Differential Analysis of the Positron Impact Ionization of Hydrogen in Debye Plasmas
Abstract
1. Introduction
2. Materials and Methods
2.1. Classical Trajectory Monte Carlo Method
2.2. Born-3DW Model
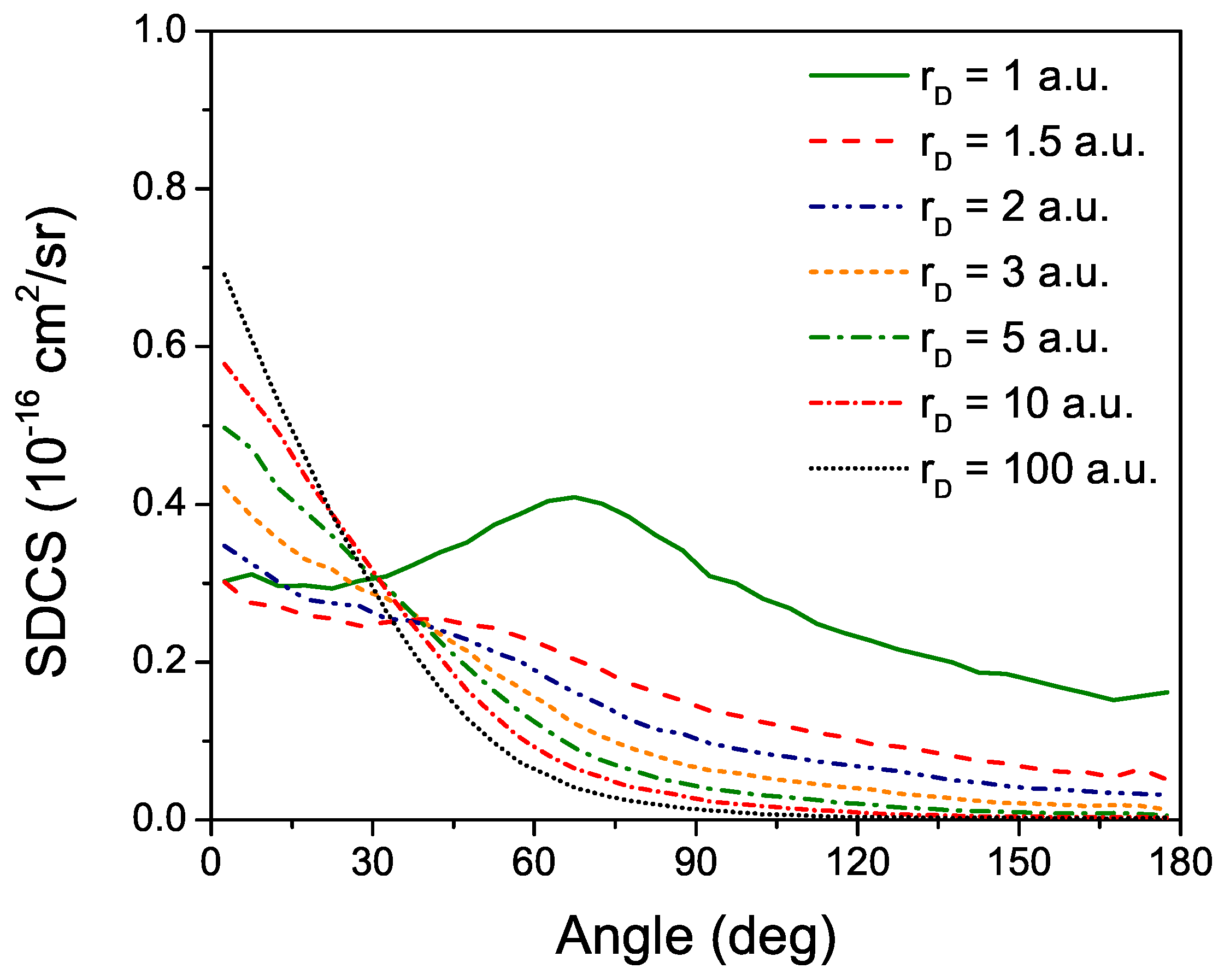
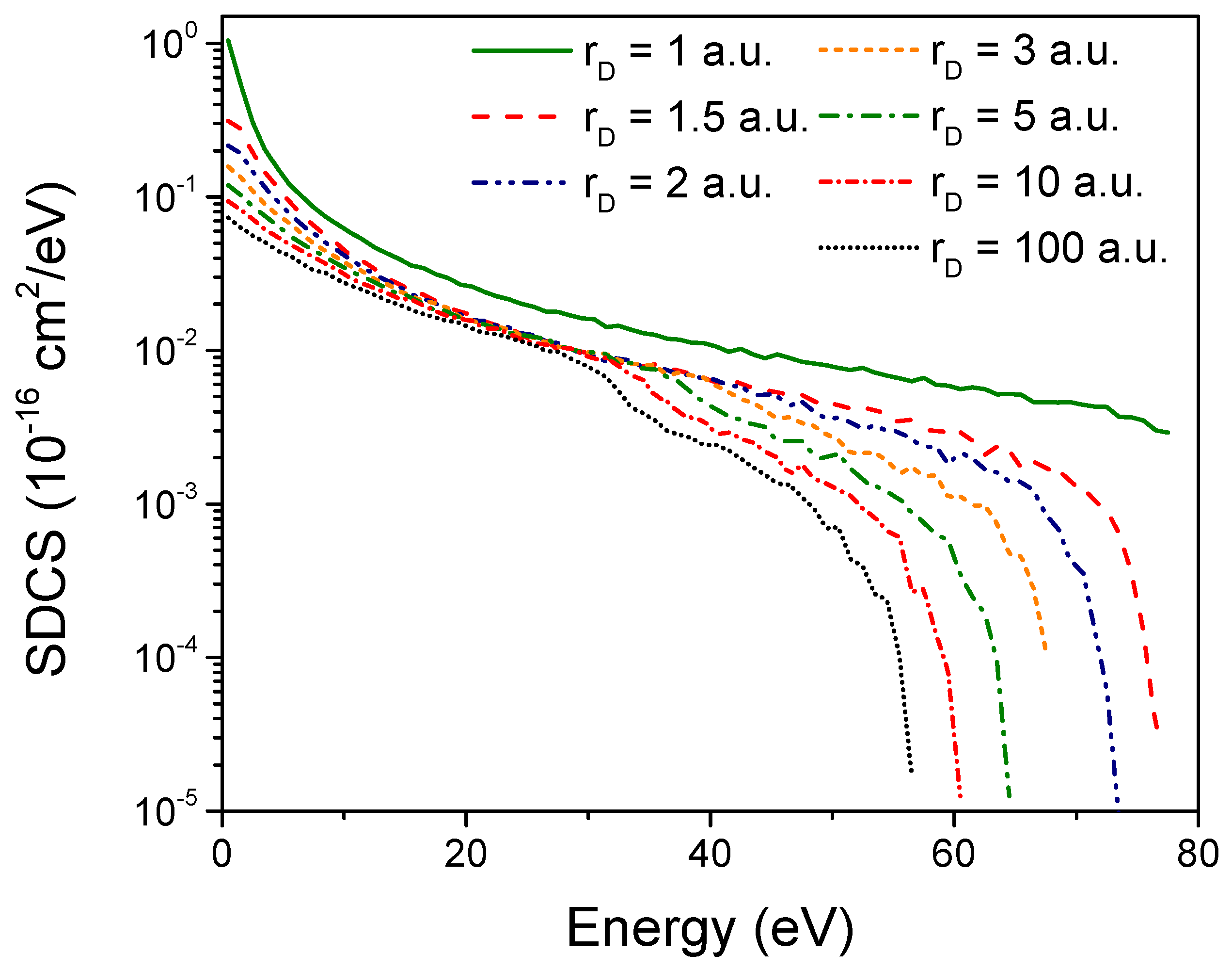
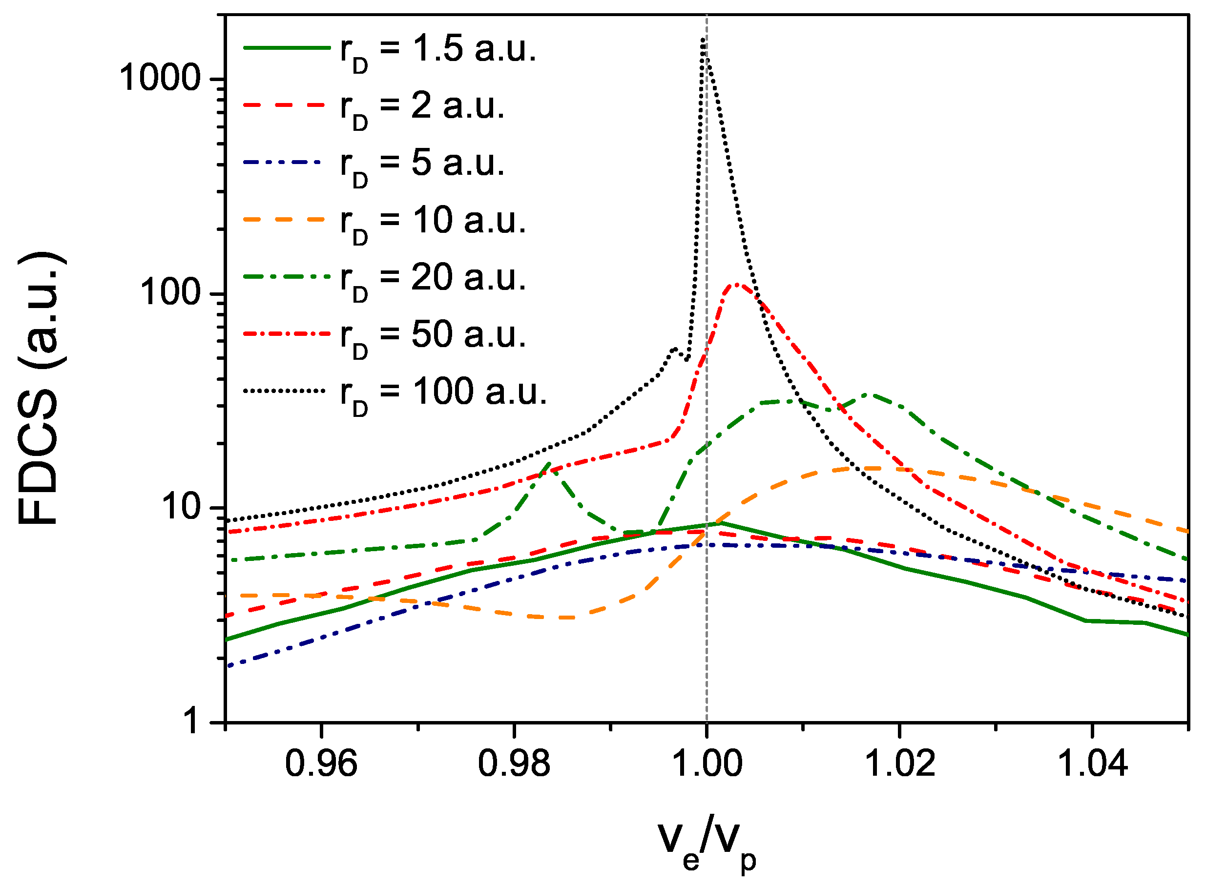
3. Results and Discussion
4. Conclusions
Author Contributions
Funding
Data Availability Statement
Conflicts of Interest
References
- Mergel, V.; Dörner, R.; Ullrich, J.; Jagutzki, O.; Lencinas, S.; Nüttgens, S.; Spielberger, L.; Unverzagt, M.; Cocke, C.L.; Olson, R.E.; et al. State Selective Scattering Angle Dependent Capture Cross Sections Measured by Cold Target Recoil Ion Momentum Spectroscopy. Phys. Rev. Lett. 1995, 74, 2200–2203. [Google Scholar] [CrossRef]
- Ullrich, J.; Moshammer, R.; Dorn, A.; Dörner, R.; Schmidt, L.; Schmidt-Böcking, H. Recoil-ion and electron momentum spectroscopy: Reaction-microscopes. Rep. Prog. Phys. 2003, 66, 1463–1545. [Google Scholar] [CrossRef]
- Kövér, Á.M.; Laricchia, G. Triply Differential Study of Positron Impact Ionization of H2. Phys. Rev. Lett. 1998, 80, 5309–5312. [Google Scholar] [CrossRef]
- Armitage, S.; Leslie, D.E.; Garner, A.J.; Laricchia, G. Fragmentation of Positronium in Collision with He Atoms. Phys. Rev. Lett. 2002, 89, 173402. [Google Scholar] [CrossRef]
- de Lucio, O.G.; Otranto, S.; Olson, R.E.; DuBois, R.D. Triply Differential Single Ionization of Argon: Charge Effects for Positron and Electron Impact. Phys. Rev. Lett. 2010, 104, 163201. [Google Scholar] [CrossRef]
- Pflüger, T.; Holzwarth, M.; Senftleben, A.; Ren, X.; Dorn, A.; Ullrich, J.; Hargreaves, L.R.; Lohmann, B.; Slaughter, D.S.; Sullivan, J.P.; et al. Kinematically complete experiments for positron-impact ionization of helium atoms at the NEPOMUC facility. J. Phys. Conf. Ser. 2011, 262, 012047. [Google Scholar] [CrossRef]
- DuBois, R.D.; de Lucio, O.G. Triply Differential Positron and Electron Impact Ionization of Argon: Systematic Features and Scaling. Atoms 2021, 9, 78. [Google Scholar] [CrossRef]
- Arcidiacono, C.; Kövér, Á.; Laricchia, G. Energy-Sharing Asymmetries in Ionization by Positron Impact. Phys. Rev. Lett. 2005, 95, 223202. [Google Scholar] [CrossRef]
- Fiol, J.; Barrachina, R.O. Continuum-orientation phenomena in ionization by positron impact. J. Phys. B At. Mol. Opt. Phys. 2011, 44, 075205. [Google Scholar] [CrossRef]
- Zhang, S.B.; Qi, Y.Y.; Qu, Y.Z.; Chen, X.J.; Wang, J.G. Positron-impact excitation of hydrogen atoms in Debye plasmas. Chin. Phys. Lett. 2010, 27, 013401. [Google Scholar]
- Nayek, S.; Ghoshal, A. ns → n’s transition of hydrogen atom by positron impact with screened Coulomb interactions. Eur. Phys. J. D 2011, 64, 257–268. [Google Scholar] [CrossRef]
- Rej, P.; Ghoshal, A. Positron impact excitations of hydrogen atom embedded in weakly coupled plasmas: Formation of Rydberg atoms. Phys. Plasmas 2014, 21, 093507. [Google Scholar] [CrossRef]
- Rej, P.; Ghoshal, A. Positron impact excitations of hydrogen atom embedded in dense quantum plasmas: Formation of Rydberg atoms. Phys. Plasmas 2014, 21, 113509. [Google Scholar] [CrossRef]
- Zammit, M.C.; Fursa, D.V.; Bray, I. Convergent-close-coupling calculations for excitation and ionization processes of electron-hydrogen collisions in Debye plasmas. Phys. Rev. A 2010, 82, 052705. [Google Scholar] [CrossRef]
- Zammit, M.C.; Fursa, D.V.; Bray, I.; Janev, R.K. Electron-helium scattering in Debye plasmas. Phys. Rev. A 2011, 84, 052705. [Google Scholar] [CrossRef]
- Sen, S.; Mandal, P.; Mukherjee, P.K. Positronium formation in Debye plasma. Eur. Phys. J. D 2011, 62, 379–388. [Google Scholar] [CrossRef]
- Ma, J.; Cheng, Y.; Wang, Y.C.; Zhou, Y. Positronium formation in positron-hydrogen collisions with Debye potentials. Phys. Plasmas 2012, 19, 063303. [Google Scholar] [CrossRef]
- Acebal, E.; Cuenca, A.; Martínez, S.; Otranto, S. Fully differential analysis of the electron impact ionization of hydrogen in Debye plasmas. Phys. Plasmas 2021, 28, 123510. [Google Scholar] [CrossRef]
- Abrines, R.; Percival, I.C. A generalized correspondence principle and proton-hydrogen collisions. Proc. Phys. Soc. 1966, 88, 873–883. [Google Scholar] [CrossRef]
- Olson, R.E.; Salop, A. Charge-transfer and impact-ionization cross sections for fully and partially stripped positive ions colliding with atomic hydrogen. Phys. Rev. A 1977, 16, 531–541. [Google Scholar] [CrossRef]
- Reinhold, C.O.; Falcón, C.A. Classical ionization and charge-transfer cross sections for H+ + He and H+ + Li+ collisions with consideration of model interactions. Phys. Rev. A 1986, 33, 3859–3866. [Google Scholar] [CrossRef] [PubMed]
- Salvat, F.; Fernández-Varea, J.M.; Williamson, W., Jr. Accurate numerical solution of the radial Schrödinger and Dirac wave equations. Comput. Phys. Commun. 1995, 90, 151–168. [Google Scholar] [CrossRef]
- Brauner, M.; Briggs, J.S.; Klar, H. Triply-differential cross sections for ionisation of hydrogen atoms by electrons and positrons. J. Phys. B At. Mol. Opt. Phys. 1989, 22, 2265–2287. [Google Scholar] [CrossRef]
- Garibotti, C.R.; Miraglia, J.E. Ionization and electron capture to the continuum in the H+-hydrogen-atom collision. Phys. Rev. A 1980, 21, 572–580. [Google Scholar] [CrossRef]
- Hahn, T. CUBA—A library for multidimensional numerical integration. Comput. Phys. Commun. 2005, 168, 78–95. [Google Scholar] [CrossRef]
- Malcherek, A.W.; Briggs, J.S. The n-electron Coulomb continuum. J. Phys. B At. Mol. Opt. Phys. 1997, 30, 4419–4433. [Google Scholar] [CrossRef]
- Zhang, H.; Wang, J.G.; He, B.; Qiu, Y.B. Charge exchange and ionization in hydrogen atom-fully stripped ion collisions in Debye plasmas. Phys. Plasmas 2007, 14, 053505. [Google Scholar] [CrossRef]
- Rogers, F.J.; Graboske, H.C., Jr.; Harwood, D.J. Bound Eigenstates of the Static Screened Coulomb Potential. Phys. Rev. A 1970, 1, 1577. [Google Scholar] [CrossRef]
- Crooks, G.B.; Rudd, M.E. Experimental evidence for the mechanism of charge transfer into continuum states. Phys. Rev. Lett. 1970, 25, 1599–1601. [Google Scholar] [CrossRef]
- Bernardi, G.C.; Suárez, S.; Fainstein, P.D.; Garibotti, C.R.; Meckbach, W.; Focke, P. Two-center effects in electron emission in 3He2+-He and H+-He collisions at intermediate energies. Phys. Rev. A 1989, 40, 6863–6872. [Google Scholar] [CrossRef]
- Reinhold, C.O.; Olson, R.E. Classical two-center effects in ejected-electron spectra from p+, p− and He2++He collisions at intermediate energies. Phys. Rev. A 1989, 39, 3861–3870. [Google Scholar] [CrossRef] [PubMed]
- Fainstein, P.D.; Ponce, V.H.; Rivarola, R.D. Two-centre effects in ionization by ion impact. J. Phys. B At. Mol. Opt. Phys. 1991, 24, 3091–3119. [Google Scholar] [CrossRef]
- Barrachina, R.O. Final-state interaction theory of cusp formation. Nucl. Inst. Meth. Phys. Res. B 1997, 124, 198–205. [Google Scholar] [CrossRef]
- Brauner, M; Briggs, J. S. Ionisation to the projectile continuum by positron and electron collisions with neutral atoms. J. Phys. B At. Mol. Opt. Phys. 1986, 19, L325–L330. [Google Scholar] [CrossRef]
- Fiol, J.; Rodríguez, V.D.; Barrachina, R.O. Electron capture to the continuum by proton and positron impact. J. Phys. B At. Mol. Opt. Phys. 2001, 34, 933–944. [Google Scholar] [CrossRef]







Disclaimer/Publisher’s Note: The statements, opinions and data contained in all publications are solely those of the individual author(s) and contributor(s) and not of MDPI and/or the editor(s). MDPI and/or the editor(s) disclaim responsibility for any injury to people or property resulting from any ideas, methods, instructions or products referred to in the content. |
© 2023 by the authors. Licensee MDPI, Basel, Switzerland. This article is an open access article distributed under the terms and conditions of the Creative Commons Attribution (CC BY) license (https://creativecommons.org/licenses/by/4.0/).
Share and Cite
Acebal, E.; Martínez, S.H.; Otranto, S. Differential Analysis of the Positron Impact Ionization of Hydrogen in Debye Plasmas. Atoms 2023, 11, 15. https://doi.org/10.3390/atoms11020015
Acebal E, Martínez SH, Otranto S. Differential Analysis of the Positron Impact Ionization of Hydrogen in Debye Plasmas. Atoms. 2023; 11(2):15. https://doi.org/10.3390/atoms11020015
Chicago/Turabian StyleAcebal, Emiliano, Sergio Hernan Martínez, and Sebastian Otranto. 2023. "Differential Analysis of the Positron Impact Ionization of Hydrogen in Debye Plasmas" Atoms 11, no. 2: 15. https://doi.org/10.3390/atoms11020015
APA StyleAcebal, E., Martínez, S. H., & Otranto, S. (2023). Differential Analysis of the Positron Impact Ionization of Hydrogen in Debye Plasmas. Atoms, 11(2), 15. https://doi.org/10.3390/atoms11020015

