RR Lyrae Stars and Anomalous Cepheids as Population Tracers in Local Group Galaxies
Abstract
1. Introduction
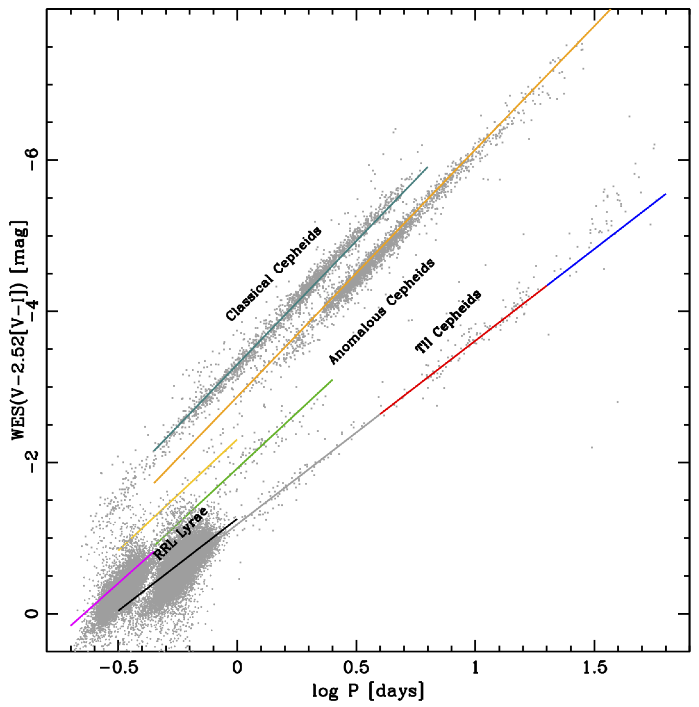
2. Observational Properties
2.1. RR Lyrae Stars
2.2. Classical Cepheids
2.3. Anomalous Cepheids
2.4. Type II Cepheids
3. The Theoretical Scenario
4. RR Lyrae Stars
4.1. RR Lyrae as Tracers of the Halo Formation
- the present-day MW dSph satellites are different from the objects that accreted to form the MW halo long ago;
- the building blocks of the halo must have experienced an early and fast chemical evolution, that allowed them to produce a population of stars metal-rich enough to be detected today as HASP RRL stars. This suggests that the halo building blocks were massive systems.
4.2. RR Lyrae and the Connection with the Host SFH
4.3. The Oosterhoff Dichotomy
4.4. RR Lyrae Stars as Early Chemical Evolution Tracers
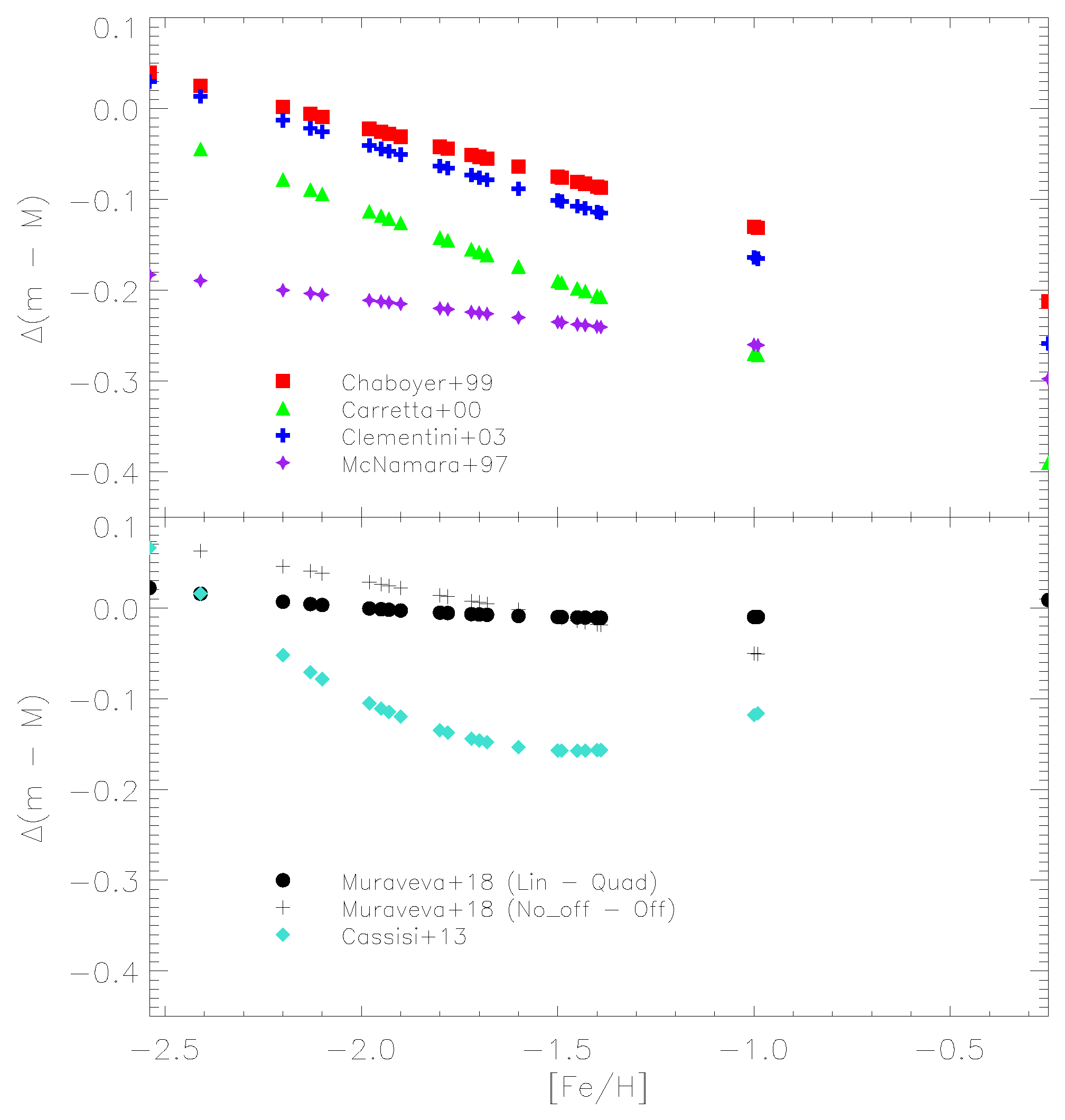
4.5. RR Lyrae Stars as Distance Indicators
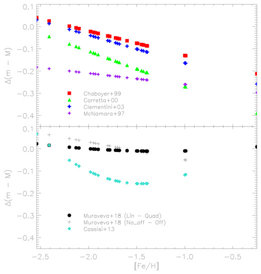
4.5.1. Metallicity-Luminosity Relation
- Evolutionary Effects: stars in the HB spend only a minor fraction of the evolutionary time close to the ZAHB, as they evolve to higher luminosity while the central He burning proceeds. Therefore, as is not possible to know in detail the evolutionary status of each star, the observed mean magnitude, which is typically assumed, may not be the best to represent the ZAHB luminosity of the RRL stars population. This is also the main reason why this relation cannot be inverted and applied to individual stars to derive their distance.
- Metal content 1: Direct high-resolution measurements of the metallicity in external galaxies is still lacking at present time. Therefore, when using the Metallicity-Luminosity relation, an assumption of the metal content has to be done. This can be safely done for the vast majority of (typical) globular clusters, characterized by null or negligible spread in metallicity, which can be safely measured in RGB stars. This is not true in the case of dwarf galaxies, which show a complex mix of stellar populations with different ages and metallicities. As a further complication, metallicities in dwarf galaxies are typically derived for bright RGB stars. However, galaxies often host populations of stars too young and/or too metal-rich which do appear in the RGB, but they do not have a counterpart in the RRL population. For this reason, blindly assuming the global spectroscopic metallicity from the RGB can bring to an overestimation of the RRL metallicity introducing a systematic in the distance determination. To overcome this, assumption have to be made on the metallicity of the RRL stars, or alternative, direct estimate of the metallicity from the RRL pulsational properties can be performed (see Section 4).
- Metal content 2: Another issue related to the metal content is that the population of RRL can present an intrinsic spread in metallicity, due to a fast self-enrichment occurred on a 1-2 Gyr time scale. This is for example the case of Tucana (Bernard et al. [208]), Sculptor (Martínez-Vázquez et al. [205]), or the LMC (Skowron et al. [214]).
- Reddening: line-of-sight extinction directly affects the apparent mean magnitude of RRL stars, and therefore systematically shifts the distance estimate, mimicking fainter and therefore more distant RRL stars. Moreover, differential reddening artificially inflates the magnitude spread, also affecting the mean magnitude determination;
- Linearity: both empirical and theoretical works have suggested that the relation is quadratic rather than linear or, possibly, it presents a break close to [Fe/H] = −1.5, being steeper at lower metallicities (Bono [215]). Nevertheless, there is no consensus yet on this point (Muraveva et al. [216]).
- Calibration: nevertheless, the most basic and possibly the important problem of the Metallicity-Luminosity relation is the calibration of its coefficients, which is still not well established.
4.5.2. Period-Luminosity-Metallicity Relation
5. Anomalous Cepheids
5.1. On the Origin of ACs
5.2. Pulsation Masses for ACs
5.3. Distance
6. Discussion
6.1. Future Evolution and Challenges
6.2. Homogeneity of the Data
- data for all bright MW satellites exist in , and for very few, also in U (Carina, Sculptor). This is thanks to early individual works, which our group is updating thanks to a long-term project aiming at characterizing variable stars in all bright LG galaxies, exploiting the homogeneous photometry by P.B. Stetson (Stetson et al. [60], Stetson [260]);
- The low-mass MW satellites, in the so called ultra-faint regime, have been mostly studied with DECam. Among few exceptions there are some of the brightest ones, the first that were discovered, that are also visible from the northern hemisphere (Bootes IV, Dall’Ora et al. [261]; CVn I, Kuehn et al. [73]). Recently, some of the most distant MW companions have been investigate with the HST: Eridanus II (,,, Martínez-Vázquez et al. [72]; and LeoT (Clementini et al. [262]; Surot et al. in prep.)
- The first variability studies in massive M31 satellites dates back to the pioneering works by Saha et al. [39], Saha and Hoessel [263], Saha et al. [264], who used g images for NGC185, NGC147 and NGC205. Moreover, early HST/WFPC2 data exist (,) for a few M31 satellites (Monelli et al. [36], Pritzl et al. [83], Pritzl et al. [202], Pritzl et al. [265]), which have been updated by more recent ACS data (,, Martínez-Vázquez et al. [37]). Time series for NGC 147 and NGC 185 (,) were published by Monelli et al. [36], while a number of fainter systems have been observed in B,V using the Large Binocular Telescope by Cusano et al. [32,35,38,84].
- Concerning more distant and isolated LG systems, we have to distinguish between studies of CC, which are bright enough to be observed from the ground (see the compilation by Tammann et al. [48]), and fainter stars such as RRL ones, which need the HST. Indeed, many galaxies between 700 kpc and 2 Mpc have published or available HST data, mostly in the and filters.
Author Contributions
Funding
Institutional Review Board Statement
Informed Consent Statement
Acknowledgments
Conflicts of Interest
Abbreviations
| AC | Anomalous Cepheids |
| AGB | Asymptotic Giant Branch |
| CC | Classical Cepheids |
| CMD | Colour Magnitude Diagram |
| dIrr | Dwarf Irregular |
| dSph | Dwarf Spheroidal |
| HB | Horizontal Branch |
| HST | Hubble Space Telescope |
| IS | Insatbility Strip |
| LG | Local Group |
| LSST | Legacy Survey of Space and Time |
| MW | Milky Way |
| NIR | Near InfraRed |
| PMA | Period-mass-amplitude |
| PMC | Period-mass-colour |
| RGB | Red Giant Branch |
| RRL | RR Lyrae |
| TIIC | Type II Cepheids |
| WEAVE | WHT Enhanced Area Velocity Explorer |
| ZAHB | Zero-Age Horizontal Branch |
| ZTF | Zwicky Transient Factory |
| 1 | We only exclude few isolated dwarf irregular (dIrr) galaxies for which published data are typically sparse, old ground-based data for few bright Cepheids, such as WLM, Pegasus, Sextans A. |
| 2 | The Wesenheit is pseudo-magnitude defined as the different between a magnitude in a specific passband X minus a colour term multiplied by coefficient representing the ratio between the selective absoprtion in the X band and the colour excess in the assumed colour. |
| 3 | RRLs and CCs display different trends and different morphology of their light curves as a function of the pulsation period. A glance at the distribution of fundamental RRLs and CCs in the Bailey diagram (luminosity amplitude versus logarithmic period) shows that they follow different trends. The amplitude of fundamental RRLs strictly decreases when moving from the short- to the long-period regime (see Section 4.3), while classical Cepheids display the classical “V" shape with the secondary minimum located at the center of the Hertzsprung progression (∼10 days, see also Bono et al. [104]). The difference in luminosity amplitudes is the consequence of a stark difference in the shape of the light curves. Fundamental RRLs in the short period regime are located close to the blue (hot) edge of the IS. In this regime the RRLs attain their largest luminosity amplitudes. These RRLs have a saw-tooth light curves and also display either a dip or a change in the slope of the rising branch. These phenomena are the consequence of two different physical mechanisms:
|
References
- Bono, G.; Caputo, F.; Castellani, V.; Marconi, M. Nonlinear investigation of the pulsational properties of RR Lyrae variables. Astron. Astrophys. 1997, 121, 327–342. [Google Scholar] [CrossRef]
- Marconi, M.; Coppola, G.; Bono, G.; Braga, V.; Pietrinferni, A.; Buonanno, R.; Castellani, M.; Musella, I.; Ripepi, V.; Stellingwerf, R.F. On a New Theoretical Framework for RR Lyrae Stars. I. The Metallicity Dependence. Astrophys. J. 2015, 808, 50. [Google Scholar] [CrossRef]
- Kolenberg, K.; Szabó, R.; Kurtz, D.W.; Gilliland, R.L.; Christensen-Dalsgaard, J.; Kjeldsen, H.; Brown, T.M.; Benko, J.M.; Chadid, M.; Derekas, A.; et al. First Kepler Results on RR Lyrae Stars. Astrophys. J. Lett. 2010, 713, L198–L203. [Google Scholar] [CrossRef]
- Benko, J.M.; Szabó, R. The Blazhko Effect and Additional Excited Modes in RR Lyrae Stars. Astrophys. J. Lett. 2015, 809, L19. [Google Scholar] [CrossRef]
- Feast, M.W.; Walker, A.R. Cepheids as distance indicators. Annu. Rev. Astron. Astrophys. 1987, 25, 345–375. [Google Scholar] [CrossRef]
- Riess, A.G.; Casertano, S.; Yuan, W.; Bowers, J.B.; Macri, L.; Zinn, J.C.; Scolnic, D. Cosmic Distances Calibrated to 1% Precision with Gaia EDR3 Parallaxes and Hubble Space Telescope Photometry of 75 Milky Way Cepheids Confirm Tension with ΛCDM. Astrophys. J. Lett. 2021, 908, L6. [Google Scholar] [CrossRef]
- De Somma, G.; Marconi, M.; Cassisi, S.; Ripepi, V.; Leccia, S.; Molinaro, R.; Musella, I. Updated theoretical period-age and period-age-colour relations for Galactic Classical Cepheids: An application to the Gaia DR2 sample. Mon. Not. R. Astron. Soc. 2020, 496, 5039–5051. [Google Scholar] [CrossRef]
- Martínez-Vázquez, C.E.; Monelli, M.; Gallart, C.; Bono, G.; Bernard, E.J.; Stetson, P.B.; Ferraro, I.; Walker, A.R.; Dall’Ora, M.; Fiorentino, G.; et al. Probing the early chemical evolution of the Sculptor dSph with purely old stellar tracers. Mon. Not. R. Astron. Soc. 2016, 461, L41–L45. [Google Scholar] [CrossRef]
- Tolstoy, E.; Hill, V.; Tosi, M. Star-Formation Histories, Abundances, and Kinematics of Dwarf Galaxies in the Local Group. Annu. Rev. Astron. Astrophys. 2009, 47, 371–425. [Google Scholar] [CrossRef]
- Dekel, A.; Silk, J. The Origin of Dwarf Galaxies, Cold Dark Matter, and Biased Galaxy Formation. Astrophys. J. 1986, 303, 39. [Google Scholar] [CrossRef]
- Sawala, T.; Scannapieco, C.; Maio, U.; White, S. Formation of isolated dwarf galaxies with feedback. Mon. Not. R. Astron. Soc. 2010, 402, 1599–1613. [Google Scholar] [CrossRef][Green Version]
- Mayer, L.; Governato, F.; Colpi, M.; Moore, B.; Quinn, T.; Wadsley, J.; Stadel, J.; Lake, G. The Metamorphosis of Tidally Stirred Dwarf Galaxies. Astrophys. J. 2001, 559, 754–784. [Google Scholar] [CrossRef]
- Gallart, C.; Zoccali, M.; Aparicio, A. The Adequacy of Stellar Evolution Models for the Interpretation of the Color-Magnitude Diagrams of Resolved Stellar Populations. Annu. Rev. Astron. Astrophys. 2005, 43, 387–434. [Google Scholar] [CrossRef]
- Bono, G.; Caputo, F.; Santolamazza, P. Evolutionary scenario for metal-poor pulsating stars. I. Type II Cepheids. Astron. Astrophys. 1997, 317, 171–177. [Google Scholar]
- Bono, G.; Braga, V.F.; Fiorentino, G.; Salaris, M.; Pietrinferni, A.; Castellani, M.; Di Criscienzo, M.; Fabrizio, M.; Martínez-Vázquez, C.E.; Monelli, M. Evolutionary and pulsation properties of Type II Cepheids. Astron. Astrophys. 2020, 644, A96. [Google Scholar] [CrossRef]
- Udalski, A.; Szymanski, M.; Kaluzny, J.; Kubiak, M.; Mateo, M. The Optical Gravitational Lensing Experiment. Acta Astron. 1992, 42, 253–284. [Google Scholar]
- Zinn, R.; Horowitz, B.; Vivas, A.K.; Baltay, C.; Ellman, N.; Hadjiyska, E.; Rabinowitz, D.; Miller, L. La Silla QUEST RR Lyrae Star Survey: Region I. Astrophys. J. 2014, 781, 22. [Google Scholar] [CrossRef]
- Woźniak, P.R.; Vestrand, W.T.; Akerlof, C.W.; Balsano, R.; Bloch, J.; Casperson, D.; Fletcher, S.; Gisler, G.; Kehoe, R.; Kinemuchi, K.; et al. Northern Sky Variability Survey: Public Data Release. Astron. J. 2004, 127, 2436–2449. [Google Scholar] [CrossRef]
- Szczygieł, D.M.; Pojmański, G.; Pilecki, B. Galactic Fundamental Mode RRLyrae Stars. Period-Amplitude Diagram, Metallicities and Distribution. Acta Astron. 2009, 59, 137–167. [Google Scholar]
- Drake, A.J.; Catelan, M.; Djorgovski, S.G.; Torrealba, G.; Graham, M.J.; Belokurov, V.; Koposov, S.E.; Mahabal, A.; Prieto, J.L.; Donalek, C.; et al. Probing the Outer Galactic Halo with RR Lyrae from the Catalina Surveys. Astrophys. J. 2013, 763, 32. [Google Scholar] [CrossRef]
- Cioni, M.R.L.; Clementini, G.; Girardi, L.; Guandalini, R.; Gullieuszik, M.; Miszalski, B.; Moretti, M.I.; Ripepi, V.; Rubele, S.; Bagheri, G.; et al. The VMC survey. I. Strategy and first data. Astron. Astrophys. 2011, 527, A116. [Google Scholar] [CrossRef]
- Minniti, D.; Lucas, P.W.; Emerson, J.P.; Saito, R.K.; Hempel, M.; Pietrukowicz, P.; Ahumada, A.V.; Alonso, M.V.; Alonso-Garcia, J.; Arias, J.I.; et al. VISTA Variables in the Via Lactea (VVV): The public ESO near-IR variability survey of the Milky Way. New Astron. 2010, 15, 433–443. [Google Scholar] [CrossRef]
- Wright, E.L.; Eisenhardt, P.R.M.; Mainzer, A.K.; Ressler, M.E.; Cutri, R.M.; Jarrett, T.; Kirkpatrick, J.D.; Padgett, D.; McMillan, R.S.; Skrutskie, M.; et al. The Wide-field Infrared Survey Explorer (WISE): Mission Description and Initial On-orbit Performance. Astron. J. 2010, 140, 1868–1881. [Google Scholar] [CrossRef]
- Chambers, K.C.; Magnier, E.A.; Metcalfe, N.; Flewelling, H.A.; Huber, M.E.; Waters, C.Z.; Denneau, L.; Draper, P.W.; Farrow, D.; Finkbeiner, D.P.; et al. The Pan-STARRS1 Surveys. arXiv 2016, arXiv:astro-ph.IM/1612.05560. [Google Scholar]
- Masci, F.J.; Laher, R.R.; Rusholme, B.; Shupe, D.L.; Groom, S.; Surace, J.; Jackson, E.; Monkewitz, S.; Beck, R.; Flynn, D.; et al. The Zwicky Transient Facility: Data Processing, Products, and Archive. Publ. Astron. Soc. Pac. 2019, 131, 018003. [Google Scholar] [CrossRef]
- Bellm, E.C.; Kulkarni, S.R.; Graham, M.J.; Dekany, R.; Smith, R.M.; Riddle, R.; Masci, F.J.; Helou, G.; Prince, T.A.; Adams, S.M.; et al. The Zwicky Transient Facility: System Overview, Performance, and First Results. Publ. Astron. Soc. Pac. 2019, 131, 018002. [Google Scholar] [CrossRef]
- Ivezić, Ž.; Kahn, S.M.; Tyson, J.A.; Abel, B.; Acosta, E.; Allsman, R.; Alonso, D.; AlSayyad, Y.; Anderson, S.F.; Andrew, J.; et al. LSST: From Science Drivers to Reference Design and Anticipated Data Products. Astrophys. J. 2019, 873, 111. [Google Scholar] [CrossRef]
- Soszyński, I.; Udalski, A.; Szymański, M.K.; Kubiak, M.; Pietrzyński, G.; Wyrzykowski, Ł.; Szewczyk, O.; Ulaczyk, K.; Poleski, R. The Optical Gravitational Lensing Experiment. The OGLE-III Catalog of Variable Stars. III. RR Lyrae Stars in the Large Magellanic Cloud. Acta Astron. 2009, 59, 1–18. [Google Scholar]
- Soszyński, I.; Poleski, R.; Udalski, A.; Szymanski, M.K.; Kubiak, M.; Pietrzynski, G.; Wyrzykowski, L.; Szewczyk, O.; Ulaczyk, K. The Optical Gravitational Lensing Experiment. The OGLE-III Catalog of Variable Stars. I. Classical Cepheids in the Large Magellanic Cloud. Acta Astron. 2008, 58, 163–185. [Google Scholar]
- Soszyński, I.; Udalski, A.; Szymański, M.K.; Kubiak, M.; Pietrzyński, G.; Wyrzykowski, Ł.; Szewczyk, O.; Ulaczyk, K.; Poleski, R. The Optical Gravitational Lensing Experiment. The OGLE-III Catalog of Variable Stars. II. Type II Cepheids and Anomalous Cepheids in the Large Magellanic Cloud. Acta Astron. 2008, 58, 293. [Google Scholar]
- Yang, S.C.; Wagner-Kaiser, R.; Sarajedini, A.; Kim, S.C.; Kyeong, J. The Early Chemical Enrichment Histories of Two Sculptor Group Dwarf Galaxies as Revealed by RR Lyrae Variables. Astrophys. J. 2014, 784, 76. [Google Scholar] [CrossRef]
- Cusano, F.; Clementini, G.; Garofalo, A.; Cignoni, M.; Federici, L.; Marconi, M.; Musella, I.; Ripepi, V.; Boutsia, K.; Fumana, M.; et al. Dwarf Spheroidal Satellites of M31. I. Variable Stars and Stellar Populations in Andromeda XIX. Astrophys. J. 2013, 779, 7. [Google Scholar] [CrossRef][Green Version]
- Bernard, E.J.; Monelli, M.; Gallart, C.; Aparicio, A.; Cassisi, S.; Drozdovsky, I.; Hidalgo, S.L.; Skillman, E.D.; Stetson, P.B. The ACS LCID Project. II. Faint Variable Stars in the Isolated Dwarf Irregular Galaxy IC 1613. Astrophys. J. 2010, 712, 1259–1276. [Google Scholar] [CrossRef]
- Monelli, M.; Bernard, E.J.; Gallart, C.; Fiorentino, G.; Drozdovsky, I.; Aparicio, A.; Bono, G.; Cassisi, S.; Skillman, E.D.; Stetson, P.B. Variable stars in the Cetus dwarf spheroidal galaxy: Population gradients and connections with the star formation history. Mon. Not. R. Astron. Soc. 2012, 422, 89–105. [Google Scholar] [CrossRef][Green Version]
- Cusano, F.; Garofalo, A.; Clementini, G.; Cignoni, M.; Federici, L.; Marconi, M.; Ripepi, V.; Musella, I.; Testa, V.; Carini, R.; et al. Variable Stars and Stellar Populations in Andromeda XXV. III. A Central Cluster or the Galaxy Nucleus? Astrophys. J. 2016, 829, 26. [Google Scholar] [CrossRef]
- Monelli, M.; Fiorentino, G.; Bernard, E.J.; Martínez-Vázquez, C.E.; Bono, G.; Gallart, C.; Dall’Ora, M.; Stetson, P.B. Variable Stars in Local Group Galaxies. III. And VII, NGC 147, and NGC 185: Insight into the Building Blocks of the M31 Halo. Astrophys. J. 2017, 842, 60. [Google Scholar] [CrossRef]
- Martínez-Vázquez, C.E.; Monelli, M.; Bernard, E.J.; Gallart, C.; Stetson, P.B.; Skillman, E.D.; Bono, G.; Cassisi, S.; Fiorentino, G.; McQuinn, K.B.W.; et al. The ISLAnds Project. III. Variable Stars in Six Andromeda Dwarf Spheroidal Galaxies. Astrophys. J. 2017, 850, 137. [Google Scholar] [CrossRef]
- Cusano, F.; Garofalo, A.; Clementini, G.; Cignoni, M.; Muraveva, T.; Tessicini, G.; Testa, V.; Paris, D.; Federici, L.; Marconi, M.; et al. Variable Stars and Stellar Populations in Andromeda XXVII. IV. An Off-centered, Disrupted Galaxy. Astrophys. J. 2017, 851, 9. [Google Scholar] [CrossRef]
- Saha, A.; Hoessel, J.G.; Krist, J. RR Lyrae Stars in Local Group Galaxies. III. NGC 205. Astron. J. 1992, 103, 84. [Google Scholar] [CrossRef]
- Fiorentino, G.; Clementini, G.; Marconi, M.; Musella, I.; Saha, A.; Tosi, M.; Contreras Ramos, R.; Annibali, F.; Aloisi, A.; van der Marel, R. Ultra long period Cepheids: A primary standard candle out to the Hubble flow. Astrophys. Space Sci. 2012, 341, 143–150. [Google Scholar] [CrossRef]
- Sarajedini, A.; Yang, S.C.; Monachesi, A.; Lauer, T.R.; Trager, S.C. An ancient metal-poor population in M32, and halo satellite accretion in M31, identified by RR Lyrae stars. Mon. Not. R. Astron. Soc. 2012, 425, 1459–1472. [Google Scholar] [CrossRef][Green Version]
- Yang, S.C.; Sarajedini, A. HST/WFPC2 imaging of the dwarf satellites And XI and And XIII: Horizontal branch morphology and RR Lyraes. Mon. Not. R. Astron. Soc. 2012, 419, 1362–1375. [Google Scholar] [CrossRef]
- Soszyński, I.; Udalski, A.; Szymański, M.K.; Pietrzyński, G.; Wyrzykowski, Ł.; Ulaczyk, K.; Poleski, R.; Pietrukowicz, P.; Kozłowski, S.; Skowron, J.; et al. The OGLE Collection of Variable Stars. Anomalous Cepheids in the Magellanic Clouds. Acta Astron. 2015, 65, 233–250. [Google Scholar]
- Soszyński, I.; Udalski, A.; Szymański, M.K.; Wyrzykowski, Ł.; Ulaczyk, K.; Poleski, R.; Pietrukowicz, P.; Kozłowski, S.; Skowron, D.M.; Skowron, J.; et al. The OGLE Collection of Variable Stars. Over 45,000 RR Lyrae Stars in the Magellanic System. Acta Astron. 2016, 66, 131–147. [Google Scholar]
- Soszyński, I.; Udalski, A.; Szymański, M.K.; Wyrzykowski, Ł.; Ulaczyk, K.; Poleski, R.; Pietrukowicz, P.; Kozłowski, S.; Skowron, D.; Skowron, J.; et al. The OGLE Collection of Variable Stars. Type II Cepheids in the Magellanic System. Acta Astron. 2018, 68, 89–109. [Google Scholar] [CrossRef]
- Monelli, M.; Martínez-Vázquez, C.E.; Bernard, E.J.; Gallart, C.; Skillman, E.D.; Weisz, D.R.; Dolphin, A.E.; Hidalgo, S.L.; Cole, A.A.; Martin, N.F.; et al. The ISLANDS Project. I. Andromeda XVI, An Extremely Low Mass Galaxy Not Quenched by Reionization. Astrophys. J. 2016, 819, 147. [Google Scholar] [CrossRef]
- Martínez-Vázquez, C.E.; Stetson, P.B.; Monelli, M.; Bernard, E.J.; Fiorentino, G.; Gallart, C.; Bono, G.; Cassisi, S.; Dall’Ora, M.; Ferraro, I.; et al. Variable stars in Local Group Galaxies—II. Sculptor dSph. Mon. Not. R. Astron. Soc. 2016, 462, 4349–4370. [Google Scholar] [CrossRef][Green Version]
- Tammann, G.A.; Reindl, B.; Sandage, A. New period-luminosity and period-color relations of classical Cepheids. IV. The low-metallicity galaxies IC 1613, WLM, Pegasus, Sextans A and B, and Leo A in comparison to SMC. Astron. Astrophys. 2011, 531, A134. [Google Scholar] [CrossRef]
- Tanakul, N.; Yang, S.C.; Sarajedini, A. RR Lyrae variables in M33: Two new fields and an analysis of the galaxy’s population. Mon. Not. R. Astron. Soc. 2017, 468, 870–884. [Google Scholar] [CrossRef]
- Gallart, C.; Aparicio, A.; Freedman, W.L.; Madore, B.F.; Martínez-Delgado, D.; Stetson, P.B. The Variable-Star Population in Phoenix: Coexistence of Anomalous and Short-Period Classical Cepheids and Detection of RR Lyrae Variables. Astron. J. 2004, 127, 1486–1501. [Google Scholar] [CrossRef][Green Version]
- Ordoñez, A.J.; Yang, S.C.; Sarajedini, A. The RR Lyrae Variable Population in the Phoenix Dwarf Galaxy. Astrophys. J. 2014, 786, 147. [Google Scholar] [CrossRef]
- Boettcher, E.; Willman, B.; Fadely, R.; Strader, J.; Baker, M.; Hopkins, E.; Tasnim Ananna, T.; Cunningham, E.C.; Douglas, T.; Gilbert, J.; et al. A Search for RR Lyrae Stars in Segue 2 and Segue 3. Astron. J. 2013, 146, 94. [Google Scholar] [CrossRef]
- Vivas, A.K.; Martínez-Vázquez, C.; Walker, A.R. Gaia RR Lyrae Stars in Nearby Ultra-faint Dwarf Satellite Galaxies. Astrophys. J. 2020, 247, 35. [Google Scholar] [CrossRef]
- Martínez-Vázquez, C.E.; Monelli, M.; Cassisi, S.; Taibi, S.; Gallart, C.; Vivas, A.K.; Walker, A.R.; Martín-Ravelo, P.; Zenteno, A.; Battaglia, G.; et al. Variable stars in Local Group galaxies—V. The fast and early evolution of the low-mass Eridanus II dSph galaxy. Mon. Not. R. Astron. Soc. 2021, 508, 1064–1083. [Google Scholar] [CrossRef]
- Coppola, G.; Marconi, M.; Stetson, P.B.; Bono, G.; Braga, V.F.; Ripepi, V.; Dall’Ora, M.; Musella, I.; Buonanno, R.; Fabrizio, M.; et al. The Carina Project IX: On Hydrogen and Helium Burning Variables. Astrophys. J. 2015, 814, 71. [Google Scholar] [CrossRef]
- Neeley, J.R.; Monelli, M.; Marengo, M.; Fiorentino, G.; Vivas, A.K.; Walker, A.; Gallart, C.; Martínez-Vázquez, C.E.; Bono, G.; Cassisi, S.; et al. Variable Stars in Local Group Galaxies. VI. The Isolated Dwarfs VV 124 and KKr 25. Astrophys. J. 2021, 920, 152. [Google Scholar] [CrossRef]
- Vivas, A.K.; Martínez-Vázquez, C.E.; Walker, A.R.; Belokurov, V.; Li, T.S.; Erkal, D. Variable Stars in the Giant Satellite Galaxy Antlia 2. Astrophys. J. 2022, 926, 78. [Google Scholar] [CrossRef]
- Bernard, E.J.; Monelli, M.; Gallart, C.; Fiorentino, G.; Cassisi, S.; Aparicio, A.; Cole, A.A.; Drozdovsky, I.; Hidalgo, S.L.; Skillman, E.D.; et al. The ACS LCID Project - VIII. The short-period Cepheids of Leo A. Mon. Not. R. Astron. Soc. 2013, 432, 3047–3061. [Google Scholar] [CrossRef][Green Version]
- Simon, J.D.; Geha, M.; Minor, Q.E.; Martinez, G.D.; Kirby, E.N.; Bullock, J.S.; Kaplinghat, M.; Strigari, L.E.; Willman, B.; Choi, P.I.; et al. A Complete Spectroscopic Survey of the Milky Way Satellite Segue 1: The Darkest Galaxy. Astrophys. J. 2011, 733, 46. [Google Scholar] [CrossRef]
- Stetson, P.B.; Fiorentino, G.; Bono, G.; Bernard, E.J.; Monelli, M.; Iannicola, G.; Gallart, C.; Ferraro, I. Homogeneous Photometry VI: Variable Stars in the Leo I Dwarf Spheroidal Galaxy. Publ. Astron. Soc. Pac. 2014, 126, 616–641. [Google Scholar] [CrossRef]
- Mateo, M.; Fischer, P.; Krzeminski, W. Variable Stars in the Sextans Dwarf Spheroidal Galaxy. Astron. J. 1995, 110, 2166. [Google Scholar] [CrossRef]
- Amigo, P.; Stetson, P.B.; Catelan, M.; Zoccali, M.; Smith, H.A. Time-series BVI Photometry for the Globular Cluster NGC 6981. Astron. J. 2013, 146, 130. [Google Scholar] [CrossRef]
- Vivas, A.K.; Alonso-García, J.; Mateo, M.; Walker, A.; Howard, B. The Population of Pulsating Variable Stars in the Sextans Dwarf Spheroidal Galaxy. Astron. J. 2019, 157, 35. [Google Scholar] [CrossRef]
- McQuinn, K.B.W.; Skillman, E.D.; Dolphin, A.; Cannon, J.M.; Salzer, J.J.; Rhode, K.L.; Adams, E.A.K.; Berg, D.; Giovanelli, R.; Girardi, L.; et al. Leo P: An Unquenched Very Low-mass Galaxy. Astrophys. J. 2015, 812, 158. [Google Scholar] [CrossRef]
- Siegel, M.H.; Majewski, S.R. Exploring the Leo II Dwarf Spheroidal Galaxy. I. The Variable Star Content. Astron. J. 2000, 120, 284–297. [Google Scholar] [CrossRef]
- Medina, G.E.; Muñoz, R.R.; Vivas, A.K.; Förster, F.; Carlin, J.L.; Martinez, J.; Galbany, L.; González-Gaitán, S.; Hamuy, M.; de Jaeger, T.; et al. Serendipitous Discovery of RR Lyrae Stars in the Leo V Ultra-faint Galaxy. Astrophys. J. Lett. 2017, 845, L10. [Google Scholar] [CrossRef]
- Moretti, A.; Piotto, G.; Arcidiacono, C.; Milone, A.P.; Ragazzoni, R.; Falomo, R.; Farinato, J.; Bedin, L.R.; Anderson, J.; Sarajedini, A.; et al. MCAO near-IR photometry of the globular cluster NGC 6388: MAD observations in crowded fields. Astron. Astrophys. 2009, 493, 539–546. [Google Scholar] [CrossRef]
- Joo, S.J.; Kyeong, J.; Yang, S.C.; Han, S.I.; Sung, E.C.; Kim, D.; Jeong, H.; Ree, C.H.; Rey, S.C.; Jerjen, H.; et al. RR Lyrae Variables in the Crater II Dwarf Galaxy. Astrophys. J. 2018, 861, 23. [Google Scholar] [CrossRef]
- Monelli, M.; Walker, A.R.; Martínez-Vázquez, C.E.; Stetson, P.B.; Gallart, C.; Bernard, E.J.; Bono, G.; Vivas, A.K.; Andreuzzi, G.; Dall’Ora, M.; et al. Variable stars in local group galaxies—IV. RR Lyrae stars in the central regions of the low-density galaxy Crater II. Mon. Not. R. Astron. Soc. 2018, 479, 4279–4291. [Google Scholar] [CrossRef]
- Vivas, A.K.; Walker, A.R.; Martínez-Vázquez, C.E.; Monelli, M.; Bono, G.; Dorta, A.; Nidever, D.L.; Fiorentino, G.; Gallart, C.; Andreuzzi, G.; et al. A DECam view of the diffuse dwarf galaxy Crater II—Variable stars. Mon. Not. R. Astron. Soc. 2020, 492, 1061–1077. [Google Scholar] [CrossRef]
- Vivas, A.K.; Olsen, K.; Blum, R.; Nidever, D.L.; Walker, A.R.; Martin, N.F.; Besla, G.; Gallart, C.; van der Marel, R.P.; Majewski, S.R.; et al. Variable Stars in the Field of the Hydra II Ultra-faint Dwarf Galaxy. Astron. J. 2016, 151, 118. [Google Scholar] [CrossRef]
- Martínez-Vázquez, C.E.; Cerny, W.; Vivas, A.K.; Drlica-Wagner, A.; Pace, A.B.; Simon, J.D.; Munoz, R.R.; Walker, A.R.; Allam, S.; Tucker, D.L.; et al. RR Lyrae Stars in the Newly Discovered Ultra-faint Dwarf Galaxy Centaurus I. Astron. J. 2021, 162, 253. [Google Scholar] [CrossRef]
- Kuehn, C.; Kinemuchi, K.; Ripepi, V.; Clementini, G.; Dall’Ora, M.; Di Fabrizio, L.; Rodgers, C.T.; Greco, C.; Marconi, M.; Musella, I.; et al. Variable Stars in the Newly Discovered Milky Way Dwarf Spheroidal Satellite Canes Venatici I. Astrophys. J. Lett. 2008, 674, L81–L84. [Google Scholar] [CrossRef][Green Version]
- Nemec, J.M.; Wehlau, A.; Mendes de Oliveira, C. Variable stars in the Ursa Minor dwarf galaxy. Astron. J. 1988, 96, 528–559. [Google Scholar] [CrossRef]
- Musella, I.; Ripepi, V.; Marconi, M.; Clementini, G.; Dall’Ora, M.; Scowcroft, V.; Moretti, M.I.; Di Fabrizio, L.; Greco, C.; Coppola, G.; et al. Stellar Archeology in the Galactic Halo with Ultra-faint Dwarfs. VII. Hercules. Astrophys. J. 2012, 756, 121. [Google Scholar] [CrossRef]
- Kinemuchi, K.; Harris, H.C.; Smith, H.A.; Silbermann, N.A.; Snyder, L.A.; La Cluyzé, A.P.; Clark, C.L. The Variable Stars of the Draco Dwarf Spheroidal Galaxy: Revisited. Astron. J. 2008, 136, 1921–1939. [Google Scholar] [CrossRef]
- Soszyński, I.; Udalski, A.; Szymański, M.K.; Pietrukowicz, P.; Mróz, P.; Skowron, J.; Kozłowski, S.; Poleski, R.; Skowron, D.; Pietrzyński, G.; et al. Over 38000 RR Lyrae Stars in the OGLE Galactic Bulge Fields. Acta Astron. 2014, 64, 177–196. [Google Scholar]
- Hamanowicz, A.; Pietrukowicz, P.; Udalski, A.; Mróz, P.; Soszyński, I.; Szymański, M.K.; Skowron, J.; Poleski, R.; Wyrzykowski, Ł.; Kozłowski, S.; et al. OGLE Study of the Sagittarius Dwarf Spheroidal Galaxy and its M54 Globular Cluster. Acta Astron. 2016, 66, 197–217. [Google Scholar]
- Baldacci, L.; Rizzi, L.; Clementini, G.; Held, E.V. Variable stars in the dwarf irregular galaxy NGC 6822: Thephotometric catalogue. Astron. Astrophys. 2005, 431, 1189–1201. [Google Scholar] [CrossRef]
- Martínez-Vázquez, C.E.; Vivas, A.K.; Gurevich, M.; Walker, A.R.; McCarthy, M.; Pace, A.B.; Stringer, K.M.; Santiago, B.; Hounsell, R.; Macri, L.; et al. Search for RR Lyrae stars in DES ultrafaint systems: Grus I, Kim 2, Phoenix II, and Grus II. Mon. Not. R. Astron. Soc. 2019, 490, 2183–2199. [Google Scholar] [CrossRef]
- Garofalo, A.; Tantalo, M.; Cusano, F.; Clementini, G.; Calura, F.; Muraveva, T.; Paris, D.; Speziali, R. Born in a Pair (?): Pisces II and Pegasus III. Astrophys. J. 2021, 916, 10. [Google Scholar] [CrossRef]
- Bernard, E.J.; Monelli, M.; Gallart, C.; Drozdovsky, I.; Stetson, P.B.; Aparicio, A.; Cassisi, S.; Mayer, L.; Cole, A.A.; Hidalgo, S.L.; et al. The ACS LCID Project. I. Short-Period Variables in the Isolated Dwarf Spheroidal Galaxies Cetus and Tucana. Astrophys. J. 2009, 699, 1742–1764. [Google Scholar] [CrossRef][Green Version]
- Pritzl, B.J.; Armandroff, T.E.; Jacoby, G.H.; Da Costa, G.S. The Dwarf Spheroidal Companions to M31: Variable Stars in Andromeda VI. Astron. J. 2002, 124, 1464–1485. [Google Scholar] [CrossRef]
- Cusano, F.; Garofalo, A.; Clementini, G.; Cignoni, M.; Federici, L.; Marconi, M.; Musella, I.; Ripepi, V.; Speziali, R.; Sani, E.; et al. Variable Stars and Stellar Populations in Andromeda XXI. II. Another Merged Galaxy Satellite of M31? Astrophys. J. 2015, 806, 200. [Google Scholar] [CrossRef]
- Walker, A.R. CCD photometry of the RR Lyrae variables in the LMC cluster NGC 2257 and the adjacent field. Astron. J. 1989, 98, 2086–2123. [Google Scholar] [CrossRef]
- Braga, V.F.; Crestani, J.; Fabrizio, M.; Bono, G.; Sneden, C.; Preston, G.W.; Storm, J.; Kamann, S.; Latour, M.; Lala, H.; et al. On the Use of Field RR Lyrae as Galactic Probes. V. Optical and Radial Velocity Curve Templates. Astrophys. J. 2021, 919, 85. [Google Scholar] [CrossRef]
- Beaton, R.L.; Freedman, W.L.; Madore, B.F.; Bono, G.; Carlson, E.K.; Clementini, G.; Durbin, M.J.; Garofalo, A.; Hatt, D.; Jang, I.S.; et al. The Carnegie-Chicago Hubble Program. I. An Independent Approach to the Extragalactic Distance Scale Using Only Population II Distance Indicators. Astrophys. J. 2016, 832, 210. [Google Scholar] [CrossRef]
- Baade, W.; Hubble, E. The New Stellar Systems in Sculptor and Fornax. Publ. Astron. Soc. Pac. 1939, 51, 40. [Google Scholar] [CrossRef]
- Thackeray, A.D. Variables in the Sculptor system. Observatory 1950, 70, 144–146. [Google Scholar]
- Thackeray, A.D. 1951 November 9 meeting of the Royal Astronomical Society. Observatory 1951, 71, 219–228. [Google Scholar]
- Thackeray, A.D.; Wesselink, A.J. Distances of the Magellanic Clouds. New Astron. 1953, 171, 693. [Google Scholar] [CrossRef]
- Thackeray, A.D. Periods and light-curves of variable stars in NGC 121. Mon. Not. R. Astron. Soc. 1958, 118, 117. [Google Scholar] [CrossRef][Green Version]
- Alexander, J.B. Variable stars in NGC 2257. Mon. Not. R. Astron. Soc. 1960, 121, 97. [Google Scholar] [CrossRef][Green Version]
- Baade, W.; Swope, H.H. The Draco system, a dwarf galaxy. Astron. J. 1961, 66, 300–347. [Google Scholar] [CrossRef]
- van Agt, S.L.T.J. A discussion of the Ursa Minor dwarf galaxy based on plates obtained by Walter Baade. Bull. Astron. Inst. Neth. 1967, 19, 275. [Google Scholar]
- Swope, H.H. Progress Report on the Leo II System. Publ. Astron. Soc. Pac. 1967, 79, 439. [Google Scholar] [CrossRef]
- van Agt, S.L.T.J. Magnitudes, phases and light-curves of variable stars in the central region of the Ursa Minor dwarf galaxy. Bull. Astron. Inst. Neth. Suppl. Ser. 1968, 2, 237. [Google Scholar]
- Hodge, P.W.; Wright, F.W. Variable stars in the Leo I dwarf galaxy. Astron. J. 1978, 83, 228–233. [Google Scholar] [CrossRef]
- Bersier, D.; Wood, P.R. Variable Stars in the Fornax Dwarf Galaxy. Astron. J. 2002, 123, 840–847. [Google Scholar] [CrossRef]
- Dall’Ora, M.; Ripepi, V.; Caputo, F.; Castellani, V.; Bono, G.; Smith, H.A.; Brocato, E.; Buonanno, R.; Castellani, M.; Corsi, C.E.; et al. The Carina Project. I. Bright Variable Stars. Astron. J. 2003, 126, 197–217. [Google Scholar] [CrossRef][Green Version]
- Alcock, C.; Allsman, R.A.; Axelrod, T.S.; Bennett, D.P.; Cook, K.H.; Freeman, K.C.; Griest, K.; Marshall, S.L.; Peterson, B.A.; Pratt, M.R.; et al. The MACHO Project LMC Variable Star Inventory.II.LMC RR Lyrae Stars- Pulsational Characteristics and Indications of a Global Youth of the LMC. Astron. J. 1996, 111, 1146. [Google Scholar] [CrossRef]
- Soszyński, I.; Smolec, R.; Udalski, A.; Pietrukowicz, P. Type II Cepheids Pulsating in the First Overtone from the OGLE Survey. Astrophys. J. 2019, 873, 43. [Google Scholar] [CrossRef]
- Da Costa, G.S.; Rejkuba, M.; Jerjen, H.; Grebel, E.K. Ancient Stars Beyond the Local Group: RR Lyrae Variables and Blue Horizontal Branch Stars in Sculptor Group Dwarf Galaxies. Astrophys. J. Lett. 2010, 708, L121–L125. [Google Scholar] [CrossRef]
- Bono, G.; Marconi, M.; Stellingwerf, R.F. Classical Cepheid pulsation models—VI. The Hertzsprung progression. Astron. Astrophys. 2000, 360, 245–262. [Google Scholar]
- Bono, G.; Caputo, F.; Marconi, M. On the second-overtone stability among Small Magellanic Cloud Cepheids. Mon. Not. R. Astron. Soc. 2001, 325, 1353–1358. [Google Scholar] [CrossRef][Green Version]
- Leavitt, H.S.; Pickering, E.C. Periods of 25 Variable Stars in the Small Magellanic Cloud. Harv. Coll. Obs. Circ. 1912, 173, 1–3. [Google Scholar]
- Riess, A.G.; Fliri, J.; Valls-Gabaud, D. Cepheid Period-Luminosity Relations in the Near-infrared and the Distance to M31 from the Hubble Space Telescope Wide Field Camera 3. Astrophys. J. 2012, 745, 156. [Google Scholar] [CrossRef]
- Riess, A.G.; Rodney, S.A.; Scolnic, D.M.; Shafer, D.L.; Strolger, L.G.; Ferguson, H.C.; Postman, M.; Graur, O.; Maoz, D.; Jha, S.W.; et al. Type Ia Supernova Distances at z gt 1.5 from the Hubble Space Telescope Multi-Cycle Treasury Programs: The Early Expansion Rate. arXiv 2017, arXiv:1710.00844. [Google Scholar]
- Fiorentino, G.; Caputo, F.; Marconi, M.; Musella, I. Theoretical Models for Classical Cepheids. VIII. Effects of Helium and Heavy-Element Abundance on the Cepheid Distance Scale. Astrophys. J. 2002, 576, 402–412. [Google Scholar] [CrossRef]
- Marconi, M.; Musella, I.; Fiorentino, G. Cepheid Pulsation Models at Varying Metallicity and ΔY/ΔZ. Astrophys. J. 2005, 632, 590–610. [Google Scholar] [CrossRef]
- Macri, L.M.; Stanek, K.Z.; Bersier, D.; Greenhill, L.J.; Reid, M.J. A New Cepheid Distance to the Maser-Host Galaxy NGC 4258 and Its Implications for the Hubble Constant. Astrophys. J. 2006, 652, 1133–1149. [Google Scholar] [CrossRef]
- Fiorentino, G.; Musella, I.; Marconi, M. Cepheid theoretical models and observations in HST/WFC3 filters: The effect on the Hubble constant H0. Mon. Not. R. Astron. Soc. 2013, 434, 2866–2876. [Google Scholar] [CrossRef]
- Ripepi, V.; Catanzaro, G.; Molinaro, R.; Gatto, M.; De Somma, G.; Marconi, M.; Romaniello, M.; Leccia, S.; Musella, I.; Trentin, E.; et al. Cepheid metallicity in the Leavitt law (C-metall) survey—I. HARPS-N@TNG spectroscopy of 47 classical Cepheids and 1 BL Her variables. Mon. Not. R. Astron. Soc. 2021, 508, 4047–4071. [Google Scholar] [CrossRef]
- Breuval, L.; Kervella, P.; Wielgórski, P.; Gieren, W.; Graczyk, D.; Trahin, B.; Pietrzyński, G.; Arenou, F.; Javanmardi, B.; Zgirski, B. The Influence of Metallicity on the Leavitt Law from Geometrical Distances of Milky Way and Magellanic Cloud Cepheids. Astrophys. J. 2021, 913, 38. [Google Scholar] [CrossRef]
- Marconi, M.; Bono, G.; Caputo, F.; Cassisi, S.; Pietrukowicz, P.; Pietrzynski, G.; Gieren, W. Classical Cepheids as age indicators. Mem. Della Soc. Astron. Ital. 2006, 77, 67. [Google Scholar]
- Macri, L. The role of the LMC in the Extragalactic Distance Scale: Cepheids and Miras. In Proceedings of the A Synoptic View of the Magellanic Clouds: VMC, Gaia and Beyond, Garching, Germany, 9–13 September 2019; p. 42. [Google Scholar] [CrossRef]
- Soszyñski, I.; Poleski, R.; Udalski, A.; Szymañski, M.K.; Kubiak, M.; Pietrzyñski, G.; Wyrzykowski, Ł.; Szewczyk, O.; Ulaczyk, K. The Optical Gravitational Lensing Experiment. The OGLE-III Catalog of Variable Stars. VII. Classical Cepheids in the Small Magellanic Cloud. Acta Astron. 2010, 60, 17–39. [Google Scholar]
- Gieren, W.; Górski, M.; Pietrzyński, G.; Konorski, P.; Suchomska, K.; Graczyk, D.; Pilecki, B.; Bresolin, F.; Kudritzki, R.P.; Storm, J.; et al. The Araucaria Project. A Distance Determination to the Local Group Spiral M33 from Near-infrared Photometry of Cepheid Variables. Astrophys. J. 2013, 773, 69. [Google Scholar] [CrossRef]
- Scowcroft, V.; Freedman, W.L.; Madore, B.F.; Monson, A.J.; Persson, S.E.; Seibert, M.; Rigby, J.R.; Melbourne, J. The Carnegie Hubble Program: The Infrared Leavitt Law in IC 1613. Astrophys. J. 2013, 773, 106. [Google Scholar] [CrossRef]
- Zinn, R.; Dahn, C.C. Variable 19 in NGC 5466: An anomalous cepheid in a globular cluster. Astron. J. 1976, 81, 527–533. [Google Scholar] [CrossRef]
- Zinn, R.; Searle, L. The masses of the anomalous cepheids in the Draco system. Astrophys. J. 1976, 209, 734–747. [Google Scholar] [CrossRef]
- Landi Dessy, J. Studies of Variables in the Magellanic Clouds: II. Publ. Astron. Soc. Pac. 1959, 71, 435. [Google Scholar] [CrossRef]
- Plachy, E.; Szabó, R. RR Lyrae stars as seen by the Kepler space telescope. Front. Astron. Space Sci. 2021, 7, 81. [Google Scholar] [CrossRef]
- Caputo, F.; Castellani, V.; Degl’Innocenti, S.; Fiorentino, G.; Marconi, M. Bright metal-poor variables: Why “Anomalous” Cepheids? Astron. Astrophys. 2004, 424, 927–934. [Google Scholar] [CrossRef]
- Smith, H.A.; Stryker, L.L. Anomalous Cepheids in the Sculptor dwarf galaxy. Astron. J. 1986, 92, 328–334. [Google Scholar] [CrossRef]
- Harris, H.C.; Silberman, N.A.; Smith, H.A. Variable Stars in the Draco Dwarf Spheroidal Galaxy. A Half Century of Stellar Pulsation Interpretation. Bradley, P.A., Guzik, J.A., Eds.; 1998, Volume 135, p. 164. Available online: https://adsabs.harvard.edu/full/1996ASPC...92..536S (accessed on 24 October 2021).
- Hoessel, J.G.; Saha, A.; Krist, J.; Danielson, G.E. Variable stars in the Leo A dwarf galaxy (DDO 69). Astron. J. 1994, 108, 645–652. [Google Scholar] [CrossRef]
- Dolphin, A.E. Numerical methods of star formation history measurement and applications to seven dwarf spheroidals. Mon. Not. R. Astron. Soc. 2002, 332, 91–108. [Google Scholar] [CrossRef]
- Fiorentino, G.; Stetson, P.B.; Monelli, M.; Bono, G.; Bernard, E.J.; Pietrinferni, A. On the Central Helium-burning Variable Stars of the LeoI Dwarf Spheroidal Galaxy. Astrophys. J. Lett. 2012, 759, L12. [Google Scholar] [CrossRef]
- Norris, J.; Zinn, R. The cepheid variables and the stellar populations of the dwarf spheroidal galaxies. Astrophys. J. 1975, 202, 335–345. [Google Scholar] [CrossRef]
- Renzini, A.; Mengel, J.G.; Sweigart, A.V. The anomalous Cepheids in dwarf spheroidal galaxies as binary systems. Astron. Astrophys. 1977, 56, 369–376. [Google Scholar]
- Wheeler, J.C. Stars with anomalous mass—Is there funny business in the main sequence. Comments Astrophys. 1979, 8, 133–147. [Google Scholar]
- Gautschy, A.; Saio, H. On binary channels to anomalous Cepheids. Mon. Not. R. Astron. Soc. 2017, 468, 4419–4428. [Google Scholar] [CrossRef]
- Fiorentino, G.; Monelli, M. Anomalous Cepheids in the Large Magellanic Cloud. Insight into their origin and connection with the star formation history. Astron. Astrophys. 2012, 540, A102. [Google Scholar] [CrossRef]
- Wallerstein, G. The Cepheids of Population II and Related Stars. Publ. Astron. Soc. Pac. 2002, 114, 689–699. [Google Scholar] [CrossRef]
- Iwanek, P.; Soszyński, I.; Skowron, D.; Skowron, J.; Mróz, P.; Kozłowski, S.; Udalski, A.; Szymański, M.K.; Pietrukowicz, P.; Poleski, R.; et al. Three-Dimensional Distributions of Type II Cepheids and Anomalous Cepheids in the Magellanic Clouds. Do these Stars Belong to the Old, Young or Intermediate-Age Population? Acta Astron. 2018, 68, 213–236. [Google Scholar] [CrossRef]
- Wallerstein, G.; Farrell, E.M. Kinematics of Type II Cepheids of the Galactic Halo. Astron. J. 2018, 156, 299. [Google Scholar] [CrossRef]
- Prudil, Z.; Hanke, M.; Lemasle, B.; Crestani, J.; Braga, V.F.; Fabrizio, M.; Koch-Hansen, A.J.; Bono, G.; Grebel, E.K.; Matsunaga, N.; et al. Milky Way archaeology using RR Lyrae and type II Cepheids. I. The Orphan stream in 7D using RR Lyrae stars. Astron. Astrophys. 2021, 648, A78. [Google Scholar] [CrossRef]
- Feast, M.W.; Laney, C.D.; Kinman, T.D.; van Leeuwen, F.; Whitelock, P.A. The luminosities and distance scales of type II Cepheid and RR Lyrae variables. Mon. Not. R. Astron. Soc. 2008, 386, 2115–2134. [Google Scholar] [CrossRef]
- Matsunaga, N.; Feast, M.W.; Soszyński, I. Period-luminosity relations of type II Cepheids in the Magellanic Clouds. Mon. Not. R. Astron. Soc. 2011, 413, 223–234. [Google Scholar] [CrossRef]
- Groenewegen, M.A.T.; Jurkovic, M.I. The period-luminosity and period-radius relations of Type II and anomalous Cepheids in the Large and Small Magellanic Clouds. Astron. Astrophys. 2017, 604, A29. [Google Scholar] [CrossRef]
- Bhardwaj, A.; Macri, L.M.; Rejkuba, M.; Kanbur, S.M.; Ngeow, C.C.; Singh, H.P. Large Magellanic Cloud Near-infrared Synoptic Survey. IV. Leavitt Laws for Type II Cepheid Variables. Astron. J. 2017, 153, 154. [Google Scholar] [CrossRef]
- Gingold, R.A. The evolutionary status of population II cepheids. Astrophys. J. 1976, 204, 116–130. [Google Scholar] [CrossRef]
- Gingold, R.A. The evolutionary status of type II cepheids. Mem. Della Soc. Astron. Ital. 1985, 56, 169–192. [Google Scholar]
- Di Criscienzo, M.; Caputo, F.; Marconi, M.; Cassisi, S. Synthetic properties of bright metal-poor variables. II. BL Hercules stars. Astron. Astrophys. 2007, 471, 893–900. [Google Scholar] [CrossRef]
- Cox, J.P. Non-Adiabatic Stellar Pulsation. I. Astrophys. J. 1958, 127, 194. [Google Scholar] [CrossRef]
- Zhevakin, S.A. On the Calculation of Nonadiabatic Stellar Pulsations by Use of a Discrete Model. Astron. Zhurnal 1959, 36, 269. [Google Scholar]
- Cox, J.P. Theory of Stellar Pulsation; Princeton University Press: Princeton, NJ, USA, 1980. [Google Scholar]
- Ritter, A. Untersuchungen über die Höhe der Atmosphäre und die Constitution gasförmiger Weltkörper. Ann. Phys. 1879, 244, 157–183. [Google Scholar] [CrossRef]
- Bono, G.; Caputo, F.; Stellingwerf, R.F. On the Application of the Baade-Wesselink Method to RR Lyrae Stars. Astrophys. J. Lett. 1994, 432, L51. [Google Scholar] [CrossRef]
- Stellingwerf, R.F. Convection in pulsating stars. I. Non linear hydro-dynamics. Astrophys. J. 1982, 262, 330–338. [Google Scholar] [CrossRef]
- Bono, G.; Stellingwerf, R.F. Pulsation and Stability of RR Lyrae Stars. I. Instability Strip. Astrophys. J. 1994, 93, 233. [Google Scholar] [CrossRef]
- Gehmeyr, M.; Winkler, K.H.A. On a new, one-dimensional, time-dependent model for turbulence and convection. I—A basic discussion of the mathematical model. II—An elementary comparison of the old and the new model. Astron. Astrophys. 1992, 253, 92–112. [Google Scholar]
- Feuchtinger, M.U. A nonlinear convective model for radial stellar pulsations. I. The physical description. Astron. Astrophys. 1999, 136, 217–226. [Google Scholar] [CrossRef]
- Szabó, R.; Kolláth, Z.; Buchler, J.R. Automated nonlinear stellar pulsation calculations: Applications to RR Lyrae stars. The slope of the fundamental blue edge and the first RRd model survey. Astron. Astrophys. 2004, 425, 627–639. [Google Scholar] [CrossRef]
- van Albada, T.S.; Baker, N. On the Masses, Luminosities, and Compositions of Horizontal-Branch Stars. Astrophys. J. 1971, 169, 311. [Google Scholar] [CrossRef]
- Bono, G.; Castellani, V.; Marconi, M. Classical Cepheid Pulsation Models. III. The Predictable Scenario. Astrophys. J. 2000, 529, 293–317. [Google Scholar] [CrossRef][Green Version]
- Di Criscienzo, M.; Caputo, F.; Marconi, M.; Musella, I. RR Lyrae-based calibration of the Globular Cluster Luminosity Function. Mon. Not. R. Astron. Soc. 2006, 365, 1357–1366. [Google Scholar] [CrossRef]
- Marconi, M.; Fiorentino, G.; Caputo, F. Updated pulsation models for anomalous Cepheids. Astron. Astrophys. 2004, 417, 1101–1114. [Google Scholar] [CrossRef]
- Fiorentino, G.; Limongi, M.; Caputo, F.; Marconi, M. Synthetic properties of bright metal-poor variables. I. “Anomalous” Cepheids. Astron. Astrophys. 2006, 460, 155–166. [Google Scholar] [CrossRef]
- Bono, G.; Caputo, F.; Castellani, V.; Marconi, M.; Staiano, L.; Stellingwerf, R.F. The RR Lyrae fundamental red edge. Astrophys. J. 1995, 442, 159–162. [Google Scholar] [CrossRef]
- Bono, G.; Caputo, F.; Stellingwerf, R.F. Synthetic Mean Colors for RR Lyrae Variables. Astrophys. J. 1995, 99, 263. [Google Scholar] [CrossRef]
- Bono, G.; Caputo, F.; Marconi, M. The Topology of the RR Lyrae Instability Strip and the Oosterhoff Dichotomy. Astron. J. 1995, 110, 2365. [Google Scholar] [CrossRef][Green Version]
- Bono, G.; Caputo, F.; Cassisi, S.; Incerpi, R.; Marconi, M. Metal-rich RR Lyrae Variables. II. The Pulsational Scenario. Astrophys. J. 1997, 483, 811–825. [Google Scholar] [CrossRef]
- Di Criscienzo, M.; Marconi, M.; Caputo, F. RR Lyrae Stars in Galactic Globular Clusters. III. Pulsational Predictions for Metal Content Z=0.0001 to Z=0.006. Astrophys. J. 2004, 612, 1092–1106. [Google Scholar] [CrossRef]
- Marconi, M.; Minniti, D. Gauging the Helium Abundance of the Galactic Bulge RR Lyrae Stars. Astrophys. J. Lett. 2018, 853, L20. [Google Scholar] [CrossRef]
- Bono, G.; Castellani, V.; Stellingwerf, R.F. Transient phenomena and modal stability in RR Lyrae and BL Herculis variable stars. Astrophys. J. Lett. 1995, 445, L145–L148. [Google Scholar] [CrossRef]
- Bono, G.; Caputo, F.; Santolamazza, P.; Cassisi, S.; Piersimoni, A. Evolutionary Scenario for Metal-Poor Pulsating Stars. II. Anomalous Cepheids. Astron. J. 1997, 113, 2209. [Google Scholar] [CrossRef]
- Bono, G.; Marconi, M. Cepheids in NGC 1866: A test for pulsational models. Mon. Not. R. Astron. Soc. 1997, 290, 353–359. [Google Scholar] [CrossRef][Green Version]
- Bono, G.; Caputo, F.; Castellani, V.; Marconi, M. Theoretical Models for Classical Cepheids. II. Period-Luminosity, Period-Color, and Period-Luminosity-Color Relations. Astrophys. J. 1999, 512, 711–723. [Google Scholar] [CrossRef]
- Bono, G.; Marconi, M.; Stellingwerf, R.F. Classical Cepheid Pulsation Models. I. Physical Structure. Astrophys. J. 1999, 122, 167–205. [Google Scholar] [CrossRef]
- Bono, G.; Castellani, V.; Marconi, M. The RR Lyrae Star U Comae as a Test for Nonlinear Pulsation Models. Astrophys. J. Lett. 2000, 532, L129–L132. [Google Scholar] [CrossRef]
- Fiorentino, G.; Marconi, M.; Musella, I.; Caputo, F. Classical Cepheid pulsation models. XI. Effects of convection and chemical composition on the period-luminosity and period-Wesenheit relations. Astron. Astrophys. 2007, 476, 863–879. [Google Scholar] [CrossRef]
- Marconi, M.; Musella, I.; Fiorentino, G.; Clementini, G.; Aloisi, A.; Annibali, F.; Contreras Ramos, R.; Saha, A.; Tosi, M.; van der Marel, R.P. Pulsation Models for Ultra-low (Z = 0.0004) Metallicity Classical Cepheids. Astrophys. J. 2010, 713, 615–625. [Google Scholar] [CrossRef]
- Pietrzyński, G.; Graczyk, D.; Gieren, W.; Thompson, I.B.; Pilecki, B.; Udalski, A.; Soszyński, I.; Kozłowski, S.; Konorski, P.; Suchomska, K.; et al. An eclipsing-binary distance to the Large Magellanic Cloud accurate to two per cent. New Astron. 2013, 495, 76–79. [Google Scholar] [CrossRef]
- Valle, G.; Marconi, M.; Degl’Innocenti, S.; Prada Moroni, P.G. Uncertainties on the theoretical predictions for classical Cepheid pulsational quantities. Astron. Astrophys. 2009, 507, 1541–1554. [Google Scholar] [CrossRef]
- Marconi, M.; Degl’Innocenti, S. Modeling of RR Lyrae light curves: The case of M3. Astron. Astrophys. 2007, 474, 557–563. [Google Scholar] [CrossRef]
- De Somma, G.; Marconi, M.; Molinaro, R.; Cignoni, M.; Musella, I.; Ripepi, V. An Extended Theoretical Scenario for Classical Cepheids. I. Modeling Galactic Cepheids in the Gaia Photometric System. Astrophys. J. 2020, 247, 30. [Google Scholar] [CrossRef]
- De Somma, G.; Marconi, M.; Cassisi, S.; Ripepi, V.; Pietrinferni, A.; Molinaro, R.; Leccia, S.; Musella, I. Period-age-metallicity and period-age-colour-metallicity relations for classical Cepheids: An application to the Gaia EDR3 sample. Mon. Not. R. Astron. Soc. 2021, 508, 1473–1488. [Google Scholar] [CrossRef]
- Fabrizio, M.; Braga, V.F.; Crestani, J.; Bono, G.; Ferraro, I.; Fiorentino, G.; Iannicola, G.; Preston, G.W.; Sneden, C.; Thévenin, F.; et al. On the Use of Field RR Lyrae As Galactic Probes: IV. New Insights Into and Around the Oosterhoff Dichotomy. Astrophys. J. 2021, 919, 118. [Google Scholar] [CrossRef]
- Dolphin, A.E.; Saha, A.; Claver, J.; Skillman, E.D.; Cole, A.A.; Gallagher, J.S.; Tolstoy, E.; Dohm-Palmer, R.C.; Mateo, M. Variable Stars in Leo A: RR Lyrae Stars, Short-Period Cepheids, and Implications for Stellar Content. Astron. J. 2002, 123, 3154–3198. [Google Scholar] [CrossRef]
- Glatt, K.; Gallagher, J.S., III; Grebel, E.K.; Nota, A.; Sabbi, E.; Sirianni, M.; Clementini, G.; Tosi, M.; Harbeck, D.; Koch, A.; et al. An Accurate Age Determination for the Small Magellanic Cloud Star Cluster NGC 121 with the Hubble Space Telescope/Advanced Camera for Surveys. Astron. J. 2008, 135, 1106–1116. [Google Scholar] [CrossRef]
- Venn, K.A.; Irwin, M.; Shetrone, M.D.; Tout, C.A.; Hill, V.; Tolstoy, E. Stellar Chemical Signatures and Hierarchical Galaxy Formation. Astron. J. 2004, 128, 1177–1195. [Google Scholar] [CrossRef]
- Feltzing, S.; Chiba, M. Elemental abundances in the Milky Way stellar disk(s), bulge, and halo. New Astron. 2013, 57, 80–99. [Google Scholar] [CrossRef]
- Fiorentino, G.; Bono, G.; Monelli, M.; Stetson, P.B.; Tolstoy, E.; Gallart, C.; Salaris, M.; Martínez-Vásquez, C.E.; Bernard, E.J. Weak Galactic Halo-Dwarf Spheroidal Connection from RR Lyrae Stars. Astrophys. J. Lett. 2015, 798, L12. [Google Scholar] [CrossRef]
- Mayer, L. Environmental Mechanisms Shaping the Nature of Dwarf Spheroidal Galaxies: The View of Computer Simulations. Adv. Astron. 2010, 2010, 278434. [Google Scholar] [CrossRef]
- Skillman, E.D.; Bender, R. The Dwarf Galaxy Star Formation Crisis (Invited Paper). Pena, M., Kurtz, S., Eds.; 1995, Volume 3, p. 25. Available online: https://adsabs.harvard.edu/full/1995RMxAC...3...25S (accessed on 17 November 2021).
- Gallart, C.; Monelli, M.; Mayer, L.; Aparicio, A.; Battaglia, G.; Bernard, E.J.; Cassisi, S.; Cole, A.A.; Dolphin, A.E.; Drozdovsky, I.; et al. The ACS LCID Project: On the Origin of Dwarf Galaxy Types-A Manifestation of the Halo Assembly Bias? Astrophys. J. Lett. 2015, 811, L18. [Google Scholar] [CrossRef]
- Fiorentino, G.; Monelli, M.; Stetson, P.B.; Bono, G.; Gallart, C.; Martínez-Vázquez, C.E.; Bernard, E.J.; Massari, D.; Braga, V.F.; Dall’Ora, M. Weak Galactic halo-Fornax dSph connection from RR Lyrae stars. Astron. Astrophys. 2017, 599, A125. [Google Scholar] [CrossRef]
- Oosterhoff, P.T. Some remarks on the variable stars in globular clusters. Observatory 1939, 62, 104–109. [Google Scholar]
- Fabrizio, M.; Bono, G.; Braga, V.F.; Magurno, D.; Marinoni, S.; Marrese, P.M.; Ferraro, I.; Fiorentino, G.; Giuffrida, G.; Iannicola, G.; et al. On the Use of Field RR Lyrae as Galactic Probes. I. The Oosterhoff Dichotomy Based on Fundamental Variables. Astrophys. J. 2019, 882, 169. [Google Scholar] [CrossRef]
- Crestani, J.; Fabrizio, M.; Braga, V.F.; Sneden, C.; Preston, G.; Ferraro, I.; Iannicola, G.; Bono, G.; Alves-Brito, A.; Nonino, M.; et al. On the Use of Field RR Lyrae as Galactic Probes. II. A New ΔS Calibration to Estimate Their Metallicity. Astrophys. J. 2021, 908, 20. [Google Scholar] [CrossRef]
- Crestani, J.; Braga, V.F.; Fabrizio, M.; Bono, G.; Sneden, C.; Preston, G.; Ferraro, I.; Iannicola, G.; Nonino, M.; Fiorentino, G.; et al. On the Use of Field RR Lyrae as Galactic Probes. III. The α-element Abundances. Astrophys. J. 2021, 914, 10. [Google Scholar] [CrossRef]
- Gratton, R.; Sneden, C.; Carretta, E. Abundance Variations Within Globular Clusters. Annu. Rev. Astron. Astrophys. 2004, 42, 385–440. [Google Scholar] [CrossRef]
- Borissova, J.; Minniti, D.; Rejkuba, M.; Alves, D.; Cook, K.H.; Freeman, K.C. Properties of RR Lyrae stars in the inner regions of the Large Magellanic Cloud. Astron. Astrophys. 2004, 423, 97–109. [Google Scholar] [CrossRef][Green Version]
- Borissova, J.; Minniti, D.; Rejkuba, M.; Alves, D. Properties of RR Lyrae stars in the inner regions of the Large Magellanic Cloud. II. The extended sample. Astron. Astrophys. 2006, 460, 459–466. [Google Scholar] [CrossRef]
- Clementini, G.; Ripepi, V.; Bragaglia, A.; Martinez Fiorenzano, A.F.; Held, E.V.; Gratton, R.G. The metal abundance distribution of the oldest stellar component in the Sculptor dwarf spheroidal galaxy*. Mon. Not. R. Astron. Soc. 2005, 363, 734–748. [Google Scholar] [CrossRef][Green Version]
- Preston, G.W. A Spectroscopic Study of the RR Lyrae Stars. Astrophys. J. 1959, 130, 507. [Google Scholar] [CrossRef]
- Jurcsik, J.; Kovacs, G. Determination of [Fe/H] from the light curves of RR Lyrae stars. Astron. Astrophys. 1996, 312, 111–120. [Google Scholar]
- Alcock, C.; Allsman, R.A.; Alves, D.R.; Axelrod, T.S.; Basu, A.; Becker, A.C.; Bennett, D.P.; Cook, K.H.; Drake, A.J.; Freeman, K.C.; et al. The MACHO Project 9 Million Star Color-Magnitude Diagram of the Large Magellanic Cloud. Astron. J. 2000, 119, 2194–2213. [Google Scholar] [CrossRef][Green Version]
- Sarajedini, A.; Barker, M.K.; Geisler, D.; Harding, P.; Schommer, R. RR Lyrae Variables in M33. I. Evidence for a Field Halo Population. Astron. J. 2006, 132, 1361–1371. [Google Scholar] [CrossRef]
- Pritzl, B.J.; Armandroff, T.E.; Jacoby, G.H.; Da Costa, G.S. The Dwarf Spheroidal Companions to M31: Variable Stars in Andromeda II. Astron. J. 2004, 127, 318–333. [Google Scholar] [CrossRef][Green Version]
- Sarajedini, A.; Barker, M.K.; Geisler, D.; Harding, P.; Schommer, R. Newly Identified Star Clusters in M33. I. Integrated Photometry and Color-Magnitude Diagrams. Astron. J. 2007, 133, 290–302. [Google Scholar] [CrossRef][Green Version]
- Braga, V.F.; Stetson, P.B.; Bono, G.; Dall’Ora, M.; Ferraro, I.; Fiorentino, G.; Freyhammer, L.M.; Iannicola, G.; Marengo, M.; Neeley, J.; et al. On the RR Lyrae Stars in Globulars. IV. ω Centauri Optical UBVRI Photometry. Astron. J. 2016, 152, 170. [Google Scholar] [CrossRef]
- Martínez-Vázquez, C.E.; Monelli, M.; Bono, G.; Stetson, P.B.; Ferraro, I.; Bernard, E.J.; Gallart, C.; Fiorentino, G.; Iannicola, G.; Udalski, A. Variable stars in Local Group Galaxies—I. Tracing the early chemical enrichment and radial gradients in the Sculptor dSph with RR Lyrae stars. Mon. Not. R. Astron. Soc. 2015, 454, 1509–1516. [Google Scholar] [CrossRef]
- Harbeck, D.; Grebel, E.K.; Holtzman, J.; Guhathakurta, P.; Brandner, W.; Geisler, D.; Sarajedini, A.; Dolphin, A.; Hurley-Keller, D.; Mateo, M. Population Gradients in Local Group Dwarf Spheroidal Galaxies. Astron. J. 2001, 122, 3092–3105. [Google Scholar] [CrossRef]
- de Boer, T.J.L.; Tolstoy, E.; Hill, V.; Saha, A.; Olsen, K.; Starkenburg, E.; Lemasle, B.; Irwin, M.J.; Battaglia, G. The star formation and chemical evolution history of the sculptor dwarf spheroidal galaxy. Astron. Astrophys. 2012, 539, A103. [Google Scholar] [CrossRef]
- Bernard, E.J.; Gallart, C.; Monelli, M.; Aparicio, A.; Cassisi, S.; Skillman, E.D.; Stetson, P.B.; Cole, A.A.; Drozdovsky, I.; Hidalgo, S.L.; et al. The ACS LCID Project: RR Lyrae Stars as Tracers of Old Population Gradients in the Isolated Dwarf Spheroidal Galaxy Tucana. Astrophys. J. Lett. 2008, 678, L21–L24. [Google Scholar] [CrossRef]
- Mullen, J.P.; Marengo, M.; Martínez-Vázquez, C.E.; Neeley, J.R.; Bono, G.; Dall’Ora, M.; Chaboyer, B.; Thévenin, F.; Braga, V.F.; Crestani, J.; et al. Metallicity of Galactic RR Lyrae from Optical and Infrared Light Curves. I. Period-Fourier-Metallicity Relations for Fundamental-mode RR Lyrae. Astrophys. J. 2021, 912, 144. [Google Scholar] [CrossRef]
- Sandage, A. Evidence for a period-luminosity-amplitude relation for RR Lyrae stars. Astrophys. J. Lett. 1981, 244, L23–L26. [Google Scholar] [CrossRef]
- Sandage, A. The Oosterhoff period groups and the age of globular clusters. II. Properties of RR Lyrae stars in six clusters: The P-L-A relation. Astrophys. J. 1981, 248, 161–176. [Google Scholar] [CrossRef]
- Walker, A.R. CCD observations of the RR Lyrae stars in NGC 2210 and the distance to the Large Magellanic Cloud. Mon. Not. R. Astron. Soc. 1985, 212, 343–352. [Google Scholar] [CrossRef][Green Version]
- Walker, A.R.; Mack, P. CCD Photometry of the RR Lyrae Stars in NGC 121 and the Distance to the Small Magellanic Cloud. Astron. J. 1988, 96, 872. [Google Scholar] [CrossRef]
- Skowron, D.M.; Soszyński, I.; Udalski, A.; Szymański, M.K.; Pietrukowicz, P.; Skowron, J.; Poleski, R.; Wyrzykowski, Ł.; Ulaczyk, K.; Kozłowski, S.; et al. OGLE-ing the Magellanic System: Photometric Metallicity from Fundamental Mode RR Lyrae Stars. Acta Astron. 2016, 66, 269–292. [Google Scholar]
- Bono, G. RR Lyrae Distance Scale: Theory and Observations. In Stellar Candles for the Extragalactic Distance Scale; Lecture Notes in Physics; Alloin, D., Gieren, W., Eds.; Springer: Berlin, Germany, 2003; Volume 635, pp. 85–104. [Google Scholar] [CrossRef]
- Muraveva, T.; Delgado, H.E.; Clementini, G.; Sarro, L.M.; Garofalo, A. RR Lyrae stars as standard candles in the Gaia Data Release 2 Era. Mon. Not. R. Astron. Soc. 2018, 481, 1195–1211. [Google Scholar] [CrossRef]
- Dambis, A.K.; Berdnikov, L.N.; Kniazev, A.Y.; Kravtsov, V.V.; Rastorguev, A.S.; Sefako, R.; Vozyakova, O.V. RR Lyrae variables: Visual and infrared luminosities, intrinsic colours and kinematics. Mon. Not. R. Astron. Soc. 2013, 435, 3206–3220. [Google Scholar] [CrossRef]
- Chaboyer, B. Globular Cluster Distance Determinations. Post-Hipparcos Cosm. Candles 1999, 237, 111. [Google Scholar] [CrossRef]
- Carretta, E.; Gratton, R.G.; Clementini, G. On the existence of differences in luminosity between horizontal branch stars in globular clusters and in the field. Mon. Not. R. Astron. Soc. 2000, 316, 721–728. [Google Scholar] [CrossRef][Green Version]
- Clementini, G.; Gratton, R.; Bragaglia, A.; Carretta, E.; Di Fabrizio, L.; Maio, M. Distance to the Large Magellanic Cloud: The RR Lyrae Stars. Astron. J. 2003, 125, 1309–1329. [Google Scholar] [CrossRef]
- McNamara, D.H. The Absolute Magnitudes of the RR Lyrae Stars. Publ. Astron. Soc. Pac. 1997, 109, 857–867. [Google Scholar] [CrossRef]
- Arenou, F.; Luri, X.; Babusiaux, C.; Fabricius, C.; Helmi, A.; Muraveva, T.; Robin, A.C.; Spoto, F.; Vallenari, A.; Antoja, T.; et al. Gaia Data Release 2. Catalogue validation. Astron. Astrophys. 2018, 616, A17. [Google Scholar] [CrossRef]
- Cassisi, S.; Salaris, M. Old Stellar Populations: How to Study the Fossil Record of Galaxy Formation; Wiley: Hoboken, NJ, USA, 2013. [Google Scholar]
- Nagarajan, P.; Weisz, D.R.; El-Badry, K. RR Lyrae-based Distances for 39 Nearby Dwarf Galaxies Calibrated to Gaia eDR3. arXiv 2021, arXiv:2111.06899. [Google Scholar]
- Longmore, A.J.; Fernley, J.A.; Jameson, R.F. RR Lyrae stars in globular clusters—Better distances from infrared measurements? Mon. Not. R. Astron. Soc. 1986, 220, 279–287. [Google Scholar] [CrossRef]
- Bono, G.; Caputo, F.; Castellani, V.; Marconi, M.; Storm, J. Theoretical insights into the RR Lyrae K-band period-luminosity relation. Mon. Not. R. Astron. Soc. 2001, 326, 1183–1190. [Google Scholar] [CrossRef]
- Bono, G.; Caputo, F.; Castellani, V.; Marconi, M.; Storm, J.; Degl’Innocenti, S. A pulsational approach to near-infrared and visual magnitudes of RR Lyr stars. Mon. Not. R. Astron. Soc. 2003, 344, 1097–1106. [Google Scholar] [CrossRef]
- Madore, B.F.; Hoffman, D.; Freedman, W.L.; Kollmeier, J.A.; Monson, A.; Persson, S.E.; Rich, J.A., Jr.; Scowcroft, V.; Seibert, M. A Preliminary Calibration of the RR Lyrae Period-Luminosity Relation at Mid-infrared Wavelengths: WISE Data. Astrophys. J. 2013, 776, 135. [Google Scholar] [CrossRef]
- Braga, V.F.; Stetson, P.B.; Bono, G.; Dall’Ora, M.; Ferraro, I.; Fiorentino, G.; Iannicola, G.; Inno, L.; Marengo, M.; Neeley, J.; et al. New near-infrared JHKs light-curve templates for RR Lyrae variables. Astron. Astrophys. 2019, 625, A1. [Google Scholar] [CrossRef]
- Dall’Ora, M.; Storm, J.; Bono, G.; Ripepi, V.; Monelli, M.; Testa, V.; Andreuzzi, G.; Buonanno, R.; Caputo, F.; Castellani, V.; et al. The Distance to the Large Magellanic Cloud Cluster Reticulum from the K-Band Period-Luminosity-Metallicity Relation of RR Lyrae Stars. Astrophys. J. 2004, 610, 269–274. [Google Scholar] [CrossRef]
- Sollima, A.; Cacciari, C.; Valenti, E. The RR Lyrae period-K-luminosity relation for globular clusters: An observational approach. Mon. Not. R. Astron. Soc. 2006, 372, 1675–1680. [Google Scholar] [CrossRef]
- Muraveva, T.; Subramanian, S.; Clementini, G.; Cioni, M.R.L.; Palmer, M.; van Loon, J.T.; Moretti, M.I.; de Grijs, R.; Molinaro, R.; Ripepi, V.; et al. The VMC survey - XXVI. Structure of the Small Magellanic Cloud from RR Lyrae stars. Mon. Not. R. Astron. Soc. 2018, 473, 3131–3146. [Google Scholar] [CrossRef]
- Pietrzyński, G.; Gieren, W.; Szewczyk, O.; Walker, A.; Rizzi, L.; Bresolin, F.; Kudritzki, R.P.; Nalewajko, K.; Storm, J.; Dall’Ora, M.; et al. The Araucaria Project: The Distance to the Sculptor Dwarf Spheroidal Galaxy from Infrared Photometry of RR Lyrae Stars. Astron. J. 2008, 135, 1993–1997. [Google Scholar] [CrossRef]
- Szewczyk, O.; Pietrzyński, G.; Gieren, W.; Storm, J.; Walker, A.; Rizzi, L.; Kinemuchi, K.; Bresolin, F.; Kudritzki, R.P.; Dall’Ora, M. The Araucaria Project. The Distance of the Large Magellanic Cloud from Near-Infrared Photometry of RR Lyrae Variables. Astron. J. 2008, 136, 272–279. [Google Scholar] [CrossRef]
- Szewczyk, O.; Pietrzyński, G.; Gieren, W.; Ciechanowska, A.; Bresolin, F.; Kudritzki, R.P. The Araucaria Project: The Distance to the Small Magellanic Cloud from Near-Infrared Photometry of RR Lyrae Variables. Astron. J. 2009, 138, 1661–1666. [Google Scholar] [CrossRef]
- Karczmarek, P.; Pietrzyński, G.; Gieren, W.; Suchomska, K.; Konorski, P.; Górski, M.; Pilecki, B.; Graczyk, D.; Wielgórski, P. The Araucaria Project: The Distance to the Carina Dwarf Galaxy from Infrared Photometry of RR Lyrae Stars. Astron. J. 2015, 150, 90. [Google Scholar] [CrossRef]
- Karczmarek, P.; Pietrzyński, G.; Górski, M.; Gieren, W.; Bersier, D. The Araucaria Project: The Distance to the Fornax Dwarf Galaxy from Near-infrared Photometry of RR Lyrae Stars. Astron. J. 2017, 154, 263. [Google Scholar] [CrossRef]
- Hatt, D.; Beaton, R.L.; Freedman, W.L.; Madore, B.F.; Jang, I.S.; Hoyt, T.J.; Lee, M.G.; Monson, A.J.; Rich, J.A.; Scowcroft, V.; et al. The Carnegie-Chicago Hubble Program. II. The Distance to IC 1613: The Tip of the Red Giant Branch and RR Lyrae Period-luminosity Relations. Astrophys. J. 2017, 845, 146. [Google Scholar] [CrossRef]
- Dékány, I.; Minniti, D.; Catelan, M.; Zoccali, M.; Saito, R.K.; Hempel, M.; Gonzalez, O.A. VVV Survey Near-infrared Photometry of Known Bulge RR Lyrae Stars: The Distance to the Galactic Center and Absence of a Barred Distribution of the Metal-poor Population. Astrophys. J. Lett. 2013, 776, L19. [Google Scholar] [CrossRef]
- Contreras Ramos, R.; Minniti, D.; Gran, F.; Zoccali, M.; Alonso-García, J.; Huijse, P.; Navarro, M.G.; Rojas-Arriagada, Á.; Valenti, E. The VVV Survey RR Lyrae Population in the Galactic Center Region. Astrophys. J. 2018, 863, 79. [Google Scholar] [CrossRef]
- Muraveva, T.; Garofalo, A.; Scowcroft, V.; Clementini, G.; Freedman, W.L.; Madore, B.F.; Monson, A.J. The Carnegie RR Lyrae Program: Mid-infrared period-luminosity relations of RR Lyrae stars in Reticulum. Mon. Not. R. Astron. Soc. 2018, 480, 4138–4153. [Google Scholar] [CrossRef]
- Cusano, F.; Moretti, M.I.; Clementini, G.; Ripepi, V.; Marconi, M.; Cioni, M.R.L.; Rubele, S.; Garofalo, A.; de Grijs, R.; Groenewegen, M.A.T.; et al. The VMC Survey—XLII. Near-infrared period-luminosity relations for RR Lyrae stars and the structure of the Large Magellanic Cloud. Mon. Not. R. Astron. Soc. 2021, 504, 1–15. [Google Scholar] [CrossRef]
- Marconi, M.; Bono, G.; Pietrinferni, A.; Braga, V.F.; Castellani, M.; Stellingwerf, R.F. On the Impact of Helium Content on the RR Lyrae Distance Scale. Astrophys. J. Lett. 2018, 864, L13. [Google Scholar] [CrossRef]
- Bhardwaj, A. High-precision distance measurements with classical pulsating stars. J. Astrophys. Astron. 2020, 41, 23. [Google Scholar] [CrossRef]
- Marconi, M.; Molinaro, R.; Ripepi, V.; Leccia, S.; Musella, I.; De Somma, G.; Gatto, M.; Moretti, M.I. A theoretical scenario for Galactic RR Lyrae in the Gaia data base: Constraints on the parallax offset. Mon. Not. R. Astron. Soc. 2021, 500, 5009–5023. [Google Scholar] [CrossRef]
- Christy, R.F. Lectures on Variable Stars (concluded). J. R. Astron. Soc. Can. 1970, 64, 8. [Google Scholar]
- Demarque, P.; Hirshfeld, A.W. On the nature of the bright variables in dwarf spheroidal galaxies. Astrophys. J. 1975, 202, 346–352. [Google Scholar] [CrossRef]
- Castellani, V.; degl’Innocenti, S. Dwarf spheroidals and the evolution of not-too-old Population II stars. Astron. Astrophys. 1995, 298, 827. [Google Scholar]
- Caputo, F.; Cassisi, S.; Castellani, M.; Marconi, G.; Santolamazza, P. Stellar Populations in the Dwarf Spheroidal Galaxy Leo I. Astron. J. 1999, 117, 2199–2210. [Google Scholar] [CrossRef]
- Sills, A.; Karakas, A.; Lattanzio, J. Blue Stragglers After the Main Sequence. Astrophys. J. 2009, 692, 1411–1420. [Google Scholar] [CrossRef]
- Gallart, C.; Bernard, E.J.; Brook, C.B.; Ruiz-Lara, T.; Cassisi, S.; Hill, V.; Monelli, M. Uncovering the birth of the Milky Way through accurate stellar ages with Gaia. Nat. Astron. 2019, 3, 932–939. [Google Scholar] [CrossRef]
- Fiorentino, G.; Marconi, M.; Bono, G.; Dalessandro, E.; Ferraro, F.R.; Lanzoni, B.; Lovisi, L.; Mucciarelli, A. Blue Straggler Masses from Pulsation Properties. II. Topology of the Instability Strip. Astrophys. J. 2015, 810, 15. [Google Scholar] [CrossRef]
- Richards, J.W.; Starr, D.L.; Butler, N.R.; Bloom, J.S.; Brewer, J.M.; Crellin-Quick, A.; Higgins, J.; Kennedy, R.; Rischard, M. On Machine-learned Classification of Variable Stars with Sparse and Noisy Time-series Data. Astrophys. J. 2011, 733, 10. [Google Scholar] [CrossRef]
- Elorrieta, F.; Eyheramendy, S.; Jordán, A.; Dékány, I.; Catelan, M.; Angeloni, R.; Alonso-García, J.; Contreras-Ramos, R.; Gran, F.; Hajdu, G.; et al. A machine learned classifier for RR Lyrae in the VVV survey. Astron. Astrophys. 2016, 595, A82. [Google Scholar] [CrossRef]
- Hernitschek, N.; Schlafly, E.F.; Sesar, B.; Rix, H.W.; Hogg, D.W.; Ivezić, Ž.; Grebel, E.K.; Bell, E.F.; Martin, N.F.; Burgett, W.S.; et al. Finding, Characterizing, and Classifying Variable Sources in Multi-epoch Sky Surveys: QSOs and RR Lyrae in PS1 3π data. Astrophys. J. 2016, 817, 73. [Google Scholar] [CrossRef]
- Holl, B.; Audard, M.; Nienartowicz, K.; Jevardat de Fombelle, G.; Marchal, O.; Mowlavi, N.; Clementini, G.; De Ridder, J.; Evans, D.W.; Guy, L.P.; et al. Gaia Data Release 2. Summary of the variability processing and analysis results. Astron. Astrophys. 2018, 618, A30. [Google Scholar] [CrossRef]
- Hosenie, Z.; Lyon, R.J.; Stappers, B.W.; Mootoovaloo, A. Comparing Multiclass, Binary, and Hierarchical Machine Learning Classification schemes for variable stars. Mon. Not. R. Astron. Soc. 2019, 488, 4858–4872. [Google Scholar] [CrossRef]
- Massari, D.; Koppelman, H.H.; Helmi, A. Origin of the system of globular clusters in the Milky Way. Astron. Astrophys. 2019, 630, L4. [Google Scholar] [CrossRef]
- McConnachie, A.W.; Irwin, M.J.; Ibata, R.A.; Dubinski, J.; Widrow, L.M.; Martin, N.F.; Côté, P.; Dotter, A.L.; Navarro, J.F.; Ferguson, A.M.N.; et al. The remnants of galaxy formation from a panoramic survey of the region around M31. New Astron. 2009, 461, 66–69. [Google Scholar] [CrossRef] [PubMed]
- Stetson, P.B. Homogeneous Photometry for Star Clusters and Resolved Galaxies. II. Photometric Standard Stars. Publ. Astron. Soc. Pac. 2000, 112, 925–931. [Google Scholar] [CrossRef]
- Dall’Ora, M.; Clementini, G.; Kinemuchi, K.; Ripepi, V.; Marconi, M.; Di Fabrizio, L.; Greco, C.; Rodgers, C.T.; Kuehn, C.; Smith, H.A. Variable Stars in the Newly Discovered Milky Way Satellite in Bootes. Astrophys. J. Lett. 2006, 653, L109–L112. [Google Scholar] [CrossRef]
- Clementini, G.; Cignoni, M.; Contreras Ramos, R.; Federici, L.; Ripepi, V.; Marconi, M.; Tosi, M.; Musella, I. Variability and Star Formation in Leo T, the Lowest Luminosity Star-forming Galaxy Known Today. Astrophys. J. 2012, 756, 108. [Google Scholar] [CrossRef]
- Saha, A.; Hoessel, J.G. RR Lyrae stars in local group galaxies. I—NGC 185. Astron. J. 1990, 99, 97–148. [Google Scholar] [CrossRef]
- Saha, A.; Hoessel, J.G.; Mossman, A.E. RR Lyrae stars in local group galaxies. II—NGC 147. Astron. J. 1990, 100, 108–126. [Google Scholar] [CrossRef]
- Pritzl, B.J.; Armandroff, T.E.; Jacoby, G.H.; Da Costa, G.S. The Dwarf Spheroidal Companions to M31: Variable Stars in Andromeda I and Andromeda III. Astron. J. 2005, 129, 2232–2256. [Google Scholar] [CrossRef][Green Version]














| Galaxy | R.A. | Dec. | Group | Photometry | Reference | |||||
|---|---|---|---|---|---|---|---|---|---|---|
| ESO410-G005 | 00:15:31.6 | –32:10:48.0 | Scl | 225 | 44 | 9 ** | 13 ** | 0 ** | Yang et al. [31] | |
| And XIX | 00:19:32.1 | +35:02:37.0 | M31 | 31 | 8 | 8 | 0 | 0 | Cusano et al. [32] | |
| Cetus | 00:26:11.0 | –11:02:40.0 | isol | 506 | 124 | 8 | 0 | 0 | Bernard et al. [33], Monelli et al. [34] | |
| ESO294-G010 | 00:26:33.4 | –41:51:19.0 | Scl | 219 | 13 | 3 ** | 16 ** | 0 ** | Yang et al. [31] | |
| And XXV | 00:30:08.9 | +46:51:07.0 | M31 | 46 | 11 | 3 | 0 | 0 | Cusano et al. [35] | |
| NGC 147 | 00:33:12.1 | +48:30:32.0 | M31 | 118 | 58 | 2 | 0 | 0 | Monelli et al. [36] | |
| And III | 00:35:33.8 | +36:29:52.0 | M31 | 84 | 15 | 4 | 0 | 0 | Martínez-Vázquez et al. [37] | |
| And XXVII | 00:37:27.1 | +45:23:13.0 | M31 | 58 | 31 | 1 | 0 | 0 | Cusano et al. [38] | |
| NGC 185 | 00:38:58.0 | +48:20:15.0 | M31 | 544 | 272 | 3 | 0 | 0 | Monelli et al. [36] | |
| NGC 205 | 00:40:22.1 | +41:41:07.0 | M31 | 30 | 0 | 7 | 0 | 0 | g | Saha et al. [39] |
| M 32 | 00:42:41.8 | +40:51:55.0 | M31 | 375 | 134 | 4 | 0 | 0 | Fiorentino et al. [40], Sarajedini et al. [41] | |
| And I | 00:45:39.8 | +38:02:28.0 | M31 | 229 | 48 | 0 | 0 | 0 | Martínez-Vázquez et al. [37] | |
| And XI | 00:46:20.0 | +33:48:05.0 | M31 | 12 | 5 | 0 | 0 | 0 | Yang and Sarajedini [42] | |
| And XIII | 00:51:51.0 | +33:00:16.0 | M31 | 8 | 1 | 0 | 0 | 0 | Yang and Sarajedini [42] | |
| SMC | 00:52:44.8 | –72:49:43.0 | MW | 4961 | 1407 | 4915 | 109 | 53 | Soszyński et al. [43,44,45] | |
| And XVI | 00:59:29.8 | +32:22:36.0 | M31 | 3 | 5 | 0 | 0 | 0 | Martínez-Vázquez et al. [37], Monelli et al. [46] | |
| Sculptor | 01:00:09.4 | –33:42:33.0 | MW | 289 | 247 | 4 | 0 | 0 | Martínez-Vázquez et al. [47] | |
| IC 1613 | 01:04:47.8 | +02:07:04.0 | isol | 61 | 29 | 0 | 160 | 0 | Bernard et al. [33], Tammann et al. [48] | |
| And XV | 01:14:18.7 | +38:07:03.0 | M31 | 80 | 24 | 4 | 0 | 0 | Martínez-Vázquez et al. [37] | |
| And II | 01:16:29.8 | +33:25:09.0 | M31 | 187 | 48 | 4 | 0 | 0 | Martínez-Vázquez et al. [37] | |
| Triangulum | 01:33:50.9 | +30:39:37.0 | M31 | 85 | 14 | 0 | ? | 0 | Tanakul et al. [49] | |
| Phoenix | 01:51:06.3 | –44:26:41.0 | isol | 54 | 24 | 19 ** | 0 | 0 | Gallart et al. [50], Ordonez et al. [51] | |
| Segue 2 | 02:19:16.0 | +20:10:31.0 | MW | 1 | 0 | 0 | 0 | 0 | Boettcher et al. [52] | |
| Eridanus 3 | 02:22:45.5 | –52:17:01.0 | MW | 0 | 1 | 0 | 0 | 0 | Vivas et al. [53] | |
| Fornax | 02:39:59.3 | –34:26:57.0 | MW | 1493 | 493 | 0 | 5 | 2 | Braga et al. in prep. | |
| Eridanus 2 | 03:44:21.1 | –43:32:00.0 | MW | 44 | 23 | 2 | 0 | 0 | Martínez-Vázquez et al. [54] | |
| Reticulum 3 | 03:45:26.4 | –60:27:00.0 | MW | 1 | 0 | 0 | 0 | 0 | Vivas et al. [53] | |
| LMC | 05:23:34.5 | –69:45:22.0 | MW | 27620 | 11461 | 4628 | 141 | 285 | Soszyński et al. [43], Soszyński et al. [44], Soszyński et al. [45] | |
| Carina | 06:41:36.7 | –50:57:58.0 | MW | 71 | 21 | 20 | 0 | 0 | Coppola et al. [55] | |
| Carina 2 | 07:36:25.6 | –57:59:57.0 | MW | 1 | 1 | 0 | 0 | 0 | Vivas et al. [53] | |
| Ursa Major 2 | 08:51:30.0 | +63:07:48.0 | MW | 2 | 2 | 0 | 0 | 0 | Vivas et al. [53] | |
| Hydra 1 | 08:55:36.0 | +03:36:00.0 | MW | 4 | 0 | 0 | 0 | 0 | Vivas et al. [53] | |
| UGC4879-VV124 | 09:16:02.2 | +52:50:24.0 | isol | 532 | 146 | 10 | 78 | 1 | Neeley et al. [56] | |
| Leo T | 09:34:53.4 | +17:03:05.0 | MW | 4 | 1 | 17 | 0 | 0 | Surot et al. in prep. | |
| Antlia 2 | 09:35:32.8 | –36:46:02.3 | MW | 193 | 104 | 8 | 0 | 0 | Vivas et al. [57] | |
| Leo A | 09:59:26.5 | +30:44:47.0 | isol | 7 | 3 | 0 ** | 156 ** | 0 | Bernard et al. [58] | |
| Segue 1 | 10:07:04.0 | +16:04:55.0 | MW | 1 | 0 | 0 | 0 | 0 | Simon et al. [59] | |
| Leo 1 | 10:08:28.1 | +12:18:23.0 | MW | 136 | 38 | 55 ** | 0 ** | 0 | Stetson et al. [60] | |
| Sextans | 10:13:03.0 | –01:36:53.0 | MW | 26 | 10 | 9 | 0 | 0 | Mateo et al. [61], Amigo et al. [62], Vivas et al. [63] | |
| Leo P | 10:21:45.1 | +18:05:17.0 | isol | 9 | 1 | 0 | 0 | 0 | McQuinn et al. [64] | |
| Ursa Major 1 | 10:34:52.8 | +51:55:12.0 | MW | 6 | 0 | 0 | 0 | 0 | Vivas et al. [53] | |
| Leo 2 | 11:13:28.8 | +22:09:06.0 | MW | 106 | 34 | 4 | 0 | 0 | Siegel and Majewski [65] | |
| Leo 5 | 11:31:09.6 | +02:13:12.0 | MW | 3 | 0 | 0 | 0 | 0 | Medina et al. [66] | |
| Leo 4 | 11:32:57.0 | –00:32:00.0 | MW | 3 | 0 | 0 | 0 | 0 | Moretti et al. [67] | |
| Crater 2 | 11:49:14.4 | –18:24:47.0 | MW | 84 | 15 | 7 | 0 | 0 | Joo et al. [68], Monelli et al. [69], Vivas et al. [70] | |
| Hydra 2 | 12:21:42.1 | –31:59:07.0 | MW | 1 | 0 | 0 | 0 | 0 | Vivas et al. [71] | |
| Coma Berenices | 12:26:59.0 | +23:54:15.0 | MW | 2 | 0 | 0 | 0 | 0 | Vivas et al. [53] | |
| Centaurus 1 | 12:38:20.4 | –40:54:07.2 | MW | 1 | 2 | 0 | 0 | 0 | Martínez-Vázquez et al. [72] | |
| Canes Venatici 1 | 13:28:03.5 | +33:33:21.0 | MW | 18 | 5 | 3 | 0 | 0 | Kuehn et al. [73] | |
| Bootes 3 | 13:57:12.0 | +26:48:00.0 | MW | 4 | 3 | 0 | 0 | 0 | Vivas et al. [53] | |
| Bootes 2 | 13:58:00.0 | +12:51:00.0 | MW | 1 | 0 | 0 | 0 | 0 | Vivas et al. [53] | |
| Bootes 1 | 14:00:06.0 | +14:30:00.0 | MW | 1 | 2 | 0 | 0 | 0 | Vivas et al. [53] | |
| Ursa Minor | 15:09:08.5 | +67:13:21.0 | MW | 47 | 35 | 7 | 0 | 0 | Nemec et al. [74] | |
| KKR 25 | 16:13:48.0 | +54:22:16.0 | isol | 39 | 7 | 25 | 0 | 0 | Neeley et al. [56] | |
| Hercules | 16:31:02.0 | +12:47:30.0 | MW | 6 | 3 | 1 | 0 | 0 | B | Musella et al. [75] |
| Draco | 17:20:12.4 | +57:54:55.0 | MW | 211 | 56 | 9 | 0 | 0 | Kinemuchi et al. [76] | |
| Sagittarius dSph | 18:55:19.5 | –30:32:43.0 | MW | 1636 | 409 | 0 | 0 | 174 | Soszyński et al. [77], Hamanowicz et al. [78] | |
| NGC 6822 | 19:44:56.6 | –14:47:21.0 | isol | 24 | 2 | 15 | 30 | 0 | Baldacci et al. [79] | |
| Sagittarius 2 | 19:52:40.5 | –22:04:05.0 | MW | 2 | 3 | 0 | 0 | 0 | Vivas et al. [53] | |
| Grus 2 | 22:04:04.8 | –46:26:24.0 | MW | 0 | 1 | 0 | 0 | 0 | Martínez-Vázquez et al. [80] | |
| Pegasus 3 | 22:24:22.6 | +05:25:12.0 | MW | 1 * | 0 | 1 * | 0 | 0 | Garofalo et al. [81] | |
| And XXVIII | 22:32:41.2 | +31:12:58.0 | M31 | 35 | 34 | 3 | 0 | 0 | Martínez-Vázquez et al. [37] | |
| Tucana | 22:41:49.6 | –64:25:10.0 | isol | 216 | 142 | 7 | 0 | 0 | Bernard et al. [82] | |
| Tucana 2 | 22:51:55.1 | –58:34:08.0 | MW | 1 | 2 | 0 | 0 | 0 | Vivas et al. [53] | |
| Grus 1 | 22:56:42.4 | –50:09:48.0 | MW | 2 | 0 | 0 | 0 | 0 | Martínez-Vázquez et al. [80] | |
| Pisces 2 | 22:58:31.0 | +05:57:09.0 | MW | 1 * | 0 | 1 * | 0 | 0 | Garofalo et al. [81] | |
| And VII | 23:26:31.7 | +50:40:33.0 | M31 | 336 | 187 | 7 | 0 | 0 | Monelli et al. [36] | |
| Phoenix 2 | 23:39:59.4 | –54:24:22.0 | MW | 1 | 0 | 0 | 0 | 0 | Vivas et al. [53] | |
| And VI | 23:51:46.3 | +24:34:57.0 | M31 | 91 | 20 | 6 | 0 | 0 | Pritzl et al. [83] | |
| And XXI | 23:54:47.7 | +42:28:15.0 | M31 | 37 | 4 | 9 | 0 | 0 | Cusano et al. [84] | |
| Tucana 3 | 23:56:36.0 | –59:36:00.0 | MW | 5 | 1 | 0 | 0 | 0 | Vivas et al. [53] |
| Galaxy | E(B–V) | [Fe/H] | References | |
|---|---|---|---|---|
| Ursa Minor | 0.032 | −2.13 | 19.90 ± 0.07 | Nemec et al. [74] |
| Draco | 0.027 | −1.93 | 20.10 ± 0.10 | Kinemuchi et al. [76] |
| Sextans | 0.047 | −1.93 | 20.32 ± 0.12 | Vivas et al. [53], Mateo et al. [61] |
| Sculptor | 0.018 | −1.68 | 20.13 ± 0.09 | Martínez-Vázquez et al. [47] |
| Carina | 0.061 | −1.72 | 20.69 ± 0.12 | Coppola et al. [55] |
| Crater 2 | 0.030 | −1.98 | 20.95 ± 0.01 | Vivas et al. [53], Joo et al. [68], Monelli et al. [69] |
| Hercules | 0.062 | −2.41 | 21.35 ± 0.03 | Musella et al. [75] |
| Fornax | 0.021 | −0.99 | 21.36 ± 0.15 | Braga et al. in prep. |
| Leo 4 | 0.026 | −2.54 | 21.48 ± 0.03 | Moretti et al. [67] |
| CanesVenatici1 | 0.014 | −1.98 | 22.17 ± 0.02 | Kuehn et al. [73] |
| Leo 1 | 0.036 | −1.43 | 22.65 ± 0.01 | Stetson et al. [60] |
| Leo T | 0.005 | −2.20 | 23.68 ± 0.08 | Surot et al. in prep. |
| Phoenix | 0.016 | −1.49 | 23.74 ± 0.12 | Ordonez et al. [51] |
| NGC 6822 | 0.231 | −1.00 | 24.66 ± 0.17 | Baldacci et al. [79] |
| Andromeda XVI | 0.067 | −2.10 | 24.34 ± 0.07 | Martínez-Vázquez et al. [37] |
| Andromeda XV | 0.047 | −1.80 | 25.07 ± 0.07 | Martínez-Vázquez et al. [37] |
| Andromeda II | 0.061 | −1.39 | 24.78 ± 0.09 | Martínez-Vázquez et al. [37] |
| Andromeda XXVIII | 0.090 | −2.10 | 25.14 ± 0.08 | Martínez-Vázquez et al. [37] |
| Andromeda XI | 0.080 | −1.80 | 25.31 ± 0.02 | Yang and Sarajedini [42] |
| Andromeda I | 0.053 | −1.45 | 25.13 ± 0.10 | Martínez-Vázquez et al. [37] |
| Andromeda III | 0.056 | −1.78 | 25.04 ± 0.09 | Martínez-Vázquez et al. [37] |
| IC 1613 | 0.025 | −1.60 | 24.99 ± 0.01 | Bernard et al. [33] |
| Cetus | 0.028 | −1.90 | 25.03 ± 0.01 | Monelli et al. [34] |
| Andromeda VII | 0.194 | −1.40 | 25.77 ± 0.13 | Monelli et al. [36] |
| Andromeda VI | 0.063 | −1.50 | 25.29 ± 0.03 | Pritzl et al. [83] |
| Leo A | 0.021 | −1.40 | 24.97 ± 0.04 | Bernard et al. [58] |
| M32 | 0.154 | −0.25 | 25.17 ± 0.18 | Fiorentino et al. [40] |
| Andromeda XXV | 0.101 | −1.90 | 25.27 ± 0.09 | Cusano et al. [35] |
| Andromeda XIX | 0.062 | −1.80 | 25.34 ± 0.10 | Cusano et al. [32] |
| Andromeda XXVII | 0.040 | −1.70 | 25.24 ± 0.06 | Cusano et al. [38] |
| Andromeda XXI | 0.093 | −1.80 | 25.33 ± 0.11 | Cusano et al. [84] |
| Andromeda XIII | 0.082 | −1.70 | 25.49 ± 0.02 | Yang and Sarajedini [42] |
| Tucana | 0.031 | −1.95 | 25.32 ± 0.01 | Bernard et al. [82] |
Publisher’s Note: MDPI stays neutral with regard to jurisdictional claims in published maps and institutional affiliations. |
© 2022 by the authors. Licensee MDPI, Basel, Switzerland. This article is an open access article distributed under the terms and conditions of the Creative Commons Attribution (CC BY) license (https://creativecommons.org/licenses/by/4.0/).
Share and Cite
Monelli, M.; Fiorentino, G. RR Lyrae Stars and Anomalous Cepheids as Population Tracers in Local Group Galaxies. Universe 2022, 8, 191. https://doi.org/10.3390/universe8030191
Monelli M, Fiorentino G. RR Lyrae Stars and Anomalous Cepheids as Population Tracers in Local Group Galaxies. Universe. 2022; 8(3):191. https://doi.org/10.3390/universe8030191
Chicago/Turabian StyleMonelli, Matteo, and Giuliana Fiorentino. 2022. "RR Lyrae Stars and Anomalous Cepheids as Population Tracers in Local Group Galaxies" Universe 8, no. 3: 191. https://doi.org/10.3390/universe8030191
APA StyleMonelli, M., & Fiorentino, G. (2022). RR Lyrae Stars and Anomalous Cepheids as Population Tracers in Local Group Galaxies. Universe, 8(3), 191. https://doi.org/10.3390/universe8030191

