On Cooling of Neutron Stars with a Stiff Equation of State Including Hyperons
Abstract
1. Introduction
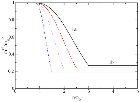
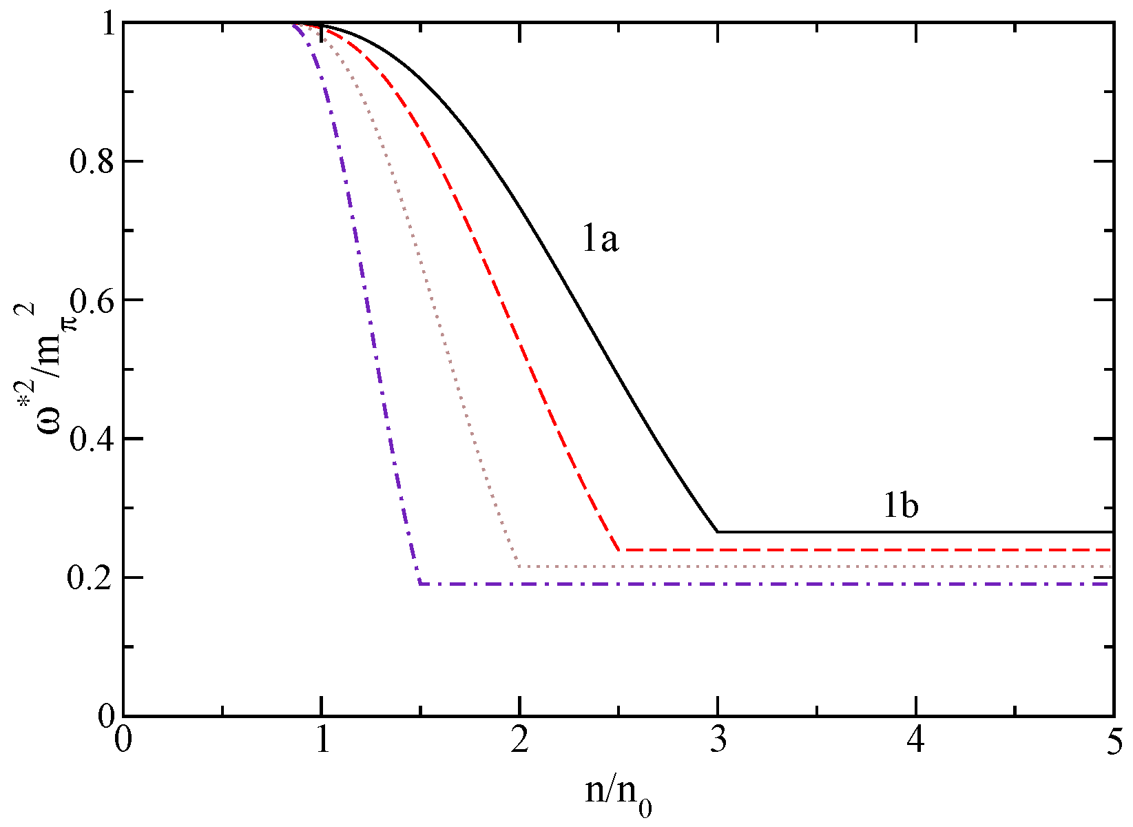
2. Equation of State and Pairing Gaps
- satisfy experimental information on properties of dilute nuclear matter;
- fulfil empirical constraints on global characteristics of atomic nuclei;
- yield a mass–radius relation comparable with the empirical constraints including recent gravitation wave LIGO-Virgo detection [13];
- when extended to non-zero temperature T (for where is the critical temperature of the deconfinement), appropriately describe supernova explosions, proto-neutron stars, and heavy-ion collision data, etc.
3. Results
4. Conclusions
Acknowledgments
Author Contributions
Conflicts of Interest
References
- Gandolfi, S.; Gezerlis, A.; Carlson, J. Neutron Matter from Low to High Density. Ann. Rev. Nucl. Part. Sci. 2015, 65, 303–328. [Google Scholar] [CrossRef]
- Lattimer, J.; Prakash, M. The Equation of State of Hot, Dense Matter and Neutron Stars. Phys. Rep. 2016, 621, 127–164. [Google Scholar] [CrossRef]
- Fonseca, E.; Pennucci, T.T.; Ellis, J.A.; Stairs, I.H.; Nice, D.J.; Ransom, S.M.; Demorest, P.B.; Arzoumanian, Z.; Crowter, K.; Dolch, T.; et al. The NANOGrav nine-year data set: Mass and geometric measurements of binary millisecond Pulsars. Astrophys. J. 2016, 832, 167. [Google Scholar] [CrossRef]
- Antoniadis, J.; Freire, P.C.C.; Wex, N.; Tauris, T.M.; Lynch, R.S.; van Kerkwijk, M.H.; Kramer, M.; Bassa, C.; Dhillon, V.S.; Driebe, T.; et al. A massive pulsar in a compact relativistic binary. Science 2013, 340, 448A. [Google Scholar] [CrossRef] [PubMed]
- Schaffner-Bielich, J. Hypernuclear physics for neutron stars. Nucl. Phys. A 2008, 804, 309–321. [Google Scholar] [CrossRef]
- Djapo, H.; Schaefer, B.; Wambach, J. On the appearance of hyperons in neutron stars. Phys. Rev. C 2010, 81, 035803. [Google Scholar]
- Maslov, K.A.; Kolomeitsev, E.E.; Voskresensky, D.N. Solution of the hyperon puzzle within a relativistic mean-field model. Phys. Lett. B 2015, 748, 369–375. [Google Scholar] [CrossRef]
- Maslov, K.A.; Kolomeitsev, E.E.; Voskresensky, D.N. Relativistic mean-field models with scaled hadron masses and couplings: Hyperons and maximum neutron star mass. Nucl. Phys. A 2016, 950, 64–109. [Google Scholar] [CrossRef]
- Danielewicz, P.; Lacey, R.; Lynch, W. Determination of the equation of state of dense matter. Science 2002, 298, 1592–1596. [Google Scholar] [CrossRef] [PubMed]
- Lynch, W.; Tsang, M.; Zhang, Y.; Danielewicz, P.; Famiano, M.; Li, Z.; Steiner, A. Probing the symmetry energy with heavy ions. Prog. Part. Nucl. Phys. 2009, 62, 427–432. [Google Scholar] [CrossRef]
- Blaschke, D.; Grigorian, H.; Voskresensky, D.N. Cooling of neutron stars: Hadronic model. Astron. Astrophys. 2004, 424, 979–992. [Google Scholar] [CrossRef]
- Klahn, T.; Blaschke, D.; Typel, S.; van Dalen, E.N.E.; Faessler, A.; Fuchs, C.; Gaitanos, T.; Grigorian, H.; Ho, A.; Kolomeitsev, E.E.; et al. Constraints on the high-density nuclear equation of state from the phenomenology of compact stars and heavy-ion collisions. Phys. Rev. 2006, 74, 035802. [Google Scholar] [CrossRef]
- Abbott, B.P. LIGO Scientific and Virgo Collaborations. GW170817: Observation of gravitational waves from a binary neutron star inspiral. Phys. Rev. Lett. 2017, 119, 161101. [Google Scholar] [CrossRef] [PubMed]
- Grigorian, H.; Voskresensky, D.N. Medium effects in cooling of neutron stars and 3P(2) neutron gap. Astron. Astrophys. 2005, 444, 913–929. [Google Scholar] [CrossRef]
- Blaschke, D.; Grigorian, H.; Voskresensky, D.N.; Weber, F. On the cooling of the neutron star in Cassiopeia A. Phys. Rev. C 2012, 85, 022802. [Google Scholar] [CrossRef]
- Blaschke, D.; Grigorian, H.; Voskresensky, D.N. Nuclear medium cooling scenario in the light of new Cas A cooling data and the 2M⊙ pulsar mass measurements. Phys. Rev. C 2013, 88, 065805. [Google Scholar] [CrossRef]
- Grigorian, H.; Voskresensky, D.N.; Blaschke, D. Influence of the stiffness of the equation of state and in-medium effects on the cooling of compact stars. Eur. Phys. J. A 2016, 52, 67. [Google Scholar] [CrossRef]
- Takatsuka, T.; Tamagaki, R. Λ hyperon superfluidity in neutron star cores. Nucl. Phys. A 2000, 670, 222c. [Google Scholar] [CrossRef]
- Takatsuka, T.; Nishizaki, S.; Yamamoto, Y.; Tamagaki, R. Occurrence of hyperon superfluidity in neutron star cores. Prog. Theor. Phys. 2006, 115, 355–379. [Google Scholar] [CrossRef]
- Lanskoy, D.E.; Yamamoto, Y. Skyrme-Hartree-Fock treatment of Λ and ΛΛ hypernuclei with G-matrix motivated interactions. Phys. Rev. C 1997, 55, 2330. [Google Scholar] [CrossRef]




© 2018 by the authors. Licensee MDPI, Basel, Switzerland. This article is an open access article distributed under the terms and conditions of the Creative Commons Attribution (CC BY) license (http://creativecommons.org/licenses/by/4.0/).
Share and Cite
Grigorian, H.; Kolomeitsev, E.E.; Maslov, K.A.; Voskresensky, D.N. On Cooling of Neutron Stars with a Stiff Equation of State Including Hyperons. Universe 2018, 4, 29. https://doi.org/10.3390/universe4020029
Grigorian H, Kolomeitsev EE, Maslov KA, Voskresensky DN. On Cooling of Neutron Stars with a Stiff Equation of State Including Hyperons. Universe. 2018; 4(2):29. https://doi.org/10.3390/universe4020029
Chicago/Turabian StyleGrigorian, Hovik, Evgeni E. Kolomeitsev, Konstantin A. Maslov, and Dmitry N. Voskresensky. 2018. "On Cooling of Neutron Stars with a Stiff Equation of State Including Hyperons" Universe 4, no. 2: 29. https://doi.org/10.3390/universe4020029
APA StyleGrigorian, H., Kolomeitsev, E. E., Maslov, K. A., & Voskresensky, D. N. (2018). On Cooling of Neutron Stars with a Stiff Equation of State Including Hyperons. Universe, 4(2), 29. https://doi.org/10.3390/universe4020029

