Co-Application of Tetramycin and Chitosan in Controlling Leaf Spot Disease of Kiwifruit and Enhancing Its Resistance, Photosynthesis, Quality and Amino Acids
Abstract
:1. Introduction
2. Materials and Methods
2.1. Pathogens, Fungicides and Culture Medium
2.2. Toxicity Tests of Tetramycin and Chitosan In Vitro
2.3. Field Control Experiment of Leaf Spot Disease
number of leaves × the highest grade)
2.4. Determination of Disease Resistance Parameters and Photosynthetic Characteristics of Kiwifruit Leaves
2.5. Determination of Yield, Quality and Amino Acids of Kiwifruit
2.6. Statistical Analyses
3. Results
3.1. Toxicity of Tetramycin and Chitosan against Pathogens of Leaf Spot Disease
3.2. Field Control Effect of Tetramycin and Chitosan against Leaf Spot Disease of Kiwifruit
3.3. Effects of Tetramycin and Chitosan on Resistance Compounds and Enzyme Activities of Kiwifruit Leaves
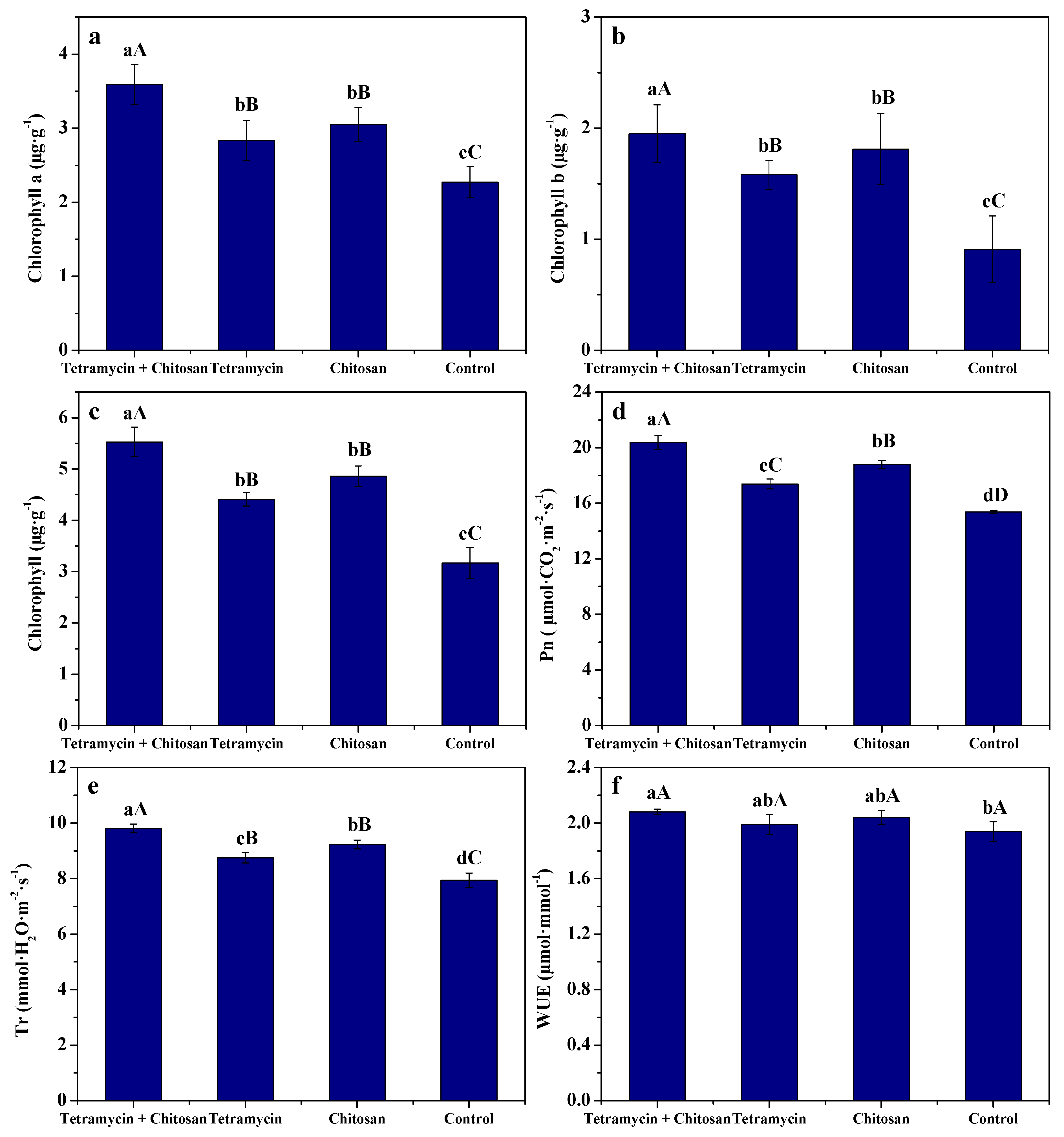
3.4. Effects of Tetramycin and Chitosan on Photosynthetic Characteristics of Kiwifruit Leaves
3.5. Effects of Tetramycin and Chitosan on Growth, Quality and Amino Acids of Kiwifruit Fruits
4. Discussion
5. Conclusions
Author Contributions
Funding
Institutional Review Board Statement
Informed Consent Statement
Data Availability Statement
Conflicts of Interest
References
- Hu, H.L.; Zhou, H.S.; Li, P.X. Lacquer Wax Coating Improves the Sensory and Quality Attributes of Kiwifruit during Ambient Storage. Sci. Hortic. 2019, 244, 31–41. [Google Scholar] [CrossRef]
- Wang, Q.P.; Zhang, C.; Li, J.H.; Wu, X.M.; Long, Y.H.; Su, Y. Intercropping Vicia sativa L. Improves the Moisture, Microbial Community, Enzyme Activity and Nutrient in Rhizosphere Soils of Young Kiwifruit Plants and Enhances Plant Growth. Horticulturae 2021, 7, 335. [Google Scholar] [CrossRef]
- Wang, Q.P.; Zhang, C.; Long, Y.H.; Wu, X.M.; Su, Y.; Lei, Y.; Ai, Q. Bioactivity and Control Efficacy of the Novel Antibiotic Tetramycin Against Various Kiwifruit Diseases. Antibiotics 2021, 10, 289. [Google Scholar] [CrossRef] [PubMed]
- Zhao, J.M.; Gao, G.T.; Gu, L.J.; Sun, X.Y.; Xue, X.Y.; Geng, P.F.; Lei, Y.S. Identification and Pharmaceutical Screening of Brown Spot Disease on Actinidia chinensis. Sci. Agric. Sin. 2013, 46, 4916–4925. [Google Scholar] [CrossRef]
- Yuan, G.Q.; Xie, Y.L.; Tan, D.C.; Li, Q.Q.; Lin, W. First Report of Leaf Spot Caused by Corynespora cassiicola on Kiwifruit (Actinidia chinensis) in China. Plant Dis. 2014, 98, 1586. [Google Scholar] [CrossRef] [PubMed]
- Kikuhara, K.; Nakashima, C. Sooty Spot of Kiwifruit Caused by Pseudocercospora actinidiae deighton. J. Gen. Plant Pathol. 2008, 74, 185–187. [Google Scholar] [CrossRef]
- Jeong, I.H.; Lim, M.T.; Kim, G.H.; Han, T.W.; Koh, Y.J. Incidences of Leaf Spots and Blights on Kiwifruit in Korea. Plant Pathol. J. 2008, 24, 125–130. [Google Scholar] [CrossRef] [Green Version]
- Shi, J.Q.; Zhang, R.Q.; Long, Y.H.; Hu, A.L.; Mo, F.X.; Li, W.Z. Identification and Biological Characteristics of a Kiwifruit Leaf Spot Disease Pathogen. North. Hortic. 2021, 12, 44–49. [Google Scholar]
- Ran, F.; Zhang, R.Q.; Yuan, T.; Ma, J.L.; Yin, X.H.; Li, W.Z.; Fan, R.; Wu, X.M.; Long, Y.H. Isolation and Identification of the Pathogen of ‘Hongyang’ Kiwifruit Brown Spot and Toxicity of Fungicides to the Pathogen. China Fruits 2021, 6, 27–32. [Google Scholar]
- Cameron, A.; Sarojini, V. Pseudomonas syringae pv. actinidiae: Chemical Control, Resistance Mechanisms and Possible Alternatives. Plant. Pathol. 2014, 63, 1–11. [Google Scholar] [CrossRef]
- Wicaksono, W.A.; Jones, E.E.; Casonato, S.; Monk, J.; Ridgway, H.J. Biological Control of Pseudomonas syringae pv. actinidiae (Psa), the Causal Agent of Bacterial Canker of Kiwifruit, Using Endophytic Bacteria Recovered from a Medicinal Plant. Biol. Control 2018, 116, 103–112. [Google Scholar] [CrossRef]
- Slusarenko, A.J.; Patel, A.; Portz, D. Control of Plant Diseases by Natural products: Allicin Fromgarlic as a Case Study. Eur. J. Plant Pathol. 2008, 121, 313–322. [Google Scholar] [CrossRef]
- Borlinghaus, J.; Albrecht, F.; Martin, G.C.H.; Nwachukwu, I.D.; Slusarenko, A.J. Allicin: Chemistry and Biological Properties. Molecules 2014, 19, 12591–12618. [Google Scholar] [CrossRef] [PubMed] [Green Version]
- Bo, C.; Fen, Y.; Zheng, X.; Cui, D.; Shao, Y.; Zhu, C. Genome Mining of the Biosynthetic Gene Cluster of the Polyene Macrolide Antibiotic Tetramycin and Characterization of a P450 Monooxygenase Involved in the Hydroxylation of the Tetramycin B Polyol Segment. Chem. Biochem. 2012, 13, 34–42. [Google Scholar] [CrossRef]
- Ren, J.; Cui, Y.; Zhang, F.; Cui, H.; Ni, X.; Chen, F.; Li, L.; Xia, H. Enhancement of Nystatin Production by Redirecting Precursor Fluxes after Disruption of the Tetramycin Gene from Streptomyces ahygroscopicus. Microbiol. Res. 2014, 169, 602–608. [Google Scholar] [CrossRef]
- Zhao, X.; Zhong, L.; Zhang, Q.; Xu, C.; Zhu, H.; Lu, Z.; Shen, L.; Wang, G.; Jie, D. Effect of Tetramycin on Mycelia Growth and Spore Germination of Rice Blast Pathogen. J. Microbiol. 2010, 2, 43–45. [Google Scholar]
- Song, Y.; He, L.; Chen, L.; Ren, Y.; Lu, H.; Geng, S.; Mu, W.; Liu, F. Baseline Sensitivity and Control Efficacy of Antibiosis Fungicide Tetramycin against Botrytis cinerea. Eur. J. Plant Pathol. 2016, 146, 337–347. [Google Scholar] [CrossRef]
- Chen, L.L.; Guo, B.B.; Li, B.X.; Mu, W.; Liu, F. Toxicity and Control Efficacy of Tetramycin against Passalora fulva. Chin. J. Pestic. Sci. 2017, 19, 324–330. [Google Scholar]
- Ma, D.C.; Zhu, J.M.; He, L.; Cui, K.; Mu, W.; Liu, F. Baseline Sensitivity and Control Efficacy of Tetramycin against Phytophthora capsici Isolates in china. Plant Dis. 2017, 102, 863–868. [Google Scholar] [CrossRef] [Green Version]
- Gao, Y.; He, L.; Li, X.; Lin, J.; Mu, W.; Liu, F. Toxicity and Biochemical Action of the Antibiotic Fungicide Tetramycin on Colletotrichum scovillei. Pestic. Biochem. Physiol. 2018, 147, 51–58. [Google Scholar] [CrossRef]
- Ma, D.C.; Zhu, J.M.; Jiang, J.G.; Zhao, Y.H.; Li, B.X.; Mu, W.; Liu, F. Evaluation of Bioactivity and Control Efficacy of Tetramycin against Corynespora cassiicola. Pestic. Biochem. Physiol. 2018, 152, 106–113. [Google Scholar] [CrossRef] [PubMed]
- Wang, L.P.; Chang, G.B.; Meng, S.; Sun, C.H. Study on the Poplar Canker Disease Controlled using Four Hygromycin in Field. J. Microbiol. 2014, 34, 68–70. [Google Scholar]
- Li, H.; Liu, J.B.; Wang, T.J.; Jiang, H.; Zhang, R.B.; Guan, W.J. Research Progress of ATP-binding Cassette Transporters in Polyene Antibiotic Biosynthesis Gene Cluster. Microbiol. China 2014, 41, 950–958. [Google Scholar]
- Verlee, A.; Mincke, S.; Stevens, C.V. Recent Developments in Antibacterial and Antifungal Chitosan and Its Derivatives. Carbohyd. Polym. 2017, 164, 268–283. [Google Scholar] [CrossRef] [PubMed]
- Chakraborty, M.; Hasanuzzaman, M.; Rahman, M.; Khan, M.; Bhowmik, P.; Mahmud, N.U.; Tanveer, M.; Islam, T. Mechanism of Plant Growth Promotion and Disease Suppression by Chitosan Biopolymer. Agriculture 2020, 10, 624. [Google Scholar] [CrossRef]
- Torres-Rodriguez, J.A.; Reyes-Pérez, J.J.; Castellanos, T.; Angulo, C.; Hernandez-Montiel, L.G. A Biopomyler with Antimicrobial Properties and Plant Resistance Inducer Against Phytopathogens: Chitosan. Not. Sci. Biol. 2021, 49, 12231. [Google Scholar] [CrossRef]
- Rahman, M.; Mukta, J.A.; Sabir, A.A.; Gupta, D.R.; Mohi-ud-din, M.; Hasanuzzaman, M.; Miah, M.G.; Rahman, M.; Islam, M.T. Chitosan Biopolymer Promotes Yield and Stimulates Accumulation of Antioxidants in Strawberry Fruit. PLoS ONE 2018, 13, e0203769. [Google Scholar] [CrossRef]
- Coutinho, T.C.; Ferreira, M.C.; Rosa, L.H.; De Oliveira, A.M.; De Oliveira Júnior, E.N. Penicillium citrinum and Penicillium mallochii: New Phytopathogens of Orange Fruit and Their Control Using Chitosan. Carbohyd. Polym. 2020, 234, 115918. [Google Scholar] [CrossRef]
- El Amerany, F.; Meddich, A.; Wahbi, S.; Porzel, A.; Taourirte, M.; Rhazi, M.; Hause, B. Foliar Application of Chitosan Increases Tomato Growth and Influences Mycorrhization and Expression of Endo-Chitinase-Encoding Genes. Int. J. Mol. Sci. 2020, 21, 535. [Google Scholar] [CrossRef] [Green Version]
- Rusin, C.; RossiCavalcanti, F.; De Lima, P.C.G.; Rios Faria, C.M.D.; Almança, M.A.K.; Botelho, R.V. Control of the fungi lasiodiplodia theobromae, the causal agent of dieback, in cv. syrah grapevines. Acta Sci. Agron. 2021, 43, e44785. [Google Scholar] [CrossRef]
- Li, J.H.; Guo, Z.X.; Luo, Y.; Wu, X.M.; An, H.M. Chitosan Can Induce Rosa roxburghii Tratt. against Sphaerotheca sp. and Enhance Its Resistance, Photosynthesis, Yield, and Quality. Horticulturae 2021, 7, 289. [Google Scholar] [CrossRef]
- Wang, Q.P.; Zhang, C.; Wu, X.M.; Long, Y.H.; Su, Y. Chitosan Augments Tetramycin Against Soft Rot in Kiwifruit and Enhances Its Improvement for Kiwifruit Growth, Quality and Aroma. Biomolecules 2021, 11, 1257. [Google Scholar] [CrossRef] [PubMed]
- Zhang, C.; Long, Y.H.; Li, J.H.; Li, M.; Xing, D.K.; An, H.M.; Wu, X.M.; Wu, Y.Y. A Chitosan Composite Film Sprayed before Pathogen Infection Effectively Controls Postharvest Soft Rot in Kiwifruit. Agronomy 2020, 10, 265. [Google Scholar] [CrossRef] [Green Version]
- Zhang, C.; Wang, Q.P.; Wu, X.M.; Long, Y.H.; Wu, Y.Y.; Huang, Y.X.; Tang, J.W. Effects of Forchlorfenuron on Amino Acids and Aroma Components of Guichang Kiwifruit Postharvests. J. Nucl. Agric. Sci. 2019, 33, 2186–2194. [Google Scholar] [CrossRef]
- Berger, L.R.R.; Stamford, N.P.; Willadino, L.G.; Laranjeira, D.; De Lima, M.A.B.; Malheiros, S.M.M.; Stamford, T.C.M. Cowpea Resistance Induced Against Fusarium oxysporum Sp. tracheiphilum by Crustaceous Chitosan and by Biomass and Chitosan Obtained from Cunninghamella elegans. Biol. Control 2016, 92, 45–54. [Google Scholar] [CrossRef]
- Vlot, A.C.; Sales, J.H.; Lenk, M.; Bauer, K.; Brambilla, A.; Sommer, A.; Nayem, S. Systemic Propagation of Immunity in Plants. New Phytol. 2020, 229, 1234–1250. [Google Scholar] [CrossRef]
- Lopez-Moya, F.; Suarez-Fernandez, M.; Lopez-Llorca, L.V. Molecular Mechanisms of Chitosan Interactions with Fungi and Plants. Int. J. Mol. Sci. 2019, 20, 332. [Google Scholar] [CrossRef] [Green Version]
- El-Mohamedya, R.S.R.; Abd El-Aziz, M.E.; Kamel, S. Antifungal Activity of Chitosan Nanoparticles against Some Plant Pathogenic Fungi In Vitro. Agric. Eng. Int. CIGR J. 2019, 21, 201–209. [Google Scholar]
- Yan, J.Q.; Cao, J.K.; Jiang, W.B.; Zhao, Y.M. Effects of Preharvest Oligochitosan Sprays on Postharvest Fungal Diseases, Storage Quality, and Defense Responses in Jujube (Zizyphus jujuba Mill. cv. Dongzao) Fruit. Sci. Hortic. 2012, 142, 196–204. [Google Scholar] [CrossRef]
- Ma, Z.X.; Yang, L.Y.; Yan, H.X.; Kennedy, J.F.; Meng, X.H. Chitosan and Oligochitosan Enhance the Resistance of Peach Fruit to Brown Rot. Carbohydr. Polym. 2013, 94, 272–277. [Google Scholar] [CrossRef]
- Dzung, N.A.; Khanh, V.T.P.; Dzung, T.T. Research on impact of chitosan oligomers on biophysical characteristics, growth, development and drought resistance of coffee. Carbohydr. Polym. 2011, 84, 751–755. [Google Scholar] [CrossRef]
- Zhu, S.T.; Wu, K. Nutritional evaluation of protein—Ratio coefficient of amino acid. Acta Nutr. Sin. 1988, 10, 187–190. [Google Scholar]
- Newman, D.J.; Cragg, G.M. Natural Products as Sources of New Drugs Over the 30 Years from 1981 to 2010. J. Nat. Prod. 2012, 75, 311–335. [Google Scholar] [CrossRef] [PubMed] [Green Version]




| Parameters | Content | Parameters | Content |
|---|---|---|---|
| Organic matter | 42.36 g kg−1 | Exchangeable calcium | 18.21 cmol kg−1 |
| Total nitrogen | 1.27 g kg−1 | Exchangeable magnesium | 251.34 mg kg−1 |
| Total phosphorus | 1.68 g kg−1 | Available zinc | 0.78 mg kg−1 |
| Total potassium | 1.15 g kg−1 | Available iron | 6.54 mg kg−1 |
| Available nitrogen | 95.85 mg kg−1 | Available manganese | 14.38 mg kg−1 |
| Available phosphorus | 16.25 mg kg−1 | Available boron | 0.16 mg kg−1 |
| Available potassium | 1.46 mg kg−1 | pH | 6.47 |
| Pathogens | Fungicides | Regression Equation | Determination Coefficient (R2) | EC50 (mg kg−1) |
|---|---|---|---|---|
| L. theobromae | 0.3% Tetramycin AS | y = 4.5323 + 1.2463x | 0.9840 | 2.37 |
| Chitosan | y = 6.0308 + 1.0580x | 0.9809 | 106.13 | |
| A. tenuissima | 0.3% Tetramycin AS | y = 5.7631 + 0.9705x | 0.9928 | 0.16 |
| Chitosan | y = 6.0232 + 0.9754x | 0.9775 | 89.31 |
| Treatments | Disease Index | Control Effect (%) |
|---|---|---|
| Tetramycin + Chitosan | 1.05 ± 0.09 dC | 89.44 ± 1.67 aA |
| Tetramycin | 2.01 ± 0.15 cC | 79.80 ± 3.06 bB |
| Chitosan | 4.33 ± 0.11 bB | 56.61 ± 4.18 cC |
| Control | 10.03 ± 0.78 aA |
| Treatments | Longitudinal Diameter (mm) | Transverse Diameter (mm) | Lateral Diameter (mm) | Fruit Shape Index | Single Fruit Volume (cm3) | Single Fruit Weight (g) |
|---|---|---|---|---|---|---|
| Tetramycin + Chitosan Tetramycin | 76.96 ± 0.50 a | 52.84 ± 0.78 a | 42.68 ± 0.26 a | 1.61 ± 0.03 a | 72.68 ± 1.78 a | 92.75 ± 0.11 a |
| 76.48 ± 0.21 ab | 52.60 ± 0.44 a | 42.10 ± 0.81 ab | 1.62 ± 0.01 a | 70.90 ± 1.02 a | 90.01 ± 0.71 b | |
| Chitosan | 76.13 ± 0.15 bc | 52.12 ± 0.48 a | 42.04 ± 0.27 ab | 1.62 ± 0.02 a | 69.83 ± 0.94 ab | 90.10 ± 0.72 b |
| Control | 75.60 ± 0.24 c | 51.78 ± 0.41 a | 41.24 ± 0.39 b | 1.62 ± 0.02 a | 67.60 ± 1.19 b | 86.29 ± 1.05 c |
| Treatments | Vitamin C (g kg−1) | Total Soluble Sugar (%) | Soluble Solid (%) | Dry Matter (%) | Titratable Acidity (%) |
|---|---|---|---|---|---|
| Tetramycin + Chitosan Tetramycin | 1.92 ± 0.02 a | 12.70 ± 0.15 a | 15.63 ± 0.06 a | 19.65 ± 0.07 a | 1.03 ± 0.03 b |
| 1.88 ± 0.01 a | 12.41 ± 0.08 b | 15.30 ± 0.10 b | 19.18 ± 0.03 b | 1.10 ± 0.04 a | |
| Chitosan | 1.89 ± 0.01 a | 12.63 ± 0.09 a | 15.47 ± 0.15 ab | 19.50 ± 0.06 a | 1.04 ± 0.01 b |
| Control | 1.84 ± 0.01 b | 12.07 ± 0.01 c | 14.43 ± 0.15 c | 18.41 ± 0.13 c | 1.16 ± 0.04 a |
| Amino Acids (g kg−1) | Tetramycin + Chitosan | Tetramycin | Chitosan | Control |
|---|---|---|---|---|
| Aspartic | 0.88 | 0.83 | 0.85 | 0.82 |
| Glutamate | 1.85 | 1.83 | 1.83 | 1.78 |
| Cystine | 0.97 | 0.94 | 0.94 | 0.96 |
| Serine | 0.77 | 0.77 | 0.76 | 0.75 |
| Glycine | 0.76 | 0.66 | 0.74 | 0.73 |
| Histidine | 0.68 | 0.67 | 0.67 | 0.64 |
| Arginine | 1.43 | 1.37 | 1.40 | 1.34 |
| Threonine | 0.45 | 0.46 | 0.47 | 0.47 |
| Alanine | 0.75 | 0.67 | 0.72 | 0.67 |
| Proline | 1.24 | 1.28 | 1.25 | 1.29 |
| Tyrosine | 0.65 | 0.65 | 0.66 | 0.64 |
| Valine | 0.66 | 0.60 | 0.64 | 0.62 |
| Methionine | 0.57 | 0.59 | 0.55 | 0.55 |
| Isoleucine | 0.61 | 0.60 | 0.57 | 0.55 |
| Leucine | 0.63 | 0.54 | 0.56 | 0.56 |
| Phenylalanine | 0.75 | 0.69 | 0.72 | 0.68 |
| Lysine | 0.94 | 0.84 | 0.88 | 0.86 |
| Sweet amino acids | 4.65 ± 0.04 a | 4.52 ± 0.09 ab | 4.62 ± 0.07 ab | 4.55 ± 0.03 b |
| Flavor amino acids | 3.66 ± 0.02 a | 3.50 ± 0.03 c | 3.56 ± 0.01 b | 3.47 ± 0.02 c |
| Bitter amino acids | 3.91 ± 0.05 a | 3.70 ± 0.06 c | 3.73 ± 0.02 b | 3.62 ± 0.01 c |
| Aromatic amino acids | 2.37 ± 0.05 a | 2.28 ± 0.06 b | 2.33 ± 0.05 ab | 2.28 ± 0.01 b |
| Essential amino acids | 4.60 ± 0.02 a | 4.32 ± 0.07 bc | 4.40 ± 0.04 b | 4.29 ± 0.06 c |
| Nonessential amino acids | 8.75 ± 0.08 a | 8.40 ± 0.12 c | 8.59 ± 0.06 b | 8.34 ± 0.04 c |
| Total amino acids | 14.59 ± 0.05 a | 14.00 ± 0.07 c | 14.23 ± 0.13 b | 13.91 ± 0.02 c |
Publisher’s Note: MDPI stays neutral with regard to jurisdictional claims in published maps and institutional affiliations. |
© 2022 by the authors. Licensee MDPI, Basel, Switzerland. This article is an open access article distributed under the terms and conditions of the Creative Commons Attribution (CC BY) license (https://creativecommons.org/licenses/by/4.0/).
Share and Cite
Zhang, C.; Li, H.; Wu, X.; Su, Y.; Long, Y. Co-Application of Tetramycin and Chitosan in Controlling Leaf Spot Disease of Kiwifruit and Enhancing Its Resistance, Photosynthesis, Quality and Amino Acids. Biomolecules 2022, 12, 500. https://doi.org/10.3390/biom12040500
Zhang C, Li H, Wu X, Su Y, Long Y. Co-Application of Tetramycin and Chitosan in Controlling Leaf Spot Disease of Kiwifruit and Enhancing Its Resistance, Photosynthesis, Quality and Amino Acids. Biomolecules. 2022; 12(4):500. https://doi.org/10.3390/biom12040500
Chicago/Turabian StyleZhang, Cheng, Haitao Li, Xiaomao Wu, Yue Su, and Youhua Long. 2022. "Co-Application of Tetramycin and Chitosan in Controlling Leaf Spot Disease of Kiwifruit and Enhancing Its Resistance, Photosynthesis, Quality and Amino Acids" Biomolecules 12, no. 4: 500. https://doi.org/10.3390/biom12040500
APA StyleZhang, C., Li, H., Wu, X., Su, Y., & Long, Y. (2022). Co-Application of Tetramycin and Chitosan in Controlling Leaf Spot Disease of Kiwifruit and Enhancing Its Resistance, Photosynthesis, Quality and Amino Acids. Biomolecules, 12(4), 500. https://doi.org/10.3390/biom12040500
