Tailored Combinations of Human Milk Oligosaccharides Modulate the Immune Response in an In Vitro Model of Intestinal Inflammation
Abstract
1. Introduction
2. Materials and Methods
2.1. Materials
2.2. Ingredient Generation and Selection
2.2.1. Selection of Commercial HMO Ingredients
2.2.2. Generation of HMO-Enriched Fraction
2.3. Cell Culture
2.3.1. Cell Line Maintenance
2.3.2. Cytotoxic/Proliferative Effects of HMO Ingredients
2.4. Cell Culture
2.4.1. Induction of Inflammation-like Response
- A TEER reduction by at least 25% compared to the Caco-2 monoculture.
- After 24 h of co-culture, the levels of pro-inflammatory cytokines need to significantly exceed the concentrations recovered in the stable co-culture (Caco-2 and THP-1 cells without stimulation).
- Re-establishment of TEER after 48 h of co-culture (>90% recovery to TEER values at initiation of co-culture).
- Significantly lower levels of LDH activity (as measured by absorbance at 490 nm).
2.4.2. Exposure of Caco-2 IECs to HMO Ingredients
Structure Dependency Assay
Concentration Dependency Assay
Ratio Dependency Assay
2.5. Cytokine Quantification
2.5.1. Enzyme-Linked Immuno-Sorbent Assay (ELISA)
2.5.2. Bio-Plex Magpix
2.6. Statistical Analysis
3. Results
3.1. Cytotoxic and Proliferative Effects of HMO Ingredients
3.2. Optimization of Inflamed Co-Culture
3.3. Influence of Human Milk Oligosaccharides on Cytokine/Chemokine Release
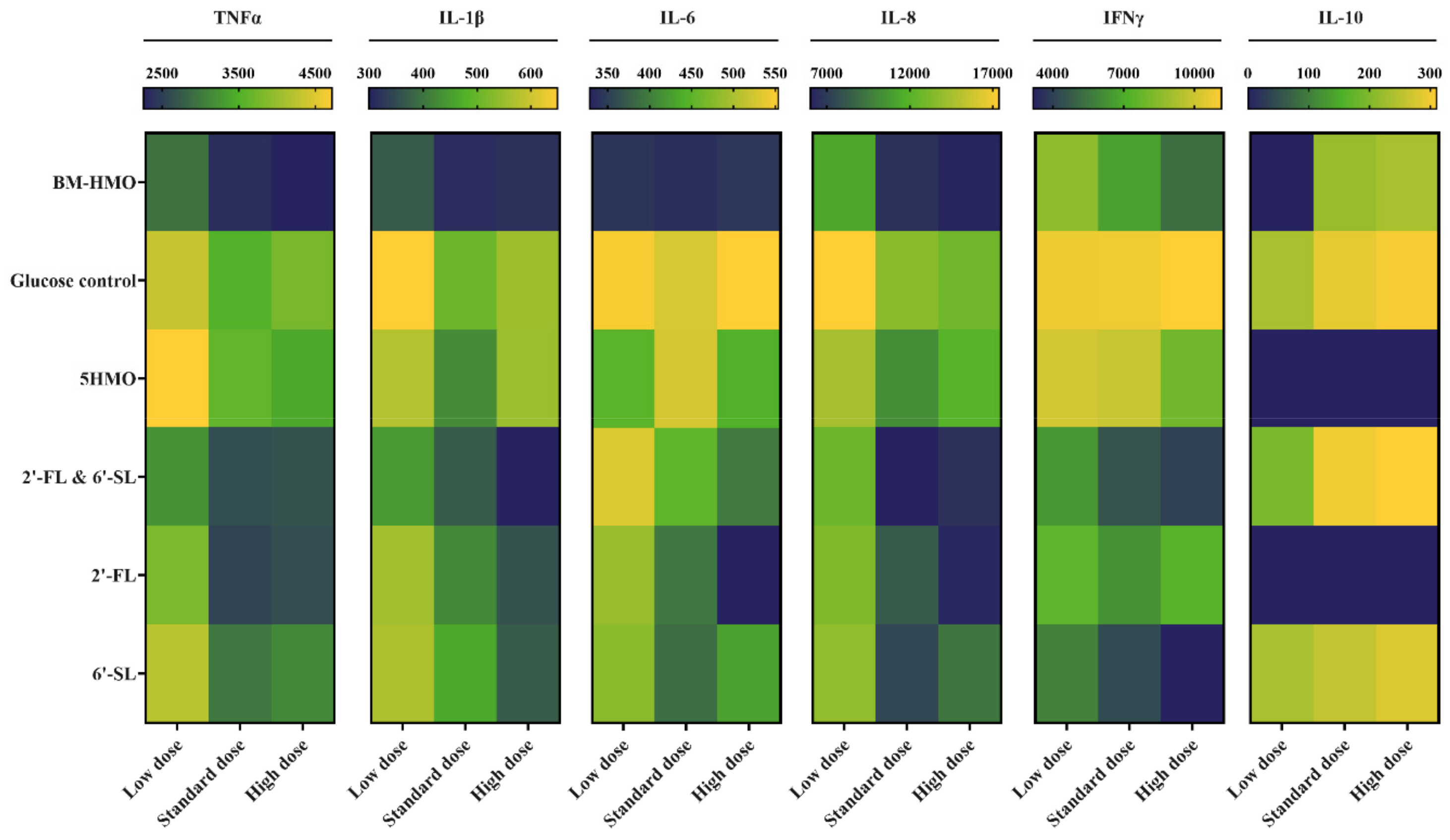
3.3.1. Identifying the Optimal Combination of HMO for Amelioration of Inflammation
3.3.2. Identifying the Optimal Combination of HMO for Amelioration of Inflammation
3.3.3. Assessing the Optimal Ratio of HMO for Amelioration of Inflammation
4. Discussion
5. Conclusions
6. Patents
Supplementary Materials
Author Contributions
Funding
Institutional Review Board Statement
Informed Consent Statement
Data Availability Statement
Conflicts of Interest
References
- Spellberg, B.; Edwards, J.E., Jr. Type 1/Type 2 Immunity in Infectious Diseases. Clin. Infect. Dis. 2001, 32, 76–102. [Google Scholar] [CrossRef] [PubMed]
- Zhao, L.; Yang, X. Cross Talk Between Natural Killer T and Dendritic Cells and Its Impact on T Cell Responses in Infections. Front. Immunol. 2022, 13, 837767. [Google Scholar] [CrossRef] [PubMed]
- Debock, I.; Flamand, V. Unbalanced Neonatal CD4+ T-Cell Immunity. Front. Immunol. 2014, 5, 393. [Google Scholar] [CrossRef] [PubMed]
- Basha, S.; Surendran, N.; Pichichero, M. Immune responses in neonates. Expert Rev. Clin. Immunol. 2014, 10, 1171–1184. [Google Scholar] [CrossRef]
- Adkins, B. Development of Neonatal Th1/Th2 Function. Int. Rev. Immunol. 2000, 19, 157–171. [Google Scholar] [CrossRef]
- Li, Y.; Wei, C.; Xu, H.; Jia, J.; Wei, Z.; Guo, R.; Jia, Y.; Wu, Y.; Li, Y.; Qi, X.; et al. The Immunoregulation of Th17 in Host against Intracellular Bacterial Infection. Mediat. Inflamm. 2018, 2018, 6587296. [Google Scholar] [CrossRef]
- Arango Duque, G.; Descoteaux, A. Macrophage Cytokines: Involvement in Immunity and Infectious Diseases. Front. Immunol. 2014, 5, 491. [Google Scholar] [CrossRef]
- Cho, S.X.; Berger, P.J.; Nold-Petry, C.A.; Nold, M.F. The immunological landscape in necrotising enterocolitis. Expert Rev. Mol. Med. 2016, 18, e12. [Google Scholar] [CrossRef]
- Denning, T.L.; Bhatia, A.M.; Kane, A.F.; Patel, R.M.; Denning, P.W. Pathogenesis of NEC: Role of the innate and adaptive immune response. Semin. Perinatol. 2017, 41, 15–28. [Google Scholar] [CrossRef]
- Camacho-Morales, A.; Caba, M.; García-Juárez, M.; Caba-Flores, M.D.; Viveros-Contreras, R.; Martínez-Valenzuela, C. Breastfeeding Contributes to Physiological Immune Programming in the Newborn. Front. Pediatr. 2021, 9, 744104. [Google Scholar] [CrossRef]
- Nolan, L.S.; Parks, O.B.; Good, M. A Review of the Immunomodulating Components of Maternal Breast Milk and Protection Against Necrotizing Enterocolitis. Nutrients 2020, 12, 14. [Google Scholar] [CrossRef] [PubMed]
- Walsh, C.; Lane, J.A.; van Sinderen, D.; Hickey, R.M. Human milk oligosaccharides: Shaping the infant gut microbiota and supporting health. J. Funct. Foods 2020, 72, 104074. [Google Scholar] [CrossRef] [PubMed]
- Bode, L. Human milk oligosaccharides: Every baby needs a sugar mama. Glycobiology 2012, 22, 1147–1162. [Google Scholar] [CrossRef] [PubMed]
- Sela, D.A. Bifidobacterial utilization of human milk oligosaccharides. Int. J. Food Microbiol. 2011, 149, 58–64. [Google Scholar] [CrossRef] [PubMed]
- Thomson, P.; Medina, D.A.; Garrido, D. Human milk oligosaccharides and infant gut bifidobacteria: Molecular strategies for their utilization. Food Microbiol. 2018, 75, 37–46. [Google Scholar] [CrossRef]
- Figueroa-Lozano, S.; de Vos, P. Relationship Between Oligosaccharides and Glycoconjugates Content in Human Milk and the Development of the Gut Barrier. Compr. Rev. Food Sci. Food Saf. 2019, 18, 121–139. [Google Scholar] [CrossRef]
- Farhin, S.; Wong, A.; Delungahawatta, T.; Amin, J.Y.; Bienenstock, J.; Buck, R.; Kunze, W.A. Restraint stress induced gut dysmotility is diminished by a milk oligosaccharide (2′-fucosyllactose) in vitro. PLoS ONE 2019, 14, e0215151. [Google Scholar] [CrossRef]
- Moore, R.E.; Xu, L.L.; Townsend, S.D. Prospecting Human Milk Oligosaccharides as a Defense Against Viral Infections. ACS Infect. Dis. 2021, 7, 254–263. [Google Scholar] [CrossRef]
- Seppo, A.E.; Autran, C.A.; Bode, L.; Järvinen, K.M. Human milk oligosaccharides and development of cow’s milk allergy in infants. J. Allergy Clin. Immunol. 2017, 139, 708–711.e705. [Google Scholar] [CrossRef]
- Zuurveld, M.; van Witzenburg, N.P.; Garssen, J.; Folkerts, G.; Stahl, B.; van’t Land, B.; Willemsen, L.E.M. Immunomodulation by Human Milk Oligosaccharides: The Potential Role in Prevention of Allergic Diseases. Front. Immunol. 2020, 11, 801. [Google Scholar] [CrossRef]
- Fan, Y.; McMath, A.L.; Donovan, S.M. Review on the Impact of Milk Oligosaccharides on the Brain and Neurocognitive Development in Early Life. Nutrients 2023, 15, 3743. [Google Scholar] [CrossRef] [PubMed]
- Schönknecht, Y.B.; Moreno Tovar, M.V.; Jensen, S.R.; Parschat, K. Clinical Studies on the Supplementation of Manufactured Human Milk Oligosaccharides: A Systematic Review. Nutrients 2023, 15, 3622. [Google Scholar] [CrossRef]
- Parschat, K.; Melsaether, C.; Jäpelt, K.R.; Jennewein, S. Clinical Evaluation of 16-Week Supplementation with 5HMO-Mix in Healthy-Term Human Infants to Determine Tolerability, Safety, and Effect on Growth. Nutrients 2021, 13, 2871. [Google Scholar] [CrossRef] [PubMed]
- Bosheva, M.; Tokodi, I.; Krasnow, A.; Pedersen, H.K.; Lukjancenko, O.; Eklund, A.C.; Grathwohl, D.; Sprenger, N.; Berger, B.; Cercamondi, C.I.; et al. Infant Formula With a Specific Blend of Five Human Milk Oligosaccharides Drives the Gut Microbiota Development and Improves Gut Maturation Markers: A Randomized Controlled Trial. Front. Nutr. 2022, 9, 920362. [Google Scholar] [CrossRef] [PubMed]
- Marriage, B.J.; Buck, R.H.; Goehring, K.C.; Oliver, J.S.; Williams, J.A. Infants Fed a Lower Calorie Formula With 2′FL Show Growth and 2′FL Uptake Like Breast-Fed Infants. J. Pediatr. Gastroenterol. Nutr. 2015, 61, 649–658. [Google Scholar] [CrossRef]
- Puccio, G.; Alliet, P.; Cajozzo, C.; Janssens, E.; Corsello, G.; Sprenger, N.; Wernimont, S.; Egli, D.; Gosoniu, L.; Steenhout, P. Effects of Infant Formula With Human Milk Oligosaccharides on Growth and Morbidity. J. Pediatr. Gastroenterol. Nutr. 2017, 64, 624–631. [Google Scholar] [CrossRef]
- Nowak-Wegrzyn, A.; Czerkies, L.; Reyes, K.; Collins, B.; Heine, R.G. Confirmed Hypoallergenicity of a Novel Whey-Based Extensively Hydrolyzed Infant Formula Containing Two Human Milk Oligosaccharides. Nutrients 2019, 11, 1447. [Google Scholar] [CrossRef]
- Vandenplas, Y.; Żołnowska, M.; Berni Canani, R.; Ludman, S.; Tengelyi, Z.; Moreno-Álvarez, A.; Goh, A.E.N.; Gosoniu, M.L.; Kirwan, B.-A.; Tadi, M.; et al. Effects of an Extensively Hydrolyzed Formula Supplemented with Two Human Milk Oligosaccharides on Growth, Tolerability, Safety and Infection Risk in Infants with Cow’s Milk Protein Allergy: A Randomized, Multi-Center Trial. Nutrients 2022, 14, 530. [Google Scholar] [CrossRef]
- Hascoët, J.-M.; Chevallier, M.; Gire, C.; Brat, R.; Rozé, J.-C.; Norbert, K.; Chen, Y.; Hartweg, M.; Billeaud, C. Use of a Liquid Supplement Containing 2 Human Milk Oligosaccharides: The First Double-Blind, Randomized, Controlled Trial in Pre-term Infants. Front. Pediatr. 2022, 10, 858380. [Google Scholar] [CrossRef]
- Leung, T.F.; Ulfman, L.H.; Chong, M.K.C.; Hon, K.L.; Khouw, I.M.S.L.; Chan, P.K.S.; Delsing, D.J.; Kortman, G.A.M.; Bovee-Oudenhoven, I.M.J. A randomized controlled trial of different young child formulas on upper respiratory and gastrointestinal tract infections in Chinese toddlers. Pediatr. Allergy Immunol. 2020, 31, 745–754. [Google Scholar] [CrossRef]
- Elison, E.; Vigsnaes, L.K.; Krogsgaard, L.R.; Rasmussen, J.; Sørensen, N.; McConnell, B.; Hennet, T.; Sommer, M.O.; Bytzer, P. Oral supplementation of healthy adults with 2′-O-fucosyllactose and lacto-N-neotetraose is well tolerated and shifts the intestinal microbiota. Br. J. Nutr. 2016, 116, 1356–1368. [Google Scholar] [CrossRef]
- Rosa, F.; Sharma, A.K.; Gurung, M.; Casero, D.; Matazel, K.; Bode, L.; Simecka, C.; Elolimy, A.A.; Tripp, P.; Randolph, C.; et al. Human Milk Oligosaccharides Impact Cellular and Inflammatory Gene Expression and Immune Response. Front. Immunol. 2022, 13, 907529. [Google Scholar] [CrossRef] [PubMed]
- Chleilat, F.; Klancic, T.; Ma, K.; Schick, A.; Nettleton, J.E.; Reimer, R.A. Human Milk Oligosaccharide Supplementation Affects Intestinal Barrier Function and Microbial Composition in the Gastrointestinal Tract of Young Sprague Dawley Rats. Nutrients 2020, 12, 1532. [Google Scholar] [CrossRef] [PubMed]
- He, Y.; Liu, S.; Kling, D.E.; Leone, S.; Lawlor, N.T.; Huang, Y.; Feinberg, S.B.; Hill, D.R.; Newburg, D.S. The human milk oligosaccharide 2′-fucosyllactose modulates CD14 expression in human enterocytes, thereby attenuating LPS-induced inflammation. Gut 2016, 65, 33–46. [Google Scholar] [CrossRef] [PubMed]
- Lane, J.A.; O’Callaghan, J.; Carrington, S.D.; Hickey, R.M. Transcriptional response of HT-29 intestinal epithelial cells to human and bovine milk oligosaccharides. Br. J. Nutr. 2013, 110, 2127–2137. [Google Scholar] [CrossRef]
- Newburg, D.S.; Ko, J.S.; Leone, S.; Nanthakumar, N.N. Human Milk Oligosaccharides and Synthetic Galactosyloligosaccharides Contain 3′-, 4-, and 6′-Galactosyllactose and Attenuate Inflammation in Human T84, NCM-460, and H4 Cells and Intestinal Tissue Ex Vivo12. J. Nutr. 2016, 146, 358–367. [Google Scholar] [CrossRef]
- Zehra, S.; Khambati, I.; Vierhout, M.; Mian, M.F.; Buck, R.; Forsythe, P. Human Milk Oligosaccharides Attenuate Antigen–Antibody Complex Induced Chemokine Release from Human Intestinal Epithelial Cell Lines. J. Food Sci. 2018, 83, 499–508. [Google Scholar] [CrossRef]
- Zhang, W.; He-Yang, J.; Tu, W.; Zhou, X. Sialylated human milk oligosaccharides prevent intestinal inflammation by inhibiting toll like receptor 4/NLRP3 inflammasome pathway in necrotizing enterocolitis rats. Nutr. Metab. 2021, 18, 5. [Google Scholar] [CrossRef]
- Quinn, E.M.; Slattery, H.; Thompson, A.P.; Kilcoyne, M.; Joshi, L.; Hickey, R.M. Mining Milk for Factors which Increase the Adherence of Bifidobacterium longum subsp. infantis to Intestinal Cells. Foods 2018, 7, 196. [Google Scholar]
- Walsh, C.; Lane, J.A.; van Sinderen, D.; Hickey, R.M. Human milk oligosaccharide-sharing by a consortium of infant derived Bifidobacterium species. Sci. Rep. 2022, 12, 4143. [Google Scholar] [CrossRef]
- Kämpfer, A.A.M.; Urbán, P.; Gioria, S.; Kanase, N.; Stone, V.; Kinsner-Ovaskainen, A. Development of an in vitro co-culture model to mimic the human intestine in healthy and diseased state. Toxicol. Vitr. 2017, 45, 31–43. [Google Scholar] [CrossRef] [PubMed]
- Soyyılmaz, B.; Mikš, M.H.; Röhrig, C.H.; Matwiejuk, M.; Meszaros-Matwiejuk, A.; Vigsnæs, L.K. The Mean of Milk: A Review of Human Milk Oligosaccharide Concentrations throughout Lactation. Nutrients 2021, 13, 2737. [Google Scholar] [CrossRef] [PubMed]
- Blum, L.; Vincent, D.; Boettcher, M.; Knopf, J. Immunological aspects of necrotizing enterocolitis models: A review. Front. Immunol. 2024, 15, 1434281. [Google Scholar] [CrossRef] [PubMed]
- Managlia, E.; Yan, X.; De Plaen, I.G. Intestinal Epithelial Barrier Function and Necrotizing Enterocolitis. Newborn 2022, 1, 32–43. [Google Scholar] [CrossRef] [PubMed]
- Mihi, B.; Good, M. Impact of Toll-Like Receptor 4 Signaling in Necrotizing Enterocolitis: The State of the Science. Clin. Perinatol. 2019, 46, 145–157. [Google Scholar] [CrossRef]
- Jeurink, P.V.; van Bergenhenegouwen, J.; Jiménez, E.; Knippels, L.M.J.; Fernández, L.; Garssen, J.; Knol, J.; Rodríguez, J.M.; Martín, R. Human milk: A source of more life than we imagine. Benef. Microbes 2013, 4, 17–30. [Google Scholar] [CrossRef]
- Altobelli, E.; Angeletti, P.M.; Verrotti, A.; Petrocelli, R. The Impact of Human Milk on Necrotizing Enterocolitis: A Systematic Review and Meta-Analysis. Nutrients 2020, 12, 1322. [Google Scholar] [CrossRef]
- Bode, L. Human Milk Oligosaccharides in the Prevention of Necrotizing Enterocolitis: A Journey From in vitro and in vivo Models to Mother-Infant Cohort Studies. Front. Pediatr. 2018, 6, 385. [Google Scholar] [CrossRef]
- Böcker, U.; Yezerskyy, O.; Feick, P.; Manigold, T.; Panja, A.; Kalina, U.; Herweck, F.; Rossol, S.; Singer, M.V. Responsiveness of intestinal epithelial cell lines to lipopolysaccharide is correlated with Toll-like receptor 4 but not Toll-like receptor 2 or CD14 expression. Int. J. Color. Dis. 2003, 18, 25–32. [Google Scholar] [CrossRef]
- Kandasamy, J.; Huda, S.; Ambalavanan, N.; Jilling, T. Inflammatory signals that regulate intestinal epithelial renewal, differentiation, migration and cell death: Implications for necrotizing enterocolitis. Pathophysiology 2014, 21, 67–80. [Google Scholar] [CrossRef]
- Candelli, M.; Franza, L.; Pignataro, G.; Ojetti, V.; Covino, M.; Piccioni, A.; Gasbarrini, A.; Franceschi, F. Interaction between Lipopolysaccharide and Gut Microbiota in Inflammatory Bowel Diseases. Int. J. Mol. Sci. 2021, 22, 6242. [Google Scholar] [CrossRef] [PubMed]
- Andrews, C.; McLean, M.H.; Durum, S.K. Cytokine Tuning of Intestinal Epithelial Function. Front. Immunol. 2018, 9, 1270. [Google Scholar] [CrossRef] [PubMed]
- Hunter, C.J.; De Plaen, I.G. Inflammatory signaling in NEC: Role of NF-κB, cytokines and other inflammatory mediators. Pathophysiology 2014, 21, 55–65. [Google Scholar] [CrossRef] [PubMed]
- Maheshwari, A.; Schelonka, R.L.; Dimmitt, R.A.; Carlo, W.A.; Munoz-Hernandez, B.; Das, A.; McDonald, S.A.; Thorsen, P.; Skogstrand, K.; Hougaard, D.M.; et al. Cytokines associated with necrotizing enterocolitis in extremely-low-birth-weight infants. Pediatr. Res. 2014, 76, 100–108. [Google Scholar] [CrossRef]
- Cho, S.X.; Rudloff, I.; Lao, J.C.; Pang, M.A.; Goldberg, R.; Bui, C.B.; McLean, C.A.; Stock, M.; Klassert, T.E.; Slevogt, H.; et al. Characterization of the pathoimmunology of necrotizing enterocolitis reveals novel therapeutic opportunities. Nat. Commun. 2020, 11, 5794. [Google Scholar] [CrossRef]
- Bode, L.; Jantscher-Krenn, E. Structure-Function Relationships of Human Milk Oligosaccharides. Adv. Nutr. 2012, 3, 383S–391S. [Google Scholar] [CrossRef]
- Chen, X.; de Vos, P. Structure-function relationship and impact on the gut-immune barrier function of non-digestible carbohydrates and human milk oligosaccharides applicable for infant formula. Crit. Rev. Food Sci. Nutr. 2024, 64, 8325–8345. [Google Scholar] [CrossRef]
- Holscher, H.D.; Davis, S.R.; Tappenden, K.A. Human Milk Oligosaccharides Influence Maturation of Human Intestinal Caco-2Bbe and HT-29 Cell Lines12. J. Nutr. 2014, 144, 586–591. [Google Scholar] [CrossRef]
- Sodhi, C.P.; Wipf, P.; Yamaguchi, Y.; Fulton, W.B.; Kovler, M.; Niño, D.F.; Zhou, Q.; Banfield, E.; Werts, A.D.; Ladd, M.R.; et al. The human milk oligosaccharides 2′-fucosyllactose and 6′-sialyllactose protect against the development of necrotizing enterocolitis by inhibiting toll-like receptor 4 signaling. Pediatr. Res. 2021, 89, 91–101. [Google Scholar] [CrossRef]
- Yu, Z.-T.; Nanthakumar, N.N.; Newburg, D.S. The Human Milk Oligosaccharide 2′-Fucosyllactose Quenches Campylobacter jejuni–Induced Inflammation in Human Epithelial Cells HEp-2 and HT-29 and in Mouse Intestinal Mucosa123. J. Nutr. 2016, 146, 1980–1990. [Google Scholar] [CrossRef]
- Kuntz, S.; Rudloff, S.; Kunz, C. Oligosaccharides from human milk influence growth-related characteristics of intestinally transformed and non-transformed intestinal cells. Br. J. Nutr. 2008, 99, 462–471. [Google Scholar] [CrossRef]
- Lv, H.; Li, Q.; Zhou, Z.; Fang, H.; Chen, Q.; Shuai, Y. The protective effect of 2′-Fucosyllactose on LPS-induced colitis suckling mice by ameliorating intestinal inflammation and modulating gut microbiota. Food Biosci. 2023, 51, 102317. [Google Scholar] [CrossRef]
- Huang, Z.; Li, Y.; Luo, Y.; Guo, H. Human milk oligosaccharides 3′-sialyllactose and 6′-sialyllactose protect intestine against necrotizing enterocolitis damage induced by hypoxia. J. Funct. Foods 2021, 86, 104708. [Google Scholar] [CrossRef]
- Kim, J.Y.; Lee, S.; Kim, G.; Shin, H.J.; Lee, E.J.; Lee, C.S.; Yoon, S.; Lee, E.; Lim, A.; Kim, S.H. Ameliorating effect of 2′-fucosyllactose and 6′-sialyllactose on lipopolysaccharide-induced intestinal inflammation. J. Dairy Sci. 2024, 107, 4147–4160. [Google Scholar] [CrossRef] [PubMed]
- Terrazas, L.I.; Walsh, K.L.; Piskorska, D.; McGuire, E.; Harn, D.A., Jr. The Schistosome Oligosaccharide Lacto-N-neotetraose Expands Gr1+ Cells That Secrete Anti-inflammatory Cytokines and Inhibit Proliferation of Naive CD4+ Cells: A Potential Mechanism for Immune Polarization in Helminth Infections. J. Immunol. 2001, 167, 5294–5303. [Google Scholar] [CrossRef] [PubMed]
- Farhadihosseinabadi, B.; Gholipourmalekabadi, M.; Salimi, M.; Abdollahifar, M.-A.; Bagheri, M.; Samadikuchaksaraei, A.; Ghanbarian, H.; Mozafari, M.; Kazemi, B.; Niknejad, H. The in vivo effect of Lacto-N-neotetraose (LNnT) on the expression of type 2 immune response involved genes in the wound healing process. Sci. Rep. 2020, 10, 997. [Google Scholar] [CrossRef]
- Rudloff, S.; Pohlentz, G.; Diekmann, L.; Egge, H.; Kunz, C. Urinary excretion of lactose and oligosaccharides in preterm infants fed human milk or infant formula. Acta Paediatr. 1996, 85, 598–603. [Google Scholar] [CrossRef]
- Goehring, K.C.; Kennedy, A.D.; Prieto, P.A.; Buck, R.H. Direct Evidence for the Presence of Human Milk Oligosaccharides in the Circulation of Breastfed Infants. PLoS ONE 2014, 9, e101692. [Google Scholar] [CrossRef]
- Rudloff, S.; Kunz, C. Milk Oligosaccharides and Metabolism in Infants. Adv. Nutr. 2012, 3, 398S–405S. [Google Scholar] [CrossRef]
- Ruhaak, L.R.; Stroble, C.; Underwood, M.A.; Lebrilla, C.B. Detection of milk oligosaccharides in plasma of infants. Anal. Bioanal. Chem. 2014, 406, 5775–5784. [Google Scholar] [CrossRef]
- Noll, A.J.; Yu, Y.; Lasanajak, Y.; Duska-McEwen, G.; Buck, R.H.; Smith, D.F.; Cummings, R.D. Human DC-SIGN binds specific human milk glycans. Biochem. J. 2016, 473, 1343–1353. [Google Scholar] [CrossRef] [PubMed]
- Soares, C.O.; Grosso, A.S.; Ereño-Orbea, J.; Coelho, H.; Marcelo, F. Molecular Recognition Insights of Sialic Acid Glycans by Distinct Receptors Unveiled by NMR and Molecular Modeling. Front. Mol. Biosci. 2021, 8, 727847. [Google Scholar] [CrossRef]
- Bhunia, A.; Jayalakshmi, V.; Benie, A.J.; Schuster, O.; Kelm, S.; Rama Krishna, N.; Peters, T. Saturation transfer difference NMR and computational modeling of a sialoadhesin–sialyl lactose complex. Carbohydr. Res. 2004, 339, 259–267. [Google Scholar] [CrossRef] [PubMed]
- Ha, S.-H.; Kwak, C.-H.; Park, J.-Y.; Abekura, F.; Lee, Y.-C.; Kim, J.-s.; Chung, T.-W.; Kim, C.-H. 3′-sialyllactose targets cell surface protein, SIGLEC-3, and induces megakaryocyte differentiation and apoptosis by lipid raft-dependent endocytosis. Glycoconj. J. 2020, 37, 187–200. [Google Scholar] [CrossRef] [PubMed]
- Koliwer-Brandl, H.; Siegert, N.; Umnus, K.; Kelm, A.; Tolkach, A.; Kulozik, U.; Kuballa, J.; Cartellieri, S.; Kelm, S. Lectin inhibition assays for the analysis of bioactive milk sialoglycoconjugates. Int. Dairy J. 2011, 21, 413–420. [Google Scholar] [CrossRef]
- de Kivit, S.; Kraneveld, A.D.; Knippels, L.M.J.; van Kooyk, Y.; Garssen, J.; Willemsen, L.E.M. Intestinal Epithelium-Derived Galectin-9 Is Involved in the Immunomodulating Effects of Nondigestible Oligosaccharides. J. Innate Immun. 2013, 5, 625–638. [Google Scholar] [CrossRef]
- Kitova, E.N.; El-Hawiet, A.; Klassen, J.S. Screening Carbohydrate Libraries for Protein Interactions Using the Direct ESI-MS Assay. Applications to Libraries of Unknown Concentration. J. Am. Soc. Mass Spectrom. 2014, 25, 1908–1916. [Google Scholar] [CrossRef]
- Kawai, T.; Akira, S. Signaling to NF-κB by Toll-like receptors. Trends Mol. Med. 2007, 13, 460–469. [Google Scholar] [CrossRef]
- Duan, T.; Du, Y.; Xing, C.; Wang, H.Y.; Wang, R.-F. Toll-Like Receptor Signaling and Its Role in Cell-Mediated Immunity. Front. Immunol. 2022, 13, 812774. [Google Scholar] [CrossRef]
- Cheng, L.; Kiewiet, M.B.G.; Groeneveld, A.; Nauta, A.; de Vos, P. Human milk oligosaccharides and its acid hydrolysate LNT2 show immunomodulatory effects via TLRs in a dose and structure-dependent way. J. Funct. Foods 2019, 59, 174–184. [Google Scholar] [CrossRef]
- Asakuma, S.; Yokoyama, T.; Kimura, K.; Watanabe, Y.; Nakamura, T.; Fukuda, K.; Urashima, T. Effect of Human Milk Oligosaccharides on Messenger Ribonucleic Acid Expression of Toll-like Receptor 2 and 4, and of MD2 in the Intestinal Cell Line HT-29. J. Appl. Glycosci. 2010, 57, 177–183. [Google Scholar] [CrossRef][Green Version]
- Vinderola, G.; Matar, C.; Perdigon, G. Role of Intestinal Epithelial Cells in Immune Effects Mediated by Gram-Positive Probiotic Bacteria: Involvement of Toll-Like Receptors. Clin. Vaccine Immunol. 2005, 12, 1075–1084. [Google Scholar] [CrossRef] [PubMed]
- Takiishi, T.; Fenero, C.I.M.; Câmara, N.O.S. Intestinal barrier and gut microbiota: Shaping our immune responses throughout life. Tissue Barriers 2017, 5, e1373208. [Google Scholar] [CrossRef] [PubMed]
- Nagpal, R.; Yadav, H. Bacterial Translocation from the Gut to the Distant Organs: An Overview. Ann. Nutr. Metab. 2017, 71, 11–16. [Google Scholar] [CrossRef]
- O’Sullivan, A.; Farver, M.; Smilowitz, J.T. Article Commentary: The Influence of Early Infant-Feeding Practices on the Intestinal Microbiome and Body Composition in Infants. Nutr. Metab. Insights 2015, 8s1, NMI.S29530. [Google Scholar] [CrossRef]
- Chong, H.-Y.; Tan, L.T.-H.; Law, J.W.-F.; Hong, K.-W.; Ratnasingam, V.; Ab Mutalib, N.-S.; Lee, L.-H.; Letchumanan, V. Exploring the Potential of Human Milk and Formula Milk on Infants’ Gut and Health. Nutrients 2022, 14, 3554. [Google Scholar] [CrossRef]
- Holscher, H.D.; Bode, L.; Tappenden, K.A. Human Milk Oligosaccharides Influence Intestinal Epithelial Cell Maturation In Vitro. J. Pediatr. Gastroenterol. Nutr. 2017, 64, 296–301. [Google Scholar] [CrossRef]
- Wu, R.Y.; Li, B.; Koike, Y.; Määttänen, P.; Miyake, H.; Cadete, M.; Johnson-Henry, K.C.; Botts, S.R.; Lee, C.; Abrahamsson, T.R.; et al. Human Milk Oligosaccharides Increase Mucin Expression in Experimental Necrotizing Enterocolitis. Mol. Nutr. Food Res. 2019, 63, 1800658. [Google Scholar] [CrossRef]
- Cheng, L.; Kong, C.; Walvoort, M.T.C.; Faas, M.M.; de Vos, P. Human Milk Oligosaccharides Differently Modulate Goblet Cells Under Homeostatic, Proinflammatory Conditions and ER Stress. Mol. Nutr. Food Res. 2020, 64, 1900976. [Google Scholar] [CrossRef]
- Perdijk, O.; van Baarlen, P.; Fernandez-Gutierrez, M.M.; van den Brink, E.; Schuren, F.H.J.; Brugman, S.; Savelkoul, H.F.J.; Kleerebezem, M.; van Neerven, R.J.J. Sialyllactose and Galactooligosaccharides Promote Epithelial Barrier Functioning and Distinctly Modulate Microbiota Composition and Short Chain Fatty Acid Production In Vitro. Front. Immunol. 2019, 10, 94. [Google Scholar] [CrossRef]
- Bates, J.M.; Akerlund, J.; Mittge, E.; Guillemin, K. Intestinal Alkaline Phosphatase Detoxifies Lipopolysaccharide and Prevents Inflammation in Zebrafish in Response to the Gut Microbiota. Cell Host Microbe 2007, 2, 371–382. [Google Scholar] [CrossRef]





| Sample | HMO Concentration (g/L) | |||||
|---|---|---|---|---|---|---|
| 2′-FL | LNT | LNnT | 6′-SL | LNFP I | Total | |
| Glucose | 3.8 * | |||||
| BM-HMO | 3.8 ** | |||||
| HMO5 | 1.2 | 0.8 | 0.6 | 0.4 | 0.8 | 3.8 |
| HMO4 | 1.2 | 0.8 | 0.6 | 0.8 | 3.4 | |
| HMO3 | 1.2 | 0.6 | 0.4 | 2.2 | ||
| 2′-FL + LNFP I | 1.2 | 0.8 | 2 | |||
| 2′-FL + 6′-SL | 1.2 | 0.4 | 1.6 | |||
| 2′-FL | 1.2 | 1.2 | ||||
| LNT | 0.8 | 0.8 | ||||
| LNnT | 0.6 | 0.6 | ||||
| 6′-SL | 0.4 | 0.4 | ||||
| Dosage | Relation to Regulatory | HMO Concentration (g/L) | ||||||
|---|---|---|---|---|---|---|---|---|
| 2′-FL | LNT | LNnT | 6′-SL | LNFP I | Total | |||
| Glucose | Low | NA | 1.9 * | |||||
| Standard | NA | 3.8 * | ||||||
| High | NA | 7.6 * | ||||||
| BM-HMO | Low | NA | 1.9 ** | |||||
| Standard | NA | 3.8 ** | ||||||
| High | NA | 7.6 ** | ||||||
| HMO5 | Low | 0.5× | 0.6 | 0.4 | 0.3 | 0.2 | 0.4 | 1.9 |
| Standard | 1× | 1.2 | 0.8 | 0.6 | 0.4 | 0.8 | 3.8 | |
| High | 2× | 2.4 | 1.6 | 1.2 | 0.8 | 1.6 | 7.6 | |
| 2′-FL and 6′-SL | Low | 0.5× | 0.6 | 0.2 | 0.8 | |||
| Standard | 1× | 1.2 | 0.4 | 1.6 | ||||
| High | 2× | 2.4 | 0.8 | 3.2 | ||||
| 2′-FL | Low | 0.5× | 0.6 | 0.6 | ||||
| Standard | 1× | 1.2 | 1.2 | |||||
| High | 2× | 2.4 | 2.4 | |||||
| 6′-SL | Low | 0.5× | 0.2 | 0.2 | ||||
| Standard | 1× | 0.4 | 0.4 | |||||
| High | 2× | 0.8 | 0.8 | |||||
| Treatment | HMO Concentration (mg/mL) | Ratio | ||
|---|---|---|---|---|
| 2′-FL | 6′-SL | Final | 2′-FL: 6′-SL | |
| Glucose | 1.6 * | |||
| BM-HMO | 1.6 ** | |||
| 2′-FL, 6′-SL combination | 1.2 | 0.4 | 1.6 | 3:1 |
| 1.2 | 0.3 | 1.5 | 4:1 | |
| 1.2 | 0.2 | 1.4 | 6:1 | |
| 0.6 | 0.3 | 0.9 | 2:1 | |
| 0.6 | 0.2 | 0.8 | 3:1 | |
| 2′-FL | 1.2 | 1.2 | ||
| 0.6 | 0.6 | |||
| 6′-SL | 0.4 | 0.4 | ||
| 0.3 | 0.3 | |||
| 0.2 | 0.2 | |||
| Treatment | Concentration (mg/mL) | Ratio | Cytokine Concentration (pg/mL) | TEER (ohm·cm2) | ||||||||||||||||||
|---|---|---|---|---|---|---|---|---|---|---|---|---|---|---|---|---|---|---|---|---|---|---|
| 2′-FL | 6′-SL | Total | 2′-FL: 6′-SL | TNFa | IL-1β | IL-6 | IL-8 | IL-10 | ||||||||||||||
| BM-HMO | 1.6 | 2295 | ± | 289.7 c | 338.2 | ± | 33.78 de | 350.3 | ± | 44.75 c | 7207.0 | ± | 1738.22 d | 285.6 | ± | 36.35 ac | 1002.7 | ± | 151.48 a | |||
| Glucose | 1.6 | 4165 | ± | 716.3 a | 528.9 | ± | 76.28 a | 515.4 | ± | 37.65 a | 17,907.6 | ± | 4091.36 ab | 305.7 | ± | 73.54 ab | 781.7 | ± | 95.09 b | |||
| 2′-FL, 6′-SLcombination | 1.2 | 0.4 | 1.6 | 3:1 | 2423 | ± | 366.4 c | 323.5 | ± | 60.07 e | 425.7 | ± | 66.35 ac | 7197.0 | ± | 1198.30 d | 353.3 | ± | 94.15 a | 957.7 | ± | 125.59 ab |
| 1.2 | 0.3 | 1.5 | 4:1 | 2397 | ± | 237.6 bc | 336.7 | ± | 29.48 ce | 489.4 | ± | 57.13 ac | 8874.7 | ± | 3159.06 cd | 350.3 | ± | 29.87 a | 965.2 | ± | 117.83 ab | |
| 1.2 | 0.2 | 1.4 | 6:1 | 2401 | ± | 601.89 bc | 412.2 | ± | 35.81 ae | 492.1 | ± | 43.63 ac | 10,353.0 | ± | 3150.69 bd | 350.8 | ± | 69.29 ac | 855.5 | ± | 131.16 ab | |
| 0.6 | 0.3 | 0.9 | 2:1 | 2769 | ± | 564.30 bc | 321.1 | ± | 88.95 de | 491.1 | ± | 92.87 ab | 8404.4 | ± | 1826.54 cd | 287.5 | ± | 58.64 ac | 920.5 | ± | 89.39 ab | |
| 0.6 | 0.2 | 0.8 | 3:1 | 2647 | ± | 618.41 bc | 378.8 | ± | 68.18 be | 552.1 | ± | 21.88 a | 13,439.3 | ± | 4449.65 ad | 277.6 | ± | 72.77 ac | 880.5 | ± | 70.40 ab | |
| 2′-FL | 1.2 | 1.2 | 2389 | ± | 350.03 c | 376 | ± | 88.39 abc | 464.7 | ± | 113.93 ab | 10,791.7 | ± | 3017.57 bd | 95.1 | ± | 18.65 c | 955.7 | ± | 94.31 ab | ||
| 0.6 | 0.6 | 2979 | ± | 927.92 bc | 487 | ± | 91.04 be | 481.3 | ± | 47.50 ab | 14,515.3 | ± | 3097.11 abc | 80.2 | ± | 9.25 c | 886.5 | ± | 64.35 ab | |||
| 6′-SL | 0.4 | 0.4 | 2741 | ± | 464.5 bc | 445.3 | ± | 55.64 abcd | 384.1 | ± | 39.64 a | 10,542.2 | ± | 2908.20 bd | 273.6 | ± | 64.07 ac | 911.5 | ± | 101.89 ab | ||
| 0.3 | 0.3 | 2460 | ± | 501.64 c | 503.5 | ± | 138.80 ab | 496.7 | ± | 26.59 b | 16,151.1 | ± | 3327.28 abc | 211.6 | ± | 41.32 bc | 871.2 | ± | 84.20 ab | |||
| 0.2 | 0.2 | 3564 | ± | 993.39 ab | 512.6 | ± | 108.16 ae | 461.1 | ± | 53.15 ab | 18,472.2 | ± | 8935.83 a | 197.6 | ± | 69.78 bc | 756.2 | ± | 77.08 ab | |||
Disclaimer/Publisher’s Note: The statements, opinions and data contained in all publications are solely those of the individual author(s) and contributor(s) and not of MDPI and/or the editor(s). MDPI and/or the editor(s) disclaim responsibility for any injury to people or property resulting from any ideas, methods, instructions or products referred to in the content. |
© 2024 by the authors. Licensee MDPI, Basel, Switzerland. This article is an open access article distributed under the terms and conditions of the Creative Commons Attribution (CC BY) license (https://creativecommons.org/licenses/by/4.0/).
Share and Cite
Walsh, C.; Lane, J.A.; van Sinderen, D.; Hickey, R.M. Tailored Combinations of Human Milk Oligosaccharides Modulate the Immune Response in an In Vitro Model of Intestinal Inflammation. Biomolecules 2024, 14, 1481. https://doi.org/10.3390/biom14121481
Walsh C, Lane JA, van Sinderen D, Hickey RM. Tailored Combinations of Human Milk Oligosaccharides Modulate the Immune Response in an In Vitro Model of Intestinal Inflammation. Biomolecules. 2024; 14(12):1481. https://doi.org/10.3390/biom14121481
Chicago/Turabian StyleWalsh, Clodagh, Jonathan A. Lane, Douwe van Sinderen, and Rita M. Hickey. 2024. "Tailored Combinations of Human Milk Oligosaccharides Modulate the Immune Response in an In Vitro Model of Intestinal Inflammation" Biomolecules 14, no. 12: 1481. https://doi.org/10.3390/biom14121481
APA StyleWalsh, C., Lane, J. A., van Sinderen, D., & Hickey, R. M. (2024). Tailored Combinations of Human Milk Oligosaccharides Modulate the Immune Response in an In Vitro Model of Intestinal Inflammation. Biomolecules, 14(12), 1481. https://doi.org/10.3390/biom14121481

