Axion–Sterile Neutrino Dark Matter
Abstract
1. Introduction
2. The MSM and Generic Observational Bounds
3. Axion Dark Matter
4. Sterile Neutrino Dark Matter
4.1. Non-Resonant Production
4.2. Resonant Production
5. Sterile Neutrino Dark Matter in a CPT-Symmetric Universe
6. Primordial Black Holes as Dark Matter?
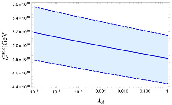
7. Axion–Sterile Neutrino Dark Matter
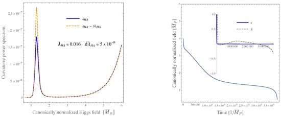
8. Conclusions
Author Contributions
Funding
Institutional Review Board Statement
Informed Consent Statement
Data Availability Statement
Acknowledgments
Conflicts of Interest
Appendix A. Renormalization-Group Equations
| 1 | The strong CP problem is the fine-tuning problem of explaining why the strong interactions do not break CP, while EW ones do. Addressing this fine-tuning problem through a symmetry without doing the same with the Higgs mass and cosmological constant fine-tuning problems appears to be a logical possibility, because the latter problems could be both addressed through anthropic arguments [8,9,10] (unlike the strong CP one). |
| 2 | |
| 3 | |
| 4 | As usual , where is the Hubble constant and is the critical energy density. |
| 5 | |
| 6 | See [73] for a study of this bound when sterile neutrinos account for the whole DM. |
| 7 | In this case, one neglects the dependence on , where T is the photon temperature. This is justified as the resonant production of sterile neutrinos occurs at MeV and keV [93], so . |
| 8 | |
| 9 | |
| 10 | As usual, the expansion of the universe is nearly exponential for and becomes exactly exponential as . |
| 11 | In that figure, we chose as an example the input values , , , , , , and . |
| 12 |
References
- Salvio, A. A Simple Motivated Completion of the Standard Model below the Planck Scale: Axions and Right-Handed Neutrinos. Phys. Lett. B 2015, 743, 428. [Google Scholar] [CrossRef]
- Kim, J.E. Weak interaction singlet and strong CP invariance. Phys. Rev. Lett. 1979, 43, 103. [Google Scholar] [CrossRef]
- Shifman, M.A.; Vainshtein, A.I.; Zakharov, V.I. Can confinement ensure natural CP invariance of strong interactions? Nucl. Phys. B 1980, 166, 493. [Google Scholar] [CrossRef]
- Bezrukov, F.L.; Shaposhnikov, M. The Standard Model Higgs boson as the inflaton. Phys. Lett. B 2008, 659, 703. [Google Scholar] [CrossRef]
- Bezrukov, F.L.; Magnin, A.; Shaposhnikov, M. Standard Model Higgs boson mass from inflation. Phys. Lett. B 2009, 675, 88. [Google Scholar] [CrossRef]
- Bezrukov, F.; Shaposhnikov, M. Standard Model Higgs boson mass from inflation: Two loop analysis. J. High Energy Phys. 2009, 907, 89. [Google Scholar] [CrossRef]
- Salvio, A. Higgs Inflation at NNLO after the Boson Discovery. Phys. Lett. B 2013, 727, 234. [Google Scholar] [CrossRef]
- Weinberg, S. Anthropic Bound on the Cosmological Constant. Phys. Rev. Lett. 1987, 59, 2607. [Google Scholar] [CrossRef]
- Agrawal, V.; Barr, S.M.; Donoghue, J.F.; Seckel, D. The Anthropic principle and the mass scale of the standard model. Phys. Rev. D 1998, 57, 5480. [Google Scholar] [CrossRef]
- D’Amico, G.; Strumia, A.; Urbano, A.; Xue, W. Direct anthropic bound on the weak scale from supernovæ explosions. Phys. Rev. D 2019, 100, 083013. [Google Scholar] [CrossRef]
- Peccei, R.D.; Quinn, H.R. CP Conservation in the Presence of Instantons. Phys. Rev. Lett. 1977, 38, 1440. [Google Scholar] [CrossRef]
- Peccei, R.D.; Quinn, H.R. Constraints Imposed by CP Conservation in the Presence of Instantons. Phys. Rev. D 1977, 16, 1791. [Google Scholar] [CrossRef]
- Salvio, A. Critical Higgs inflation in a Viable Motivated Model. Phys. Rev. D 2019, 99, 015037. [Google Scholar] [CrossRef]
- Hamada, Y.; Kawai, H.; Oda, K.y.; Park, S.C. Higgs Inflation is Still Alive after the Results from BICEP2. Phys. Rev. Lett. 2014, 112, 241301. [Google Scholar] [CrossRef] [PubMed]
- Bezrukov, F.; Shaposhnikov, M. Higgs inflation at the critical point. Phys. Lett. B 2014, 734, 249. [Google Scholar] [CrossRef]
- Hamada, Y.; Kawai, H.; Oda, K.y.; Park, S.C. Higgs inflation from Standard Model criticality. Phys. Rev. D 2015, 91, 053008. [Google Scholar] [CrossRef]
- Buttazzo, D.; Degrassi, G.; Giardino, P.P.; Giudice, G.F.; Sala, F.; Salvio, A.; Strumia, A. Investigating the near-criticality of the Higgs boson. J. High Energy Phys. 2013, 12, 1–49. [Google Scholar] [CrossRef]
- Burgess, C.P.; Lee, H.M.; Trott, M. Power-counting and the Validity of the Classical Approximation During Inflation. J. High Energy Phys. 2009, 2009, 103. [Google Scholar] [CrossRef]
- Barbon, J.L.F.; Espinosa, J.R. On the Naturalness of Higgs Inflation. Phys. Rev. D 2009, 79, 081302. [Google Scholar] [CrossRef]
- Hertzberg, M.P. On Inflation with Non-minimal Coupling. J. High Energy Phys. 2010, 2010, 1–14. [Google Scholar] [CrossRef]
- Burgess, C.P.; Patil, S.P.; Trott, M. On the Predictiveness of Single-Field Inflationary Models. J. High Energy Phys. 2014, 2014, 1–31. [Google Scholar] [CrossRef]
- Burgess, C.P.; Lee, H.M.; Trott, M. Comment on Higgs Inflation and Naturalness. J. High Energy Phys. 2010, 1007, 7. [Google Scholar] [CrossRef]
- Salvio, A. Initial Conditions for Critical Higgs Inflation. Phys. Lett. B 2018, 780, 111–117. [Google Scholar] [CrossRef]
- Salvio, A.; Mazumdar, A. Classical and Quantum Initial Conditions for Higgs Inflation. Phys. Lett. B 2015, 750, 194. [Google Scholar] [CrossRef]
- Salvio, A. Hearing Higgs with gravitational wave detectors. J. Cosmol. Astropart. Phys. 2021, 6, 40. [Google Scholar] [CrossRef]
- Preskill, J.; Wise, M.; Wilczek, F. Cosmology of the invisible axion. Phys. Lett. B 1983, 120, 127. [Google Scholar] [CrossRef]
- Abbott, L.; Sikivie, P. A cosmological bound on the invisible axion. Phys. Lett. B 1983, 120, 133. [Google Scholar] [CrossRef]
- Dine, M.; Fischler, W. The not so harmless axion. Phys. Lett. B 1983, 120, 137. [Google Scholar] [CrossRef]
- Davis, R.L. Cosmic Axions from Cosmic Strings. Phys. Lett. B 1986, 180, 225–230. [Google Scholar] [CrossRef]
- Harari, D.; Sikivie, P. On the Evolution of Global Strings in the Early Universe. Phys. Lett. B 1987, 195, 361–365. [Google Scholar] [CrossRef]
- Davis, R.L.; Shellard, E.P.S. Do Axions Need Inflation? Nucl. Phys. B 1989, 324, 167–186. [Google Scholar] [CrossRef]
- Battye, R.A.; Shellard, E.P.S. Global string radiation. Nucl. Phys. B 1994, 423, 260–304. [Google Scholar] [CrossRef]
- Nagasawa, M.; Kawasaki, M. Collapse of axionic domain wall and axion emission. Phys. Rev. D 1994, 50, 4821–4826. [Google Scholar] [CrossRef]
- Hiramatsu, T.; Kawasaki, M.; Saikawa, K.; Sekiguchi, T. Production of dark matter axions from collapse of string-wall systems. Phys. Rev. D 2012, 85, 105020. [Google Scholar] [CrossRef]
- Gorghetto, M.; Hardy, E.; Villadoro, G. Axions from Strings: The Attractive Solution. J. High Energy Phys. 2018, 7, 151. [Google Scholar] [CrossRef]
- Gorghetto, M.; Hardy, E.; Villadoro, G. More Axions from Strings. SciPost Phys. 2021, 10, 50. [Google Scholar] [CrossRef]
- Ballesteros, G.; Redondo, J.; Ringwald, A.; Tamarit, C. Standard Model-axion-seesaw-Higgs portal inflation. Five problems of particle physics and cosmology solved in one stroke. J. Cosmol. Astropart. Phys. 2017, 1708, 1. [Google Scholar] [CrossRef]
- Dodelson, S.; Widrow, L.M. Sterile-neutrinos as dark matter. Phys. Rev. Lett. 1994, 72, 17–20. [Google Scholar] [CrossRef]
- Shi, X.D.; Fuller, G.M. A New dark matter candidate: Nonthermal sterile neutrinos. Phys. Rev. Lett. 1999, 82, 2832–2835. [Google Scholar] [CrossRef]
- Kusenko, A. Sterile neutrinos: The Dark side of the light fermions. Phys. Rep. 2009, 481, 1–28. [Google Scholar] [CrossRef]
- Drewes, M.; Lasserre, T.; Merle, A.; Mertens, S.; Adhikari, R.; Agostini, M.; Ky, N.A.; Araki, T.; Archidiacono, M.; Bahr, M.; et al. A White Paper on keV Sterile Neutrino Dark Matter. J. Cosmol. Astropart. Phys. 2017, 1, 25. [Google Scholar]
- Boyarsky, A.; Drewes, M.; Lasserre, T.; Mertens, S.; Ruchayskiy, O. Sterile neutrino Dark Matter. Prog. Part. Nucl. Phys. 2019, 104, 1–45. [Google Scholar] [CrossRef]
- Boyle, L.; Finn, K.; Turok, N. CPT-Symmetric Universe. Phys. Rev. Lett. 2018, 121, 251301. [Google Scholar] [CrossRef]
- Boyle, L.; Finn, K.; Turok, N. The Big Bang, CPT, and neutrino dark matter. arXiv 2018, arXiv:1803.08930. [Google Scholar]
- Randjbar-Daemi, S.; Salvio, A.; Shaposhnikov, M. On the decoupling of heavy modes in Kaluza-Klein theories. Nucl. Phys. B 2006, 741, 236–268. [Google Scholar] [CrossRef][Green Version]
- Elias-Miro, J.; Espinosa, J.R.; Giudice, G.F.; Lee, H.M.; Strumia, A. Stabilization of the Electroweak Vacuum by a Scalar Threshold Effect. J. High Energy Phys. 2012, 6, 031. [Google Scholar] [CrossRef]
- Asaka, T.; Blanchet, S.; Shaposhnikov, M. The nuMSM, dark matter and neutrino masses. Phys. Lett. B 2005, 631, 151–156. [Google Scholar] [CrossRef]
- Asaka, T.; Shaposhnikov, M. The nuMSM, dark matter and baryon asymmetry of the universe. Phys. Lett. B 2005, 620, 17. [Google Scholar] [CrossRef]
- Asaka, T.; Shaposhnikov, M.; Kusenko, A. Opening a new window for warm dark matter. Phys. Lett. B 2006, 638, 401–406. [Google Scholar] [CrossRef]
- Asaka, T.; Laine, M.; Shaposhnikov, M. Lightest sterile neutrino abundance within the nuMSM. J. High Energy Phys. 2015, 1, 91. [Google Scholar]
- Canetti, L.; Drewes, M.; Shaposhnikov, M. Sterile Neutrinos as the Origin of Dark and Baryonic Matter. Phys. Rev. Lett. 2013, 110, 061801. [Google Scholar] [CrossRef]
- Abazajian, K.N.; Kusenko, A. Hidden treasures: Sterile neutrinos as dark matter with miraculous abundance, structure formation for different production mechanisms, and a solution to the σ8 problem. Phys. Rev. D 2019, 100, 103513. [Google Scholar] [CrossRef]
- Perez, K.; Ng, K.C.Y.; Beacom, J.F.; Hersh, C.; Horiuchi, S.; Krivonos, R. Almost closing the νMSM sterile neutrino dark matter window with NuSTAR. Phys. Rev. D 2017, 95, 123002. [Google Scholar] [CrossRef]
- Garcia-Bellido, J.; Morales, E.R. Primordial black holes from single field models of inflation. Phys. Dark Univ. 2017, 18, 47–54. [Google Scholar] [CrossRef]
- Ezquiaga, J.M.; Garcia-Bellido, J.; Morales, E.R. Primordial Black Hole production in Critical Higgs Inflation. Phys. Lett. B 2018, 776, 345–349. [Google Scholar] [CrossRef]
- Ballesteros, G.; Taoso, M. Primordial black hole dark matter from single field inflation. Phys. Rev. D 2018, 97, 023501. [Google Scholar] [CrossRef]
- Motohashi, H.; Hu, W. Primordial Black Holes and Slow-Roll Violation. Phys. Rev. D 2017, 96, 063503. [Google Scholar] [CrossRef]
- Hertzberg, M.P.; Yamada, M. Primordial Black Holes from Polynomial Potentials in Single Field Inflation. Phys. Rev. D 2018, 97, 083509. [Google Scholar] [CrossRef]
- Carr, B.; Kohri, K.; Sendouda, Y.; Yokoyama, J. Constraints on Primordial Black Holes. arXiv 2020, arXiv:2002.12778. [Google Scholar]
- Luzio, L.D.; Giannotti, M.; Nardi, E.; Visinelli, L. The landscape of QCD axion models. Phys. Rep. 2020, 870, 1–117. [Google Scholar] [CrossRef]
- Esteban, I.; Gonzalez-Garcia, M.C.; Maltoni, M.; Schwetz, T.; Zhou, A. The fate of hints: Updated global analysis of three-flavor neutrino oscillations. J. High Energy Phys. 2020, 9, 178. [Google Scholar] [CrossRef]
- de Salas, P.F.; Forero, D.V.; Gariazzo, S.; Martínez-Miravé, P.; Mena, O.; Ternes, C.A.; Tórtola, M.; Valle, J.W.F. 2020 Global reassessment of the neutrino oscillation picture. arXiv 2020, arXiv:2006.11237. [Google Scholar]
- Zyla, P.A.; et al.; Particle Data Group Particle Data Group. Prog. Theor. Exp. Phys. 2020, 083C01. Available online: https://pdg.lbl.gov/2020/tables/rpp2020-sum-quarks.pdf (accessed on 22 September 2021).
- Hagiwara, K.; Hikasa, K.; Nakamura, K.; Tanabashi, M.; Aguilar-Benitez, M.; Amsler, C.; Barnett, R.M.; Burchat, P.R.; Carone, C.D.; Lugovsky, V.S.; et al. Particle Data Group. Phys. Rev. D 2018, 98, 030001. Available online: http://pdg.lbl.gov/2018/tables/rpp2018-sum-gauge-higgs-bosons.pdf (accessed on 22 September 2021).
- Bethke, S. World Summary of αs (2012). Nucl. Phys. Proc. Suppl. 2013, 234, 229. [Google Scholar] [CrossRef]
- Petreczky, P.; Schadler, H.P.; Sharma, S. The topological susceptibility in finite temperature QCD and axion cosmology. Phys. Lett. B 2016, 762, 498–505. [Google Scholar] [CrossRef]
- Borsanyi, S.; Fodor, Z.; Guenther, J.; Kampert, K.H.; Katz, S.D.; Kawanai, T.; Kovacs, T.G.; Mages, S.W.; Pasztor, A.; Pittler, F.; et al. Calculation of the axion mass based on high-temperature lattice quantum chromodynamics. Nature 2016, 539, 69–71. [Google Scholar] [CrossRef] [PubMed]
- Alion, T.; Back, J.J.; Bashyal, A.; Bass, M.; Bishai, M.; Cherdack, D.; Diwan, M.; Djurcic, Z.; Evans, J.; Fernandez-Martinez, E.; et al. Particle Data Group. Review of Particle Physics. Phys. Rev. D. 2016. Available online: https://arxiv.org/pdf/1606.09550.pdf (accessed on 22 September 2021).
- Bezrukov, F.; Gorbunov, D.; Shaposhnikov, M. On initial conditions for the Hot Big Bang. J. Cosmol. Astropart. Phys. 2009, 906, 29. [Google Scholar] [CrossRef]
- Garcia-Bellido, J.; Figueroa, D.G.; Rubio, J. Preheating in the Standard Model with the Higgs-Inflaton coupled to gravity. Phys. Rev. D 2009, 79, 063531. [Google Scholar] [CrossRef]
- Kawasaki, M.; Saikawa, K.; Sekiguchi, T. Axion dark matter from topological defects. Phys. Rev. D 2015, 91, 065014. [Google Scholar] [CrossRef]
- Tremaine, S.; Gunn, J.E. Dynamical Role of Light Neutral Leptons in Cosmology. Phys. Rev. Lett. 1979, 42, 407–410. [Google Scholar] [CrossRef]
- Gorbunov, D.; Khmelnitsky, A.; Rubakov, V. Constraining sterile neutrino dark matter by phase-space density observations. J. Cosmol. Astropart. Phys. 2008, 10, 41. [Google Scholar] [CrossRef]
- Boyanovsky, D.; de Vega, H.J.; Sanchez, N. Constraints on dark matter particles from theory, galaxy observations and N-body simulations. Phys. Rev. D 2008, 77, 043518. [Google Scholar] [CrossRef]
- de Vega, H.J.; Sanchez, N.G. Model independent analysis of dark matter points to a particle mass at the keV scale. Mon. Not. R. Astron. Soc. 2010, 404, 885. [Google Scholar] [CrossRef]
- Savchenko, D.; Rudakovskyi, A. New mass bound on fermionic dark matter from a combined analysis of classical dSphs. Mon. Not. R. Astron. Soc. 2019, 487, 5711–5720. [Google Scholar] [CrossRef]
- de Vega, H.J.; Sanchez, N.G. Galaxy phase-space density data exclude Bose-Einstein condensate Axion Dark Matter. arXiv 2014, arXiv:1401.1214. [Google Scholar]
- Pal, P.B.; Wolfenstein, L. Radiative Decays of Massive Neutrinos. Phys. Rev. D 1982, 25, 766. [Google Scholar] [CrossRef]
- Barger, V.D.; Phillips, R.J.N.; Sarkar, S. Remarks on the KARMEN anomaly. Phys. Lett. B 1995, 352, 365–371. [Google Scholar] [CrossRef]
- Benso, C.; Brdar, V.; Lindner, M.; Rodejohann, W. Prospects for Finding Sterile Neutrino Dark Matter at KATRIN. Phys. Rev. D 2019, 100, 115035. [Google Scholar] [CrossRef]
- Ng, K.C.Y.; Roach, B.M.; Perez, K.; Beacom, J.F.; Horiuchi, S.; Krivonos, R.; Wik, D.R. New Constraints on Sterile Neutrino Dark Matter from NuSTAR M31 Observations. Phys. Rev. D 2019, 99, 083005. [Google Scholar] [CrossRef]
- Abazajian, K. Production and evolution of perturbations of sterile neutrino dark matter. Phys. Rev. D 2006, 73, 063506. [Google Scholar] [CrossRef]
- Abazajian, K.N. Sterile neutrinos in cosmology. Phys. Rep. 2017, 711–712, 1–28. [Google Scholar] [CrossRef]
- Palazzo, A.; Cumberbatch, D.; Slosar, A.; Silk, J. Sterile neutrinos as subdominant warm dark matter. Phys. Rev. D 2007, 76, 103511. [Google Scholar] [CrossRef]
- Abazajian, K.; Fuller, G.M.; Patel, M. Sterile neutrino hot, warm, and cold dark matter. Phys. Rev. D 2001, 64, 023501. [Google Scholar] [CrossRef]
- Wolfenstein, L. Neutrino Oscillations in Matter. Phys. Rev. D 1978, 17, 2369–2374. [Google Scholar] [CrossRef]
- Mikheyev, S.P.; Smirnov, A.Y. Resonance Amplification of Oscillations in Matter and Spectroscopy of Solar Neutrinos. Sov. J. Nucl. Phys. 1985, 42, 913–917. [Google Scholar]
- Ghiglieri, J.; Laine, M. Improved determination of sterile neutrino dark matter spectrum. J. High Energy Phys. 2015, 11, 171. [Google Scholar] [CrossRef]
- Venumadhav, T.; Cyr-Racine, F.Y.; Abazajian, K.N.; Hirata, C.M. Sterile neutrino dark matter: Weak interactions in the strong coupling epoch. Phys. Rev. D 2016, 94, 043515. [Google Scholar] [CrossRef]
- Bodeker, D.; Klaus, A. Sterile neutrino dark matter: Impact of active-neutrino opacities. J. High Energy Phys. 2020, 7, 218. [Google Scholar] [CrossRef]
- Laine, M.; Shaposhnikov, M. Sterile neutrino dark matter as a consequence of nuMSM-induced lepton asymmetry. J. Cosmol. Astropart. Phys. 2008, 6, 31. [Google Scholar] [CrossRef]
- Canetti, L.; Drewes, M.; Frossard, T.; Shaposhnikov, M. Dark Matter, Baryogenesis and Neutrino Oscillations from Right Handed Neutrinos. Phys. Rev. D 2013, 87, 093006. [Google Scholar] [CrossRef]
- Eijima, S.; Shaposhnikov, M.; Timiryasov, I. Freeze-in generation of lepton asymmetries after baryogenesis in the νMSM. arXiv 2020, arXiv:2011.12637. [Google Scholar]
- Akhmedov, E.K.; Rubakov, V.A.; Smirnov, A.Y. Baryogenesis via neutrino oscillations. Phys. Rev. Lett. 1998, 81, 1359. [Google Scholar] [CrossRef]
- Drewes, M.; Garbrecht, B. Leptogenesis from a GeV Seesaw without Mass Degeneracy. J. High Energy Phys. 2013, 3, 96. [Google Scholar] [CrossRef]
- Serpico, P.D.; Raffelt, G.G. Lepton asymmetry and primordial nucleosynthesis in the era of precision cosmology. Phys. Rev. D 2005, 71, 127301. [Google Scholar] [CrossRef]
- Duran, A.; Morrison, L.; Profumo, S. Sterile Neutrino Dark Matter from Generalized CPT-Symmetric Early-Universe Cosmologies. arXiv 2021, arXiv:2103.08626. [Google Scholar]
- Kohri, K.; Lyth, D.H.; Melchiorri, A. Black hole formation and slow-roll inflation. J. Cosmol. Astropart. Phys. 2008, 4, 38. [Google Scholar] [CrossRef]
- Kohri, K.; Lin, C.M.; Matsuda, T. Primordial black holes from the inflating curvaton. Phys. Rev. D 2013, 87, 103527. [Google Scholar] [CrossRef]
- Schwarz, D.J.; Terrero-Escalante, C.A.; Garcia, A.A. Higher order corrections to primordial spectra from cosmological inflation. Phys. Lett. B 2001, 517, 243–249. [Google Scholar] [CrossRef]
- Bezrukov, F.; Rubio, J.; Shaposhnikov, M. Living beyond the edge: Higgs inflation and vacuum metastability. Phys. Rev. D 2015, 92, 083512. [Google Scholar] [CrossRef]
- Bezrukov, F.; Pauly, M.; Rubio, J. On the robustness of the primordial power spectrum in renormalized Higgs inflation. J. Cosmol. Astropart. Phys. 2018, 1802, 40. [Google Scholar] [CrossRef]
- Salvio, A.; Strumia, A. Agravity. J. High Energy Phys. 2014, 1406, 80. [Google Scholar] [CrossRef]
- Salvio, A. Solving the Standard Model Problems in Softened Gravity. Phys. Rev. D 2016, 94, 096007. [Google Scholar] [CrossRef]
- Salvio, A.; Strumia, A. Agravity up to infinite energy. Eur. Phys. J. C 2018, 78, 124. [Google Scholar] [CrossRef] [PubMed]
- Salvio, A. Metastability in Quadratic Gravity. Phys. Rev. D 2019, 99, 103507. [Google Scholar] [CrossRef]
- Salvio, A. Quasi-Conformal Models and the Early Universe. Eur. Phys. J. C 2019, 79, 750. [Google Scholar] [CrossRef]
- Salvio, A. Quadratic Gravity. Front. Phys. 2018, 6, 77. [Google Scholar] [CrossRef]
- Salvio, A. Dimensional Transmutation in Gravity and Cosmology. Int. J. Mod. Phys. A 2021, 36, 2130006. [Google Scholar] [CrossRef]
- Liddle, A.R.; Leach, S.M. How long before the end of inflation were observable perturbations produced? Phys. Rev. D 2003, 68, 103503. [Google Scholar] [CrossRef]
- Ade, P.A.R.; Aghanim, N.; Arnaud, M.; Arroja, F.; Ashdown, M.; Aumont, J.; Baccigalupi, C.; Ballardini, M.; Banday, A.J.; Barreiro, R.B.; et al. Planck 2015 results. XX. Constraints on inflation. Astron. Astrophys. 2016, 594, A20. [Google Scholar]
- Akrami, Y.; Arroja, F.; Ashdown, M.; Aumont, J.; Baccigalupi, C.; Ballardini, M.; Banday, A.J.; Barreiro, R.B.; Bartolo, N.; Basak, S.; et al. Planck 2018 results. X. Constraints on inflation. Astron. Astrophys. 2020, 641, A10. [Google Scholar]
- Machacek, M.E.; Vaughn, M.T. Two Loop Renormalization Group Equations in a General Quantum Field Theory. 1. Wave Function Renormalization. Nucl. Phys. 1983, B222, 83. [Google Scholar] [CrossRef]
- Machacek, M.E.; Vaughn, M.T. Two Loop Renormalization Group Equations in a General Quantum Field Theory. 2. Yukawa Couplings. Nucl. Phys. 1984, B236, 221. [Google Scholar] [CrossRef]
- Machacek, M.E.; Vaughn, M.T. Two Loop Renormalization Group Equations in a General Quantum Field Theory. 3. Scalar Quartic Couplings. Nucl. Phys. 1985, B249, 70. [Google Scholar] [CrossRef]






Publisher’s Note: MDPI stays neutral with regard to jurisdictional claims in published maps and institutional affiliations. |
© 2021 by the authors. Licensee MDPI, Basel, Switzerland. This article is an open access article distributed under the terms and conditions of the Creative Commons Attribution (CC BY) license (https://creativecommons.org/licenses/by/4.0/).
Share and Cite
Salvio, A.; Scollo, S. Axion–Sterile Neutrino Dark Matter. Universe 2021, 7, 354. https://doi.org/10.3390/universe7100354
Salvio A, Scollo S. Axion–Sterile Neutrino Dark Matter. Universe. 2021; 7(10):354. https://doi.org/10.3390/universe7100354
Chicago/Turabian StyleSalvio, Alberto, and Simone Scollo. 2021. "Axion–Sterile Neutrino Dark Matter" Universe 7, no. 10: 354. https://doi.org/10.3390/universe7100354
APA StyleSalvio, A., & Scollo, S. (2021). Axion–Sterile Neutrino Dark Matter. Universe, 7(10), 354. https://doi.org/10.3390/universe7100354

