and optimization-based methods [27].
Selecting an appropriate control algorithm can be challenging since the performance of different techniques can vary depending on the situation. In the last decade, several studies have compared different control methodologies. For instance, fuzzy controllers were compared with PID controllers in [28], several robust controllers were contrasted in [29], predictive methods were compared with Linear Quadratic methods in [30], the Linear Quadratic technique was confronted with the sliding mode in [31], and kinematic-based algorithms were studied in [32]. However, these studies did not reflect the performance of controllers in real-world situations with unexpected disturbances. In [33], the authors compared trajectory tracking controllers under disturbances and sensor noise, but they only reported the comparison of two flatness-based controllers.
In more recent work, Zhu et al. [34] developed a comparative study and validation of multiple control architectures of a small skid-steer mobile robot in an orchard. The study consisted of comparing a Proportional-Derivative (PD) controller with (i) a SMC controller, (ii) a Control Lyapunov Function (CFL), (iii) a Nonlinear Model Predictive Control (NMPC), (iv) a Tube-Based Nonlinear Model Predictive Control (TBNMPC), and (v) a Model Predictive Sliding Mode Control (MPSMC). It was shown that the SMC and TBNMPC controllers exhibited greater resilience against varying disruptions during both wide and narrow maneuvers. Moreover, the authors analyzed an Integral Absolute Error (IAE) that shows that the MPSMC had the overall lowest actuation effort; although it was only about 5% of an improvement compared to the PD controller. It should be noted that the authors use the same control laws to follow both straight and curved lines, and it is expected that the rest of the strategies will surpass the performance of the PD controller.
In summary, most comparative works are performed under controlled situations or in simulation and do not represent a viable solution, especially in applications in an agricultural domain where the environmental conditions and the configuration of the robotic system are highly variable. The experience with developing guidance controllers [35] and control architectures [36] indicates that classical solutions can solve the guidance problem in this type of condition and for the application studied in this work. Therefore, selection based on previous theoretical and experimental studies is advisable. Furthermore, the practical comparison is ineffective when selecting guiding algorithms for real robot applications due to time and cost.
This work presents an autonomous robot Guiding Manager for laser-based weeding in agriculture that encompasses a Local Planner and Supervisor, an Obstacle Detection System, and a Tracking Controller to guide the autonomous robot. The proposed approach was implemented on a mobile platform to configure a fully autonomous robot in charge of performing selective high-power laser treatment for weed control in maize, sugar beet, and wheat fields and was exhaustively validated in real operating conditions over 9 months in 3 different experimental farms. Thus, Section 2 presents the vehicle and sketches the Smart Navigation Manager that contains the Guiding Manager, which is given in Section 3. Section 4 describes the tests in a real farm to validate the algorithms in a specific agricultural task. Finally, Section 5 summarizes the results, and Section 6 presents the most relevant conclusions.

2. Materials and Methods

This study is a part of a comprehensive system that uses laser technologies for weeding in agriculture. The system consists of a powerful laser source that can generate 500 W of energy to eliminate weed meristems. An AI-based perception system helps to distinguish between weed and crop plants and locate the meristems of the weeds. Finally, a scanner is used to aim the laser beam at the meristems. These essential components are carried throughout the field onboard an autonomous robot. The overall system is supported by the information provided by IoT sensors and cloud communications for information exchange [37].
This section presents only the essential equipment on which the guiding system is built and validated. It is split into (i) the vehicle, a commercial mobile platform that has been adapted to carry a high-power laser system to selectively eliminate weeds, and (ii) the Smart Navigation Manager, which coordinates the different subsystems in the robot, specifically the Tracking Controllers that enable autonomous navigation.

2.1. The Vehicle

The vehicle used in this study uses a modification of the commercial Carob robot from Agreenculture (AGC), Toulouse, France, as the mobile platform. This robot uses a caterpillar-based platform, which enables it to operate as a skid-steer mechanism. The distance between the tracks can be adjusted to fit the crop-row space. It is powered by an engine and batteries, and it can move at a maximum speed of about 6 km/h. The robot has a high level of accuracy, ±0.015 m, and uses a Global Navigation Satellite System (GNSS). Specifically for this study, a Real-Time Kinematic (RTK) GNSS was used [37]. Figure 1a illustrates the Carob mobile platform and Figure 1b shows the final design for the operative autonomous robot, including the controller, the laser weeding tool, and the boxes for the laser sources and chillers. The mobile platform’s current characteristics are indicated in Table 1.
The mobile platform is trusted by two motors powered by a brushless generator equipped with a powerful, electronically controlled three-cylinder engine, whose engine speed is regulated according to the battery charge level and the task requirement. This battery has a battery management system to safely charge and discharge. The battery also provides electric energy for additional equipment: laser weeding tool, central controller, Internet of Things (IoT) devices, and Smart Navigation Manager (SNM).

2.2. Smart Navigation Manager

The Smart Navigation Manager (SNM) focuses on providing navigation in agricultural scenarios and comprises the Guiding Manager and the Smart Operation Manager. The Guiding Manager specifically takes care of the algorithms that compose the Local Mission Planner and Supervisor, the Obstacle Detection System, and the Tracking Controllers (Figure 2). It runs on a high-performance industrial computer with the characteristics indicated in Table 2 (Figure 3). The Smart Operation Manager, which is the module that acquires processes and delivers information based on cloud computing technology, and communicates with the rest of the modules, falls out of the scope of this study.
The Guiding Manager uses the Robot Operative System (ROS) [38] as a middleware since it is a common communication framework widely used by software designers to build robot applications. ROS is used as a meta-operating tool for testing the prototype and has interfaces to communicate with the components outlined below:
  • The robot;
  • The sensor system;
  • The agricultural tools.
ROS’s versatile publisher/subscriber communication model enables message adaptation for IoT, such as Queuing Telemetry Transportation (MQTT). Therefore, ROS is allocated inside the central controller, which works as a master for the other components communicating with the central controller. ROS can use the Future Internet Ware (FIWARE) [39], a curated framework of open-source platform components to accelerate the development of Smart Solutions; this is fostered by the European Union.

3. The Guiding Manager

This work focuses on the description and assessment of the Guiding Manager, which consists of the Local Planner and Local Supervisor, the Obstacle Detection System, and the Steering Controller.

3.1. Local Planner and Supervisor

These modules allow the development of a mission to be planned and supervised locally at a robot level. Given a user-defined mission or command, this module defines how to achieve (execute) that command. It considers the robot’s current position and the command’s final objective (including the intermediate goals that constitute the mission) and calculates the appropriate trajectories and behaviors to achieve the final point. This module integrates both absolute localization (through GNSS) and relative localization (odometry), and from the planning and navigation point of view, the system decides to use one localization method or the other on its own.
Within local planning, two fundamental strategies were developed:
  • GoToGoal: This is used to reach any robot’s position and orientation given an initial robot’s position and orientation. This planner is based on the Dubins Paths [40], which is a highly used strategy in open environments where only a few obstacles are present, as in the case of agriculture. Furthermore, it is a simple and optimal strategy to implement when connecting any two points with predefined orientations, which is key in the agricultural environment, where vehicles can be significant in size and not be able to rotate on their own axis. These paths are the most efficient trajectories for linking an initial location (xi, yi, αi) and a final location (xf, yf, αf) within the two-dimensional Euclidean plane (specifically, the x-y plane). These trajectories are subject to limitations on their curvature (maximum curvature constraints); they demand specified initial, αi, and final, αf, orientations and assume that the vehicle navigating these routes can exclusively move forward (Figure 4). Grid-based methods [41], cell decomposition [42], or potential fields [43] are other strategies that have been evaluated in agricultural environments to define point-to-point trajectories; they are especially implemented in small robots. Factors such as (i) high memory consumption to build the grid maps, (ii) discretization issues that can lead to insufficient precision in path planning, and (iii) their complexity with irregular shapes and dynamic environments are some of the drawbacks due to which these strategies were discarded.
  • LineFollowing: This is used to reach a point aligned to the current robot position and orientation following a straight line.
The trajectories generated by both planners are executed mainly by three main controllers (Lateral Controller, Spiral Controller, and Linear Speed Controller) detailed in the Tracking Controller section.
The tasks performed by the robot are mainly of two types: Approximation and Treatment. The development of these tasks is made up of the concatenation of the two planners (GoToGoal and LineFollowing). The supervisor defines which planner should be activated and is guided according to the task performance. Additionally, the supervisor monitors the task execution and reports malfunctions to the operator. Figure 5 presents the state diagram of the execution of the Treatment task, and Figure 6 shows the diagram of the execution of the Approximation task. Since the robot does not have sensors in the rear part, it is essential to avoid maneuvers that require moving backward; therefore, the turns to change crop rows in the field will be executed using the GoToGoal planner.

3.2. Obstacle Detection System

Given the vehicle’s characteristics and the application for which it is designed, only forward movement has been enabled. In this case, it is only necessary to have an obstacle detection system in the front part of the robot. Therefore, a LIDAR is used as the main sensor for obstacle detection. It is located in the front of the robot, just above the safety bumper (Figure 7). The LIDAR comprises 4 layers (light beams) with a separation of 2.5 degrees between them. The LIDAR has been arranged and flipped with a clearance of almost half a meter from the ground so that most of the light beams have contact with the ground and obstacles (Figure 7). For obstacle detection, only layer 1 is used to identify the obstacles. This arrangement allows the obstacle defined in the ISO 18497:2018 [44] standard to be detected (Figure 7).
For the LIDAR point cloud filtering, an open-access library [45] was integrated within the Guiding Manager, which returns the positions of the obstacles and classifies them in circles or segments. This strategy has proven itself to be very useful given that for this application, as indicated above, the use of common approaches such as occupational grids or potential fields were discarded. Therefore, a strategy was required to represent the detected obstacles in such a way that trajectories based on Dubin’s curves could be generated to avoid them.
Within the obstacle detection system, there are two main behaviors that the robot can perform based on the position of the obstacle concerning the robot (Figure 8):
  • Avoid collision: The robot stops while there is an obstacle in the critical safety area.
  • Avoid obstacle: If the robot is following a path and an obstacle is detected in the robot’s warning area, a trajectory re-planning procedure is activated, and an intermediate point is generated to avoid the obstacle. This procedure is not applied if the robot is in a crop field to prevent stepping on the crop plants. The safety areas’ size depends on the robot’s nominal speed (Figure 7).
Regarding the methodology for avoiding obstacles, a trajectory planner is integrated to compute intermediate points in the planned trajectory if an obstacle is detected within the warning zone and on the robot’s trajectory. This trajectory planner takes advantage of the GoToGoal planner, which, as previously indicated, is based on Dubins’ paths. This guarantees that the shortest path between two points in an Euclidean plane can be established by concatenating arcs of a given radius and tangent straight lines.
During the missions, circumferences of equal and pre-defined radii are consistently applied to create the arcs. Since only the minimum robot turning radius is considered, the paths are always the shortest possible. Nonetheless, the variation in radius occurs when obstacles are detected (Figure 8). When the obstacle detector provides the position and radius of a new obstacle in the collision range (warning area), a new waypoint for the path is entered into the calculation loop. If the obstacle is small enough, it will be represented by a Dubin’s circle equal to the radius of the obstacle plus a safety margin. If the obstacle is more significant, it will be represented by a straight segment defined by two ends. It is evaluated through which end of the path is shorter, applying a circle of radius equal to the robot’s minimum turning radius plus the safety margin. After avoiding the obstacle, the original goal point is recovered, continuing the path.
Figure 8. Obstacle avoidance. (a) A trajectory avoiding a small obstacle; (b) a trajectory avoiding a large obstacle.
Figure 8. Obstacle avoidance. (a) A trajectory avoiding a small obstacle; (b) a trajectory avoiding a large obstacle.
Robotics 13 00006 g008

3.3. Tracking Controller

This module controls the mobile platform to track the trajectory computed by the Local Planner. Corrections to the platform’s trajectory are based on the difference between the desired position and orientation (pose) calculated by the Local Planner and the current platform’s pose, given by the GNSS.
Given that the two commonly followed trajectories in agricultural environments are straight lines and turns, the development of strategies oriented to the specific guidance of these trajectories is proposed. Therefore, three control laws were implemented: (a) Lateral Controller for straight paths, (b) Spiral Controller for curved paths, and (c) Linear Speed Controller for smoothing both (i) the start of guidance and (ii) the reaching the target point (Figure 9). Each control law was implemented to execute the different types of planning.

3.3.1. Lateral Controller

The lateral controller tries to bring the robot to the desired trajectory in position and orientation and move it at the desired speed, vd, when the trajectory is achieved. To do this, the control law minimizes the distance, dt, from the control point to the desired trajectory and the angle between the actual and desired trajectories, ϕ, using a classic proportional-derivative (PD) controller in two variables: angular error (ϕ) and lateral error (dt). The robot’s control point, CP, is located outside the robot’s body to facilitate its alignment with the desired trajectory (Figure 9). The calculated variables are the robot’s angular speed around the z-axis, ωs, and the robot’s linear speed along the x-axis, ls. The established control laws are as follows (Figure 9):
ω s = K ϕ ϕ + d i r K P d d t + d i r K D d d t
l s = K v v d c o s ( K ω ω s )
That is, ws is proportional to ϕ and dt, where Kϕ and KPd are the proportional gains, respectively. dir is a parameter that depends on whether CP is on the left (dir = −1) or on the right (dir = 1) of the desired trajectory. Moreover, ∆dt represents the variation of dt between two consecutive time instants, and KDd represents the derivative gain.
ls is proportional to vd, where Kv is the proportional gain, and the term c o s (   K r a   ω s ) adapts ls to ws. That is, when ws is high, ls is decreased and vice versa, in a similar way to how car drivers behave. Kw also helps in tuning the proportional controller.
The control parameters were tuned empirically, adjusting the convergence times and minimizing the error in both control variables. The experiments were conducted from the threshold speed of the moving platform (0.1 m/s) to the maximum speed allowed by the ground conditions and the mechanical stiffness of the moving platform (0.8 m/s).

3.3.2. Spiral Controller

One of the frequent maneuvers carried out by autonomous robots when navigating crop fields is rotation, which can appear when tracking a trajectory or performing a U-turn at the end of a row to face the next. In this study, the controller proposed by [46], based on a previous study by Boyadzhiev, 1999 [47], was adapted to enable the robot to follow circles. This algorithm uses a spiral curve as a general solution for robot turns. As a circle is a spiral with specific parameters, this solution is applicable for generating the circles in the Dubins’ trajectories or circle U-turns. Spirals have demonstrated their value in path-planning tasks because their curvature changes proportionally along their arc length and have been used to generate continuous-curvature paths [48,49]. Although only a few applications have been given to them as control laws for tracking curvatures [50], they can serve as a general solution acting as a control algorithm for the curvatures in the Dubins’ path.
This method relies on the fact that a spiral is described as a trajectory followed by a point Op moving on a plane concerning an invariant point Os, spiral center (Figure 10). Suppose v is the velocity vector of Op, (v is tangent to the spiral trajectory) whose norm is represented as v(t). In this case, d is the vector linking Os to Op with the norm d(t), and α(t) is the angle from v to d, then when v(t) and α(t) are constants (i.e., v(t) = vc and α(t) = αc), Op describes a spiral centered in Os.
Therefore, a spiral is defined by an αc and a given d(0). The spiral behaves as follows:
If 0 < αc < π, Op moves counter-clockwise concerning Os.
If −π < αc < 0, Op moves clockwise.
If 0 ≤ αc < π/2 or −π/2 ≤ αc < 0, d(t) diminishes with time (Figure 10a), i.e., Op describes an inward spiral around Os.
If π/2 < αc ≤ π or −π ≤ αc < −π/2, d(t) increases with time (Figure 10b), i.e., Op describes an outward spiral around Os.
If αc = π/2 or αc = −π/2, d(t) = d(0), Op moves in a circle of radius d(0) around Os.
A method to follow a spiral involves creating a controller that guides the angle α(t) towards a desired angle αd. The value of αd determines whether the spiral is inward, outward, or circular. Once the robot has reached the spiral, it can either increase, decrease, or maintain its distance d(t) from the center of the spiral.
To build this controller, a constant desired linear velocity, v(t) = vd, was imposed. Thus, the error is given as follows:
e t = α t α d .
Computing e ˙ t
e ˙ t = α ˙ t
From Figure 11, the relationship between the rotation angle (θ) and the angle of the robot with respect to the fixed reference system (β) is obtained:
α t = π θ t + β ( t )
Then
α ˙ t = θ ˙ ( t ) + β ˙
where θ ˙ t is the robot’s angular speed, ω t , and β ˙ (t) is the angular speed of d, which is calculated by
β ˙ t = v p d ( t ) d ( t )
where   v p d is the v(t) component perpendicular to d (Figure 11), i.e.,
β ˙ t = v ( t ) d ( t ) sin α ( t )
Finally, Equation (4) becomes
e ˙ t = ω t + v ( t ) d ( t ) sin α ( t )
Therefore, e ˙ t depends on v(t) and ω(t). However, v(t) is constant and known. Thus, the controller will focus only on controlling ω(t), i.e.,
ω t = e ˙ t + v ( t ) d ( t ) sin α ( t )
Moreover, to make the error e(t) null, a controller proportional is defined. Thus, it follows that
ω t = λ e t + v ( t ) d ( t ) sin α ( t )
This controller allows the robot to follow any spiral or circumference (different turning radius). In this case study, various turning radii were evaluated (between 0.75 m and 2 m), depending on the space available to make U-turns at the headlands of the crop fields. Moreover, for each mission, a predetermined turning radius was defined, which allows a minimum turn with adequate platform behavior. It should be noted that for a skid-steer platform to rotate about a designated center, it is necessary to select the angular and linear velocities. To always have both tracks moving forward, the turning radius must be greater than the distance between tracks. This behavior has been defined as desired to minimize the damage caused to the ground by tracks. Therefore, the nominal turning radius selection was determined based on the smooth behavior of the platform while turning and the available turning space.

3.3.3. Linear Speed Controller

A linear speed controller is required to accelerate/decelerate the robot. A minimum threshold speed, vth, was defined to stop the mobile platform without abrupt and fast maneuvers. Therefore, this controller calculates a linear speed profile from vth to the desired final speed, vd, when accelerating and a linear speed profile from the current speed, vc, up to vth when decelerating. After reaching vth, the robot is ordered to stop. Figure 12 illustrates the process when the robot must stop at xs. The braking distance, db, is the space the robot must travel to get vth. It can be a fixed distance or a function of vc. This simple controller is satisfactory for achieving proper linear speed features.

4. Testing the Guiding Manager

Several tests were conducted to validate the controllers and the implemented architecture from January to September 2023. The main tests were carried out in an experimental farm setup at the Centre for Automation and Robotics (CAR) in Madrid, Spain (40°18′45.166″ N, −3°28′51.096″ W). This experimental farm consists of a set of roads connecting the farm’s diverse elements, including buildings and crop fields (Figure 13). To represent relevant field conditions, nine fields were configured, each with dimensions of approximately 20 m × 20 m, with headlands to perform the U-turns to change the crop rows of roughly 5 m. These fields were seeded with different crops, including maize, sugar beets, and wheat.
Moreover, during August 2023, further tests were carried out in two other experimental fields: (i) research facility Højbakkegaard (12°17′59.624″ N, 55°40′11.389″ W), belonging to the University of Copenhagen, in Taastrup, Denmark, during 17 and 18 August; and (ii) the farm Van den Borne Aardappelen, belonging to Van den Borne (5°10′32.241″ N, 51°19′12.298″ W), in Reusel, The Netherlands, during 23–26 August. In the farm in Denmark, two fields of approximately 40 m × 9 m were set up, one field seeded with maize and the second with sugar beet. On the other hand, on the farm in The Netherlands, two fields of maize and sugar beet were planted, with the first measuring roughly 37 m × 9 m and the second measuring about 37 m × 6 m.
The tests consisted of the robot executing a mission composed mainly of the abovementioned parts: (i) field Approximation and (ii) field Treatment. In the Approximation stage, the robot started in some part of the farm, ordinarily close to the crop fields, and had to follow a set of geographical waypoints previously defined that allowed it to reach the beginning of the crop field. In some cases, these waypoints followed both dirt and asphalt roads. In certain situations, the terrain varied significantly: the experimental site in Spain had loose, stone-filled soil, while the fields in Denmark and The Netherlands were actual farms, offering more favorable ground conditions for the controllers. Additionally, humidity levels varied across different test scenarios, particularly during the experiments conducted in The Netherlands. Unfortunately, these soil conditions were not recorded, so in the analysis of the tests, it is impossible to carry out a characterization. Figure 14a presents an example of the robot path executing an Approximation task, which consists of reaching the starting point of the crop field. Moreover, Figure 14b gives the corresponding lateral errors of the tracking action associated with both the Lateral and Spiral Controllers.
On the other hand, the Treatment part represented the robot’s navigation in the crop field while performing some action/treatment. The positions of each crop row were known a priori, so a treatment map with complete coverage of the field was created, ensuring crop safety. Figure 15a presents an example of the robot path following a Treatment planning, which consists of 6 passes through the field, and their respective U-turns. Moreover, Figure 15b presents the corresponding lateral errors of each pass associated with the lateral controller.
In this case study, the treatment corresponds to selective weed management through the use of a targeted high-power laser. In some tests, the high-power laser system was active and executing treatment. However, in most tests, the robot navigated without the high-power laser system being operational. In all tests, the robot carried the laser weeding tool (Figure 1).
In both parts of the mission execution, the GoToGoal and the LineFollowing planners were used, depending on the robot’s task. During the Approximation stage, the following of the roads was mainly executed by the LineFollowing planner, even though the paths were not necessarily all straight. This is dependent on the condition that the lateral controller can adjust the robot’s position if the trajectory does not represent tight turns. On the other hand, in the presence of considerable changes in direction, which can be from 45 degrees, the GoToGoal planner was used. The nominal linear speed of the robot varied from 0.1 m/s to 0.8 m/s, depending on the different tests of the high-power laser system. In the turns, the robot was defined to go at a maximum linear speed of about 0.2 m/s.
The missions carried out included both approximation and treatment. Only missions with at least three passes or crossings through the crop field were selected, so 66 missions were analyzed. These missions correspond to a total operation time of approximately 13.4 h, with an average mission time of about 12 min. The total distance traveled by the robot in those 66 missions was about 9.3 km, where the LineFollowing planner was active, approximately 7.2 km, corresponding to 411 situations. In contrast, the GoToGoal planner only navigated about 2.08 km, related to 316 situations. This is mainly because the missions focused on navigation within the field. Therefore, the situations where the LineFollowing planner was activated corresponded to longer trajectories compared to short-turn trajectories planned by the GoToGoal planner. Furthermore, based on the characteristics of the robot and the weeding tool, which had a treatment width of about 1 m, the robot carried out navigation, performing treatment in 1 ha in total.

5. Results

To evaluate the performance of the controllers, three main measurements were executed:
  • The error when reaching the Goal Point (waypoint).
  • The average lateral error during the following of the planned trajectory.
  • The average angular error during the following of the planned trajectory.
The results obtained from these three indicators include the lateral, spiral, and speed controllers, which are presented as below.

5.1. Reach Error Results

As indicated above, the error obtained by the controllers when reaching the target point (Goal Point) was analyzed. In this case, the absolute reach error is defined as the Euclidean distance between the Goal Point and the longitudinal robot’s axis, xr (Figure 11). Moreover, in this case, the spiral and lateral controllers affect the error measurement of the linear speed controller, so the analysis is carried out jointly.
As indicated above, the robot’s localization system was based on GPS-RTK; its horizontal accuracy was about ±0.015 m, and its refresh frequency was around 10 Hz. These characteristics can affect the performance of the controllers in adequately identifying whether the Goal Point has been reached. Therefore, to maintain the robustness of the controllers, a parameter named distance threshold was defined, with a value of 0.05 m, slightly more than double the standard deviation of the localization system. This means that if a measured error was within this distance threshold, and the robot was behind the target point, this situation was defined as the target point reached. On the other hand, if the robot exceeds (passes over) the target point, the target point reached situation is automatically activated. Unfortunately, it could not be recorded every time the robot reached the Goal Point, whether it passed or was within that range.

5.1.1. Reach Error of the Lateral Controller

Figure 16a presents the histogram of the absolute error in all situations where the robot reaches its goal while following a linear path. In 8.3% of the cases, the absolute error was greater than 0.5 m. This is mainly because, in the tests carried out in some situations, the robot stopped because it was necessary for an operator to approach the robot or because the mission was aborted. By eliminating situations where the controller did not complete the LineFollowing task, the absolute error in 44.4% of situations was less than 0.05 m, which corresponds precisely with the distance threshold. Moreover, in 73.1% of situations, the absolute error was less than 0.1 m. Even if the robot stops a few centimeters before or after the end of the crop line, it does not considerably affect the execution of the mission and the treatment. It should also be noted that these measurements were made while many other tests were performed on the robot, including tests to evaluate the high-power laser. During these tests, a mean reach error of approximately 0.09 m was achieved, with a horizontal accuracy of ±0.02 m.
Figure 16b presents a graph of the error concerning the nominal speed of the robot. The nominal speed is the maximum desired speed when following linear trajectories. In this box and whisker plot, the average error values for all speeds are below 0.1 m, most of which are close to 0.05 m. This means that regardless of the defined nominal speed, the linear speed controller effectively reduced the robot’s speed to get as close as possible to the target point. It should also be noted that the most significant errors are found between the nominal speeds of 0.4 m/s and 0.5 m/s, which correspond to 53.5% of the analyzed situations, given that this is the speed range desired by the high-power laser system to be profitable.

5.1.2. Reach Error of the Spiral Controller

Figure 17 presents the histogram of the absolute error in all situations where the robot reaches its goal while performing a turn, i.e., following a spiral. In 3.2% of the cases, the absolute error was greater than 1 m. This situation is similar to the one presented above. In some situations, the robot stopped either because it was necessary for an operator to approach the robot or because the mission was aborted. Moreover, in 20% of the situations, the controller stopped the robot at a distance between 0.5 m and 1 m from the goal point. These situations were expected since the controller sought to reach not only the target position but also the target orientation. The controller was defined so that it takes higher priority to arrive at the desired orientation even if the robot is far from the target. This means the robot reaches the target at an error distance of less than 0.5 m for 76.8% of the cases. For this controller, this is a splendid result, considering the robot’s dimensions. During these tests, a mean reach error of approximately 0.5 m was achieved, with a horizontal accuracy of ±0.02 m. This result contrasts considerably concerning the Lateral Controller, given that the execution of turns using a tracked robot in complex terrain conditions (presence of stones, loose or wet terrain, etc.) can generate this discrepancy without considering the robot’s dynamic model. In any case, these results were more than sufficient for the robot’s intended navigation capabilities.

5.2. Lateral Error Results

Another important indicator to evaluate the performance of the controllers, in particular the Lateral Controller and the Spiral Controller, is the lateral error in following the planned trajectory. At each instant of control time, i.e., when a new position value was obtained, the lateral error was calculated, which is one of the primary control variables of the presented controllers. Therefore, the lateral error is defined as the perpendicular distance between the robot and the trajectory point closest to the robot.

5.2.1. Lateral Error of the Lateral Controller

Figure 18a presents the histogram of the absolute lateral error in all situations where the robot follows a linear path. In this case, the average error of the complete trajectory is calculated each time a line has to be followed as a path. In 8.3% of the cases, the mean lateral error was higher than 0.5 m. This percentage coincides with the previous percentage of the reaching point error due to other factors unrelated to the development of the mission.
By eliminating those situations where the controller did not finish the following task, in 70% of the cases, the absolute error was less than 0.06 m. Moreover, in 79% of the situations, the absolute error was less than 0.09 m. It should be noted that this corresponds to the absolute lateral error. The situations where the error is greater is when the robot performs the maneuver to enter the crop lines, as illustrated in Figure 16a, where after the beginning of the row following (after 20% of the path), 48% of the situations the absolute error is less than 0.03 m, while only the 17% of the situations the lateral error was below 0.03 m at the beginning of the mission. During these tests, a mean lateral error of approximately 0.076 m was achieved, with a horizontal accuracy of ±0.02 m. Moreover, Figure 18b presents a graph of the lateral error concerning the nominal speed of the robot. This box and whisker plot represent a similar graph to the graph of the mean reach error concerning the nominal speed. Therefore, it should be noted that the error in reaching the Goal Point could correspond more to a lateral error than to a longitudinal error.

5.2.2. Lateral Error of the Spiral Controller

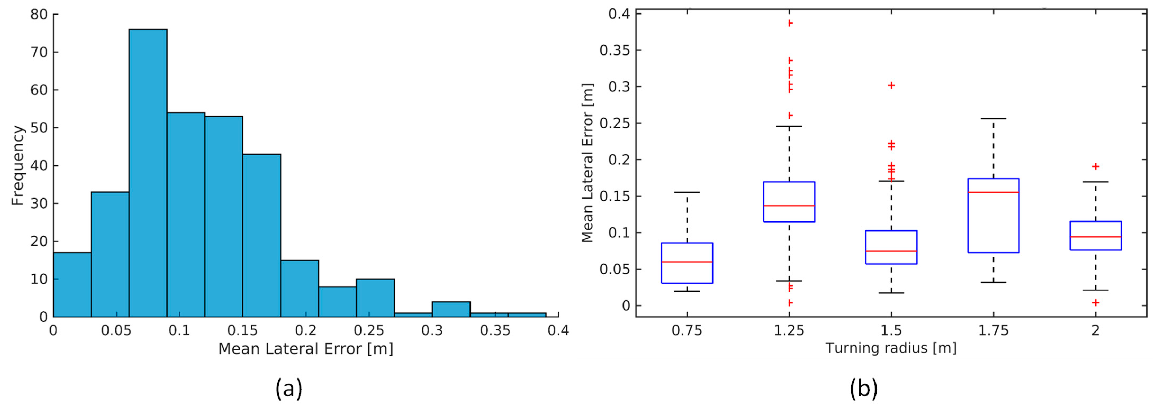
In the case of lateral error following the spirals, in 90.8% of the situations, the controller could keep the robot at a distance less than 0.2 m of the desired turning radius (Figure 19a). Considering that the robot’s width is 1.48 m, maintaining a distance of 0.2 m when turning is more than satisfactory. An average of 0.12 m lateral error was obtained following the circle, with a horizontal accuracy of ±0.02 m. Moreover, Figure 19b presents the averages of lateral errors achieved for different turning radii. These results demonstrate that the controller can adapt to different turning radii.

5.3. Angular Error Results

The angular error refers to the difference of the robot’s orientation vector (yaw angle) concerning the direction of the trajectory. Straight trajectories refer to the orientation in the Cartesian XY plane of the Goal Point, while spiral trajectories are the error between the orientation of the robot and the desired angle of rotation. In all tests, the spirals were configured with α = π; therefore, they represented circles.

5.3.1. Angular Error of the Lateral Controller following a Straight Path

Figure 20a presents the histogram of the lateral error in all situations where the robot follows a straight path. Based on these data, a mean error of about −0.0033 rad was achieved, with a variance of about 0.0034 rad2.

5.3.2. Angular Error of the Lateral Controller following a Spiral Path

Figure 20b presents the histogram of the lateral error in all situations where the robot follows a spiral path. A mean absolute error of about 0.0103 rad was achieved, with a variance of approximately 0.000035829 rad2. In this case, the spiral controller presented a more stable behavior than the lateral controller, maintaining the rotation angle.

6. Conclusions

Control and guidance systems are essential elements of mobile robots for outdoor environments, particularly for agricultural landscapes, where ground conditions may be unfavorable due to rugged terrain, loose soil, excessive moisture, and stones, among other factors. This work presents a guidance manager based on a control architecture that allows the supervision of various controllers for tracking outdoor trajectories. The controllers developed mainly focus on straight and spiral trajectories separately, with the main purpose of enabling the autonomous navigation of a mobile platform that carries a specialized tool for selectively treating weeds using a high-power laser. The controllers are based on PID control laws that seek to always maintain not only the position of the robotic platform on the path but also its proper orientation, maintaining its integrity; this is especially essential for navigation in crop fields. The controllers were evaluated intensively over nine months, between January and September 2023, with a cumulative distance traveled of about 9.3 km and a total accumulated operating time of approximately 13.4 h, on different farms in Spain, Denmark, and Holland, thus demonstrating its ability to adapt to different scenarios, terrain, and situations.
The controllers were evaluated taking into consideration three key performance indicators: (1) the error in reaching the target point, (2) the average lateral error, and (3) the average angular error in tracking trajectories. For the first, both the lateral and spiral controllers affected the target’s reach error in conjunction with the linear speed controller. Therefore, the analysis was carried out together, obtaining a mean total error of about 0.09 m for the lateral controller and 0.5 m for the spiral controller. On the other hand, regarding the lateral error, a mean total error of approximately 0.076 m was obtained with the lateral controller, and a mean error of about 0.12 m for the spiral controller. Based on these tests, it is clear that the spiral controller performed worse than the linear controller, which is basically generated by the complex terrain conditions when making such tight turns that, in some cases, the turning radius was equal to or less than half the width of the robot. It was shown that the performance of the spiral controller was not affected by the desired turning radius but that this controller, like the lateral controller, was configured to prioritize maintaining the robot’s orientation (minimizing the angular error) by penalizing the lateral error. Therefore, the analysis of the angular error yielded excellent results.
It is important to emphasize that the decision to prioritize the minimization of the angular error is due to keeping the high-power laser tool aligned to the crop lines to perform an effective treatment. This tool can adjust the lateral displacement of the targeting system, so maintaining the orientation of the robotic system as a whole was essential. Moreover, during all the tests, different soil conditions were encountered, including loose, sandy soil heavily littered with stones, like in the experimental farm in Spain, or rain-wet ground, as the farm in The Netherlands. Although different ground situations were experienced, no significant effects were observed on the performance of the controllers. In future work, it is necessary to continue validating these controllers and implement a system capable of identifying and recording soil conditions in real-time to carry out a more exhaustive analysis.
Like any PID-based controller, the main disadvantage observed in the proposed approach is tuning the control constants. This depends on the mobile platform used, and in some cases, it is necessary to adjust them for different ranges of nominal speeds. As a primary future work, it is necessary to continue validating these controllers on diverse mobile platforms with different morphologies. Moreover, the robot’s controllers could be fine-tuned to enable different behaviors based on its location and the tool it uses, for example, prioritizing the reduction of lateral error in road following or when the carried implement is incapable of adjusting the lateral displacement of the tool. This requires a controller supervisor to identify these situations and configure the controllers in real time. This ability to automatically select such constants to define specific behaviors is another line of research. Furthermore, it would be necessary in future work to evaluate the performance in the change of controllers when the robot goes from tracking a straight line to a curve path.

Author Contributions

Conceptualization, L.E.; methodology, L.E.; software, L.E.; validation, L.E.; formal analysis, L.E., R.F. and P.G.-d.-S.; investigation, L.E., R.F. and P.G.-d.-S.; resources, R.F. and P.G.-d.-S. Data curation, L.E. and P.G.-d.-S.; writing—original draft preparation, L.E. and P.G.-d.-S.; writing—review and editing, L.E., R.F. and P.G.-d.-S.; visualization, L.E., R.F. and P.G.-d.-S.; supervision, R.F. and P.G.-d.-S.; project administration, P.G.-d.-S.; funding acquisition, P.G.-d.-S. All authors have read and agreed to the published version of the manuscript.

Funding

This article is part of a project that has received funding from the European Union’s Horizon 2020 research and innovation program under grant agreement No. 101000256.

Data Availability Statement

The data presented in this study is openly available in DIGITAL.CSIC at https://doi.org/10.20350/digitalCSIC/15710 (accessed on 22 December 2023), in the repository named “WeLASER robot logs executing various missions between January and September 2023”.

Conflicts of Interest

The authors were employed by the Spanish National Research Council (CSIC).

References

  1. Li, M.; Milojević, A.; Handroos, H. Robotics in Manufacturing—The Past and the Present. In Technical, Economic and Societal Effects of Manufacturing 4.0: Automation, Adaption and Manufacturing in Finland and beyond; Collan, M., Michelsen, K.-E., Eds.; Springer International Publishing: Cham, Switzerland, 2020; pp. 85–95. ISBN 978-3-030-46103-4. [Google Scholar]
  2. Yu, W.P.; Lee, Y.C.; Kim, D.H. Technical Trends of Robot Task Intelligence in Intelligent Logistics/Agriculture. Electron. Telecommun. Trends 2021, 36, 22–31. [Google Scholar] [CrossRef]
  3. Yakub, F.; Khudzari, A.Z.M.; Mori, Y. Recent trends for practical rehabilitation robotics, current challenges and the future. Int. J. Rehabil. Res. 2014, 37, 9. [Google Scholar] [CrossRef] [PubMed]
  4. Quattrini Li, A. Exploration and Mapping with Groups of Robots: Recent Trends. Curr. Robot. Rep. 2020, 1, 227–237. [Google Scholar] [CrossRef]
  5. Oliveira, L.F.P.; Moreira, A.P.; Silva, M.F. Advances in Agriculture Robotics: A State-of-the-Art Review and Challenges Ahead. Robotics 2021, 10, 52. [Google Scholar] [CrossRef]
  6. Desouza, G.N.; Kak, A.C. Vision for mobile robot navigation: A survey. IEEE Trans. Pattern Anal. Mach. Intell. 2002, 24, 237–267. [Google Scholar] [CrossRef]
  7. Zhang, H.; Lin, W.; Chen, A. Path Planning for the Mobile Robot: A Review. Symmetry 2018, 10, 450. [Google Scholar] [CrossRef]
  8. Manzanilla, A.; Reyes, S.; Garcia, M.; Mercado, D.; Lozano, R. Autonomous Navigation for Unmanned Underwater Vehicles: Real-Time Experiments Using Computer Vision. IEEE Robot. Autom. Lett. 2019, 4, 1351–1356. [Google Scholar] [CrossRef]
  9. Schneider, H. Navigation Map-Based Artificial Intelligence. AI 2022, 3, 434–464. [Google Scholar] [CrossRef]
  10. Xie, B.; Jin, Y.; Faheem, M.; Gao, W.; Liu, J.; Jiang, H.; Cai, L.; Li, Y. Research progress of autonomous navigation technology for multi-agricultural scenes. Comput. Electron. Agric. 2023, 211, 107963. [Google Scholar] [CrossRef]
  11. Laghmara, H.; Boudali, M.-T.; Laurain, T.; Ledy, J.; Orjuela, R.; Lauffenburger, J.-P.; Basset, M. Obstacle Avoidance, Path Planning and Control for Autonomous Vehicles. In Proceedings of the 2019 IEEE Intelligent Vehicles Symposium (IV), Paris, France, 9–12 June 2019; pp. 529–534. [Google Scholar]
  12. Gao, X.; Li, J.; Fan, L.; Zhou, Q.; Yin, K.; Wang, J.; Song, C.; Huang, L.; Wang, Z. Review of Wheeled Mobile Robots’ Navigation Problems and Application Prospects in Agriculture. IEEE Access 2018, 6, 49248–49268. [Google Scholar] [CrossRef]
  13. Debeunne, C.; Vivet, D. A Review of Visual-LiDAR Fusion based Simultaneous Localization and Mapping. Sensors 2020, 20, 2068. [Google Scholar] [CrossRef]
  14. Rovira-Más, F.; Chatterjee, I.; Sáiz-Rubio, V. The role of GNSS in the navigation strategies of cost-effective agricultural robots. Comput. Electron. Agric. 2015, 112, 172–183. [Google Scholar] [CrossRef]
  15. Cheng, Y.; Wang, G.Y. Mobile robot navigation based on lidar. In Proceedings of the 2018 Chinese Control and Decision Conference (CCDC), Shenyang, China, 9–11 June 2018; pp. 1243–1246. [Google Scholar]
  16. Bernstein, A.V.; Burnaev, E.V.; Kachan, O.N. Reinforcement Learning for Computer Vision and Robot Navigation. In Proceedings of the Machine Learning and Data Mining in Pattern Recognition; Perner, P., Ed.; Springer International Publishing: Cham, Switzerland, 2018; pp. 258–272. [Google Scholar]
  17. Gonzalez, A.G.C.; Alves, M.V.S.; Viana, G.S.; Carvalho, L.K.; Basilio, J.C. Supervisory Control-Based Navigation Architecture: A New Framework for Autonomous Robots in Industry 4.0 Environments. IEEE Trans. Ind. Inform. 2018, 14, 1732–1743. [Google Scholar] [CrossRef]
  18. Almasri, M.; Elleithy, K.; Alajlan, A. Sensor Fusion Based Model for Collision Free Mobile Robot Navigation. Sensors 2016, 16, 24. [Google Scholar] [CrossRef] [PubMed]
  19. Ryu, H.; Yoon, M.; Park, D.; Yoon, S.-E. Confidence-Based Robot Navigation Under Sensor Occlusion with Deep Reinforcement Learning. In Proceedings of the 2022 International Conference on Robotics and Automation (ICRA), Philadelphia, PA, USA, 23–27 May 2022; pp. 8231–8237. [Google Scholar]
  20. Jian, Z.; Yan, Z.; Lei, X.; Lu, Z.; Lan, B.; Wang, X.; Liang, B. Dynamic Control Barrier Function-based Model Predictive Control to Safety-Critical Obstacle-Avoidance of Mobile Robot. In Proceedings of the 2023 International Conference on Robotics and Automation (ICRA), London, UK, 29 May–2 June 2023. [Google Scholar] [CrossRef]
  21. Calzolari, D.; Schürmann, B.; Althoff, M. Comparison of trajectory tracking controllers for autonomous vehicles. In Proceedings of the 2017 IEEE 20th International Conference on Intelligent Transportation Systems (ITSC), Yokohama, Japan, 16–19 October 2017; pp. 1–8. [Google Scholar]
  22. Moshayedi, A.J.; Abbasi, A.; Liao, L.; Li, S. Path planning and trajectroy tracking of a mobile robot using bio-inspired optimization algorithms and PID control. In Proceedings of the 2019 IEEE International Conference on Computational Intelligence and Virtual Environments for Measurement Systems and Applications (CIVEMSA), Tianjin, China, 14–16 June 2019; pp. 1–6. [Google Scholar]
  23. Manceur, M.; Menhour, L. Higher order sliding mode controller for driving steering vehicle wheels: Tracking trajectory problem. In Proceedings of the 52nd IEEE Conference on Decision and Control, Firenze, Italy, 10–13 December 2013; pp. 3073–3078. [Google Scholar]
  24. Kim, D.; Kang, J.; Yi, K. Control strategy for high-speed autonomous driving in structured road. In Proceedings of the 14th International IEEE Conference on Intelligent Transportation Systems (ITSC), Washington, DC, USA, 5–7 October 2011; pp. 186–191. [Google Scholar]
  25. Guo, J.; Hu, P.; Wang, R. Nonlinear Coordinated Steering and Braking Control of Vision-Based Autonomous Vehicles in Emergency Obstacle Avoidance. IEEE Trans. Intell. Transp. Syst. 2016, 17, 3230–3240. [Google Scholar] [CrossRef]
  26. Sharp, R.S. Application of linear optimal preview control theory to severe braking of a car. Proc. Inst. Mech. Eng. Part C J. Mech. Eng. Sci. 2011, 225, 1097–1106. [Google Scholar] [CrossRef]
  27. Turri, V.; Carvalho, A.; Tseng, H.E.; Johansson, K.H.; Borrelli, F. Linear model predictive control for lane keeping and obstacle avoidance on low curvature roads. In Proceedings of the 16th International IEEE Conference on Intelligent Transportation Systems (ITSC 2013), The Hague, The Netherlands, 6–9 October 2013; pp. 378–383. [Google Scholar]
  28. Samuel, M.; Yahya, K.; Attar, H.; Amer, A.; Mohamed, M.; Badmos, T.A. Evaluating the Performance of Fuzzy-PID Control for Lane Recognition and Lane-Keeping in Vehicle Simulations. Electronics 2023, 12, 724. [Google Scholar] [CrossRef]
  29. Tagne, G.; Talj, R.; Charara, A. Design and Comparison of Robust Nonlinear Controllers for the Lateral Dynamics of Intelligent Vehicles. IEEE Trans. Intell. Transp. Syst. 2016, 17, 796–809. [Google Scholar] [CrossRef]
  30. Cole, D.J.; Pick, A.J.; Odhams, A.M.C. Predictive and linear quadratic methods for potential application to modelling driver steering control. Veh. Syst. Dyn. 2006, 44, 259–284. [Google Scholar] [CrossRef]
  31. Soudbakhsh, D.; Eskandarian, A. Comparison of linear and non-linear controllers for active steering of vehicles in evasive manoeuvres. Proc. Inst. Mech. Eng. Part I J. Syst. Control Eng. 2012, 226, 215–232. [Google Scholar] [CrossRef]
  32. Dominguez, S.; Ali, A.; Garcia, G.; Martinet, P. Comparison of lateral controllers for autonomous vehicle: Experimental results. In Proceedings of the 2016 IEEE 19th International Conference on Intelligent Transportation Systems (ITSC), Rio de Janeiro, Brazil, 1–4 November 2016; pp. 1418–1423. [Google Scholar]
  33. Heß, D.; Althoff, M.; Sattel, T. Comparison of trajectory tracking controllers for emergency situations. In Proceedings of the 2013 IEEE Intelligent Vehicles Symposium (IV), Gold Coast City, Australia, 23–26 June 2013; pp. 163–170. [Google Scholar]
  34. Wen Zhu, C.; Hill, E.; Biglarbegian, M.; Gadsden, S.A.; Cline, J.A. Smart agriculture: Development of a skid-steer autonomous robot with advanced model predictive controllers. Robot. Auton. Syst. 2023, 162, 104364. [Google Scholar] [CrossRef]
  35. Emmi, L.; Gonzalez-de-Soto, M.; Pajares, G.; Gonzalez-de-Santos, P. Integrating Sensory/Actuation Systems in Agricultural Vehicles. Sensors 2014, 14, 4014–4049. [Google Scholar] [CrossRef] [PubMed]
  36. Emmi, L.; Gonzalez-de-Soto, M.; Pajares, G.; Gonzalez-de-Santos, P. New Trends in Robotics for Agriculture: Integration and Assessment of a Real Fleet of Robots. Sci. World J. 2014, 2014, e404059. [Google Scholar] [CrossRef] [PubMed]
  37. Emmi, L.; Fernández, R.; Gonzalez-de-Santos, P.; Francia, M.; Golfarelli, M.; Vitali, G.; Sandmann, H.; Hustedt, M.; Wollweber, M. Exploiting the Internet Resources for Autonomous Robots in Agriculture. Agriculture 2023, 13, 1005. [Google Scholar] [CrossRef]
  38. ROS: Home. Available online: https://www.ros.org/ (accessed on 19 November 2023).
  39. FIWARE—Future Internet Ware. Available online: https://www.fiware.org/ (accessed on 19 November 2023).
  40. Dubins, L.E. On Curves of Minimal Length with a Constraint on Average Curvature, and with Prescribed Initial and Terminal Positions and Tangents. Am. J. Math. 1957, 79, 497–516. [Google Scholar] [CrossRef]
  41. Santos, L.C.; Aguiar, A.S.; Santos, F.N.; Valente, A.; Ventura, J.B.; Sousa, A.J. Navigation Stack for Robots Working in Steep Slope Vineyard. In Proceedings of the Intelligent Systems and Applications; Arai, K., Kapoor, S., Bhatia, R., Eds.; Springer International Publishing: Cham, Switzerland, 2021; pp. 264–285. [Google Scholar]
  42. Linker, R.; Blass, T. Path-planning algorithm for vehicles operating in orchards. Biosyst. Eng. 2008, 101, 152–160. [Google Scholar] [CrossRef]
  43. Yan, X.-T.; Bianco, A.; Niu, C.; Palazzetti, R.; Henry, G.; Li, Y.; Tubby, W.; Kisdi, A.; Irshad, R.; Sanders, S.; et al. The AgriRover: A Reinvented Mechatronic Platform from Space Robotics for Precision Farming. In Reinventing Mechatronics: Developing Future Directions for Mechatronics; Yan, X.-T., Bradley, D., Russell, D., Moore, P., Eds.; Springer International Publishing: Cham, Switzerland, 2020; pp. 55–73. ISBN 978-3-030-29131-0. [Google Scholar]
  44. ISO 18497:2018; Agricultural Machinery and Tractors. Available online: https://www.iso.org/standard/62659.html (accessed on 19 November 2023).
  45. Przybyla, M. The Obstacle_Detector Package. Available online: https://github.com/tysik/obstacle_detector (accessed on 19 November 2023).
  46. Durand-Petiteville, A.; Le Fleche, E.; Cadenat, V.; Sentenac, T.; Vougioukas, S. Design of a sensor-based controller performing u-turn to navigate in orchards. In Proceedings of the International Conference on Informatics in Control, Automation and Robotics (ICINCO 2017), Madrid, Spain, 26–28 July 2017; Volume 2, pp. 172–181. [Google Scholar]
  47. Boyadzhiev, K. Spirals and Conchospirals in the Flight of Insects. Coll. Math. J. 1999, 30, 23. [Google Scholar] [CrossRef]
  48. Fraichard, T.; Scheuer, A. From Reeds and Shepp’s to continuous-curvature paths. IEEE Trans. Robot. 2004, 20, 1025–1035. [Google Scholar] [CrossRef]
  49. Cariou, C.; Lenain, R.; Thuilot, B.; Martinet, P. Autonomous maneuver of a farm vehicle with a trailed implement: Motion planner and lateral-longitudinal controllers. In Proceedings of the 2010 IEEE International Conference on Robotics and Automation, Anchorage, AK, USA, 3–7 May 2010; pp. 3819–3824. [Google Scholar]
  50. Durand-Petiteville, A.; Le Flecher, E.; Cadenat, V.; Sentenac, T.; Vougioukas, S. Tree Detection with Low-Cost Three-Dimensional Sensors for Autonomous Navigation in Orchards. IEEE Robot. Autom. Lett. 2018, 3, 3876–3883. [Google Scholar] [CrossRef]
Figure 1. (a) Initial mobile platform and (b) final autonomous robot configuration with the Laser weeding tool.
Figure 1. (a) Initial mobile platform and (b) final autonomous robot configuration with the Laser weeding tool.
Robotics 13 00006 g001
Figure 2. Smart Navigation Manager architecture.
Figure 2. Smart Navigation Manager architecture.
Robotics 13 00006 g002
Figure 3. Connection diagram of the central controller.
Figure 3. Connection diagram of the central controller.
Robotics 13 00006 g003
Figure 4. GoToGoal planner based on Dubin’s path.
Figure 4. GoToGoal planner based on Dubin’s path.
Robotics 13 00006 g004
Figure 5. Supervision diagram for the Treatment tasks.
Figure 5. Supervision diagram for the Treatment tasks.
Robotics 13 00006 g005
Figure 6. Supervision diagram for the Approximation tasks.
Figure 6. Supervision diagram for the Approximation tasks.
Robotics 13 00006 g006
Figure 7. LIDAR arrangement for the detection of obstacles and ground.
Figure 7. LIDAR arrangement for the detection of obstacles and ground.
Robotics 13 00006 g007
Figure 9. Lateral control.
Figure 9. Lateral control.
Robotics 13 00006 g009
Figure 10. Spiral Description: Os: Centre; Pi: Initial point; Pf: Final point. (a) Inward spiral; (b) outward spiral.
Figure 10. Spiral Description: Os: Centre; Pi: Initial point; Pf: Final point. (a) Inward spiral; (b) outward spiral.
Robotics 13 00006 g010
Figure 11. Robot kinematic model.
Figure 11. Robot kinematic model.
Robotics 13 00006 g011
Figure 12. Linear speed controller.
Figure 12. Linear speed controller.
Robotics 13 00006 g012
Figure 13. A general map of the experimental farm used to validate the controllers.
Figure 13. A general map of the experimental farm used to validate the controllers.
Robotics 13 00006 g013
Figure 14. Example of the trajectory followed by the robot when executing an Approximation task. (a) Robot path in Arganda del Rey experimental farm (reference system in East-North-Up (ENU) with a fixed local reference); (b) mean lateral error of the GoToGoal path at each time-step, with 10 Hz being the frequency of the controller.
Figure 14. Example of the trajectory followed by the robot when executing an Approximation task. (a) Robot path in Arganda del Rey experimental farm (reference system in East-North-Up (ENU) with a fixed local reference); (b) mean lateral error of the GoToGoal path at each time-step, with 10 Hz being the frequency of the controller.
Robotics 13 00006 g014
Figure 15. Example of the trajectory followed by the robot when executing a Treatment task. (a) Robot path in a field in Arganda del Rey experimental farm (reference system in enu with with a fixed local reference); (b) mean lateral error of each FollowLine at each time-step, with 10 Hz being the frequency of the controller.
Figure 15. Example of the trajectory followed by the robot when executing a Treatment task. (a) Robot path in a field in Arganda del Rey experimental farm (reference system in enu with with a fixed local reference); (b) mean lateral error of each FollowLine at each time-step, with 10 Hz being the frequency of the controller.
Robotics 13 00006 g015
Figure 16. Results of the Lateral Controller when the error is less than 0.5 m. (a) Histogram of the mean reach error; (b) Graph of the mean reach error versus diverse nominal linear speeds (the blue box represents the interquartile range (IQR), with the median indicated by the red line within the box; black whiskers extend to the most extreme non-outlier data points within 1.5 times the IQR from the quartiles, while red crosses denote outliers outside this range).
Figure 16. Results of the Lateral Controller when the error is less than 0.5 m. (a) Histogram of the mean reach error; (b) Graph of the mean reach error versus diverse nominal linear speeds (the blue box represents the interquartile range (IQR), with the median indicated by the red line within the box; black whiskers extend to the most extreme non-outlier data points within 1.5 times the IQR from the quartiles, while red crosses denote outliers outside this range).
Robotics 13 00006 g016
Figure 17. Histogram of the mean reach error of the Spiral Controller when the error is less than 1 m.
Figure 17. Histogram of the mean reach error of the Spiral Controller when the error is less than 1 m.
Robotics 13 00006 g017
Figure 18. Results of the Lateral Controller when the error is less than 0.5 m. (a) Histogram of the mean lateral error; (b) graph of the mean reach error to the Goal Point based on the nominal linear speed (the blue box represents the interquartile range (IQR), with the median indicated by the red line within the box; black whiskers extend to the most extreme non-outlier data points within 1.5 times the IQR from the quartiles, while red crosses denote outliers outside this range).
Figure 18. Results of the Lateral Controller when the error is less than 0.5 m. (a) Histogram of the mean lateral error; (b) graph of the mean reach error to the Goal Point based on the nominal linear speed (the blue box represents the interquartile range (IQR), with the median indicated by the red line within the box; black whiskers extend to the most extreme non-outlier data points within 1.5 times the IQR from the quartiles, while red crosses denote outliers outside this range).
Robotics 13 00006 g018
Figure 19. Results of the Spiral Controller when the error is less than 0.5 m. (a) Histogram of the mean lateral error; (b) graph of the mean lateral error versus diverse turning radius (the blue box represents the interquartile range (IQR), with the median indicated by the red line within the box; black whiskers extend to the most extreme non-outlier data points within 1.5 times the IQR from the quartiles, while red crosses denote outliers outside this range).
Figure 19. Results of the Spiral Controller when the error is less than 0.5 m. (a) Histogram of the mean lateral error; (b) graph of the mean lateral error versus diverse turning radius (the blue box represents the interquartile range (IQR), with the median indicated by the red line within the box; black whiskers extend to the most extreme non-outlier data points within 1.5 times the IQR from the quartiles, while red crosses denote outliers outside this range).
Robotics 13 00006 g019
Figure 20. Histogram of the mean angular error of: (a) the lateral controller, (b) the Spiral Controller.
Figure 20. Histogram of the mean angular error of: (a) the lateral controller, (b) the Spiral Controller.
Robotics 13 00006 g020
Table 1. Mobile platform characteristics.
Table 1. Mobile platform characteristics.
CharacteristicsValues
Dimensions1.76 m × 1.5 m × 1.647 m (W × L × H)
Ground clearance0.60 m
Distance between tracks Adaptable from 0.80 m to 2.20 m
Track thickness0.18 m
SpeedMaximum 6 km/h (1.67 m/s) because of current regulations
Weight980 kg
PayloadCarries up to 800 kg (up to 15° slope)
Tows up to 800 kg (on flat terrain)
Payload distribution On both sides of the primary propulsion system
Under the robot between the tracks
A 3-point hitch can be added to carry additional weight or systems
Position accuracy ±0.015 m (±2 × 10−3 m at GNSS antenna). Connection to Galileo, Glonass & Beidu (L1&L2 for GPS, E5a for Galileo)
Communications WIFI/LoRa/BLE and CANopen for communications of tools and actuators
Power supply 19 kW diesel engine, 14 kW generator
48 V (from 40 to 56 V dc)
Tool power up to 7.2 kW with the current tool plug
Energetic autonomy 16 to 24 h. It depends on the fuel tank (26 to 50 L) and the usage of the robot
Mechanical attachments for other systemsTwo 10-cm square metal beams (front and back of the robot)
A 3-point hitch (Cat 0 or 1) at the back can be added
Operator interfaces The remote controller is included for manual movement
Communications with an external computerCANopen is the primary communication protocol in the robot (or J1939)
ControllerA combination of a microprocessor (IMX8) and a microcontroller (MK66) for real-time management
Safety system used by AGC vehiclesBumpers
Safety button
LIDAR
Table 2. Central controller characteristics.
Table 2. Central controller characteristics.
CharacteristicsValues
Processor6C/12T Intel I7-8700 (3.20/4.60 GHz,12 M Cache, 65 W).
Memory16 GB DDR4 2666 MHz.
DiskAuxiliary disk; SSD 2 TB
Ports
  • 6 × Gigabit Ethernet, including 4 PoE+
  • 4 × USB 3.1 Gen2 (10 Gbps) ports
  • 4 × USB 3.1 Gen1 (5 Gbps) ports
CommunicationsIndustrial 4G LTE Wi-Fi router for professional M2M & IoT applicationsTeltonika RUTX11 LTE
Weight15 kg (includes an enclosure, ventilation, and power protection systems)
Dimensions240 × 225 × 111 mm3
Enclosure dimensions400 × 500 × 200 mm3
Power288 W
Required power supply (Voltage)+24 V DC
Graphic cardAsus GTX 1660 Phoenix Super OC 6 Gb GDDR6 (NVIDIA CUDA® Cores 1408, 6 GB GDDR6, 120 W)
Disclaimer/Publisher’s Note: The statements, opinions and data contained in all publications are solely those of the individual author(s) and contributor(s) and not of MDPI and/or the editor(s). MDPI and/or the editor(s) disclaim responsibility for any injury to people or property resulting from any ideas, methods, instructions or products referred to in the content.

Share and Cite

MDPI and ACS Style

Emmi, L.; Fernández, R.; Gonzalez-de-Santos, P. An Efficient Guiding Manager for Ground Mobile Robots in Agriculture. Robotics 2024, 13, 6. https://doi.org/10.3390/robotics13010006

AMA Style

Emmi L, Fernández R, Gonzalez-de-Santos P. An Efficient Guiding Manager for Ground Mobile Robots in Agriculture. Robotics. 2024; 13(1):6. https://doi.org/10.3390/robotics13010006

Chicago/Turabian Style

Emmi, Luis, Roemi Fernández, and Pablo Gonzalez-de-Santos. 2024. "An Efficient Guiding Manager for Ground Mobile Robots in Agriculture" Robotics 13, no. 1: 6. https://doi.org/10.3390/robotics13010006

APA Style

Emmi, L., Fernández, R., & Gonzalez-de-Santos, P. (2024). An Efficient Guiding Manager for Ground Mobile Robots in Agriculture. Robotics, 13(1), 6. https://doi.org/10.3390/robotics13010006

Note that from the first issue of 2016, this journal uses article numbers instead of page numbers. See further details here.

Article Metrics

Back to TopTop