The Stochastic Gravitational Wave Background from Magnetars
Abstract
1. Introduction
2. SGWB Model
3. Configuration of Magnetars
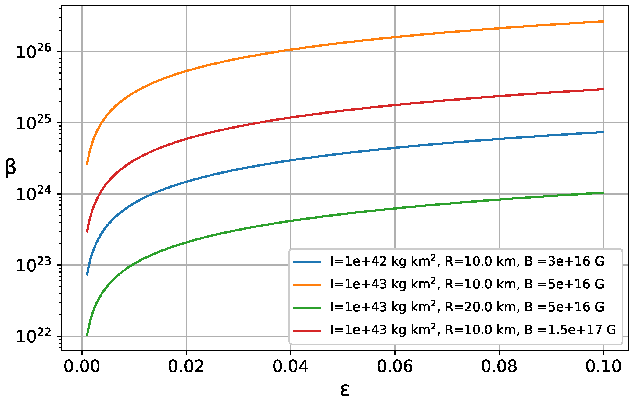
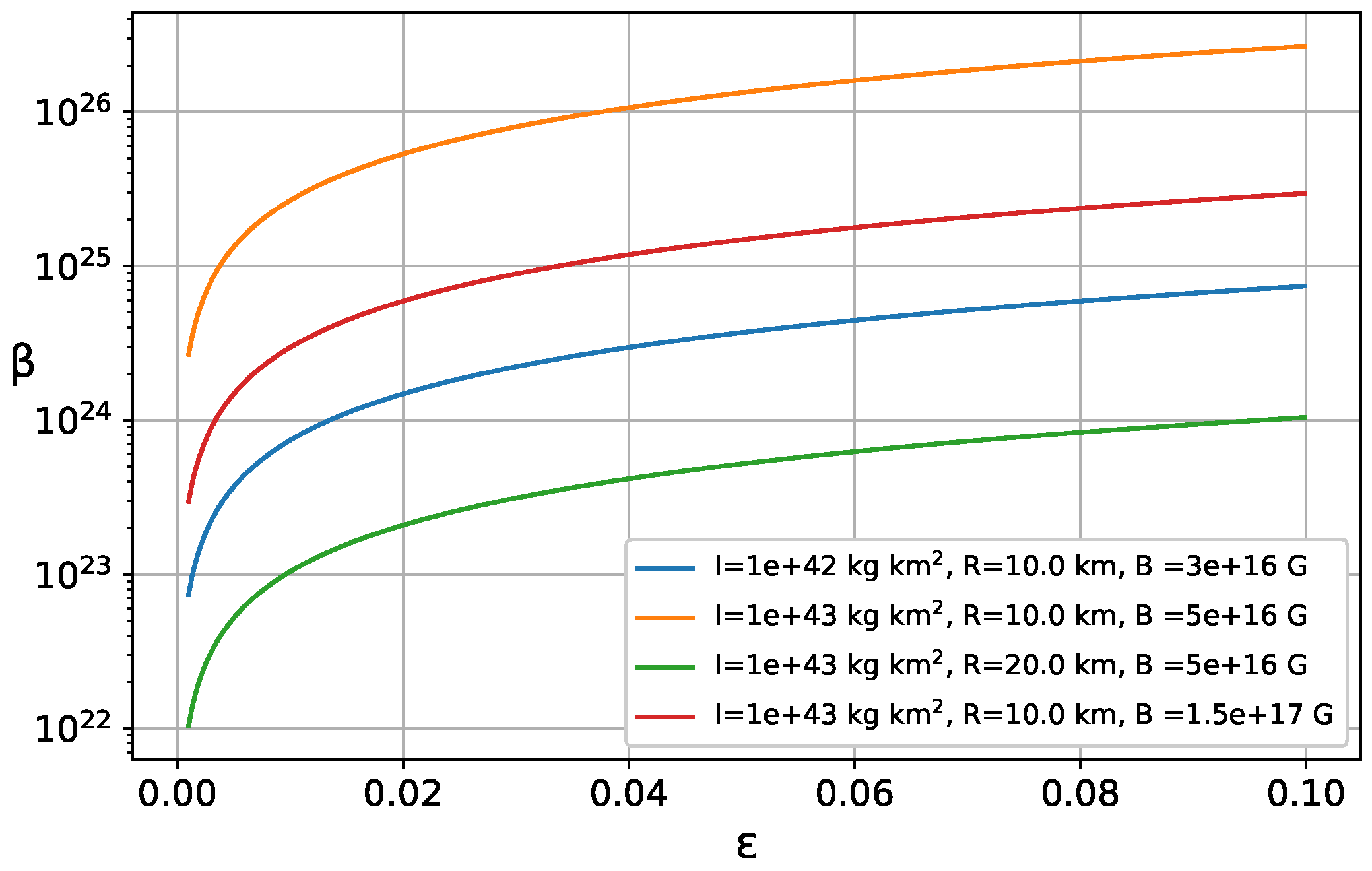
3.1. Poloidal Field Configuration
3.2. Twisted-Torus Magnetic Field Configuration
4. Conclusions
Author Contributions
Funding
Acknowledgments
Conflicts of Interest
References
- Abbott, R.; Abbott, T.D.; Abraham, S.; Acernese, F.; Ackley, K.; Adams, A.; Adams, C.; Adhikari, R.X.; Adya, V.B.; Affeldt, C.; et al. Diving below the Spin-down Limit: Constraints on Gravitational Waves from the Energetic Young Pulsar PSR J0537-6910. Astrophys. J. Lett. 2021, 913, L27. [Google Scholar] [CrossRef]
- Abbott, B.P.; Abbott, R.; Abbott, T.D.; Abraham, S.; Acernese, F.; Ackley, K.; Adams, C.; Adya, V.B.; Affeldt, C.; Agathos, M.; et al. Prospects for observing and localizing gravitational-wave transients with Advanced LIGO, Advanced Virgo and KAGRA. Living Rev. Relativ. 2020, 23. [Google Scholar] [CrossRef]
- Abbott, B.P.; Abbott, R.; Abbott, T.D.; Abraham, S.; Acernese, F.; Ackley, K.; Adams, C.; Adhikari, R.X.; Adya, V.B.; Affeldt, C.; et al. Search for Transient Gravitational-wave Signals Associated with Magnetar Bursts during Advanced LIGO’s Second Observing Run. Astrophys. J. 2019, 874, 163. [Google Scholar] [CrossRef]
- Covas, P.B.; Effler, A.; Goetz, E.; Meyers, P.M.; Neunzert, A.; Oliver, M.; Pearlstone, B.L.; Roma, V.J.; Schofield, R.M.S.; Adya, V.B.; et al. Identification and mitigation of narrow spectral artifacts that degrade searches for persistent gravitational waves in the first two observing runs of Advanced LIGO. Phys. Rev. D 2018, 97, 082002. [Google Scholar] [CrossRef]
- Abbott, B.; Abbott, R.; Adhikari, R.; Agresti, J.; Ajith, P.; Allen, B.; Allen, J.; Amin, R.; Anderson, S.B.; Anderson, W.G.; et al. Upper Limits on a Stochastic Background of Gravitational Waves. Phys. Rev. Lett. 2005, 95, 221101. [Google Scholar] [CrossRef] [PubMed]
- Abbott, B.; Abbott, R.; Adhikari, R.; Agresti, J.; Ajith, P.; Allen, B.; Amin, R.; Anderson, S.B.; Anderson, W.G.; Araya, M.; et al. Searching for a Stochastic Background of Gravitational Waves with the Laser Interferometer Gravitational-Wave Observatory. Astrophys. J. 2007, 659, 918. [Google Scholar] [CrossRef]
- Abbott, B.P.; Abbott, R.; Acernese, F.; Adhikari, R.; Ajith, P.; Allen, B.; Allen, G.; Alshourbagy, M.; Lockerbie, N.A. An upper limit on the stochastic gravitational-wave background of cosmological origin. Nature 2009, 460, 990–994. [Google Scholar] [PubMed]
- Abadie, J.; Abbott, B.P.; Abbott, R.; Abbott, T.D.; Abernathy, M.; Accadia, T.; Acernese, F.; Adams, C.; Adhikari, R.; Affeldt, C.; et al. Upper limits on a stochastic gravitational-wave background using LIGO and Virgo interferometers at 600–1000 Hz. Phys. Rev. D 2012, 85, 122001. [Google Scholar] [CrossRef]
- Abbott, B.P.; Abbott, R.; Abbott, T.D.; Abernathy, M.R.; Acernese, F.; Ackley, K.; Adams, C.; Adams, T.; Addesso, P.; Adhikari, R.X.; et al. Observation of Gravitational Waves from a Binary Black Hole Merger. Phys. Rev. Lett. 2016, 116, 061102. [Google Scholar] [CrossRef]
- Abbott, B.P.; Abbott, R.; Abbott, T.D.; Acernese, F.; Ackley, K.; Adams, C.; Adams, T.; Addesso, P.; Adhikari, R.X.; Adya, V.B.; et al. GW170817: Observation of Gravitational Waves from a Binary Neutron Star Inspiral. Phys. Rev. Lett. 2017, 119, 161101. [Google Scholar] [PubMed]
- Abbott, B.P.; Abbott, R.; Abbott, T.D.; Acernese, F.; Adams, C.; Adams, T.; Addesso, P.; Adhikari, R.X.; Adya, V.B.; Affeldt, C.; et al. Multi-messenger Observations of a Binary Neutron Star Merger. Astrophys. J. Lett. 2017, 848, L12. [Google Scholar]
- Grishchuk, L.P. Amplification of gravitational waves in an istropic universe. Sov. Phys. JETP 1974, 67, 825–838. [Google Scholar]
- Starobinskii, A.A. Spectrum of relict gravitational radiation and the early state of the universe. JETP Lett. 1979, 30, 682–685. [Google Scholar]
- Barnaby, N.; Pajer, E.; Peloso, M. Gauge field production in axion inflation: Consequences for monodromy, non-Gaussianity in the CMB, and gravitational waves at interferometers. Phys. Rev. D 2012, 85, 023525. [Google Scholar] [CrossRef]
- Caldwell, R.R.; Allen, B. Cosmological constraints on cosmic-string gravitational radiation. Phys. Rev. D 1992, 45, 3447. [Google Scholar] [CrossRef] [PubMed]
- Damour, T.; Vilenkin, A. Gravitational Wave Bursts from Cosmic Strings. Phys. Rev. Lett. 2000, 85, 3761. [Google Scholar] [CrossRef] [PubMed]
- Siemens, X.; Mandic, V.; Creighton, J. Gravitational-Wave Stochastic Background from Cosmic Strings. Phys. Rev. Lett. 2007, 98, 111101. [Google Scholar] [CrossRef]
- Regimbau, T.; de Freitas Pacheco, J.A. Stochastic background from coalescence of neutron star- neutron star binaries. Astrophys. J. 2006, 642, 455. [Google Scholar] [CrossRef][Green Version]
- Regimbau, T. The astrophysical gravitational wave stochastic background. Res. Astron. Astrophys. 2011, 11, 369. [Google Scholar] [CrossRef]
- Rosado, P.A. Gravitational wave background from binary systems. Phys. Rev. D 2011, 84, 084004. [Google Scholar] [CrossRef]
- Wu, C.; Mandic, V.; Regimbau, T. Accessibility of the gravitational-wave background due to binary coalescences to second and third generation gravitational-wave detectors. Phys. Rev. D 2012, 85, 104024. [Google Scholar] [CrossRef]
- Regimbau, T.; de Freitas Pacheco, J.A. Cosmic background of gravitational waves from rotating neutron stars. Astron. Astrophys. 2001, 376, 381. [Google Scholar] [CrossRef]
- Rosado, P.A. Gravitational wave background from rotating neutron stars. Phys. Rev. D 2012, 86, 104007. [Google Scholar] [CrossRef]
- Owen, B.J.; Lindblom, L.; Cutler, C.; Schutz, B.F.; Vecchio, A.; Andersson, N. Gravitational waves from hot young rapidly rotating neutron stars. Phys. Rev. D 1998, 58, 084020. [Google Scholar] [CrossRef]
- Howell, E.; Regimbau, T.; Corsi, A.; Coward, C.; Burman, R. Gravitational wave background from sub-luminous GRBs: Prospects for second- and third-generation detectors. Mon. Not. R. Astron. Soc. 2011, 410, 2123. [Google Scholar] [CrossRef]
- Ferrari, V.; Matarrese, S.; Schneider, R. Stochastic background of gravitational waves generated by a cosmological population of young, rapidly rotating neutron stars. Mon. Not. R. Astron. Soc. 1999, 303, 258. [Google Scholar] [CrossRef]
- Dietrich, T.; Coughlin, M.W.; Pang, P.T.; Bulla, M.; Heinzel, J.; Issa, L.; Tews, I.; Antier, S. Multimessenger constraints on the neutron-star equation of state and the Hubble constant. Science 2020, 370, 1450. [Google Scholar] [CrossRef]
- Abbott, B.P.; Abbott, R.; Abbott, T.D.; Acernese, F.; Ackley, K.; Adams, C.; Adams, T.; Addesso, P.; Adhikari, R.X.; Adya, V.B.; et al. A gravitational-wave standard siren measurement of the Hubble constant. Nature 2020, 551, 85. [Google Scholar]
- Coughlin, M.W.; Antier, S.; Dietrich, T.; Foley, R.J.; Heinzel, J.; Bulla, M.; Christensen, N.; Coulter, D.A.; Issa, L.; Khetan, N. Measuring the Hubble constant with a sample of kilonovae. Nat. Commun. 2020, 17, 4129. [Google Scholar] [CrossRef] [PubMed]
- Duncan, R.; Thompson, C. Formation of Very Strongly Magnetized Neutron Stars: Implications for Gamma-Ray Bursts. Astrophys. J. Lett. 1992, 392, L9–L13. [Google Scholar] [CrossRef]
- KAGRA Collaboration; LIGO Scientific Collaboration; Virgo Collaboration. Prospects for observing and localizing gravitational-wave transients with Advanced LIGO, Advanced Virgo and KAGRA. Living Rev. Relativ. 2018, 21, 3. [Google Scholar] [CrossRef]
- Kuroda, K.; LCGT Collaboration. Status of LCGT. Class. Quantum Grav. 2010, 27, 084004. [Google Scholar] [CrossRef]
- Wu, C.; Mandik, V. Accessibility of the stochastic gravitational wave background from magnetars to the interferometric gravitational wave detectors. Phys. Rev. D 2013, 87, 042002. [Google Scholar] [CrossRef]
- Regimbau, T.; de Freitas Pacheco, J.A. Gravitational wave background from magnetars. Astron. Astrophys. 2006, 447, 1–7. [Google Scholar] [CrossRef]
- Regimbau, T.; Mandik, V. Astrophysical sources of a stochastic gravitational-wave background. Class. Quantum Gravit. 2008, 25, 184018. [Google Scholar] [CrossRef]
- Macquet, A.; Bizouard, M.A.; Burns, E.; Christensen, N.; Coughlin, M.; Wadiasingh, Z.; Younes, G. Search for Long-duration Gravitational-wave Signals Associated with Magnetar Giant Flares. Astrophys. J. 2021, 918, 80. [Google Scholar] [CrossRef]
- Zimmermann, M.; Szedenits, E. Gravitational waves from rotating and precessing rigid bodies: Simple models and applications to pulsars. Phys. Rev. D 1979, 20, 351. [Google Scholar] [CrossRef]
- Pines, D.; Shaham, J. Free precession of neutron stars-Some plain truths, cautionary remarks, and assorted speculations. Comments Astrophys. 1974, 6, 37–44. [Google Scholar]
- Schutz, B.F. Gravitation in Astrophysics; Carter, B., Hartle, J.B., Eds.; Plenum Press: New York, NY, USA, 1987. [Google Scholar]
- Bocquet, M.; Bonazzola, S.; Gourgoulhon, E.; Novak, J. Rotating neutron star models with magnetic field. Astron. Astrophys. 1995, 301, 757. [Google Scholar]
- Bonazzola, S.; Frieben, J.; Gourgoulhon, E. Gravitational waves from pulsars: Emission by the magnetic field induced distortion. Astrophys. J. 1996, 312, 675. [Google Scholar]
- Gal’tsov, D.V.; Tsvetkov, V.P. On the gravitational radiation of an oblique rotator. Phys. Lett. 1984, 103A, 193. [Google Scholar] [CrossRef]
- Cheng, Q.; Yu, Y.; Zheng, X. Stochastic gravitational wave background from magnetic deformation of newly born magnetars. Mon. Not. R. Astron. Soc. 2015, 454, 2299. [Google Scholar] [CrossRef][Green Version]
- Kolb, E.W.; Turner, M. The Early Universe, Frontiers in Physics; Addison-Wesley: Reading, MA, USA, 1990. [Google Scholar]
- Allen, B.; Romano, J.D. Detecting a stochastic background of gravitational radiation: Signal processing strategiesand sensitivities. Phys. Rev. D 1999, 59, 102001. [Google Scholar] [CrossRef]
- Braithwaite, J.; Spruit, H. A fossil origin for the magnetic field in A stars and white dwarfs. Nature 2004, 431, 819–821. [Google Scholar] [CrossRef]
- Ciolfi, R.; Ferrari, V.; Gualtieri, L. Structure and deformations of strongly magnetized neutron stars with twisted-torus configurations. Mon. Not. R. Astron. Soc. 2010, 406, 2540. [Google Scholar] [CrossRef]
- Akmal, A.; Pandharipande, V.R.; Ravenhall, D.G. Equation of state of nucleon matter and neutron star structure. Phys. Rev. C 1998, 58, 1804. [Google Scholar] [CrossRef]
- Glendenning, N. Neutron Stars are Giant Hypernuclei? Astrophys. J. 1985, 293, 470. [Google Scholar] [CrossRef]





Publisher’s Note: MDPI stays neutral with regard to jurisdictional claims in published maps and institutional affiliations. |
© 2021 by the authors. Licensee MDPI, Basel, Switzerland. This article is an open access article distributed under the terms and conditions of the Creative Commons Attribution (CC BY) license (https://creativecommons.org/licenses/by/4.0/).
Share and Cite
Chowdhury, S.R.; Khlopov, M. The Stochastic Gravitational Wave Background from Magnetars. Universe 2021, 7, 381. https://doi.org/10.3390/universe7100381
Chowdhury SR, Khlopov M. The Stochastic Gravitational Wave Background from Magnetars. Universe. 2021; 7(10):381. https://doi.org/10.3390/universe7100381
Chicago/Turabian StyleChowdhury, Sourav Roy, and Maxim Khlopov. 2021. "The Stochastic Gravitational Wave Background from Magnetars" Universe 7, no. 10: 381. https://doi.org/10.3390/universe7100381
APA StyleChowdhury, S. R., & Khlopov, M. (2021). The Stochastic Gravitational Wave Background from Magnetars. Universe, 7(10), 381. https://doi.org/10.3390/universe7100381

