The Diacylglycerol Acyltransferase 3 of Chlamydomonas reinhardtii Is a Disordered Protein Capable of Binding to Lipids Derived from Chloroplasts
Abstract
1. Introduction
2. Materials and Methods
2.1. Materials
2.2. Protein Expression and Purification
2.3. Sample Preparation for Studies in the Presence of Lipids
2.4. Fluorescence
2.4.1. Intrinsic Fluorescence
2.4.2. Thermal Denaturation Experiments
2.4.3. Fluorescence Quenching
2.4.4. ANS Binding
2.4.5. Steady-State Anisotropy Fluorescence Measurements
2.5. Membrane Leakage Measurements
2.6. Circular Dichroism (CD)
2.6.1. Far-UV Spectra
2.6.2. Thermal Denaturation Experiments
2.7. Analysis of the pH, Thermal and Chemical Denaturation Curves
2.8. Differential Scanning Calorimetry
3. Results
3.1. DGAT3 Acquired a “Native-like” Conformation in a Narrow pH Range
3.1.1. Fluorescence
3.1.2. Circular Dichroism (CD)
3.2. The Ordered Structure of DGAT3 Was Unstable
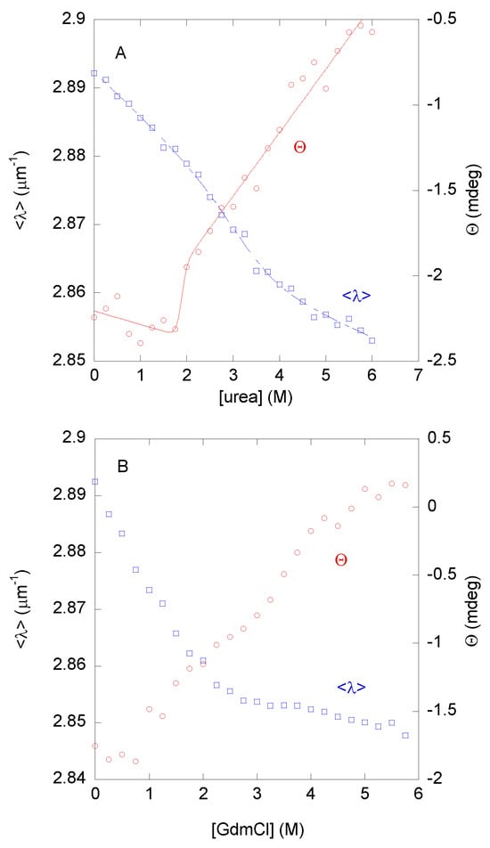
3.2.1. Urea Denaturations
3.2.2. GdmCl Denaturations
3.3. Interaction of DGAT3 with Membrane Models
3.3.1. Steady-State Fluorescence Anisotropy
3.3.2. Fluorescence Quenching
3.3.3. Impact of DGAT3 on the Permeability of Liposomes
4. Discussion
4.1. pH-Denaturation of DGAT3
4.2. DGAT3 Was Mainly Disordered, with a Poorly Stable, Minor Population of Secondary Structure
4.3. DGAT3 Interacted with Anionic Lipid Vesicles
5. Conclusions
Supplementary Materials
Author Contributions
Funding
Institutional Review Board Statement
Informed Consent Statement
Data Availability Statement
Acknowledgments
Conflicts of Interest
Abbreviations
| ANS | 8-anilinonapthalene-1-sulfonic acid |
| CD | circular dichroism |
| CF | carboxifluorescein |
| CHO | ovine wool cholesterol |
| CL | 18:1 cardiolipin |
| DAG | 1,2-diacylglycerol |
| DGAT | 1,2-diacylglycerol acyltransferase |
| DGDG | plant digalactosyldiacylglycerol |
| DGTS | diacylglyceryl-N,N,N-trimethylhomoserine |
| DMPC | dimyristoylphosphatidylcholine |
| DPH | 1,6-diphenyl-1,3,5-hexatriene |
| DMPG | dimyristoylphosphatidylglycerol |
| DSC | differential scanning calorimetry |
| GdmCl | guanidine hydrochloride |
| IPTG | isopropyl-β-D-1-thiogalactopyranoside |
| LB | Luria-Bertani |
| LEM | linear extrapolation model |
| LUV | large unilamellar vesicles |
| MGDG | plant monogalactosyldiacylglycerol |
| MLV | multilamellar vesicles |
| PE | phosphatidylethanolamine from bovine liver |
| PG | L-α-phosphatidylglycerol (from soy) (sodium salt) |
| PC | L-α-phosphatidylcholine (from egg chicken) |
| POPC | 1-palmitoyl-2-oleoyl-glycero-3-phosphocholine |
| POPG | 1-palmitoyl-2-oleoyl-sn-glycero-3-phospho-(1′-rac-glycerol) (sodium salt) |
| PS | L-α-phosphatidylserine from porcine brain |
| SDS | sodium dodecyl sulphate |
| SM | sphingomyelin (from egg chicken) |
| SQDG | sulphoquinovosyldiacylglycerol |
| TAG | triacylglycerol |
| TCEP | tris(2-carboxyethyl)phosphine |
| TMA-DPH | 1-(4-trimethylammoniumphenyl)-6-phenyl-1,3,5-hexatriene |
| UV | ultraviolet |
References
- Liu, B.; Benning, C. Lipid Metabolism in Microalgae Distinguishes Itself. Curr. Opin. Biotechnol. 2013, 24, 300–309. [Google Scholar] [CrossRef]
- Merchant, S.S.; Kropat, J.; Liu, B.; Shaw, J.; Warakanont, J. TAG, You’re It! Chlamydomonas as a Reference Organism for Understanding Algal Triacylglycerol Accumulation. Curr. Opin. Biotechnol. 2012, 23, 352–363. [Google Scholar] [CrossRef] [PubMed]
- Guo, Z.H.; Lung, S.C.; Fadhli Hamdan, M.; Chye, M.L. Interactions between Plant Lipid-Binding Proteins and Their Ligands. Prog. Lipid Res. 2022, 86, 101156. [Google Scholar] [CrossRef]
- Bell, R.M.; Coleman, R.A. Enzymes of Glycerolipid Synthesis in Eukaryotes. Annu. Rev. Biochem. 1980, 49, 459–487. [Google Scholar] [CrossRef]
- Shockey, J.M.; Gidda, S.K.; Chapital, D.C.; Kuan, J.C.; Dhanoa, P.K.; Bland, J.M.; Rothstein, S.J.; Mullen, R.T.; Dyer, J.M. Tung Tree DGAT1 and DGAT2 Have Nonredundant Functions in Triacylglycerol Biosynthesis and Are Localized to Different Subdomains of the Endoplasmic Reticulum. Plant Cell 2006, 18, 2294–2313. [Google Scholar] [CrossRef] [PubMed]
- Yen, C.L.E.; Stone, S.J.; Koliwad, S.; Harris, C.; Farese, R.V. Thematic Review Series: Glycerolipids. DGAT Enzymes and Triacylglycerol Biosynthesis. J. Lipid Res. 2008, 49, 2283–2301. [Google Scholar] [CrossRef]
- Cases, S.; Smith, S.J.; Zheng, Y.W.; Myers, H.M.; Lear, S.R.; Sande, E.; Novak, S.; Collins, C.; Welch, C.B.; Lusis, A.J.; et al. Identification of a Gene Encoding an Acyl CoA:Diacylglycerol Acyltransferase, a Key Enzyme in Triacylglycerol Synthesis. Proc. Natl. Acad. Sci. USA 1998, 95, 13018–13023. [Google Scholar] [CrossRef] [PubMed]
- Bagnato, C.; Have, A.T.; Prados, M.B.; Beligni, M.V. Computational Functional Analysis of Lipid Metabolic Enzymes. Methods Mol. Biol. 2017, 1609, 195–216. [Google Scholar] [CrossRef]
- Bagnato, C.; Prados, M.B.; Franchini, G.R.; Scaglia, N.; Miranda, S.E.; Beligni, M.V. Analysis of Triglyceride Synthesis Unveils a Green Algal Soluble Diacylglycerol Acyltransferase and Provides Clues to Potential Enzymatic Components of the Chloroplast Pathway. BMC Genom. 2017, 18, 223. [Google Scholar] [CrossRef]
- Han, L.; Zhai, Y.; Wang, Y.; Shi, X.; Xu, Y.; Gao, S.; Zhang, M.; Luo, J.; Zhang, Q. Diacylglycerol Acyltransferase 3(DGAT3) Is Responsible for the Biosynthesis of Unsaturated Fatty Acids in Vegetative Organs of Paeonia Rockii. Int. J. Mol. Sci. 2022, 23, 14390. [Google Scholar] [CrossRef]
- de las Mercedes Carro, M.; Gonorazky, G.; Soto, D.; Mamone, L.; Bagnato, C.; Pagnussat, L.A.; Beligni, M.V. Expression of Chlamydomonas Reinhardtii Chloroplast Diacylglycerol Acyltransferase 3 Is Induced by Light in Concert with Triacylglycerol Accumulation. Plant J. 2022, 110, 262–276. [Google Scholar] [CrossRef] [PubMed]
- Aymé, L.; Arragain, S.; Canonge, M.; Baud, S.; Touati, N.; Bimai, O.; Jagic, F.; Louis-Mondésir, C.; Briozzo, P.; Fontecave, M.; et al. Arabidopsis Thaliana DGAT3 Is a [2Fe-2S] Protein Involved in TAG Biosynthesis. Sci. Rep. 2018, 8, 17254. [Google Scholar] [CrossRef] [PubMed]
- Turchetto-Zolet, A.C.; Christoff, A.P.; Kulcheski, F.R.; Loss-Morais, G.; Margis, R.; Margis-Pinheiro, M. Diversity and Evolution of Plant Diacylglycerol Acyltransferase (DGATs) Unveiled by Phylogenetic, Gene Structure and Expression Analyses. Genet. Mol. Biol. 2016, 39, 524–538. [Google Scholar] [CrossRef] [PubMed]
- Hovav, R.; Faigenboim-Doron, A.; Kadmon, N.; Hu, G.; Zhang, X.; Gallagher, J.P.; Wendel, J.F. A Transcriptome Profile for Developing Seed of Polyploid Cotton. Plant Genome 2015, 8, plantgenome2014.08.0041. [Google Scholar] [CrossRef] [PubMed]
- Cao, H.; Shockey, J.M.; Klasson, K.T.; Chapital, D.C.; Mason, C.B.; Scheffler, B.E. Developmental Regulation of Diacylglycerol Acyltransferase Family Gene Expression in Tung Tree Tissues. PLoS ONE 2013, 8, e76946. [Google Scholar] [CrossRef]
- Chen, G.; Harwood, J.L.; Lemieux, M.J.; Stone, S.J.; Weselake, R.J. Acyl-CoA:Diacylglycerol Acyltransferase: Properties, Physiological Roles, Metabolic Engineering and Intentional Control. Prog. Lipid Res. 2022, 88, 101181. [Google Scholar] [CrossRef] [PubMed]
- Burgess, R.R. Chapter 17 Refolding Solubilized Inclusion Body Proteins. Methods Enzymol. 2009, 463, 259–282. [Google Scholar] [CrossRef] [PubMed]
- Veldkamp, C.T.; Peterson, F.C.; Hayes, P.L.; Mattmiller, J.E.; Haugner, J.C.; de la Cruz, N.; Volkman, B.F. On-Column Refolding of Recombinant Chemokines for NMR Studies and Biological Assays. Protein Expr. Purif. 2007, 52, 202–209. [Google Scholar] [CrossRef]
- Swietnicki, W. Folding Aggregated Proteins into Functionally Active Forms. Curr. Opin. Biotechnol. 2006, 17, 367–372. [Google Scholar] [CrossRef] [PubMed]
- Gill, S.C.; von Hippel, P.H. Calculation of Protein Extinction Coefficients from Amino Acid Sequence Data. Anal. Biochem. 1989, 182, 319–326. [Google Scholar] [CrossRef]
- Hayami, M.; Okabe, A.; Kariyama, R.; Abe, M.; Kanemasa, Y. Lipid Composition of Staphylococcus Aureus and Its Derived L-Forms. Microbiol. Immunol. 1979, 23, 435–442. [Google Scholar] [CrossRef] [PubMed]
- Van Meer, G.; Voelker, D.R.; Feigenson, G.W. Membrane Lipids: Where They Are and How They Behave. Nat. Rev. Mol. Cell Biol. 2008, 9, 112–124. [Google Scholar] [CrossRef] [PubMed]
- Rowlett, V.W.; Mallampalli, V.K.P.S.; Karlstaedt, A.; Dowhan, W.; Taegtmeyer, H.; Margolin, W.; Vitrac, H. Impact of Membrane Phospholipid Alterations in Escherichia Coli on Cellular Function and Bacterial Stress Adaptation. J. Bacteriol. 2017, 199, e00849-16. [Google Scholar] [CrossRef] [PubMed]
- Sakurai, I.; Shen, J.R.; Leng, J.; Ohashi, S.; Kobayashi, M.; Wada, H. Lipids in Oxygen-Evolving Photosystem II Complexes of Cyanobacteria and Higher Plants. J. Biochem. 2006, 140, 201–209. [Google Scholar] [CrossRef] [PubMed]
- Czypionka, A.; De Los Paños, O.R.; Mateu, M.G.; Barrera, F.N.; Hurtado-Gómez, E.; Gómez, J.; Vidal, M.; Neira, J.L. The Isolated C-Terminal Domain of Ring1B Is a Dimer Made of Stable, Well-Structured Monomers. Biochemistry 2007, 46, 12764–12776. [Google Scholar] [CrossRef] [PubMed]
- Neira, J.L.; Román-Trufero, M.; Contreras, L.M.; Prieto, J.; Singh, G.; Barrera, F.N.; Renart, M.L.; Vidal, M. The Transcriptional Repressor RYBP Is a Natively Unfolded Protein Which Folds upon Binding to DNA. Biochemistry 2009, 48, 1348–1360. [Google Scholar] [CrossRef] [PubMed]
- Royer, C.A. Fluorescence Spectroscopy. Methods Mol. Biol. 1995, 40, 65–89. [Google Scholar] [CrossRef] [PubMed]
- Lakowicz, J.R. Principles of Fluorescence Spectroscopy; Springer: Berlin/Heidelberg, Germany, 2006; pp. 1–954. [Google Scholar]
- Poveda, J.A.; Prieto, M.; Encinar, J.A.; González-Ros, J.M.; Mateo, C.R. Intrinsic Tyrosine Fluorescence as a Tool to Study the Interaction of the Shaker B “Ball” Peptide with Anionic Membranes. Biochemistry 2003, 42, 7124–7132. [Google Scholar] [CrossRef] [PubMed]
- Moreno, M.R.; Giudici, M.; Villalaín, J. The Membranotropic Regions of the Endo and Ecto Domains of HIV Gp41 Envelope Glycoprotein. Biochim. Biophys. Acta BBA Biomembr. 2006, 1758, 111–123. [Google Scholar] [CrossRef] [PubMed][Green Version]
- Benjwal, S.; Verma, S.; Röhm, K.; Gursky, O. Monitoring Protein Aggregation during Thermal Unfolding in Circular Dichroism Experiments. Protein Sci. 2006, 15, 635–639. [Google Scholar] [CrossRef]
- Pace, C.N.; Scholtz, J.M. Measuring the Conformational Stability of a Protein. Protein Struct. 1997, 2, 299–322. [Google Scholar] [CrossRef]
- Ptitsyn, O.B. Molten Globule and Protein Folding. Adv. Protein Chem. 1995, 47, 83–229. [Google Scholar] [CrossRef] [PubMed]
- Kelly, S.M.; Jess, T.J.; Price, N.C. How to Study Proteins by Circular Dichroism. Biochim. Biophys. Acta BBA Proteins Proteom. 2005, 1751, 119–139. [Google Scholar] [CrossRef]
- Vuilleumier, S.; Sancho, J.; Loewenthal, R.; Fersht, A.R. Circular Dichroism Studies of Barnase and Its Mutants: Characterization of the Contribution of Aromatic Side Chains. Biochemistry 1993, 32, 10303–10313. [Google Scholar] [CrossRef]
- Micsonai, A.; Moussong, É.; Wien, F.; Boros, E.; Vadászi, H.; Murvai, N.; Lee, Y.H.; Molnár, T.; Réfrégiers, M.; Goto, Y.; et al. BeStSel: Webserver for Secondary Structure and Fold Prediction for Protein CD Spectroscopy. Nucleic Acids Res. 2022, 50, W90–W98. [Google Scholar] [CrossRef] [PubMed]
- Micsonai, A.; Wien, F.; Bulyáki, É.; Kun, J.; Moussong, É.; Lee, Y.H.; Goto, Y.; Réfrégiers, M.; Kardos, J. BeStSel: A Web Server for Accurate Protein Secondary Structure Prediction and Fold Recognition from the Circular Dichroism Spectra. Nucleic Acids Res. 2018, 46, W315–W322. [Google Scholar] [CrossRef]
- Jackson, S.E. How Do Small Single-Domain Proteins Fold? Fold. Des. 1998, 3, R81–R91. [Google Scholar] [CrossRef] [PubMed]
- Sakurai, K.; Mori, N.; Sato, N. Detection and Characterization of Phosphatidylcholine in Various Strains of the Genus Chlamydomonas (Volvocales, Chlorophyceae). J. Plant Res. 2014, 127, 641–650. [Google Scholar] [CrossRef] [PubMed]
- Trotter, P.J.; Storch, J. 3-[p-(6-Phenyl)-1,3,5-Hexatrienyl]Phenylpropionic Acid (PA-DPH): Characterization as a Fluorescent Membrane Probe and Binding to Fatty Acid Binding Proteins. Biochim. Biophys. Acta BBA Biomembr. 1989, 982, 131–139. [Google Scholar] [CrossRef] [PubMed]
- Mateo, C.R.; Lillo, M.P.; González-Rodríguez, J.; Acuña, A.U. Molecular Order and Fluidity of the Plasma Membrane of Human Platelets from Time-Resolved Fluorescence Depolarization. Eur. Biophys. J. 1991, 20, 41–52. [Google Scholar] [CrossRef]
- Fink, A.L. Compact Intermediate States in Protein Folding. Annu. Rev. Biophys. 1995, 24, 495–522. [Google Scholar] [CrossRef] [PubMed]
- Pace, C.N.; Grimsley, G.R.; Scholtz, J.M. Protein Ionizable Groups: PK Values and Their Contribution to Protein Stability and Solubility. J. Biol. Chem. 2009, 284, 13285–13289. [Google Scholar] [CrossRef]
- Mayor, U.; Guydosh, N.R.; Johnson, C.M.; Günter Grossmann, J.; Sato, S.; Jas, G.S.; Freund, S.M.V.; Alonso, D.O.V.; Daggett, V.; Fersht, A.R. The Complete Folding Pathway of a Protein from Nanoseconds to Microseconds. Nature 2003, 421, 863–867. [Google Scholar] [CrossRef] [PubMed]
- Wang, K.; Hu, G.; Basu, S.; Kurgan, L. FlDPnn2: Accurate and Fast Predictor of Intrinsic Disorder in Proteins. J. Mol. Biol. 2024, 436, 168605. [Google Scholar] [CrossRef]
- Trinh, M.D.L.; Masuda, S. Chloroplast pH Homeostasis for the Regulation of Photosynthesis. Front. Plant Sci. 2022, 13, 919896. [Google Scholar] [CrossRef] [PubMed]
- Mott, K.A.; Berry, J.A. Effects of pH on Activity and Activation of Ribulose 1,5-Bisphosphate Carboxylase at Air Level CO2. Plant Physiol. 1986, 82, 77–82. [Google Scholar] [CrossRef]
- Neet, K.E.; Timm, D.E. Conformational Stability of Dimeric Proteins: Quantitative Studies by Equilibrium Denaturation. Protein Sci. 1994, 3, 2167–2174. [Google Scholar] [CrossRef]
- Sancho, J. The Stability of 2-State, 3-State and More-State Proteins from Simple Spectroscopic Techniques… plus the Structure of the Equilibrium Intermediates at the Same Time. Arch. Biochem. Biophys. 2013, 531, 4–13. [Google Scholar] [CrossRef]
- Bedouelle, H. Principles and Equations for Measuring and Interpreting Protein Stability: From Monomer to Tetramer. Biochimie 2016, 121, 29–37. [Google Scholar] [CrossRef] [PubMed]
- Berlow, R.B.; Dyson, H.J.; Wright, P.E. Functional Advantages of Dynamic Protein Disorder. FEBS Lett. 2015, 589, 2433–2440. [Google Scholar] [CrossRef]
- Yruela, I.; Contreras-Moreira, B. Protein Disorder in Plants: A View from the Chloroplast. BMC Plant Biol. 2012, 12, 165. [Google Scholar] [CrossRef]
- Gérard, C.; Carrière, F.; Receveur-Bréchot, V.; Launay, H.; Gontero, B. A Trajectory of Discovery: Metabolic Regulation by the Conditionally Disordered Chloroplast Protein, CP12. Biomolecules 2022, 12, 1047. [Google Scholar] [CrossRef] [PubMed]
- Raghava, S.; Barua, B.; Singh, P.K.; Das, M.; Madan, L.; Bhattacharyya, S.; Bajaj, K.; Gopal, B.; Varadarajan, R.; Gupta, M.N. Refolding and Simultaneous Purification by Three-Phase Partitioning of Recombinant Proteins from Inclusion Bodies. Protein Sci. 2008, 17, 1987–1997. [Google Scholar] [CrossRef] [PubMed]
- Aspromonte, M.C.; Nugnes, M.V.; Quaglia, F.; Bouharoua, A.; DisProt Consortium; Tosatto, S.C.E.; Piovesan, D.; Sagris, V. DisProt in 2024: Improving Function Annotation of Intrinsically Disordered Proteins. Nucleic Acids Res. 2024, 52, D434–D441. [Google Scholar] [CrossRef]
- Yang, W.; Moroney, J.V.; Moore, T.S. Membrane Lipid Biosynthesis in Chlamydomonas Reinhardtii: Ethanolaminephosphotransferase Is Capable of Synthesizing Both Phosphatidylcholine and Phosphatidylethanolamine. Arch. Biochem. Biophys. 2004, 430, 198–209. [Google Scholar] [CrossRef] [PubMed]
- Graham Shipley, G.; Green, J.P.; Nichols, B.W. The Phase Behavior of Monogalactosyl, Digalactosyl, and Sulphoquinovosyl Diglycerides. Biochim. Biophys. Acta BBA Biomembr. 1973, 311, 531–544. [Google Scholar] [CrossRef] [PubMed]
- Apostolova, E.L.; Domonkos, I.; Dobrikova, A.G.; Sallai, A.; Bogos, B.; Wada, H.; Gombos, Z.; Taneva, S.G. Effect of Phosphatidylglycerol Depletion on the Surface Electric Properties and the Fluorescence Emission of Thylakoid Membranes. J. Photochem. Photobiol. B Biol. 2008, 91, 51–57. [Google Scholar] [CrossRef]
- Maanni, A.E.; Dubertret, G.; Delrieu, M.J.; Roche, O.; Trémolières, A. Mutants of Chlamydomonas Reinhardtii Affected in Phosphatidylglycerol Metabolism and Thylakoid Biogenesis. Plant Physiol. Biochem. 1998, 36, 609–619. [Google Scholar] [CrossRef]
- Sato, N.; Sonoike, K.; Tsuzuk, M.; Kawaguchi, A. Impaired Photosystem II in a Mutant of Chlamydomonas Reinhardtii Defective in Sulfoquinovosyl Diacylglycerol. Eur. J. Biochem. 1995, 234, 16–23. [Google Scholar] [CrossRef] [PubMed]







| Conditions | 280 | 295 |
|---|---|---|
| pH 3.3 | 5 ± 2 | 2.1 ± 0.1 |
| pH 8.1 | 1.5 ± 0.7 | 1.82 ± 0.07 |
| pH 12.2 | 11 ± 2 | 2.7 ± 0.1 |
| GdmCl b | 20 ± 8 | 2.88 ± 0.08 |
Disclaimer/Publisher’s Note: The statements, opinions and data contained in all publications are solely those of the individual author(s) and contributor(s) and not of MDPI and/or the editor(s). MDPI and/or the editor(s) disclaim responsibility for any injury to people or property resulting from any ideas, methods, instructions or products referred to in the content. |
© 2025 by the authors. Licensee MDPI, Basel, Switzerland. This article is an open access article distributed under the terms and conditions of the Creative Commons Attribution (CC BY) license (https://creativecommons.org/licenses/by/4.0/).
Share and Cite
Pavia, N.; Potenza, A.; Hornos, F.; Poveda, J.A.; Gonorazky, G.; Neira, J.L.; Giudici, A.M.; Beligni, M.V. The Diacylglycerol Acyltransferase 3 of Chlamydomonas reinhardtii Is a Disordered Protein Capable of Binding to Lipids Derived from Chloroplasts. Biomolecules 2025, 15, 245. https://doi.org/10.3390/biom15020245
Pavia N, Potenza A, Hornos F, Poveda JA, Gonorazky G, Neira JL, Giudici AM, Beligni MV. The Diacylglycerol Acyltransferase 3 of Chlamydomonas reinhardtii Is a Disordered Protein Capable of Binding to Lipids Derived from Chloroplasts. Biomolecules. 2025; 15(2):245. https://doi.org/10.3390/biom15020245
Chicago/Turabian StylePavia, Natalia, Alberto Potenza, Felipe Hornos, José A. Poveda, Gabriela Gonorazky, José L. Neira, Ana M. Giudici, and María Verónica Beligni. 2025. "The Diacylglycerol Acyltransferase 3 of Chlamydomonas reinhardtii Is a Disordered Protein Capable of Binding to Lipids Derived from Chloroplasts" Biomolecules 15, no. 2: 245. https://doi.org/10.3390/biom15020245
APA StylePavia, N., Potenza, A., Hornos, F., Poveda, J. A., Gonorazky, G., Neira, J. L., Giudici, A. M., & Beligni, M. V. (2025). The Diacylglycerol Acyltransferase 3 of Chlamydomonas reinhardtii Is a Disordered Protein Capable of Binding to Lipids Derived from Chloroplasts. Biomolecules, 15(2), 245. https://doi.org/10.3390/biom15020245

