Dynamics of the Creation of a Rotating Bose–Einstein Condensation by Two Photon Raman Transition Using a Laguerre–Gaussian Laser Pulse
Abstract
1. Introduction
2. Theoretical Methods
3. Numerical Methods
4. Results and Discussion
4.1. Creation of Vortex in the BEC
4.2. Density Evolution of the Condensates
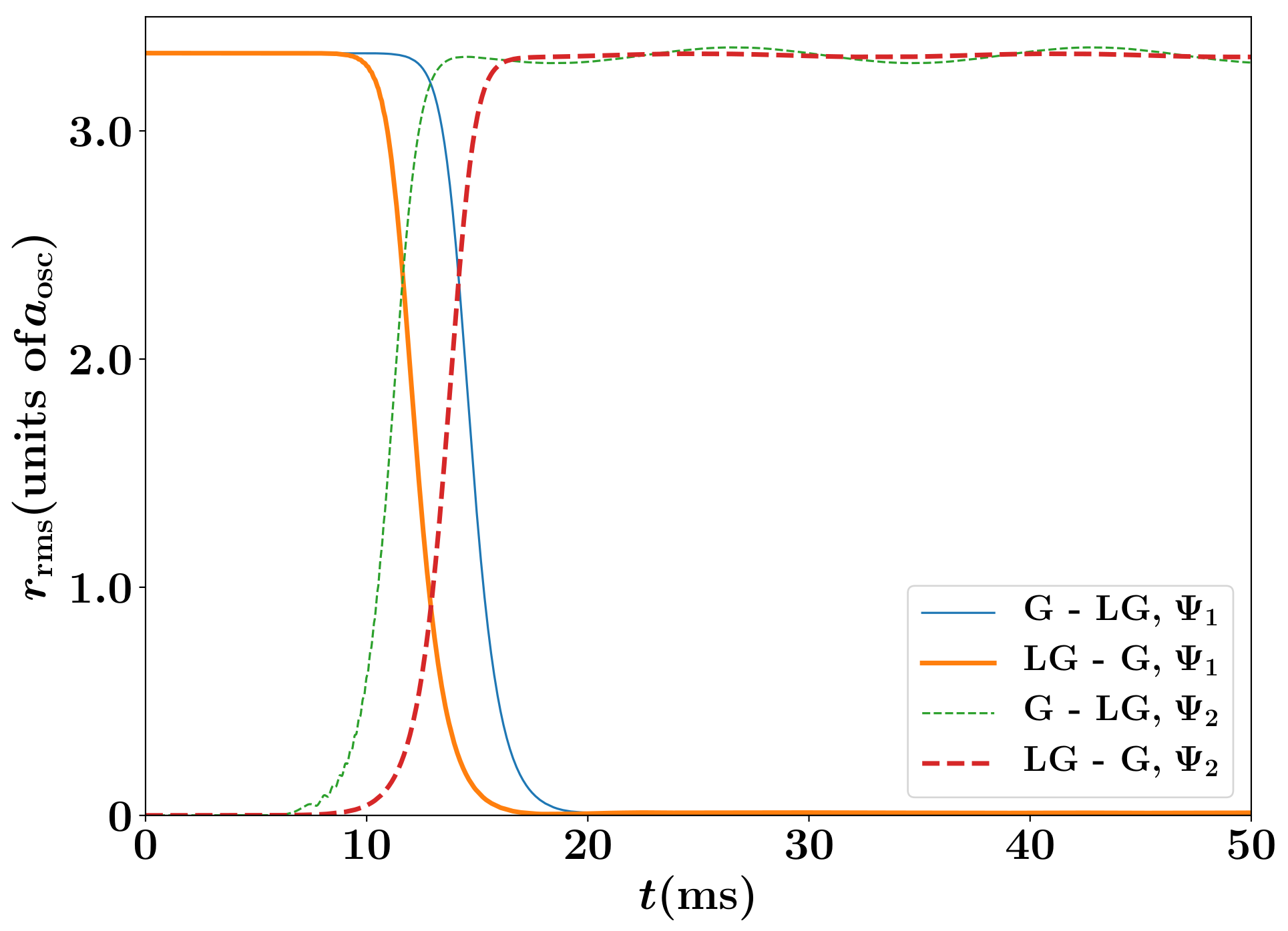
4.3. Root-Mean-Square Radius of the Condensates
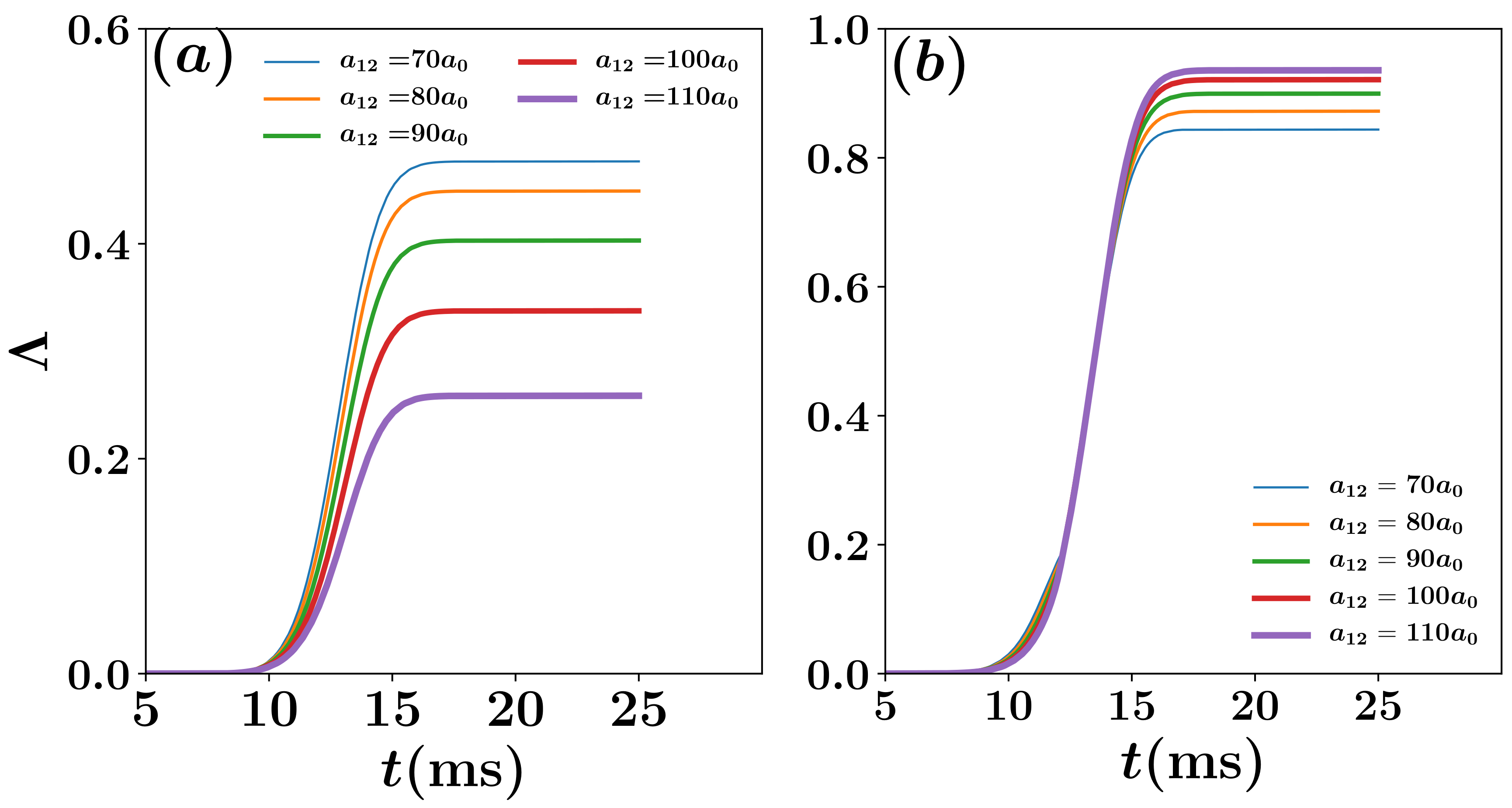
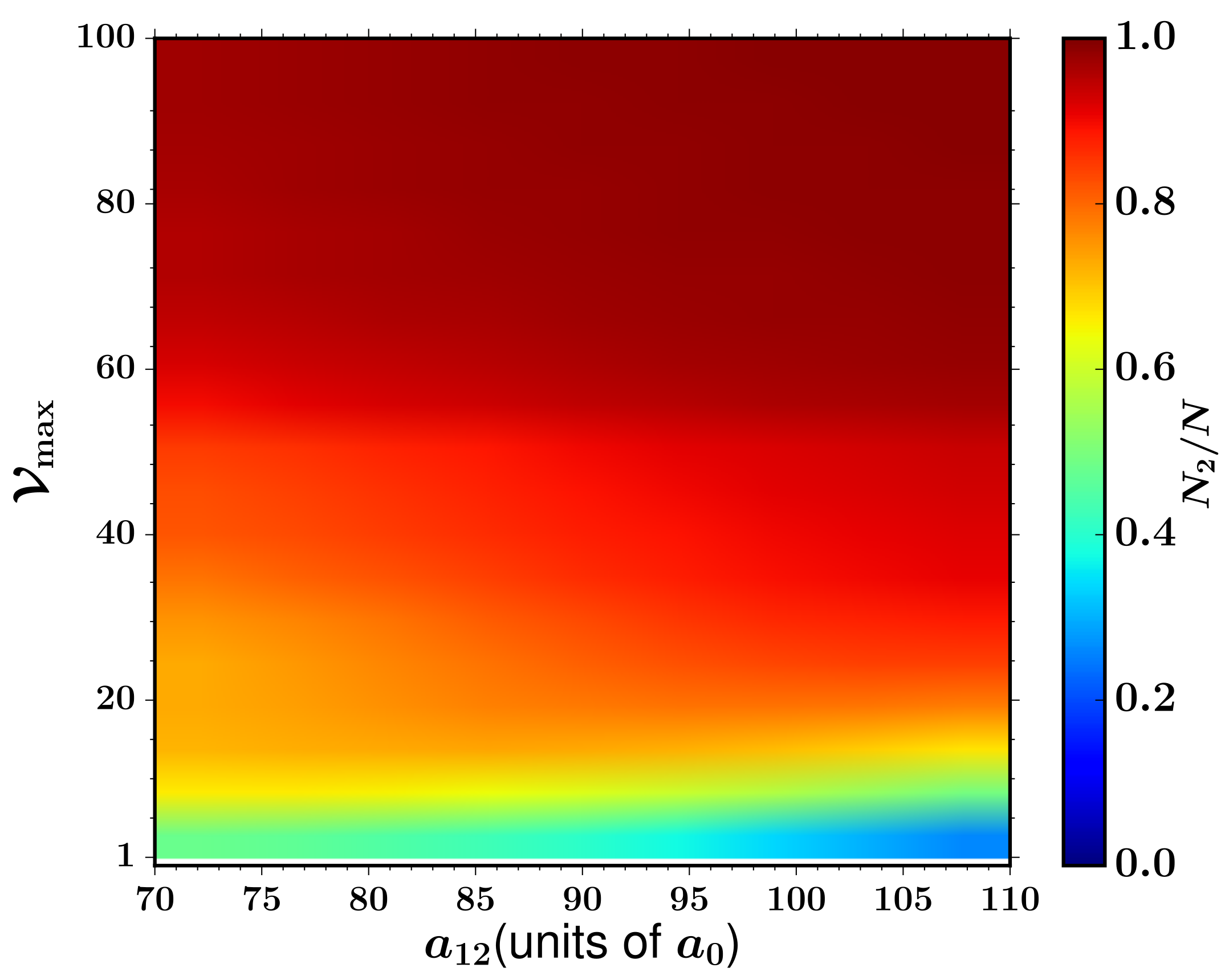
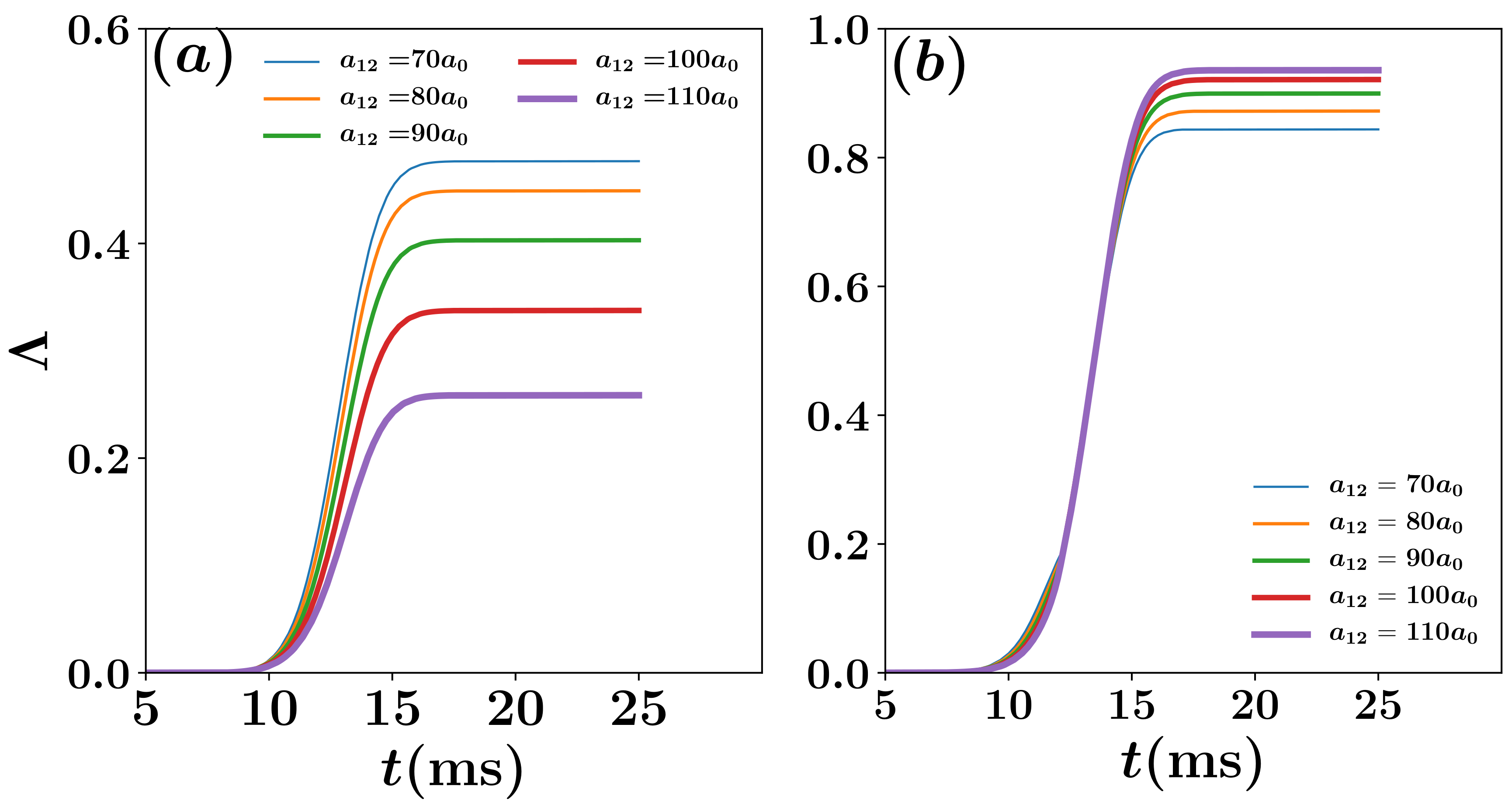
4.4. Effects of Intercomponent Interaction
5. Conclusions
Author Contributions
Funding
Institutional Review Board Statement
Informed Consent Statement
Data Availability Statement
Acknowledgments
Conflicts of Interest
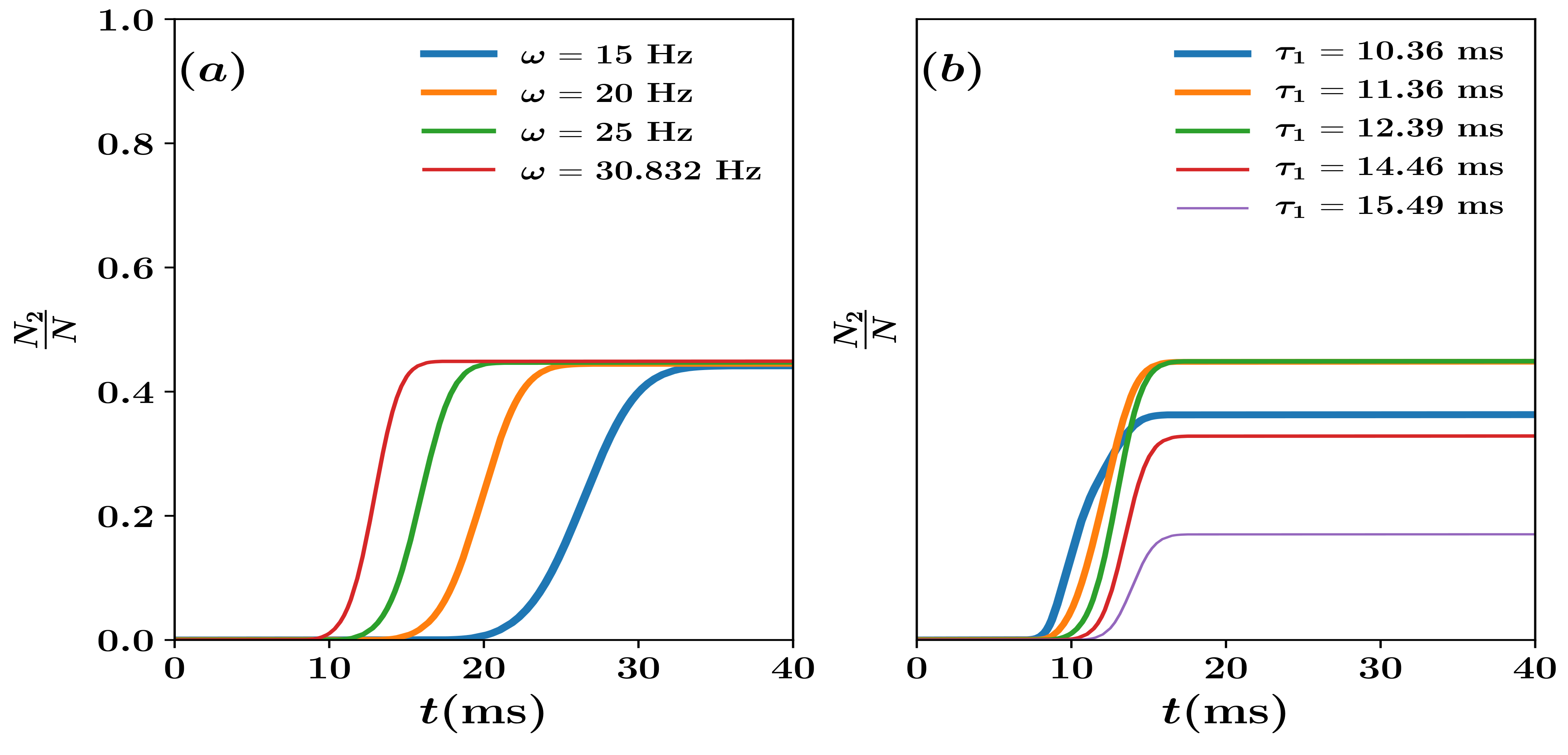
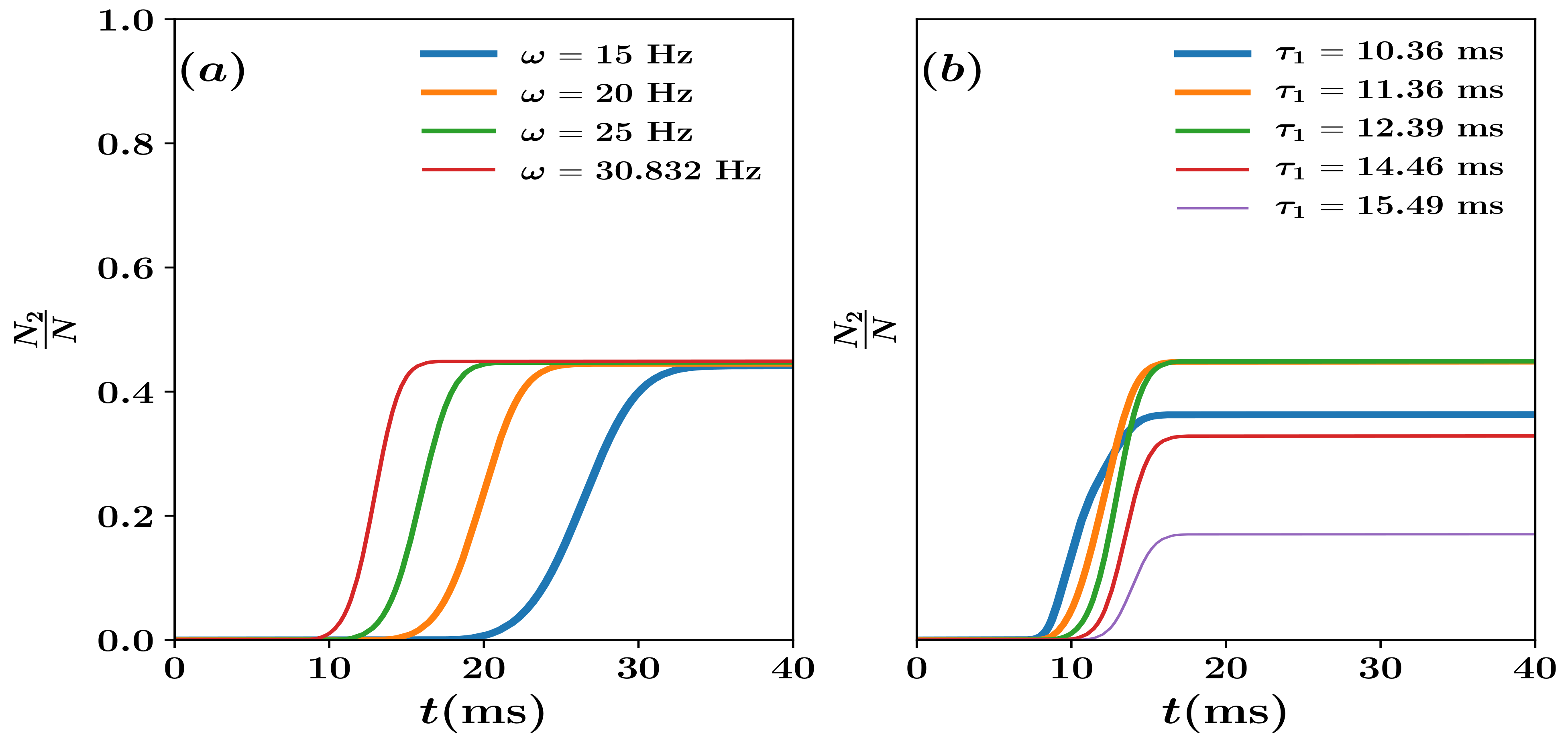
Appendix A. Effects of Harmonic Trap and Time-Delay between the Pulses

Appendix B. Hamiltonian and Derivation of Equation of Motions
References
- Rokhsar, D.S. Vortex Stability and Persistent Currents in Trapped Bose Gases. Phys. Rev. Lett. 1997, 79, 2164. [Google Scholar] [CrossRef]
- Mueller, E.; Goldbart, P.M.; Lyanda-Geller, Y. Multiply connected Bose-Einstein-condensed alkali-metal gases: Current-carrying states and their decay. Phys. Rev. A 1998, 57, R1505(R). [Google Scholar] [CrossRef]
- Onofrio, R.; Raman, C.; Abo-Shaeer, J.; Chikkatur, A.; Ketterle, W. Observation of Superfluid Flow in a Bose-Einstein Condensed Gass and their decay. Phys. Rev. Lett. 2000, 85, 2228. [Google Scholar] [CrossRef]
- Kobayashi, M.; Tsubota, M. Quantum turbulence in a trapped Bose-Einstein condensate. Phys. Rev. A 2007, 76, 045603. [Google Scholar] [CrossRef]
- White, A.C.; Proukakis, N.P.; Youd, A.J.; Wacks, D.H.; Baggaley, A.W.; Barenghi, C.F. Turbulence in a Bose-Einstein condensate. J. Phys. Conf. Ser. 2011, 318, 062003. [Google Scholar] [CrossRef]
- Neely, T.W.; Bradley, A.S.; Samson, E.C.; Rooney, S.J.; Wright, E.M.; Law, K.J.H.; Carretero-González, R.; Kevrekidis, P.G.; Davis, M.J.; Anderson, B.P. Characteristics of Two-Dimensional Quantum Turbulence in a Compressible Superfluid. Phys. Rev. Lett. 2013, 111, 235301. [Google Scholar] [CrossRef]
- Barenghi, C.F.; Skrbek, L.; Sreenivasan, K.R. Introduction to quantum turbulence. Proc. Natl. Acad. Sci. USA 2014, 111, 4647–4652. [Google Scholar] [CrossRef]
- White, A.C.; Anderson, B.P.; Bagnato, V.S. Vortices and turbulence in trapped atomic condensates. Proc. Natl. Acad. Sci. USA 2014, 111, 4719–4726. [Google Scholar] [CrossRef]
- Kwon, W.J.; Moon, G.; Choi, J.Y.; Seo, S.W.; Shin, Y.I. Relaxation of superfluid turbulence in highly oblate Bose-Einstein condensates. Phys. Rev. A 2014, 90, 063627. [Google Scholar] [CrossRef]
- Seo, S.W.; Ko, B.; Kim, J.H.; Shin, Y. Observation of vortex-antivortex pairing in decaying 2D turbulence of a superfluid gas. Sci. Rep. 2017, 7, 4587. [Google Scholar] [CrossRef]
- Fedichev, P.O.; Shlyapnikov, G.V. Dissipative dynamics of a vortex state in a trapped Bose-condensed gas. Phys. Rev. A 1999, 60, R1779–R1782. [Google Scholar] [CrossRef]
- Fetter, A.L.; Svidzinsky, A.A. Vortices in a trapped dilute Bose-Einstein condensate. J. Phys. Condens. Matter 2001, 13, R135. [Google Scholar] [CrossRef]
- Koens, L.; Martin, A.M. Perturbative behavior of a vortex in a trapped Bose-Einstein condensate. Phys. Rev. A 2012, 86, 013605. [Google Scholar] [CrossRef]
- Kevrekidis, P.G.; Wang, W.; Carretero-González, R.; Frantzeskakis, D.J.; Xie, S. Vortex precession dynamics in general radially symmetric potential traps in two-dimensional atomic Bose-Einstein condensates. Phys. Rev. A 2017, 96, 043612. [Google Scholar] [CrossRef]
- Bandyopadhyay, S.; Roy, A.; Angom, D. Dynamics of phase separation in two-species Bose-Einstein condensates with vortices. Phys. Rev. A 2017, 96, 043603. [Google Scholar] [CrossRef]
- Mukherjee, K.; Mukherjee, K.; Mistakidis, S.; Kevrekidis, P.G.; Schmelcher, P. Quench induced vortex-bright-soliton formation in binary Bose-Einstein condensates. J. Phys. B At. Mol. Opt. Phys. 2020. [Google Scholar] [CrossRef]
- Isoshima, T.; Machida, K. Vortex stabilization in Bose-Einstein condensate of alkali-metal atom gas. Phys. Rev. A 1999, 59, 2203–2212. [Google Scholar] [CrossRef]
- Virtanen, S.M.M.; Salomaa, M.M. Effect of the thermal gas component on the stability of vortices in trapped Bose–Einstein condensates. J. Phys. B At. Mol. Opt. Phys. 2002, 35, 3967. [Google Scholar] [CrossRef][Green Version]
- García-Ripoll, J.J.; Pérez-García, V.M. Stable and Unstable Vortices in Multicomponent Bose-Einstein Condensates. Phys. Rev. Lett. 2000, 84, 4264–4267. [Google Scholar] [CrossRef]
- Coddington, I.; Haljan, P.C.; Engels, P.; Schweikhard, V.; Tung, S.; Cornell, E.A. Experimental studies of equilibrium vortex properties in a Bose-condensed gas. Phys. Rev. A 2004, 70, 063607. [Google Scholar] [CrossRef]
- Shin, Y.; Saba, M.; Vengalattore, M.; Pasquini, T.A.; Sanner, C.; Leanhardt, A.E.; Prentiss, M.; Pritchard, D.E.; Ketterle, W. Dynamical Instability of a Doubly Quantized Vortex in a Bose-Einstein Condensate. Phys. Rev. Lett. 2004, 93, 160406. [Google Scholar] [CrossRef]
- Isoshima, T.; Okano, M.; Yasuda, H.; Kasa, K.; Huhtamäki, J.A.M.; Kumakura, M.; Takahashi, Y. Spontaneous Splitting of a Quadruply Charged Vortex. Phys. Rev. Lett. 2007, 99, 200403. [Google Scholar] [CrossRef]
- Kuopanportti, P.; Lundh, E.; Huhtamäki, J.A.M.; Pietilä, V.; Möttönen, M. Core sizes and dynamical instabilities of giant vortices in dilute Bose-Einstein condensates. Phys. Rev. A 2010, 81, 023603. [Google Scholar] [CrossRef]
- Kuopanportti, P.; Möttönen, M. Splitting dynamics of giant vortices in dilute Bose-Einstein condensates. Phys. Rev. A 2010, 81, 033627. [Google Scholar] [CrossRef]
- Dodd, R.J.; Burnett, K.; Edwards, M.; Clark, C.W. Excitation spectroscopy of vortex states in dilute Bose-Einstein condensed gases. Phys. Rev. A 1997, 56, 587–590. [Google Scholar] [CrossRef]
- Choi, S.; Baksmaty, L.O.; Woo, S.J.; Bigelow, N.P. Excitation spectrum of vortex lattices in rotating Bose-Einstein condensates. Phys. Rev. A 2003, 68, 031605. [Google Scholar] [CrossRef]
- Skryabin, D.V. Instabilities of vortices in a binary mixture of trapped Bose-Einstein condensates: Role of collective excitations with positive and negative energies. Phys. Rev. A 2000, 63, 013602. [Google Scholar] [CrossRef]
- Middelkamp, S.; Kevrekidis, P.G.; Frantzeskakis, D.J.; Carretero-González, R.; Schmelcher, P. Bifurcations, stability, and dynamics of multiple matter-wave vortex states. Phys. Rev. A 2010, 82, 013646. [Google Scholar] [CrossRef]
- Kuopanportti, P.; Bandyopadhyay, S.; Roy, A.; Angom, D. Splitting of singly and doubly quantized composite vortices in two-component Bose-Einstein condensates. arXiv 2018, arXiv:1808.08223. [Google Scholar] [CrossRef]
- Mateo, A.M.N.; Delgado, V. Dynamical Evolution of a Doubly Quantized Vortex Imprinted in a Bose-Einstein Condensate. Phys. Rev. Lett. 2006, 97, 180409. [Google Scholar] [CrossRef]
- Neely, T.W.; Samson, E.C.; Bradley, A.S.; Davis, M.J.; Anderson, B.P. Observation of Vortex Dipoles in an Oblate Bose-Einstein Condensate. Phys. Rev. Lett. 2010, 104, 160401. [Google Scholar] [CrossRef]
- Bolda, E.L.; Walls, D.F. Detection of Vorticity in Bose-Einstein Condensed Gases by Matter-Wave Interference. Phys. Rev. Lett. 1998, 81, 5477–5480. [Google Scholar] [CrossRef]
- Chevy, F.; Madison, K.W.; Bretin, V.; Dalibard, J. Interferometric detection of a single vortex in a dilute Bose-Einstein condensate. Phys. Rev. A 2001, 64, 031601. [Google Scholar] [CrossRef]
- Freilich, D.V.; Bianchi, D.M.; Kaufman, A.M.; Langin, T.K.; Hall, D.S. Real-Time Dynamics of Single Vortex Lines and Vortex Dipoles in a Bose-Einstein Condensate. Science 2010, 329, 1182–1185. [Google Scholar] [CrossRef]
- Navarro, R.; Carretero-González, R.; Torres, P.J.; Kevrekidis, P.G.; Frantzeskakis, D.J.; Ray, M.W.; Altuntaş, E.; Hall, D.S. Dynamics of a Few Corotating Vortices in Bose-Einstein Condensates. Phys. Rev. Lett. 2013, 110, 225301. [Google Scholar] [CrossRef]
- Wilson, K.E.; Newman, Z.L.; Lowney, J.D.; Anderson, B.P. In situ imaging of vortices in Bose-Einstein condensates. Phys. Rev. A 2015, 91, 023621. [Google Scholar] [CrossRef]
- Marzlin, K.P.; Zhang, W.; Wright, E.M. Vortex Coupler for Atomic Bose-Einstein Condensates. Phys. Rev. Lett. 1997, 79, 4728–4731. [Google Scholar] [CrossRef]
- Dum, R.; Cirac, J.I.; Lewenstein, M.; Zoller, P. Creation of Dark Solitons and Vortices in Bose-Einstein Condensates. Phys. Rev. Lett. 1998, 80, 2972–2975. [Google Scholar] [CrossRef]
- Jackson, B.; McCann, J.F.; Adams, C.S. Vortex Formation in Dilute Inhomogeneous Bose-Einstein Condensates. Phys. Rev. Lett. 1998, 80, 3903–3906. [Google Scholar] [CrossRef]
- Dobrek, L.; Gajda, M.; Lewenstein, M.; Sengstock, K.; Birkl, G.; Ertmer, W. Optical generation of vortices in trapped Bose-Einstein condensates. Phys. Rev. A 1999, 60, R3381–R3384. [Google Scholar] [CrossRef]
- Petrosyan, K.G.; You, L. Topological phases and circulating states of Bose-Einstein condensates. Phys. Rev. A 1999, 59, 639–642. [Google Scholar] [CrossRef]
- Ruostekoski, J. Topological phase preparation in a pair of atomic Bose-Einstein condensates. Phys. Rev. A 2000, 61, 041603. [Google Scholar] [CrossRef]
- Damski, B.; Sacha, K.; Zakrzewski, J. Stirring a Bose-Einstein condensate. J. Phys. B At. Mol. Opt. Phys. 2002, 35, 4051. [Google Scholar] [CrossRef][Green Version]
- Shibayama, H.; Yasaku, Y.; Kuwamoto, T. Vortex nucleation in Bose-Einstein condensates confined in a QUIC trap by topological phase imprinting. J. Phys. B At. Mol. Opt. Phys. 2011, 44, 075302. [Google Scholar] [CrossRef]
- Matthews, M.R.; Anderson, B.P.; Haljan, P.C.; Hall, D.S.; Wieman, C.E.; Cornell, E.A. Vortices in a Bose-Einstein Condensate. Phys. Rev. Lett. 1999, 83, 2498–2501. [Google Scholar] [CrossRef]
- Madison, K.W.; Chevy, F.; Wohlleben, W.; Dalibard, J. Vortex Formation in a Stirred Bose-Einstein Condensate. Phys. Rev. Lett. 2000, 84, 806–809. [Google Scholar] [CrossRef]
- Raman, C.; Abo-Shaeer, J.R.; Vogels, J.M.; Xu, K.; Ketterle, W. Vortex Nucleation in a Stirred Bose-Einstein Condensate. Phys. Rev. Lett. 2001, 87, 210402. [Google Scholar] [CrossRef] [PubMed]
- Henn, E.A.L.; Seman, J.A.; Roati, G.; Magalhães, K.M.F.; Bagnato, V.S. Generation of Vortices and Observation of Quantum Turbulence in an Oscillating Bose-Einstein Condensate. J. Low Temp. Phys. 2009, 158, 435. [Google Scholar] [CrossRef]
- Raman, C.; Köhl, M.; Onofrio, R.; Durfee, D.S.; Kuklewicz, C.E.; Hadzibabic, Z.; Ketterle, W. Evidence for a Critical Velocity in a Bose-Einstein Condensed Gas. Phys. Rev. Lett. 1999, 83, 2502–2505. [Google Scholar] [CrossRef]
- Burger, S.; Bongs, K.; Dettmer, S.; Ertmer, W.; Sengstock, K.; Sanpera, A.; Shlyapnikov, G.V.; Lewenstein, M. Dark Solitons in Bose-Einstein Condensates. Phys. Rev. Lett. 1999, 83, 5198–5201. [Google Scholar] [CrossRef]
- Caradoc-Davies, B.M.; Ballagh, R.J.; Burnett, K. Coherent Dynamics of Vortex Formation in Trapped Bose-Einstein Condensates. Phys. Rev. Lett. 1999, 83, 895–898. [Google Scholar] [CrossRef]
- Leanhardt, A.E.; Görlitz, A.; Chikkatur, A.P.; Kielpinski, D.; Shin, Y.; Pritchard, D.E.; Ketterle, W. Imprinting Vortices in a Bose-Einstein Condensate using Topological Phases. Phys. Rev. Lett. 2002, 89, 190403. [Google Scholar] [CrossRef] [PubMed]
- Möttönen, M.; Pietilä, V.; Virtanen, S.M.M. Vortex Pump for Dilute Bose-Einstein Condensates. Phys. Rev. Lett. 2007, 99, 250406. [Google Scholar] [CrossRef] [PubMed]
- Xu, Z.F.; Zhang, P.; Raman, C.; You, L. Continuous vortex pumping into a spinor condensate with magnetic fields. Phys. Rev. A 2008, 78, 043606. [Google Scholar] [CrossRef]
- Allen, L.; Beijersbergen, M.W.; Spreeuw, R.J.C.; Woerdman, J.P. Orbital angular momentum of light and the transformation of Laguerre-Gaussian laser modes. Phys. Rev. A 1992, 45, 8185–8189. [Google Scholar] [CrossRef] [PubMed]
- Mukherjee, K.; Majumder, S.; Mondal, P.K.; Deb, B. Interaction of a Laguerre–Gaussian beam with trapped Rydberg atoms. J. Phys. B At. Mol. Opt. Phys. 2017, 51, 015004. [Google Scholar] [CrossRef]
- Mondal, P.K.; Deb, B.; Majumder, S. Angular momentum transfer in interaction of Laguerre-Gaussian beams with atoms and molecules. Phys. Rev. A 2014, 89, 063418. [Google Scholar] [CrossRef]
- Bhowmik, A.; Mondal, P.K.; Majumder, S.; Deb, B. Interaction of atom with nonparaxial Laguerre-Gaussian beam: Forming superposition of vortex states in Bose-Einstein condensates. Phys. Rev. A 2016, 93, 063852. [Google Scholar] [CrossRef]
- Bhowmik, A.; Majumder, S. Tuning of non-paraxial effects of the Laguerre-Gaussian beam interacting with the two-component Bose–Einstein condensates. J. Phys. Commun. 2018, 2, 125001. [Google Scholar] [CrossRef]
- Das, S.; Bhowmik, A.; Mukherjee, K.; Majumder, S. Transfer of orbital angular momentum superposition from asymmetric Laguerre–Gaussian beam to Bose–Einstein Condensate. J. Phys. B At. Mol. Opt. Phys. 2020, 53, 025302. [Google Scholar] [CrossRef]
- Tabosa, J.W.R.; Petrov, D.V. Optical Pumping of Orbital Angular Momentum of Light in Cold Cesium Atoms. Phys. Rev. Lett. 1999, 83, 4967–4970. [Google Scholar] [CrossRef]
- He, H.; Friese, M.E.J.; Heckenberg, N.R.; Rubinsztein-Dunlop, H. Direct Observation of Transfer of Angular Momentum to Absorptive Particles from a Laser Beam with a Phase Singularity. Phys. Rev. Lett. 1995, 75, 826–829. [Google Scholar] [CrossRef]
- Kanamoto, R.; Wright, E.M.; Meystre, P. Quantum dynamics of Raman-coupled Bose-Einstein condensates using Laguerre-Gaussian beams. Phys. Rev. A 2007, 75, 063623. [Google Scholar] [CrossRef]
- DeMarco, M.; Pu, H. Angular spin-orbit coupling in cold atoms. Phys. Rev. A 2015, 91, 033630. [Google Scholar] [CrossRef]
- Chen, L.; Pu, H.; Zhang, Y. Spin-orbit angular momentum coupling in a spin-1 Bose-Einstein condensate. Phys. Rev. A 2016, 93, 013629. [Google Scholar] [CrossRef]
- Nandi, G.; Walser, R.; Schleich, W.P. Vortex creation in a trapped Bose-Einstein condensate by stimulated Raman adiabatic passage. Phys. Rev. A 2004, 69, 063606. [Google Scholar] [CrossRef]
- Simula, T.P.; Nygaard, N.; Hu, S.X.; Collins, L.A.; Schneider, B.I.; Mølmer, K. Angular momentum exchange between coherent light and matter fields. Phys. Rev. A 2008, 77, 015401. [Google Scholar] [CrossRef]
- Law, K.J.H.; Kevrekidis, P.G.; Tuckerman, L.S. Stable Vortex–Bright-Soliton Structures in Two-Component Bose-Einstein Condensates. Phys. Rev. Lett. 2010, 105, 160405. [Google Scholar] [CrossRef]
- Jain, P.; Boninsegni, M. Quantum demixing in binary mixtures of dipolar bosons. Phys. Rev. A 2011, 83, 023602. [Google Scholar] [CrossRef]
- Roy, A.; Angom, D. Thermal suppression of phase separation in condensate mixtures. Phys. Rev. A 2015, 92, 011601. [Google Scholar] [CrossRef]
- Andersen, M.F.; Ryu, C.; Cladé, P.; Natarajan, V.; Vaziri, A.; Helmerson, K.; Phillips, W.D. Quantized Rotation of Atoms from Photons with Orbital Angular Momentum. Phys. Rev. Lett. 2006, 97, 170406. [Google Scholar] [CrossRef] [PubMed]
- Ramanathan, A.; Wright, K.C.; Muniz, S.R.; Zelan, M.; Hill, W.T.; Lobb, C.J.; Helmerson, K.; Phillips, W.D.; Campbell, G.K. Superflow in a Toroidal Bose-Einstein Condensate: An Atom Circuit with a Tunable Weak Link. Phys. Rev. Lett. 2011, 106, 130401. [Google Scholar] [CrossRef] [PubMed]
- Wright, K.; Leslie, L.; Bigelow, N. Optical control of the internal and external angular momentum of a Bose-Einstein condensate. Phys. Rev. A 2008, 77, 041601(R). [Google Scholar] [CrossRef]
- Kamsap, M.R.; Ekogo, T.B.; Pedregosa-Gutierrez, J.; Hagel, G.; Houssin, M.; Morizot, O.; Knoop, M.; Champenois, C. Coherent internal state transfer by a three-photon STIRAP-like scheme for many-atom samples. J. Phys. B At. Mol. Opt. Phys. 2013, 46, 145502. [Google Scholar] [CrossRef][Green Version]
- Wright, E.M.; Arlt, J.; Dholakia, K. Toroidal optical dipole traps for atomic Bose-Einstein condensates using Laguerre-Gaussian beams. Phys. Rev. A 2000, 63, 013608. [Google Scholar] [CrossRef]
- Timmermans, E. Phase Separation of Bose-Einstein Condensates. Phys. Rev. Lett. 1998, 81, 5718–5721. [Google Scholar] [CrossRef]
- Wen, L.; Liu, W.M.; Cai, Y.; Zhang, J.M.; Hu, J. Controlling phase separation of a two-component Bose-Einstein condensate by confinement. Phys. Rev. A 2012, 85, 043602. [Google Scholar] [CrossRef]
- Vudragović, D.; Vidanović, I.; Balaž, A.; Muruganandam, P.; Adhikari, S.K. C programs for solving the time-dependent Gross–Pitaevskii equation in a fully anisotropic trap. Comput. Phys. Commun. 2012, 183, 2021. [Google Scholar] [CrossRef]
- Egorov, M.; Opanchuk, B.; Drummond, P.; Hall, B.V.; Hannaford, P.; Sidorov, A.I. Measurement of s-wave scattering lengths in a two-component Bose-Einstein condensate. Phys. Rev. A. 2013, 87, 053614. [Google Scholar] [CrossRef]
- Mertes, K.; Merrill, J.; Carretero-Gonzalez, R.; Frantzeskakis, D.; Kevrekidis, P.; Hall, D. Nonequilibrium Dynamics and Superfluid Ring Excitations in Binary Bose-Einstein Condensates. Phys. Rev. Lett. 2007, 99, 190402. [Google Scholar] [CrossRef] [PubMed]
- Pethick, C.J.; Smith, H. Bose-Einstein Condensation in Dilute Gases; Cambridge University Press: Cambridge, UK, 2002. [Google Scholar]
- Stringari, S.; Pitaevskii, L. Bose-Einstein Condensation; Oxford University Press: Oxford, UK, 2003. [Google Scholar]
- Tojo, S.; Taguchi, Y.; Masuyama, Y.; Hayashi, T.; Saito, H.; Hirano, T. Controlling phase separation of binary Bose-Einstein condensates via mixed-spin-channel Feshbach resonance. Phys. Rev. A 2010, 82, 033609. [Google Scholar] [CrossRef]
- Trippenbach, M.; Góral, K.; Rzazewski, K.; Malomed, B.; Band, Y.B. Structure of binary Bose-Einstein condensates. J. Phys. B At. Mol. Opt. Phys. 2000, 33, 4017. [Google Scholar] [CrossRef]
- Ding, D.S.; Zhang, W.; Zhou, Z.Y.; Shi, S.; Xiang, G.Y.; Wang, X.S.; Jiang, Y.K.; Shi, B.S.; Guo, G.C. Quantum Storage of Orbital Angular Momentum Entanglement in an Atomic Ensemble. Phys. Rev. Lett. 2015, 114, 050502. [Google Scholar] [CrossRef] [PubMed]
- Hu, Y.X.; Miniatura, C.; Grémaud, B. Half-skyrmion and vortex-antivortex pairs in spinor condensates. Phys. Rev. A 2015, 92, 033615. [Google Scholar] [CrossRef]
- Semenoff, G.W.; Zhou, F. Discrete Symmetries and 1/3–Quantum Vortices in Condensates of F = 2 Cold Atoms. Phys. Rev. Lett. 2007, 98, 100401. [Google Scholar] [CrossRef]
- Nayak, C.; Simon, S.H.; Stern, A.; Freedman, M.; Das Sarma, S. Non-Abelian anyons and topological quantum computation. Rev. Mod. Phys. 2008, 80, 1083–1159. [Google Scholar] [CrossRef]







Publisher’s Note: MDPI stays neutral with regard to jurisdictional claims in published maps and institutional affiliations. |
© 2021 by the authors. Licensee MDPI, Basel, Switzerland. This article is an open access article distributed under the terms and conditions of the Creative Commons Attribution (CC BY) license (http://creativecommons.org/licenses/by/4.0/).
Share and Cite
Mukherjee, K.; Bandyopadhyay, S.; Angom, D.; Martin, A.M.; Majumder, S. Dynamics of the Creation of a Rotating Bose–Einstein Condensation by Two Photon Raman Transition Using a Laguerre–Gaussian Laser Pulse. Atoms 2021, 9, 14. https://doi.org/10.3390/atoms9010014
Mukherjee K, Bandyopadhyay S, Angom D, Martin AM, Majumder S. Dynamics of the Creation of a Rotating Bose–Einstein Condensation by Two Photon Raman Transition Using a Laguerre–Gaussian Laser Pulse. Atoms. 2021; 9(1):14. https://doi.org/10.3390/atoms9010014
Chicago/Turabian StyleMukherjee, Koushik, Soumik Bandyopadhyay, Dilip Angom, Andrew M. Martin, and Sonjoy Majumder. 2021. "Dynamics of the Creation of a Rotating Bose–Einstein Condensation by Two Photon Raman Transition Using a Laguerre–Gaussian Laser Pulse" Atoms 9, no. 1: 14. https://doi.org/10.3390/atoms9010014
APA StyleMukherjee, K., Bandyopadhyay, S., Angom, D., Martin, A. M., & Majumder, S. (2021). Dynamics of the Creation of a Rotating Bose–Einstein Condensation by Two Photon Raman Transition Using a Laguerre–Gaussian Laser Pulse. Atoms, 9(1), 14. https://doi.org/10.3390/atoms9010014

