Photodynamical Modeling of the Compact, Multiply Eclipsing Systems KIC 5255552, KIC 7668648, KIC 10319590, and EPIC 220204960
Abstract
1. Introduction
2. Observational Data
2.1. Kepler
2.2. K2
2.3. TESS
2.4. Ground-Based Follow-Up Observations
2.5. Times of Eclipse, Transit, and Occultation Events
3. The Photodynamical Model
4. The Systems of Interest
4.1. KIC 10319590
4.1.1. Overview
4.1.2. Photodynamical Model
4.2. KIC 7668648
4.2.1. Overview
4.2.2. Photodynamical Model
4.3. KIC 5255552
4.3.1. Overview
4.3.2. Photodynamical Model
4.4. EPIC 220204960
4.4.1. Overview
4.4.2. Photodynamical Model
5. Discussion
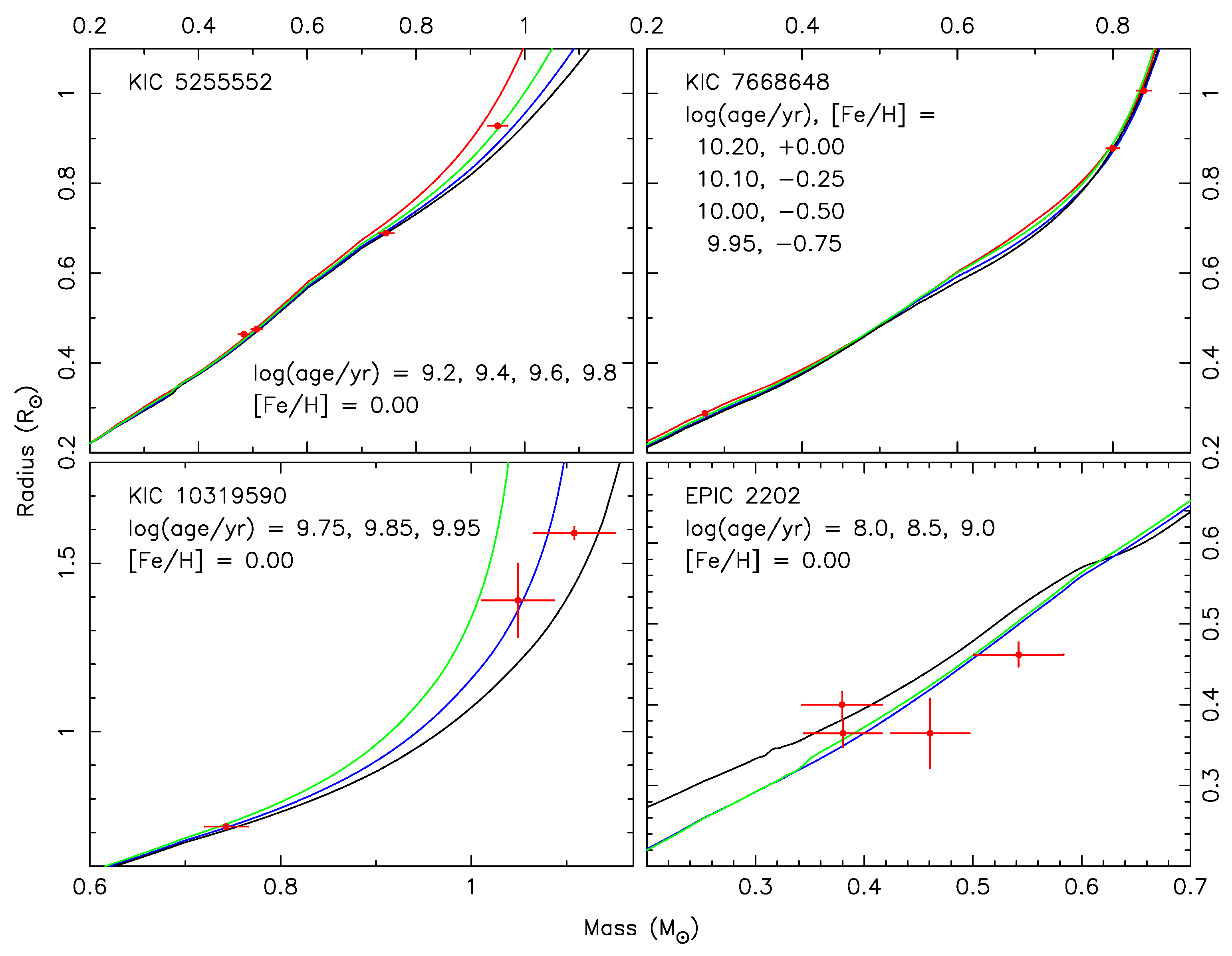
5.1. Stellar Parameters and Age Constraints
5.2. Dynamical Properties
5.3. Comparison to Previous Studies
6. Summary
Funding
Data Availability Statement
Acknowledgments
Conflicts of Interest
Abbreviations
| BF | Broadening Function |
| CPOC | Common-Period Observed minus Computed |
| DE-MCMC | Differential Evolution Monte Carlo Markov Chain |
| EB | Eclipsing Binary |
| ELC | Eclipsing Light Curve (code) |
| EPIC | Ecliptic Plane Input Catalog |
| ETV | Eclipse Timing Variation |
| FFI | Full Frame Image |
| GR | General Relativity |
| IRAF | Image Reduction and Analysis Facility |
| KIC | Kepler Input Catalog |
| MCMC | Monte Carlo Markov Chain |
| MIST | MESA Isochrones and Stellar Tracks |
| NASA | National Aeronautics and Space Administration |
| TESS | Transiting Exoplanet Survey Satellite |
Appendix A. Eclipse Time Measurements
| Type | Cycle Number | Time (BJD −2,455,000) | Type | Cycle Number | Time (BJD −2,455,000) |
|---|---|---|---|---|---|
| p | 0 | s | 0 | ||
| p | 1 | s | 1 | ||
| p | 2 | s | 2 | ||
| p | 3 | s | 3 | ||
| p | 5 | s | 4 | ||
| p | 6 | s | 5 | ||
| p | 7 | s | 7 | ||
| p | 9 | s | 8 | ||
| p | 13 | s | 12 | ||
| p | 14 | s | 13 | ||
| p | 15 | s | 14 | ||
| p | 16 | s | 15 | ||
| p | 17 | s | 16 | ||
| p | 19 | s | 17 | ||
| p | 20 | s | 18 | ||
| p | 24 | s | 19 | ||
| p | 25 | s | 24 | ||
| p | 26 | s | 25 | ||
| p | 27 | s | 26 | ||
| p | 28 | s | 28 | ||
| p | 29 | s | 30 | ||
| p | 30 | s | 36 | ||
| p | 31 | s | 37 | ||
| p | 32 | s | 38 | ||
| p | 37 | s | 39 | ||
| p | 38 | s | 40 | ||
| p | 39 | s | 42 | ||
| p | 41 | s | 43 | ||
| p | 42 | s | 114 | ||
| p | 43 | s | 124 | ||
| p | 115 | s | 137 | ||
| p | 125 | s | 147 | ||
| p | 137 | s | 148 | ||
| p | 148 |
| Type | Cycle Number | Time (BJD −2,455,000) | Type | Cycle Number | Time (BJD −2,455,000) |
|---|---|---|---|---|---|
| p | 0 | s | 0 | ||
| p | 1 | s | 1 | ||
| p | 2 | s | 2 | ||
| p | 3 | s | 3 | ||
| p | 4 | s | 5 | ||
| p | 5 | s | 6 | ||
| p | 6 | s | 7 | ||
| p | 7 | s | 8 | ||
| p | 8 | s | 9 | ||
| p | 9 | s | 10 | ||
| p | 10 | s | 11 | ||
| p | 11 | s | 12 | ||
| p | 12 | s | 13 | ||
| p | 13 | s | 14 | ||
| p | 14 | s | 15 | ||
| p | 15 | s | 16 | ||
| p | 16 | s | 17 | ||
| p | 17 | s | 18 | ||
| p | 18 | s | 19 | ||
| p | 19 | s | 20 | ||
| p | 20 | s | 22 | ||
| p | 21 | s | 23 | ||
| p | 22 | s | 24 | ||
| p | 23 | s | 25 | ||
| p | 24 | s | 26 | ||
| p | 25 | s | 27 | ||
| p | 26 | s | 28 | ||
| p | 27 | s | 29 | ||
| p | 29 | s | 30 | ||
| p | 30 | s | 31 | ||
| p | 31 | s | 32 | ||
| p | 32 | s | 33 | ||
| p | 33 | s | 34 | ||
| p | 34 | s | 36 | ||
| p | 35 | s | 37 | ||
| p | 36 | s | 38 | ||
| p | 37 | s | 39 | ||
| p | 39 | s | 40 | ||
| p | 41 | s | 41 | ||
| p | 42 | s | 42 | ||
| p | 43 | s | 43 | ||
| p | 44 | s | 44 | ||
| p | 45 | s | 45 | ||
| p | 46 | s | 46 | ||
| p | 47 | s | 47 | ||
| p | 48 | s | 49 | ||
| p | 49 | s | 50 | ||
| p | 50 | s | 51 | ||
| p | 51 | s | 160 | ||
| p | 160 | s | 172 | ||
| p | 171 | s | 174 | ||
| p | 173 |
| Type | Cycle Number | Time (BJD −2,455,000) | Type | Cycle Number | Time (BJD −2,455,000) |
|---|---|---|---|---|---|
| p | 1 | s | 1 | ||
| p | 2 | s | 3 | ||
| p | 3 | s | 4 | ||
| p | 4 | s | 5 | ||
| p | 5 | s | 6 | ||
| p | 6 | s | 7 | ||
| p | 7 | s | 8 | ||
| p | 8 | s | 9 | ||
| p | 9 | s | 10 | ||
| p | 10 | s | 11 | ||
| p | 11 | s | 12 | ||
| p | 12 | s | 14 | ||
| p | 13 | s | 15 | ||
| p | 14 | s | 16 | ||
| p | 15 | s | 17 | ||
| p | 16 | s | 18 | ||
| p | 17 | s | 19 | ||
| p | 18 | ||||
| p | 19 |
Appendix B. Radial Velocity Measurements
| Time (BJD −2,455,000) | Primary Radial Velocity (km s) | Secondary Radial Velocity (km s) |
|---|---|---|
| 736.80885 | ||
| 739.77839 | ||
| 741.70109 | ||
| 742.89303 | ||
| 1083.89084 | ||
| 1086.76300 | ||
| 1457.77006 | ||
| 1460.80769 |
| Time (BJD −2,455,000) | Primary Radial Velocity (km s) | Secondary Radial Velocity (km s) |
|---|---|---|
| 1084.69763 | ||
| 1085.86778 | ||
| 1086.78690 | ||
| 1088.72642 | ||
| 1092.86019 | ||
| 1441.91578 | ||
| 1459.86573 |
| Time (BJD −2,455,000) | Primary Radial Velocity (km s) | Tertiary Radial Velocity (km s) |
|---|---|---|
| 740.907195 | ||
| 743.677381 | ||
| 797.905536 | ||
| 1087.850896 | ||
| 1089.650195 | ||
| 1092.884236 |
Appendix C. Initial Conditions for Best-fitting Solutions
| Parameter | Orbit 1 | Orbit 2 | Orbit 3 | |
|---|---|---|---|---|
| Period (days) | ||||
| i (rad) | ||||
| (rad) | ||||
| (days) | ||||
| a (AU) | ||||
| e | ||||
| (deg) | ||||
| true anomaly (deg) | ||||
| mean anomaly (deg) | ||||
| mean longitude (deg) | ||||
| i (deg) | ||||
| (deg) | ||||
| Parameter | Body 1 | Body 2 | Body 3 | Body 4 |
| Mass () | ||||
| x (AU) | ||||
| y (AU) | ||||
| z (AU) | ||||
| (AU day) | ||||
| (AU day) | ||||
| (AU day) | ||||
| Radius (AU) | ||||
| Flux |
| Parameter | Orbit 1 | Orbit 2 | |
|---|---|---|---|
| Period (days) | |||
| i (rad) | |||
| (rad) | |||
| (days) | |||
| a (AU) | |||
| e | |||
| (deg) | |||
| true anomaly (deg) | |||
| mean anomaly (deg) | |||
| mean longitude (deg) | |||
| i (deg) | |||
| (deg) | |||
| Parameter | Body 1 | Body 2 | Body 3 |
| Mass () | |||
| x (AU) | |||
| y (AU) | |||
| z (AU) | |||
| (AU day) | |||
| (AU day) | |||
| (AU day) | |||
| Radius (AU) | |||
| Flux |
| Parameter | Orbit 1 | Orbit 2 | |
|---|---|---|---|
| Period (days) | |||
| i (rad) | |||
| (rad) | |||
| (days) | |||
| a (AU) | |||
| e | |||
| (deg) | |||
| true anomaly (deg) | |||
| mean anomaly (deg) | |||
| mean longitude (deg) | |||
| i (deg) | |||
| (deg) | |||
| Parameter | Body 1 | Body 2 | Body 3 |
| Mass () | |||
| x (AU) | |||
| y (AU) | |||
| z (AU) | |||
| (AU day) | |||
| (AU day) | |||
| (AU day) | |||
| Radius (AU) | |||
| Flux |
| Parameter | Orbit 1 | Orbit 2 | Orbit 3 | |
|---|---|---|---|---|
| Period (days) | ||||
| i (rad) | ||||
| (rad) | ||||
| (days) | ||||
| a (AU) | ||||
| e | ||||
| (deg) | ||||
| true anomaly (deg) | ||||
| mean anomaly (deg) | ||||
| mean longitude (deg) | ||||
| i (deg) | ||||
| (deg) | ||||
| Parameter | Body 1 | Body 2 | Body 3 | Body 4 |
| Mass () | ||||
| x (AU) | ||||
| y (AU) | ||||
| z (AU) | ||||
| (AU day) | ||||
| (AU day) | ||||
| (AU day) | ||||
| Radius (AU) | ||||
| Flux |
| 1 | https://archive.stsci.edu (accessed on 22 November 2023). |
| 2 | https://archive.stsci.edu/kepler/manuals/archive_manual.pdf (accessed on 22 November 2023). |
| 3 | https://archive.stsci.edu/missions-and-data/k2 (accessed on 22 November 2023). |
| 4 | Note this definition of the mass ratio differs from what was used for KIC 7668648 and KIC 10314940. |
References
- Raghavan, D.; McAlister, H.A.; Henry, T.J.; Latham, D.W.; Marcy, G.W.; Mason, B.D.; Gies, D.R.; White, R.J.; Ten Brummelaar, T.A. A Survey of Stellar Famalies: Multiplicity of Solar-Type Stars. Astrophys. J. Suppl. Ser. 2010, 190, 1–42. [Google Scholar] [CrossRef]
- Tokovinin, A. The Updated Multiple Star Catalog. Astrophys. J. Suppl. Ser. 2018, 235, 6. [Google Scholar] [CrossRef]
- Borucki, W.J.; Koch, D.; Basri, G.; Batalha, N.; Brown, T.; Caldwell, D.; Caldwell, J.; Christensen-Dalsgaard, J.; Cochran, W.D.; DeVore, E.; et al. Kepler Planet-Detection Mission: Introduction and First Results. Science 2010, 327, 977–980. [Google Scholar] [CrossRef] [PubMed]
- Borucki, W.J.; Koch, D.G.; Brown, T.M.; Basri, G.; Batalha, N.M.; Caldwell, D.A.; Cochran, W.D.; Dunham, E.W.; Gautier, T.N.; Geary, J.C.; et al. Kepler-4b: A Hot Neptune-Like Planet of a G0 Star Near Main-Sequence Turnoff. Astrophys. J. 2010, 713, L126–L130. [Google Scholar] [CrossRef]
- Koch, D.G.; Borucki, W.J.; Basri, G.; Batalha, N.M.; Brown, T.M.; Caldwell, D.; Christensen-Dalsgaard, J.; Cochran, W.D.; DeVore, E.; Dunham, E.W.; et al. Kepler Mission Design, Realized Photometric Performance, 855 and Early Science. Astrophys. J. 2010, 713, L79–L86. [Google Scholar] [CrossRef]
- Ricker, G.R.; Winn, J.N.; Vanderspek, R.; Latham, D.W.; Bakos, G.Á.; Bean, J.L.; Berta-Thompson, Z.K.; Brown, T.M.; Buchhave, L.; Butler, N.R.; et al. Transiting Exoplanet Survey Satellite (TESS). J. Astron. Telesc. Instrum. Syst. 2015, 1, 014003. [Google Scholar] [CrossRef]
- Kirk, B.; Conroy, K.; Prša, A.; Abdul-Masih, M.; Kochoska, A.; MatijeviČ, G.; Hambleton, K.; Barclay, T.; Bloemen, S.; Boyajian, T.; et al. Kepler Eclipsing Binary Stars. VII. The Catalog of Eclipsing Binaries Found in the Entire Kepler Data Set. Astron. J. 2016, 151, 68. [Google Scholar] [CrossRef]
- Prša, A.; Batalha, N.; Slawson, R.W.; Doyle, L.R.; Welsh, W.F.; Orosz, J.A.; Seager, S.; Rucker, M.; Mjaseth, K.; Engle, S.G.; et al. Kepler Eclipsing Binary Stars. I. Catalog and Principle Characterization of 869 1879 Eclipsding Binaries in the First Data Release. Astron. J. 2011, 141, 83. [Google Scholar] [CrossRef]
- Slawson, R.W.; Prša, A.; Welsh, W.F.; Orosz, J.A.; Rucker, M.; Batalha, N.; Doyle, L.R.; Engle, S.G.; Conroy, K.; Coughlin, J.; et al. Kepler Eclipsing Binary Stars. II. 2165 Eclipsing Binaries in the 886 Second Data Release. Astron. J. 2011, 142, 160. [Google Scholar] [CrossRef]
- Borkovits, T.; Rappaport, S.; Hajdu, T.; Szakaovics, J. Eclipse Timing Variation Analyses of Eccentric Binaries with Close Tertiaries in the Kepler Field. Mon. Not. R. Astron. Soc. 2015, 448, 946–993. [Google Scholar] [CrossRef]
- Borkovits, T.; Hajdu, T.; Sztakovics, J.; Rappaport, S.; Levine, A.; Bíró, I.B.; Klagyivik, P. A Comprehensive Study of the Kepler Triples Via Eclipse Timing. Mon. Not. R. Astron. Soc. 2016, 455, 4136–4165. [Google Scholar] [CrossRef]
- Rappaport, S.; Deck, K.; Levine, A.; Borkovits, T.; Carter, J.; El Mellah, I.; Sanchis-Ojeda, R.; Kalomeni, B. Triple-star Candidates among the Kepler Binaries. Astroph. J. 2013, 768, 33. [Google Scholar] [CrossRef]
- Kostov, V.B.; Powell, B.P.; Rappaport, S.A.; Borkovits, T.; Gagliano, R.; Jacobs, T.L.; Kristiansen, M.H.; LaCourse, D.M.; Omohundro, M.; Orosz, J.; et al. Ninty-Seven Eclipsing Quadruple Star Candidates Discovered in TESS Full-Frame Images. Astrophys. J. Suppl. Ser. 2022, 259, 66. [Google Scholar] [CrossRef]
- Marsh, T.R.; Armstrong, D.J.; Carter, P.J. KIC 2856960: The Impossible Triple Star. Mon. Not. R. Astron. Soc. 2014, 445, 309–319. [Google Scholar] [CrossRef][Green Version]
- Orosz, J.A.; Welsh, W.F.; Haghighipour, N.; Quarles, B.; Short, D.R.; Mills, S.M.; Satyal, S.; Torres, G.; Agol, E.; Fabrycky, D.C.; et al. Discovery of a Third Transiting Planet in the Kepler-47 Circumbinary System. Astron. J. 2019, 157, 174. [Google Scholar] [CrossRef]
- Howell, S.B.; Sobeck, C.; Haas, M.; Still, M.; Barclay, T.; Mullally, F.; Troeltzsch, J.; Aigrain, S.; Bryson, S.T.; Caldwell, D.; et al. The K2 Mission: Characterization and Early Results. Publ. Astron. Soc. Pac. 2014, 126, 398–408. [Google Scholar] [CrossRef]
- Feinstein, A.D.; Montet, B.T.; Foreman-Mackey, D.; Bedell, M.E.; Saunders, N.; Bean, J.L.; Christiansen, J.L.; Hedges, C.; Luger, R.; Scolnic, D.; et al. eleanor: An Open-Source Tool for Extracting Light Curves from the TESS Full-Fram. Images. Publ. Astron. Soc. Pac. 2019, 131, 094502. [Google Scholar] [CrossRef]
- Brasseur, C.E.; Phillip, C.; Fleming, S.W.; Mullally, S.E.; White, R.L. Astrocut: Tools for Creating Cutouts of TESS Images. In Astrophysics Source Code Library; Record ASCL:1905.007; Astrophysics Source Code Library, Michigan Technological University: Houghton, MI, USA, 2019. [Google Scholar]
- Tody, D. The IRAF Data Reduction and Analysis System. In Instrumentation in Astronomy VI. Proceedings of the 1986 Astronomy Conferences, Tucson, AZ, USA, 1–2 March 1986; Proc. SPIE 0627. Society of Photo-Optical Instrumentation Engineers: Bellingham, WA, USA, 1986; pp. 733–748. [Google Scholar]
- Tody, D. IRAF in the Nineties. In Astronomical Data Analysis Software and Systems II; Hanisch, R.J., Brissenden, R.J.V., Barnes, J., Eds.; ASP Conference Series; Astronomical Society of the Pacific: San Francisco, CA, USA, 1993; Volume 52, pp. 173–183. [Google Scholar]
- Rucinski, S.M. Spectral-Line Broadening Functions of WUMa-Type Binaries. I. AW UMa. Astron. J. 1992, 104, 1968–1981. [Google Scholar] [CrossRef]
- Rucinski, S.M. Radial Velocity Studies of Close Binary Stars. VII. Methods and Uncertainties. Astron. J. 2002, 124, 1746–1756. [Google Scholar] [CrossRef]
- Orosz, J.A.; Hauschildt, P.H. The Use of the NextGen Model Atmospheres for Cool Giants in a Light Curve Synthesis Code. Astron. Astrophys. 2000, 364, 265–281. [Google Scholar]
- Ter Braak, C.J.F. A Markov Chain Monte Carlo Version of the Genetic Algorithm Differential Evolution: Easy Bayesian Computing for Real Parameter Spaces. Stat. Comput. 2006, 16, 239–249. [Google Scholar] [CrossRef]
- Murray, C.D.; Dermott, S.F. Solar System Dynamics; Cambridge University Press: Cambridge, UK, 1999. [Google Scholar]
- Mardling, R.; Lin, D.N.C. Calculating the Tidal, Spin, and Dynamical Evolution of Extrasolar Planetary Systems. Astrophys. J. 2002, 573, 829–844. [Google Scholar] [CrossRef]
- Short, D.R.; Orosz, J.A.; Windmiller, G.; Welsh, W.F. Accurate Computation of Light Curves and the Rossiter-McLaughlin Effect in Multibody Eclipsing Systems. Astron. J. 2018, 156, 297. [Google Scholar] [CrossRef]
- Charbonneau, P. Genetic Algorithms in Astronomy and Astrophysics. Astrophys. J. Suppl. Ser. 1995, 101, 309–334. [Google Scholar] [CrossRef]
- Tegmark, M.; Strauss, M.A.; Blanton, M.R.; Abazajian, K.; Dodelson, S.; Sandvik, H.; Wang, X.; Weinberg, D.H.; Zehavi, I.; Bahcall, N.A.; et al. Cosmological Parameters From SDSS and WMAP. Phys. Rev. D 2004, 69, 103501. [Google Scholar] [CrossRef]
- Skilling, J. Nested Sampling for General Bayesian Computation. Bayesian Anal. 2006, 1, 833–859. [Google Scholar] [CrossRef]
- Choi, J.; Dotter, A.; Conroy, C.; Cantiello, M.; Paxton, B.; Johnson, B.D. Mesa Isochrones and Stellar Tracks (MIST). I. Solar-scaled Models. Astroph. J. 2016, 823, 102. [Google Scholar] [CrossRef]
- Dottor, A. MESA Isochrones and Stellar Tracks (MIST) 0: Methods for the Construction of Stellar Isochrones. Astrophys. J. Suppl. Ser. 2016, 222, 8. [Google Scholar] [CrossRef]
- Tofflemire, B.M.; Mathieu, R.D.; Johns-Krull, C.M. Accretion Kinematics in the T Tauri Binary TWA 3A: Evidence for Preferential Accretion onto the TWA 3A Primary. Astron. J. 2019, 158, 245. [Google Scholar] [CrossRef]
- Short, D.R.; Welsh, W.F.; Orosz, J.A.; Windmiller, G.; Maxted, P.F.L. Note on the Power-2 Limb-darkening Law. Res. Notes AAS 2019, 3, 117. [Google Scholar] [CrossRef]
- Zhang, J.; Qian, S.-B.; He, J.-D. Candidates of Eclipsing Multiples Based on Extraneous Eclipses on Binary Light Curves: KIC 7622486, KIC 7668648, KIC 7670485, and KIC 8938628. Res. Astron. Astrophys. 2017, 17, 22. [Google Scholar] [CrossRef][Green Version]
- Zhang, J.; Qian, S.B.; Wang, S.M.; Sun, L.L.; Wu, Y.; Jiang, L.Q. The Extraneous Eclipses on Binary Light Curves: KIC 5255552, KIC 10091110, and KIC 11495766. Astron. Astrophy. 2018, 610, A72. [Google Scholar] [CrossRef]
- Getley, A.K.; Carter, B.; King, R.; O’Toole, S. Stability of Planetary, Single M Dwarf, and Binary Star Companions to Kepler 848 Detached Eclipsing Binaries and a Possible Five-body System. Mon. Not. R. Astron. Soc. 2020, 498, 4356–4364. [Google Scholar] [CrossRef]
- Rappaport, S.; Vanderburg, A.; Borkovits, T.; Kalomeni, B.; Halpern, J.P.; Ngo, H.; Mace, G.N.; Fulton, B.J.; Howard, A.W.; Isaacson, H.; et al. EPIC 220204960: A Quadruple Star System Containing Two Strongly Interacting Eclipsing Binaries. Mon. Not. R. Astron. Soc. 2017, 467, 2160–2179. [Google Scholar] [CrossRef]
- Fabrycky, D.; Tremaine, S. Shrinking Binary and Planetary Orbits by Kozai Cycles with Tidal Friction. Astroph. J. 2007, 669, 1298–1315. [Google Scholar] [CrossRef]
- Kiseleva, L.G.; Eggleton, P.P.; Mikkola, S. Tidal Friction in Triple Stars. Mon. Not. R. Astron. Soc. 1998, 300, 292–302. [Google Scholar] [CrossRef]
- Mazeh, T.; Shaham, J. The Orbital Evolution of Close Triple Systems: The Binary Eccentricity. Astron. Astrophys. 1979, 77, 145–151. [Google Scholar]






























| Parameter | KIC 5255552 | KIC 7668648 | KIC 10319590 | EPIC 220204960 |
|---|---|---|---|---|
| TIC ID number | 120316928 | 158215322 | 123358966 | … |
| Other designation | KOI-6545 | KOI-6899 | SPOCS 2149 | SDSS J004832.66+001015.2 |
| RA (J2000) | 18 58 46.3378826448 | 19 05 06.4737051312 | 18 46 51.5603406384 | 00 48 32.6684739096 |
| DEC (J2000) | +40 29 55.062482712 | +43 20 20.880322836 | +47 24 51.814823652 | +00 10 15.224216232 |
| G magnitude | 15.21 | 15.25 | 13.70 | 17.00 |
| Kepler Quarters | 1–4, 6–8, 10–12, 14–16 | 1–17 | 1–17 | … |
| Time span used | to 1390.959 | to 1424.012 | to 520.2844 | 2393.744 to 2470.7501 |
| TESS Sectors | 14, 26, 40, 41, 53, 54 | 14, 26, 40, 41, 53, 54, 55 | 14, 26, 40, 41, 53, 54, 55 | … |
| Number of RV measurements | 8 | 7 | 6 | 6 |
| Time span of RV measurements | 736.806 to 1460.808 | 1084.698 to 1459.866 | 740.907 to 1092.884 | 2650.743 to 2718.882 |
| Parameter | Median | Parameter | Median | ||
|---|---|---|---|---|---|
| (days) | 21.26551 | 0.000212 | (days) | 455.70 | 0.27 |
| 0.00037 | 0.32 | ||||
| 0.013740 | 0.000018 | 0.00046 | |||
| 0.01841 | 0.00017 | 0.09969 | 0.00041 | ||
| (deg) | 89.8536 | 0.0086 | (deg) | 104.78 | 0.10 |
| (deg) | … | (deg) | 38.46 | 0.12 | |
| () | 1.108 | 0.043 | 0.671 | 0.010 | |
| 1.7651 | 0.0064 | ||||
| ( | 1.590 | 0.019 | 2.2151 | 0.0078 | |
| 1.140 | 0.099 | ||||
| (K) | 5802 | 360 | 0.780 | 0.013 | |
| (K) | 5836 | 462 | |||
| primary | 0.7327 | 0.0058 | primary | 0.46 | 0.11 |
| secondary | 0.672 | 0.014 | secondary | 0.47 | 0.16 |
| 0.049 | 0.032 | 0.100 | 0.064 | ||
| 0.024 | 0.020 | 0.028 | 0.020 | ||
| 0.029 | 0.020 | 0.47 | 0.16 |
| Parameter | KIC 7668648 Median | KIC 10319590 Median | ||
|---|---|---|---|---|
| () | 0.8403 | 0.0090 | 1.108 | 0.043 |
| () | 0.8000 | 0.0085 | 0.743 | 0.023 |
| () | 0.2750 | 0.0029 | 1.049 | 0.038 |
| () | 1.0066 | 0.0036 | 1.590 | 0.019 |
| () | 0.8779 | 0.0032 | 0.7180 | 0.0086 |
| () | 0.2874 | 0.0010 | 1.39 | 0.11 |
| (AU) | 0.21179 | 0.00076 | 0.1844 | 0.0022 |
| (AU) | 0.8532 | 0.0030 | 1.653 | 0.020 |
| 0.0489731 | 0.0000045 | 0.02297 | 0.00014 | |
| 0.2033187 | 0.0000072 | 0.13957 | 0.00041 | |
| (deg) | 258.7446 | 0.0021 | 53.27 | 0.22 |
| (deg) | 166.4007 | 0.0025 | 134.42 | 0.19 |
| (deg) | 91.49422 | 0.00022 | 89.8536 | 0.0086 |
| (deg) | 89.13552 | 0.00051 | 104.779 | 0.099 |
| (deg) | 0.64016 | 0.00065 | 38.46 | 0.12 |
| I (deg) | 2.44402 | 0.00068 | 40.84 | 0.12 |
| Parameter | Median | Parameter | Median | ||
|---|---|---|---|---|---|
| (days) | 27.796270 | 0.000019 | (days) | 208.00479 | 0.00028 |
| 0.00012 | 0.00057 | ||||
| 0.0000019 | 0.0000083 | ||||
| 0.0000045 | 0.0478065 | 0.0000079 | |||
| (deg) | 91.49422 | 0.00022 | (deg) | 89.13551 | 0.00051 |
| (deg) | 0 | … | (deg) | 0.64016 | 0.00065 |
| () | 0.8403 | 0.0090 | 0.95198 | 0.00010 | |
| 5.96517 | 0.00070 | ||||
| () | 0.0221031 | 0.0000054 | () | 0.019276 | 0.000012 |
| 3.5019 | 0.0028 | ||||
| (K) | 5191 | 82 | 0.96890 | 0.00057 | |
| (K) | 2927 | 123 | |||
| primary | 0.7530 | 0.0023 | primary | 0.529 | 0.038 |
| secondary | 0.7367 | 0.0026 | secondary | 0.447 | 0.053 |
| tertiary | 0.58 | 0.24 | tertiary | 0.26 | 0.19 |
| 0.00549 | 0.00078 | 0.00460 | 0.00078 | ||
| 0.00834 | 0.00078 | 0.00647 | 0.00078 |
| Parameter | Median | Parameter | Median | ||
|---|---|---|---|---|---|
| (days) | 32.454276 | 0.000045 | 0.000063 | ||
| 0.0000047 | 0.000065 | ||||
| (deg) | 88.9812 | 0.0034 | (deg) | … | |
| () | 0.950 | 0.018 | 0.78393 | 0.00034 | |
| () | 0.9284 | 0.0063 | 1.3472 | 0.0059 | |
| (days) | 33.74293 | 0.00046 | 0.0056 | ||
| 0.00012 | 0.00015 | ||||
| (deg) | 86.147 | 0.013 | (deg) | −1.054 | 0.010 |
| 1.96665 | 0.00099 | 1.8728 | 0.0010 | ||
| 2.0008 | 0.0057 | 1.9551 | 0.0046 | ||
| (days) | 878.4725 | 0.0057 | 0.0070 | ||
| 0.0000039 | 0.000082 | ||||
| (deg) | 89.89368 | 0.00032 | (deg) | 0.0027 | |
| star 1, Kepler | 0.6862 | 0.0035 | star 1, Kepler | 0.652 | 0.046 |
| star 1 TESS | 0.547 | 0.035 | star 1, TESS | 0.30 | 0.18 |
| star 2, Kepler | 0.6183 | 0.0096 | star 2, Kepler | 0.149 | 0.036 |
| star 2 TESS | 0.954 | 0.045 | star 2, TESS | 0.50 | 0.32 |
| star 3, Kepler | 0.28 | 0.47 | star 3, Kepler | 0.10 | 0.33 |
| star 4, Kepler | 0.588 | 0.058 | star 4, Kepler | 0.35 | 0.20 |
| 0.0079 | 0.0042 | 0.0110 | 0.0039 | ||
| 0.0079 | 0.0039 | 0.0051 | 0.0038 | ||
| 0.295 | 0.021 | 0.008 | 0.010 | ||
| 0.321 | 0.011 | 0.236 | 0.015 |
| Parameter | KIC 5255552 Median | EPIC 2202 Median | Range | |
|---|---|---|---|---|
| () | 0.950 | 0.018 | 0.542 | 0.502, 0.583 |
| () | 0.745 | 0.014 | 0.461 | 0.425, 0.497 |
| () | 0.483 | 0.010 | 0.380 | 0.345, 0.417 |
| () | 0.507 | 0.010 | 0.380 | 0.346, 0.417 |
| () | 0.9284 | 0.0063 | 0.462 | 0.448, 0.478 |
| () | 0.6891 | 0.0051 | 0.365 | 0.343, 0.408 |
| () | 0.4640 | 0.0036 | 0.400 | 0.382, 0.416 |
| () | 0.4749 | 0.0031 | 0.365 | 0.349, 0.382 |
| (AU) | 0.2374 | 0.0015 | 0.1098 | 0.1072, 0.1124 |
| (AU) | 0.2810 | 0.0018 | 0.1309 | 0.1278, 0.1340 |
| (AU) | 2.454 | 0.016 | 2.15 | 1.56, 3.13 |
| 0.218246 | 0.000058 | 0.119 | 0.107, 0.133 | |
| 0.161644 | 0.000098 | 0.0700 | 0.0629, 0.0787 | |
| 0.406029 | 0.000051 | 0.45 | 0.25, 0.65 | |
| (deg) | 292.7457 | 0.0074 | 240 | 236, 243 |
| (deg) | 168.066 | 0.058 | 240 | 235, 243 |
| (deg) | 219.6691 | 0.0092 | 284 | 245, 310 |
| (deg) | 88.9812 | 0.0034 | 89.85 | 89.64, 89.99 |
| (deg) | 86.147 | 0.013 | 89.95 | 89.77, 90.22 |
| (deg) | 89.89368 | 0.00032 | 85 | 80, 99 |
| (deg) | 0.010 | , 7 | ||
| (deg) | 0.0027 | 137 | 18, 151 | |
| (deg) | 3.024 | 0.016 | 27 | 9, 69 |
| (deg) | 0.9862 | 0.0028 | 137 | 26, 150 |
| Parameter | Median | Range | Parameter | Median | Range |
|---|---|---|---|---|---|
| (days) | 13.277 | 13.261, 13.280 | 2401.854, 2401.873 | ||
| , | , | ||||
| (deg) | 89.85 | 89.64, 89.99 | (deg) | … | |
| () | 1.002 | 0.932, 1.076 | 0.850 | 0.805, 0.897 | |
| () | 0.832 | 0.801, 0.870 | 1.272 | 1.124, 1.351 | |
| (days) | 14.4218 | 14.3943, 14.4246 | 2402.9988, 2403.0286 | ||
| , | , | ||||
| (deg) | 89.95 | 89.77, 90.22 | (deg) | , 6.8 | |
| 0.761 | 0.697, 0.828 | 1.002 | 0.931, 1.076 | ||
| 0.764 | 0.739, 0.789 | 1.105 | 1.033, 1.157 | ||
| (days) | 957 | 595, 1674 | 2745, 2868 | ||
| , 0.42 | , | ||||
| (deg) | 223 | 123, 234 | (deg) | , 88 | |
| (K) | 3602 | 3509, 3667 | (K) | 3428 | 3340, 3545 |
| (K) | 3592 | 3496, 3662 | (K) | 3532 | 3435, 3618 |
| star 1 | 0.52 | 0.32, 0.74 | star 1 | 0.24 | 0.09, 0.50 |
| star 2 | 0.73 | 0.37, 0.92 | star 2 | 0.33 | 0.07, 0.70 |
| star 3 | 0.76 | 0.61, 0.90 | star 3 | 0.49 | 0.25, 0.70 |
| star 4 | 0.91 | 0.81, 0.97 | star 4 | 0.50 | 0.17, 0.79 |
| 0.10 | 0.03, 0.16 | 0.10 | 0.04, 0.17 | ||
| 0.10 | 0.03, 0.16 | 0.10 | 0.04, 0.17 | ||
| 0.9815 | 0.9807, 0.9826 |
| Parameter | KIC 7668648 Median (yr) | (yr) | KIC 10319590 Median (yr) | (yr) |
|---|---|---|---|---|
| 26.0619 | 0.0021 | 352 | 22 | |
| 26.0619 | 0.0021 | 352 | 22 | |
| 19.61793 | 0.00045 | 107.67 | 0.66 | |
| 19.61793 | 0.00045 | 107.67 | 0.66 | |
| 55.3400 | 0.0011 | 1692 | 40 | |
| 55.3400 | 0.0011 | 1692 | 40 | |
| 19.61793 | 0.00045 | 107.67 | 0.66 | |
| 19.61793 | 0.00045 | 107.67 | 0.66 | |
| primary eclipse fraction | 1.0 | … | 0.7571 | 0.0015 |
| secondary eclipse fraction | 1.0 | … | 0.7571 | 0.0015 |
| transit fraction | 0.2888 | 0.0021 | 0.0 | … |
| transit fraction | 0.2659 | 0.0021 | 0.0 | … |
| occultation fraction | 0.2929 | 0.0021 | 0.0 | … |
| occultation fraction | 0.2618 | 0.0010 | 0.0 | … |
| Parameter | KIC 5255552 Median (yr) | (yr) | EPIC 2202 Median (yr) | (yr) |
|---|---|---|---|---|
| 96.716 | 0.016 | 202 | … | |
| 96.716 | 0.016 | 201 | … | |
| 96.3524 | 0.0052 | 171 | … | |
| 96.3524 | 0.0052 | 171 | … | |
| 93.281 | 0.062 | 113 | … | |
| 93.281 | 0.062 | 113 | … | |
| 96.3540 | 0.0055 | 112 | … | |
| 96.3538 | 0.0055 | 112 | … | |
| 591.520 | 0.065 | 858 | … | |
| 591.364 | 0.066 | 873 | … | |
| 96.3524 | 0.0053 | 170 | … | |
| 96.3524 | 0.0053 | 343 | … | |
| EB #1 primary eclipse fraction | 1.0 | … | … | … |
| EB #1 secondary eclipse fraction | 1.0 | … | … | … |
| EB #2 primary eclipse fraction | 0.1557 | 0.0014 | … | … |
| EB #2 secondary eclipse fraction | 0.1560 | 0.0011 | … | … |
| transit fraction | 0.0864 | 0.0087 | … | … |
| transit fraction | 0.1025 | 0.0058 | … | … |
| transit fraction | 0.00214 | 0.00017 | … | … |
| transit fraction | 0.00236 | 0.00017 | … | … |
| occultation fraction | 0.1068 | 0.0073 | … | … |
| occultation fraction | 0.0790 | 0.0073 | … | … |
| occultation fraction | 0.00264 | 0.00017 | … | … |
| occultation fraction | 0.00186 | 0.00022 | … | … |
Disclaimer/Publisher’s Note: The statements, opinions and data contained in all publications are solely those of the individual author(s) and contributor(s) and not of MDPI and/or the editor(s). MDPI and/or the editor(s) disclaim responsibility for any injury to people or property resulting from any ideas, methods, instructions or products referred to in the content. |
© 2023 by the author. Licensee MDPI, Basel, Switzerland. This article is an open access article distributed under the terms and conditions of the Creative Commons Attribution (CC BY) license (https://creativecommons.org/licenses/by/4.0/).
Share and Cite
Orosz, J.A. Photodynamical Modeling of the Compact, Multiply Eclipsing Systems KIC 5255552, KIC 7668648, KIC 10319590, and EPIC 220204960. Universe 2023, 9, 505. https://doi.org/10.3390/universe9120505
Orosz JA. Photodynamical Modeling of the Compact, Multiply Eclipsing Systems KIC 5255552, KIC 7668648, KIC 10319590, and EPIC 220204960. Universe. 2023; 9(12):505. https://doi.org/10.3390/universe9120505
Chicago/Turabian StyleOrosz, Jerome A. 2023. "Photodynamical Modeling of the Compact, Multiply Eclipsing Systems KIC 5255552, KIC 7668648, KIC 10319590, and EPIC 220204960" Universe 9, no. 12: 505. https://doi.org/10.3390/universe9120505
APA StyleOrosz, J. A. (2023). Photodynamical Modeling of the Compact, Multiply Eclipsing Systems KIC 5255552, KIC 7668648, KIC 10319590, and EPIC 220204960. Universe, 9(12), 505. https://doi.org/10.3390/universe9120505

