Gamma Rays as Probes of Cosmic-Ray Propagation and Interactions in Galaxies
Abstract
1. Context and Scope of the Review
- a dramatic extension of energy interval of the observations, spanning from sub-MeV to sub-PeV energies, with coverage of large portions of the Galactic plane and of the sky;
- full-sky observations of the highest quality in the sub-GeV to sub-TeV domain, most notably thanks to the Large Area Telescope (LAT) onboard the Fermi Gamma-Ray Space Telescope;
- impressive developments in theoretical and numerical tools for calculating interstellar gamma-ray emission properties, informed by spectacular improvements in the accuracy of direct CR measurements.
- Section 3 What do we learn from observations of the local interstellar medium near the Sun and how can we use them to connect direct and indirect CR measurements?
- Section 4 What does interstellar emission tell us about the large-scale distributions of CRs in galaxies and what does it teach us about CR transport?
- Section 5 What do we know about particle propagation and interactions in the vicinities of sources and what role does this phase play in the CR life cycle?
- Section 6 What are the properties of gamma-ray emitting galaxies as a population and what do we learn about the variety of CR transport under different environmental conditions?
- Interstellar/diffuse emission: we will refer to gamma-ray emission produced by CR interactions with interstellar matter and fields as interstellar emission. Conversely, we will use the term diffuse emission to refer to all emission that cannot be associated with a localized object (e.g., a pulsar, a binary system etc.) that is individually detected. Based on this definition, diffuse emission will comprise of interstellar emission plus collective emission from populations of sources not detected individually (due. e.g., to instrumental sensitivity limitations).
- Large-scale galactic CR population: we will use this term to refer to the CR population in a galaxy on spatial scales much larger than those where an individual CR source or sink (or localized groups thereof) can influence significantly the CR properties. The fact that this definition is useful in practice is based on observations of the Milky Way and local-group galaxies that will be discussed later in the paper. Conversely, we will avoid the term “CR sea”, sometimes used in the literature with an ambiguous meaning that can refer to the CR population around the Earth, the large-scale galactic CR population (according to our definition), or the large-scale galactic CR population with an implicit assumption that it is uniform within (or even beyond) the galaxy.
2. The Toolbox to Study Interstellar Gamma-Ray Emission
2.1. The Progress of Observational Techniques in Gamma Rays
2.2. Data Complementary to Gamma Rays: Recent Step Forwards
- direct CR measurements;
- the study of other ISM constituents: matter, radiation fields, and magnetic fields;
- other indirect CR tracers, that is, synchrotron emission, neutrinos, and ion and nuclear lines;
- the census of energetic objects such as massive stars, SNRs, and pulsars and their wind nebulae;
- hadronic interaction cross sections.
2.3. A Glimpse at the Basics of Cosmic-Ray Transport
- isotropy at the level of ∼10 in the arrival directions for the entire energy range covered by the experiments that are sensitive to this observable, in particular in the TeV—PeV range [137,138,139,140,141,142]; this suggests that particles have suffered multiple deflections in their journey from the acceleration sites to Earth;
- a significantly larger abundance of some light species, namely lithium, beryllium, and boron, with respect to the solar system abundances; this piece of evidence in particular is naturally interpreted as the smoking gun of the cumulative interactions between the primary species injected by the accelerators (protons and heavy nuclei) and interstellar gas; the total column density that primary CRs have to cross to produce the observed amount of light species is as large as a few g/cm: such a large value of the grammage strongly suggests once again that the CRs that produce the secondary species have crossed the Galactic disk multiple times over time scales exceeding one Myr.
- the magnetic inhomogenities are Alfvénic; they are isotropic and their energy density is characterised by a power-law energy spectrum as a function of wavenumber k;
- the inhomogenities are small, at the scale of interest, with respect to the coherent large-scale regular magnetic field .
- Reacceleration: This process is intimately connected to spatial diffusion. In fact, the random walk in space is expected to be accompanied by a diffusion in momentum space, since the scattering centres (namely, magnetic fluctuations) are not static. They are instead in random motion themselves, with characteristic velocities of the order of the Alfvén speed. The importance of this process hence depends on the large-scale average of this quantity over the galaxy, and has been the subject of a long debate. We refer to [147] for a critical look at this issue in the case of the Milky Way, in connection with the total energy budget available in the Galaxy.
- Advection: This is a rigidity-independent process that can significantly contribute to the vertical escape of CRs and is associated with the existence of so-called galactic winds. This phenomenon consists of a powerful outflow that may extend for hundred of parsecs, possibly more relevant in the inner part of galaxies, and induce a relevant mass loss, possibly comparable to the mass formed in stars. Possible mechanisms to create galactic winds are currently under debate. Winds may be powered by stellar winds and supernova explosions, and a non-linear interplay with CRs may also be at work: cosmic rays (CRs) escaping from the galaxy can effectively push on the ISM and eventually trigger the wind itself.
- Energy losses: Different types of interactions transfer energy from the CR population to the ISM. In particular, hadrons lose energy due to ionization, Coulomb interactions with interstellar matter, and production of secondary particles in nucleon–nucleon inelastic collisions, most notably pions (these processes being overall more effective at low energy, in particular in the sub-GeV domain). On the other hand, leptons suffer strong losses mostly due to IC scattering onto low-energy photons, synchrotron emission (with a rate that increases with increasing energy, following a scaling), and Bremsstrahlung. We refer for instance to [148] for a compilation of the relevant formulae associated with these processes.
- Spallation: A complex network of nuclear reactions and decays transform heavier CR nuclei into lighter species as a consequences of inelastic interactions with matter in the ISM. A combination of semi-empirical parametrizations and rescaling procedures to nuclear data (mostly available in the GeV domain) is typically adopted to model these phenomena. See for instance [149,150,151,152,153,154] and references therein for the modelling of the hadronic nuclear network.
2.4. Evolutions of Modelling and Data Analysis Techniques
- Three-dimensional modelling. The transport equation is usually solved under the assumption of cylindrical symmetry. In this widely used setup, that is a distinctive feature of standard Galactic CR model implementations, most astrophysical ingredients that enter the problem and influence the different types of CR interactions (for instance, the distribution of CR accelerators, the magnetic field strength, the interstellar gas, and low-energy photon distributions) are implemented in the form of (smoothly varying) functions of the Galactocentric radius R and the vertical coordinate z (perpendicular to the Galactic plane). A more realistic description of the interstellar medium, featuring a three-dimensional model for the spiral arm pattern of the Milky Way in the CR source term was first introduced in the context of numerical modelling of leptonic CR species in [164], showing a relevant impact on the local electron spectrum. The consequences of such three-dimensional pattern on CR hadronic species and gamma-ray modelling was later discussed in [173,174]. The authors of [84] further investigated the phenomenological consequences of a spiral arm pattern in both the CR source distribution and the interstellar radiation field (see also [98]).
- Inhomogeneous diffusion. The transport equation is usually solved under the assumption that the diffusion coefficient is constant in both slope and normalization across the Galaxy. Several steps towards a inhomogeneous description of the problem have been proposed over the years. For instance, in [175] the radial variation of the diffusion coefficient normalization was explored as a possible solution to the long-standing anomaly usually identified as gradient problem (Section 4). Moreover, in [176], a complete scan of the parameter space for CR injection and propagation showed that each set of species is probing a very different interstellar medium, providing further evidence in favour of non-homogeneous transport.
- Anisotropy of CR transport. The anisotropic nature of CR transport has been highlighted by theorists since the first pioneering studies about the quasi-linear theory of pitch-angle scattering onto magnetic fluctuations. We have stressed in the previous section that the main feature of such theory is precisely a diffusive motion that is strongly anisotropic locally and goes predominantly along the magnetic field lines. However, since relevant fluctuations of magnetic field on scales close to the ones associated with the injection of turbulence may in principle lead to some isotropization of global CR diffusion in the Galaxy, the typical approach in the context of large-scale modelling of CR transport based on the transport equation has been to neglect any anisotropy in the diffusion part (see for instance the discussion in [15]). Very few attempts to consider anisotropic transport aimed at reproducing local CR data by solving the large-scale diffusion equation exist in the literature. A relevant example is [177] where a fully anisotropic diffusion equation is solved numerically in cylindrical symmetry.
- CR self-confinement and non-linear effects. We have mentioned that the magnetic irregularities (typically Alfvén waves) play a central role in the current description of CR confinement in the Galaxy. Those waves may be either part of a pre-existing turbulent cascade, or generated by the CRs themselves, if they stream faster than the Alfvén speed, via the process of streaming instability [178]. The latter option may give rise to non-linear effects in the CR transport, typically refereed to as CR self-confinement. This phenomenon can dominate the transport at low energies, and can be responsible for a spectral feature at the energy where the scattering onto pre-existing turbulence start to dominate (see for instance [179]). An interesting interpretation of the hardening in the CR spectra observed by the AMS collaboration was presented in [180]. An even more refined description of CR transport in the Galaxy where the (coupled) CR diffusion equation and the equation for self-generated waves are solved numerically is presented in [181]. In this work, the size of the diffusive halo is derived from the model, as the result of a combination of wave self-generation and advection from the Galactic disc. These effects take an even more prominent role in the proximity of CR accelerators (Section 5).
- Anisotropy of the turbulent cascade. CR scattering onto magnetohydrodynamic turbulence modes. The nature of the pre-existing magnetic fluctuations responsible for CR confinement in the high-energy range is an important matter of debate. According to the widely accepted model of turbulence by Goldreich and Shridar [182,183], the key feature of the Alfvénic cascade is its anisotropic nature. For the sake of clarity, we remark here that, in this case, the anisotropy of the turbulent cascade is the key point. This is a different concept with respect to the anisotropy of the CR transport phenomenon. In fact, as seen in our recap on the quasi-linear theory, an isotropic cascade of turbulent fluctuations can yield a strongly anisotropic CR transport. Moreover, since in the cascade most of the power is transferred to scales perpendicular to a mean-magnetic-field direction, the Alfvénic waves may actually be highly inefficient in confining CRs, as discussed extensively in [184,185], and pitch-angle scattering onto magnetosonic modes may play the dominant role. A non-linear theory of CR scattering onto magnetosonic modes was presented in [186,187]. Very recently, after the seminal attempt presented in [188], the authors of [189] provided the first comprehensive phenomenological study of such theory, and showed how local CR data above the AMS break can be reproduced by solving the aforementioned diffusion equation with the diffusion coefficients computed ab initio from the theory, under reasonable assumptions on the free parameters involved. Recent radio observations support the notion that magnetosonic modes, under some circumstance, may drive CR transport [190].
- The Monte Carlo approach. The approach of solving the transport equation in a continuous setup where all the relevant terms are provided as smoothly varying function of the position provides a well-defined prediction of the expected average flux of cosmic rays. However, the stochastic nature of sources may play a relevant role in several cases, depending on the type of particle and on the energy range. For instance, high-energy leptons may be highly sensitive to this aspect, especially at energies at which the characteristic time and length scales associated with their momentum losses and spatial diffusion become comparable with the mean spatial and time distance between two different CR injection episodes. An important question is therefore to assess the expected variance of the CR flux, and a useful technique to attack this question is a Monte Carlo simulation. In this approach, many stochastic realisations are considered. In each of them, a random set of acceleration events in considered, and the CR flux from each event is typically evaluated by means of an analytic formula and added up. Some relevant examples of works based on this technique are [191,192,193,194]. The observables that are investigated are the fluctuations of the CR spectrum and normalization, anisotropy, and chemical composition (especially around the knee).
3. Gamma-Ray Emission from the Local Interstellar Medium: The Rosetta Stone of Cosmic-Ray Astrophysics
3.1. The Emissivity of Atomic Hydrogen
3.2. Molecular Clouds and Their Spectra
- The column densities of molecular gas are traced only indirectly, most often via the CO lines or dust thermal emission. On one hand, the ratio is empirically observed to vary by a factor of ∼2 between different local clouds depending on their diffuseness [202]. Furthermore, based on numerical simulations is expected to vary significantly within individual clouds between the inner part that is more self-shielded and the outskirts where CO is more easily photodissociated by UV photons [219]. On the other hand, based on gamma-ray and multi-wavelength data the conversion factor from dust thermal emission to gas column density is now well-established to vary by a factor of ∼3 from the low-column densities in atomic gas to cold and dense gas in molecular cloud cores probably owing to evolution of the dust grain properties (chemical composition due to irradiation and structure due to irradiation itself, but also mantle accretion, coagulation, and ice coating) [77,202]. Therefore, uncertainties of a factor of a few affect the estimates of the absolute level of CR densities from gamma-ray emission of molecular gas, which appears better suited to probe the spectral shape of CRs.
- Two different kinds of physical phenomena can affect the spectrum of the CR populations around molecular clouds so that it is no more representative of the large-scale population. On one hand, molecular gas is associated with star formation, which in turns triggers all the phenomena expected to accelerate particles efficiently. Therefore, freshly accelerated particles can be observed in this environment (see Section 5). In the literature molecular clouds free from the influence of nearby accelerators are often referred to as passive clouds, but establishing which clouds belong to this category observationally is challenging. On the other hand, several effects may alter the propagation of CRs in molecular clouds in an energy-dependent fashion. Increased ionisation losses were the first mechanism considered historically that could suppress CR densities below 300 MeV kinetic energies [220], but nowadays they are not considered by themselves the most important effect. Streaming instabilities driven by CR pressure gradients can alter the CR transport regime from diffusive to advective and so suppress the CR pressure by ≲10% at GeV energies [221]. The peculiar magnetic field configuration in molecular clouds via magnetic mirroring coupled with energy losses can lower the CR densities by a factor 2–3 in molecular cores in the MeV energy range, while CR enhancements due to magnetic focussing appear a less important effect [222]. Damping of magnetic turbulence by ion-neutral friction coupled again with energy losses can reduce the CR fluxes below 100 MeV kinetic energies, especially for electrons [102]. We note that all propagation effects mainly affect CRs at energies <1 GeV, for which constraints from gamma-ray observations are looser.
4. Large-Scale Interstellar Gamma-rAy Emission: Tracing Cosmic Rays throughout Galaxies
4.1. Cosmic-Ray Distributions through the Disks of Galaxies
4.1.1. The Milky Way
4.1.2. Implications of the Gradient Problem and Inner-Galaxy Hardening
4.1.3. Local-Group Galaxies
4.2. Cosmic-Ray Distributions through the Halos of Galaxies
4.3. New Frontiers: Residual Gamma-Ray Emission
5. Gamma-Ray Emission in the Vicinity of Sources: The Early Steps of a Long Journey for Cosmic Rays
5.1. Physical Problem
5.2. Emission beyond the Shock in Supernova Remnants
5.3. Emission around Pulsars and Their Nebulae
5.4. Emission Coincident with Star-Forming Regions
6. The Population of Gamma-Ray Emitting Galaxies: Different Realisations of the Cosmic-Ray Phenomenon
- it allows an investigation of the physics behind CR acceleration and transport in a wide variety of conditions that differ markedly from those typical of the Milky Way (ISM gas structure and densities, radiation and magnetic field intensities, role of strong galactic winds,...), thus providing a good test bed for our current understanding of CR physics;
- it is needed to pinpoint the actual integrated contribution of star-forming galaxies to various extragalactic backgrounds, especially the gamma-ray background detected in the energy interval 0.1-820 GeV with the Fermi-LAT, and the diffuse astrophysical neutrino background observed in the energy interval 10 TeV-10 PeV with IceCube;
- it offers a probe of feedback processes in galaxy evolution, because CRs can play an active role in mediating this feedback (e.g., by driving gas-loaded winds and outflows off the Galactic disk, thus removing material for star formation, or by ionizing molecular gas, hence altering the conditions for it to take place), or simply because CR interactions can provide information on the ongoing processes affecting the matter cycle in galaxies.
6.1. A Growing Source Class: The Gamma-Infrared Luminosity Correlation and Its Implications
6.2. How Do Cosmic-Ray Transport Properties Vary with Galactic Environment?
- Energy losses: what are the properties of the various ISM components with which CRs interact (gas, radiation, and magnetic fields)? What is the actual gas structure in terms of gas phase and relative volume filling factor? Do CRs experience large-scale volume-averaged ISM conditions or are they confined to specific phases?
- Diffusion: what is the nature of externally driven turbulence in extreme environments such as the cores of SBGs (strength, injection, and cutoff scales)? How will the self-generation of turbulence by CRs proceed in potentially very dense and weakly ionized media? If CR transport can be approximated by diffusion, what is its the form of the diffusion coefficient, its normalization and momentum dependence?
- Advection: what is the exact role of advection in CR transport in those galaxies where large-scale winds are observed or expected? What is the structure of the wind and how is it connected to the Galactic disk? In particular, is it fast and distributed enough at its base to significantly affect CRs in the disk?
7. Summary and Perspectives
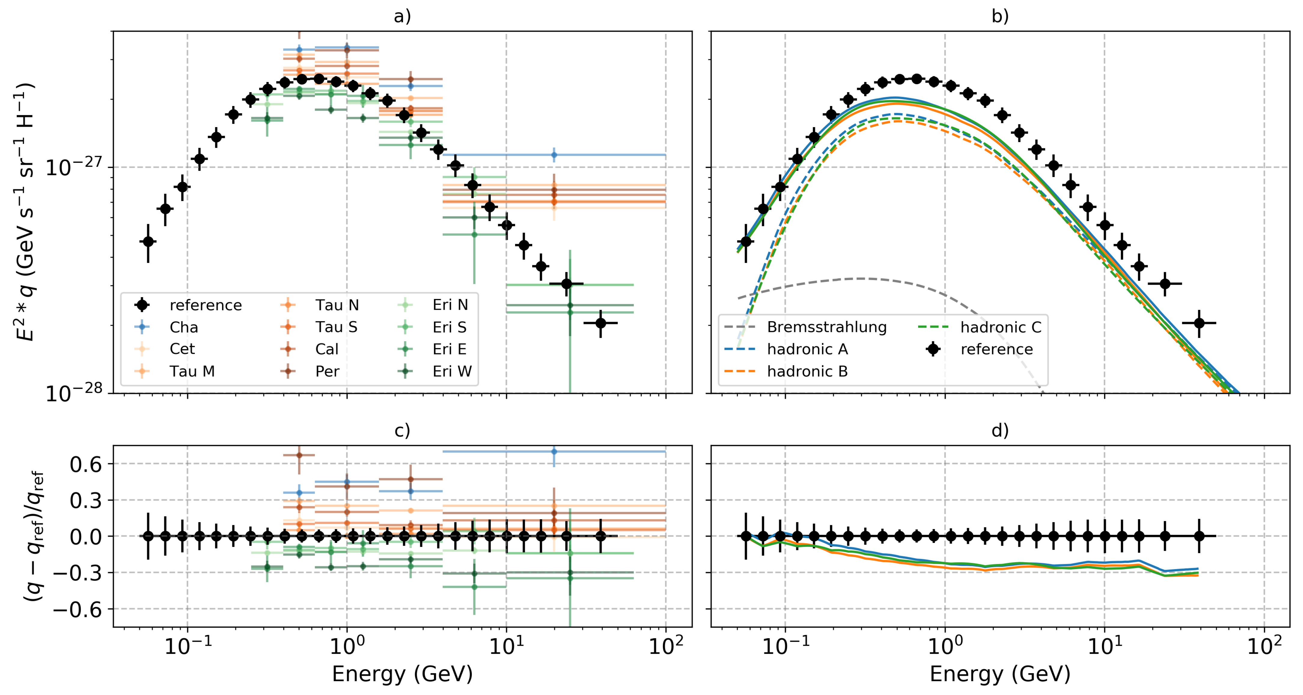
- Gamma-ray emission from the local interstellar medium (Section 3) as seen by the Fermi LAT shows an overall consistency with direct CR measurements. However, a few hints of deviations are arising: fluctuations ≲25% in the emissivity of atomic hydrogen between different regions within 1 kpc from the Sun; an excess of ∼20–30% in the average emissivity of atomic hydrogen above 10 GeV; possible spectral deviations in a few molecular clouds. In order to definitely establish whether those deviations are related to CR injection and transport or to observational biases we need to improve our understanding of interstellar medium tracers and hadronic gamma-ray production cross sections. Complementary results are expected in the near future in the TeV energy range.
- The large-scale distribution of CR nuclei throughout the Milky Way disk (Section 4.1.1) as inferred from Fermi-LAT data shows a decline milder than expected toward the outer Galaxy and an increase by a factor of 1.5–3 in the inner Galaxy accompanied by a spectral hardening. Although alternative explanations, such as a contribution larger than currently believed of unresolved gamma-ray sources to diffuse emission, are still not completely ruled out, these trends may have deep implications for the physics of particle transport in the Galaxy (Section 4.1.2). Competing explanations include non-homogeneous diffusion related to turbulence generation around CR accelerators, the difference scaling with energy of parallel and perpendicular diffusion coupled with the peculiar structure of the galactic magnetic field, and non-linear transport due to CR-driven instabilities. With the first detections of galactic diffuse emission by current experiments, very-high-energy telescopes are one step away from helping with clarifying this puzzle.
- The large-scale distribution of CR electrons throughout the Milky Way disk (Section 4.1.1) is less constrained by existing observations. However, it is now established thanks to INTEGRAL SPI that there is a diffuse gamma-ray emission above 60 keV consistent with a dominant IC origin, and which suggests abundances of secondary CR electrons and positrons in the inner Galaxy larger than what is observed locally. Improved measurements in the MeV and TeV domains, along with multi-wavelength data, are key to improve our understanding of CR electrons.
- Spatially resolved gamma-ray observations of the closest external galaxies (Section 4.1.3), namely the LMC, SMC, and M31, reveal a varied picture at GeV energies. Large-scale CR density variations of a factor 2–3 similar to those found in the Milky Way appear in the LMC, but with 50% of the emission at 10 GeV contributed by extended components of a nature yet to be understood. Extended emission from the SMC lacks remarkable correlation with gas densities and star-formation sites, while in M31 gamma-ray emission is concentrated in innermost 5 kpc, possibly due to the larger concentration of an old stellar population in the bulge. These studies have so far been limited to the GeV range, and the topic has hardly been explored observationally in the TeV range.
- The Fermi LAT has enabled for the first time to image the CR diffusion halo in the Milky Way, and perhaps in M31 (Section 4.2). For the Milky Way observations of gas clouds at large distances from the disk show a marked decline of CR densities at heights above 2 kpc, while it is unclear if large fluctuations found between different clouds at lower altitudes are related to the large-scale vertical gradient of CRs or peculiar transport conditions. These observations complement and inform ongoing theoretical efforts to establish the physical origin of the CR diffusive halo in terms of plasma waves self-excited by the CR streaming instability possibly combined with turbulence advected from the Galactic disk.
- Standard implementations of CR propagation models for the Milky Way show an overall agreement with observations, but extended residual emission as large as 30% appears all over the sky in Fermi-LAT observations (Section 4.3). Possible explanations include contributions from populations of sub-threshold sources and an incomplete/imperfect census of target gas and radiation fields for gamma-ray production, but part of these residuals probably calls for refinements of the models, such as including a more realistic description of CR sources (e.g., time-dependent particle injection, detailed spatial distribution, including more classes of sources in addition to SNRs) and accounting for a variety of different aspects of transport (e.g., localized confinement in the vicinity of sources, role of galactic winds and outflows).
- GeV and TeV gamma-ray observations have been unveiling CR propagation in the vicinity of sources (Section 5) as a field rich in phenomenology, connecting acceleration at the sources and interstellar transport in the non-linear regime. This has the potential to give rise to emission structures and specific populations of gamma-ray sources on various scales. Gamma-ray emission around SNRs can be interpreted in a variety of scenarios: particles just detaching from the shock, escaping particles illuminating nearby clouds, and the reacceleration of old CRs trapped in shocked clouds. Gamma-ray halos surrounding old pulsars are a brand new class of emitters, governed by physics still largely to be understood, and whose long lifetimes may translate into a numerous population yet to be uncovered. Long-suspected gamma-ray emission in the direction of SFRs was finally detected, but without consensus yet on the processes that shape particle acceleration and transport in these environments, and whether they play a distinctive role if the CR life cycle. For most of these cases, theory and observations currently seem to point towards a suppression of the CR diffusion coefficient by one/two order of magnitudes around sources with respect to typical interstellar values, the implications of which deserve further investigation. A robust characterization of CRs in the vicinity of sources needs to go hand-in-hand with the characterization of large-scale interstellar emission and requires an extensive multi-wavelength approach.
- A dozen star-forming galaxies are detected at GeV energies, and two at TeV energies (Section 6). The data reveal a mildly non-linear correlation with a significance close to 5 between GeV and infrared luminosity. The correlation is driven by massive-star formation, which is at the origin of strong UV/optical light and CRs that, upon interaction with the ISM, power infrared and gamma-ray emission, respectively. The non-linear relation between the two is interpreted as resulting from an increasing CR calorimetric efficiency for galaxies with larger gas and radiation content. As a population, star-forming galaxies are estimated to contribute ∼10% of the extragalactic gamma-ray background, which extrapolates to only ∼1% of the TeV–PeV astrophysical neutrino flux. Several avenues are explored to model CR transport and interactions in a variety of galactic environments, but it is fair to say that our understanding of the CR life cycle still lacks extensive testing for other galaxies.
Author Contributions
Funding
Acknowledgments
Conflicts of Interest
Abbreviations
| CDS | Centre de Données astronomiques de Strasbourg |
| CR | cosmic ray |
| GC | Galactic centre |
| HE | high energy |
| IC | inverse Compton |
| ISM | interstellar medium |
| LAT | Large Area Telescope |
| LIS | local interstellar spectrum |
| LMC | Large Magellanic Cloud |
| PSF | point spread function |
| PWN | pulsar wind nebula |
| SBG | starbust galaxy |
| SFG | star-forming galaxy |
| SFR | star-forming region |
| SMC | Small Magellanic Cloud |
| SNR | supernova remnant |
| VHE | very-high energy |
References
- Ginzburg, V.L.; Syrovatskii, S.I. The Origin of Cosmic Rays; Elsevier: Amsterdam, The Netherlands, 1964. [Google Scholar]
- Gabici, S.; Evoli, C.; Gaggero, D.; Lipari, P.; Mertsch, P.; Orlando, E.; Strong, A.; Vittino, A. The origin of Galactic cosmic rays: Challenges to the standard paradigm. Int. J. Mod. Phys. D 2019, 28, 1930022. [Google Scholar] [CrossRef]
- Padovani, M.; Ivlev, A.V.; Galli, D.; Offner, S.S.R.; Indriolo, N.; Rodgers-Lee, D.; Marcowith, A.; Girichidis, P.; Bykov, A.M.; Diederik Kruijssen, J.M. Impact of Low-Energy Cosmic Rays on Star Formation. Space Sci. Rev. 2020, 216, 29. [Google Scholar] [CrossRef]
- Chan, T.K.; Kereš, D.; Hopkins, P.F.; Quataert, E.; Su, K.-Y.; Hayward, C.C.; Faucher-Giguère, C.-A. Cosmic ray feedback in the FIRE simulations: Constraining cosmic ray propagation with GeV γ-ray emission. Mon. Not. R. Astron. Soc. 2019, 488, 3716–3744. [Google Scholar] [CrossRef]
- Buck, T.; Pfrommer, C.; Pakmor, R.; Grand, R.J.J.; Springel, V. The effects of cosmic rays on the formation of Milky Way-mass galaxies in a cosmological context. Mon. Not. R. Astron. Soc. 2020, 497, 1712–1737. [Google Scholar] [CrossRef]
- Hopkins, P.F.; Chan, T.K.; Squire, J.; Quataert, E.; Ji, S.; Kereš, D.; Faucher-Giguère, C.-A. Effects of different cosmic ray transport models on galaxy formation. Mon. Not. R. Astron. Soc. 2021, 501, 3663–3669. [Google Scholar] [CrossRef]
- Globus, N.; Blandford, R.D. The Chiral Puzzle of Life. Astrophys. J. Lett. 2020, 895, L11. [Google Scholar] [CrossRef]
- Hayakawa, S. Propagation of the Cosmic Radiation through Interstellar Space. Prog. Theor. Phys. 1952, 8, 571–572. [Google Scholar] [CrossRef]
- Clark, G.W.; Garmire, G.P.; Kraushaar, W.L. Observation of High-Energy Cosmic Gamma Rays. Astrophys. J. Lett. 1968, 153, L203. [Google Scholar] [CrossRef]
- Fichtel, C.E.; Simpson, G.A.; Thompson, D.J. Diffuse gamma radiation. Astrophys. J. 1978, 222, 833–849. [Google Scholar] [CrossRef]
- Bloemen, H. Diffuse galactic gamma-ray emission. Annu. Rev. Astron. Astrophys. 1989, 27, 469–516. [Google Scholar] [CrossRef]
- Sreekumar, P.; Bertsch, D.L.; Dingus, B.L.; Fichtel, C.E.; Hartman, R.C.; Hunter, S.D.; Kanbach, G.; Kniffen, D.A.; Lin, Y.C.; Mattox, J.R.; et al. Observations of the Large Magellanic Cloud in High-Energy Gamma Rays. Astrophys. J. Lett. 1992, 400, L67. [Google Scholar] [CrossRef]
- Sreekumar, P.; Bertsch, D.L.; Dingus, B.L.; Fichtel, C.E.; Hartman, R.C.; Hunter, S.D.; Kanbach, G.; Kniffen, D.A.; Lin, Y.C.; Mattox, J.R.; et al. Constraints on the cosmic rays in the Small Magellanic Cloud. Phys. Rev. Lett. 1993, 70, 127–129. [Google Scholar] [CrossRef]
- Ginzburg, V.L. Reviews of Topical Problems: Gamma Astronomy and Cosmic Rays. Sov. Phys. Uspekhi 1973, 15, 626–631. [Google Scholar] [CrossRef]
- Strong, A.W.; Moskalenko, I.V.; Ptuskin, V.S. Cosmic-ray propagation and interactions in the Galaxy. Ann. Rev. Nucl. Part. Sci. 2007, 57, 285–327. [Google Scholar] [CrossRef]
- Grenier, I.A.; Black, J.H.; Strong, A.W. The Nine Lives of Cosmic Rays in Galaxies. Annu. Rev. Astron. Astrophys. 2015, 53, 199–246. [Google Scholar] [CrossRef]
- Cristofari, P. TBD. In Universe, to be Printed in this Special Issue; 2021; to be published. [Google Scholar]
- Potgieter, M.S. Cosmic Rays in the Inner Heliosphere: Insights from Observations, Theory and Models. Space Sci. Rev. 2013, 176, 165–176. [Google Scholar] [CrossRef]
- Atwood, W.B.; Abdo, A.A.; Ackermann, M.; Althouse, W.; Anderson, B.; Axelsson, M.; Baldini, L.; Ballet, J.; Band, D.L.; Barbiellini, G.; et al. The Large Area Telescope on the Fermi Gamma-Ray Space Telescope Mission. Astrophys. J. 2009, 697, 1071–1102. [Google Scholar] [CrossRef]
- Vedrenne, G.; Jean, P.; Kandel, B.; Albernhe, F.; Borrel, V.; Mandrou, P.; Roques, J.P.; von Ballmoos, P.; Durouchoux, P.; Cordier, B.; et al. The SPI Spectrometer for the INTEGRAL Mission. Phys. Scr. Vol. T 1998, 77, 35. [Google Scholar] [CrossRef]
- Malizia, A.; Fiocchi, M.; Natalucci, L.; Sguera, V.; Stephen, J.B.; Bassani, L.; Bazzano, A.; Ubertini, P.; Pian, E.; Bird, A.J. INTEGRAL view of TeV sources: A legacy for the CTA project. arXiv 2021, arXiv:2105.00983. To be Printed in this Special Issue. Available online: https://arxiv.org/abs/2105.00983 (accessed on 7 May 2021).
- Schoenfelder, V.; Aarts, H.; Bennett, K.; de Boer, H.; Clear, J.; Collmar, W.; Connors, A.; Deerenberg, A.; Diehl, R.; von Dordrecht, A.; et al. Instrument Description and Performance of the Imaging Gamma-Ray Telescope COMPTEL aboard the Compton Gamma-Ray Observatory. Astrophys. J. Suppl. Ser. 1993, 86, 657. [Google Scholar] [CrossRef]
- Knödlseder, J. The future of gamma-ray astronomy. Comptes Rendus Phys. 2016, 17, 663–678. [Google Scholar] [CrossRef]
- De Angelis, A.; Tatischeff, V.; Tavani, M.; Oberlack, U.; Grenier, I.; Hanlon, L.; Walter, R.; Argan, A.; von Ballmoos, P.; Bulgarelli, A.; et al. The e-ASTROGAM mission. Exploring the extreme Universe with gamma rays in the MeV—GeV range. Exp. Astron. 2017, 44, 25–82. [Google Scholar] [CrossRef]
- McEnery, J.; van der Horst, A.; Dominguez, A.; Moiseev, A.; Marcowith, A.; Harding, A.; Lien, A.; Giuliani, A.; Inglis, A.; Ansoldi, S.; et al. All-sky Medium Energy Gamma-ray Observatory: Exploring the Extreme Multimessenger Universe. Bull. Am. Astron. Soc. 2019, 51, 245. [Google Scholar]
- De Angelis, A.; Tatischeff, V.; Argan, A.; Brandt, S.; Bulgarelli, A.; Bykov, A.; Costantini, E.; da Silva, R.C.; Grenier, I.A.; Hanlon, L.; et al. Gamma-ray Astrophysics in the MeV Range: The ASTROGAM Concept and Beyond. arXiv 2021, arXiv:2102.02460. [Google Scholar]
- Sasaki, M.; Gecco Team. Galactic Explorer with a Coded Aperture Mask Compton Telescope (gecco). In American Astronomical Society Meeting Abstracts; American Astronomical Society: Washington, DC, USA, 2021; Volume 53, p. 132.02. [Google Scholar]
- Mirzoyan, R. Technological and instrumental advances in ground-based gamma-ray astronomy. In Universe, to be Printed in this Special Issue; 2021; to be published. [Google Scholar]
- De Naurois, M.; Mazin, D. Ground-based detectors in very-high-energy gamma-ray astronomy. Comptes Rendus Phys. 2015, 16, 610–627. [Google Scholar] [CrossRef]
- Aharonian, F.; Akhperjanian, A.G.; Bazer-Bachi, A.R.; Beilicke, M.; Benbow, W.; Berge, D.; Bernlöhr, K.; Boisson, C.; Bolz, O.; Borrel, V.; et al. Discovery of very-high-energy γ-rays from the Galactic Centre ridge. Nature 2006, 439, 695–698. [Google Scholar] [CrossRef] [PubMed]
- Abramowski, A.; et al. [H.E.S.S. Collaboration] Diffuse Galactic gamma-ray emission with H.E.S.S. Phys. Rev. D 2014, 90, 122007. [Google Scholar] [CrossRef]
- Actis, M.; et al. [The CTA Consortium] Design concepts for the Cherenkov Telescope Array CTA: An advanced facility for ground-based high-energy gamma-ray astronomy. Exp. Astron. 2011, 32, 193–316. [Google Scholar] [CrossRef]
- Acharya, B.S.; et al. [Cherenkov Telescope Array Consortium] Science with the Cherenkov Telescope Array; World Scientific Publishing: Singapore, 2019. [Google Scholar] [CrossRef]
- Abdo, A.A.; Allen, B.T.; Atkins, R.; Aune, T.; Benbow, W.; Berley, D.; Blaufuss, E.; Bonamente, E.; Bussons, J.; Chen, C.; et al. Observation and Spectral Measurements of the Crab Nebula with Milagro. Astrophys. J. 2012, 750, 63. [Google Scholar] [CrossRef]
- Abeysekara, A.U.; Albert, A.; Alfaro, R.; Alvarez, C.; Álvarez, J.D.; Arceo, R.; Arteaga-Velázquez, J.C.; Ayala Solares, H.A.; Barber, A.S.; Bautista-Elivar, N.; et al. Observation of the Crab Nebula with the HAWC Gamma-Ray Observatory. Astrophys. J. 2017, 843, 39. [Google Scholar] [CrossRef]
- Amenomori, M.; Ayabe, S.; Cao, P.Y.; Danzengluobu; Ding, L.K.; Feng, Z.Y.; Fu, Y.; Guo, H.W.; He, M.; Hibino, K.; et al. Observation of Multi-TEV Gamma Rays from the Crab Nebula using the Tibet Air Shower Array. Astrophys. J. Lett. 1999, 525, L93–L96. [Google Scholar] [CrossRef] [PubMed]
- Aielli, G.; Assiro, R.; Bacci, C.; Bartoli, B.; Bernardini, P.; Bi, X.J.; Biondo, B.; Bleve, C.; Bricola, S.; Budano, F.; et al. Layout and performance of RPCs used in the Argo-YBJ experiment. Nucl. Instrum. Methods Phys. Res. A 2006, 562, 92–96. [Google Scholar] [CrossRef]
- Zhen, C.; et al. [the LHAASO collaboration] Introduction to Large High Altitude Air Shower Observatory (LHAASO). Chin. Astron. Astrophys. 2019, 43, 457–478. [Google Scholar] [CrossRef]
- Albert, A.; Alfaro, R.; Ashkar, H.; Alvarez, C.; Álvarez, J.; Arteaga-Velázquez, J.C.; Ayala Solares, H.A.; Arceo, R.; Bellido, J.A.; BenZvi, S.; et al. Science Case for a Wide Field-of-View Very-High-Energy Gamma-Ray Observatory in the Southern Hemisphere. arXiv 2019, arXiv:1902.08429. [Google Scholar]
- Abdalla, H.; et al. [H. E. S. S. Collaboration] The H.E.S.S. Galactic plane survey. Astron. Astrophys. 2018, 612, A1. [Google Scholar] [CrossRef]
- Albert, A.; Alfaro, R.; Alvarez, C.; Angeles Camacho, J.R.; Arteaga-Velázquez, J.C.; Arunbabu, K.P.; Avila Rojas, D.; Ayala Solares, H.A.; Baghmanyan, V.; Belmont-Moreno, E.; et al. 3HWC: The Third HAWC Catalog of Very-high-energy Gamma-Ray Sources. Astrophys. J. 2020, 905, 76. [Google Scholar] [CrossRef]
- Berge, D.; Funk, S.; Hinton, J. Background modelling in very-high-energy γ-ray astronomy. Astron. Astrophys. 2007, 466, 1219–1229. [Google Scholar] [CrossRef]
- Jardin-Blicq, A.; Marandon, V.; Brun, F. A complementary view of the galactic plane in TeV gamma rays by HAWC and H.E.S.S. In Proceedings of the 36th International Cosmic Ray Conference (ICRC2019), Madison, WI, USA, 24 July–1 August 2019; Volume 36, p. 706. [Google Scholar]
- Vovk, I.; Strzys, M.; Fruck, C. Spatial likelihood analysis for MAGIC telescope data. From instrument response modelling to spectral extraction. Astron. Astrophys. 2018, 619, A7. [Google Scholar] [CrossRef]
- Knödlseder, J.; Tibaldo, L.; Tiziani, D.; Specovius, A.; Cardenzana, J.; Mayer, M.; Kelley-Hoskins, N.; Di Venere, L.; Bonnefoy, S.; Ziegler, A.; et al. Analysis of the H.E.S.S. public data release with ctools. Astron. Astrophys. 2019, 632, A102. [Google Scholar] [CrossRef]
- Mohrmann, L.; Specovius, A.; Tiziani, D.; Funk, S.; Malyshev, D.; Nakashima, K.; van Eldik, C. Validation of open-source science tools and background model construction in γ-ray astronomy. Astron. Astrophys. 2019, 632, A72. [Google Scholar] [CrossRef]
- Holler, M.; Lenain, J.P.; de Naurois, M.; Rauth, R.; Sanchez, D.A. A run-wise simulation and analysis framework for Imaging Atmospheric Cherenkov Telescope arrays. Astropart. Phys. 2020, 123, 102491. [Google Scholar] [CrossRef]
- Atkins, R.; Benbow, W.; Berley, D.; Blaufuss, E.; Bussons, J.; Coyne, D.G.; Delay, R.S.; DeYoung, T.; Dingus, B.L.; Dorfan, D.E.; et al. Observation of TeV Gamma Rays from the Crab Nebula with Milagro Using a New Background Rejection Technique. Astrophys. J. 2003, 595, 803–811. [Google Scholar] [CrossRef]
- Aguilar, M.; et al. [AMS Collaboration] Precision Measurement of the Proton Flux in Primary Cosmic Rays from Rigidity 1 GV to 1.8 TV with the Alpha Magnetic Spectrometer on the International Space Station. Phys. Rev. Lett. 2015, 114, 171103. [Google Scholar] [CrossRef]
- Aguilar, M.; et al. [AMS Collaboration] Precision Measurement of the Helium Flux in Primary Cosmic Rays of Rigidities 1.9 GV to 3 TV with the Alpha Magnetic Spectrometer on the International Space Station. Phys. Rev. Lett. 2015, 115, 211101. [Google Scholar] [CrossRef]
- Aguilar, M.; et al. [AMS Collaboration] Properties of Iron Primary Cosmic Rays: Results from the Alpha Magnetic Spectrometer. Phys. Rev. Lett. 2021, 126, 041104. [Google Scholar] [CrossRef] [PubMed]
- Aguilar, M.; et al. [AMS Collaboration] Properties of Heavy Secondary Fluorine Cosmic Rays: Results from the Alpha Magnetic Spectrometer. Phys. Rev. Lett. 2021, 126, 081102. [Google Scholar] [CrossRef]
- Aguilar, M.; et al. [AMS Collaboration] Properties of Neon, Magnesium, and Silicon Primary Cosmic Rays Results from the Alpha Magnetic Spectrometer. Phys. Rev. Lett. 2020, 124, 211102. [Google Scholar] [CrossRef]
- Aguilar, M.; et al. [AMS Collaboration] Electron and Positron Fluxes in Primary Cosmic Rays Measured with the Alpha Magnetic Spectrometer on the International Space Station. Phys. Rev. Lett. 2014, 113, 121102. [Google Scholar] [CrossRef]
- Aguilar, M.; et al. [AMS Collaboration] Observation of New Properties of Secondary Cosmic Rays Lithium, Beryllium, and Boron by the Alpha Magnetic Spectrometer on the International Space Station. Phys. Rev. Lett. 2018, 120, 021101. [Google Scholar] [CrossRef]
- Murphy, R.P.; Sasaki, M.; Binns, W.R.; Brandt, T.J.; Hams, T.; Israel, M.H.; Labrador, A.W.; Link, J.T.; Mewaldt, R.A.; Mitchell, J.W.; et al. Galactic Cosmic Ray Origins and OB Associations: Evidence from SuperTIGER Observations of Elements 26Fe through 40Zr. Astrophys. J. 2016, 831, 148. [Google Scholar] [CrossRef]
- Cummings, A.C.; Stone, E.C.; Heikkila, B.C.; Lal, N.; Webber, W.R.; Jóhannesson, G.; Moskalenko, I.V.; Orlando, E.; Porter, T.A. Galactic Cosmic Rays in the Local Interstellar Medium: Voyager 1 Observations and Model Results. Astrophys. J. 2016, 831, 18. [Google Scholar] [CrossRef]
- An, Q.; et al. [DAMPE collaboration] Measurement of the cosmic-ray proton spectrum from 40 GeV to 100 TeV with the DAMPE satellite. Sci. Adv. 2019, 5, eaax3793. [Google Scholar] [CrossRef]
- Panov, A.D.; Adams, J.H., Jr.; Ahn, H.S.; Bashinzhagyan, G.L.; Watts, J.W.; Wefel, J.P.; Wu, J.; Ganel, O.; Guzik, T.G.; Zatsepin, V.I.; et al. Energy Spectra of Abundant Nuclei of Primary Cosmic Rays from the Data of ATIC-2 Experiment: Final Results. Bull. Russ. Acad. Sci. Phys. 2009, 73, 564–567. [Google Scholar] [CrossRef]
- Atkin, E.; Bulatov, V.; Dorokhov, V.; Gorbunov, N.; Filippov, S.; Grebenyuk, V.; Karmanov, D.; Kovalev, I.; Kudryashov, I.; Kurganov, A.; et al. New Universal Cosmic-Ray Knee near a Magnetic Rigidity of 10 TV with the NUCLEON Space Observatory. JETP Lett. 2018, 108, 5–12. [Google Scholar] [CrossRef]
- Aharonian, F.; et al. [H.E.S.S. Collaboration] Probing the ATIC peak in the cosmic-ray electron spectrum with H.E.S.S. Astron. Astrophys. 2009, 508, 561. [Google Scholar] [CrossRef]
- Kerszberg, D. The cosmic-ray electron spectrum measured with H.E.S.S. In Proceedings of the International Cosmic Ray Conference (CRI215), Busan, Korea, 10–20 July 2017. [Google Scholar]
- Adriani, O.; Akaike, Y.; Asano, K.; Asaoka, Y.; Bagliesi, M.G.; Berti, E.; Bigongiari, G.; Binns, W.R.; Bonechi, S.; Bongi, M.; et al. Extended Measurement of the Cosmic-Ray Electron and Positron Spectrum from 11 GeV to 4.8 TeV with the Calorimetric Electron Telescope on the International Space Station. Phys. Rev. Lett. 2018, 120, 261102. [Google Scholar] [CrossRef] [PubMed]
- Ambrosi, G.; et al. [DAMPE Collaboration] Direct detection of a break in the teraelectronvolt cosmic-ray spectrum of electrons and positrons. Nature 2017, 552, 63–66. [Google Scholar] [CrossRef]
- Ben Bekhti, N.; et al. [HI4PI Collaboration] HI4PI: A full-sky H I survey based on EBHIS and GASS. Astron. Astrophys. 2016, 594, A116. [Google Scholar] [CrossRef]
- Peek, J.E.G.; Babler, B.L.; Zheng, Y.; Clark, S.E.; Douglas, K.A.; Korpela, E.J.; Putman, M.E.; Stanimirović, S.; Gibson, S.J.; Heiles, C. The GALFA-H I Survey Data Release 2. Astrophys. J. Suppl. Ser. 2018, 234, 2. [Google Scholar] [CrossRef]
- Dame, T.M.; Hartmann, D.; Thaddeus, P. The Milky Way in Molecular Clouds: A New Complete CO Survey. Astrophys. J. 2001, 547, 792–813. [Google Scholar] [CrossRef]
- Furukawa, N.; Ohama, A.; Fukuda, T.; Torii, K.; Hayakawa, T.; Sano, H.; Okuda, T.; Yamamoto, H.; Moribe, N.; Mizuno, A.; et al. The Jet and Arc Molecular Clouds toward Westerlund 2, RCW 49, and HESS J1023-575 12CO and 13CO (J = 2–1 and J = 1–0) observations with NANTEN2 and Mopra Telescope. Astrophys. J. 2014, 781, 70. [Google Scholar] [CrossRef]
- Braiding, C.; Wong, G.F.; Maxted, N.I.; Romano, D.; Burton, M.G.; Blackwell, R.; Filipović, M.D.; Freeman, M.S.R.; Indermuehle, B.; Lau, J.; et al. The Mopra Southern Galactic Plane CO Survey—Data Release 3. Publ. Astron. Soc. Aust. 2018, 35, e029. [Google Scholar] [CrossRef]
- Bolatto, A.D.; Wolfire, M.; Leroy, A.K. The CO-to-H2 Conversion Factor. Annu. Rev. Astron. Astrophys. 2013, 51, 207–268. [Google Scholar] [CrossRef]
- Sodroski, T.J.; Odegard, N.; Arendt, R.G.; Dwek, E.; Weiland, J.L.; Hauser, M.G.; Kelsall, T. A Three-dimensional Decomposition of the Infrared Emission from Dust in the Milky Way. Astrophys. J. 1997, 480, 173–187. [Google Scholar] [CrossRef]
- Cordes, J.M.; Lazio, T.J.W. NE2001. II. Using Radio Propagation Data to Construct a Model for the Galactic Distribution of Free Electrons. arXiv 2003, arXiv:astro–ph/0301598. [Google Scholar]
- Alves, M.I.R.; Calabretta, M.; Davies, R.D.; Dickinson, C.; Staveley-Smith, L.; Davis, R.J.; Chen, T.; Barr, A. The HIPASS survey of the Galactic plane in radio recombination lines. Mon. Not. R. Astron. Soc. 2015, 450, 2025–2042. [Google Scholar] [CrossRef]
- Akrami, Y.; et al. [Planck Collaboration] Planck 2018 results. IV. Diffuse component separation. Astron. Astrophys. 2020, 641, A4. [Google Scholar] [CrossRef]
- Green, G.M.; Schlafly, E.; Zucker, C.; Speagle, J.S.; Finkbeiner, D. A 3D Dust Map Based on Gaia, Pan-STARRS 1, and 2MASS. Astrophys. J. 2019, 887, 93. [Google Scholar] [CrossRef]
- Lallement, R.; Babusiaux, C.; Vergely, J.L.; Katz, D.; Arenou, F.; Valette, B.; Hottier, C.; Capitanio, L. Gaia-2MASS 3D maps of Galactic interstellar dust within 3 kpc. Astron. Astrophys. 2019, 625, A135. [Google Scholar] [CrossRef]
- Remy, Q.; Grenier, I.A.; Marshall, D.J.; Casandjian, J.M. Cosmic-rays, gas, and dust in nearby anti-centre clouds. III. Dust extinction, emission, and grain properties. Astron. Astrophys. 2018, 616, A71. [Google Scholar] [CrossRef]
- Balashev, S.A.; Noterdaeme, P.; Rahmani, H.; Klimenko, V.V.; Ledoux, C.; Petitjean, P.; Srianand, R.; Ivanchik, A.V.; Varshalovich, D.A. CO-dark molecular gas at high redshift: Very large H2 content and high pressure in a low-metallicity damped Lyman alpha system. Mon. Not. R. Astron. Soc. 2017, 470, 2890–2910. [Google Scholar] [CrossRef]
- Engelke, P.D.; Allen, R.J. OH as an Alternate Tracer for Molecular Gas: Quantity and Structure of Molecular Gas in W5. Astrophys. J. 2019, 874, 49. [Google Scholar] [CrossRef]
- Engelke, P.D.; Allen, R.J.; Busch, M.P. Star-forming versus Quiescent Regions in the Galaxy: A Case Study of ISM Properties Based on 18 cm OH and 12CO (1-0) Observations. Astrophys. J. 2020, 901, 50. [Google Scholar] [CrossRef]
- Smith, R.J.; Glover, S.C.O.; Clark, P.C.; Klessen, R.S.; Springel, V. CO-dark gas and molecular filaments in Milky Way-type galaxies. Mon. Not. R. Astron. Soc. 2014, 441, 1628–1645. [Google Scholar] [CrossRef]
- Vernetto, S.; Lipari, P. Absorption of very high energy gamma rays in the Milky Way. Phys. Rev. D 2016, 94, 063009. [Google Scholar] [CrossRef]
- Popescu, C.C.; Yang, R.; Tuffs, R.J.; Natale, G.; Rushton, M.; Aharonian, F. A radiation transfer model for the Milky Way: I. Radiation fields and application to high-energy astrophysics? Mon. Not. R. Astron. Soc. 2017, 470, 2539–2558. [Google Scholar] [CrossRef]
- Porter, T.A.; Jóhannesson, G.; Moskalenko, I.V. High-energy Gamma Rays from the Milky Way: Three-dimensional Spatial Models for the Cosmic-Ray and Radiation Field Densities in the Interstellar Medium. Astrophys. J. 2017, 846, 67. [Google Scholar] [CrossRef]
- Popescu, C.C.; Tuffs, R.J.; Dopita, M.A.; Fischera, J.; Kylafis, N.D.; Madore, B.F. Modelling the spectral energy distribution of galaxies. V. The dust and PAH emission SEDs of disk galaxies. Astron. Astrophys. 2011, 527, A109. [Google Scholar] [CrossRef]
- Paradis, D.; Reach, W.T.; Bernard, J.-P.; Madden, S.; Dobashi, K.; Meixner, M.; Onishi, T.; Kawamura, A.; Fukui, Y. A Statistical Study of Dust Properties in Large Magellanic Cloud Molecular Clouds. Astron. J. 2011, 141, 43. [Google Scholar] [CrossRef]
- Niederwanger, F.; Reimer, O.; Kissmann, R.; Strong, A.W.; Popescu, C.C.; Tuffs, R. The consequence of a new ISRF model of the Milky Way on predictions for diffuse gamma-ray emission. Astropart. Phys. 2019, 107, 1–14. [Google Scholar] [CrossRef]
- Beck, R. Magnetic fields in spiral galaxies. Astron. Astrophys. Rev. 2015, 24, 4. [Google Scholar] [CrossRef]
- Sun, X.-H.; Reich, W. The Galactic halo magnetic field revisited. Res. Astron. Astrophys. 2010, 10, 1287–1297. [Google Scholar] [CrossRef]
- Fauvet, L.; Macías-Pérez, J.F.; Jaffe, T.R.; Banday, A.J.; Désert, F.X.; Santos, D. Expected constraints on the Galactic magnetic field using Planck data. Astron. Astrophys. 2012, 540, A122. [Google Scholar] [CrossRef]
- Jansson, R.; Farrar, G.R. A New Model of the Galactic Magnetic Field. Astrophys. J. 2012, 757, 14. [Google Scholar] [CrossRef]
- Jaffe, T.R.; Ferrière, K.M.; Banday, A.J.; Strong, A.W.; Orlando, E.; Macías-Pérez, J.F.; Fauvet, L.; Combet, C.; Falgarone, E. Comparing polarized synchrotron and thermal dust emission in the Galactic plane. Mon. Not. R. Astron. Soc. 2013, 431, 683–694. [Google Scholar] [CrossRef]
- Orlando, E.; Strong, A. Galactic synchrotron emission with cosmic ray propagation models. Mon. Not. R. Astron. Soc. 2013, 436, 2127–2142. [Google Scholar] [CrossRef]
- Adam, R.; et al. [Planck Collaboration] Planck intermediate results. XLII. Large-scale Galactic magnetic fields. Astron. Astrophys. 2016, 596, A103. [Google Scholar] [CrossRef]
- Ferrière, K. Plasma turbulence in the interstellar medium. Plasma Phys. Control. Fusion 2020, 62, 014014. [Google Scholar] [CrossRef]
- Chepurnov, A.; Lazarian, A. Extending the Big Power Law in the Sky with Turbulence Spectra from Wisconsin Hα Mapper Data. Astrophys. J. 2010, 710, 853–858. [Google Scholar] [CrossRef]
- Orlando, E. Imprints of cosmic rays in multifrequency observations of the interstellar emission. Mon. Not. R. Astron. Soc. 2018, 475, 2724–2742. [Google Scholar] [CrossRef]
- Orlando, E. Implications on spatial models of interstellar gamma-ray inverse-Compton emission from synchrotron emission studies in radio and microwaves. Phys. Rev. D 2019, 99, 043007. [Google Scholar] [CrossRef]
- IceCube Collaboration. Evidence for High-Energy Extraterrestrial Neutrinos at the IceCube Detector. Science 2013, 342, 1242856. [Google Scholar] [CrossRef]
- Albert, A.; André, M.; Anghinolfi, M.; Ardid, M.; Aubert, J.-J.; Aublin, J.; Avgitas, T.; Baret, B.; Barrios-Martí, J.; Basa, S.; et al. Joint Constraints on Galactic Diffuse Neutrino Emission from the ANTARES and IceCube Neutrino Telescopes. Astrophys. J. Lett. 2018, 868, L20. [Google Scholar] [CrossRef]
- Neufeld, D.A.; Wolfire, M.G. The Cosmic-Ray Ionization Rate in the Galactic Disk, as Determined from Observations of Molecular Ions. Astrophys. J. 2017, 845, 163. [Google Scholar] [CrossRef]
- Phan, V.H.M.; Morlino, G.; Gabici, S. What causes the ionization rates observed in diffuse molecular clouds? The role of cosmic ray protons and electrons. Mon. Not. R. Astron. Soc. 2018, 480, 5167–5174. [Google Scholar] [CrossRef]
- Recchia, S.; Phan, V.H.M.; Biswas, S.; Gabici, S. Can a cosmic ray carrot explain the ionization level in diffuse molecular clouds? Mon. Not. R. Astron. Soc. 2019, 485, 2276–2280. [Google Scholar] [CrossRef]
- Shaw, G.; Ferland, G.J. Roll of Polycyclic Aromatic Hydrocarbons on the Cosmic-Ray ionization rate in the Galaxy. arXiv 2021, arXiv:2101.03732. [Google Scholar]
- Tatischeff, V.; Kiener, J. γ-ray lines from cosmic-ray interactions with interstellar dust grains. New Astron. Rev. 2004, 48, 99–103. [Google Scholar] [CrossRef]
- Liu, B.; Yang, R.Z.; Aharonian, F. Nuclear de-excitation lines as a probe of low-energy cosmic rays. arXiv 2021, arXiv:2101.03695. [Google Scholar]
- Orlando, E.; Grenier, I.; Tatischeff, V.; Bykov, A.; Caputo, R.; De Angelis, A.; Kiener, J.; Marcowith, A.; McEnery, J.; Strong, A.; et al. Cosmic Rays and interstellar medium with Gamma-Ray Observations at MeV Energies. arXiv 2019, arXiv:1903.05660. [Google Scholar]
- Brown, A.G.A.; Vallenari, A.; Prusti, T.; de Bruijne, J.H.J.; Babusiaux, C.; Biermann, M.; Gaia Collaboration. Gaia Early Data Release 3: Summary of the contents and survey properties. arXiv 2020, arXiv:2012.01533. [Google Scholar]
- Cantat-Gaudin, T.; Anders, F.; Castro-Ginard, A.; Jordi, C.; Romero-Gómez, M.; Soubiran, C.; Casamiquela, L.; Tarricq, Y.; Moitinho, A.; Vallenari, A.; et al. Painting a portrait of the Galactic disc with its stellar clusters. Astron. Astrophys. 2020, 640, A1. [Google Scholar] [CrossRef]
- Kharchenko, N.V.; Piskunov, A.E.; Schilbach, E.; Röser, S.; Scholz, R.D. Global survey of star clusters in the Milky Way. II. The catalogue of basic parameters. Astron. Astrophys. 2013, 558, A53. [Google Scholar] [CrossRef]
- Reid, M.J.; Menten, K.M.; Brunthaler, A.; Zheng, X.W.; Dame, T.M.; Xu, Y.; Li, J.; Sakai, N.; Wu, Y.; Immer, K.; et al. Trigonometric Parallaxes of High-mass Star-forming Regions: Our View of the Milky Way. Astrophys. J. 2019, 885, 131. [Google Scholar] [CrossRef]
- Berlanas, S.R.; Wright, N.J.; Herrero, A.; Drew, J.E.; Lennon, D.J. Disentangling the spatial substructure of Cygnus OB2 from Gaia DR2. Mon. Not. R. Astron. Soc. 2019, 484, 1838–1842. [Google Scholar] [CrossRef]
- Beasor, E.R.; Davies, B.; Smith, N.; Gehrz, R.D.; Figer, D.F. The Age of Westerlund 1 Revisited. arXiv 2021, arXiv:2103.02609. [Google Scholar]
- Braun, R.; Bourke, T.; Green, J.A.; Keane, E.; Wagg, J. Advancing Astrophysics with the Square Kilometre Array. In Proceedings of the Advancing Astrophysics with the Square Kilometre Array (AASKA14), Giardini Naxos, Sicily, Italy, 8–13 June 2015; p. 174. [Google Scholar]
- Merloni, A.; Predehl, P.; Becker, W.; Böhringer, H.; Boller, T.; Brunner, H.; Brusa, M.; Dennerl, K.; Freyberg, M.; Friedrich, P.; et al. eROSITA Science Book: Mapping the Structure of the Energetic Universe. arXiv 2012, arXiv:1209.3114. [Google Scholar]
- Dermer, C.D.; Finke, J.D.; Murphy, R.J.; Strong, A.W.; Loparco, F.; Mazziotta, M.N.; Orlando, E.; Kamae, T.; Tibaldo, L.; Cohen-Tanugi, J.; et al. On the Physics Connecting Cosmic Rays and Gamma Rays: Towards Determining the Interstellar Cosmic Ray Spectrum. arXiv 2013, arXiv:1303.6482. [Google Scholar]
- Lock, W.O.; Measday, D.F. Intermediate-energy Nuclear Physics; Methuen: York, UK, 1970. [Google Scholar]
- Stecker, F.W. Neutral-Pion Gamma Rays from the Galaxy and the Interstellar Gas Content. Astrophys. J. 1973, 185, 499–504. [Google Scholar] [CrossRef]
- Dermer, C.D. Binary Collision Rates of Relativistic Thermal Plasmas. II. Spectra. Astrophys. J. 1986, 307, 47. [Google Scholar] [CrossRef]
- Adriani, O.; Bonechi, L.; Bongi, M.; Castellini, G.; D’Alessandro, R.; Faus, A.; Fukatsu, K.; Haguenauer, M.; Itow, Y.; Kasahara, K.; et al. Early results of the LHCf experiment and their contribution to ultra-high-energy cosmic ray physics. Nucl. Phys. B Proc. Suppl. 2011, 212, 270–276. [Google Scholar] [CrossRef]
- Sato, H.; Shibata, T.; Yamazaki, R. Revised production cross-section of γ-rays in p-p collisions with LHC data for the study of TeV γ-ray astronomy. Astropart. Phys. 2012, 36, 83–92. [Google Scholar] [CrossRef][Green Version]
- Aduszkiewicz, A.; et al. [The NA61/SHINE Collaboration] Measurement of meson resonance production in ⩟ + C interactions at SPS energies. Eur. Phys. J. C 2017, 77, 626. [Google Scholar] [CrossRef]
- Kamae, T.; Karlsson, N.; Mizuno, T.; Abe, T.; Koi, T. Parameterization of γ, e+/-, and Neutrino Spectra Produced by p-p Interaction in Astronomical Environments. Astrophys. J. 2006, 647, 692–708. [Google Scholar] [CrossRef]
- Kelner, S.R.; Aharonian, F.A.; Bugayov, V.V. Energy spectra of gamma rays, electrons, and neutrinos produced at proton-proton interactions in the very high energy regime. Phys. Rev. D 2006, 74, 034018. [Google Scholar] [CrossRef]
- Kachelrieß, M.; Ostapchenko, S. Deriving the cosmic ray spectrum from gamma-ray observations. Phys. Rev. D 2012, 86, 043004. [Google Scholar] [CrossRef]
- Kafexhiu, E.; Aharonian, F.; Taylor, A.M.; Vila, G.S. Parametrization of gamma-ray production cross sections for p p interactions in a broad proton energy range from the kinematic threshold to PeV energies. Phys. Rev. D 2014, 90, 123014. [Google Scholar] [CrossRef]
- Mazziotta, M.N.; Cerutti, F.; Ferrari, A.; Gaggero, D.; Loparco, F.; Sala, P.R. Production of secondary particles and nuclei in cosmic rays collisions with the interstellar gas using the FLUKA code. Astropart. Phys. 2016, 81, 21–38. [Google Scholar] [CrossRef]
- Kachelrieß, M.; Moskalenko, I.V.; Ostapchenko, S. AAfrag: Interpolation routines for Monte Carlo results on secondary production in proton-proton, proton-nucleus and nucleus-nucleus interactions. Comput. Phys. Commun. 2019, 245, 106846. [Google Scholar] [CrossRef]
- Mori, M. Nuclear enhancement factor in calculation of Galactic diffuse gamma-rays: A new estimate with DPMJET-3. Astropart. Phys. 2009, 31, 341–343. [Google Scholar] [CrossRef]
- Kachelrieß, M.; Moskalenko, I.V.; Ostapchenko, S.S. Nuclear Enhancement of the Photon Yield in Cosmic Ray Interactions. Astrophys. J. 2014, 789, 136. [Google Scholar] [CrossRef]
- Blandford, R.D.; Ostriker, J.P. Particle acceleration by astrophysical shocks. Astrophys. J. Lett. 1978, 221, L29–L32. [Google Scholar] [CrossRef]
- Bell, A.R. The acceleration of cosmic rays in shock fronts. I. MNRAS 1978, 182, 147–156. [Google Scholar] [CrossRef]
- Axford, W.I.; Leer, E.; Skadron, G. The acceleration of cosmic rays by shock waves. Int. Cosm. Ray Conf. 1977, 11, 132–137. [Google Scholar]
- Krymskii, G.F. A regular mechanism for the acceleration of charged particles on the front of a shock wave. Akad. Nauk SSSR Dokl. 1977, 234, 1306–1308. [Google Scholar]
- Blasi, P. A semi-analytical approach to non-linear shock acceleration. Astropart. Phys. 2002, 16, 429–439. [Google Scholar] [CrossRef]
- Blasi, P. The origin of galactic cosmic rays. Astron. Astrophys. Rev. 2013, 21, 70. [Google Scholar] [CrossRef]
- Antoni, T.; et al. [The KASCADE Collaboration] Large-Scale Cosmic-Ray Anisotropy with KASCADE. Astrophys. J. 2004, 604, 687. [Google Scholar] [CrossRef]
- Abdo, A.A.; Allen, B.T.; Aune, T.; Berley, D.; Casanova, S.; Chen, C.; Dingus, B.L.; Ellsworth, R.W.; Fleysher, L.; Fleysher, R.; et al. The Large-Scale Cosmic-Ray Anisotropy as Observed with Milagro. Astrophys. J. 2009, 698, 2121. [Google Scholar] [CrossRef]
- Aglietta, M.; et al. [The EAS-TOP Collaboration] Evolution of the Cosmic-Ray Anisotropy Above 1014 eV. Astrophys. J. Lett. 2009, 692, L130. [Google Scholar]
- Amenomori, M.; et al. [The Tibet ASγ Collaboration] Northern Sky Galactic Cosmic Ray Anisotropy between 10 and 1000 TeV with the Tibet Air Shower Array. Astrophys. J. 2017, 836, 153. [Google Scholar] [CrossRef]
- Aartsen, M.G.; et al. [IceCube Collaboration] Observation of Cosmic-Ray Anisotropy with the IceTop Air Shower Array. Astrophys. J. 2013, 765, 55. [Google Scholar] [CrossRef]
- Abbasi, R.; et al. [IceCube Collaboration] Observation of Anisotropy in the Galactic Cosmic-Ray Arrival Directions at 400 TeV with IceCube. Astrophys. J. 2012, 746, 33. [Google Scholar] [CrossRef]
- Cowsik, R.; Pal, Y.; Tandon, S.N.; Verma, R.P. Steady State of Cosmic-Ray Nuclei-Their Spectral Shape and Path Length at Low Energies. Phys. Rev. 1967, 158, 1238–1242. [Google Scholar] [CrossRef]
- Jokipii, J.R. Cosmic-Ray Propagation. I. Charged Particles in a Random Magnetic Field. Astrophys. J. 1966, 146, 480. [Google Scholar] [CrossRef]
- Jokipii, J.R.; Parker, E.N. Random Walk of Magnetic Lines of Force in Astrophysics. Phys. Rev. Lett. 1968, 21, 44–47. [Google Scholar] [CrossRef]
- Berezinsky, V.S.; Bulanov, S.V.; Dogiel, V.A.; Ptuskin, V.S. Astrophysics of Cosmic Rays; North-Holland: Amsterdam, The Netherlands, 1990. [Google Scholar]
- Drury, L.O.; Strong, A.W. Power requirements for cosmic ray propagation models involving diffusive reacceleration; estimates and implications for the damping of interstellar turbulence. Astron. Astrophys. 2017, 597, A117. [Google Scholar] [CrossRef]
- Evoli, C.; Gaggero, D.; Vittino, A.; Di Bernardo, G.; Di Mauro, M.; Ligorini, A.; Ullio, P.; Grasso, D. Cosmic-ray propagation with DRAGON2: I. numerical solver and astrophysical ingredients. J. Cosmol. Astropart. Phys. 2017, 2, 015. [Google Scholar] [CrossRef]
- Silberberg, R.; Tsao, C.H. Spallation processes and nuclear interaction products of cosmic rays. Phys. Rep. 1990, 191, 351–408. [Google Scholar] [CrossRef]
- Strong, A.W.; Moskalenko, I.V. Models for galactic cosmic ray propagation. Adv. Space Res. 2001, 27, 717–726. [Google Scholar] [CrossRef]
- Mashnik, S.G.; Sierk, A.J.; Riper, K.A.V.; Wilson, W.B. Production and validation of isotope production cross-section libraries for neutrons and protons to 1.7-GeV. In Proceedings of the 4th Workshop on Simulating Accelerator Radiation Environments (SARE4) (A Satellite Meeting of ACCAPP 98), Knoxville, TN, USA, 13–15 September 1998. [Google Scholar]
- Moskalenko, I.V.; Mashnik, S.G.; Strong, A.W. New calculation of radioactive secondaries in cosmic rays. In Proceedings of the 27th International Cosmic Ray Conference, Hamburg, Germany, 7–15 August 2001; Volume 5, p. 1836. [Google Scholar]
- Moskalenko, I.V.; Mashnik, S.G. Evaluation of production cross sections of Li, Be, B in CR. In Proceedings of the 28th International Cosmic Ray Conference, Tsukuba, Japan, 31 July–7 August 2003; pp. 1969–1972. [Google Scholar]
- Evoli, C.; Gaggero, D.; Vittino, A.; Di Mauro, M.; Grasso, D.; Mazziotta, M.N. Cosmic-ray propagation with DRAGON2: II. Nuclear interactions with the interstellar gas. arXiv 2017, arXiv:astro-ph.HE/1711.09616. [Google Scholar] [CrossRef]
- Lebrun, F.; Bennett, K.; Bignami, G.F.; Bloemen, J.B.G.M.; Buccheri, R.; Caraveo, P.A.; Gottwald, M.; Hermsen, W.; Kanbach, G.; Mayer-Hasselwander, H.A.; et al. Gamma-rays from atomic and molecular gas in the first galactic quadrant. Astrophys. J. 1983, 274, 231–236. [Google Scholar] [CrossRef]
- Storm, E.; Weniger, C.; Calore, F. SkyFACT: High-dimensional modeling of gamma-ray emission with adaptive templates and penalized likelihoods. J. Cosmol. Astropart. Phys. 2017, 08, 022. [Google Scholar] [CrossRef]
- Malyshev, D. Spectral components analysis of diffuse emission processes. arXiv 2012, arXiv:1202.1034. [Google Scholar]
- De Boer, W.; Bosse, L.; Gebauer, I.; Neumann, A.; Biermann, P.L. Molecular clouds as origin of the Fermi gamma-ray GeV excess. Phys. Rev. D 2017, 96, 043012. [Google Scholar] [CrossRef]
- Selig, M.; Vacca, V.; Oppermann, N.; Enßlin, T.A. The denoised, deconvolved, and decomposed Fermi γ-ray sky—An application of the D3PO algorithm. Astron. Astrophys. 2015, 581, A126. [Google Scholar] [CrossRef]
- Strong, A.W.; Youssefi, G. Propagation Models For Cr Nucleons And Electrons And Predictions Of The Galactic Gamma-ray Spectrum. Int. Cosm. Ray Conf. 1995, 3, 48. [Google Scholar]
- Strong, A.W.; Moskalenko, I.V. Propagation of cosmic-ray nucleons in the galaxy. Astrophys. J. 1998, 509, 212–228. [Google Scholar] [CrossRef]
- Moskalenko, I.V.; Strong, A.W. Production and propagation of cosmic ray positrons and electrons. Astrophys. J. 1998, 493, 694–707. [Google Scholar] [CrossRef]
- Evoli, C.; Gaggero, D.; Grasso, D.; Maccione, L. Cosmic-Ray Nuclei, Antiprotons and Gamma-rays in the Galaxy: A New Diffusion Model. J. Cosmol. Astropart. Phys. 2008, 0810, 018. [Google Scholar] [CrossRef]
- Gaggero, D.; Maccione, L.; Bernardo, G.D.; Evoli, C.; Grasso, D. Three-Dimensional Model of Cosmic-Ray Lepton Propagation Reproduces Data from the Alpha Magnetic Spectrometer on the International Space Station. Phys. Rev. Lett. 2013, 111, 021102. [Google Scholar] [CrossRef] [PubMed]
- Kissmann, R. PICARD: A novel code for the Galactic Cosmic Ray propagation problem. Astropart. Phys. 2014, 55, 37–50. [Google Scholar] [CrossRef]
- Werner, M.; Kissmann, R.; Strong, A.W.; Reimer, O. Spiral Arms as Cosmic Ray Source Distributions. Astropart. Phys. 2015, 64, 18–33. [Google Scholar] [CrossRef]
- Maurin, D.; Donato, F.; Taillet, R.; Salati, P. Cosmic rays below z=30 in a diffusion model: New constraints on propagation parameters. Astrophys. J. 2001, 555, 585–596. [Google Scholar] [CrossRef]
- Aguilar, M.; et al. [AMS Collaboration] Precision Measurement of Cosmic-Ray Nitrogen and its Primary and Secondary Components with the Alpha Magnetic Spectrometer on the International Space Station. Phys. Rev. Lett. 2018, 121, 051103. [Google Scholar] [CrossRef]
- Adriani, O.; Barbarino, G.C.; Bazilevskaya, G.A.; Bellotti, R.; Boezio, M.; Bogomolov, E.A.; Bonechi, L.; Bongi, M.; Bonvicini, V.; Bottai, S.; et al. An anomalous positron abundance in cosmic rays with energies 1.5–100 GeV. Nature 2009, 458, 607–609. [Google Scholar] [CrossRef] [PubMed]
- Aguilar, M.; et al. [AMS Collaboration] First Result from the Alpha Magnetic Spectrometer on the International Space Station: Precision Measurement of the Positron Fraction in Primary Cosmic Rays of 0.5–350 GeV. Phys. Rev. Lett. 2013, 110, 141102. [Google Scholar] [CrossRef]
- Cuoco, A.; Krämer, M.; Korsmeier, M. Novel Dark Matter Constraints from Antiprotons in Light of AMS-02. Phys. Rev. Lett. 2017, 118, 191102. [Google Scholar] [CrossRef]
- Cuoco, A.; Heisig, J.; Klamt, L.; Korsmeier, M.; Krämer, M. Scrutinizing the evidence for dark matter in cosmic-ray antiprotons. Phys. Rev. D 2019, 99, 103014. [Google Scholar] [CrossRef]
- Kissmann, R.; Werner, M.; Reimer, O.; Strong, A.W. Propagation in 3D spiral-arm cosmic-ray source distribution models and secondary particle production using PICARD. Astropart. Phys. 2015, 70, 39–53. [Google Scholar] [CrossRef]
- Kissmann, R.; Niederwanger, F.; Reimer, O.; Strong, A.W. Diffuse gamma rays in 3D galactic cosmic-ray propagation models. AIP Conf. Proc. 2017, 1792, 070011. [Google Scholar] [CrossRef]
- Evoli, C.; Gaggero, D.; Grasso, D.; Maccione, L. Common Solution to the Cosmic Ray Anisotropy and Gradient Problems. Phys. Rev. Lett. 2012, 108, 211102. [Google Scholar] [CrossRef] [PubMed]
- Jóhannesson, G.; de Austri, R.R.; Vincent, A.C.; Moskalenko, I.V.; Orlando, E.; Porter, T.A.; Strong, A.W.; Trotta, R.; Feroz, F.; Graff, P.; et al. Bayesian analysis of cosmic-ray propagation: Evidence against homogeneous diffusion. Astrophys. J. 2016, 824, 16. [Google Scholar] [CrossRef]
- Cerri, S.S.; Gaggero, D.; Vittino, A.; Evoli, C.; Grasso, D. A signature of anisotropic cosmic-ray transport in the gamma-ray sky. J. Cosmol. Astropart. Phys. 2017, 10, 019. [Google Scholar] [CrossRef]
- Wentzel, D.G. Cosmic-ray propagation in the galaxy: Collective effects. Ann. Rev. Astron. Astrophys. 1974, 12, 71–96. [Google Scholar] [CrossRef]
- Farmer, A.J.; Goldreich, P. Wave damping by MHD turbulence and its effect upon cosmic ray propagation in the ISM. Astrophys. J. 2004, 604, 671–674. [Google Scholar] [CrossRef]
- Blasi, P.; Amato, E.; Serpico, P.D. Spectral breaks as a signature of cosmic ray induced turbulence in the Galaxy. Phys. Rev. Lett. 2012, 109, 061101. [Google Scholar] [CrossRef]
- Evoli, C.; Blasi, P.; Morlino, G.; Aloisio, R. Origin of the Cosmic Ray Galactic Halo Driven by Advected Turbulence and Self-Generated Waves. Phys. Rev. Lett. 2018, 121, 021102. [Google Scholar] [CrossRef]
- Sridhar, S.; Goldreich, P. Toward a Theory of Interstellar Turbulence. I. Weak Alfvenic Turbulence. Astrophys. J. 1994, 432, 612. [Google Scholar] [CrossRef]
- Goldreich, P.; Sridhar, S. Toward a Theory of Interstellar Turbulence. II. Strong Alfvenic Turbulence. Astrophys. J. 1995, 438, 763. [Google Scholar] [CrossRef]
- Chandran, B.D.G. Scattering of Energetic Particles by Anisotropic Magnetohydrodynamic Turbulence with a Goldreich-Sridhar Power Spectrum. Phys. Rev. Lett. 2000, 85, 4656–4659. [Google Scholar] [CrossRef]
- Yan, H.; Lazarian, A. Scattering of Cosmic Rays by Magnetohydrodynamic Interstellar Turbulence. Phys. Rev. Lett. 2002, 89, 281102. [Google Scholar] [CrossRef]
- Yan, H.; Lazarian, A. Cosmic ray scattering and streaming in compressible magnetohydrodynamic turbulence. Astrophys. J. 2004, 614, 757–769. [Google Scholar] [CrossRef]
- Yan, H.; Lazarian, A. Cosmic Ray Propagation: Nonlinear Diffusion Parallel and Perpendicular to Mean Magnetic Field. Astrophys. J. 2008, 673, 942. [Google Scholar] [CrossRef]
- Evoli, C.; Yan, H. Cosmic ray propagation in galactic turbulence. Astrophys. J. 2014, 782, 36. [Google Scholar] [CrossRef]
- Fornieri, O.; Gaggero, D.; Cerri, S.S.; Luque, P.D.L.T.; Gabici, S. The theory of cosmic-ray scattering on pre-existing MHD modes meets data. Mon. Not. R. Astron. Soc. 2021. [Google Scholar] [CrossRef]
- Zhang, H.; Chepurnov, A.; Yan, H.; Makwana, K.; Santos-Lima, R.; Appleby, S. Identification of plasma modes in Galactic turbulence with synchrotron polarization. Nat. Astron. 2020, 4, 1001–1008. [Google Scholar] [CrossRef]
- Ptuskin, V.S.; Jones, F.C.; Seo, E.S.; Sina, R. Effect of random nature of cosmic ray sources Supernova remnants on cosmic ray intensity fluctuations, anisotropy, and electron energy spectrum. Adv. Space Res. 2006, 37, 1909–1912. [Google Scholar] [CrossRef]
- Büsching, I.; Kopp, A.; Pohl, M.; Schlickeiser, R.; Perrot, C.; Grenier, I. Cosmic-Ray Propagation Properties for an Origin in Supernova Remnants. Astrophys. J. 2005, 619, 314–326. [Google Scholar] [CrossRef]
- Blasi, P.; Amato, E. Diffusive propagation of cosmic rays from supernova remnants in the Galaxy. I: Spectrum and chemical composition. J. Cosmol. Astropart. Phys. 2012, 2012, 010. [Google Scholar] [CrossRef]
- Evoli, C.; Morlino, G.; Blasi, P.; Aloisio, R. AMS-02 beryllium data and its implication for cosmic ray transport. Phys. Rev. D 2020, 101, 023013. [Google Scholar] [CrossRef]
- Strong, A.W. Source population synthesis and the Galactic diffuse gamma-ray emission. Aust. Post Superann. Scheme 2007, 309, 35–41. [Google Scholar] [CrossRef]
- Casanova, S.; Dingus, B.L. Constraints on the TeV source population and its contribution to the galactic diffuse TeV emission. Astropart. Phys. 2008, 29, 63–69. [Google Scholar] [CrossRef][Green Version]
- Steppa, C.; Egberts, K. Modelling the Galactic very-high-energy γ-ray source population. Astron. Astrophys. 2020, 643, A137. [Google Scholar] [CrossRef]
- Bartels, R.; Krishnamurthy, S.; Weniger, C. Strong Support for the Millisecond Pulsar Origin of the Galactic Center GeV Excess. Phys. Rev. Lett. 2016, 116, 051102. [Google Scholar] [CrossRef]
- Leane, R.K.; Slatyer, T.R. Spurious Point Source Signals in the Galactic Center Excess. Phys. Rev. Lett. 2020, 125, 121105. [Google Scholar] [CrossRef]
- Casandjian, J.-M. Local H i Emissivity Measured with Fermi-LAT and Implications for Cosmic-Ray Spectra. Astrophys. J. 2015, 806, 240. [Google Scholar] [CrossRef]
- Ade, P.A.R.; et al. [Planck Collaboration] Planck intermediate results. XXVIII. Interstellar gas and dust in the Chamaeleon clouds as seen by Fermi LAT and Planck. Astron. Astrophys. 2015, 582, A31. [Google Scholar] [CrossRef]
- Remy, Q.; Grenier, I.A.; Marshall, D.J.; Casand, J.M. Cosmic rays, gas and dust in nearby anticentre clouds. I. CO-to-H2 conversion factors and dust opacities. Astron. Astrophys. 2017, 601, A78. [Google Scholar] [CrossRef]
- Joubaud, T.; Grenier, I.A.; Casandjian, J.M.; Tolksdorf, T.; Schlickeiser, R. The cosmic-ray content of the Orion-Eridanus superbubble. Astron. Astrophys. 2020, 635, A96. [Google Scholar] [CrossRef]
- Abdo, A.A.; Ackermann, M.; Ajello, M.; Atwood, W.B.; Axelsson, M.; Baldini, L.; Ballet, J.; Barbiellini, G.; Bastieri, D.; Baughman, B.M.; et al. Fermi LAT Observation of Diffuse Gamma Rays Produced Through Interactions Between Local Interstellar Matter and High-energy Cosmic Rays. Astrophys. J. 2009, 703, 1249–1256. [Google Scholar] [CrossRef]
- Abdo, A.A.; et al. [Fermi/LAT Collaboration] Fermi Observations of Cassiopeia and Cepheus: Diffuse Gamma-ray Emission in the Outer Galaxy. Astrophys. J. 2010, 710, 133–149. [Google Scholar] [CrossRef]
- Ackermann, M.; et al. [Fermi LAT Collaboration] Constraints on the Cosmic-ray Density Gradient Beyond the Solar Circle from Fermi γ-ray Observations of the Third Galactic Quadrant. Astrophys. J. 2011, 726, 81. [Google Scholar] [CrossRef][Green Version]
- Ackermann, M.; Ajello, M.; Allafort, A.; Baldini, L.; Ballet, J.; Barbiellini, G.; Bastieri, D.; Belfiore, A.; Bellazzini, R.; Berenji, B.; et al. The cosmic-ray and gas content of the Cygnus region as measured in γ-rays by the Fermi Large Area Telescope. Astron. Astrophys. 2012, 538, A71. [Google Scholar] [CrossRef]
- Ackermann, M.; Ajello, M.; Allafort, A.; Antolini, E.; Baldini, L.; Ballet, J.; Barbiellini, G.; Bastieri, D.; Bechtol, K.; Bellazzini, R.; et al. Gamma-Ray Observations of the Orion Molecular Clouds with the Fermi Large Area Telescope. Astrophys. J. 2012, 756, 4. [Google Scholar] [CrossRef]
- Ackermann, M.; Ajello, M.; Allafort, A.; Antolini, E.; Baldini, L.; Ballet, J.; Barbiellini, G.; Bastieri, D.; Bechtol, K.; Bellazzini, R.; et al. Fermi Large Area Telescope Study of Cosmic Rays and the Interstellar Medium in nearby Molecular Clouds. Astrophys. J. 2012, 755, 22. [Google Scholar] [CrossRef]
- Mizuno, T.; Abdollahi, S.; Fukui, Y.; Hayashi, K.; Okumura, A.; Tajima, H.; Yamamoto, H. Quantifying the Interstellar Medium and Cosmic Rays in the MBM 53, 54, and 55 Molecular Clouds and the Pegasus Loop Using Fermi-LAT Gamma-ray Observations. Astrophys. J. 2016, 833, 278. [Google Scholar] [CrossRef]
- Mizuno, T.; Abdollahi, S.; Fukui, Y.; Hayashi, K.; Koyama, T.; Okumura, A.; Tajima, H.; Yamamoto, H. Study of the Cosmic Rays and Interstellar Medium in Local H I Clouds Using Fermi-LAT Gamma-Ray Observations. Astrophys. J. 2020, 890, 120. [Google Scholar] [CrossRef]
- Boschini, M.J.; Della Torre, S.; Gervasi, M.; Grandi, D.; Johannesson, G.; La Vacca, G.; Masi, N.; Moskalenko, I.V.; Pensotti, S.; Porter, T.A.; et al. Inference of the Local Interstellar Spectra of Cosmic-Ray Nuclei Z ≤ 28 with the GALPROP-HELMOD Framework. Astrophys. J. Suppl. Ser. 2020, 250, 27. [Google Scholar] [CrossRef]
- Corti, C.; Bindi, V.; Consolandi, C.; Whitman, K. Solar Modulation of the Local Interstellar Spectrum with Voyager 1, AMS-02, PAMELA, and BESS. Astrophys. J. 2016, 829, 8. [Google Scholar] [CrossRef]
- Strong, A.W.; Moskalenko, I.V.; Reimer, O. Diffuse Continuum Gamma Rays from the Galaxy. Astrophys. J. 2000, 537, 763–784. [Google Scholar] [CrossRef]
- Adriani, O.; Barbarino, G.C.; Bazilevskaya, G.A.; Bellotti, R.; Boezio, M.; Bogomolov, E.A.; Bonechi, L.; Bongi, M.; Bonvicini, V.; Borisov, S.; et al. PAMELA Measurements of Cosmic-Ray Proton and Helium Spectra. Science 2011, 332, 69. [Google Scholar] [CrossRef]
- Engelmann, J.J.; Ferrando, P.; Soutoul, A.; Goret, P.; Juliusson, E.; Koch-Miramond, L.; Lund, N.; Masse, P.; Peters, B.; Petrou, N.; et al. Charge composition and energy spectra of cosmic-ray nuclei for elements from Be to Ni - Results from HEAO-3-C2. Astron. Astrophys. 1990, 233, 96–111. [Google Scholar]
- Ostapchenko, S. Monte Carlo treatment of hadronic interactions in enhanced Pomeron scheme: QGSJET-II model. Phys. Rev. D 2011, 83, 014018. [Google Scholar] [CrossRef]
- Strong, A.W. Local interstellar cosmic-ray spectra derived from gamma-ray emissivities. arXiv 2015, arXiv:1507.05006. [Google Scholar]
- Bertram, E.; Glover, S.C.O.; Clark, P.C.; Ragan, S.E.; Klessen, R.S. Synthetic observations of molecular clouds in a galactic centre environment—I. Studying maps of column density and integrated intensity. Mon. Not. R. Astron. Soc. 2016, 455, 3763–3778. [Google Scholar] [CrossRef]
- Skilling, J.; Strong, A.W. Cosmic ray exclusion from dense molecular clouds. Astron. Astrophys. 1976, 53, 253–258. [Google Scholar]
- Everett, J.E.; Zweibel, E.G. The Interaction of Cosmic Rays with Diffuse Clouds. Astrophys. J. 2011, 739, 60. [Google Scholar] [CrossRef]
- Padovani, M.; Galli, D. Effects of magnetic fields on the cosmic-ray ionization of molecular cloud cores. Astron. Astrophys. 2011, 530, A109. [Google Scholar] [CrossRef]
- Yang, R.; de Oña Wilhelmi, E.; Aharonian, F. Probing cosmic rays in nearby giant molecular clouds with the Fermi Large Area Telescope. Astron. Astrophys. 2014, 566, A142. [Google Scholar] [CrossRef]
- Neronov, A.; Malyshev, D.; Semikoz, D.V. Cosmic-ray spectrum in the local Galaxy. Astron. Astrophys. 2017, 606, A22. [Google Scholar] [CrossRef]
- Baghmanyan, V.; Peron, G.; Casanova, S.; Aharonian, F.; Zanin, R. Evidence of Cosmic-Ray Excess from Local Giant Molecular Clouds. Astrophys. J. Lett. 2020, 901, L4. [Google Scholar] [CrossRef]
- Albert, A.; Alfaro, R.; Alvarez, C.; Angeles Camacho, J.R.; Arteaga-Velázquez, J.C.; Arunbabu, K.P.; Avila Rojas, D.; Ayala Solares, H.A.; Baghmanyan, V.; Belmont-Moreno, E.; et al. Probing the Sea of Cosmic Rays by Measuring Gamma-Ray Emission from Passive Giant Molecular Clouds. arXiv 2021, arXiv:2101.08748. [Google Scholar]
- Strong, A.W.; Bloemen, J.B.G.M.; Dame, T.M.; Grenier, I.A.; Hermsen, W.; Lebrun, F.; Nyman, L.-Å.; Pollock, A.M.T.; Thaddeus, P. The radial distribution of galactic gamma rays. IV. The whole galaxy. Astron. Astrophys. 1988, 207, 1–15. [Google Scholar]
- Bignami, G.F.; Fichtel, C.E.; Kniffen, D.A.; Thompson, D.J. High-energy galactic gamma radiation from cosmic rays concentrated in spiral arms. Astrophys. J. 1975, 199, 54–60. [Google Scholar] [CrossRef]
- Acero, F.; Ackermann, M.; Ajello, M.; Albert, A.; Baldini, L.; Ballet, J.; Barbiellini, G.; Bastieri, D.; Bellazzini, R.; Bissaldi, E.; et al. Development of the Model of Galactic Interstellar Emission for Standard Point-source Analysis of Fermi Large Area Telescope Data. Astrophys. J. Suppl. Ser. 2016, 223, 26. [Google Scholar] [CrossRef]
- Yang, R.; Aharonian, F.; Evoli, C. Radial distribution of the diffuse γ-ray emissivity in the Galactic disk. Phys. Rev. D 2016, 93, 123007. [Google Scholar] [CrossRef]
- Pothast, M.; Gaggero, D.; Storm, E.; Weniger, C. On the progressive hardening of the cosmic-ray proton spectrum in the inner Galaxy. J. Cosmol. Astropart. Phys. 2018, 10, 045. [Google Scholar] [CrossRef]
- Acero, F.; et al. [The Fermi-LAT Collaboration] Fermi Large Area Telescope Third Source Catalog. Astrophys. J. Suppl. Ser. 2015, 218, 23. [Google Scholar] [CrossRef]
- Aharonian, F.; Peron, G.; Yang, R.; Casanova, S.; Zanin, R. Probing the sea of galactic cosmic rays with Fermi-LAT. Phys. Rev. D 2020, 101, 083018. [Google Scholar] [CrossRef]
- Peron, G.; Aharonian, F.; Casanova, S.; Yang, R.; Zanin, R. Probing the Cosmic-Ray Density in the Inner Galaxy. Astrophys. J. Lett. 2021, 907, L11. [Google Scholar] [CrossRef]
- Issa, M.R.; MacLaren, I.; Wolfendale, A.W. Dust-to-gas ratio and metallicity variations in nearby galaxies. Astron. Astrophys. 1990, 236, 237. [Google Scholar]
- Boissier, S.; Boselli, A.; Buat, V.; Donas, J.; Milliard, B. The radial extinction profiles of late-type galaxies. Astron. Astrophys. 2004, 424, 465–476. [Google Scholar] [CrossRef]
- Muñoz-Mateos, J.C.; Gil de Paz, A.; Boissier, S.; Zamorano, J.; Dale, D.A.; Pérez-González, P.G.; Gallego, J.; Madore, B.F.; Bendo, G.; Thornley, M.D.; et al. Radial Distribution of Stars, Gas, and Dust in Sings Galaxies. II. Derived Dust Properties. Astrophys. J. 2009, 701, 1965–1991. [Google Scholar] [CrossRef]
- Ackermann, M.; et al. [The Fermi-LAT Collaboration] Fermi-LAT Observations of the Diffuse γ-Ray Emission: Implications for Cosmic Rays and the Interstellar Medium. Astrophys. J. 2012, 750, 3. [Google Scholar] [CrossRef]
- Porter, T.A.; Moskalenko, I.V.; Strong, A.W.; Orlando, E.; Bouchet, L. Inverse Compton Origin of the Hard X-Ray and Soft Gamma-Ray Emission from the Galactic Ridge. Astrophys. J. 2008, 682, 400–407. [Google Scholar] [CrossRef]
- Bouchet, L.; Strong, A.W.; Porter, T.A.; Moskalenko, I.V.; Jourdain, E.; Roques, J.-P. Diffuse Emission Measurement with the SPectrometer on INTEGRAL as an Indirect Probe of Cosmic-Ray Electrons and Positrons. Astrophys. J. 2011, 739, 29. [Google Scholar] [CrossRef]
- Churazov, E.; Bouchet, L.; Jean, P.; Jourdain, E.; Knödlseder, J.; Krivonos, R.; Roques, J.-P.; Sazonov, S.; Siegert, T.; Strong, A.; et al. INTEGRAL results on the electron-positron annihilation radiation and X-ray & Gamma-ray diffuse emission of the Milky Way. New Astron. Rev. 2020, 90, 101548. [Google Scholar] [CrossRef]
- Abdo, A.A.; Allen, B.; Aune, T.; Berley, D.; Blaufuss, E.; Casanova, S.; Chen, C.; Dingus, B.L.; Ellsworth, R.W.; Fleysher, L.; et al. A Measurement of the Spatial Distribution of Diffuse TeV Gamma-Ray Emission from the Galactic Plane with Milagro. Astrophys. J. 2008, 688, 1078–1083. [Google Scholar] [CrossRef]
- Bartoli, B.; Bernardini, P.; Bi, X.J.; Branchini, P.; Budano, A.; Camarri, P.; Cao, Z.; Cardarelli, R.; Catalanotti, S.; Chen, S.Z.; et al. Study of the Diffuse Gamma-Ray Emission from the Galactic Plane with ARGO-YBJ. Astrophys. J. 2015, 806, 20. [Google Scholar] [CrossRef]
- Zhou, H.; Rho, C.D.; Vianello, G.; HAWC Collaboration. Probing Galactic Diffuse TeV Gamma-Ray Emission with the HAWC Observatory. In Proceedings of the 35th International Cosmic Ray Conference (ICRC2017), Busan, Korea, 12–20 July 2017; Volume 301, p. 689. [Google Scholar]
- Amenomori, M.; et al. [Tibet ASγ Collaboration] First Detection of sub-PeV Diffuse Gamma Rays from the Galactic Disk: Evidence for Ubiquitous Galactic Cosmic Rays beyond PeV Energies. Phys. Rev. Lett. 2021, 126, 141101. [Google Scholar] [CrossRef] [PubMed]
- Neronov, A.; Semikoz, D. Galactic diffuse gamma-ray emission at TeV energy. Astron. Astrophys. 2020, 633, A94. [Google Scholar] [CrossRef]
- Pagliaroli, G.; Cataldo, M.; Vecchiotti, V.; Villante, F.L. Can the TeV gamma-ray sky probe the galactic cosmic ray distribution? In Journal of Physics Conference Series; IOP Publishing: Bristol, UK, 2020; Volume 1468, p. 012099. [Google Scholar] [CrossRef]
- Neronov, A.; Semikoz, D. Mapping large-scale diffuse γ-ray emission in the 10-100 TeV band with Cherenkov telescopes. Astron. Astrophys. 2020, 637, A44. [Google Scholar] [CrossRef]
- Neronov, A.; Semikoz, D. LHAASO telescope sensitivity to diffuse gamma-ray signals from the Galaxy. Phys. Rev. D 2020, 102, 043025. [Google Scholar] [CrossRef]
- Gaggero, D.; Urbano, A.; Valli, M.; Ullio, P. Gamma-ray sky points to radial gradients in cosmic-ray transport. Phys. Rev. D 2015, 91, 083012. [Google Scholar] [CrossRef]
- Recchia, S.; Blasi, P.; Morlino, G. On the radial distribution of Galactic cosmic rays. Mon. Not. Roy. Astron. Soc. 2016, 462, L88–L92. [Google Scholar] [CrossRef]
- Ferrière, K.M. The interstellar environment of our galaxy. Rev. Mod. Phys. 2001, 73, 1031–1066. [Google Scholar] [CrossRef]
- Marco, D.D.; Blasi, P.; Stanev, T. Numerical propagation of high energy cosmic rays in the Galaxy. I. Technical issues. J. Cosmol. Astropart. Phys. 2007, 06, 027. [Google Scholar] [CrossRef]
- Snodin, A.P.; Shukurov, A.; Sarson, G.R.; Bushby, P.J.; Rodrigues, L.F.S. Global diffusion of cosmic rays in random magnetic fields. Mon. Not. Roy. Astron. Soc. 2016, 457, 3975–3987. [Google Scholar] [CrossRef]
- Dundovic, A.; Pezzi, O.; Blasi, P.; Evoli, C.; Matthaeus, W.H. Novel aspects of cosmic ray diffusion in synthetic magnetic turbulence. Phys. Rev. D 2020, 102, 103016. [Google Scholar] [CrossRef]
- Gaggero, D.; Grasso, D.; Marinelli, A.; Taoso, M.; Urbano, A. Diffuse cosmic rays shining in the Galactic center: A novel interpretation of H.E.S.S. and Fermi-LAT gamma-ray data. Phys. Rev. Lett. 2017, 119, 031101. [Google Scholar] [CrossRef] [PubMed]
- Lipari, P.; Vernetto, S. Diffuse Galactic gamma ray flux at very high energy. Phys. Rev. D 2018, 98, 043003. [Google Scholar] [CrossRef]
- Gaggero, D.; Grasso, D.; Marinelli, A.; Urbano, A.; Valli, M. The gamma-ray and neutrino sky: A consistent picture of Fermi-LAT, Milagro, and IceCube results. Astrophys. J. Lett. 2015, 815, L25. [Google Scholar] [CrossRef]
- Pagliaroli, G.; Villante, F.L. A multi-messenger study of the total galactic high-energy neutrino emission. J. Cosmol. Astropart. Phys. 2018, 08, 035. [Google Scholar] [CrossRef]
- Aartsen, M.G.; et al. [IceCube Collaboration] Search for Sources of Astrophysical Neutrinos Using Seven Years of IceCube Cascade Events. Astrophys. J. 2019, 886, 12. [Google Scholar] [CrossRef]
- Ackermann, M.; Albert, A.; Atwood, W.B.; Baldini, L.; Ballet, J.; Barbiellini, G.; Bastieri, D.; Bellazzini, R.; Bissaldi, E.; Bloom, E.D.; et al. Deep view of the Large Magellanic Cloud with six years of Fermi-LAT observations. Astron. Astrophys. 2016, 586, A71. [Google Scholar] [CrossRef]
- Scowcroft, V.; Freedman, W.L.; Madore, B.F.; Monson, A.; Persson, S.E.; Rich, J.; Seibert, M.; Rigby, J.R. The Carnegie Hubble Program: The Distance and Structure of the SMC as Revealed by Mid-infrared Observations of Cepheids. Astrophys. J. 2016, 816, 49. [Google Scholar] [CrossRef]
- Abdo, A.A.; et al. [The Fermi/LAT collaboration] Detection of the Small Magellanic Cloud in gamma-rays with Fermi/LAT. Astron. Astrophys. 2010, 523, A46. [Google Scholar] [CrossRef]
- Caputo, R.; Buckley, M.R.; Martin, P.; Charles, E.; Brooks, A.M.; Drlica-Wagner, A.; Gaskins, J.M.; Wood, M. Search for gamma-ray emission from dark matter annihilation in the Small Magellanic Cloud with the Fermi Large Area Telescope. Phys. Rev. D 2016, 93, 062004. [Google Scholar] [CrossRef]
- Abdo, A.A.; Ackermann, M.; Ajello, M.; Atwood, W.B.; Baldini, L.; Ballet, J.; Barbiellini, G.; Bastieri, D.; Baughman, B.M.; Bechtol, K.; et al. Observations of the Large Magellanic Cloud with Fermi. Astron. Astrophys. 2010, 512, A7. [Google Scholar] [CrossRef]
- Ackermann, M.; et al. [The Fermi-LAT Collaboration] Observations of M31 and M33 with the Fermi Large Area Telescope: A Galactic Center Excess in Andromeda? Astrophys. J. 2017, 836, 208. [Google Scholar] [CrossRef]
- Weinrich, N.; Boudaud, M.; Derome, L.; Génolini, Y.; Lavalle, J.; Maurin, D.; Salati, P.; Serpico, P.; Weymann-Despres, G. Galactic halo size in the light of recent AMS-02 data. Astron. Astrophys. 2020, 639, A74. [Google Scholar] [CrossRef]
- Dahlem, M.; Dettmar, R.J.; Hummel, E. Spatially correlated diffuse Hα and radio continuum emission from the halo of NGC 891. Astron. Astrophys. 1994, 290, 384–392. [Google Scholar]
- Tibaldo, L.; Digel, S.W.; Casandjian, J.-M.; Franckowiak, A.; Grenier, I.A.; Johannesson, G.; Marshall, D.J.; Moskalenko, I.V.; Negro, M.; Orlando, E.; et al. Fermi-LAT Observations of High- and Intermediate-velocity Clouds: Tracing Cosmic Rays in the Halo of the Milky Way. Astrophys. J. 2015, 807, 161. [Google Scholar] [CrossRef]
- Wakker, B.P. Distances and Metallicities of High- and Intermediate-Velocity Clouds. Astrophys. J. Suppl. Ser. 2001, 136, 463–535. [Google Scholar] [CrossRef]
- Joubaud, T.; Grenier, I.A.; Ballet, J.; Soler, J.D. Gas shells and magnetic fields in the Orion-Eridanus superbubble. Astron. Astrophys. 2019, 631, A52. [Google Scholar] [CrossRef]
- Brown, A.G.A.; et al. [Gaia Collaboration] Gaia Data Release 2. Summary of the contents and survey properties. Astron. Astrophys. 2018, 616, A1. [Google Scholar] [CrossRef]
- Pshirkov, M.S.; Vasiliev, V.V.; Postnov, K.A. Evidence of Fermi bubbles around M31. Mon. Not. R. Astron. Soc. 2016, 459, L76–L80. [Google Scholar] [CrossRef]
- Karwin, C.M.; Murgia, S.; Campbell, S.; Moskalenko, I.V. Fermi-LAT Observations of γ-Ray Emission toward the Outer Halo of M31. Astrophys. J. 2019, 880, 95. [Google Scholar] [CrossRef]
- Recchia, S.; Gabici, S.; Aharonian, F.A.; Niro, V. Giant cosmic ray halos around M31 and the Milky Way. arXiv 2021, arXiv:2101.05016. [Google Scholar]
- Recchia, S.; Blasi, P.; Morlino, G. Cosmic ray driven Galactic winds. Mon. Not. R. Astron. Soc. 2016, 462, 4227–4239. [Google Scholar] [CrossRef]
- Holguin, F.; Ruszkowski, M.; Lazarian, A.; Farber, R.; Yang, H.Y.K. Role of cosmic-ray streaming and turbulent damping in driving galactic winds. Mon. Not. R. Astron. Soc. 2019, 490, 1271–1282. [Google Scholar] [CrossRef]
- Dogiel, V.A.; Ivlev, A.V.; Chernyshov, D.O.; Ko, C.M. Formation of the Cosmic-Ray Halo: Galactic Spectrum of Primary Cosmic Rays. Astrophys. J. 2020, 903, 135. [Google Scholar] [CrossRef]
- Feldmann, R.; Hooper, D.; Gnedin, N.Y. Circum-galactic Gas and the Isotropic Gamma-Ray Background. Astrophys. J. 2013, 763, 21. [Google Scholar] [CrossRef]
- Blasi, P.; Amato, E. Escape of Cosmic Rays from the Galaxy and Effects on the Circumgalactic Medium. Phys. Rev. Lett. 2019, 122, 051101. [Google Scholar] [CrossRef]
- Ackermann, M.; Ajello, M.; Allafort, A.; Baldini, L.; Ballet, J.; Bastieri, D.; Bechtol, K.; Bellazzini, R.; Berenji, B.; Bloom, E.D.; et al. GeV Observations of Star-forming Galaxies with the Fermi Large Area Telescope. Astrophys. J. 2012, 755, 164. [Google Scholar] [CrossRef]
- Dobler, G.; Finkbeiner, D.P.; Cholis, I.; Slatyer, T.R.; Weiner, N. The Fermi Haze: A Gamma-Ray Counterpart to the Microwave Haze. Astrophys. J. 2010, 717, 825–842. [Google Scholar] [CrossRef]
- Su, M.; Slatyer, T.R.; Finkbeiner, D.P. Giant Gamma-ray Bubbles from Fermi-LAT: AGN Activity or Bipolar Galactic Wind? Astrophys. J. 2010, 724, 1044–1082. [Google Scholar] [CrossRef]
- Ackermann, M.; et al. [The Fermi-LAT Collaboration] The Spectrum and Morphology of the Fermi Bubbles. Astrophys. J. 2014, 793, 64. [Google Scholar] [CrossRef]
- Yang, H.Y.; Ruszkowski, M.; Zweibel, E. Unveiling the Origin of the Fermi Bubbles. Galaxies 2018, 6, 29. [Google Scholar] [CrossRef]
- Murgia, S. The Fermi?LAT Galactic Center Excess: Evidence of Annihilating Dark Matter? Annu. Rev. Nucl. Part. Sci. 2020, 70, 455–483. [Google Scholar] [CrossRef]
- Porter, T.A.; Jóhannesson, G.; Moskalenko, I.V. Deciphering Residual Emissions: Time-dependent Models for the Nonthermal Interstellar Radiation from the Milky Way. Astrophys. J. 2019, 887, 250. [Google Scholar] [CrossRef]
- D’Angelo, M.; Blasi, P.; Amato, E. Grammage of cosmic rays around Galactic supernova remnants. Phys. Rev. D 2016, 94, 083003. [Google Scholar] [CrossRef]
- D’Angelo, M.; Morlino, G.; Amato, E.; Blasi, P. Diffuse gamma-ray emission from self-confined cosmic rays around Galactic sources. Mon. Not. R. Astron. Soc. 2018, 474, 1944–1954. [Google Scholar] [CrossRef]
- Jóhannesson, G.; Porter, T.A.; Moskalenko, I.V. Cosmic-Ray Propagation in Light of the Recent Observation of Geminga. Astrophys. J. 2019, 879, 91. [Google Scholar] [CrossRef]
- Abeysekara, A.U.; Albert, A.; Alfaro, R.; Alvarez, C.; Álvarez, J.D.; Arceo, R.; Arteaga-Velázquez, J.C.; Avila Rojas, D.; Ayala Solares, H.A.; Barber, A.S.; et al. Extended gamma-ray sources around pulsars constrain the origin of the positron flux at Earth. Science 2017, 358, 911–914. [Google Scholar] [CrossRef] [PubMed]
- Profumo, S.; Reynoso-Cordova, J.; Kaaz, N.; Silverman, M. Lessons from HAWC pulsar wind nebulae observations: The diffusion constant is not a constant; pulsars remain the likeliest sources of the anomalous positron fraction; cosmic rays are trapped for long periods of time in pockets of inefficient diffusion. Phys. Rev. D 2018, 97, 123008. [Google Scholar] [CrossRef]
- Manconi, S.; Di Mauro, M.; Donato, F. Contribution of pulsars to cosmic-ray positrons in light of recent observation of inverse-Compton halos. Phys. Rev. D 2020, 102, 023015. [Google Scholar] [CrossRef]
- Nava, L.; Gabici, S.; Marcowith, A.; Morlino, G.; Ptuskin, V.S. Non-linear diffusion of cosmic rays escaping from supernova remnants - I. The effect of neutrals. Mon. Not. R. Astron. Soc. 2016, 461, 3552–3562. [Google Scholar] [CrossRef]
- Nava, L.; Recchia, S.; Gabici, S.; Marcowith, A.; Brahimi, L.; Ptuskin, V. Non-linear diffusion of cosmic rays escaping from supernova remnants - II. Hot ionized media. Mon. Not. R. Astron. Soc. 2019, 484, 2684–2691. [Google Scholar] [CrossRef]
- Schroer, B.; Pezzi, O.; Caprioli, D.; Haggerty, C.; Blasi, P. Dynamical effects of cosmic rays leaving their sources. arXiv 2020, arXiv:2011.02238. [Google Scholar]
- Ptuskin, V.S.; Zirakashvili, V.N. On the spectrum of high-energy cosmic rays produced by supernova remnants in the presence of strong cosmic-ray streaming instability and wave dissipation. Astron. Astrophys. 2005, 429, 755–765. [Google Scholar] [CrossRef]
- Drury, L.O. Escaping the accelerator: How, when and in what numbers do cosmic rays get out of supernova remnants? Mon. Not. R. Astron. Soc. 2011, 415, 1807–1814. [Google Scholar] [CrossRef]
- Bell, A.R.; Schure, K.M.; Reville, B.; Giacinti, G. Cosmic-ray acceleration and escape from supernova remnants. Mon. Not. R. Astron. Soc. 2013, 431, 415–429. [Google Scholar] [CrossRef]
- Mitchell, A.M.W.; Rowell, G.P.; Celli, S.; Einecke, S. Using interstellar clouds to search for Galactic PeVatrons: Gamma-ray signatures from supernova remnants. Mon. Not. R. Astron. Soc. 2021, 503, 3522–3539. [Google Scholar] [CrossRef]
- Cristofari, P.; Blasi, P.; Amato, E. The low rate of Galactic pevatrons. Astropart. Phys. 2020, 123, 102492. [Google Scholar] [CrossRef]
- Malkov, M.A.; Diamond, P.H.; Sagdeev, R.Z.; Aharonian, F.A.; Moskalenko, I.V. Analytic Solution for Self-regulated Collective Escape of Cosmic Rays from Their Acceleration Sites. Astrophys. J. 2013, 768, 73. [Google Scholar] [CrossRef]
- Brahimi, L.; Marcowith, A.; Ptuskin, V.S. Nonlinear diffusion of cosmic rays escaping from supernova remnants: Cold partially neutral atomic and molecular phases. Astron. Astrophys. 2020, 633, A72. [Google Scholar] [CrossRef]
- Giacinti, G.; Kachelrieß, M.; Semikoz, D.V. Anisotropic cosmic ray diffusion and its implications for gamma-ray astronomy. Phys. Rev. D 2013, 88, 023010. [Google Scholar] [CrossRef]
- Abdalla, H.; et al. [H. E. S. S. Collaboration] H.E.S.S. observations of RX J1713.7-3946 with improved angular and spectral resolution: Evidence for gamma-ray emission extending beyond the X-ray emitting shell. Astron. Astrophys. 2018, 612, A6. [Google Scholar] [CrossRef]
- Cui, Y.; Yeung, P.K.H.; Tam, P.H.T.; Pühlhofer, G. Leaked GeV CRs from a Broken Shell: Explaining 9 Years of Fermi-LAT Data of SNR W28. Astrophys. J. 2018, 860, 69. [Google Scholar] [CrossRef]
- Uchiyama, Y.; Blandford, R.D.; Funk, S.; Tajima, H.; Tanaka, T. Gamma-ray Emission from Crushed Clouds in Supernova Remnants. Astrophys. J. Lett. 2010, 723, L122–L126. [Google Scholar] [CrossRef]
- Abdollahi, S.; et al. [The Fermi-LAT collaboration] Fermi Large Area Telescope Fourth Source Catalog. Astrophys. J. Suppl. Ser. 2020, 247, 33. [Google Scholar] [CrossRef]
- Gabici, S.; Aharonian, F.A.; Blasi, P. Gamma rays from molecular clouds. Aust. Post Superann. Scheme 2007, 309, 365–371. [Google Scholar] [CrossRef]
- Hanabata, Y.; Katagiri, H.; Hewitt, J.W.; Ballet, J.; Fukazawa, Y.; Fukui, Y.; Hayakawa, T.; Lemoine-Goumard, M.; Pedaletti, G.; Strong, A.W.; et al. Detailed Investigation of the Gamma-Ray Emission in the Vicinity of SNR W28 with FERMI-LAT. Astrophys. J. 2014, 786, 145. [Google Scholar] [CrossRef][Green Version]
- Celli, S.; Morlino, G.; Gabici, S.; Aharonian, F.A. Exploring particle escape in supernova remnants through gamma rays. Mon. Not. R. Astron. Soc. 2019, 490, 4317–4333. [Google Scholar] [CrossRef]
- Acciari, V.A.; et al. [MAGIC Collaboration] Study of the GeV to TeV morphology of the γ-Cygni SNR (G78.2+2.1) with MAGIC and Fermi-LAT. arXiv 2020, arXiv:2010.15854. [Google Scholar]
- Acero, F.; et al. [The Fermi-LAT Collaboration] The First Fermi LAT Supernova Remnant Catalog. Astrophys. J. Suppl. Ser. 2016, 224, 8. [Google Scholar] [CrossRef]
- Uchiyama, Y.; Funk, S.; Katagiri, H.; Katsuta, J.; Lemoine-Goumard, M.; Tajima, H.; Tanaka, T.; Torres, D.F. Fermi Large Area Telescope Discovery of GeV Gamma-Ray Emission from the Vicinity of SNR W44. Astrophys. J. Lett. 2012, 749, L35. [Google Scholar] [CrossRef]
- Eagle, J.; Marchesi, S.; Castro, D.; Ajello, M.; Vendrasco, A. Gamma-Ray Emission Revealed at the Western Edge of SNR G344.7-0.1. Astrophys. J. 2020, 904, 123. [Google Scholar] [CrossRef]
- Eagle, J.; Marchesi, S.; Castro, D.; Ajello, M.; Duvidovich, L.; Tibaldo, L. 2FHL J0826.1-4500: Discovery of a Possible Shock-Cloud Interaction on the Western Edge of the Vela Supernova Remnant. Astrophys. J. 2019, 870, 35. [Google Scholar] [CrossRef]
- Tang, X. Gamma-ray emission from middle-aged supernova remnants interacting with molecular clouds: The challenge for current models. Mon. Not. R. Astron. Soc. 2019, 482, 3843–3856. [Google Scholar] [CrossRef]
- Ackermann, M.; Ajello, M.; Baldini, L.; Ballet, J.; Barbiellini, G.; Bastieri, D.; Bellazzini, R.; Bissaldi, E.; Bloom, E.D.; Bonino, R.; et al. Search for Extended Sources in the Galactic Plane Using Six Years of Fermi-Large Area Telescope Pass 8 Data above 10 GeV. Astrophys. J. 2017, 843, 139. [Google Scholar] [CrossRef]
- Pivato, G.; Hewitt, J.W.; Tibaldo, L.; Acero, F.; Ballet, J.; Brandt, T.J.; de Palma, F.; Giordano, F.; Janssen, G.H.; Jóhannesson, G.; et al. Fermi LAT and WMAP Observations of the Supernova Remnant HB 21. Astrophys. J. 2013, 779, 179. [Google Scholar] [CrossRef][Green Version]
- Ambrogi, L.; Zanin, R.; Casanova, S.; De Oña Wilhelmi, E.; Peron, G.; Aharonian, F. Spectral and morphological study of the gamma radiation of the middle-aged supernova remnant HB 21. Astron. Astrophys. 2019, 623, A86. [Google Scholar] [CrossRef]
- Gaensler, B.M.; Slane, P.O. The Evolution and Structure of Pulsar Wind Nebulae. Annu. Rev. Astron. Astrophys. 2006, 44, 17–47. [Google Scholar] [CrossRef]
- Bucciantini, N.; Olmi, B.; Del Zanna, L. 3D Relativistic MHD Simulations of Pulsar Bow Shock Nebulae. In Journal of Physics Conference Series; IOP Publishing: Bristol, UK, 2020; Volume 1623, p. 012002. [Google Scholar] [CrossRef]
- Giacinti, G.; Mitchell, A.M.W.; López-Coto, R.; Joshi, V.; Parsons, R.D.; Hinton, J.A. On the TeV Halo Fraction in gamma-ray bright Pulsar Wind Nebulae. arXiv 2019, arXiv:1907.12121. [Google Scholar]
- Linden, T.; Auchettl, K.; Bramante, J.; Cholis, I.; Fang, K.; Hooper, D.; Karwal, T.; Li, S.W. Using HAWC to discover invisible pulsars. Phys. Rev. D 2017, 96, 103016. [Google Scholar] [CrossRef]
- Di Mauro, M.; Manconi, S.; Donato, F. Evidences of low-diffusion bubbles around Galactic pulsars. arXiv 2019, arXiv:1908.03216. [Google Scholar]
- Sudoh, T.; Linden, T.; Beacom, J.F. TeV halos are everywhere: Prospects for new discoveries. Phys. Rev. D 2019, 100, 043016. [Google Scholar] [CrossRef]
- Hooper, D.; Linden, T. Millisecond pulsars, TeV halos, and implications for the Galactic Center gamma-ray excess. Phys. Rev. D 2018, 98, 043005. [Google Scholar] [CrossRef]
- Linden, T.; Buckman, B.J. Pulsar TeV Halos Explain the Diffuse TeV Excess Observed by Milagro. Phys. Rev. Lett. 2018, 120, 121101. [Google Scholar] [CrossRef] [PubMed]
- Di Mauro, M.; Manconi, S.; Donato, F. Detection of a γ-ray halo around Geminga with the Fermi-LAT data and implications for the positron flux. Phys. Rev. D 2019, 100, 123015. [Google Scholar] [CrossRef]
- Giacinti, G.; Mitchell, A.M.W.; López-Coto, R.; Joshi, V.; Parsons, R.D.; Hinton, J.A. Halo fraction in TeV-bright pulsar wind nebulae. Astron. Astrophys. 2020, 636, A113. [Google Scholar] [CrossRef]
- Evoli, C.; Linden, T.; Morlino, G. Self-generated cosmic-ray confinement in TeV halos: Implications for TeV γ-ray emission and the positron excess. Phys. Rev. D 2018, 98, 063017. [Google Scholar] [CrossRef]
- López-Coto, R.; Giacinti, G. Constraining the properties of the magnetic turbulence in the Geminga region using HAWC γ-ray data. Mon. Not. R. Astron. Soc. 2018, 479, 4526–4534. [Google Scholar] [CrossRef]
- Ferrand, G.; Marcowith, A. On the shape of the spectrum of cosmic rays accelerated inside superbubbles. Astron. Astrophys. 2010, 510, A101. [Google Scholar] [CrossRef][Green Version]
- Montmerle, T. On gamma-ray sources, supernova remnants, OB associations, and the origin of cosmic rays. Astrophys. J. 1979, 231, 95–110. [Google Scholar] [CrossRef]
- Bykov, A.M. Particle Acceleration and Nonthermal Phenomena in Superbubbles. Space Sci. Rev. 2001, 99, 317–326. [Google Scholar] [CrossRef]
- Parizot, E.; Marcowith, A.; van der Swaluw, E.; Bykov, A.M.; Tatischeff, V. Superbubbles and energetic particles in the Galaxy. I. Collective effects of particle acceleration. Astron. Astrophys. 2004, 424, 747–760. [Google Scholar] [CrossRef]
- Seo, J.; Kang, H.; Ryu, D. The Contribution of Stellar Winds to Cosmic Ray Production. J. Korean Astron. Soc. 2018, 51, 37–48. [Google Scholar] [CrossRef]
- Morlino, G.; Blasi, P.; Peretti, E.; Cristofari, P. Particle acceleration in winds of star clusters. Mon. Not. R. Astron. Soc. 2021. [Google Scholar] [CrossRef]
- Tolksdorf, T.; Grenier, I.A.; Joubaud, T.; Schlickeiser, R. Cosmic Rays in Superbubbles. Astrophys. J. 2019, 879, 66. [Google Scholar] [CrossRef]
- Bykov, A.M.; Marcowith, A.; Amato, E.; Kalyashova, M.E.; Kruijssen, J.M.D.; Waxman, E. High-Energy Particles and Radiation in Star-Forming Regions. Space Sci. Rev. 2020, 216, 42. [Google Scholar] [CrossRef]
- Bykov, A.M.; Ellison, D.C.; Gladilin, P.E.; Osipov, S.M. Supernovae in compact star clusters as sources of high-energy cosmic rays and neutrinos. Adv. Space Res. 2018, 62, 2764–2772. [Google Scholar] [CrossRef]
- Binns, W.R.; Israel, M.H.; Christian, E.R.; Cummings, A.C.; de Nolfo, G.A.; Lave, K.A.; Leske, R.A.; Mewaldt, R.A.; Stone, E.C.; von Rosenvinge, T.T.; et al. Observation of the 60Fe nucleosynthesis-clock isotope in galactic cosmic rays. Science 2016, 352, 677–680. [Google Scholar] [CrossRef]
- Israel, M.H.; Lave, K.A.; Wiedenbeck, M.E.; Binns, W.R.; Christian, E.R.; Cummings, A.C.; Davis, A.J.; de Nolfo, G.A.; Leske, R.A.; Mewaldt, R.A.; et al. Elemental Composition at the Cosmic-Ray Source Derived from the ACE-CRIS Instrument. I. 6C to 28Ni. Astrophys. J. 2018, 865, 69. [Google Scholar] [CrossRef]
- Ackermann, M.; Ajello, M.; Allafort, A.; Baldini, L.; Ballet, J.; Barbiellini, G.; Bastieri, D.; Belfiore, A.; Bellazzini, R.; Berenji, B.; et al. A Cocoon of Freshly Accelerated Cosmic Rays Detected by Fermi in the Cygnus Superbubble. Science 2011, 334, 1103. [Google Scholar] [CrossRef] [PubMed]
- Saha, L.; Domínguez, A.; Tibaldo, L.; Marchesi, S.; Ajello, M.; Lemoine-Goumard, M.; López, M. Morphological and Spectral Study of 4FGL J1115.1-6118 in the Region of the Young Massive Stellar Cluster NGC 3603. Astrophys. J. 2020, 897, 131. [Google Scholar] [CrossRef]
- Ohm, S.; Hinton, J.A.; White, R. γ-ray emission from the Westerlund 1 region. Mon. Not. R. Astron. Soc. 2013, 434, 2289–2294. [Google Scholar] [CrossRef]
- Yang, R.; de Oña Wilhelmi, E.; Aharonian, F. Diffuse γ-ray emission in the vicinity of young star cluster Westerlund 2. Astron. Astrophys. 2018, 611, A77. [Google Scholar] [CrossRef]
- Yang, R.; Wang, Y. The diffuse gamma-ray emission toward the Galactic mini starburst W43. Astron. Astrophys. 2020, 640, A60. [Google Scholar] [CrossRef]
- Bartoli, B.; et al. [The ARGO-YBJ Collaboration] Identification of the TeV Gamma-Ray Source ARGO J2031+4157 with the Cygnus Cocoon. Astrophys. J. 2014, 790, 152. [Google Scholar] [CrossRef]
- Abeysekara, A.U.; Albert, A.; Alfaro, R.; Alvarez, C.; Camacho, J.R.A.; Arteaga-Velázquez, J.C.; Arunbabu, K.P.; Rojas, D.A.; Solares, H.A.; Baghmanyan, V.; et al. HAWC observations of the acceleration of very-high-energy cosmic rays in the Cygnus Cocoon. Nature Astronomy 2021. [Google Scholar] [CrossRef]
- Abramowski, A.; et al. [The HESS Collaboration] Discovery of extended VHE γ-ray emission from the vicinity of the young massive stellar cluster Westerlund 1. Astron. Astrophys. 2012, 537, A114. [Google Scholar] [CrossRef]
- Abramowski, A.; et al. [The H. E. S. S. Collaboration] Revisiting the Westerlund 2 field with the HESS telescope array. Astron. Astrophys. 2011, 525, A46. [Google Scholar] [CrossRef]
- Abramowski, A.; et al. [The H.E.S.S. Collaboration] Acceleration of petaelectronvolt protons in the Galactic Centre. Nature 2016, 531, 476–479. [Google Scholar] [CrossRef] [PubMed]
- Abramowski, A.; et al. [The H.E.S.S. Collaboration] The exceptionally powerful TeV γ-ray emitters in the Large Magellanic Cloud. Science 2015, 347, 406–412. [Google Scholar] [CrossRef]
- Melena, N.W.; Massey, P.; Morrell, N.I.; Zangari, A.M. The Massive Star Content of NGC 3603. Astron. J. 2008, 135, 878–891. [Google Scholar] [CrossRef]
- Furukawa, N.; Dawson, J.R.; Ohama, A.; Kawamura, A.; Mizuno, N.; Onishi, T.; Fukui, Y. Molecular Clouds Toward RCW49 and Westerlund 2: Evidence for Cluster Formation Triggered by Cloud-Cloud Collision. Astrophys. J. Lett. 2009, 696, L115–L119. [Google Scholar] [CrossRef]
- Vargas Álvarez, C.A.; Kobulnicky, H.A.; Bradley, D.R.; Kannappan, S.J.; Norris, M.A.; Cool, R.J.; Miller, B.P. The Distance to the Massive Galactic Cluster Westerlund 2 from a Spectroscopic and HST Photometric Study. Astron. J. 2013, 145, 125. [Google Scholar] [CrossRef][Green Version]
- Nguyen Luong, Q.; Motte, F.; Schuller, F.; Schneider, N.; Bontemps, S.; Schilke, P.; Menten, K.M.; Heitsch, F.; Wyrowski, F.; Carlhoff, P.; et al. W43: The closest molecular complex of the Galactic bar? Astron. Astrophys. 2011, 529, A41. [Google Scholar] [CrossRef]
- Ballet, J.; Burnett, T.H.; Digel, S.W.; Lott, B. Fermi Large Area Telescope Fourth Source Catalog Data Release 2. arXiv 2020, arXiv:2005.11208. [Google Scholar]
- Ackermann, M.; et al. [The Fermi-LAT Collaboration] The Search for Spatial Extension in High-latitude Sources Detected by the Fermi Large Area Telescope. Astrophys. J. Suppl. Ser. 2018, 237, 32. [Google Scholar] [CrossRef]
- Liu, B.; Yang, R.; Sun, X.; Aharonian, F.; Chen, Y. The GeV Emission in the Field of the Star-forming Region W30 Revisited. Astrophys. J. 2019, 881, 94. [Google Scholar] [CrossRef]
- Sun, X.-N.; Yang, R.-Z.; Liang, Y.-F.; Peng, F.-K.; Zhang, H.-M.; Wang, X.-Y.; Aharonian, F. Diffuse γ-ray emission toward the massive star-forming region, W40. Astron. Astrophys. 2020, 639, A80. [Google Scholar] [CrossRef]
- Ergin, T.; Saha, L.; Bhattacharjee, P.; Sano, H.; Tanaka, S.J.; Majumdar, P.; Yamazaki, R.; Fukui, Y. Probing the star formation origin of gamma-rays from 3FHL J1907.0+0713. Mon. Not. R. Astron. Soc. 2021, 501, 4226–4237. [Google Scholar] [CrossRef]
- Katsuta, J.; Uchiyama, Y.; Funk, S. Extended Gamma-Ray Emission from the G25.0+0.0 Region: A Star-forming Region Powered by the Newly Found OB Association? Astrophys. J. 2017, 839, 129. [Google Scholar] [CrossRef]
- Aharonian, F.; Yang, R.; de Oña Wilhelmi, E. Massive stars as major factories of Galactic cosmic rays. Nat. Astron. 2019, 3, 561–567. [Google Scholar] [CrossRef]
- Jouvin, L.; Lemière, A.; Terrier, R. Does the SN rate explain the very high energy cosmic rays in the central 200 pc of our Galaxy? Mon. Not. R. Astron. Soc. 2017, 467, 4622–4630. [Google Scholar] [CrossRef][Green Version]
- Jouvin, L.; Lemière, A.; Terrier, R. Time-dependent escape of cosmic rays from supernova remnants potentially at the origin of the very-high-energy cosmic-ray gradient of the Galactic center. Astron. Astrophys. 2020, 644, A113. [Google Scholar] [CrossRef]
- Maurin, G.; Marcowith, A.; Komin, N.; Krayzel, F.; Lamanna, G. Embedded star clusters as sources of high-energy cosmic rays. Modelling and constraints. Astron. Astrophys. 2016, 591, A71. [Google Scholar] [CrossRef]
- Ackermann, M.; et al. [The Fermi LAT Collaboration] An extremely bright gamma-ray pulsar in the Large Magellanic Cloud. Science 2015, 350, 801–805. [Google Scholar] [CrossRef]
- Völk, H.J.; Aharonian, F.A.; Breitschwerdt, D. The Nonthermal Energy Content and Gamma-Ray Emission of Starburst Galaxies and Clusters of Galaxies. Space Sci. Rev. 1996, 75, 279–297. [Google Scholar] [CrossRef]
- Torres, D.F.; Reimer, O.; Domingo-Santamaría, E.; Digel, S.W. Luminous Infrared Galaxies as Plausible Gamma-Ray Sources for the Gamma-Ray Large Area Space Telescope and the Imaging Atmospheric Cerenkov Telescopes. Astrophys. J. Lett. 2004, 607, L99–L102. [Google Scholar] [CrossRef][Green Version]
- Ajello, M.; Di Mauro, M.; Paliya, V.S.; Garrappa, S. The Gamma-ray Emission of Star-forming Galaxies. Astrophys. J. 2020, 894, 88. [Google Scholar] [CrossRef]
- Yoast-Hull, T.M.; Gallagher, I.I.I.; Zweibel, J.S.E.G.; Everett, J.E. Active Galactic Nuclei, Neutrinos, and Interacting Cosmic Rays in NGC 253 and NGC 1068. Astrophys. J. 2014, 780, 137. [Google Scholar] [CrossRef]
- Acero, F.; et al. [The H.E.S.S. Collaboratione] Detection of Gamma Rays from a Starburst Galaxy. Science 2009, 326, 1080. [Google Scholar] [CrossRef]
- Abdalla, H.; et al. [The H.E.S.S. Collaboration] The starburst galaxy NGC 253 revisited by H.E.S.S. and Fermi-LAT. Astron. Astrophys. 2018, 617, A73. [Google Scholar] [CrossRef]
- Abdo, A.A.; Ackermann, M.; Ajello, M.; Allafort, A.; Atwood, W.B.; Baldini, L.; Ballet, J.; Barbiellini, G.; Bastieri, D.; Bechtol, K.; et al. Fermi Large Area Telescope observations of Local Group galaxies: Detection of M 31 and search for M 33. Astron. Astrophys. 2010, 523, L2. [Google Scholar] [CrossRef]
- Lacki, B.C.; Thompson, T.A.; Quataert, E. The Physics of the Far-infrared-Radio Correlation. I. Calorimetry, Conspiracy, and Implications. Astrophys. J. 2010, 717, 1–28. [Google Scholar] [CrossRef]
- Martin, P. Interstellar gamma-ray emission from cosmic rays in star-forming galaxies. Astron. Astrophys. 2014, 564, A61. [Google Scholar] [CrossRef][Green Version]
- Strong, A.W.; Porter, T.A.; Digel, S.W.; Jóhannesson, G.; Martin, P.; Moskalenko, I.V.; Murphy, E.J.; Orlando, E. Global Cosmic-ray-related Luminosity and Energy Budget of the Milky Way. Astrophys. J. Lett. 2010, 722, L58–L63. [Google Scholar] [CrossRef]
- Krumholz, M.R.; Crocker, R.M.; Xu, S.; Lazarian, A.; Rosevear, M.T.; Bedwell-Wilson, J. Cosmic ray transport in starburst galaxies. Mon. Not. R. Astron. Soc. 2020, 493, 2817–2833. [Google Scholar] [CrossRef]
- Heesen, V.; Beck, R.; Krause, M.; Dettmar, R.J. Cosmic rays and the magnetic field in the nearby starburst galaxy NGC 253. I. The distribution and transport of cosmic rays. Astron. Astrophys. 2009, 494, 563–577. [Google Scholar] [CrossRef]
- Ackermann, M.; Ajello, M.; Albert, A.; Atwood, W.B.; Baldini, L.; Ballet, J.; Barbiellini, G.; Bastieri, D.; Bechtol, K.; Bellazzini, R.; et al. Resolving the Extragalactic Gamma-Ray Background above 50 GeV with the Fermi Large Area Telescope. Phys. Rev. Lett. 2016, 116, 151105. [Google Scholar] [CrossRef] [PubMed]
- Bechtol, K.; Ahlers, M.; |de Mauro, M.; Ajello, M.; Vandenbroucke, J. Evidence against Star-forming Galaxies as the Dominant Source of Icecube Neutrinos. Astrophys. J. 2017, 836, 47. [Google Scholar] [CrossRef]
- Sudoh, T.; Totani, T.; Kawanaka, N. High-energy gamma-ray and neutrino production in star-forming galaxies across cosmic time: Difficulties in explaining the IceCube data. Publ. Astron. Soc. Jpn. 2018, 70, 49. [Google Scholar] [CrossRef]
- Aartsen, M.G.; et al. [The IceCube Collaboration] A Combined Maximum-likelihood Analysis of the High-energy Astrophysical Neutrino Flux Measured with IceCube. Astrophys. J. 2015, 809, 98. [Google Scholar] [CrossRef]
- Ambrosone, A.; Chianese, M.; Fiorillo, D.F.G.; Marinelli, A.; Miele, G.; Pisanti, O. Starburst galaxies strike back: A multi-messenger analysis with Fermi-LAT and IceCube data. Mon. Not. R. Astron. Soc. 2021, 503, 4032–4049. [Google Scholar] [CrossRef]
- Peretti, E.; Blasi, P.; Aharonian, F.; Morlino, G. Cosmic ray transport and radiative processes in nuclei of starburst galaxies. Mon. Not. R. Astron. Soc. 2019, 487, 168–180. [Google Scholar] [CrossRef]
- Yoast-Hull, T.M.; Gallagher, J.S.; Zweibel, E.G. Cosmic rays, gamma-rays, and neutrinos in the starburst nuclei of Arp 220. Mon. Not. R. Astron. Soc. 2015, 453, 222–228. [Google Scholar] [CrossRef]
- Lacki, B.C.; Thompson, T.A. Diffuse Hard X-Ray Emission in Starburst Galaxies as Synchrotron from Very High Energy Electrons. Astrophys. J. 2013, 762, 29. [Google Scholar] [CrossRef]
- Wik, D.R.; Lehmer, B.D.; Hornschemeier, A.E.; Yukita, M.; Ptak, A.; Zezas, A.; Antoniou, V.; Argo, M.K.; Bechtol, K.; Boggs, S.; et al. Spatially Resolving a Starburst Galaxy at Hard X-ray Energies: NuSTAR, Chandra, AND VLBA Observations of NGC 253. arXiv 2014, arXiv:astro-ph.HE/1411.1089, arXiv:astro–phHE/14111089. [Google Scholar]
- Yoast-Hull, T.M.; Everett, J.E.; Gallagher, I.I.I.; S, J.; Zweibel, E.G. Winds, Clumps, and Interacting Cosmic Rays in M82. Astrophys. J. 2013, 768, 53. [Google Scholar] [CrossRef]
- Kornecki, P.; Pellizza, L.J.; del Palacio, S.; Müller, A.L.; Albacete-Colombo, J.F.; Romero, G.E. γ-ray/infrared luminosity correlation of star-forming galaxies. Astron. Astrophys. 2020, 641, A147. [Google Scholar] [CrossRef]
- Pfrommer, C.; Pakmor, R.; Simpson, C.M.; Springel, V. Simulating Gamma-Ray Emission in Star-forming Galaxies. Astrophys. J. Lett. 2017, 847, L13. [Google Scholar] [CrossRef]
- Robitaille, T.; Bressert, E. APLpy: Astronomical Plotting Library in Python. 2012. Available online: http://aplpy.github.io/ (accessed on 10 May 2021).
- Robitaille, T.P.; et al. [Astropy Collaboration] Astropy: A community Python package for astronomy. Astron. Astrophys. 2013, 558, A33. [Google Scholar] [CrossRef]
- Hunter, J.D. Matplotlib: A 2D Graphics Environment. Comput. Sci. Eng. 2007, 9, 90–95. [Google Scholar] [CrossRef]
- Van der Walt, S.; Colbert, S.C.; Varoquaux, G. The NumPy Array: A Structure for Efficient Numerical Computation. Comput. Sci. Eng. 2011, 13, 22–30. [Google Scholar] [CrossRef]
- Virtanen, P.; Gommers, R.; Oliphant, T.E.; Haberland, M.; Reddy, T.; Cournapeau, D.; Burovski, E.; Peterson, P.; Weckesser, W.; Bright, J.; et al. SciPy 1.0: Fundamental Algorithms for Scientific Computing in Python. Nat. Methods 2020, 17, 261–272. [Google Scholar] [CrossRef]





| Name | (deg) | (deg) | Distance (kpc) | GeV Source | TeV Source |
|---|---|---|---|---|---|
| SNR G006.4-00.1 (W 28) | 270.34 | −23.29 | 4FGL J1801.3-2326e | HESS J1801-233/J1800-240A,B,C | |
| SNR G008.7-00.1 (W 30) | 271.41 | −21.61 | 4.5 | 4FGL J1805.6-2136e | |
| SNR G023.3-00.3 (W 41) | 278.72 | −08.74 | HESS J1834-087 | ||
| SNR G034.7-00.4 (W 44) | 284.04 | 01.22 | 3.0 | 4FGL J1855.9+0121e | |
| SNR G043.3-00.2 (W 49B) | 287.79 | 09.11 | 4FGL J1911.0+0905 | HESS J1911+090 | |
| SNR G049.2-00.7 (W 51) | 290.96 | 14.10 | 4FGL J1923.2+1408e | HESS J1923+141 | |
| SNR G089.0+04.7 (HBH 21) | 311.25 | +50.58 | 4FGL J2045.2+5026e | ||
| SNR G189.1+03.0 (IC 443) | 94.51 | 22.66 | 1.5 | 4FGL J0617.2+2234e | TeV J0616+225 |
| SNR G318.2+00.1 | 223.70 | −59.07 | HESS J1457-593 | ||
| SNR G348.5+00.1 (CTB 37A) | 258.63 | −38.48 | 4FGL J1714.4-3830 | HESS J1714-385 | |
| SNR G349.7+00.2 | 259.54 | −37.31 | 4FGL J1718.0-3726 | HESS J1718-374 | |
| SNR G357.7-00.1 | 265.07 | −30.97 | 3FGL J1741.1-3053 | ||
| SNR G359.1-00.5 | 266.37 | −29.95 | 4FGL J1745.8-3028e | HESS J1745-303 | |
| LHA 120-N132D | 81.26 | −69.64 | 50 | TeV J0525-696 |
| Name | (deg) | (deg) | Distance (kpc) | GeV Sources | TeV Sources |
|---|---|---|---|---|---|
| Cygnus | 307.17 | 41.17 | 1.3–1.8 | 4FGL J2028.6+4110e | TeV J2031+406 |
| GC | 266.42 | −29.01 | 8.5 | TeV J1745-290 | |
| TeV J1745-290d | |||||
| NGC 3603 | 168.83 | −61.26 | 6–8 | 4FGL J1115.1-6118 | |
| Westerlund 1 | 251.77 | −45.85 | 4–5 | 4FGL J1645.8-4533 | HESS J1646-458 |
| 4FGL J1648.4-4611 | |||||
| 4FGL J1649.2-4513 | |||||
| 4FGL J1650.3-4600 | |||||
| 4FGL J1652.2-4516 | |||||
| Westerlund 2 | 155.99 | −57.76 | 4–6 | 4FGL J1023.3-5747e | HESS J1023-575 |
| W 43 | 281.88 | −01.94 | 5–7 | 4FGL J1847.2-0141 | HESS J1848-018 |
| 4FGL J1848.6-0202 | |||||
| 4FGL J1848.7-0129 | |||||
| 30 Doradus C | 83.96 | −69.21 | 50 | 30 Doradus C |
Publisher’s Note: MDPI stays neutral with regard to jurisdictional claims in published maps and institutional affiliations. |
© 2021 by the authors. Licensee MDPI, Basel, Switzerland. This article is an open access article distributed under the terms and conditions of the Creative Commons Attribution (CC BY) license (https://creativecommons.org/licenses/by/4.0/).
Share and Cite
Tibaldo, L.; Gaggero, D.; Martin, P. Gamma Rays as Probes of Cosmic-Ray Propagation and Interactions in Galaxies. Universe 2021, 7, 141. https://doi.org/10.3390/universe7050141
Tibaldo L, Gaggero D, Martin P. Gamma Rays as Probes of Cosmic-Ray Propagation and Interactions in Galaxies. Universe. 2021; 7(5):141. https://doi.org/10.3390/universe7050141
Chicago/Turabian StyleTibaldo, Luigi, Daniele Gaggero, and Pierrick Martin. 2021. "Gamma Rays as Probes of Cosmic-Ray Propagation and Interactions in Galaxies" Universe 7, no. 5: 141. https://doi.org/10.3390/universe7050141
APA StyleTibaldo, L., Gaggero, D., & Martin, P. (2021). Gamma Rays as Probes of Cosmic-Ray Propagation and Interactions in Galaxies. Universe, 7(5), 141. https://doi.org/10.3390/universe7050141

