Feedback from Active Galactic Nuclei in Galaxy Groups
Abstract
1. Introduction
2. The Need for AGN Feedback in Galaxy Evolution
2.1. The Shape of the Galaxy Stellar Mass Function
2.2. Co-Evolution between Black Hole Mass and Galaxy Properties
3. Observational Evidence
3.1. X-ray Observations
3.1.1. Feedback-Induced Hydrodynamical Features
- (a)
- the sonic time, i.e., the time that is required by the cavity to reach its projected distance R at the speed of sound,with , the mean atomic weight of the plasma, and the proton mass;
- (b)
- the refill time that is required by the gas to refill the displaced volume as the cavity rises upward,where r is the radius of the cavity and is the gravitational acceleration at the cavity position;
- (c)
- the buoyancy time, i.e., the time that iis required for the cavity to rise buoyantly at its terminal velocity,where V and S are the volume and the cross-section of the cavity, respectively, and is the drag coefficient [111].
3.1.2. Non-Gravitational Feedback Energy and Entropy Profiles
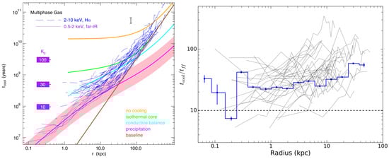
3.1.3. Thermal Instability Timescale Profiles
3.1.4. Baryon Content
3.2. Radio Observations
3.2.1. Interaction between Radio Sources and the IGrM
3.2.2. Giant Radio Galaxies
3.3. Multiwavelength Observations
4. Theoretical Framework
4.1. AGN Feeding & Cooling Processes
4.2. AGN Feedback & Heating Processes
5. Impact of AGN Feedback on Large Scales
5.1. AGN Feedback in Cosmological Simulations
- High resolution zoom simulations (a few hundred pc spatial resolution and ∼ particles) of a few groups or of a small volume. These types of simulations are typically used to develop new baryonic physics and study the details of its impact on the IGrM (e.g., ROMULUS [280]; NewHorizon [281]; FABLE [282]).
- Moderate resolution simulations (spatial resolution of the order of ∼1 kpc and ∼ particles) of volumes that are large enough (about 100 Mpc on a side) to contain a sizable sample of groups, but not many clusters (e.g., Horizon-AGN [283]; EAGLE [284]; Illustris (TNG) [285,286]; SIMBA [287,288]; MassiveBlack-II [289]).
- Low resolution simulations (about 5 kpc spatial resolution and ∼ particles) of much larger volumes (∼300–1000 Mpc on a side with the most common value being around 500 Mpc) to contain a large sample of groups and clusters (e.g., IllustrisTNG-300 [286]; cosmo-OWLS [12]; BAHAMAS [41]; Magneticum [290]; Horizon Run 5 [291]).
5.2. The Hot Gas Fraction and the AGN Feedback Model
5.3. Co-Evolution between the IGrM and the Central AGN
5.4. Impact on Cosmological Probes
6. Future Observatories
6.1. eROSITA
6.2. XRISM
6.3. Athena
6.4. Lynx
6.5. The Square Kilometer Array and Its Precursors
6.6. Upcoming SZ Facilities
Author Contributions
Funding
Institutional Review Board Statement
Informed Consent Statement
Data Availability Statement
Acknowledgments
Conflicts of Interest
Appendix A. List of the Properties of Detected AGN Cavities in Galaxy Groups
| Source | Age | Ref. | |||||
|---|---|---|---|---|---|---|---|
| (kpc) | (kpc) | (kpc) | ( ergs) | (Myr) | ( ergs/s) | ||
| HCG 62 N | 5.0 | 4.3 | 8.4 | 18-15-31 | [92,126,381] | ||
| HCG 62 S | 4.0 | 4.0 | 8.6 | 19-16-29 | |||
| 3C88 E | 23 | 23 | 28 | 95 | 60 | [115] | |
| 3C449 S | 13 | 13 | 39 | 14.6 | 70 | [382] | |
| IC1262 N | 2.2 | 1.5 | 6.5 | 58.0 | 17-24-52 | [383] | |
| IC1262 S | 4 | 2 | 6.1 | 50.1 | 12-21-42 | ||
| NGC 5813 in SW | 0.95 | 0.95 | 1.3 | 0.11 | 1.2 | [384] | |
| NGC 5813 in NE | 1.03 | 0.93 | 1.4 | 0.15 | 1.4 | ||
| NGC 5813 mid SW | 3.9 | 3.9 | 7.7 | 1.53 | 7.2 | ||
| NGC 5813 mid-1 NE | 2.9 | 2.2 | 4.9 | 0.93 | 4.6 | ||
| NGC 5813 mid-2 NE | 2.8 | 2.4 | 9.3 | 0.41 | 8.8 | ||
| NGC 5813 out SW | 5.2 | 3.0 | 22.2 | 0.6 | 20.8 | ||
| NGC 5813 out NE | 8.0 | 4.4 | 18.0 | 2.6 | 17.0 | ||
| IC 4296 NW | 80 | 80 | 230 | 920 | 220 | [203] | |
| NGC 741 W | 8 | 8 | 16 | 30 | [385] | ||
| NGC 193 | 63.4 | 47.2 | 0.0 | 22.7 | 44.2-20.4-76.9 | 0.11 ± 0.01 | [199] |
| NGC 507 E | 21.7 | 8.7 | 22.1 | 308 | 48.4-229-38.9 | 1.37 ± 0.02 | [199] |
| NGC 507 W | 13.4 | 5.0 | 11.7 | 90 | 22.2-17.4-38.9 | ||
| NGC 1550 E | 5.96 | 2.31 | 9.0 | 6.70 | 12.8-27.9-37.0 | 2.79 | [193] |
| NGC 1550 W | 4.09 | 1.88 | 14.65 | 2.00 | 19.8-52.6-33.0 | ||
| NGC 4261 E | 20.94 | 15.51 | 24.82 | 31.02 | 40.5-36.6-105.3 | 0.11 | [106,191] |
| NGC 4261 W | 18.62 | 16.91 | 21.72 | 32.78 | 35.4-31.8-99.4 | ||
| NGC 4636 NE | 2.67 | 1.11 | 3.25 | 0.28 | 8.8-20.2-46.8 | 0.18 ± 0.01 | [199] |
| NGC 4636 SE | 2.40 | 1.52 | 2.80 | 0.47 | 7.6-17.0-47.2 | ||
| NGC 4636 SW | 2.78 | 1.88 | 4.62 | 0.88 | 11.7-31.2-62.1 | ||
| NGC 4636 NW | 2.53 | 1.32 | 3.33 | 0.38 | 9.1-21.5-49.7 | ||
| NGC 4782 | 10.7 | 10.7 | 23.0 | 11.0 | 35-54- | [386] | |
| NGC 5044 SW | 6.54 | 2.84 | 8.60 | 2.17 | 21.1-14.4-35.5 | 4.72 ± 0.01 | [106,191] |
| NGC 5044 NW | 3.04 | 2.34 | 4.85 | 0.62 | 11.4-16.4-35.5 | ||
| NGC 5044 in SW | 0.15 | 0.15 | 0.45 | 0.0007 | 1 | [195,209] | |
| NGC 5044 in NE | 0.15 | 0.15 | 0.45 | 0.0007 | 1 | [195,209] | |
| NGC 5098 N | 3.0 | 1.6 | 2.97 | 7.0 | 18 | [387] | |
| NGC 5098 S | 3.0 | 1.6 | 2.97 | 7.0 | 18 | ||
| NGC 5846 N | 0.74 | 0.58 | 0.64 | 0.35 | 1.7-1.2-4.6 | 0.27 ± 0.01 | [199] |
| NGC 5846 S | 0.74 | 0.58 | 0.68 | 0.35 | 1.8-1.4-4.8 | ||
| NGC 5903 | 16.0 | 13.0 | 24.6 | 2.3 ± 0.10 | 82.5 | 0.0047 ± 0.0005 | [388] |
| NGC 6269 N | 5.2 | 5.2 | 10.7 | 22.4 | 14.0-14.3-26.2 | 0.78 | [199] |
| NGC 6269 S | 5.5 | 5.5 | 12.3 | 27.2 | 16.1-17.1-28.9 | ||
| NGC 6338 in NE | 4.60 | 3.22 | 3.96 | 20.38 | 7.3-5.6-19.3 | 4.56 | [210] |
| NGC 6338 in SW | 4.22 | 3.22 | 6.34 | 10.20 | 11.4-14.7-30.8 | ||
| NGC 6338 outer | 6.49 | 4.01 | 18.21 | 12.98 | 25.8-33.5-32.7 | ||
| VII Zw 700 NE | 3.96 | 2.43 | 5.54 | 0.24 | 44.0-41.7-95.5 | 0.54 ± 0.03 | [210] |
| VII Zw 700 SW | 4.70 | 1.90 | 3.43 | 0.43 | 27.3-29.3-82.8 | ||
| NGC 6868 NW | 11.7 | 11.7 | 38.7 | 1.48 | 88-107-119 | [389] | |
| NGC 6868 SE | 8.14 | 8.14 | 25.3 | 1.0 | 55 | ||
| A 1991 N | 16.8 | 5.5 | 12.4 | 496 | 18-28-68 | 60.4 | [390] |
| A 1991 S | 13.3 | 6.2 | 11.5 | 535 | 18-29-59 | ||
| A 3581 1 | 7.9 | 3.8 | 3.1 | [105] | |||
| A 3581 2 | 3.4 | 3.7 | 3.1 | [105] | |||
| NGC 533 1 | 2.2 | 1.3 | 1.2 | [105] | |||
| NGC 533 2 | 3.1 | 1.6 | 1.6 | [105] | |||
| NGC 4104 | 1.9 | 1.5 | 0.0 | [105] | |||
| RXC J0352.9+1941 1 | 8.0 | 5.9 | 9.3 | [107] | |||
| RXC J0352.9+1941 2 | 7.9 | 4.3 | 10.8 | ||||
| RX J0419+0225 | 1.2 | 0.9 | 1.7 | [107] | |||
| A 2550 1 | 18.9 | 9.3 | 10.3 | [105] | |||
| A 2550 2 | 10.7 | 5.9 | 7.8 | [105] | |||
| A2717 1 | 11.2 | 6.3 | 7.9 | [105] | |||
| A2717 2 | 13.4 | 5.8 | 8.4 | [105] | |||
| AS1101 1 | 21.0 | 14.7 | 24.2 | [105] | |||
| AS1101 2 | 24.1 | 15.7 | 23.6 | [105] | |||
| ESO 351-021 | 12.2 | 8.6 | 14.8 | [105] | |||
| RX J1159+5531 1 | 7.7 | 3.9 | 7.5 | [105] | |||
| RX J1159+5531 2 | 6.7 | 4.3 | 9.7 | [105] | |||
| RX J1206-0744 | 27.6 | 21.4 | 29.1 | [105] | |||
| NGC 2300 | 1.3 | 1.0 | 1.5 | [105] | |||
| UGC 5088 1 | 7.3 | 5.4 | 8.4 | [105] | |||
| UGC 5088 2 | 6.5 | 3.6 | 5.4 | [105] | |||
| NGC 777 E | 1.9 | 2.3 | 4.6 | 0.99 | [104,113] | ||
| NGC 777 W | 2.1 | 2.4 | 4.0 | [113] | |||
| NGC 4235 E | 2.4 | 4.6 | 11.8 | [113] | |||
| NGC 4235 W | 2.1 | 2.4 | 4.0 | [113] | |||
| NGC 1553 1 | 4.1 | 3.5 | 4.6 | 0.42 | 13.5-10.7-33.0 | 1.72 | [104] |
| NGC 1553 2 | 3.5 | 2.7 | 3.3 | 0.28 | 9.8-7.4-25.2 | 1.72 | [104] |
| NGC 1600 1 | 0.87 | 0.82 | 1.21 | 0.15 | 2.2-1.6-4.2 | 0.12 | [104] |
| NGC 1600 2 | 0.83 | 0.72 | 1.42 | 0.11 | 2.5-2.1-4.3 | 0.12 | [104] |
| NGC 3608 1 | 3.2 | 2.2 | 6.0 | 0.04 | 18.7-15.9-26.4 | 0.008 | [104] |
| NGC 3608 2 | 2.5 | 1.7 | 5.3 | 0.02 | 16.3-14.8-21.5 | 0.008 | [104] |
| NGC 7626 1 | 5.6 | 3.1 | 14.4 | 0.37 | 33.1-36.5-39.9 | 0.12 | [104] |
| NGC 7626 2 | 1.4 | 0.7 | 3.0 | 0.03 | 6.8-7.0-8.7 | 0.12 | [104] |
| NGC 7626 3 | 1.6 | 1.1 | 3.8 | 0.06 | 8.7-8.8-11.5 | 0.12 | [104] |
| NGC 7626 4 | 4.7 | 4.0 | 16.2 | 0.36 | 37.2-42.5-43.2 | 0.12 | [104] |
| A 262 E | 2.6 | 2.6 | 6.2 | 1.7 | 11-13-20 | [92,391] |
References
- Springel, V. The cosmological simulation code GADGET-2. Mon. Not. R. Astron. Soc. 2005, 364, 1105–1134. [Google Scholar] [CrossRef]
- Robotham, A.S.G.; Norberg, P.; Driver, S.P.; Baldry, I.K.; Bamford, S.P.; Hopkins, A.M.; Liske, J.; Loveday, J.; Merson, A.; Peacock, J.A.; et al. Galaxy and Mass Assembly (GAMA): The GAMA galaxy group catalogue (G3Cv1). Mon. Not. R. Astron. Soc. 2011, 416, 2640–2668. [Google Scholar] [CrossRef]
- Davidzon, I.; Ilbert, O.; Laigle, C.; Coupon, J.; McCracken, H.J.; Delvecchio, I.; Masters, D.; Capak, P.; Hsieh, B.C.; Le Fèvre, O.; et al. The COSMOS2015 galaxy stellar mass function. Thirteen billion years of stellar mass assembly in ten snapshots. Astron. Astrophys. 2017, 605, A70. [Google Scholar] [CrossRef]
- Behroozi, P.S.; Wechsler, R.H.; Conroy, C. The Average Star Formation Histories of Galaxies in Dark Matter Halos from z = 0–8. Astrophys. J. 2013, 770, 57. [Google Scholar] [CrossRef]
- Leauthaud, A.; Tinker, J.; Bundy, K.; Behroozi, P.S.; Massey, R.; Rhodes, J.; George, M.R.; Kneib, J.P.; Benson, A.; Wechsler, R.H.; et al. New Constraints on the Evolution of the Stellar-to-dark Matter Connection: A Combined Analysis of Galaxy-Galaxy Lensing, Clustering, and Stellar Mass Functions from z = 0.2 to z =1. Astrophys. J. 2012, 744, 159. [Google Scholar] [CrossRef]
- Coupon, J.; Arnouts, S.; van Waerbeke, L.; Moutard, T.; Ilbert, O.; van Uitert, E.; Erben, T.; Garilli, B.; Guzzo, L.; Heymans, C.; et al. The galaxy-halo connection from a joint lensing, clustering and abundance analysis in the CFHTLenS/VIPERS field. Mon. Not. R. Astron. Soc. 2015, 449, 1352–1379. [Google Scholar] [CrossRef]
- Silk, J.; Rees, M.J. Quasars and galaxy formation. Astron. Astrophys. 1998, 331, L1–L4. [Google Scholar]
- McNamara, B.R.; Nulsen, P.E.J. Heating Hot Atmospheres with Active Galactic Nuclei. Annu. Rev. Astron. Astrophys. 2007, 45, 117–175. [Google Scholar] [CrossRef]
- Fabian, A.C. Observational Evidence of Active Galactic Nuclei Feedback. Annu. Rev. Astron. Astrophys. 2012, 50, 455–489. [Google Scholar] [CrossRef]
- Gitti, M.; Brighenti, F.; McNamara, B.R. Evidence for AGN Feedback in Galaxy Clusters and Groups. Adv. Astron. 2012, 2012, 1–24. [Google Scholar] [CrossRef]
- Gaspari, M.; Tombesi, F.; Cappi, M. Linking macro-, meso- and microscales in multiphase AGN feeding and feedback. Nat. Astron. 2020, 4, 10–13. [Google Scholar] [CrossRef]
- Le Brun, A.M.C.; McCarthy, I.G.; Schaye, J.; Ponman, T.J. Towards a realistic population of simulated galaxy groups and clusters. Mon. Not. R. Astron. Soc. 2014, 441, 1270–1290. [Google Scholar] [CrossRef]
- Gastaldello, F.; Buote, D.A.; Temi, P.; Brighenti, F.; Mathews, W.G.; Ettori, S. X-ray Cavities, Filaments, and Cold Fronts in the Core of the Galaxy Group NGC 5044. Astrophys. J. 2009, 693, 43–55. [Google Scholar] [CrossRef]
- Randall, S.W.; Nulsen, P.E.J.; Jones, C.; Forman, W.R.; Bulbul, E.; Clarke, T.E.; Kraft, R.; Blanton, E.L.; David, L.; Werner, N.; et al. A Very Deep Chandra Observation of the Galaxy Group NGC 5813: AGN Shocks, Feedback, and Outburst History. Astrophys. J. 2015, 805, 112. [Google Scholar] [CrossRef]
- Larson, R.B. Effects of supernovae on the early evolution of galaxies. Mon. Not. R. Astron. Soc. 1974, 169, 229–246. [Google Scholar] [CrossRef]
- Rees, M.J.; Ostriker, J.P. Cooling, dynamics and fragmentation of massive gas clouds: Clues to the masses and radii of galaxies and clusters. Mon. Not. R. Astron. Soc. 1977, 179, 541–559. [Google Scholar] [CrossRef]
- White, S.D.M.; Rees, M.J. Core condensation in heavy halos: A two-stage theory for galaxy formation and clustering. Mon. Not. R. Astron. Soc. 1978, 183, 341–358. [Google Scholar] [CrossRef]
- Granato, G.L.; De Zotti, G.; Silva, L.; Bressan, A.; Danese, L. A Physical Model for the Coevolution of QSOs and Their Spheroidal Hosts. Astrophys. J. 2004, 600, 580–594. [Google Scholar] [CrossRef]
- Bower, R.G.; Benson, A.J.; Malbon, R.; Helly, J.C.; Frenk, C.S.; Baugh, C.M.; Cole, S.; Lacey, C.G. Breaking the hierarchy of galaxy formation. Mon. Not. R. Astron. Soc. 2006, 370, 645–655. [Google Scholar] [CrossRef]
- Croton, D.J.; Springel, V.; White, S.D.M.; De Lucia, G.; Frenk, C.S.; Gao, L.; Jenkins, A.; Kauffmann, G.; Navarro, J.F.; Yoshida, N. The many lives of active galactic nuclei: Cooling flows, black holes and the luminosities and colours of galaxies. Mon. Not. R. Astron. Soc. 2006, 365, 11–28. [Google Scholar] [CrossRef]
- Di Matteo, T.; Colberg, J.; Springel, V.; Hernquist, L.; Sijacki, D. Direct Cosmological Simulations of the Growth of Black Holes and Galaxies. Astrophys. J. 2008, 676, 33–53. [Google Scholar] [CrossRef]
- Puchwein, E.; Sijacki, D.; Springel, V. Simulations of AGN Feedback in Galaxy Clusters and Groups: Impact on Gas Fractions and the LX-T Scaling Relation. Astrophys. J. 2008, 687, L53–L56. [Google Scholar] [CrossRef]
- Cowie, L.L.; Songaila, A.; Hu, E.M.; Cohen, J.G. New Insight on Galaxy Formation and Evolution From Keck Spectroscopy of the Hawaii Deep Fields. Astron. J. 1996, 112, 839. [Google Scholar] [CrossRef]
- Shaver, P.A.; Wall, J.V.; Kellermann, K.I.; Jackson, C.A.; Hawkins, M.R.S. Decrease in the space density of quasars at high redshift. Nature 1996, 384, 439–441. [Google Scholar] [CrossRef]
- Madau, P.; Ferguson, H.C.; Dickinson, M.E.; Giavalisco, M.; Steidel, C.C.; Fruchter, A. High-redshift galaxies in the Hubble Deep Field: Colour selection and star formation history to z~4. Mon. Not. R. Astron. Soc. 1996, 283, 1388–1404. [Google Scholar] [CrossRef]
- Benson, A.J.; Bower, R.G.; Frenk, C.S.; Lacey, C.G.; Baugh, C.M.; Cole, S. What Shapes the Luminosity Function of Galaxies? Astrophys. J. 2003, 599, 38–49. [Google Scholar] [CrossRef]
- Bower, R.G.; McCarthy, I.G.; Benson, A.J. The flip side of galaxy formation: A combined model of galaxy formation and cluster heating. Mon. Not. R. Astron. Soc. 2008, 390, 1399–1410. [Google Scholar] [CrossRef][Green Version]
- Silk, J. On the fragmentation of cosmic gas clouds. I. The formation of galaxies and the first generation of stars. Astrophys. J. 1977, 211, 638–648. [Google Scholar] [CrossRef]
- Cole, S. Modeling Galaxy Formation in Evolving Dark Matter Halos. Astrophys. J. 1991, 367, 45. [Google Scholar] [CrossRef]
- White, S.D.M.; Frenk, C.S. Galaxy Formation through Hierarchical Clustering. Astrophys. J. 1991, 379, 52. [Google Scholar] [CrossRef]
- Blanchard, A.; Valls-Gabaud, D.; Mamon, G.A. The origin of the galaxy luminosity function and the thermal evolution of the intergalactic medium. Astron. Astrophys. 1992, 264, 365–378. [Google Scholar]
- Katz, N. Dissipational Galaxy Formation. II. Effects of Star Formation. Astrophys. J. 1992, 391, 502. [Google Scholar] [CrossRef]
- Kauffmann, G.; Colberg, J.M.; Diaferio, A.; White, S.D.M. Clustering of galaxies in a hierarchical universe—I. Methods and results at z=0. Mon. Not. R. Astron. Soc. 1999, 303, 188–206. [Google Scholar] [CrossRef]
- van Kampen, E.; Jimenez, R.; Peacock, J.A. Overmerging and mass-to-light ratios in phenomenological galaxy formation models. Mon. Not. R. Astron. Soc. 1999, 310, 43–56. [Google Scholar] [CrossRef][Green Version]
- Cole, S.; Lacey, C.G.; Baugh, C.M.; Frenk, C.S. Hierarchical galaxy formation. Mon. Not. R. Astron. Soc. 2000, 319, 168–204. [Google Scholar] [CrossRef]
- Cole, S.; Norberg, P.; Baugh, C.M.; Frenk, C.S.; Bland-Hawthorn, J.; Bridges, T.; Cannon, R.; Colless, M.; Collins, C.; Couch, W.; et al. The 2dF galaxy redshift survey: Near-infrared galaxy luminosity functions. Mon. Not. R. Astron. Soc. 2001, 326, 255–273. [Google Scholar] [CrossRef]
- Balogh, M.L.; Pearce, F.R.; Bower, R.G.; Kay, S.T. Revisiting the cosmic cooling crisis. Mon. Not. R. Astron. Soc. 2001, 326, 1228–1234. [Google Scholar] [CrossRef]
- Lin, Y.T.; Mohr, J.J.; Stanford, S.A. Near-Infrared Properties of Galaxy Clusters: Luminosity as a Binding Mass Predictor and the State of Cluster Baryons. Astrophys. J. 2003, 591, 749–763. [Google Scholar] [CrossRef]
- Yang, X.; Mo, H.J.; van den Bosch, F.C.; Jing, Y.P. A halo-based galaxy group finder: Calibration and application to the 2dFGRS. Mon. Not. R. Astron. Soc. 2005, 356, 1293–1307. [Google Scholar] [CrossRef]
- Eke, V.R.; Baugh, C.M.; Cole, S.; Frenk, C.S.; Navarro, J.F. Galaxy groups in the 2dF Galaxy Redshift Survey: The number density of groups. Mon. Not. R. Astron. Soc. 2006, 370, 1147–1158. [Google Scholar] [CrossRef][Green Version]
- McCarthy, I.G.; Schaye, J.; Bird, S.; Le Brun, A.M.C. The BAHAMAS project: Calibrated hydrodynamical simulations for large-scale structure cosmology. Mon. Not. R. Astron. Soc. 2017, 465, 2936–2965. [Google Scholar] [CrossRef]
- Tinker, J.; Kravtsov, A.V.; Klypin, A.; Abazajian, K.; Warren, M.; Yepes, G.; Gottlöber, S.; Holz, D.E. Toward a Halo Mass Function for Precision Cosmology: The Limits of Universality. Astrophys. J. 2008, 688, 709–728. [Google Scholar] [CrossRef]
- Evrard, A.E.; Henry, J.P. Expectations for X-ray cluster observations by the ROSAT satellite. Astrophys. J. 1991, 383, 95–103. [Google Scholar] [CrossRef]
- Kaiser, N. Evolution of Clusters of Galaxies. Astrophys. J. 1991, 383, 104. [Google Scholar] [CrossRef]
- Balogh, M.L.; McCarthy, I.G.; Bower, R.G.; Eke, V.R. Testing cold dark matter with the hierarchical build-up of stellar light. Mon. Not. R. Astron. Soc. 2008, 385, 1003–1014. [Google Scholar] [CrossRef][Green Version]
- Bryan, G.L. Explaining the Entropy Excess in Clusters and Groups of Galaxies without Additional Heating. Astrophys. J. 2000, 544, L1–L5. [Google Scholar] [CrossRef]
- Muanwong, O.; Thomas, P.A.; Kay, S.T.; Pearce, F.R. The effect of cooling and preheating on the X-ray properties of clusters of galaxies. Mon. Not. R. Astron. Soc. 2002, 336, 527–540. [Google Scholar] [CrossRef]
- Voit, G.M.; Bryan, G.L. Regulation of the X-ray luminosity of clusters of galaxies by cooling and supernova feedback. Nature 2001, 414, 425–427. [Google Scholar] [CrossRef] [PubMed]
- Voit, G.M.; Bryan, G.L.; Balogh, M.L.; Bower, R.G. Modified Entropy Models for the Intracluster Medium. Astrophys. J. 2002, 576, 601–624. [Google Scholar] [CrossRef]
- Wu, X.P.; Xue, Y.J. The Effect of Radiative Cooling on the Scale Dependence of the Global Stellar and Gas Content of Groups and Clusters of Galaxies. Astrophys. J. 2002, 572, L19–L22. [Google Scholar] [CrossRef]
- Menci, N.; Cavaliere, A. The history of cosmic baryons: X-ray emission versus star formation rate. Mon. Not. R. Astron. Soc. 2000, 311, 50–62. [Google Scholar] [CrossRef]
- Bower, R.G.; Benson, A.J.; Lacey, C.G.; Baugh, C.M.; Cole, S.; Frenk, C.S. The impact of galaxy formation on the X-ray evolution of clusters. Mon. Not. R. Astron. Soc. 2001, 325, 497–508. [Google Scholar] [CrossRef]
- Kay, S.T.; Thomas, P.A.; Theuns, T. The impact of galaxy formation on X-ray groups. Mon. Not. R. Astron. Soc. 2003, 343, 608–618. [Google Scholar] [CrossRef]
- Valdarnini, R. Iron abundances and heating of the intracluster medium in hydrodynamical simulations of galaxy clusters. Mon. Not. R. Astron. Soc. 2003, 339, 1117–1134. [Google Scholar] [CrossRef][Green Version]
- Nagai, D.; Vikhlinin, A.; Kravtsov, A.V. Testing X-ray Measurements of Galaxy Clusters with Cosmological Simulations. Astrophys. J. 2007, 655, 98–108. [Google Scholar] [CrossRef]
- Valageas, P.; Silk, J. The entropy history of the universe. Astron. Astrophys. 1999, 350, 725–742. [Google Scholar]
- Kravtsov, A.V.; Yepes, G. On the supernova heating of the intergalactic medium. Mon. Not. R. Astron. Soc. 2000, 318, 227–238. [Google Scholar] [CrossRef][Green Version]
- Wu, K.K.S.; Fabian, A.C.; Nulsen, P.E.J. Non-gravitational heating in the hierarchical formation of X-ray clusters. Mon. Not. R. Astron. Soc. 2000, 318, 889–912. [Google Scholar] [CrossRef]
- Martin, C.L. Properties of Galactic Outflows: Measurements of the Feedback from Star Formation. Astrophys. J. 1999, 513, 156–160. [Google Scholar] [CrossRef]
- Fabian, A.C.; Voigt, L.M.; Morris, R.G. On conduction, cooling flows and galaxy formation. Mon. Not. R. Astron. Soc. 2002, 335, L71–L74. [Google Scholar] [CrossRef]
- Dolag, K.; Jubelgas, M.; Springel, V.; Borgani, S.; Rasia, E. Thermal Conduction in Simulated Galaxy Clusters. Astrophys. J. 2004, 606, L97–L100. [Google Scholar] [CrossRef]
- Pope, E.C.D.; Pavlovski, G.; Kaiser, C.R.; Fangohr, H. The effects of thermal conduction on the intracluster medium of the Virgo cluster. Mon. Not. R. Astron. Soc. 2005, 364, 13–28. [Google Scholar] [CrossRef]
- Kauffmann, G.; Haehnelt, M. A unified model for the evolution of galaxies and quasars. Mon. Not. R. Astron. Soc. 2000, 311, 576–588. [Google Scholar] [CrossRef]
- Kormendy, J.; Ho, L.C. Coevolution (Or Not) of Supermassive Black Holes and Host Galaxies. Annu. Rev. Astron. Astrophys. 2013, 51, 511–653. [Google Scholar] [CrossRef]
- Magorrian, J.; Tremaine, S.; Richstone, D.; Bender, R.; Bower, G.; Dressler, A.; Faber, S.M.; Gebhardt, K.; Green, R.; Grillmair, C.; et al. The Demography of Massive Dark Objects in Galaxy Centers. Astron. J. 1998, 115, 2285–2305. [Google Scholar] [CrossRef]
- Ferrarese, L.; Merritt, D. A Fundamental Relation between Supermassive Black Holes and Their Host Galaxies. Astrophys. J. 2000, 539, L9–L12. [Google Scholar] [CrossRef]
- Gültekin, K.; Richstone, D.O.; Gebhardt, K.; Lauer, T.R.; Tremaine, S.; Aller, M.C.; Bender, R.; Dressler, A.; Faber, S.M.; Filippenko, A.V.; et al. The M-σ and M-L Relations in Galactic Bulges, and Determinations of Their Intrinsic Scatter. Astrophys. J. 2009, 698, 198–221. [Google Scholar] [CrossRef]
- McConnell, N.J.; Ma, C.P.; Gebhardt, K.; Wright, S.A.; Murphy, J.D.; Lauer, T.R.; Graham, J.R.; Richstone, D.O. Two ten-billion-solar-mass black holes at the centres of giant elliptical galaxies. Nature 2011, 480, 215–218. [Google Scholar] [CrossRef]
- McConnell, N.J.; Ma, C.P. Revisiting the Scaling Relations of Black Hole Masses and Host Galaxy Properties. Astrophys. J. 2013, 764, 184. [Google Scholar] [CrossRef]
- van den Bosch, R.C.E. Unification of the fundamental plane and Super Massive Black Hole Masses. Astrophys. J. 2016, 831, 134. [Google Scholar] [CrossRef]
- Fabian, A.C. The obscured growth of massive black holes. Mon. Not. R. Astron. Soc. 1999, 308, L39–L43. [Google Scholar] [CrossRef]
- Cattaneo, A.; Haehnelt, M.G.; Rees, M.J. The distribution of supermassive black holes in the nuclei of nearby galaxies. Mon. Not. R. Astron. Soc. 1999, 308, 77–81. [Google Scholar] [CrossRef]
- Saglia, R.P.; Opitsch, M.; Erwin, P.; Thomas, J.; Beifiori, A.; Fabricius, M.; Mazzalay, X.; Nowak, N.; Rusli, S.P.; Bender, R. The SINFONI Black Hole Survey: The Black Hole Fundamental Plane Revisited and the Paths of (Co)evolution of Supermassive Black Holes and Bulges. Astrophys. J. 2016, 818, 47. [Google Scholar] [CrossRef]
- Ferrarese, L. Beyond the Bulge: A Fundamental Relation between Supermassive Black Holes and Dark Matter Halos. Astrophys. J. 2002, 578, 90–97. [Google Scholar] [CrossRef]
- Booth, C.M.; Schaye, J. Dark matter haloes determine the masses of supermassive black holes. Mon. Not. R. Astron. Soc. 2010, 405, L1–L5. [Google Scholar] [CrossRef]
- Bogdán, Á.; Lovisari, L.; Volonteri, M.; Dubois, Y. Correlation between the Total Gravitating Mass of Groups and Clusters and the Supermassive Black Hole Mass of Brightest Galaxies. Astrophys. J. 2018, 852, 131. [Google Scholar] [CrossRef]
- Gaspari, M.; Eckert, D.; Ettori, S.; Tozzi, P.; Bassini, L.; Rasia, E.; Brighenti, F.; Sun, M.; Borgani, S.; Johnson, S.D.; et al. The X-ray Halo Scaling Relations of Supermassive Black Holes. Astrophys. J. 2019, 884, 169. [Google Scholar] [CrossRef]
- Lakhchaura, K.; Truong, N.; Werner, N. Correlations between supermassive black holes, hot atmospheres, and the total masses of early-type galaxies. Mon. Not. R. Astron. Soc. 2019, 488, L134–L142. [Google Scholar] [CrossRef]
- Fabian, A.C. Cooling Flows in Clusters of Galaxies. Annu. Rev. Astron. Astrophys. 1994, 32, 277–318. [Google Scholar] [CrossRef]
- Kaastra, J.S.; Ferrigno, C.; Tamura, T.; Paerels, F.B.S.; Peterson, J.R.; Mittaz, J.P.D. XMM-Newton observations of the cluster of galaxies Sérsic 159-03. Astron. Astrophys. 2001, 365, L99–L103. [Google Scholar] [CrossRef]
- Peterson, J.R.; Paerels, F.B.S.; Kaastra, J.S.; Arnaud, M.; Reiprich, T.H.; Fabian, A.C.; Mushotzky, R.F.; Jernigan, J.G.; Sakelliou, I. X-ray imaging-spectroscopy of Abell 1835. Astron. Astrophys. 2001, 365, L104–L109. [Google Scholar] [CrossRef]
- Molendi, S.; Pizzolato, F. Is the Gas in Cooling Flows Multiphase? Astrophys. J. 2001, 560, 194–200. [Google Scholar] [CrossRef]
- Peterson, J.R.; Fabian, A.C. X-ray spectroscopy of cooling clusters. Phys. Rep. 2006, 427, 1–39. [Google Scholar] [CrossRef]
- Narayan, R.; Medvedev, M.V. Thermal Conduction in Clusters of Galaxies. Astrophys. J. 2001, 562, L129–L132. [Google Scholar] [CrossRef]
- Motl, P.M.; Burns, J.O.; Loken, C.; Norman, M.L.; Bryan, G. Formation of Cool Cores in Galaxy Clusters via Hierarchical Mergers. Astrophys. J. 2004, 606, 635–653. [Google Scholar] [CrossRef]
- ZuHone, J.A.; Markevitch, M.; Johnson, R.E. Stirring Up the Pot: Can Cooling Flows in Galaxy Clusters be Quenched by Gas Sloshing? Astrophys. J. 2010, 717, 908–928. [Google Scholar] [CrossRef]
- Silk, J.; Djorgovski, S.; Wyse, R.F.G.; Bruzual, A. Self-regulated Cooling Flows in Elliptical Galaxies and in Cluster Cores: Is Excusively Low Mass Star Formation Really Necessary? Astrophys. J. 1986, 307, 415. [Google Scholar] [CrossRef]
- Burns, J.O. The radio properties of cD galaxies in Abell clusters. I—An X-ray selected sample. Astron. J. 1990, 99, 14–30. [Google Scholar] [CrossRef]
- Best, P.N.; von der Linden, A.; Kauffmann, G.; Heckman, T.M.; Kaiser, C.R. On the prevalence of radio-loud active galactic nuclei in brightest cluster galaxies: Implications for AGN heating of cooling flows. Mon. Not. R. Astron. Soc. 2007, 379, 894–908. [Google Scholar] [CrossRef]
- Finoguenov, A.; Jones, C. Chandra Observation of M84, a Radio Lobe Elliptical Galaxy in the Virgo Cluster. Astrophys. J. 2001, 547, L107–L110. [Google Scholar] [CrossRef]
- Vrtilek, J.M.; Grego, L.; David, L.P.; Ponman, T.J.; Forman, W.; Jones, C.; Harris, D.E. A Sharper Picture of X-ray Bright Galaxy Groups: Chandra Imaging and Spectroscopy of HCG 62 and NGC 741; American Physical Society: Albuquerque, NM, USA, 2002; p. B17.107. [Google Scholar]
- Bîrzan, L.; Rafferty, D.A.; McNamara, B.R.; Wise, M.W.; Nulsen, P.E.J. A Systematic Study of Radio-induced X-ray Cavities in Clusters, Groups, and Galaxies. Astrophys. J. 2004, 607, 800–809. [Google Scholar] [CrossRef]
- Forman, W.; Nulsen, P.; Heinz, S.; Owen, F.; Eilek, J.; Vikhlinin, A.; Markevitch, M.; Kraft, R.; Churazov, E.; Jones, C. Reflections of Active Galactic Nucleus Outbursts in the Gaseous Atmosphere of M87. Astrophys. J. 2005, 635, 894–906. [Google Scholar] [CrossRef]
- Allen, S.W.; Dunn, R.J.H.; Fabian, A.C.; Taylor, G.B.; Reynolds, C.S. The relation between accretion rate and jet power in X-ray luminous elliptical galaxies. Mon. Not. R. Astron. Soc. 2006, 372, 21–30. [Google Scholar] [CrossRef]
- Fabian, A.C.; Sanders, J.S.; Taylor, G.B.; Allen, S.W.; Crawford, C.S.; Johnstone, R.M.; Iwasawa, K. A very deep Chandra observation of the Perseus cluster: Shocks, ripples and conduction. Mon. Not. R. Astron. Soc. 2006, 366, 417–428. [Google Scholar] [CrossRef]
- Dunn, R.J.H.; Fabian, A.C. Investigating AGN heating in a sample of nearby clusters. Mon. Not. R. Astron. Soc. 2006, 373, 959–971. [Google Scholar] [CrossRef]
- Jetha, N.N.; Ponman, T.J.; Hardcastle, M.J.; Croston, J.H. Active galactic nuclei heating in the centres of galaxy groups: A statistical study. Mon. Not. R. Astron. Soc. 2007, 376, 193–204. [Google Scholar] [CrossRef][Green Version]
- Croston, J.H. Jet/Environment Interactions in Low-Power Radio Galaxies. In Extragalactic Jets: Theory and Observation from Radio to Gamma Ray; Rector, T.A., De Young, D.S., Eds.; Astronomical Society of the Pacific: Girdwood, AK, USA, 2008; Volume 386, p. 335. [Google Scholar]
- Churazov, E.; Sunyaev, R.; Forman, W.; Böhringer, H. Cooling flows as a calorimeter of active galactic nucleus mechanical power. Mon. Not. R. Astron. Soc. 2002, 332, 729–734. [Google Scholar] [CrossRef]
- Scheuer, P.A.G. Models of extragalactic radio sources with a continuous energy supply from a central object. Mon. Not. R. Astron. Soc. 1974, 166, 513–528. [Google Scholar] [CrossRef]
- Nulsen, P.E.J.; McNamara, B.R.; Wise, M.W.; David, L.P. The Cluster-Scale AGN Outburst in Hydra A. Astrophys. J. 2005, 628, 629–636. [Google Scholar] [CrossRef]
- McNamara, B.R.; Nulsen, P.E.J.; Wise, M.W.; Rafferty, D.A.; Carilli, C.; Sarazin, C.L.; Blanton, E.L. The heating of gas in a galaxy cluster by X-ray cavities and large-scale shock fronts. Nature 2005, 433, 45–47. [Google Scholar] [CrossRef]
- Nulsen, P.E.J.; Jones, C.; Forman, W.R.; David, L.P.; McNamara, B.R.; Rafferty, D.A.; Bîrzan, L.; Wise, M.W. AGN Heating Through Cavities and Shocks. In Heating versus Cooling in Galaxies and Clusters of Galaxies; Springer-Verlag series “ESO Astrophysics, Symposia.”; Böhringer, H., Pratt, G.W., Finoguenov, A., Schuecker, P., Eds.; Springer: Heidelberg, Germany, 2007; p. 210. [Google Scholar] [CrossRef]
- Cavagnolo, K.W.; McNamara, B.R.; Nulsen, P.E.J.; Carilli, C.L.; Jones, C.; Birzan, L. A relationship between AGN jet power and radio power. Astrophys. J. 2010, 720, 1066–1072. [Google Scholar] [CrossRef]
- Dong, R.; Rasmussen, J.; Mulchaey, J.S. A Systematic Search for X-ray Cavities in the Hot Gas of Galaxy Groups. Astrophys. J. 2010, 712, 883–900. [Google Scholar] [CrossRef]
- O’Sullivan, E.; Ponman, T.J.; Kolokythas, K.; Raychaudhury, S.; Babul, A.; Vrtilek, J.M.; David, L.P.; Giacintucci, S.; Gitti, M.; Haines, C.P. The Complete Local Volume Groups Sample—I. Sample selection and X-ray properties of the high-richness subsample. Mon. Not. R. Astron. Soc. 2017, 472, 1482–1505. [Google Scholar] [CrossRef]
- Shin, J.; Woo, J.H.; Mulchaey, J.S. A Systematic Search for X-ray Cavities in Galaxy Clusters, Groups, and Elliptical Galaxies. Astrophys. J. 2016, 227, 31. [Google Scholar] [CrossRef]
- Kim, D.W.; Anderson, C.; Burke, D.; D’Abrusco, R.; Fabbiano, G.; Fruscione, A.; Lauer, J.; McCollough, M.; Morgan, D.; Mossman, A.; et al. Chandra Early-type Galaxy Atlas. Astrophys. J. Suppl. Ser. 2019, 241, 36. [Google Scholar] [CrossRef]
- McNamara, B.R.; Nulsen, P.E.J. Mechanical feedback from active galactic nuclei in galaxies, groups and clusters. New J. Phys. 2012, 14, 055023. [Google Scholar] [CrossRef]
- Abdulla, Z.; Carlstrom, J.E.; Mantz, A.B.; Marrone, D.P.; Greer, C.H.; Lamb, J.W.; Leitch, E.M.; Muchovej, S.; O’Donnell, C.; Plagge, T.J.; et al. Constraints on the Thermal Contents of the X-ray Cavities of Cluster MS 0735.6+7421 with Sunyaev-Zel’dovich Effect Observations. Astrophys. J. 2019, 871, 195. [Google Scholar] [CrossRef]
- Churazov, E.; Brüggen, M.; Kaiser, C.R.; Böhringer, H.; Forman, W. Evolution of Buoyant Bubbles in M87. Astrophys. J. 2001, 554, 261–273. [Google Scholar] [CrossRef]
- Bîrzan, L.; McNamara, B.R.; Nulsen, P.E.J.; Carilli, C.L.; Wise, M.W. Radiative Efficiency and Content of Extragalactic Radio Sources: Toward a Universal Scaling Relation between Jet Power and Radio Power. Astrophys. J. 2008, 686, 859. [Google Scholar] [CrossRef]
- Panagoulia, E.K.; Fabian, A.C.; Sanders, J.S.; Hlavacek-Larrondo, J. A volume-limited sample of X-ray galaxy groups and clusters—II. X-ray cavity dynamics. Mon. Not. R. Astron. Soc. 2014, 444, 1236–1259. [Google Scholar] [CrossRef]
- Salvatier, J.; Wiecki, T.V.; Fonnesbeck, C. Probabilistic programming in Python using PyMC3. PeerJ Comput. Sci. 2016, 2, e55. [Google Scholar] [CrossRef]
- Liu, W.; Sun, M.; Nulsen, P.; Clarke, T.; Sarazin, C.; Forman, W.; Gaspari, M.; Giacintucci, S.; Lal, D.V.; Edge, T. AGN feedback in galaxy group 3C 88: Cavities, shock, and jet reorientation. Mon. Not. R. Astron. Soc. Lett. 2019, 484, 3376–3392. [Google Scholar] [CrossRef]
- Tang, X.; Churazov, E. Sound wave generation by a spherically symmetric outburst and AGN feedback in galaxy clusters. Mon. Not. R. Astron. Soc. 2017, 468, 3516–3532. [Google Scholar] [CrossRef]
- Machacek, M.; Nulsen, P.E.J.; Jones, C.; Forman, W.R. Chandra Observations of Nuclear Outflows in the Elliptical Galaxy NGC 4552 in the Virgo Cluster. Astrophys. J. 2006, 648, 947–955. [Google Scholar] [CrossRef][Green Version]
- Forman, W.; Churazov, E.; Jones, C.; Heinz, S.; Kraft, R.; Vikhlinin, A. Partitioning the Outburst Energy of a Low Eddington Accretion Rate AGN at the Center of an Elliptical Galaxy: The Recent 12 Myr History of the Supermassive Black Hole in M87. Astrophys. J. 2017, 844, 122. [Google Scholar] [CrossRef]
- Wise, M.W.; McNamara, B.R.; Nulsen, P.E.J.; Houck, J.C.; David, L.P. X-ray Supercavities in the Hydra A Cluster and the Outburst History of the Central Galaxy’s Active Nucleus. Astrophys. J. 2007, 659, 1153–1158. [Google Scholar] [CrossRef]
- Croston, J.H.; Kraft, R.P.; Hardcastle, M.J.; Birkinshaw, M.; Worrall, D.M.; Nulsen, P.E.J.; Penna, R.F.; Sivakoff, G.R.; Jordán, A.; Brassington, N.J.; et al. High-energy particle acceleration at the radio-lobe shock of Centaurus A. Mon. Not. R. Astron. Soc. 2009, 395, 1999–2012. [Google Scholar] [CrossRef]
- Snios, B.; Nulsen, P.E.J.; Wise, M.W.; de Vries, M.; Birkinshaw, M.; Worrall, D.M.; Duffy, R.T.; Kraft, R.P.; McNamara, B.R.; Carilli, C.; et al. The Cocoon Shocks of Cygnus A: Pressures and Their Implications for the Jets and Lobes. Astrophys. J. 2018, 855, 71. [Google Scholar] [CrossRef]
- Croston, J.H.; Hardcastle, M.J.; Mingo, B.; Evans, D.A.; Dicken, D.; Morganti, R.; Tadhunter, C.N. A Large-scale Shock Surrounding a Powerful Radio Galaxy? Astrophys. J. 2011, 734, L28. [Google Scholar] [CrossRef]
- Blanton, E.L.; Randall, S.W.; Douglass, E.M.; Sarazin, C.L.; Clarke, T.E.; McNamara, B.R. Shocks and Bubbles in a Deep Chandra Observation of the Cooling Flow Cluster Abell 2052. Astrophys. J. 2009, 697, L95–L98. [Google Scholar] [CrossRef]
- Kraft, R.P.; Birkinshaw, M.; Nulsen, P.E.J.; Worrall, D.M.; Croston, J.H.; Forman, W.R.; Hardcastle, M.J.; Jones, C.; Murray, S.S. An Active Galactic Nucleus Driven Shock in the Intracluster Medium around the Radio Galaxy 3C 310. Astrophys. J. 2012, 749, 19. [Google Scholar] [CrossRef]
- Baldi, A.; Forman, W.; Jones, C.; Kraft, R.; Nulsen, P.; Churazov, E.; David, L.; Giacintucci, S. The Unusual X-ray Morphology of NGC 4636 Revealed by Deep Chandra Observations: Cavities and Shocks Created by Past Active Galactic Nucleus Outbursts. Astrophys. J. 2009, 707, 1034–1043. [Google Scholar] [CrossRef]
- Gitti, M.; O’Sullivan, E.; Giacintucci, S.; David, L.P.; Vrtilek, J.; Raychaudhury, S.; Nulsen, P.E.J. Cavities and Shocks in the Galaxy Group HCG 62 as Revealed by Chandra, XMM-Newton, and Giant Metrewave Radio Telescope Data. Astrophys. J. 2010, 714, 758–771. [Google Scholar] [CrossRef]
- Kaiser, N. Evolution and clustering of rich clusters. Mon. Not. R. Astron. Soc. 1986, 222, 323–345. [Google Scholar] [CrossRef]
- Allen, S.W.; Fabian, A.C. The impact of cooling flows on the T_X-L_Bol relation for the most luminous clusters. Mon. Not. R. Astron. Soc. 1998, 297, L57–L62. [Google Scholar] [CrossRef]
- Arnaud, M.; Evrard, A.E. The L_X-T relation and intracluster gas fractions of X-ray clusters. Mon. Not. R. Astron. Soc. 1999, 305, 631–640. [Google Scholar] [CrossRef]
- Markevitch, M. The LX-T Relation and Temperature Function for Nearby Clusters Revisited. Astrophys. J. 1998, 504, 27–34. [Google Scholar] [CrossRef]
- Tozzi, P.; Scharf, C.; Norman, C. Detection of the Entropy of the Intergalactic Medium: Accretion Shocks in Clusters, Adiabatic Cores in Groups. Astrophys. J. 2000, 542, 106–119. [Google Scholar] [CrossRef][Green Version]
- Tozzi, P.; Norman, C. The Evolution of X-ray Clusters and the Entropy of the Intracluster Medium. Astrophys. J. 2001, 546, 63–84. [Google Scholar] [CrossRef]
- Knight, P.A.; Ponman, T.J. The properties of the hot gas in galaxy groups and clusters from 1D hydrodynamical simulations—I. Cosmological infall models. Mon. Not. R. Astron. Soc. 1997, 289, 955–972. [Google Scholar] [CrossRef][Green Version]
- Ponman, T.J.; Cannon, D.B.; Navarro, J.F. The thermal imprint of galaxy formation on X-ray clusters. Nature 1999, 397, 135–137. [Google Scholar] [CrossRef]
- Borgani, S.; Viel, M. The evolution of a pre-heated intergalactic medium. Mon. Not. R. Astron. Soc. 2009, 392, L26–L30. [Google Scholar] [CrossRef]
- Eke, V.R.; Navarro, J.F.; Frenk, C.S. The Evolution of X-ray Clusters in a Low-Density Universe. Astrophys. J. 1998, 503, 569–592. [Google Scholar] [CrossRef]
- Sun, M.; Voit, G.M.; Donahue, M.; Jones, C.; Forman, W.; Vikhlinin, A. Chandra Studies of the X-ray Gas Properties of Galaxy Groups. Astrophys. J. 2009, 693, 1142–1172. [Google Scholar] [CrossRef]
- Vikhlinin, A.; Burenin, R.A.; Ebeling, H.; Forman, W.R.; Hornstrup, A.; Jones, C.; Kravtsov, A.V.; Murray, S.S.; Nagai, D.; Quintana, H.; et al. Chandra Cluster Cosmology Project. II. Samples and X-ray Data Reduction. Astrophys. J. 2009, 692, 1033–1059. [Google Scholar] [CrossRef]
- Lloyd-Davies, E.J.; Ponman, T.J.; Cannon, D.B. The entropy and energy of intergalactic gas in galaxy clusters. Mon. Not. R. Astron. Soc. 2000, 315, 689–702. [Google Scholar] [CrossRef]
- Ponman, T.J.; Sanderson, A.J.R.; Finoguenov, A. The Birmingham-CfA cluster scaling project—III. Entropy and similarity in galaxy systems. Mon. Not. R. Astron. Soc. 2003, 343, 331–342. [Google Scholar] [CrossRef]
- Brighenti, F.; Mathews, W.G. Entropy Evolution in Galaxy Groups and Clusters: A Comparison of External and Internal Heating. Astrophys. J. 2001, 553, 103–120. [Google Scholar] [CrossRef]
- Finoguenov, A.; Jones, C.; Böhringer, H.; Ponman, T.J. ASCA Observations of Groups at Radii of Low Overdensity: Implications for the Cosmic Preheating. Astrophys. J. 2002, 578, 74–89. [Google Scholar] [CrossRef]
- Voit, G.M.; Kay, S.T.; Bryan, G.L. The baseline intracluster entropy profile from gravitational structure formation. Mon. Not. R. Astron. Soc. 2005, 364, 909–916. [Google Scholar] [CrossRef]
- Humphrey, P.J.; Buote, D.A.; Brighenti, F.; Flohic, H.M.L.G.; Gastaldello, F.; Mathews, W.G. Tracing the Gas to the Virial Radius (R 100) in a Fossil Group. Astrophys. J. 2012, 748, 11. [Google Scholar] [CrossRef]
- Simionescu, A.; Werner, N.; Mantz, A.; Allen, S.W.; Urban, O. Witnessing the growth of the nearest galaxy cluster: Thermodynamics of the Virgo Cluster outskirts. Mon. Not. R. Astron. Soc. 2017, 469, 1476–1495. [Google Scholar] [CrossRef]
- Thölken, S.; Lovisari, L.; Reiprich, T.H.; Hasenbusch, J. X-ray analysis of the galaxy group UGC 03957 beyond R200 with Suzaku. Astron. Astrophys. 2016, 592, A37. [Google Scholar] [CrossRef]
- Johnson, R.; Ponman, T.J.; Finoguenov, A. A statistical analysis of the Two-Dimensional XMM-Newton Group Survey: The impact of feedback on group properties. Mon. Not. R. Astron. Soc. 2009, 395, 1287–1308. [Google Scholar] [CrossRef]
- Finoguenov, A.; Davis, D.S.; Zimer, M.; Mulchaey, J.S. The Two-dimensional XMM-Newton Group Survey: z < 0.012 Groups. Astrophys. J. 2006, 646, 143–160. [Google Scholar] [CrossRef]
- Finoguenov, A.; Ponman, T.J.; Osmond, J.P.F.; Zimer, M. XMM-Newton study of 0.012 < z < 0.024 groups—I. Overview of the IGM thermodynamics. Mon. Not. R. Astron. Soc. 2007, 374, 737–760. [Google Scholar] [CrossRef]
- Mahdavi, A.; Finoguenov, A.; Böhringer, H.; Geller, M.J.; Henry, J.P. XMM-Newton and Gemini Observations of Eight RASSCALS Galaxy Groups. Astrophys. J. 2005, 622, 187–204. [Google Scholar] [CrossRef]
- Sanderson, A.J.R.; O’Sullivan, E.; Ponman, T.J. A statistically selected Chandra sample of 20 galaxy clusters—II. Gas properties and cool core/non-cool core bimodality. Mon. Not. R. Astron. Soc. 2009, 395, 764–776. [Google Scholar] [CrossRef]
- Cavagnolo, K.W.; Donahue, M.; Voit, G.M.; Sun, M. Intracluster Medium Entropy Profiles for a Chandra Archival Sample of Galaxy Clusters. Astrophys. J. 2009, 182, 12–32. [Google Scholar] [CrossRef]
- Panagoulia, E.K.; Fabian, A.C.; Sanders, J.S. A volume-limited sample of X-ray galaxy groups and clusters—I. Radial entropy and cooling time profiles. Mon. Not. R. Astron. Soc. 2014, 438, 2341–2354. [Google Scholar] [CrossRef]
- Hogan, M.T.; McNamara, B.R.; Pulido, F.A.; Nulsen, P.E.J.; Vantyghem, A.N.; Russell, H.R.; Edge, A.C.; Babyk, I.; Main, R.A.; McDonald, M. The Onset of Thermally Unstable Cooling from the Hot Atmospheres of Giant Galaxies in Clusters: Constraints on Feedback Models. Astrophys. J. 2017, 851, 66. [Google Scholar] [CrossRef]
- Babyk, I.V.; McNamara, B.R.; Nulsen, P.E.J.; Russell, H.R.; Vantyghem, A.N.; Hogan, M.T.; Pulido, F.A. A Universal Entropy Profile for the Hot Atmospheres of Galaxies and Clusters within R 2500. Astrophys. J. 2018, 862, 39. [Google Scholar] [CrossRef]
- Gaspari, M.; Ruszkowski, M.; Sharma, P. Cause and Effect of Feedback: Multiphase Gas in Cluster Cores Heated by AGN Jets. Astrophys. J. 2012, 746, 94. [Google Scholar] [CrossRef]
- McCourt, M.; Sharma, P.; Quataert, E.; Parrish, I.J. Thermal instability in gravitationally stratified plasmas: Implications for multiphase structure in clusters and galaxy haloes. Mon. Not. R. Astron. Soc. 2012, 419, 3319–3337. [Google Scholar] [CrossRef]
- Sharma, P.; McCourt, M.; Quataert, E.; Parrish, I.J. Thermal instability and the feedback regulation of hot haloes in clusters, groups and galaxies. Mon. Not. R. Astron. Soc. 2012, 420, 3174–3194. [Google Scholar] [CrossRef]
- Voit, G.M.; Donahue, M.; Bryan, G.L.; McDonald, M. Regulation of star formation in giant galaxies by precipitation, feedback and conduction. Nature 2015, 519, 203–206. [Google Scholar] [CrossRef]
- Voit, G.M.; Bryan, G.L.; O’Shea, B.W.; Donahue, M. Precipitation-regulated Star Formation in Galaxies. Astrophys. J. 2015, 808, L30. [Google Scholar] [CrossRef]
- Field, G.B. Thermal Instability. Astrophys. J. 1965, 142, 531. [Google Scholar] [CrossRef]
- Borgani, S.; Finoguenov, A.; Kay, S.T.; Ponman, T.J.; Springel, V.; Tozzi, P.; Voit, G.M. Entropy amplification from energy feedback in simulated galaxy groups and clusters. Mon. Not. R. Astron. Soc. 2005, 361, 233–243. [Google Scholar] [CrossRef]
- Cavagnolo, K.W.; Donahue, M.; Voit, G.M.; Sun, M. An Entropy Threshold for Strong Hα and Radio Emission in the Cores of Galaxy Clusters. Astrophys. J. 2008, 683, L107–L110. [Google Scholar] [CrossRef]
- Lau, E.T.; Gaspari, M.; Nagai, D.; Coppi, P. Physical Origins of Gas Motions in Galaxy Cluster Cores: Interpreting Hitomi Observations of the Perseus Cluster. Astrophys. J. 2017, 849, 54. [Google Scholar] [CrossRef]
- Gaspari, M.; McDonald, M.; Hamer, S.L.; Brighenti, F.; Temi, P.; Gendron-Marsolais, M.; Hlavacek-Larrondo, J.; Edge, A.C.; Werner, N.; Tozzi, P.; et al. Shaken Snow Globes: Kinematic Tracers of the Multiphase Condensation Cascade in Massive Galaxies, Groups, and Clusters. Astrophys. J. 2018, 854, 167. [Google Scholar] [CrossRef]
- Gaspari, M.; Temi, P.; Brighenti, F. Raining on black holes and massive galaxies: The top-down multiphase condensation model. Mon. Not. R. Astron. Soc. 2017, 466, 677–704. [Google Scholar] [CrossRef]
- Olivares, V.; Salome, P.; Combes, F.; Hamer, S.; Guillard, P.; Lehnert, M.D.; Polles, F.L.; Beckmann, R.S.; Dubois, Y.; Donahue, M.; et al. Ubiquitous cold and massive filaments in cool core clusters. Astron. Astrophys. 2019, 631, A22. [Google Scholar] [CrossRef]
- Juráňová, A.; Werner, N.; Gaspari, M.; Lakhchaura, K.; Nulsen, P.E.J.; Sun, M.; Canning, R.E.A.; Allen, S.W.; Simionescu, A.; Oonk, J.B.R.; et al. Cooling in the X-ray halo of the rotating, massive early-type galaxy NGC 7049. Mon. Not. R. Astron. Soc. 2019, 484, 2886–2895. [Google Scholar] [CrossRef]
- Eckert, D.; Ghirardini, V.; Ettori, S.; Rasia, E.; Biffi, V.; Pointecouteau, E.; Rossetti, M.; Molendi, S.; Vazza, F.; Gastaldello, F.; et al. Non-thermal pressure support in X-COP galaxy clusters. Astron. Astrophys. 2019, 621, A40. [Google Scholar] [CrossRef]
- Gonzalez, A.H.; Zaritsky, D.; Zabludoff, A.I. A Census of Baryons in Galaxy Clusters and Groups. Astrophys. J. 2007, 666, 147–155. [Google Scholar] [CrossRef]
- Gastaldello, F.; Buote, D.A.; Humphrey, P.J.; Zappacosta, L.; Bullock, J.S.; Brighenti, F.; Mathews, W.G. Probing the Dark Matter and Gas Fraction in Relaxed Galaxy Groups with X-ray Observations from Chandra and XMM-Newton. Astrophys. J. 2007, 669, 158–183. [Google Scholar] [CrossRef]
- Gonzalez, A.H.; Sivanandam, S.; Zabludoff, A.I.; Zaritsky, D. Galaxy Cluster Baryon Fractions Revisited. Astrophys. J. 2013, 778, 14. [Google Scholar] [CrossRef]
- Pratt, G.W.; Croston, J.H.; Arnaud, M.; Böhringer, H. Galaxy cluster X-ray luminosity scaling relations from a representative local sample (REXCESS). Astron. Astrophys. 2009, 498, 361–378. [Google Scholar] [CrossRef]
- Lovisari, L.; Reiprich, T.H.; Schellenberger, G. Scaling properties of a complete X-ray selected galaxy group sample. Astron. Astrophys. 2015, 573, A118. [Google Scholar] [CrossRef]
- Eckert, D.; Ettori, S.; Coupon, J.; Gastaldello, F.; Pierre, M.; Melin, J.B.; Le Brun, A.M.C.; McCarthy, I.G.; Adami, C.; Chiappetti, L.; et al. The XXL Survey. XIII. Baryon content of the bright cluster sample. Astron. Astrophys. 2016, 592, A12. [Google Scholar] [CrossRef]
- Ettori, S. The physics inside the scaling relations for X-ray galaxy clusters: Gas clumpiness, gas mass fraction and slope of the pressure profile. Mon. Not. R. Astron. Soc. 2015, 446, 2629–2639. [Google Scholar] [CrossRef]
- Nugent, J.M.; Dai, X.; Sun, M. Suzaku Measurements of Hot Halo Emission at Outskirts for Two Poor Galaxy Groups: NGC 3402 and NGC 5129. Astrophys. J. 2020, 899, 160. [Google Scholar] [CrossRef]
- Sun, M. Hot gas in galaxy groups: Recent observations. New J. Phys. 2012, 14, 045004. [Google Scholar] [CrossRef]
- Croston, J.H.; Pratt, G.W.; Böhringer, H.; Arnaud, M.; Pointecouteau, E.; Ponman, T.J.; Sanderson, A.J.R.; Temple, R.F.; Bower, R.G.; Donahue, M. Galaxy-cluster gas-density distributions of the representative XMM-Newton cluster structure survey (REXCESS). Astron. Astrophys. 2008, 487, 431–443. [Google Scholar] [CrossRef]
- Chiu, I.; Mohr, J.J.; McDonald, M.; Bocquet, S.; Desai, S.; Klein, M.; Israel, H.; Ashby, M.L.N.; Stanford, A.; Benson, B.A.; et al. Baryon content in a sample of 91 galaxy clusters selected by the South Pole Telescope at 0.2 <z < 1.25. Mon. Not. R. Astron. Soc. 2018, 478, 3072–3099. [Google Scholar] [CrossRef]
- Sanderson, A.J.R.; O’Sullivan, E.; Ponman, T.J.; Gonzalez, A.H.; Sivanandam, S.; Zabludoff, A.I.; Zaritsky, D. The baryon budget on the galaxy group/cluster boundary. Mon. Not. R. Astron. Soc. 2013, 429, 3288–3304. [Google Scholar] [CrossRef]
- Andreon, S. The stellar mass fraction and baryon content of galaxy clusters and groups. Mon. Not. R. Astron. Soc. 2010, 407, 263–276. [Google Scholar] [CrossRef]
- Kravtsov, A.V.; Vikhlinin, A.A.; Meshcheryakov, A.V. Stellar Mass—Halo Mass Relation and Star Formation Efficiency in High-Mass Halos. Astron. Lett. 2018, 44, 8–34. [Google Scholar] [CrossRef]
- Rasia, E.; Ettori, S.; Moscardini, L.; Mazzotta, P.; Borgani, S.; Dolag, K.; Tormen, G.; Cheng, L.M.; Diaferio, A. Systematics in the X-ray cluster mass estimators. Mon. Not. R. Astron. Soc. 2006, 369, 2013–2024. [Google Scholar] [CrossRef]
- Eckert, D.; Molendi, S.; Paltani, S. The cool-core bias in X-ray galaxy cluster samples. I. Method and application to HIFLUGCS. Astron. Astrophys. 2011, 526, A79. [Google Scholar] [CrossRef]
- Andreon, S.; Wang, J.; Trinchieri, G.; Moretti, A.; Serra, A.L. Variegate galaxy cluster gas content: Mean fraction, scatter, selection effects, and covariance with X-ray luminosity. Astron. Astrophys. 2017, 606, A24. [Google Scholar] [CrossRef]
- Lin, Y.T.; Mohr, J.J. Radio Sources in Galaxy Clusters: Radial Distribution, and 1.4 GHz and K-band Bivariate Luminosity Function. ApJS 2007, 170, 71–94. [Google Scholar] [CrossRef]
- Smolčić, V.; Finoguenov, A.; Zamorani, G.; Schinnerer, E.; Tanaka, M.; Giodini, S.; Scoville, N. On the occupation of X-ray-selected galaxy groups by radio active galactic nuclei since z = 1.3. Mon. Not. R. Astron. Soc. Lett. 2011, 416, L31–L35. [Google Scholar] [CrossRef]
- Dunn, R.J.H.; Allen, S.W.; Taylor, G.B.; Shurkin, K.F.; Gentile, G.; Fabian, A.C.; Reynolds, C.S. The radio properties of a complete, X-ray selected sample of nearby, massive elliptical galaxies. Mon. Not. R. Astron. Soc. Lett. 2010, 404, 180. [Google Scholar] [CrossRef]
- Kolokythas, K.; O’Sullivan, E.; Intema, H.; Raychaudhury, S.; Babul, A.; Giacintucci, S.; Gitti, M. The complete local volume groups sample—III. Characteristics of group central radio galaxies in the Local Universe. Mon. Not. R. Astron. Soc. Lett. 2019, 489, 2488–2504. [Google Scholar] [CrossRef]
- Kolokythas, K.; O’Sullivan, E.; Raychaudhury, S.; Giacintucci, S.; Gitti, M.; Babul, A. The Complete Local Volume Groups Sample—II. A study of the central radio galaxies in the high-richness sample. Mon. Not. R. Astron. Soc. Lett. 2018, 481, 1550. [Google Scholar] [CrossRef]
- Giacintucci, S.; O’Sullivan, E.; Vrtilek, J.M.; David, L.P.; Raychaudhury, S.; Venturi, T.; Athreya, R.M.; Clarke, T.E.; Murgia, M.; Mazzotta, P.; et al. A combined low-radio frequency/X-ray study of AGN feedback in groups of galaxies—I. GMRT observations at 235 MHz and 610 MHz. Astrophys. J. 2011, 732, 95. [Google Scholar] [CrossRef]
- Kolokythas, K.; O’Sullivan, E.; Giacintucci, S.; Worrall, D.M.; Birkinshaw, M.; Raychaudhury, S.; Horellou, C.; Intema, H.; Loubser, I. Evidence of AGN feedback and sloshing in the X-ray luminous NGC 1550 galaxy group. Mon. Not. R. Astron. Soc. Lett. 2020, 496, 1471–1487. [Google Scholar] [CrossRef]
- Bîrzan, L.; Rafferty, D.A.; Bruggen, M.; Botteon, A.; Brunettit, G.; Cuciti, V.; Edge, A.C.; Morganti, R.; Rottgering, H.J.A.; Shimwell, T. LOFAR Observations of X-ray Cavity Systems. Mon. Not. R. Astron. Soc. Lett. 2020, 496, 2613–2635. [Google Scholar] [CrossRef]
- Schellenberger, G.; David, L.P.; Vrtilek, J.; O’Sullivan, E.; Giacintucci, S.; Forman, W.; Jones, C.; Venturi, T. A New Feedback Cycle in the Archetypal Cooling Flow Group NGC 5044. Astrophys. J. 2021, 906, 16. [Google Scholar] [CrossRef]
- Ineson, J.; Croston, J.H.; Hardcastle, M.J.; Kraft, R.P.; Evans, D.A.; Jarvis, M. The link between accretion mode and environment in radio-loud active galaxies. Mon. Not. R. Astron. Soc. Lett. 2015, 453, 2682–2706. [Google Scholar] [CrossRef]
- Pasini, T.; Brüggen, M.; de Gasperin, F.; Bîrzan, L.; O’Sullivan, E.; Finoguenov, A.; Jarvis, M.; Gitti, M.; Brighenti, F.; Whittam, I.H.; et al. The relation between the diffuse X-ray luminosity and the radio power of the central AGN in galaxy groups. Mon. Not. R. Astron. Soc. Lett. 2020, 497, 2163–2174. [Google Scholar] [CrossRef]
- Bîrzan, L.; Rafferty, D.A.; Nulsen, P.E.J.; McNamara, B.R.; Röttgering, H.J.A.; Wise, M.W.; Mittal, R. The duty cycle of radio-mode feedback in complete samples of clusters. Mon. Not. R. Astron. Soc. Lett. 2012, 427, 3468. [Google Scholar] [CrossRef]
- O’Sullivan, E.; Giacintucci, S.; David, L.P.; Gitti, M.; Vrtilek, J.M.; Raychaudhury, S.; Ponman, T.J. Heating the Hot Atmospheres of Galaxy Groups and Clusters with Cavities: The Relationship between Jet Power and Low-frequency Radio Emission. Astrophys. J. 2011, 735, 11. [Google Scholar] [CrossRef][Green Version]
- Giodini, S.; Smolčić, V.; Finoguenov, A.; Boehringer, H.; Bîrzan, L.; Zamorani, G.; Oklopčić, A.; Pierini, D.; Pratt, G.W.; Schinnerer, E.; et al. Radio Galaxy Feedback in X-ray-selected Groups from COSMOS: The Effect on the Intracluster Medium. Astrophys. J. 2010, 714, 218. [Google Scholar] [CrossRef][Green Version]
- Delhaize, J.; Heywood, I.; Prescott, M.; Jarvis, M.J.; Delvecchio, I.; Whittam, I.H.; White, S.V.; Hardcastle, M.J.; Hale, C.L.; Afonso, J.; et al. MIGHTEE: Are giant radio galaxies more common than we thought? Mon. Not. R. Astron. Soc. Lett. 2021, 501, 3833–3845. [Google Scholar] [CrossRef]
- O’Sullivan, E.; Worrall, D.M.; Birkinshaw, M.; Trinchieri, G.; Wolter, A.; Zezas, A.; Giacintucci, S. Interaction between the intergalactic medium and central radio source in the NGC 4261 group of galaxies. Mon. Not. R. Astron. Soc. Lett. 2011, 416, 2916–2931. [Google Scholar] [CrossRef]
- Grossová, R.; Werner, N.; Rajpurohit, K.; Mernier, F.; Lakhchaura, K.; Gabányi, K.; Canning, R.E.A.; Nulsen, P.; Massaro, F.; Sun, M.; et al. Powerful AGN jets and unbalanced cooling in the hot atmosphere of IC 4296. Mon. Not. R. Astron. Soc. Lett. 2019, 488, 1917–1925. [Google Scholar] [CrossRef]
- Cantwell, T.M.; Bray, J.D.; Croston, J.H.; Scaife, A.M.M.; Mulcahy, D.D.; Best, P.N.; Brüggen, M.; Brunetti, G.; Callingham, J.R.; Clarke, A.O.; et al. Low-frequency observations of the giant radio galaxy NGC 6251. Mon. Not. R. Astron. Soc. Lett. 2020, 495, 143–159. [Google Scholar] [CrossRef]
- Ineson, J.; Croston, J.H.; Hardcastle, M.J.; Mingo, B. A representative survey of the dynamics and energetics of FR II radio galaxies. Mon. Not. R. Astron. Soc. Lett. 2017, 467, 1586–1607. [Google Scholar] [CrossRef][Green Version]
- Lakhchaura, K.; Werner, N.; Sun, M.; Canning, R.E.A.; Gaspari, M.; Allen, S.W.; Connor, T.; Donahue, M.; Sarazin, C. Thermodynamic properties, multiphase gas, and AGN feedback in a large sample of giant ellipticals. Mon. Not. R. Astron. Soc. 2018, 481, 4472–4504. [Google Scholar] [CrossRef]
- Pulido, F.A.; McNamara, B.R.; Edge, A.C.; Hogan, M.T.; Vantyghem, A.N.; Russell, H.R.; Nulsen, P.E.J.; Babyk, I.; Salomé, P. The Origin of Molecular Clouds in Central Galaxies. Astrophys. J. 2018, 853, 177. [Google Scholar] [CrossRef]
- Werner, N.; Oonk, J.B.R.; Sun, M.; Nulsen, P.E.J.; Allen, S.W.; Canning, R.E.A.; Simionescu, A.; Hoffer, A.; Connor, T.; Donahue, M.; et al. The origin of cold gas in giant elliptical galaxies and its role in fuelling radio-mode AGN feedback. Mon. Not. R. Astron. Soc. Lett. 2014, 439, 2291–2306. [Google Scholar] [CrossRef]
- David, L.P.; Vrtilek, J.; O’Sullivan, E.; Jones, C.; Forman, W.; Sun, M. The Presence of Thermally Unstable X-ray Filaments and the Production of Cold Gas in the NGC 5044 Group. Astrophys. J. 2017, 842, 84. [Google Scholar] [CrossRef]
- O’Sullivan, E.; Schellenberger, G.; Burke, D.J.; Sun, M.; Vrtilek, J.M.; David, L.P.; Sarazin, C. Building a cluster: Shocks, cavities, and cooling filaments in the group-group merger NGC 6338. Mon. Not. R. Astron. Soc. Lett. 2019, 488, 2925–2946. [Google Scholar] [CrossRef]
- Gomes, J.M.; Papaderos, P.; Kehrig, C.; Vílchez, J.M.; Lehnert, M.D.; Sánchez, S.F.; Ziegler, B.; Breda, I.; Dos Reis, S.N.; Iglesias-Páramo, J.; et al. Warm ionized gas in CALIFA early-type galaxies. 2D emission-line patterns and kinematics for 32 galaxies. Astron. Astrophys. 2016, 588, A68. [Google Scholar] [CrossRef]
- Diniz, S.I.F.; Pastoriza, M.G.; Hernandez-Jimenez, J.A.; Riffel, R.; Ricci, T.V.; Steiner, J.E.; Riffel, R.A. Integral field spectroscopy of the inner kpc of the elliptical galaxy NGC 5044. Mon. Not. R. Astron. Soc. Lett. 2017, 470, 1703–1717. [Google Scholar] [CrossRef]
- Schellenberger, G.; David, L.P.; Vrtilek, J.; O’Sullivan, E.; Lim, J.; Forman, W.; Sun, M.; Combes, F.; Salome, P.; Jones, C.; et al. Atacama Compact Array Measurements of the Molecular Mass in the NGC 5044 Cooling-flow Group. Astrophys. J. 2020, 894, 72. [Google Scholar] [CrossRef]
- McDonald, M.; Gaspari, M.; McNamara, B.R.; Tremblay, G.R. Revisiting the Cooling Flow Problem in Galaxies, Groups, and Clusters of Galaxies. Astrophys. J. 2018, 858, 45. [Google Scholar] [CrossRef]
- Kaneda, H.; Onaka, T.; Sakon, I.; Kitayama, T.; Okada, Y.; Suzuki, T. Properties of Polycyclic Aromatic Hydrocarbons in Local Elliptical Galaxies Revealed by the Infrared Spectrograph on Spitzer. Astrophys. J. 2008, 684, 270–281. [Google Scholar] [CrossRef]
- Rose, T.; Edge, A.C.; Combes, F.; Gaspari, M.; Hamer, S.; Nesvadba, N.; Peck, A.B.; Sarazin, C.; Tremblay, G.R.; Baum, S.A.; et al. Constraining cold accretion on to supermassive black holes: Molecular gas in the cores of eight brightest cluster galaxies revealed by joint CO and CN absorption. Mon. Not. R. Astron. Soc. 2019, 489, 349–365. [Google Scholar] [CrossRef]
- Babyk, I.V.; McNamara, B.R.; Tamhane, P.D.; Nulsen, P.E.J.; Russell, H.R.; Edge, A.C. Origins of Molecular Clouds in Early-type Galaxies. Astrophys. J. 2019, 887, 149. [Google Scholar] [CrossRef]
- Davis, T.A.; Greene, J.E.; Ma, C.P.; Blakeslee, J.P.; Dawson, J.M.; Pandya, V.; Veale, M.; Zabel, N. The MASSIVE survey—XI. What drives the molecular gas properties of early-type galaxies. Mon. Not. R. Astron. Soc. Lett. 2019, 486, 1404–1423. [Google Scholar] [CrossRef]
- O’Sullivan, E.; Combes, F.; Hamer, S.; Salomé, P.; Babul, A.; Raychaudhury, S. Cold gas in group-dominant elliptical galaxies. Astron. Astrophys. 2015, 573, A111. [Google Scholar] [CrossRef][Green Version]
- O’Sullivan, E.; Combes, F.; Salomé, P.; David, L.P.; Babul, A.; Vrtilek, J.M.; Lim, J.; Olivares, V.; Raychaudhury, S.; Schellenberger, G. Cold gas in a complete sample of group-dominant early-type galaxies. Astron. Astrophys. 2018, 618, A126. [Google Scholar] [CrossRef]
- Temi, P.; Amblard, A.; Gitti, M.; Brighenti, F.; Gaspari, M.; Mathews, W.G.; David, L. ALMA Observations of Molecular Clouds in Three Group-centered Elliptical Galaxies: NGC 5846, NGC 4636, and NGC 5044. Astrophys. J. 2018, 858, 17. [Google Scholar] [CrossRef]
- David, L.P.; Lim, J.; Forman, W.; Vrtilek, J.; Combes, F.; Salome, P.; Edge, A.; Hamer, S.; Jones, C.; Sun, M.; et al. Molecular Gas in the X-ray Bright Group NGC 5044 as Revealed by ALMA. Astrophys. J. 2014, 792, 94. [Google Scholar] [CrossRef]
- Ruffa, I.; Laing, R.A.; Prandoni, I.; Paladino, R.; Parma, P.; Davis, T.A.; Bureau, M. The AGN fuelling/feedback cycle in nearby radio galaxies—III. 3D relative orientations of radio jets and CO discs and their interaction. Mon. Not. R. Astron. Soc. Lett. 2020, 499, 5719–5731. [Google Scholar] [CrossRef]
- Boizelle, B.D.; Walsh, J.L.; Barth, A.J.; Buote, D.A.; Baker, A.J.; Darling, J.; Ho, L.C.; Cohn, J.; Kabasares, K.M. Black Hole Mass Measurements of Radio Galaxies NGC 315 and NGC 4261 Using ALMA CO Observations. arXiv 2020, arXiv:2012.04669. [Google Scholar]
- Shulevski, A.; Morganti, R.; Oosterloo, T.; Struve, C. Recurrent radio emission and gas supply: The radio galaxy B2 0258+35. Astron. Astrophys. 2012, 545, A91. [Google Scholar] [CrossRef][Green Version]
- Gaspari, M. Shaping the X-ray spectrum of galaxy clusters with AGN feedback and turbulence. Mon. Not. R. Astron. Soc. 2015, 451, L60–L64. [Google Scholar] [CrossRef]
- Sutherland, R.S.; Dopita, M.A. Cooling functions for low-density astrophysical plasmas. Astrophys. J. 1993, 88, 253–327. [Google Scholar] [CrossRef]
- Mernier, F.; de Plaa, J.; Kaastra, J.S.; Zhang, Y.Y.; Akamatsu, H.; Gu, L.; Kosec, P.; Mao, J.; Pinto, C.; Reiprich, T.H.; et al. Radial metal abundance profiles in the intra-cluster medium of cool-core galaxy clusters, groups, and ellipticals. Astron. Astrophys. 2017, 603, A80. [Google Scholar] [CrossRef]
- Pope, E.C.D. Why and when is internally driven AGN feedback energetically favoured? Mon. Not. R. Astron. Soc. 2012, 427, 2–10. [Google Scholar] [CrossRef][Green Version]
- Dalgarno, A.; McCray, R.A. Heating and Ionization of HI Regions. Annu. Rev. Astron. Astrophys. 1972, 10, 375. [Google Scholar] [CrossRef]
- Inoue, T.; Inutsuka, S.i. Two-Fluid Magnetohydrodynamic Simulations of Converging H I Flows in the Interstellar Medium. I. Methodology and Basic Results. Astrophys. J. 2008, 687, 303–310. [Google Scholar] [CrossRef][Green Version]
- Hamer, S.L.; Edge, A.C.; Swinbank, A.M.; Wilman, R.J.; Combes, F.; Salomé, P.; Fabian, A.C.; Crawford, C.S.; Russell, H.R.; Hlavacek-Larrondo, J.; et al. Optical emission line nebulae in galaxy cluster cores 1: The morphological, kinematic and spectral properties of the sample. Mon. Not. R. Astron. Soc. 2016, 460, 1758–1789. [Google Scholar] [CrossRef]
- Juráňová, A.; Werner, N.; Nulsen, P.E.J.; Gaspari, M.; Lakhchaura, K.; Canning, R.E.A.; Donahue, M.; Hroch, F.; Voit, G.M. Hot gaseous atmospheres of rotating galaxies observed with XMM-Newton. Mon. Not. R. Astron. Soc. 2020, 499, 5163–5174. [Google Scholar] [CrossRef]
- Vazza, F.; Brunetti, G.; Gheller, C.; Brunino, R.; Brüggen, M. Massive and refined. II. The statistical properties of turbulent motions in massive galaxy clusters with high spatial resolution. Astron. Astrophys. 2011, 529, A17. [Google Scholar] [CrossRef]
- Valentini, M.; Brighenti, F. AGN-stimulated cooling of hot gas in elliptical galaxies. Mon. Not. R. Astron. Soc. 2015, 448, 1979–1998. [Google Scholar] [CrossRef]
- Gaspari, M.; Brighenti, F.; Temi, P. Mechanical AGN feedback: Controlling the thermodynamical evolution of elliptical galaxies. Mon. Not. R. Astron. Soc. 2012, 424, 190–209. [Google Scholar] [CrossRef]
- Hillel, S.; Soker, N. Gentle Heating by Mixing in Cooling Flow Clusters. Astrophys. J. 2017, 845, 91. [Google Scholar] [CrossRef]
- Weinberger, R.; Springel, V.; Pakmor, R.; Nelson, D.; Genel, S.; Pillepich, A.; Vogelsberger, M.; Marinacci, F.; Naiman, J.; Torrey, P.; et al. Supermassive black holes and their feedback effects in the IllustrisTNG simulation. Mon. Not. R. Astron. Soc. 2018, 479, 4056–4072. [Google Scholar] [CrossRef]
- Wittor, D.; Gaspari, M. Dissecting the turbulent weather driven by mechanical AGN feedback. Mon. Not. R. Astron. Soc. 2020, 498, 4983–5002. [Google Scholar] [CrossRef]
- Sanders, J.S.; Fabian, A.C. Velocity width measurements of the coolest X-ray emitting material in the cores of clusters, groups and elliptical galaxies. Mon. Not. R. Astron. Soc. 2013, 429, 2727–2738. [Google Scholar] [CrossRef][Green Version]
- Ogorzalek, A.; Zhuravleva, I.; Allen, S.W.; Pinto, C.; Werner, N.; Mantz, A.B.; Canning, R.E.A.; Fabian, A.C.; Kaastra, J.S.; de Plaa, J. Improved measurements of turbulence in the hot gaseous atmospheres of nearby giant elliptical galaxies. Mon. Not. R. Astron. Soc. 2017, 472, 1659–1676. [Google Scholar] [CrossRef]
- Collaboration, H.; Aharonian, F.; Akamatsu, H.; Akimoto, F.; Allen, S.W.; Angelini, L.; Audard, M.; Awaki, H.; Axelsson, M.; Bamba, A.; et al. Atmospheric gas dynamics in the Perseus cluster observed with Hitomi. Publ. Astron. Soc. Jpn. 2018, 70, 9. [Google Scholar] [CrossRef]
- Gaspari, M.; Churazov, E. Constraining turbulence and conduction in the hot ICM through density perturbations. Astron. Astrophys. 2013, 559, A78. [Google Scholar] [CrossRef]
- Zhuravleva, I.; Churazov, E.M.; Schekochihin, A.A.; Lau, E.T.; Nagai, D.; Gaspari, M.; Allen, S.W.; Nelson, K.; Parrish, I.J. The Relation between Gas Density and Velocity Power Spectra in Galaxy Clusters: Qualitative Treatment and Cosmological Simulations. Astrophys. J. 2014, 788, L13. [Google Scholar] [CrossRef]
- Gaspari, M.; Ruszkowski, M.; Oh, S.P. Chaotic cold accretion on to black holes. Mon. Not. R. Astron. Soc. 2013, 432, 3401–3422. [Google Scholar] [CrossRef]
- Voit, G.M. A Role for Turbulence in Circumgalactic Precipitation. Astrophys. J. 2018, 868, 102. [Google Scholar] [CrossRef]
- Pizzolato, F.; Soker, N. On the Nature of Feedback Heating in Cooling Flow Clusters. Astrophys. J. 2005, 632, 821–830. [Google Scholar] [CrossRef]
- McDonald, M.; Veilleux, S.; Mushotzky, R. The Effect of Environment on the Formation of Hα Filaments and Cool Cores in Galaxy Groups and Clusters. Astrophys. J. 2011, 731, 33. [Google Scholar] [CrossRef]
- Bondi, H. On spherically symmetrical accretion. Mon. Not. R. Astron. Soc. 1952, 112, 195. [Google Scholar] [CrossRef]
- Narayan, R.; Fabian, A.C. Bondi flow from a slowly rotating hot atmosphere. Mon. Not. R. Astron. Soc. 2011, 415, 3721–3730. [Google Scholar] [CrossRef]
- Voit, G.M.; Donahue, M.; O’Shea, B.W.; Bryan, G.L.; Sun, M.; Werner, N. Supernova Sweeping and Black Hole Feedback in Elliptical Galaxies. Astrophys. J. 2015, 803, L21. [Google Scholar] [CrossRef]
- McNamara, B.R.; Russell, H.R.; Nulsen, P.E.J.; Hogan, M.T.; Fabian, A.C.; Pulido, F.; Edge, A.C. A Mechanism for Stimulating AGN Feedback by Lifting Gas in Massive Galaxies. Astrophys. J. 2016, 830, 79. [Google Scholar] [CrossRef]
- Voit, G.M. A Graphical Interpretation of Circumgalactic Precipitation. Astrophys. J. 2021, 908, L16. [Google Scholar] [CrossRef]
- Singh, P.; Voit, G.M.; Nath, B.B. Constraints on precipitation-limited hot halos from massive galaxies to galaxy clusters. Mon. Not. R. Astron. Soc. 2020. [Google Scholar] [CrossRef]
- Gaspari, M.; Brighenti, F.; Temi, P. Chaotic cold accretion on to black holes in rotating atmospheres. Astron. Astrophys. 2015, 579, A62. [Google Scholar] [CrossRef]
- Caon, N.; Macchetto, D.; Pastoriza, M. A Survey of the Interstellar Medium in Early-Type Galaxies. III. Stellar and Gas Kinematics. Astrophys. J. 2000, 127, 39–58. [Google Scholar] [CrossRef]
- Diehl, S.; Statler, T.S. The Hot Interstellar Medium of Normal Elliptical Galaxies. I. A Chandra Gas Gallery and Comparison of X-ray and Optical Morphology. Astrophys. J. 2007, 668, 150–167. [Google Scholar] [CrossRef]
- Ulrich, M.H.; Maraschi, L.; Urry, C.M. Variability of Active Galactic Nuclei. Annu. Rev. Astron. Astrophys. 1997, 35, 445–502. [Google Scholar] [CrossRef]
- Peterson, B.M. Variability of Active Galactic Nuclei. In Advanced Lectures on the Starburst-AGN; World Scientific; Aretxaga, I., Kunth, D., Mújica, R., Eds.; Tonantzintla: Puebla, Mexico, 2001; p. 3. [Google Scholar]
- Hudson, D.S.; Mittal, R.; Reiprich, T.H.; Nulsen, P.E.J.; Andernach, H.; Sarazin, C.L. What is a cool-core cluster? a detailed analysis of the cores of the X-ray flux-limited HIFLUGCS cluster sample. Astron. Astrophys. 2010, 513, A37. [Google Scholar] [CrossRef]
- Ghirardini, V.; Eckert, D.; Ettori, S.; Pointecouteau, E.; Molendi, S.; Gaspari, M.; Rossetti, M.; De Grandi, S.; Roncarelli, M.; Bourdin, H.; et al. Universal thermodynamic properties of the intracluster medium over two decades in radius in the X-COP sample. Astron. Astrophys. 2019, 621, A41. [Google Scholar] [CrossRef]
- Gaspari, M.; Sądowski, A. Unifying the Micro and Macro Properties of AGN Feeding and Feedback. Astrophys. J. 2017, 837, 149. [Google Scholar] [CrossRef]
- Gaspari, M.; Brighenti, F.; Temi, P.; Ettori, S. Can AGN Feedback Break the Self-similarity of Galaxies, Groups, and Clusters? Astrophys. J. 2014, 783, L10. [Google Scholar] [CrossRef]
- Gaspari, M.; Brighenti, F.; D’Ercole, A.; Melioli, C. AGN feedback in galaxy groups: The delicate touch of self-regulated outflows. Mon. Not. R. Astron. Soc. 2011, 415, 1549–1568. [Google Scholar] [CrossRef]
- Prasad, D.; Sharma, P.; Babul, A. Cool Core Cycles: Cold Gas and AGN Jet Feedback in Cluster Cores. Astrophys. J. 2015, 811, 108. [Google Scholar] [CrossRef]
- Sądowski, A.; Gaspari, M. Kinetic and radiative power from optically thin accretion flows. Mon. Not. R. Astron. Soc. 2017, 468, 1398–1404. [Google Scholar] [CrossRef]
- Fukumura, K.; Kazanas, D.; Contopoulos, I.; Behar, E. Magnetohydrodynamic Accretion Disk Winds as X-ray Absorbers in Active Galactic Nuclei. Astrophys. J. 2010, 715, 636–650. [Google Scholar] [CrossRef]
- Tombesi, F.; Cappi, M.; Reeves, J.N.; Nemmen, R.S.; Braito, V.; Gaspari, M.; Reynolds, C.S. Unification of X-ray winds in Seyfert galaxies: From ultra-fast outflows to warm absorbers. Mon. Not. R. Astron. Soc. 2013, 430, 1102–1117. [Google Scholar] [CrossRef]
- Tchekhovskoy, A.; Narayan, R.; McKinney, J.C. Efficient generation of jets from magnetically arrested accretion on a rapidly spinning black hole. Mon. Not. R. Astron. Soc. 2011, 418, L79–L83. [Google Scholar] [CrossRef]
- Russell, H.R.; McNamara, B.R.; Edge, A.C.; Hogan, M.T.; Main, R.A.; Vantyghem, A.N. Radiative efficiency, variability and Bondi accretion on to massive black holes: The transition from radio AGN to quasars in brightest cluster galaxies. Mon. Not. R. Astron. Soc. 2013, 432, 530–553. [Google Scholar] [CrossRef]
- Costa, T.; Sijacki, D.; Haehnelt, M.G. Feedback from active galactic nuclei: Energy- versus momentum-driving. Mon. Not. R. Astron. Soc. 2014, 444, 2355–2376. [Google Scholar] [CrossRef]
- Giovannini, G. Observational Properties of Jets in Active Galactic Nuclei. Astrophys. Space Sci. 2004, 293, 1–13. [Google Scholar] [CrossRef]
- Fiore, F.; Feruglio, C.; Shankar, F.; Bischetti, M.; Bongiorno, A.; Brusa, M.; Carniani, S.; Cicone, C.; Duras, F.; Lamastra, A.; et al. AGN wind scaling relations and the co-evolution of black holes and galaxies. Astron. Astrophys. 2017, 601, A143. [Google Scholar] [CrossRef]
- Brighenti, F.; Mathews, W.G.; Temi, P. Hot Gaseous Atmospheres in Galaxy Groups and Clusters Are Both Heated and Cooled by X-ray Cavities. Astrophys. J. 2015, 802, 118. [Google Scholar] [CrossRef]
- Gaspari, M.; Churazov, E.; Nagai, D.; Lau, E.T.; Zhuravleva, I. The relation between gas density and velocity power spectra in galaxy clusters: High-resolution hydrodynamic simulations and the role of conduction. Astron. Astrophys. 2014, 569, A67. [Google Scholar] [CrossRef]
- Fabian, A.C.; Walker, S.A.; Russell, H.R.; Pinto, C.; Sanders, J.S.; Reynolds, C.S. Do sound waves transport the AGN energy in the Perseus cluster? Mon. Not. R. Astron. Soc. 2017, 464, L1–L5. [Google Scholar] [CrossRef]
- Cielo, S.; Babul, A.; Antonuccio-Delogu, V.; Silk, J.; Volonteri, M. Feedback from reorienting AGN jets. I. Jet-ICM coupling, cavity properties and global energetics. Astron. Astrophys. 2018, 617, A58. [Google Scholar] [CrossRef]
- Voit, G.M.; Bryan, G.L.; Prasad, D.; Frisbie, R.; Li, Y.; Donahue, M.; O’Shea, B.W.; Sun, M.; Werner, N. A Black Hole Feedback Valve in Massive Galaxies. Astrophys. J. 2020, 899, 70. [Google Scholar] [CrossRef]
- Goulding, A.D.; Greene, J.E.; Ma, C.P.; Veale, M.; Bogdan, A.; Nyland, K.; Blakeslee, J.P.; McConnell, N.J.; Thomas, J. The MASSIVE Survey. IV. The X-ray Halos of the Most Massive Early-type Galaxies in the Nearby Universe. Astrophys. J. 2016, 826, 167. [Google Scholar] [CrossRef]
- Tremmel, M.; Karcher, M.; Governato, F.; Volonteri, M.; Quinn, T.R.; Pontzen, A.; Anderson, L.; Bellovary, J. The Romulus cosmological simulations: A physical approach to the formation, dynamics and accretion models of SMBHs. Mon. Not. R. Astron. Soc. 2017, 470, 1121–1139. [Google Scholar] [CrossRef]
- Dubois, Y.; Beckmann, R.; Bournaud, F.; Choi, H.; Devriendt, J.; Jackson, R.; Kaviraj, S.; Kimm, T.; Kraljic, K.; Laigle, C.; et al. Introducing the NewHorizon simulation: Galaxy properties with resolved internal dynamics across cosmic time. arXiv 2020, arXiv:2009.10578. [Google Scholar]
- Henden, N.A.; Puchwein, E.; Shen, S.; Sijacki, D. The FABLE simulations: A feedback model for galaxies, groups, and clusters. Mon. Not. R. Astron. Soc. 2018, 479, 5385–5412. [Google Scholar] [CrossRef]
- Dubois, Y.; Pichon, C.; Welker, C.; Le Borgne, D.; Devriendt, J.; Laigle, C.; Codis, S.; Pogosyan, D.; Arnouts, S.; Benabed, K.; et al. Dancing in the dark: Galactic properties trace spin swings along the cosmic web. Mon. Not. R. Astron. Soc. 2014, 444, 1453–1468. [Google Scholar] [CrossRef]
- Schaye, J.; Crain, R.A.; Bower, R.G.; Furlong, M.; Schaller, M.; Theuns, T.; Dalla Vecchia, C.; Frenk, C.S.; McCarthy, I.G.; Helly, J.C.; et al. The EAGLE project: Simulating the evolution and assembly of galaxies and their environments. Mon. Not. R. Astron. Soc. 2015, 446, 521–554. [Google Scholar] [CrossRef]
- Vogelsberger, M.; Genel, S.; Springel, V.; Torrey, P.; Sijacki, D.; Xu, D.; Snyder, G.; Nelson, D.; Hernquist, L. Introducing the Illustris Project: Simulating the coevolution of dark and visible matter in the Universe. Mon. Not. R. Astron. Soc. 2014, 444, 1518–1547. [Google Scholar] [CrossRef]
- Springel, V.; Pakmor, R.; Pillepich, A.; Weinberger, R.; Nelson, D.; Hernquist, L.; Vogelsberger, M.; Genel, S.; Torrey, P.; Marinacci, F.; et al. First results from the IllustrisTNG simulations: Matter and galaxy clustering. Mon. Not. R. Astron. Soc. 2018, 475, 676–698. [Google Scholar] [CrossRef]
- Davé, R.; Anglés-Alcázar, D.; Narayanan, D.; Li, Q.; Rafieferantsoa, M.H.; Appleby, S. SIMBA: Cosmological simulations with black hole growth and feedback. Mon. Not. R. Astron. Soc. 2019, 486, 2827–2849. [Google Scholar] [CrossRef]
- Robson, D.; Davé, R. X-ray emission from hot gas in galaxy groups and clusters in SIMBA. Mon. Not. R. Astron. Soc. 2020, 498, 3061–3076. [Google Scholar] [CrossRef]
- Khandai, N.; Di Matteo, T.; Croft, R.; Wilkins, S.; Feng, Y.; Tucker, E.; DeGraf, C.; Liu, M.S. The MassiveBlack-II simulation: The evolution of haloes and galaxies to z ∼ 0. Mon. Not. R. Astron. Soc. 2015, 450, 1349–1374. [Google Scholar] [CrossRef]
- Hirschmann, M.; Dolag, K.; Saro, A.; Bachmann, L.; Borgani, S.; Burkert, A. Cosmological simulations of black hole growth: AGN luminosities and downsizing. Mon. Not. R. Astron. Soc. 2014, 442, 2304–2324. [Google Scholar] [CrossRef]
- Lee, J.; Shin, J.; Snaith, O.N.; Kim, Y.; Few, C.G.; Devriendt, J.; Dubois, Y.; Cox, L.M.; Hong, S.E.; Kwon, O.K.; et al. The Horizon Run 5 Cosmological Hydrodynamical Simulation: Probing Galaxy Formation from Kilo- to Gigaparsec Scales. Astrophys. J. 2021, 908, 11. [Google Scholar] [CrossRef]
- Springel, V.; Di Matteo, T.; Hernquist, L. Modelling feedback from stars and black holes in galaxy mergers. Mon. Not. R. Astron. Soc. 2005, 361, 776–794. [Google Scholar] [CrossRef]
- Springel, V. E pur si muove: Galilean-invariant cosmological hydrodynamical simulations on a moving mesh. Mon. Not. R. Astron. Soc. 2010, 401, 791–851. [Google Scholar] [CrossRef]
- Weinberger, R.; Springel, V.; Pakmor, R. The AREPO Public Code Release. Astrophys. J. 2020, 248, 32. [Google Scholar] [CrossRef]
- Hopkins, P.F. A new class of accurate, mesh-free hydrodynamic simulation methods. Mon. Not. R. Astron. Soc. 2015, 450, 53–110. [Google Scholar] [CrossRef]
- Teyssier, R. Cosmological hydrodynamics with adaptive mesh refinement. A new high resolution code called RAMSES. Astron. Astrophys. 2002, 385, 337–364. [Google Scholar] [CrossRef]
- Menon, H.; Wesolowski, L.; Zheng, G.; Jetley, P.; Kale, L.; Quinn, T.; Governato, F. Adaptive techniques for clustered N-body cosmological simulations. Comput. Astrophys. Cosmol. 2015, 2, 1. [Google Scholar] [CrossRef]
- Booth, C.M.; Schaye, J. Cosmological simulations of the growth of supermassive black holes and feedback from active galactic nuclei: Method and tests. Mon. Not. R. Astron. Soc. 2009, 398, 53–74. [Google Scholar] [CrossRef]
- Hoyle, F.; Lyttleton, R.A. The effect of interstellar matter on climatic variation. Proc. Camb. Philos. Soc. 1939, 35, 405. [Google Scholar] [CrossRef]
- Bondi, H.; Hoyle, F. On the mechanism of accretion by stars. Mon. Not. R. Astron. Soc. 1944, 104, 273. [Google Scholar] [CrossRef]
- Di Matteo, T.; Springel, V.; Hernquist, L. Energy input from quasars regulates the growth and activity of black holes and their host galaxies. Nature 2005, 433, 604–607. [Google Scholar] [CrossRef]
- Sijacki, D.; Springel, V.; Di Matteo, T.; Hernquist, L. A unified model for AGN feedback in cosmological simulations of structure formation. Mon. Not. R. Astron. Soc. 2007, 380, 877–900. [Google Scholar] [CrossRef]
- Bhattacharya, S.; Di Matteo, T.; Kosowsky, A. Effects of quasar feedback in galaxy groups. Mon. Not. R. Astron. Soc. 2008, 389, 34–44. [Google Scholar] [CrossRef]
- Schaye, J.; Dalla Vecchia, C.; Booth, C.M.; Wiersma, R.P.C.; Theuns, T.; Haas, M.R.; Bertone, S.; Duffy, A.R.; McCarthy, I.G.; van de Voort, F. The physics driving the cosmic star formation history. Mon. Not. R. Astron. Soc. 2010, 402, 1536–1560. [Google Scholar] [CrossRef]
- Shakura, N.I.; Sunyaev, R.A. Reprint of 1973A&A....24..337S. Black holes in binary systems. Observational appearance. Astron. Astrophys. 1973, 500, 33–51. [Google Scholar]
- Rosas-Guevara, Y.M.; Bower, R.G.; Schaye, J.; Furlong, M.; Frenk, C.S.; Booth, C.M.; Crain, R.A.; Dalla Vecchia, C.; Schaller, M.; Theuns, T. The impact of angular momentum on black hole accretion rates in simulations of galaxy formation. Mon. Not. R. Astron. Soc. 2015, 454, 1038–1057. [Google Scholar] [CrossRef]
- Vogelsberger, M.; Genel, S.; Sijacki, D.; Torrey, P.; Springel, V.; Hernquist, L. A model for cosmological simulations of galaxy formation physics. Mon. Not. R. Astron. Soc. 2013, 436, 3031–3067. [Google Scholar] [CrossRef]
- Weinberger, R.; Springel, V.; Hernquist, L.; Pillepich, A.; Marinacci, F.; Pakmor, R.; Nelson, D.; Genel, S.; Vogelsberger, M.; Naiman, J.; et al. Simulating galaxy formation with black hole driven thermal and kinetic feedback. Mon. Not. R. Astron. Soc. 2017, 465, 3291–3308. [Google Scholar] [CrossRef]
- Pillepich, A.; Springel, V.; Nelson, D.; Genel, S.; Naiman, J.; Pakmor, R.; Hernquist, L.; Torrey, P.; Vogelsberger, M.; Weinberger, R.; et al. Simulating galaxy formation with the IllustrisTNG model. Mon. Not. R. Astron. Soc. 2018, 473, 4077–4106. [Google Scholar] [CrossRef]
- Dubois, Y.; Devriendt, J.; Slyz, A.; Teyssier, R. Self-regulated growth of supermassive black holes by a dual jet-heating active galactic nucleus feedback mechanism: Methods, tests and implications for cosmological simulations. Mon. Not. R. Astron. Soc. 2012, 420, 2662–2683. [Google Scholar] [CrossRef]
- Beck, A.M.; Murante, G.; Arth, A.; Remus, R.S.; Teklu, A.F.; Donnert, J.M.F.; Planelles, S.; Beck, M.C.; Förster, P.; Imgrund, M.; et al. An improved SPH scheme for cosmological simulations. Mon. Not. R. Astron. Soc. 2016, 455, 2110–2130. [Google Scholar] [CrossRef]
- Sembolini, F.; Yepes, G.; De Petris, M.; Gottlöber, S.; Lamagna, L.; Comis, B. The MUSIC of galaxy clusters—I. Baryon properties and scaling relations of the thermal Sunyaev-Zel’dovich effect. Mon. Not. R. Astron. Soc. 2013, 429, 323–343. [Google Scholar] [CrossRef]
- Cui, W.; Knebe, A.; Yepes, G.; Pearce, F.; Power, C.; Dave, R.; Arth, A.; Borgani, S.; Dolag, K.; Elahi, P.; et al. The Three Hundred project: A large catalogue of theoretically modelled galaxy clusters for cosmological and astrophysical applications. Mon. Not. R. Astron. Soc. 2018, 480, 2898–2915. [Google Scholar] [CrossRef]
- Rasia, E.; Borgani, S.; Murante, G.; Planelles, S.; Beck, A.M.; Biffi, V.; Ragone-Figueroa, C.; Granato, G.L.; Steinborn, L.K.; Dolag, K. Cool Core Clusters from Cosmological Simulations. Astrophys. J. 2015, 813, L17. [Google Scholar] [CrossRef]
- McCarthy, I.G.; Schaye, J.; Ponman, T.J.; Bower, R.G.; Booth, C.M.; Dalla Vecchia, C.; Crain, R.A.; Springel, V.; Theuns, T.; Wiersma, R.P.C. The case for AGN feedback in galaxy groups. Mon. Not. R. Astron. Soc. 2010, 406, 822–839. [Google Scholar] [CrossRef]
- Steinborn, L.K.; Dolag, K.; Hirschmann, M.; Prieto, M.A.; Remus, R.S. A refined sub-grid model for black hole accretion and AGN feedback in large cosmological simulations. Mon. Not. R. Astron. Soc. 2015, 448, 1504–1525. [Google Scholar] [CrossRef]
- Barnes, D.J.; Kay, S.T.; Bahé, Y.M.; Dalla Vecchia, C.; McCarthy, I.G.; Schaye, J.; Bower, R.G.; Jenkins, A.; Thomas, P.A.; Schaller, M.; et al. The Cluster-EAGLE project: Global properties of simulated clusters with resolved galaxies. Mon. Not. R. Astron. Soc. 2017, 471, 1088–1106. [Google Scholar] [CrossRef]
- Bahé, Y.M.; Barnes, D.J.; Dalla Vecchia, C.; Kay, S.T.; White, S.D.M.; McCarthy, I.G.; Schaye, J.; Bower, R.G.; Crain, R.A.; Theuns, T.; et al. The Hydrangea simulations: Galaxy formation in and around massive clusters. Mon. Not. R. Astron. Soc. 2017, 470, 4186–4208. [Google Scholar] [CrossRef]
- Bassini, L.; Rasia, E.; Borgani, S.; Ragone-Figueroa, C.; Biffi, V.; Dolag, K.; Gaspari, M.; Granato, G.L.; Murante, G.; Taffoni, G.; et al. Black hole mass and cluster mass correlation in cosmological hydro-dynamical simulations. arXiv 2019, arXiv:1903.03142. [Google Scholar] [CrossRef]
- Martín-Navarro, I.; Burchett, J.N.; Mezcua, M. Black hole feedback and the evolution of massive early-type galaxies. Mon. Not. R. Astron. Soc. 2020, 491, 1311–1319. [Google Scholar] [CrossRef]
- Truong, N.; Pillepich, A.; Werner, N. Correlations between supermassive black holes and hot gas atmospheres in IllustrisTNG and X-ray observations. Mon. Not. R. Astron. Soc. 2021, 501, 2210–2230. [Google Scholar] [CrossRef]
- van Daalen, M.P.; Schaye, J.; Booth, C.M.; Dalla Vecchia, C. The effects of galaxy formation on the matter power spectrum: A challenge for precision cosmology. Mon. Not. R. Astron. Soc. 2011, 415, 3649–3665. [Google Scholar] [CrossRef]
- Semboloni, E.; Hoekstra, H.; Schaye, J.; van Daalen, M.P.; McCarthy, I.G. Quantifying the effect of baryon physics on weak lensing tomography. Mon. Not. R. Astron. Soc. 2011, 417, 2020–2035. [Google Scholar] [CrossRef]
- Chisari, N.E.; Mead, A.J.; Joudaki, S.; Ferreira, P.G.; Schneider, A.; Mohr, J.; Tröster, T.; Alonso, D.; McCarthy, I.G.; Martin-Alvarez, S.; et al. Modelling baryonic feedback for survey cosmology. Open J. Astrophys. 2019, 2, 4. [Google Scholar] [CrossRef]
- Amendola, L.; Appleby, S.; Avgoustidis, A.; Bacon, D.; Baker, T.; Baldi, M.; Bartolo, N.; Blanchard, A.; Bonvin, C.; Borgani, S.; et al. Cosmology and fundamental physics with the Euclid satellite. Living Rev. Relativ. 2018, 21, 2. [Google Scholar] [CrossRef] [PubMed]
- Schneider, A.; Stoira, N.; Refregier, A.; Weiss, A.J.; Knabenhans, M.; Stadel, J.; Teyssier, R. Baryonic effects for weak lensing. Part I. Power spectrum and covariance matrix. J. Cosmol. Astropart. Phys. 2020, 2020, 19. [Google Scholar] [CrossRef]
- Schneider, A.; Refregier, A.; Grandis, S.; Eckert, D.; Stoira, N.; Kacprzak, T.; Knabenhans, M.; Stadel, J.; Teyssier, R. Baryonic effects for weak lensing. Part II. Combination with X-ray data and extended cosmologies. J. Cosmol. Astropart. Phys. 2020, 2020, 20. [Google Scholar] [CrossRef]
- van Daalen, M.P.; McCarthy, I.G.; Schaye, J. Exploring the effects of galaxy formation on matter clustering through a library of simulation power spectra. Mon. Not. R. Astron. Soc. 2020, 491, 2424–2446. [Google Scholar] [CrossRef]
- Schneider, A.; Teyssier, R.; Stadel, J.; Chisari, N.E.; Le Brun, A.M.C.; Amara, A.; Refregier, A. Quantifying baryon effects on the matter power spectrum and the weak lensing shear correlation. J. Cosmol. Astropart. Phys. 2019, 2019, 020. [Google Scholar] [CrossRef]
- Battaglia, N.; Bond, J.R.; Pfrommer, C.; Sievers, J.L. On the Cluster Physics of Sunyaev-Zel’dovich and X-ray Surveys. II. Deconstructing the Thermal SZ Power Spectrum. Astrophys. J. 2012, 758, 75. [Google Scholar] [CrossRef]
- McCarthy, I.G.; Le Brun, A.M.C.; Schaye, J.; Holder, G.P. The thermal Sunyaev-Zel’dovich effect power spectrum in light of Planck. Mon. Not. R. Astron. Soc. 2014, 440, 3645–3657. [Google Scholar] [CrossRef]
- McCarthy, I.G.; Bird, S.; Schaye, J.; Harnois-Deraps, J.; Font, A.S.; van Waerbeke, L. The BAHAMAS project: The CMB-large-scale structure tension and the roles of massive neutrinos and galaxy formation. Mon. Not. R. Astron. Soc. 2018, 476, 2999–3030. [Google Scholar] [CrossRef]
- Ramos-Ceja, M.E.; Basu, K.; Pacaud, F.; Bertoldi, F. Constraining the intracluster pressure profile from the thermal SZ power spectrum. Astron. Astrophys. 2015, 583, A111. [Google Scholar] [CrossRef]
- Arnaud, M.; Pratt, G.W.; Piffaretti, R.; Böhringer, H.; Croston, J.H.; Pointecouteau, E. The universal galaxy cluster pressure profile from a representative sample of nearby systems (REXCESS) and the YSZ—M500 relation. Astron. Astrophys. 2010, 517, A92. [Google Scholar] [CrossRef]
- Battaglia, N.; Hill, J.C.; Murray, N. Deconstructing Thermal Sunyaev-Zel’dovich—Gravitational Lensing Cross-correlations: Implications for the Intracluster Medium. Astrophys. J. 2015, 812, 154. [Google Scholar] [CrossRef][Green Version]
- Hojjati, A.; McCarthy, I.G.; Harnois-Deraps, J.; Ma, Y.Z.; Van Waerbeke, L.; Hinshaw, G.; Le Brun, A.M.C. Dissecting the thermal Sunyaev-Zeldovich-gravitational lensing cross-correlation with hydrodynamical simulations. J. Cosmol. Astropart. Phys. 2015, 2015, 047. [Google Scholar] [CrossRef]
- Velliscig, M.; van Daalen, M.P.; Schaye, J.; McCarthy, I.G.; Cacciato, M.; Le Brun, A.M.C.; Dalla Vecchia, C. The impact of galaxy formation on the total mass, mass profile and abundance of haloes. Mon. Not. R. Astron. Soc. 2014, 442, 2641–2658. [Google Scholar] [CrossRef]
- Cui, W.; Borgani, S.; Murante, G. The effect of active galactic nuclei feedback on the halo mass function. Mon. Not. R. Astron. Soc. 2014, 441, 1769–1782. [Google Scholar] [CrossRef]
- Bocquet, S.; Saro, A.; Dolag, K.; Mohr, J.J. Halo mass function: Baryon impact, fitting formulae, and implications for cluster cosmology. Mon. Not. R. Astron. Soc. 2016, 456, 2361–2373. [Google Scholar] [CrossRef]
- Schaller, M.; Frenk, C.S.; Bower, R.G.; Theuns, T.; Jenkins, A.; Schaye, J.; Crain, R.A.; Furlong, M.; Dalla Vecchia, C.; McCarthy, I.G. Baryon effects on the internal structure of ΛCDM haloes in the EAGLE simulations. Mon. Not. R. Astron. Soc. 2015, 451, 1247–1267. [Google Scholar] [CrossRef]
- Xu, W.; Ramos-Ceja, M.E.; Pacaud, F.; Reiprich, T.H.; Erben, T. A new X-ray-selected sample of very extended galaxy groups from the ROSAT All-Sky Survey. Astron. Astrophys. 2018, 619, A162. [Google Scholar] [CrossRef]
- Merloni, A.; Predehl, P.; Becker, W.; Böhringer, H.; Boller, T.; Brunner, H.; Brusa, M.; Dennerl, K.; Freyberg, M.; Friedrich, P.; et al. eROSITA Science Book: Mapping the Structure of the Energetic Universe. arXiv 2012, arXiv:1209.3114. [Google Scholar]
- Käfer, F.; Finoguenov, A.; Eckert, D.; Clerc, N.; Ramos-Ceja, M.E.; Sanders, J.S.; Ghirardini, V. Toward the low-scatter selection of X-ray clusters. Galaxy cluster detection with eROSITA through cluster outskirts. Astron. Astrophys. 2020, 634, A8. [Google Scholar] [CrossRef]
- Freyberg, M.; Perinati, E.; Pacaud, F.; Eraerds, T.; Churazov, E.; Dennerl, K.; Predehl, P.; Merloni, A.; Meidinger, N.; Bulbul, E.; et al. SRG/eROSITA in-flight background at L2. In Proceedings of the SPIE Digital Library, SPIE Astronomical Telescopes + Instrumentation, Online Conference, 13–18 December 2020; Society of Photo-Optical Instrumentation Engineers (SPIE) Conference Series;. 2020; Volume 11444, p. 114441O. [Google Scholar] [CrossRef]
- Böhringer, H.; Chon, G.; Collins, C.A.; Guzzo, L.; Nowak, N.; Bobrovskyi, S. The extended ROSAT-ESO flux limited X-ray galaxy cluster survey (REFLEX II) II. Construction and properties of the survey. Astron. Astrophys. 2013, 555, A30. [Google Scholar] [CrossRef]
- Planck Collaboration XXVII. Planck 2015 results. XXVII. The second Planck catalogue of Sunyaev-Zeldovich sources. Astron. Astrophys. 2016, 594, A27. [Google Scholar] [CrossRef]
- Benson, B.A.; Ade, P.A.R.; Ahmed, Z.; Allen, S.W.; Arnold, K.; Austermann, J.E.; Bender, A.N.; Bleem, L.E.; Carlstrom, J.E.; Chang, C.L.; et al. SPT-3G: A next-generation cosmic microwave background polarization experiment on the South Pole telescope. In Proceedings of the SPIE Astronomical Telescopes + Instrumentation, Montréal, QC, Canada, 22–27 June 2014; Volume 9153, p. 91531P. [Google Scholar] [CrossRef]
- XRISM Science Team. Science with the X-ray Imaging and Spectroscopy Mission (XRISM). arXiv 2020, arXiv:2003.04962. [Google Scholar]
- Pinto, C.; Sanders, J.S.; Werner, N.; de Plaa, J.; Fabian, A.C.; Zhang, Y.Y.; Kaastra, J.S.; Finoguenov, A.; Ahoranta, J. Chemical Enrichment RGS cluster Sample (CHEERS): Constraints on turbulence. Astron. Astrophys. 2015, 575, A38. [Google Scholar] [CrossRef]
- Ahoranta, J.; Finoguenov, A.; Pinto, C.; Sanders, J.; Kaastra, J.; de Plaa, J.; Fabian, A. Observations of asymmetric velocity fields and gas cooling in the NGC 4636 galaxy group X-ray halo. Astron. Astrophys. 2016, 592, A145. [Google Scholar] [CrossRef][Green Version]
- Hitomi Collaboration. The quiescent intracluster medium in the core of the Perseus cluster. Nature 2016, 535, 117–121. [Google Scholar] [CrossRef] [PubMed]
- Barret, D.; Decourchelle, A.; Fabian, A.; Guainazzi, M.; Nandra, K.; Smith, R.; den Herder, J.W. The Athena space X-ray observatory and the astrophysics of hot plasma. Astron. Nachrichten 2020, 341, 224–235. [Google Scholar] [CrossRef]
- Zhang, C.; Ramos-Ceja, M.E.; Pacaud, F.; Reiprich, T.H. High-redshift galaxy groups as seen by ATHENA/WFI. Astron. Astrophys. 2020, 642, A17. [Google Scholar] [CrossRef]
- Croston, J.H.; Sanders, J.S.; Heinz, S.; Hardcastle, M.J.; Zhuravleva, I.; Bîrzan, L.; Bower, R.G.; Brüggen, M.; Churazov, E.; Edge, A.C.; et al. The Hot and Energetic Universe: AGN feedback in galaxy clusters and groups. arXiv 2013, arXiv:1306.2323. [Google Scholar]
- Gaskin, J.A.; Swartz, D.A.; Vikhlinin, A.; Özel, F.; Gelmis, K.E.; Arenberg, J.W.; Bandler, S.R.; Bautz, M.W.; Civitani, M.M.; Dominguez, A.; et al. Lynx X-ray Observatory: An overview. J. Astron. Telesc. Instruments, Syst. 2019, 5, 021001. [Google Scholar] [CrossRef]
- Hurley-Walker, N.; Callingham, J.R.; Hancock, P.J.; Franzen, T.M.O.; Hindson, L.; Kapińska, A.D.; Morgan, J.; Offringa, A.R.; Wayth, R.B.; Wu, C.; et al. GaLactic and Extragalactic All-sky Murchison Widefield Array (GLEAM) survey—I. A low-frequency extragalactic catalogue. Mon. Not. R. Astron. Soc. Lett. 2017, 464, 1146–1167. [Google Scholar] [CrossRef]
- McConnell, D.; Hale, C.L.; Lenc, E.; Banfield, J.K.; Heald, G.; Hotan, A.W.; Leung, J.K.; Moss, V.A.; Murphy, T.; O’Brien, A.; et al. The Rapid ASKAP Continuum Survey I: Design and first results. Publ. Astron. Soc. Aust. 2020, 37, e048. [Google Scholar] [CrossRef]
- Koribalski, B.S.; Staveley-Smith, L.; Westmeier, T.; Serra, P.; Spekkens, K.; Wong, O.I.; Lee-Waddell, K.; Lagos, C.D.P.; Obreschkow, D.; Ryan-Weber, E.V.; et al. WALLABY—An SKA Pathfinder HI survey. Astrophys. Space Sci. 2020, 365, 118. [Google Scholar] [CrossRef]
- Jarvis, M.; Taylor, R.; Agudo, I.; Allison, J.R.; Deane, R.P.; Frank, B.; Gupta, N.; Heywood, I.; Maddox, N.; McAlpine, K.; et al. The MeerKAT International GHz Tiered Extragalactic Exploration (MIGHTEE) Survey. In Proceedings of the 2016 MeerKAT Science: On the Pathway to the SKA, MeerKAT, Stellenbosch, South Africa, 25–27 May 2016; p. 6. [Google Scholar]
- Oosterloo, T.A.; Zhang, M.L.; Lucero, D.M.; Carignan, C. Galaxy interactions in loose galaxy groups: KAT-7 and VLA HI Observations of the IC 1459 group. arXiv 2018, arXiv:1803.08263. [Google Scholar]
- For, B.Q.; Staveley-Smith, L.; Westmeier, T.; Whiting, M.; Oh, S.H.; Koribalski, B.; Wang, J.; Wong, O.I.; Bekiaris, G.; Cortese, L.; et al. WALLABY early science—V. ASKAP H I imaging of the Lyon Group of Galaxies 351. Mon. Not. R. Astron. Soc. Lett. 2019, 489, 5723–5741. [Google Scholar] [CrossRef]
- Braun, R.; Bonaldi, A.; Bourke, T.; Keane, E.; Wagg, J. Anticipated Performance of the Square Kilometre Array—Phase 1 (SKA1). arXiv 2019, arXiv:1912.12699. [Google Scholar]
- Prandoni, I.; Seymour, N. Revealing the Physics and Evolution of Galaxies and Galaxy Clusters with SKA Continuum Surveys. In Proceedings of theAdvancing Astrophysics with the Square Kilometre Array (AASKA14), Giardini Naxos, Italy, 8–13 June 2015; p. 67. [Google Scholar]
- McAlpine, K.; Prandoni, I.; Jarvis, M.; Seymour, N.; Padovani, P.; Best, P.; Simpson, C.; Guidetti, D.; Murphy, E.; Huynh, M.; et al. The SKA view of the Interplay between SF and AGN Activity and its role in Galaxy Evolution. In Proceedings of the Advancing Astrophysics with the Square Kilometre Array (AASKA14), Giardini Naxos, Italy, 8–13 June 2015; p. 83. [Google Scholar]
- Heald, G.; Mao, S.; Vacca, V.; Akahori, T.; Damas-Segovia, A.; Gaensler, B.; Hoeft, M.; Agudo, I.; Basu, A.; Beck, R.; et al. Magnetism Science with the Square Kilometre Array. Galaxies 2020, 8, 53. [Google Scholar] [CrossRef]
- Kale, R.; Dwarakanath, K.S.; Vir Lal, D.; Bagchi, J.; Paul, S.; Malu, S.; Datta, A.; Parekh, V.; Sharma, P.; Pandey-Pommier, M. Clusters of Galaxies and the Cosmic Web with Square Kilometre Array. J. Astrophys. Astron. 2016, 37, 31. [Google Scholar] [CrossRef]
- Stacey, G.J.; Aravena, M.; Basu, K.; Battaglia, N.; Beringue, B.; Bertoldi, F.; Bond, J.R.; Breysse, P.; Bustos, R.; Chapman, S.; et al. CCAT-Prime: Science with an ultra-widefield submillimeter observatory on Cerro Chajnantor. In Proceedings of the SPIE Astronomical Telescopes + Instrumentation, Austin, TX, USA, 12–14 June 2018; Volume 10700, p. 107001M. [Google Scholar] [CrossRef]
- Lee, A.; Abitbol, M.H.; Adachi, S.; Ade, P.; Aguirre, J.; Ahmed, Z.; Aiola, S.; Ali, A.; Alonso, D.; Alvarez, M.A.; et al. The Simons Observatory. Bull. Am. Astron. Soc. 2019, 51, 147. [Google Scholar]
- Abazajian, K.N.; Adshead, P.; Ahmed, Z.; Allen, S.W.; Alonso, D.; Arnold, K.S.; Baccigalupi, C.; Bartlett, J.G.; Battaglia, N.; Benson, B.A.; et al. CMB-S4 Science Book, First Edition. arXiv 2016, arXiv:1610.02743. [Google Scholar]
- Planck Collaboration; Ade, P.A.R.; Aghanim, N.; Arnaud, M.; Ashdown, M.; Atrio-Barandela, F.; Aumont, J.; Baccigalupi, C.; Balbi, A.; Banday, A.J.; et al. Planck intermediate results. XI. The gas content of dark matter halos: The Sunyaev-Zeldovich-stellar mass relation for locally brightest galaxies. Astron. Astrophys. 2013, 557, A52. [Google Scholar] [CrossRef]
- Le Brun, A.M.C.; McCarthy, I.G.; Melin, J.B. Testing Sunyaev-Zel’dovich measurements of the hot gas content of dark matter haloes using synthetic skies. Mon. Not. R. Astron. Soc. 2015, 451, 3868–3881. [Google Scholar] [CrossRef]
- Klaassen, P.D.; Mroczkowski, T.K.; Cicone, C.; Hatziminaoglou, E.; Sartori, S.; De Breuck, C.; Bryan, S.; Dicker, S.R.; Duran, C.; Groppi, C.; et al. The Atacama Large Aperture Submillimeter Telescope (AtLAST). In Proceedings of the SPIE Astronomical Telescopes + Instrumentation, Online Conference, 13–18 December 2020; Society of Photo-Optical Instrumentation Engineers (SPIE) Conference Series. Volume 11445, p. 114452F. [Google Scholar] [CrossRef]
- Mroczkowski, T.; Nagai, D.; Basu, K.; Chluba, J.; Sayers, J.; Adam, R.; Churazov, E.; Crites, A.; Di Mascolo, L.; Eckert, D.; et al. Astrophysics with the Spatially and Spectrally Resolved Sunyaev-Zeldovich Effects. A Millimetre/Submillimetre Probe of the Warm and Hot Universe. Space Sci. Rev. 2019, 215, 17. [Google Scholar] [CrossRef]
- Hill, J.C.; Ferraro, S.; Battaglia, N.; Liu, J.; Spergel, D.N. Kinematic Sunyaev-Zel’dovich Effect with Projected Fields: A Novel Probe of the Baryon Distribution with Planck, WMAP, and WISE Data. Phys. Rev. Lett. 2016, 117, 051301. [Google Scholar] [CrossRef] [PubMed]
- Ferraro, S.; Hill, J.C.; Battaglia, N.; Liu, J.; Spergel, D.N. Kinematic Sunyaev-Zel’dovich effect with projected fields. II. Prospects, challenges, and comparison with simulations. Phys. Rev. D 2016, 94, 123526. [Google Scholar] [CrossRef]
- De Bernardis, F.; Aiola, S.; Vavagiakis, E.M.; Battaglia, N.; Niemack, M.D.; Beall, J.; Becker, D.T.; Bond, J.R.; Calabrese, E.; Cho, H.; et al. Detection of the pairwise kinematic Sunyaev-Zel’dovich effect with BOSS DR11 and the Atacama Cosmology Telescope. J. Cosmol. Astropart. Phys. 2017, 2017, 008. [Google Scholar] [CrossRef]
- Calafut, V.; Gallardo, P.A.; Vavagiakis, E.M.; Amodeo, S.; Aiola, S.; Austermann, J.E.; Battaglia, N.; Battistelli, E.S.; Beall, J.A.; Bean, R.; et al. The Atacama Cosmology Telescope: Detection of the Pairwise Kinematic Sunyaev-Zel’dovich Effect with SDSS DR15 Galaxies. arXiv 2021, arXiv:2101.08374. [Google Scholar]
- Ade, P.A.R.; Aghanim, N.; Arnaud, M.; Ashdown, M.; Aubourg, E.; Aumont, J.; Baccigalupi, C.; Banday, A.J.; Barreiro, R.B.; et al.; Planck Collaboration Planck intermediate results. XXXVII. Evidence of unbound gas from the kinetic Sunyaev-Zeldovich effect. Astron. Astrophys. 2016, 586, A140. [Google Scholar] [CrossRef]
- Battaglia, N.; Ferraro, S.; Schaan, E.; Spergel, D.N. Future constraints on halo thermodynamics from combined Sunyaev-Zel’dovich measurements. J. Cosmol. Astropart. Phys. 2017, 2017, 040. [Google Scholar] [CrossRef]
- Chaves-Montero, J.; Hernandez-Monteagudo, C.; Angulo, R.E.; Emberson, J.D. Measuring the evolution of intergalactic gas from z=0 to 5 using the kinematic Sunyaev-Zel’dovich effect. arXiv 2019, arXiv:1911.10690. [Google Scholar]
- Rafferty, D.A.; McNamara, B.R.; Nulsen, P.E.J.; Wise, M.W. The Feedback-regulated Growth of Black Holes and Bulges through Gas Accretion and Starbursts in Cluster Central Dominant Galaxies. Astrophys. J. 2006, 652, 216–231. [Google Scholar] [CrossRef]
- Lal, D.V.; Kraft, R.P.; Randall, S.W.; Forman, W.R.; Nulsen, P.E.J.; Roediger, E.; ZuHone, J.A.; Hardcastle, M.J.; Jones, C.; Croston, J.H. Gas Sloshing and Radio Galaxy Dynamics in the Core of the 3C 449 Group. Astrophys. J. 2013, 764, 83. [Google Scholar] [CrossRef]
- Pandge, M.B.; Sonkamble, S.S.; Parekh, V.; Dabhade, P.; Parmar, A.; Patil, M.K.; Raychaudhury, S. AGN Feedback in Galaxy Groups: A Detailed Study of X-ray Features and Diffuse Radio Emission in IC 1262. Astrophys. J. 2019, 870, 62. [Google Scholar] [CrossRef]
- Randall, S.W.; Forman, W.R.; Giacintucci, S.; Nulsen, P.E.J.; Sun, M.; Jones, C.; Churazov, E.; David, L.P.; Kraft, R.; Donahue, M.; et al. Shocks and Cavities from Multiple Outbursts in the Galaxy Group NGC 5813: A Window to Active Galactic Nucleus Feedback. Astrophys. J. 2011, 726, 86. [Google Scholar] [CrossRef]
- Schellenberger, G.; Vrtilek, J.M.; David, L.; O’Sullivan, E.; Giacintucci, S.; Johnston-Hollitt, M.; Duchesne, S.W.; Raychaudhury, S. NGC 741—Mergers and AGN Feedback on a Galaxy-group Scale. Astrophys. J. 2017, 845, 84. [Google Scholar] [CrossRef]
- Machacek, M.E.; Kraft, R.P.; Jones, C.; Forman, W.R.; Hardcastle, M.J. X-ray Constraints on Galaxy-Gas-Jet Interactions in the Dumbbell Galaxies NGC 4782 and NGC 4783 in the LGG 316 Galaxy Group. Astrophys. J. 2007, 664, 804–819. [Google Scholar] [CrossRef]
- Randall, S.W.; Jones, C.; Markevitch, M.; Blanton, E.L.; Nulsen, P.E.J.; Forman, W.R. Gas Sloshing and Bubbles in the Galaxy Group NGC 5098. Astrophys. J. 2009, 700, 1404–1414. [Google Scholar] [CrossRef]
- O’Sullivan, E.; Kolokythas, K.; Kantharia, N.G.; Raychaudhury, S.; David, L.P.; Vrtilek, J.M. The origin of the X-ray, radio and H I structures in the NGC 5903 galaxy group. Mon. Not. R. Astron. Soc. Lett. 2018, 473, 5248. [Google Scholar] [CrossRef]
- Machacek, M.E.; O’Sullivan, E.; Randall, S.W.; Jones, C.; Forman, W.R. The Mysterious Merger of NGC 6868 and NGC 6861 in the Telescopium Group. Astrophys. J. 2010, 711, 1316. [Google Scholar] [CrossRef]
- Pandge, M.B.; Vagshette, N.D.; Sonkamble, S.S.; Patil, M.K. Investigation of X-ray cavities in the cooling flow system Abell 1991. Astrophys. Space Sci. 2013, 345, 183–193. [Google Scholar] [CrossRef]
- Blanton, E.L.; Sarazin, C.L.; McNamara, B.R.; Clarke, T.E. Chandra Observation of the Central Region of the Cooling Flow Cluster A262: A Radio Source That Is a Shadow of Its Former Self? Astrophys. J. 2004, 612, 817–824. [Google Scholar] [CrossRef][Green Version]



















Publisher’s Note: MDPI stays neutral with regard to jurisdictional claims in published maps and institutional affiliations. |
© 2021 by the authors. Licensee MDPI, Basel, Switzerland. This article is an open access article distributed under the terms and conditions of the Creative Commons Attribution (CC BY) license (https://creativecommons.org/licenses/by/4.0/).
Share and Cite
Eckert, D.; Gaspari, M.; Gastaldello, F.; Le Brun, A.M.C.; O’Sullivan, E. Feedback from Active Galactic Nuclei in Galaxy Groups. Universe 2021, 7, 142. https://doi.org/10.3390/universe7050142
Eckert D, Gaspari M, Gastaldello F, Le Brun AMC, O’Sullivan E. Feedback from Active Galactic Nuclei in Galaxy Groups. Universe. 2021; 7(5):142. https://doi.org/10.3390/universe7050142
Chicago/Turabian StyleEckert, Dominique, Massimo Gaspari, Fabio Gastaldello, Amandine M. C. Le Brun, and Ewan O’Sullivan. 2021. "Feedback from Active Galactic Nuclei in Galaxy Groups" Universe 7, no. 5: 142. https://doi.org/10.3390/universe7050142
APA StyleEckert, D., Gaspari, M., Gastaldello, F., Le Brun, A. M. C., & O’Sullivan, E. (2021). Feedback from Active Galactic Nuclei in Galaxy Groups. Universe, 7(5), 142. https://doi.org/10.3390/universe7050142

