Abstract
This work explores the possibility of resorting to neutrino phenomenology to detect evidence of new physics, caused by the residual signals of the supposed quantum structure of spacetime. In particular, this work investigates the effects on neutrino oscillations and mass hierarchy detection, predicted by models that violate Lorentz invariance, preserving the spacetime isotropy and homogeneity. Neutrino physics is the ideal environment where conducting the search for new “exotic” physics, since the oscillation phenomenon is not included in the original formulation of the minimal Standard Model (SM) of particles. The confirmed observation of the neutrino oscillation phenomenon is, therefore, the first example of physics beyond the SM and can indicate the necessity to resort to new theoretical models. In this work, the hypothesis that the supposed Lorentz Invariance Violation (LIV) perturbations can influence the oscillation pattern is investigated. LIV theories are indeed constructed assuming modified kinematics, caused by the interaction of massive particles with the spacetime background. This means that the dispersion relations are modified, so it appears natural to search for effects caused by LIV in physical phenomena governed by masses, as in the case of neutrino oscillations. In addition, the neutrino oscillation phenomenon is interesting since there are three different mass eigenstates and in a LIV scenario, which preserves isotropy, at least two different species of particle must interact.
1. Introduction
Recent observations made by experiments with natural (solar) neutrino sources [1,2,3,4,5,6,7], atmospheric [8], artificial neutrinos short baseline [9,10,11,12,13,14] and long-baseline reactor neutrinos [15,16,17,18,19] confirm the existence of the flavor oscillation phenomenon. The oscillation evidence has been further reinforced by the appearance experiments, like the CNGS beam [20], T2K [21] and Noa [22], which collect neutrino signals with changed flavor respect to the produced beam. Even the discussed and in contradiction results collected by the appearance experiments LSND [23,24] and MiniBOONE [25,26] seem to confirm the oscillation phenomenon existence. It is well known that this new physics cannot be explained by the minimal particle physics Standard Model (SM), where only 3 left-handed massless neutrino flavors are included. This new physics effect is usually described by supposing the existence of tiny neutrino masses that can cause the oscillations. This produces a model (SM extension of the Standard Model of particle physics, that includes the 3 neutrino masses) where the oscillations are governed by a matrix, determined by 6 parameters, 3 angles and , a phase that takes into account CP violation in weak interaction and 2 mass squared differences, which depend on the neutrino mass hierarchy. Neutrinos appear therefore the ideal candidates to search for new “exotic” physical effects. In this work, only the search for new physics caused by Lorentz Invariance Violation (LIV) is considered in both oscillation and mass hierarchy detection. The plan of this work is organized so that first the most known LIV theoretical models are introduced, then the implications on neutrino oscillations and mass hierarchy are investigated, and lastly, some experimental results and sensitivities are listed.
2. LIV Models
In the past, many attempts to extend the SM of particle physics have been conducted. Some extensions introduce an additional symmetry between bosons and fermions, i.e., supersymmetry. Other models look for an extension of the standard gauge group into a more general symmetry group, which reduces to the classical one via a spontaneous breaking mechanism that produces the standard physics scenario. All these theories are based on Lorentz Invariance (LI). This symmetry is nowadays at the root of our understanding of nature.
Even if there is no definitive evidence to sustain departures from LI, there are consistent points indicating that Lorentz Invariance Violation (LIV) can be a consequence of quantum gravity. Therefore there are logical motivations to conduct systematic tests of this fundamental symmetry validity. Neutrino physics seems to be the ideal environment where to conduct this physical research, since three different mass eigenstates are involved in the oscillation process. To detect possible LIV effects in an isotropic scenario, it is indeed necessary that at least two different particle species interact.
The prevalent means used to search for LIV effects consists in formulating Effective Field Theories (EFT) extensions of the SM of particle physics, in order to obtain phenomenological predictions that can be experimentally tested. The principal EFTs beyond the SM are Very Special Relativity (VSR) and the Standard Model Extension (SME). These models share the common feature of being based on highly reasonable assumptions deemed appropriate to test LI in every possible sector.
2.1. Very Special Relativity
The first EFT approach to LIV considered was introduced by Coleman and Glashow [27,28]. They developed an isotropic perturbative framework to deal with LIV departures from classical quantum field theories, modifying the Lagrangian so that the maximum attainable velocity of every massive particle differs from the speed of light c. The perturbations are conceived so that the gauge symmetry is preserved. Moreover, this kind of corrections are rotationally and translationally invariants, but in a preferred fixed inertial reference frame.
Considering scalar fields, as the first example, the most general Lagrangian that preserves symmetry has the form:
with Z and being hermitian positive definite matrices. It is always possible to transform the fields so that and M becomes diagonal, obtaining in this way a n decoupled field theory. This Lagrangian is perturbed with the addition of the LIV term:
with a hermitian matrix. This perturbation operator presence lets the single-particle eigenstates to evolve from those of the matrix, in the infrared limit, to those of in the ultraviolet limit. This means that the maximum attainable velocity of a material particle changes continuously from a low energy limit to a high energy one.
The most general case Lagrangian can be constructed starting from the representations of the Lorentz group . Summarizing all the theory field operators in one vector , the Lorentz invariance implies:
where and is a representation of the Lorentz group.
The Lie algebra can be decomposed in a sum of and operators, so that the eigenvalues of the couple are:
- for scalars,
- or for left or right Weyl spinors,
- for four-vectors,
- for traceless symmetric tensors,
- a direct sum of and for antisymmetric tensors.
In case of rotations, the Lorentz group representation operator assumes the explicit form:
where is the rotation angle around the vector . A boost operator explicit form is:
where represents the boost rapidity in direction.
Rotationally invariant theories require, therefore, that the operators eigenvalues must satisfy the equation . It follows that the LIV perturbation Lagrangian can be written as:
In a rotational invariant model the possibilities for renormalizable operators are limited to: for scalars, for CPT-odd vectors and for CPT-even tensors. A non-trivial CPT-even model requires therefore , so for scalar fields the LIV renormalizable perturbation operator must be constructed with two fields and two derivatives:
with a real symmetric matrix.
For spinor fields, the most general Lorentz invariant Lagrangian can be written in the usual way as function of Dirac spinors:
This term can be rewritten as function of spinors as:
with and the chirality projectors, defined as
and and are positive LIV coefficients.
The kinematical effects of this model emerge in modifying the material particle propagators. In a Lorentz invariant theory the particle propagator has the general form:
where the function A is normalized via the relation . Adding a LIV perturbation term, proportional to a small coefficient , one obtains:
with B a generic function, normalized so that .
Neglecting the perturbation terms, proportional to the mass, since they are smaller than the perturbative contribution proportional to the squared momentum, at first order, the dispersion relation becomes:
The main physical effect consists, therefore, in modifying particle kinematics. It is important to underline that the LIV effects are caused by the fact that the kinematics modification does not have a universal character, but are species depending. Every particle species has a properly maximum attainable velocity (MAV) different from the universal light speed. From the MAV non-universal character emerges the Lorentz violation in the case of two or more different particle species interactions.
2.2. Standard Model Extension
The most complete and coherent EFT framework to study the LIV phenomenology is referred to as Standard Model Extension (SME) [29,30]. This theory explores the LIV scenarios by amending the particle SM, supplementing all the possible LIV operators, that preserve the gauge symmetry . The SME formulation is conceived even in order to preserve microcausality, positive energy and four-momentum conservation law. Moreover, the quantization methods are conserved, in order to guarantee the existence of relativistic Dirac and non-relativistic Schrödinger equations, in the correct energy regime limit. Therefore the SME modifications consist of perturbation operators, generated by the coupling of matter Lagrangian standard fields with background tensors. These tensors’ non-zero void expectation value and their constant non-dynamical nature break the LI under active transformations of the observed system, i.e., particles transformations. It is important to underline that this model introduces a difference between active or frame and passive or particle transformations, not present in Special Relativity (SR) [31,32,33]. Passive transformations refer to the transformations that affect the observed particle, instead, the active ones are those that affect the observer. Active transformations refer to Lorentz transformations of the entire physical system, i.e., particles as well as the background fields. The presence of couplings with a fixed background induces a Lorentz violation only for passive transformations, that modify the interacting fields, but leave the background tensors invariant. This means that particle transformations modify the system or experiment under consideration, leaving the rest unchanged. In this sense, SME preserves the covariance of physics formulation under active transformations that is observer rotations or boosts.
For simplicity, here it is considered that only the SME modified QED sector. The pure gauge (photon) sector action S must be quadratic in the gauge field and it can be written as sum of terms , given by the integral of a Lagrangian density:
where d represents the tensor operator mass dimension and the coefficients are the LIV background tensors, with mass dimension . All the operators with even d dimension are CPT-even, while the other ones (with d odd) are CPT-odd. The minimal SME (mSME) consists of the SME subset that deals only with power counting renormalizable and super-renormalizable operators (mass dimensions 3 and 4). In order to preserve the lepton number, all the LIV Lagrangian terms coefficients must be diagonal in flavor space indices. The lepton number conservation assumption can be justified by the conjecture that any quantum gravity theory have to reduce to “classical physics” (SR and GR) in the infrared regime. The QED LIV Lagrangian can be finally written as:
The proportional term represents a non-physical contribution to the Lagrangian, in fact, it can be reabsorbed in the phase factor of the fermion field, by shifting the phase itself.
New physical effects are introduced by the extended QED in the kinematics of the theory, in fact the photon and electron dispersion relations result modified. Fixed an opportune reference frame and limiting the analysis to rotationally isotropic LIV operators, the dispersion relations can be written as:
where , , and represents the helicity of the particle. Posed the rotational invariance of the theory, it is possible to define the coefficients, in the previous equations, via the relations , , and , where are opportune pure time-like vectors. Finally it is important to note the fact that the new phenomenology must appear in an energy regime comparable to the particle mass, that is . The mSME deals with dimension 3 and 4 operators, therefore the rotationally isotropic subset of this model coincides broadly with VSR scenario.
Since SME is an effective field theory approach to LIV, it has become common to study even non-power counting renormalizable terms [34,35,36,37,38] that are operators with mass.dimension bigger than 4. In fact, SM is commonly viewed as the low energy limit of a more general theory. Therefore its renormalizability can emerge, in the infrared regime, neglecting some higher-order operators. These assumed as generated by quantum gravity effects operators can be neglected, since they are suppressed by an appropriate energy (or mass) scale. The complete Standard Model extension can be pursued by following an analogous scheme, i.e., introducing perturbations operators for every interacting field.
2.3. Doubly Special Relativity
Another approach to LIV consists of attempting the construction of complete physical theories, among which the most known is Doubly Special Relativity (DSR) [39,40,41,42,43,44]. The main motivation for constructing such a new theory consists in the attempt to reconcile the existence of a second universal constant (the Planck length) with the relativity principle, because the distance contraction induced by the Lorentz transformations is in contrast with the idea of a minimum invariant length. This approach to LIV in its last formulation is known as Relative Locality [45]. The central idea of this model consists in supposing the momentum space and not the spacetime as the fundamental structure to describe physics. Spacetime is considered only a local projection of the momentum space. The new proposal of this model is that the concept of absolute locality is relaxed and different observers feel a personal spacetime structure, which is energy (or equivalently momentum) dependent. The new principle of local relativity states indeed that the momentum space is the fundamental structure at the basis of the physical processes description, instead, spacetime description is constructed by every observer in a personal, local way, losing universality. Spacetime becomes, therefore, an auxiliary concept, which emerges from the fundamental momentum space, where the real dynamics take place [46,47,48]. This model is based on simple semiclassical assumptions about the momentum space geometry, that determine departure from the classical spacetime description, first of all, the relativity principle is modified and acquires a local character.
The modified momentum space geometry is supposed to be determined by the Modified Dispersion Relation (MDR), used to define the space metric:
The starting point to determine the momentum space connection consists instead in modifying the interaction processes kinematics. More in detail, it consists of defining a modified composition rule for momenta:
where represents a perturbation of the usual momenta sum. Therefore the momentum space acquires an algebraic structure defined by the ⊕ operation.
Contemporary it is necessary to introduce the inverse operation, which lets to obtain incoming momenta from the outgoing ones: . These definitions correspond to the replacement of the momentum with a modified one, given by the relation:
with the transformations determined by the geometric features of the momentum space [37].
Finally the momentum space geometry can be determined from the algebraic properties generated by the modified composition rule, with the affine connection given by:
The torsion is evaluated from the asymmetric part of the composition rule:
and the curvature is defined as a measure of the departure from associativity for the new composition rule:
To evaluate all these quantities away from the momentum space origin, it is necessary to define a translation, as:
so, for instance, the curvature evaluated in a generic point of the momentum space can be written as:
It is possible to define the parallel transport determined by the geometric connection created by the new composition law. Composing the momentum p of a particle with the infinitesimal one of a different particle, one obtains:
where the tensor determines the parallel transport operation and it can be expanded around the as:
The corresponding conservation law acquires the explicit form:
where are coefficients opportunely defined.
The dynamics can be described by a variational principle, indeed it is possible to write the free particle action as:
The index J represents the particle species, s is an arbitrary time parameter, for instance, the proper time, is a Lagrange multiplier and is defined as:
with obtained from (17).
The contraction is defined using the standard metric, in order to preserve the Poisson brackets:
Integrating by parts, it is simple to obtain the following relation:
and the equations of motion have the desired form, given by:
To determine what happens during particles interaction, it is necessary to consider even the interaction contribution to the action, which can be written as the product of the conservation law (27) times a Lagrange multiplier:
The variation of this term is given by:
from which follows immediately, by the vanishing of the term proportional to :
From the previous relation and (27) one can obtain the equation:
This equation expresses the worldline coordinate for every observer. If the momentum space curvature is negligible, this expression reduces to the fact that every observer sees the same event coordinate. This fact is in accordance with the usual physical description of interacting particles, that takes place at a given spacetime point. In this way, it is possible to reconcile this model with the standard physical description in the low energy limit.
To express the locality of the newly introduced relativity principle, it is sufficient to derive, from (36), the relation:
This expression tells that different observers can detect the same interaction events separated by different spacetime coordinates intervals. Only for a subset of privileged observers, the interaction events take place in the reference frame origin and therefore are defined at the same set of coordinates. The relativity principle, therefore, acquires a local valence and the Lorentz invariance, as usually conceived, is modified.
In conclusion, the model constructed in this way substitutes the classical concept of spacetime as fundamental background, where the physical interactions take place, with the idea that the invariant background is constituted by a curved momentum space. This modification is made at the price to renounce to the concept of an observer-independent locality.
Important to underline that even in this case the material particles dispersion relations are modified and acquire a personal functional form. Finally, the curved geometry of the momentum space acquires an energy dependence, these features remain a constant in most of the models describing LIV.
2.4. HMSR—Homogeneously Modified Special Relativity
This model is constructed in the attempt of preserving isotropy and homogeneity of spacetime in a LIV scenario [49,50]. To pursue this aim the interaction with the background is geometrized. In fact, in this theory Dispersion Relations (DR) are modified to perturb the kinematic, in order to geometrically describe the interaction of massive particles with the supposed quantum structure of the background spacetime structure. This means to modify the underlying geometry of Special Relativity in order to describe the effects of the supposed quantum structure of spacetime on the kinematics of particles.
the f function is constructed to preserve the MDR rotational invariance.
The perturbation function is chosen homogeneous of degree 0, in order to preserve the geometrical origin of the MDR:
Imposing the zero-degree homogeneity to the perturbation function f the MDR results homogeneous of degree 2, condition to be generated by a Finsler pseudo-norm. Therefore every massive particle (fermion) feels a local spacetime parametrization, labeled by its momentum or energy. The necessity to resort to a geometry that can deal with this parametrization follows, i.e., the Finsler geometry.
A Finsler structure is constructed using a positively defined metric to pose the norm, instead a pseudo-Finsler one resorts to a not positive metric. In this case, the pseudo-Finsler geometry is used, because the underlying space-time structure is defined using the Minkowski standard metric, with signature .
Moreover, the Modified Dispersion Relation (MDR) does not present dependence on particle helicity or spin, in fact, it is constructed without distinctions between particles and antiparticles, so the constructed theory is CPT even. Since the publication of the Greenberg theorem [51], it is recognized that LIV does not imply CPT violation. In the same work, the opposite statement was declared true, but this point is widely debated in literature [52,53,54,55,56].
Promoting the MDR to the role of norm in momentum space, it is possible to obtain the momentum space Finsler metric using the relation:
This equation produces a non-diagonal part, which does not give any contribution in computing the dispersion relations. It can be therefore eliminated by an opportune “gauge” choice. The final form of the metric becomes:
The Hamiltonian of the free massive particle in the proper time reference frame is defined as:
consistently with standard Special Relativity. Resorting to the Legendre transformation it is possible to obtain the velocity correlated with the momentum:
The metric homogeneity allows neglecting the metric derivative by the momentum, since this term is a second order perturbation [49]. HMSR introduces therefore a simple way of inverting the correspondence between four momentum and four velocity.
The explicit form of the Lagrangian can be computed from the Hamiltonian obtaining:
where the associated metric of the coordinate space has been obtained via the Legendre transformation:
where the Greek index refers to the local geometric structure, instead the Latin one refers to a Minkowski common spacetime support structure. This model considers the geometry of the momentum and the position space as correlated via the Legendre transformation. This allows interpreting the Finsler co-metric resulting from the modified dispersion relation as the Finsler metric describing the modified geometry. The pseudo-Finsler norm can indeed be expressed as a function of the coordinates:
and the related metric in the coordinate space can be computed via the relation:
The metric in coordinate space constitutes the inverse of the one in momentum space:
The associated generalized vierbeins1 are:
and are defined in order to obtain:
where represents the standard Minkowski norm . The resulting metric is an asymptotically flat pseudofinslerian structure [57,58,59,60,61,62].
All the physical quantities are generalized, acquiring an explicit dependence on the momenta. In this model every particle species has its own metric, with a personal maximum attainable velocity. For this aspect this model is a generalization of VSR, i.e., it admits VSR as an high energy limit. The ratio admits indeed a finite limit with for . As consequence, even the perturbation function admits a finite limit and the maximum attainable velocity for every massive fermion becomes:
Moreover, every particle lives in a modified curved personal spacetime, therefore it is necessary to introduce a new mathematical formalism to conduct computations between physical quantities related to different interacting particles. The elements of the vierbein can be used as projectors from the local curved space to a common support Minkowski flat space-time. The graph of the transition from one tangent (local) space to the other becomes:
where the explicit dependence of the metric from momenta is indicated. The possibility to construct a modified form of the Lorentz group is an original feature of this model. Now, using again the vierbein to project physical quantities from the local to global space, it is possible to define the general Modified Lorentz Transformations (MLT) as:
These Modified Lorentz Transformations (MLT) are the isometries of the MDR (38), that is every particle species presents its personal MLT, which are the isometries of the particle MDR. The caused by LIV new physics emerges only in the interaction of two different species. That is every particle type physics is modified in a different way by LIV. Therefore, to analyze the interaction of two particles, it is necessary to determine how the reaction invariants—that is, the Mandelstam relativistic invariants—are modified. For this reason, it is natural to generalize the definition of the internal product of the sum of two-particle species momenta.
where and are the vierbeins associated respectively with the two different particle species. With this internal product, it is now possible to generalize the definition of the Mandelstam variables s, t and u in such a way that can preserve the theory covariant formulation respect to the MLT. This means that it is not necessary to introduce a preferred reference frame, in contrast with the great part of the other LIV models. It is important to underline that the modified structure of the metric (41) and (45) is analogous to the SME isotropic coefficient . However, HMSR presents some differences compared to SME. First, the perturbation tensor considered in HMSR is not traceless, since at least two different particle species interact. Second and most important in HMSR isotropy is preserved not only with respect to rotations, but even with respect to modified boosts.
Finally, it is possible to generalize the SM of particle physics [49], following a procedure analogous to that of SME. First of all, it is necessary to modify the Dirac matrices2, introducing the explicit dependence on the momenta:
Next it is possible to modify the Clifford Algebra connecting the anticommutator of the matrices with the metric:
Finally one can compute the spinor fields, preserving the plane wave form and obtaining:
where the spinors and normalization results modified compared to the usual definition.
Finally, it is possible to obtain an amended formulation of the SM of particles, where for every field an associated vierbein is used to project the physical quantities from the modified personal curved space-time to the common Minkowski space. As an example it is reported the explicit form of the QED Lagrangian:
where represents the vierbein correlated to the gauge field and the index represents a coordinate of the Minkowski spacetime . represents the modified Dirac matrix that rules the interaction of two different particles and depends on their two moments. The term that multiplies the conserved current is a generalization of the analogous term borrowed from curved spacetime QFT, where its explicit form is given by: . In the low energy scenario the perturbation is negligible, on the contrary in the high energy limit, it is possible to consider incoming and outgoing momenta with approximately the same magnitude, even after interaction. Therefore the conserved currents do not depend on the momenta and admit an high energy constant limit. The definition of the conserved current reduces, as in [49], to:
The modified SM formulation preserves the classical gauge . In fact it is possible to demonstrate that the Coleman Mandula theorem is still valid, even if the symmetry group is given by , where is the direct product of modified Poincaré groups, that depends explicitly on the particle species and energy (momentum):
and is the internal symmetries group (in this case ).
Even the Poincaré brackets are modified, indeed it is possible to obtain:
where the coordinates and are defined in the modified curved space-time. The coordinates x and p are defined on the flat local model. It is necessary to consider that the vierbein (49) is function of the ratio of momentum and energy, therefore the Poincaré brackets acquire a non trivial form as in curved momentum space theories [63]. HMSR presents therefore a correspondence with DSR, since in both models the momentum space is considered curved. Moreover resorting to the vierbein to project the momenta to the universal Minkowski support model (19), in HMSR it is possible to obtain a momenta modified composition rule:
Contrary to what happens in DSR this composition rule does not present a universal character, instead, it is species-depending and it is associative and abelian.
3. LIV and Neutrino Oscillations
3.1. Hamiltonian Approach
Now it is possible to focus on the analysis of the supposed Lorentz violation effects impact on neutrino phenomenology. The introduction of LIV can, in fact, modify the flavor oscillation probabilities. The formalism here introduced was developed for the SME environment and is still valid for theories like VSR and HMSR that coincides in some aspects with the SME scenario. The extended Standard Model Lagrangian can be written in the general form [30,36,37,38]:
with
The previous relation can be rewritten taking into account that only left-hand neutrino couple:
where and . The first term, proportional to , in Equation (66), violates CPT and consequently the Lorentz invariance, while the second contribution, proportional to , breaks “only" Lorentz invariance. In this way one can write the effective Hamiltonian with the explicit form:
where denotes the standard Lorentz covariant Hamiltonian and indicates the perturbation introduced by the LIV violating terms (66). Neglecting the standard part of the Hamiltonian since it contributes identically to all the three mass eigenvalues oscillations probabilities for a fixed momentum neutrino beam, it is possible to use a perturbative approach. The remaining part of the extended Hamiltonian becomes therefore:
where is a matrix that in the mass eigenvalues basis assumes the form:
Using the quantum mechanics perturbation theory, the new eigenstates become:
Now one can introduce the perturbed time evolution operator:
and the oscillation probability can be evaluated as:
In Equation (72) represents the standard predicted oscillation probability, the remaining term is given by:
with:
where represents a generic flavor eigenstate and denotes a mass eigenstate. Moreover in (73):
with the Hamiltonian matrix constrains:
Hence also the flavor transition probability can be expanded perturbatively, as expected [64,65,66]. This approach allows appreciating that the introduction of LIV in the neutrino sector can perturb the oscillation probability pattern without changing its general shape. In the case of high energy sources, such as for atmospheric or astrophysical neutrinos, an exact Hamiltonian diagonalization can be useful. Details on the analytic formulae for the exact diagonalization can be found for CPT odd perturbation operators in [67] and for the CPT even case in [68]. A numerical approach to LIV effects applied to astrophysical neutrinos flavor transitions can be found in [69,70].
3.2. LIV and Neutrino Masses
Since it is of great importance having alternate hypotheses when investigating new physics, some models try to explain oscillations resorting to LIV, without the classical concept of neutrino masses [71]. It is indeed possible to introduce terms in the Standard Model Lagrangian that generate masses by the interaction with background fields, as in [38], where the modified Dirac equation can be written using the modified Dirac matrices:
and the modified mass matrix:
In the previous equations m and are CPT and Lorentz symmetry preserving mass terms. The CPT preserving, but Lorentz violating terms are: , while are CPT and consequently LI violating. It is important to underline that in this case, the LIV introduced mass terms would constitute a theoretical justification for the oscillations, but this kind of LIV introduced masses would not modify the general dependence of oscillation probabilities on neutrino energy. Therefore, it would not amend the “standard” oscillation shape with the introduction of new effects.
This approach was used for example in [71]. In this work the LIV generated perturbation is produced by a Lagrangian that is a subclass of the SME one, with the form:
where the Greek indices refer to tensor spatial components, instead the Latin ones refer to flavor of different neutrinos. The constant background tensor is chosen diagonal in space-time indices and preserves CPT symmetry, instead the vector violates CPT.
In the SME scenario is set another specific attempt to derive a model that tries to explain the neutrino oscillations phenomenon resorting to LIV: The puma model [72]. Following the Hamiltonian approach, this function is perturbed in order to take into account the perturbation induced by LIV effects:
where and depend on the energy of the particle. The function A has the explicit form and therefore decreases inversely with energy. The parameter m is the unique mass parameter required by this theory. The functions B and C instead present a non-standard energy dependence, they indeed increase with energy. All the SME coefficients contributing to the model are chosen to be spacetime constants in order to preserve translation invariance and energy and momentum conservation. The model is rotationally invariant, but it is not covariant under the action of boosts. Moreover, this model does not require all the parameters needed to describe neutrino oscillations used in the standard description, however, this theory necessitates resorting to one neutrino mass parameter. For example in classical description the SM survival probabilities are described resorting to 4 parameters: , instead the puma model requires only one mass m to describe the phenomenon. In conclusion, even this model can attribute only part of the oscillation phenomenon to LIV and necessitates at least one mass correlated parameter.
3.3. HMSR and Neutrino Oscillations
An equivalent way to introduce LIV in the neutrino oscillations sector consists in resorting to the MDRs [73], in order to geometrize the neutrino interaction with the background. The MDRs are assumed with explicit form (38), so that the results are originated by a metric in the momentum space, as already shown, and this guarantees the validity of Hamiltonian dynamics. The ultra-relativistic particle propagation in a vacuum is governed by the Schrödinger equation, whose solutions are written in the form of generic plane waves:
To give the explicit form of the solution, it is possible to start from the MDR (38), and using the approximation of ultrarelativistic particle , we obtain:
This procedure allows evaluating the phase of the plane wave of Equation (81) for a given mass eigenstate, using the natural measure units, for which :
Hence, the same energy E two mass neutrino eigenstates phase difference can be written as:
In addition to the usual unitary matrix PMNS, the oscillation probability shows therefore a dependence on the phase differences . In the most general case, the transition probability from a flavor to a flavor , that includes even the CP violating phase, can be written in the usual form:
The oscillation probability results modified and this effect is caused by the LIV violating perturbation term, proportional to in the phase differences defined in Equation (84). This term is different from zero only if the LIV violations coefficients are different for the three mass eigenstates. Otherwise, the expression of Equation (85) reduces to the usual three-flavor oscillation probability, as in the case of absence of LIV. Since the high energy limit of HMSR is VSR, it is possible to consider the limit of the perturbation function in the analysis pursued, in order to obtain a superior constraint on the perturbation magnitude.
It is essential to notice that in this MDR induced and CPT even LIV theory, oscillation effects result caused by the difference of perturbations between different mass eigenstates [74]. The fundamental assumption, that represents a reasonable physical hypothesis, is that every mass state presents a personal maximum attainable velocity, since it interacts in a particularly personal way with the background. It is even important to underline that the form of LIV, introduced in HMSR model, could not explain the neutrino oscillation, without resorting to the introduction of masses. In fact, the perturbative LIV mass term is proportional to the energy of the particle, and this is in contrast with the evidence of neutrino oscillations for the general pattern. In fact, neutrino oscillations are well described by phase, depending only on squared masses differences, divided by the energy:
and LIV effects, of the type here introduced, could only appear at high energies as tiny perturbative effects (84). Therefore this model can account only for relatively little deviations from “standard physics” at the highest observable energies in the neutrino oscillation sector. Nevertheless, these effects are very interesting experimentally, because they could open a window on what can be new fundamental physics, the realm of quantum gravity.
3.4. HMSR and Neutrino Oscillations Phenomenology
In order to evaluate the impact on neutrino phenomenology the three oscillation probabilities, ruling the neutrino oscillations (, and ) are evaluated by means of Equations (84) and (85) in presence of LIV. This analysis has been pursued in the realistic three flavor scenario and the values of the and of the various PMNS matrix elements (), used for the computations, have been taken from the most recent global fits, including all the different neutrino experiments [75,76]. For simplicity, the value is assumed for the Dirac CP violation phase. This effect could be reintroduced, modifying in a simple way the analysis.
The outcome of the study on oscillation phenomenology is reported in the following series of figures. The different oscillation probabilities are plotted in absence and in presence of LIV violating terms. The plots are obtained for fixed neutrino beam energy values as a function of the baseline length L. The first series of three graphs are obtained for and reports the probabilities and . The probability is the most relevant one for the atmospheric neutrinos study and for long-baseline accelerator neutrino experiments. Even is of great interest both for short and long baseline accelerator experiments and it is also important for reactor antineutrino experiments, because under the CPT invariance assumption.
The three LIV correction parameters are assumed of the same magnitude and are ordered following a natural hierarchy with the highest associated to the heaviest mass eigenstate. The perturbation magnitude is governed by the differences and (83) In Figure 1, Figure 2 and Figure 3 the values are employed and for energy beam of LIV would modify in a visible way the oscillation probability patterns. In Figure 4 are plotted the effects for a neutrino beam with the same energy in the case of LIV parameters with magnitude . In this last case LIV effects are no more visible unless the energy beam or the baseline length are increased.
Figure 1.
Oscillation probability , computed for neutrino energy , “standard theory” (red curve) and LIV (blue curve), for LIV parameters , as function of the baseline L. Baseline L in km [73].
Figure 4.
Example of the fact that with Lorentz Invariance Violation (LIV) of parameters for energy beam of LIV effects are not visible. Baseline L in km [73].
For lower LIV parameters magnitude effects are visible only for higher energy beam values. In Figure 5, Figure 6 and Figure 7 the results for the 3 oscillation probabilities are plotted, in the case of energy beams. In these plots the LIV parameters are assumed in order to obtain and perturbation effects are visible. Even the effects for neutrino are studied. Neutrino energies in the region from to are of great interest for neutrino telescopes experiments like ANTARES [77], KM3NET [78], IceCube [79] and Auger [80,81] (the last one for cosmic neutrinos with energies above ). In Figure 8, Figure 9 and Figure 10 are reported the results for energy neutrinos, obtained for various LIV magnitude parameters.
Figure 5.
Same analysis of Figure 1, but for LIV parameters and for neutrino energy beam E = 100 GeV. Baseline L in km [73].
Figure 8.
oscillation probability, as function of baseline L, for neutrino energy , for “classical theory”, LI (orange curve) and for LIV models, with parameters equal respectively to (blue), (red) and (green curve). Baseline L in km [73].
Hence, selecting the appropriate experimental context, in future one could use the detailed study of high energy neutrinos to further constraint the LIV coefficients. The plots obtained by this analysis must be compared with actual experimental sensitivities. The experimental results listed are taken in [82] and are obtained working in the language of SME (Table 1). Here are reported only the sensitivities correlated with the isotropic coefficient derived by various experiments. As a matter of fact, the comparison between HMSR and the Hamiltonian approach used in the SME as a reference for all the listed experiments is not so immediate, because HMSR investigates a sector not yet analyzed in SME, that generated by the trace of the tensor . Therefore only the posed by various experiments on the isotropic coefficient constrains magnitude order is reported as indication of the experiment sensitivities:
Table 1.
Experimental sensitivities for the Standard Model Extension (SME)neutrino sector isotropic LIV tensor .
To obtain a phenomenological analysis, useful for realistic experimental scenarios, one needs to take into account the knowledge of the different interaction energy depending cross-sections of a neutrino with the detector and an accurate knowledge of the foreseen initial flux of an flavor neutrino at given energy E. The number of detected transition events caused by the flavor oscillation, will be given by:
where L represents the distance from the production to the detection point and is the usual oscillation probability. Then this information must be integrated over the neutrino energies. Finally one must take into account functions describing the detector resolution and efficiencies.
It must be underlined that the detector cannot have a point resolution in energy, so it is important to conduct a comparison between the oscillation probability integral averaged respect to a range of energy values with and without LIV (Figure 11). To complete the analysis, even the percentage differences of LI and LIV predicted integral averaged probabilities are plotted in Figure 12. In these plots, the maximum baseline L has been chosen in order to be of interest for atmospheric neutrino analysis.
Figure 11.
Comparison between oscillation probability integral averaged on energy range values from to , in LI scenario (blue line) and LIV scenario (red line), with and . Baseline L in km.
Figure 12.
Percentage difference of the two probabilities from the previous plot (LI and LIV). Baseline L in km.
The effects of LIV are visible and in the case of higher energies of the neutrino beams or increased sensitivity of the detector it is possible to pose more restrictive constraints on the LIV parameters.
From the comparison between the experimental results and the theoretical predictions, one can extract the information about the impact of this model supposed LIV violations and can put constraints on the magnitude order of the LIV coefficients.
4. LIV and Mass Hierarchy
Another interesting aspect of LIV and neutrinos is studied in the work of Jurkovich [95] and regards the influence on the possibility to discriminate neutrino Mass Hierarchy (MH). In that work the model investigated is based on the SME, so it does not preserve the covariance of the theory respect to amended Lorentz transformations. What emerges is that LIV can affect the long base experiments sensitivity on MH detection.
The neutrino sector is investigated introducing a modified Lagrangian that provides changes in the kinematical terms:
where are tensors and are the Pauli matrices. The dispersion relations are modified and again assume the form:
where . If massive neutrinos are considered the dispersion relation assumes the explicit form:
and the usual Hamiltonian in the mass basis assumes the explicit form:
where represents the usual Hamiltonian:
represents the perturbation term introduced by LIV:
Now the results of [95] are compared with those produced by HMSR applied to the MH detection for experiments like JUNO [96]. Resorting to the model presented in the previous section and used for investigating the effects of LIV on oscillation, the energy spectrum of the foreseen detected neutrinos is constructed and compared with the standard predicted spectrum (Figure 13 and Figure 14). What is possible to see is that LIV can not affect the general shape of the foreseen spectrum for a short to medium baseline experiment like JUNO. It can generate only small perturbations not visible in the shape of direct and inverse hierarchy oscillations. Therefore it is possible to conclude that short and medium baseline experiments can detect LIV effects in an efficient way only studying the neutrino probability and not mass hierarchy. This result was expected, since reactor neutrinos have energies with a magnitude of the order of and LIV perturbations start to be visible for neutrino beams. In fact, the phase perturbation introduced by HMSR is proportional to . On the contrary in [95] it is shown that mass hierarchy can be visibly affected for long-baseline experiments, like Dune.
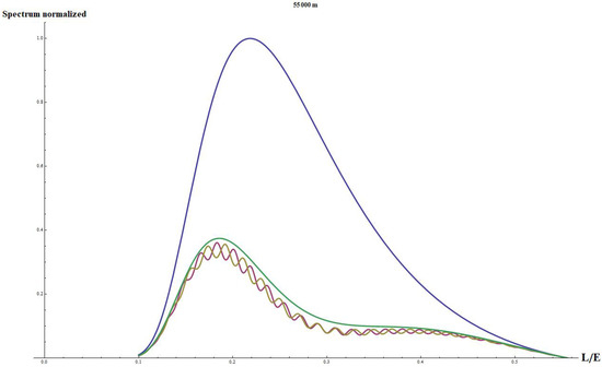
Figure 13.
JUNO experiment foreseen spectrum plotted as a function of the variable L/E, for fixed baseline L = 55 km. Plot reproduced by the author following [96].
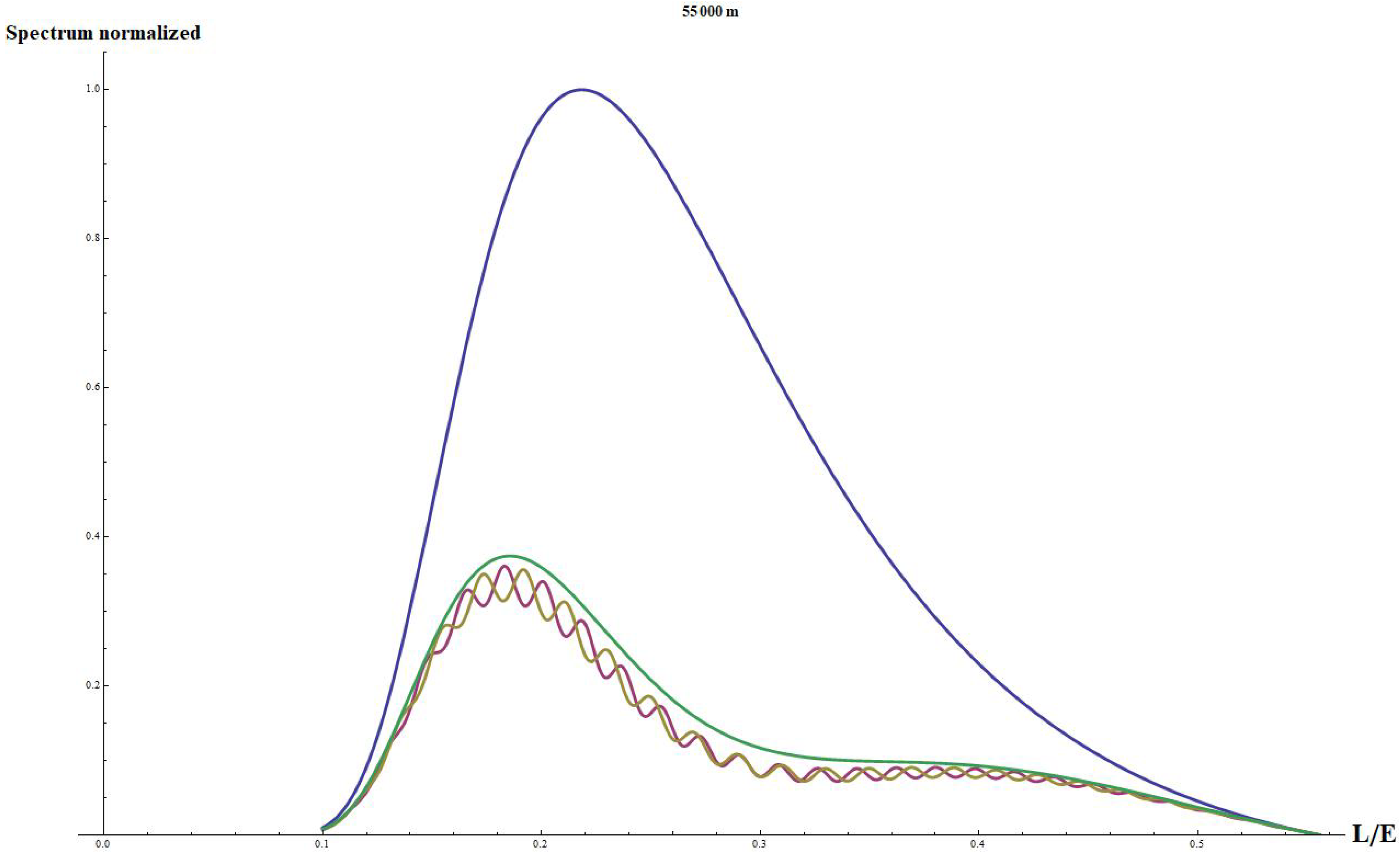
Figure 14.
JUNO experiment modified spectrum by LIV, with and , plotted as a function of the variable L/E, for fixed baseline L = 55 km. In this plot there are no visible differences with respect to the previous one.
5. Conclusions
Neutrino physics is an ideal playground to search for deviations from Lorentz invariance, thanks to its various set of experiments, covering a wide spectrum of energies and baselines. Other works, for instance, explore the influence of LIV on the foreseen observed spectra, in the case of superluminal correction to neutrino propagation [97,98]. Short and Long baseline neutrino experiments seem to be ideal structures to test the validity of Lorentz Invariance, due to their great sensitivity to the detection of phase differences in neutrino propagation. Moreover, the neutrino oscillation phenomenon involves three different masses eigenstates. So it is interesting to consider future experiments such as JUNO, DUNE, T2K to constrain the magnitude of LIV perturbations. In particular, it will be interesting to conduct a systematic analysis of what can be detected by new and really advanced facilities, as JUNO for instance, regarding the study of neutrino oscillations probability. A preliminary study conducted in this work about the possibility to investigate MH discrimination seems to exclude the possibility to resort to short baseline reactor experiments. However, in [95], long-baseline experiments appear as candidates to conduct this kind of research. The investigation on the effects of LIV on the Mass Hierarchy discrimination for long-baseline experiments can be an interesting research aim. In fact, it can open another window on the study of fundamental symmetries of nature, presenting another sector where posing Lorentz Invariance under investigation. Finally, neutrino oscillation physics can be used in the future to investigate the validity of alternative gravity theories, i.e., modified General Relativity theories [99,100]. These models indeed introduce a modification of the geometry of space-time, causing kinematical perturbations that can manifest in neutrino oscillation sector.
Funding
This work was supported by the Fondazione Fratelli Confalonieri - Milano.
Acknowledgments
The author would like to thank Lino Miramonti and Vito Antonelli for the great opportunity of working together and learning from them useful concepts about neutrino physics.
Conflicts of Interest
The author declares no conflict of interest.
References
- McDonald, A.B. Nobel Lecture: The Sudbury Neutrino Observatory: Observation of flavor change for solar neutrinos. Rev. Mod. Phys. 2016, 88, 030502. [Google Scholar] [CrossRef]
- Davis, R. Nobel Lecture: A half-century with solar neutrinos. Rev. Mod. Phys. 2003, 75, 985. [Google Scholar] [CrossRef]
- Bellini, G.; et al.; [Borexino Collaboration] Final results of Borexino Phase-I on low energy solar neutrino spectroscopy. Phys. Rev. D 2014, 89, 112007. [Google Scholar] [CrossRef]
- Bellini, G.; et al.; [BOREXINO Collaboration] Neutrinos from the primary proton?proton fusion process in the Sun. Nature 2014, 512, 383. [Google Scholar]
- Antonelli, V.; Miramonti, L.; Pena Garay, C.; Serenelli, A. Solar Neutrinos. Adv. High Energy Phys. 2013, 2013, 351926. [Google Scholar] [CrossRef]
- Bergstrom, J.; Gonzalez-Garcia, M.C.; Maltoni, M.; Pena-Garay, C.; Serenelli, A.M.; Song, N. Updated determination of the solar neutrino fluxes from solar neutrino data. J. High Energy Phys. 2016, 1603, 132. [Google Scholar] [CrossRef]
- Vissani, F. Joint analysis of Borexino and SNO solar neutrino data and reconstruction of the survival probability. arXiv preprint 2017, arXiv:1709.05813. [Google Scholar] [CrossRef]
- Kajita, T. Nobel Lecture: Discovery of atmospheric neutrino oscillations. Rev. Mod. Phys. 2016, 88, 030501. [Google Scholar] [CrossRef]
- An, F.P.; et al.; [Daya Bay Collaboration] Observation of electron-antineutrino disappearance at Daya Bay. Phys. Rev. Lett. 2012, 108, 171803. [Google Scholar] [CrossRef]
- An, F.P.; et al.; [Daya Bay Collaboration] New Measurement of Antineutrino Oscillation with the Full Detector Configuration at Daya Bay. Phys. Rev. Lett. 2015, 115, 111802. [Google Scholar] [CrossRef]
- Ahn, J.K.; et al.; [RENO Collaboration] Observation of Reactor Electron Antineutrino Disappearance in the RENO Experiment. Phys. Rev. Lett. 2012, 108, 191802. [Google Scholar] [CrossRef] [PubMed]
- Pac, M.Y.; [RENO Collaboration]. Recent Results from RENO. arXiv 2018, arXiv:1801.04049. [Google Scholar]
- Abe, Y.; et al.; [Double Chooz Collaboration] Indication of Reactor Disappearance in the Double Chooz Experiment. Phys. Rev. Lett. 2012, 108, 131801. [Google Scholar] [CrossRef] [PubMed]
- Schoppmann, S.; [Double Chooz Collaboration]. Latest results of Double Chooz. Available online: http://inspirehep.net/record/1510997/ (accessed on 25 February 2020).
- Eguchi, K.; et al.; [KamLAND Collaboration] First results from KamLAND: Evidence for reactor anti-neutrino disappearance. Phys. Rev. Lett. 2003, 90, 021802. [Google Scholar] [CrossRef] [PubMed]
- Decowski, M.P.; [KamLAND Collaboration]. KamLAND’s precision neutrino oscillation measurements. Nucl. Phys. B 2016, 908, 52. [Google Scholar] [CrossRef]
- Kudenko, Y.G. A study of neutrino oscillations in long baseline accelerator experiments. Usp. Fiz. Nauk 2011, 181, 569. [Google Scholar] [CrossRef]
- Ahn, M.H.; et al.; [K2K Collaboration] Measurement of Neutrino Oscillation by the K2K Experiment. Phys. Rev. D 2006, 74, 072003. [Google Scholar] [CrossRef]
- Adamson, P.; et al.; [MINOS Collaboration] Improved search for muon-neutrino to electron-neutrino oscillations in MINOS. Phys. Rev. Lett. 2011, 107, 181802. [Google Scholar] [CrossRef]
- Agafonova, N.; et al.; [OPERA Collaboration] Search for νμ→νe oscillations with the OPERA experiment in the CNGS beam. J. High Energy Phys. 2013, 1307, 004. [Google Scholar] [CrossRef]
- Abe, K.; et al.; [T2K Collaboration] Measurements of neutrino oscillation in appearance and disappearance channels by the T2K experiment with 6.6 × 1020 protons on target. Phys. Rev. D 2015, 91, 072010. [Google Scholar] [CrossRef]
- Adamson, P.; et al.; [NOvA Collaboration] First measurement of electron neutrino appearance in NOvA. Phys. Rev. Lett. 2016, 116, 151806. [Google Scholar] [CrossRef] [PubMed]
- Athanassopoulos, C.; et al.; [LSND Collaboration] Evidence for anti-muon-neutrino —> anti-electron-neutrino oscillations from the LSND experiment at LAMPF. Phys. Rev. Lett. 1996, 77, 3082. [Google Scholar] [CrossRef]
- Athanassopoulos, C.; et al.; [LSND Collaboration] Evidence for nu(mu) —> nu(e) neutrino oscillations from LSND. Phys. Rev. Lett. 1998, 81, 1774. [Google Scholar] [CrossRef]
- Aguilar-Arevalo, A.A.; et al.; [MiniBooNE Collaboration] A Combined νμ→νe and Oscillation Analysis of the MiniBooNE Excesses. arXiv 2012, arXiv:1207.4809. [Google Scholar]
- Aguilar-Arevalo, A.A.; et al.; [MiniBooNE Collaboration] Improved Search for Oscillations in the MiniBooNE Experiment. Phys. Rev. Lett. 2013, 110, 161801. [Google Scholar] [CrossRef] [PubMed]
- Coleman, S.R.; Glashow, S.L. High-energy tests of Lorentz invariance. Phys. Rev. D 1999, 59, 116008. [Google Scholar] [CrossRef]
- Cohen, A.G.; Glashow, S.L. A Lorentz-Violating Origin of Neutrino Mass? arXiv 2006, arXiv:hep-ph/0605036. [Google Scholar]
- Colladay, D.; Kostelecký, V.A. Lorentz violating extension of the standard model. Phys. Rev. D 1998, 58, 116002. [Google Scholar] [CrossRef]
- Kostelecký, V.A. Gravity, Lorentz violation, and the standard model. Phys. Rev. D 2004, 69, 105009. [Google Scholar] [CrossRef]
- Kostelecký, V.A. CPT and Lorentz symmetry. In Proceedings of the Eighth Meeting on CPT and Lorentz Symmetry, Bloomington, IN, USA, 8–11 August 2007. [Google Scholar]
- Kostelecký, V.A. Proceedings, 6th Meeting on CPT and Lorentz Symmetry (CPT 13): Bloomington, Indiana, USA, 17–21 June 2013. Available online: http://inspirehep.net/record/1377649 (accessed on 6 February 2020).
- Kostelecký, V.A. Proceedings, 7th Meeting on CPT and Lorentz Symmetry (CPT 16): Bloomington, Indiana, USA, 20–24 June 2016. Available online: http://inspirehep.net/record/1589369 (accessed on 6 February 2020).
- Myers, R.C.; Pospelov, M. Experimental Challenges for Quantum Gravity. Available online: https://arxiv.org/abs/gr-qc/0402028 (accessed on 25 February 2020).
- Mattingly, D. Modern tests of Lorentz invariance. Living Rev. Rel. 2005, 8, 5. [Google Scholar] [CrossRef]
- Kostelecký, V.A.; Mewes, M. Fermions with Lorentz-violating operators of arbitrary dimension. Phys. Rev. D 2013, 88, 096006. [Google Scholar] [CrossRef]
- Kostelecký, V.A.; Mewes, M. Signals for Lorentz violation in electrodynamics. Phys. Rev. D 2002, 66, 056005. [Google Scholar] [CrossRef]
- Kostelecký, V.A.; Mewes, M. Neutrinos with Lorentz-violating operators of arbitrary dimension. Phys. Rev. D 2012, 85, 096005. [Google Scholar] [CrossRef]
- Amelino-Camelia, G. Doubly special relativity. Nature 2002, 418, 34. [Google Scholar] [CrossRef]
- Amelino-Camelia, G. Doubly special relativity: First results and key open problems. Int. J. Mod. Phys. D 2002, 11, 1643. [Google Scholar] [CrossRef]
- Amelino-Camelia, G. Relativity in space-times with short distance structure governed by an observer independent (Planckian) length scale. Int. J. Mod. Phys. D 2002, 11, 35. [Google Scholar] [CrossRef]
- Amelino-Camelia, G. Testable scenario for relativity with minimum length. Phys. Lett. B 2001, 510, 255. [Google Scholar] [CrossRef]
- Magueijo, J.; Smolin, L. Gravity’s rainbow. Class. Quantum Gravity 2004, 21, 1725. [Google Scholar] [CrossRef]
- Magueijo, J.; Smolin, L. Lorentz invariance with an invariant energy scale. Phys. Rev. Lett. 2002, 88, 190403. [Google Scholar] [CrossRef]
- Amelino-Camelia, G.; Freidel, L.; Kowalski-Glikman, J.; Smolin, L. The principle of relative locality. Phys. Rev. D 2011, 84, 084010. [Google Scholar] [CrossRef]
- Gutierrez-Sagredo, I.; Ballesteros, A.; Gubitosi, G.; Herranz, F.L. Quantum groups, non-commutative Lorentzian spacetimes and curved momentum spaces. arXiv 2019, arXiv:1907.07979. [Google Scholar]
- Pfeifer, C.; Barcaroli, L.; Brunkhorst, L.K.; Gubitosi, G.; Loret, N. Hamilton geometry: Phase space geometry from modified dispersion relations. In Proceedings of the 4th Marcel Grossmann Meeting on Recent Developments in Theoretical and Experimental General Relativity, Astrophysics, and Relativistic Field Theories (MG14) (In 4 Volumes), Rome, Italy, 12–18 July 2015; pp. 3929–3934. [Google Scholar]
- Ballesteros, A.; Gubitosi, G.; Gutiérrez-Sagredo, I.; Herranz, F.J. Curved momentum spaces from quantum (anti–)de Sitter groups in (3+1) dimensions. Phys. Rev. D 2018, 97, 106024. [Google Scholar] [CrossRef]
- Torri, M.D.C.; Antonelli, V.; Miramonti, L. Homogeneously Modified Special relativity (HMSR): A new possible way to introduce an isotropic Lorentz invariance violation in particle standard model. Eur. Phys. J. C 2019, 79, 808. [Google Scholar] [CrossRef]
- Torri, S.; Bertini, M.D.C.; Giammarchi, M.; Miramonti, L. Lorentz Invariance Violation effects on UHECR propagation: A geometrized approach. J. High Energy Astrophys. 2018, 18, 5. [Google Scholar] [CrossRef]
- Greenberg, O.W. CPT violation implies violation of Lorentz invariance. Phys. Rev. Lett. 2002, 89, 231602. [Google Scholar] [CrossRef]
- Chaichian, M.; Dolgov, A.D.; Novikov, V.A.; Tureanu, A. CPT Violation Does Not Lead to Violation of Lorentz Invariance and Vice Versa. Phys. Lett. B 2011, 699, 177. [Google Scholar] [CrossRef]
- Tureanu, A. CPT and Lorentz Invariance: Their Relation and Violation. J. Phys. Conf. Ser. 2013, 474, 012031. [Google Scholar] [CrossRef]
- Chaichian, M.; Fujikawa, K.; Tureanu, A. Electromagnetic interaction in theory with Lorentz invariant CPT violation. Phys. Lett. B 2013, 718, 1500. [Google Scholar] [CrossRef]
- Duetsch, M.; Gracia-Bondia, J.M. On the assertion that PCT violation implies Lorentz non-invariance. Phys. Lett. B 2012, 711, 428. [Google Scholar] [CrossRef]
- Greenberg, O.W.A. Remarks on a Challenge to the Relation between CPT and Lorentz Violation. arXiv 2011, arXiv:1105.0927. [Google Scholar]
- Kostelecký, V.A. Riemann-Finsler geometry and Lorentz-violating kinematics. Phys. Lett. B 2011, 701, 137. [Google Scholar] [CrossRef]
- Girelli, F.; Liberati, S.; Sindoni, L. Planck-scale modified dispersion relations and Finsler geometry. Phys. Rev. D 2007, 75, 064015. [Google Scholar] [CrossRef]
- Edwards, B.R.; Kostelecký, V.A. Riemann–Finsler geometry and Lorentz-violating scalar fields. Phys. Lett. B 2018, 786, 319. [Google Scholar] [CrossRef]
- Lämmerzahl, C.; Perlick, V. Finsler geometry as a model for relativistic gravity. Int. J. Geom. Meth. Mod. Phys. 2018, 15, 1850166. [Google Scholar]
- Bubuianu, L.; Vacaru, S.I. Axiomatic formulations of modied gravity theories with nonlinear dispersion relations and Finsler Lagrange Hamilton geometry. Eur. Phys. J. C 2018, 78, 969. [Google Scholar] [CrossRef]
- Schreck, M. Classical Lagrangians and Finsler structures for the nonminimal fermion sector of the Standard-Model Extension. Phys. Rev. D 2016, 93, 105017. [Google Scholar] [CrossRef]
- Kowalski-Glikman, J. Living in Curved Momentum Space. Int. J. Mod. Phys. A 2013, 28, 1330014. [Google Scholar] [CrossRef]
- Diaz, J.S.; Kostelecký, V.A.; Mewes, M. Testing Relativity with High-Energy Astrophysical Neutrinos. Phys. Rev. D 2014, 89, 043005. [Google Scholar] [CrossRef]
- Diaz, J.S.; Kostelecký, V.A. Lorentz- and CPT-violating models for neutrino oscillations. Phys. Rev. D 2012, 85, 016013. [Google Scholar] [CrossRef]
- Diaz, J.S.; Kostelecký, V.A.; Mewes, M. Perturbative Lorentz and CPT violation for neutrino and antineutrino oscillations. Phys. Rev. D 2009, 80, 076007. [Google Scholar] [CrossRef]
- Diaz, J.S. Correspondence between nonstandard interactions and CPT violation in neutrino oscillations. arXiv 2015, arXiv:1506.01936. [Google Scholar]
- Abe, K.; et al.; [Super-Kamiokande Collaboration] Test of Lorentz invariance with atmospheric neutrinos. Phys. Rev. D 2015, 91, 052003. [Google Scholar] [CrossRef]
- Argüelles, C.A.; Katori, T.; Salvado, J. New Physics in Astrophysical Neutrino Flavor. Phys. Rev. Lett. 2015, 115, 161303. [Google Scholar] [CrossRef] [PubMed]
- Lai, K.H.; Lai, W.H.; Lin, G.L. Constraining the mass scale of a Lorentz-violating Hamiltonian with the measurement of astrophysical neutrino-flavor composition. Phys. Rev. Lett. 2017, 96, 115026. [Google Scholar] [CrossRef]
- Arias, P.; Gamboa, J.; Lopez-Sarrion, J.; Mendez, F.; Das, A.K. CPT/Lorentz invariance violation and neutrino oscillation. Phys. Lett. B 2007, 650, 401. [Google Scholar] [CrossRef]
- Diaz, J.S.; Kostelecký, V.A. Three-parameter Lorentz-violating texture for neutrino mixing. Phys. Lett. B 2011, 700, 25. [Google Scholar] [CrossRef]
- Antonelli, V.; Miramonti, L.; Torri, M.D.C. Neutrino oscillations and Lorentz Invariance Violation in a Finslerian Geometrical model. Eur. Phys. J. C 2018, 78, 667. [Google Scholar] [CrossRef]
- Maccione, L.; Liberati, S.; Mattingly, D. Violations of Lorentz invariance in the neutrino sector: An improved analysis of anomalous threshold constrains. J. Cosmol. Astropart. Phys. 2013, 03, 039. [Google Scholar] [CrossRef]
- Capozzi, F.; Di Valentino, E.; Lisi, E.; Marrone, A.; Melchiorri, A.; Palazzo, A. Global constraints on absolute neutrino masses and their ordering. Phys. Rev. D 2017, 95, 096014. [Google Scholar] [CrossRef]
- De Salas, P.F.; Forero, D.V.; Ternes, C.A.; Tortola, M.; Valle, J.W.F. Status of neutrino oscillations 2017. arXiv 2017, arXiv:1708.01186. [Google Scholar]
- Ageron, M.; et al.; [ANTARES Collaboration] ANTARES: The first undersea neutrino telescope. Nucl. Instrum. Meth. A 2011, 656, 11. [Google Scholar] [CrossRef]
- Adrian-Martinez, S.; et al.; [KM3Net Collaboration] Letter of intent for KM3NeT 2.0. J. Phys. G 2016, 43, 084001. [Google Scholar] [CrossRef]
- Aartsen, M.G.; et al.; [IceCube Collaboration] Observation of High-Energy Astrophysical Neutrinos in Three Years of IceCube Data. Phys. Rev. Lett. 2014, 113, 101101. [Google Scholar] [CrossRef] [PubMed]
- Aab, A.; et al.; [Pierre Auger Collaboration] Improved limit to the diffuse flux of ultrahigh energy neutrinos from the Pierre Auger Observatory. Phys. Rev. D 2015, 91, 092008. [Google Scholar] [CrossRef]
- Zas, E.; [Pierre Auger Collaboration]. Searches for Neutrino Fluxes in the EeV Regime with the Pierre Auger Observatory: UHE Neutrinos at Auger. Available online: http://inspirehep.net/record/1618420/ (accessed on 25 February 2020).
- Kostelecký, V.A.; Russell, N. Data Tables for Lorentz and CPT Violation. Rev. Mod. Phys. 2011, 83, 11. [Google Scholar] [CrossRef]
- Wendell, R.; [Super-Kamiokande Collaboration]. Atmospheric Results from Super-Kamiokande. AIP Conf. Proc. 2015, 1666, 100001. [Google Scholar]
- Aartsen, M.G.; et al.; [IceCube Collaboration] Neutrino Interferometry for High-Precision Tests of Lorentz Symmetry with IceCube. Nat. Phys. 2018, 14, 961. [Google Scholar]
- Abbasi, R.; et al.; [IceCube Collaboration] Search for a Lorentz-violating sidereal signal with atmospheric neutrinos in IceCube. Phys. Rev. D 2010, 82, 112003. [Google Scholar] [CrossRef]
- Adey, D.; et al.; [Daya Bay Collaboration] Search for a time-varying electron antineutrino signal at Daya Bay. Phys. Rev. D 2018, 98, 092013. [Google Scholar] [CrossRef]
- Adamson, P.; et al.; [MINOS Collaboration] Search for Lorentz invariance and CPT violation with muon antineutrinos in the MINOS Near Detector. Phys. Rev. D 2012, 85, 031101. [Google Scholar] [CrossRef]
- Adamson, P.; et al.; [MINOS Collaboration] A Search for Lorentz Invariance and CPT Violation with the MINOS Far Detector. Phys. Rev. Lett. 2010, 105, 151601. [Google Scholar] [CrossRef] [PubMed]
- Adamson, P.; et al.; [MINOS Collaboration] Testing Lorentz Invariance and CPT Conservation with NuMI Neutrinos in the MINOS Near Detector. Phys. Rev. Lett. 2008, 101, 151601. [Google Scholar] [CrossRef] [PubMed]
- Aharmim, B.; et al.; [SNO Collaboration] Tests of Lorentz invariance at the Sudbury Neutrino Observatory. Phys. Rev. D 2018, 98, 112013. [Google Scholar] [CrossRef]
- Katori, T.; Spitz, J. Testing Lorentz Symmetry with the Double Chooz Experiment. Available online: https://arxiv.org/abs/1307.5805 (accessed on 6 February 2020).
- Proceedings of the Magellan Workshop Connecting Neutrino Physics and Astronomy, Deutsches Elektronen-Synchrotron, DESY. 2016. Available online: http://inspirehep.net/record/1500425/files/ (accessed on 6 February 2020).
- Katori, T.; [MiniBooNE Collaboration]. Test for Lorentz and CPT Violation with the MiniBooNE Low-Energy Excess. Available online: https://arxiv.org/abs/1008.0906 (accessed on 25 February 2020).
- Katori, T.; [MiniBooNE Collaboration]. Tests of Lorentz and CPT violation with MiniBooNE neutrino oscillation excesses. Mod. Phys. Lett. A 2012, 27, 1230024. [Google Scholar] [CrossRef]
- Jurkovich, H.; Ferreira, C.P.; Pasquini, P. Shadowing Neutrino Mass Hierarchy with Lorentz Invariance Violation. arXiv 2018, arXiv:1806.08752. [Google Scholar]
- An, F.; et al.; [JUNO Collaboration] Neutrino Physics with JUNO. J. Phys. G 2016, 43, 030401. [Google Scholar] [CrossRef]
- Stecker, F.W.; Scully, S.T.; Liberati, S.; Mattingly, D. Searching for Traces of Planck-Scale Physics with High Energy Neutrinos. Phys. Rev. D 2015, 91, 045009. [Google Scholar] [CrossRef]
- Carmona, J.M.; Cortés, J.L.; Relancio, J.J.; Reyes, M.A. Lorentz Violation Footprints in the Spectrum of High-Energy Cosmic Neutrinos—Deformation of the Spectrum of Superluminal Neutrinos from Electron-Positron Pair Production in Vacuum. Symmetry 2019, 11, 1419. [Google Scholar] [CrossRef]
- Buoninfante, L.; Luciano, G.G.; Petruzziello, L.; Smaldone, L. Neutrino oscillations in extended theories of gravity. Phys. Rev. D 2020, 101, 024016. [Google Scholar] [CrossRef]
- Döring, D.; Päs, H. Sterile Neutrino Shortcuts in Asymmetrically Warped Extra Dimensions. Eur. Phys. J. C 2019, 79, 604. [Google Scholar] [CrossRef]
| 1 | The idea of a modified vierbein was introduced for example in [30], however, in HMSR a modified vierbein exists even in momentum space and a correspondence between the co-metric in momentum space and the metric in coordinate space is introduced. |
| 2 | are indicated as modified Dirac matrices for brevity, but it is more correct to refer to them as the part of the modified Dirac operator that is contracted with a single four-derivative. |
© 2020 by the author. Licensee MDPI, Basel, Switzerland. This article is an open access article distributed under the terms and conditions of the Creative Commons Attribution (CC BY) license (http://creativecommons.org/licenses/by/4.0/).













