The Effects of Finite Distance on the Gravitational Deflection Angle of Light
Abstract
1. Introduction
2. Definition of the Gravitational Deflection Angle of Light: Static and Spherically Symmetric Spacetimes
Notation
3. Weak Deflection of Light in Schwarzschild Spacetime
4. Other Examples
4.1. Kottler Solution
4.2. Weyl Conformal Gravity Case
4.3. Far Source and Receiver
5. Extension to the Strong Deflection of Light
Loops in the Photon Orbit
6. Strong Deflection of Light in Schwarzschild Spacetime
Sagittarius A*
7. Defining the Gravitational Deflection Angle of Light for a Stationary and Axially Symmetric Spacetime
7.1. Optical Metric for the Stationary, Axisymmetric Spacetime
7.2. Gaussian Curvature
7.3. Geodesic Curvature
7.4. Photon Orbit with the Generalized Optical Metric
7.5. Geodesic Curvature of a Photon Orbit
7.6. Geodesic Curvature of a Circular arc Segment
7.7. Impact Parameter and Light Rays
7.8. Gravitational Deflection Light in the Axisymmetric Case
8. Weak Deflection of Light in Kerr Spacetime
8.1. Kerr Spacetime and
8.2. Gaussian Curvature on the Equatorial Plane
8.3. Path Integral of
8.4. Part
8.5. Parts
8.6. Deflection of Light in Kerr Spacetime
8.7. Finite-Distance Corrections
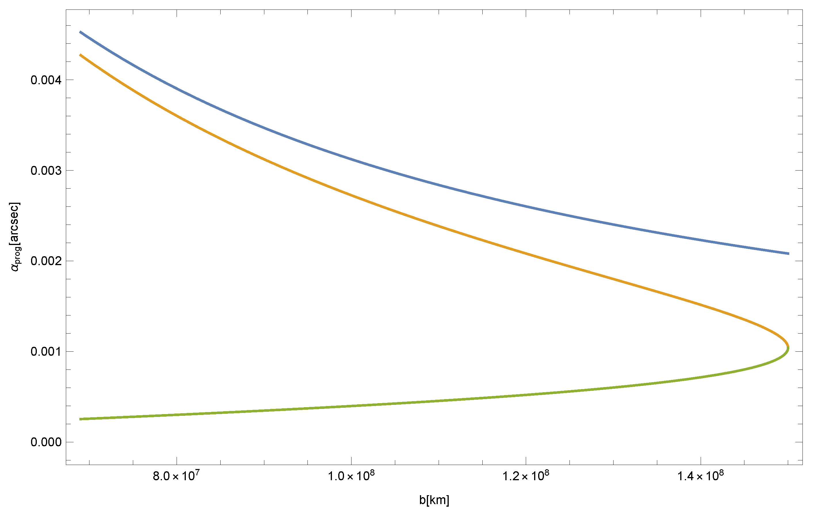
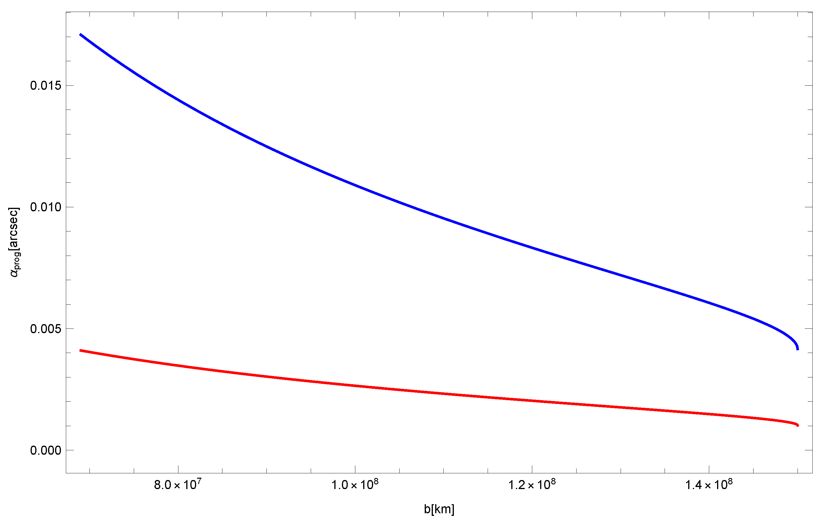
8.8. Possible Astronomical Applications
9. Rotating Teo Wormhole: Another Example
9.1. Rotating Teo Wormhole and Optical Metric
9.2. Gaussian Curvature
9.3. Geodesic Curvature of Photon Orbit
9.4. Part
9.5. Parts
9.6. Deflection Angle of Light
9.7. Finite-Distance Corrections in the Teo Wormhole Spacetime
10. Summary
Funding
Acknowledgments
Conflicts of Interest
Appendix A. Detailed Calculations at O(M2/b2) and O(a2/b2) in Kerr Spacetime
References
- Einstein, A. Die Grundlage der allgemeinen Relativitatstheorie. Ann. Phys. (Berlin) 1916, 49, 769–822. [Google Scholar] [CrossRef]
- Dyson, F.W.; Eddington, A.S.; Davidson, C. A Determination of the Deflection of Light by the Sun’s Gravitational Field, from Observations Made at the Total Eclipse of May 29, 1919. Philos. Trans. R. Soc. A 1920, 220, 291. [Google Scholar] [CrossRef]
- Hagihara, Y. Theory of the relativistic trajectories in a gravitational field of Schwarzschild. Jpn. J. Astron. Geophys. 1931, 8, 67. [Google Scholar]
- Chandrasekhar, S. The Mathematical Theory of Black Holes; Oxford University Press: New York, NY, USA, 1998. [Google Scholar]
- Misner, C.W.; Thorne, K.S.; Wheeler, J.A. Gravitation; Freeman: New York, NY, USA, 1973. [Google Scholar]
- Darwin, C. The gravity field of a particle. Proc. R. Soc. A 1959, 249, 180. [Google Scholar]
- Bozza, V. Gravitational lensing in the strong field limit. Phys. Rev. D 2002, 66, 103001. [Google Scholar] [CrossRef]
- Iyer, S.V.; Petters, A.O. Light’s bending angle due to black holes: From the photon sphere to infinity. Gen. Relativ. Gravit. 2007, 39, 1563. [Google Scholar] [CrossRef]
- Bozza, V.; Scarpetta, G. Strong deflection limit of black hole gravitational lensing with arbitrary source distances. Phys. Rev. D 2007, 76, 083008. [Google Scholar] [CrossRef]
- Frittelli, S.; Kling, T.P.; Newman, E.T. Spacetime perspective of Schwarzschild lensing. Phys. Rev. D 2000, 61, 064021. [Google Scholar] [CrossRef]
- Virbhadra, K.S.; Ellis, G.F.R. Schwarzschild black hole lensing. Phys. Rev. D 2000, 62, 084003. [Google Scholar] [CrossRef]
- Virbhadra, K.S. Relativistic images of Schwarzschild black hole lensing. Phys. Rev. D 2009, 79, 083004. [Google Scholar] [CrossRef]
- Virbhadra, K.S.; Narasimha, D.; Chitre, S.M. Role of the scalar field in gravitational lensing. Astron. Astrophys. 1998, 337, 1. [Google Scholar]
- Virbhadra, K.S.; Ellis, G.F.R. Gravitational lensing by naked singularities. Phys. Rev. D 2002, 65, 103004. [Google Scholar] [CrossRef]
- Virbhadra, K.S.; Keeton, C.R. Time delay and magnification centroid due to gravitational lensing by black holes and naked singularities. Phys. Rev. D 2008, 77, 124014. [Google Scholar] [CrossRef]
- Zschocke, S. A generalized lens equation for light deflection in weak gravitational fields. Class. Quantum Gravity 2011, 28, 125016. [Google Scholar] [CrossRef]
- Eiroa, E.F.; Romero, G.E.; Torres, D.F. Reissner-Nordstrom black hole lensing. Phys. Rev. D 2002, 66, 024010. [Google Scholar] [CrossRef]
- Perlick, V. Exact gravitational lens equation in spherically symmetric and static spacetimes. Phys. Rev. D 2004, 69, 064017. [Google Scholar] [CrossRef]
- Abe, F. Gravitational Microlensing by the Ellis Wormhole. Astrophys. J. 2010, 725, 787. [Google Scholar] [CrossRef]
- Toki, Y.; Kitamura, T.; Asada, H.; Abe, F. Astrometric Image Centroid Displacements due to Gravitational Microlensing by the Ellis Wormhole. Astrophys. J. 2011, 740, 121. [Google Scholar] [CrossRef]
- Nakajima, K.; Asada, H. Deflection angle of light in an Ellis wormhole geometry. Phys. Rev. D 2012, 85, 107501. [Google Scholar] [CrossRef]
- Gibbons, G.W.; Vyska, M. The Application of Weierstrass elliptic functions to Schwarzschild Null Geodesics. Class. Quant. Grav. 2012, 29, 065016. [Google Scholar] [CrossRef]
- DeAndrea, J.P.; Alexander, K.M. Negative time delay in strongly naked singularity lensing. Phys. Rev. D 2014, 89, 123012. [Google Scholar] [CrossRef]
- Kitamura, T.; Nakajima, K.; Asada, H. Demagnifying gravitational lenses toward hunting a clue of exotic matter and energy. Phys. Rev. D 2013, 87, 027501. [Google Scholar] [CrossRef]
- Tsukamoto, N.; Harada, T. Signed magnification sums for general spherical lenses. Phys. Rev. D 2013, 87, 024024. [Google Scholar] [CrossRef]
- Izumi, K.; Hagiwara, C.; Nakajima, K.; Kitamura, T.; Asada, H. Gravitational lensing shear by an exotic lens object with negative convergence or negative mass. Phys. Rev. D 2013, 88, 024049. [Google Scholar] [CrossRef]
- Kitamura, T.; Izumi, K.; Nakajima, K.; Hagiwara, C.; Asada, H. Microlensed image centroid motions by an exotic lens object with negative convergence or negative mass. Phys. Rev. D 2014, 89, 084020. [Google Scholar] [CrossRef]
- Nakajima, K.; Izumi, K.; Asada, H. Negative time delay of light by a gravitational concave lens. Phys. Rev. D 2014, 90, 084026. [Google Scholar] [CrossRef]
- Tsukamoto, N.; Kitamura, T.; Nakajima, K.; Asada, H. Gravitational lensing in Tangherlini spacetime in the weak gravitational field and the strong gravitational field. Phys. Rev. D 2014, 90, 064043. [Google Scholar] [CrossRef]
- Azreg-Ainou, M. Confined-exotic-matter wormholes with no gluing effects – Imaging supermassive wormholes and black holes. J. Cosmol. Astropart. Phys. 2015, 07, 037. [Google Scholar] [CrossRef]
- Akiyama, K.; Alberdi, A.; Alef, W.; Asada, K.; Azulay, R.; Baczko, A.K.; Ball1, D.; Baloković, M.; Barrett, J.; Bintley, D.; et al. [Event Horizon Telescope Collaboration]. First M87 Event Horizon Telescope Results. I. The Shadow of the Supermassive Black Hole. Astrophys. J. 2019, 875, L1. [Google Scholar]
- Akiyama, K.; Alberdi, A.; Alef, W.; Asada, K.; Azulay, R.; Baczko, A.K.; Ball1, D.; Baloković, M.; Barrett, J.; Bintley, D.; et al. [Event Horizon Telescope Collaboration]. First M87 Event Horizon Telescope Results. II. Array and Instrumentation. Astrophys. J. 2019, 875, L2. [Google Scholar]
- Akiyama, K.; Alberdi, A.; Alef, W.; Asada, K.; Azulay, R.; Baczko, A.K.; Ball1, D.; Baloković, M.; Barrett, J.; Bintley, D.; et al. [Event Horizon Telescope Collaboration]. First M87 Event Horizon Telescope Results. III. Data Processing and Calibration. Astrophys. J. 2019, 875, L3. [Google Scholar]
- Akiyama, K.; Alberdi, A.; Alef, W.; Asada, K.; Azulay, R.; Baczko, A.K.; Ball1, D.; Baloković, M.; Barrett, J.; Bintley, D.; et al. [Event Horizon Telescope Collaboration]. First M87 Event Horizon Telescope Results. IV. Imaging the Central Supermassive Black Hole. Astrophys. J. 2019, 875, L4. [Google Scholar]
- Akiyama, K.; Alberdi, A.; Alef, W.; Asada, K.; Azulay, R.; Baczko, A.K.; Ball1, D.; Baloković, M.; Barrett, J.; Bintley, D.; et al. [Event Horizon Telescope Collaboration]. First M87 Event Horizon Telescope Results. V. Physical Origin of the Asymmetric Ring. Astrophys. J. 2019, 875, L5. [Google Scholar]
- Akiyama, K.; Alberdi, A.; Alef, W.; Asada, K.; Azulay, R.; Baczko, A.K.; Ball1, D.; Baloković, M.; Barrett, J.; Bintley, D.; et al. [Event Horizon Telescope Collaboration]. First M87 Event Horizon Telescope Results. VI. The Shadow and Mass of the Central Black Hole. Astrophys. J. 2019, 875, L6. [Google Scholar]
- Gibbons, G.W.; Werner, M.C. Applications of the Gauss-Bonnet theorem to gravitational lensing. Class. Quant. Grav. 2008, 25, 235009. [Google Scholar] [CrossRef]
- Ishihara, A.; Suzuki, Y.; Ono, T.; Kitamura, T.; Asada, H. Gravitational bending angle of light for finite distance and the Gauss-Bonnet theorem. Phys. Rev. D 2016, 94, 084015. [Google Scholar] [CrossRef]
- Ishihara, A.; Suzuki, Y.; Ono, T.; Asada, H. Finite-distance corrections to the gravitational bending angle of light in the strong deflection limit. Phys. Rev. D 2017, 95, 044017. [Google Scholar] [CrossRef]
- Arakida, H. Light deflection and Gauss-Bonnet theorem: Definition of total deflection angle and its applications. Gen. Rel. Grav. 2018, 50, 48. [Google Scholar] [CrossRef]
- Crisnejo, G.; Gallo, E.; Rogers, A. Finite distance corrections to the light deflection in a gravitational field with a plasma medium. Phys. Rev. D 2019, 99, 124001. [Google Scholar] [CrossRef]
- Ono, T.; Ishihara, A.; Asada, H. Gravitomagnetic bending angle of light with finite-distance corrections in stationary axisymmetric spacetimes. Phys. Rev. D 2017, 96, 104037. [Google Scholar] [CrossRef]
- Ono, T.; Ishihara, A.; Asada, H. Deflection angle of light for an observer and source at finite distance from a rotating wormhole. Phys. Rev. D 2018, 98, 044047. [Google Scholar] [CrossRef]
- Ovgun, A. Light deflection by Damour-Solodukhin wormholes and Gauss-Bonnet theorem. Phys. Rev. D 2018, 98, 044033. [Google Scholar] [CrossRef]
- Ono, T.; Ishihara, A.; Asada, H. Deflection angle of light for an observer and source at finite distance from a rotating global monopole. Phys. Rev. D 2019, 99, 124030. [Google Scholar] [CrossRef]
- Carmo, M.P.D. Differential Geometry of Curves and Surfaces; Prentice-Hall: Upper Saddle River, NJ, USA, 1976; pp. 268–269. [Google Scholar]
- Kottler, F. Uber die physikalischen Grundlagen der Einsteinschen Gravitationstheorie. Annalen. Phys. 1918, 361, 401–462. [Google Scholar] [CrossRef]
- Bach, R. Zur Weylschen Relativitatstheorie und der Weylschen Erweiterung des Krummungstensorbegriffs. Math. Zeit. 1921, 9, 110–135. [Google Scholar] [CrossRef]
- Riegert, R.J. Birkhoff’s Theorem in Conformal Gravity. Phys. Rev. Lett. 1984, 53, 315. [Google Scholar] [CrossRef]
- Mannheim, P.D.; Kazanas, D. Exact vacuum solution to conformal Weyl gravity and galactic rotation curves. Astrophys. J. 1989, 342, 635–638. [Google Scholar] [CrossRef]
- Edery, A.; Paranjape, M.B. Classical tests for Weyl gravity: Deflection of light and time delay. Phys. Rev. D 1998, 58, 024011. [Google Scholar] [CrossRef]
- Sultana, J.; Kazanas, D. Bending of light in conformal Weyl gravity. Phys. Rev. D 2010, 81, 127502. [Google Scholar] [CrossRef]
- Cattani, C.; Scalia, M.; Laserra, E.; Bochicchio, I.; Nandi, K.K. Correct light deflection in Weyl conformal gravity. Phys. Rev. D 2013, 87, 047503. [Google Scholar] [CrossRef]
- Sereno, M. Role of Λ in the Cosmological Lens Equation. Phys. Rev. Lett. 2009, 102, 021301. [Google Scholar] [CrossRef] [PubMed]
- Bhadra, A.; Biswas, S.; Sarkar, K. Gravitational deflection of light in the Schwarzschild–de Sitter space-time. Phys. Rev. D 2010, 82, 063003. [Google Scholar] [CrossRef]
- Arakida, H.; Kasai, M. Effect of the cosmological constant on the bending of light and the cosmological lens equation. Phys. Rev. D 2012, 85, 023006. [Google Scholar] [CrossRef]
- Lim, Y.; Wang, Q. Exact gravitational lensing in conformal gravity and Schwarzschild–de Sitter spacetime. Phys. Rev. D 2017, 95, 024004. [Google Scholar] [CrossRef]
- Lewis, T. Some Special Solutions of the Equations of Axially Symmetric Gravitational Fields. Proc. Roy. Soc. A 1932, 136, 176. [Google Scholar] [CrossRef]
- Levy, H.; Robinson, W.J. The rotating body problem. Proc. Camb. Philos. Soc. 1964, 60, 279. [Google Scholar] [CrossRef]
- Papapetrou, A. Champs gravitationnels stationnaires a symetrie axiale. Ann. Inst. H. Poincare A 1966, 4, 83–105. [Google Scholar]
- Levi-Civita, T. Absolute Differential Calculus; Blackie and Son: Glasgow, UK, 1927. [Google Scholar]
- Asada, H.; Kasai, M. Can We See a Rotating Gravitational Lens? Prog. Theor. Phys. 2000, 104, 95–102. [Google Scholar] [CrossRef]
- Belton, A.C. Geometry of Curves and Surfaces. 2015, p. 38. Available online: www.maths.lancs.ac.uk/~belton/www/notes/geom_notes.pdf (accessed on 10 June 2019).
- Oprea, J. Differential Geometry and Its Applications, 2nd ed.; Prentice Hall: Upper Saddle River, NJ, USA, 2003; p. 210. [Google Scholar]
- Perlick, V. Ray Optics, Fermat’s Principle, and Applications to General Relativity; Springer: Berlin, Germany, 2000. [Google Scholar]
- Kopeikin, S.; Mashhoon, B. Gravitomagnetic effects in the propagation of electromagnetic waves in variable gravitational fields of arbitrary-moving and spinning bodies. Phys. Rev. D 2002, 65, 064025. [Google Scholar] [CrossRef]
- Werner, M.C. Gravitational lensing in the Kerr-Randers optical geometry. Gen. Rel. Grav. 2012, 44, 3047–3057. [Google Scholar] [CrossRef]
- Epstein, R.; Shapiro, I.I. Post-post-Newtonian deflection of light by the Sun. Phys. Rev. D 1980, 22, 2947. [Google Scholar] [CrossRef]
- Ibanez, J. Gravitational lenses with angular momentum. Astron. Astrophys. 1983, 124, 175–180. [Google Scholar]
- Iyer, S.V.; Hansen, E.C. Light’s bending angle in the equatorial plane of a Kerr black hole. Phys. Rev. D 2009, 80, 124023. [Google Scholar] [CrossRef]
- Kraniotis, G.V. Precise analytic treatment of Kerr and Kerr-(anti) de Sitter black holes as gravitational lenses. Class. Quant. Grav. 2011, 28, 085021. [Google Scholar] [CrossRef]
- Pijpers, F.P. Helioseismic determination of the solar gravitational quadrupole moment. Mon. Not. R. Astron. Soc. 1998, 297, L76. [Google Scholar] [CrossRef]
- Bi, S.L.; Li, T.D.; Li, L.H.; Yang, W.M. Solar Models with Revised Abundance. Astrophys. J. Lett. 2011, 731, L42. [Google Scholar] [CrossRef]
- Gaia. Available online: http://sci.esa.int/gaia/ (accessed on 10 June 2019).
- JASMINE. Available online: http://www.jasmine-galaxy.org/index-en.html (accessed on 10 June 2019).
- Teo, E. Rotating traversable wormholes. Phys. Rev. D 1998, 58, 024014. [Google Scholar] [CrossRef]
- Jusufi, K.; Övgün, A. Exact traversable wormhole solution in bumblebee gravity. Phys. Rev. D 2018, 97, 024042. [Google Scholar] [CrossRef]
- Laguna, P.; Wolszczan, A. Pulse Arrival Times from Binary Pulsars with Rotating Black Hole Companions. Astrophys. J. 1997, 486, L27. [Google Scholar] [CrossRef]















© 2019 by the authors. Licensee MDPI, Basel, Switzerland. This article is an open access article distributed under the terms and conditions of the Creative Commons Attribution (CC BY) license (http://creativecommons.org/licenses/by/4.0/).
Share and Cite
Ono, T.; Asada, H. The Effects of Finite Distance on the Gravitational Deflection Angle of Light. Universe 2019, 5, 218. https://doi.org/10.3390/universe5110218
Ono T, Asada H. The Effects of Finite Distance on the Gravitational Deflection Angle of Light. Universe. 2019; 5(11):218. https://doi.org/10.3390/universe5110218
Chicago/Turabian StyleOno, Toshiaki, and Hideki Asada. 2019. "The Effects of Finite Distance on the Gravitational Deflection Angle of Light" Universe 5, no. 11: 218. https://doi.org/10.3390/universe5110218
APA StyleOno, T., & Asada, H. (2019). The Effects of Finite Distance on the Gravitational Deflection Angle of Light. Universe, 5(11), 218. https://doi.org/10.3390/universe5110218
 
        
