Abstract
ESPRESSO is a high-resolution-ultra-stable spectrograph for the Very Large Telescope (VLT), whose commissioning will start in 2017. One of its key science goals is to test the stability of nature’s fundamental couplings with unprecedented accuracy and control of possible systematics. A total of 27 nights of the ESPRESSO Consortium’s guaranteed time observations (GTO) will be spent on testing the stability of the fine-structure constant and other fundamental couplings. A set of 14 priority optimal targets have been selected for the GTO period. In this work, we discuss the criteria underlying this selection, describe the selected targets, and present some forecasts of the impact of these measurements on fundamental physics and cosmology, focusing on dark energy constraints and using future supernova type Ia surveys as a comparison point. This report is a summary of the results reported in Phys. Rev. D 2016, 94, 123512, to which we refer the reader for further details.
1. ESPRESSO
ESPRESSO is the next generation spectrograph, combining the efficiency of a modern Echelle spectrograph with extreme radial velocity and spectroscopic precision, and including improved stability thanks to a vacuum vessel and wavelength calibration performed by a Laser Frequency Comb [1]. ESPRESSO will be installed in the Combined Coudé Laboratory of the Very Large Telescope (VLT) in 2017, and linked to the four Unit Telescopes (UT) through optical Coudé trains, allowing operations either with a single UT or with up to four UTs for about a 1.5 magnitude gain. One of the key science drivers of ESPRESSO is to perform improved tests of the stability of nature’s fundamental couplings, and in particular to confirm or rule out the recent indications of dipole-like variations of the fine-structure constant, , from the work of [2].
Quasar (QSO) absorption spectra can be used to test the variation of dimensionless fundamental parameters such as fine structure constant, , and the proton-to-electron mass ratio, , as well as to test the redshift dependence of the temperature of the cosmic microwave background, . Absorption lines produced by the intervening clouds along the line of sight of the QSO give access to physical information on the atoms/molecules present in the cloud, and this means that they give access to physics at different cosmological times and places. Specific for , we can use different metal absorption lines with different sensitivity coefficients q to a given variation of this constant. In order to break possible redshift degeneracies, one requires at least one transition with negative sensitivity (blue shifters) and one with positive sensitivity (red shifters).
Ten percent of the consortium’s Guaranteed time of observation (GTO) with the instrument will be dedicated to these high-resolution spectroscopic measurements, which corresponds to 27 nights if used in 1 UT mode. In order to lead to improved constrains on the stability of , an ideal target should present simple and strong but not saturated absorption features for the transitions with high sensitivities to such variations.
A limitation of ESPRESSO is its wavelength coverage range, which is narrower than the ones of its predecessors (HARPS, UVES and Keck-HIRES). The effect of the shorter wavelength coverage of ESPRESSO versus the larger one from UVES is illustrated in Figure 1. The figure shows the redshift range in which the most common transitions used to perform measurements are accessible to both spectrographs. Each transition is colored by the corresponding sensitivity, q, to the variation.
Figure 1.
Redshift coverage of ESPRESSO and UVES of common transitions used for measuring . Thinner lines represent the coverage of UVES, while the thicker part is representative of ESPRESSO’s. The color code is indicative of the q sensitivity parameter; each transition is colored according to its shift to the blue or red on the spectra and by how much. The dashed transitions correspond to anchors, i.e., transitions that do not shift much.
2. Target List Selection
To select the list of best possible targets for the GTO of ESPRESSO, we start by considering all existing measurements from UVES and Keck spectrographs [3,4,5,6,7,8,9,10,11], taking into account the effects of the shorter wavelength coverage of the spectrograph. We chose the targets that:
- can be observed from the VLT site (declination );
- present transitions that allow a high sensitivity ( );
- have a reported uncertainty of ppm.
The last criterion comes from the fact that simple spectra should have already produced measurements with statistically lower uncertainties. Further details of the target selection can be found in [12,13].
This analysis leads to the selection of the 14 targets which are presented in Table 1. We note that the order in which they are presented should not be seen as any ranking among them: they are simply ordered according to their Right Ascension. A more detailed prioritization will require the generation of simulated ESPRESSO-like spectra of these targets and is currently ongoing.
Table 1.
The best currently available measurements of , among the targets accessible to ESPRESSO. Column 1 gives the quasar name; the redshifts of the absorption system are given in Column 2; Column ;3 gives the Magnitude of the quasar (QSO) source. Columns 4 and 5 give the value of the measurement and the correspondent uncertainty. Column 6 gives the ranges of sensitivity coefficients associated with the transitions of the absorption systems. Column 7 gives the number of transitions in each absorption system. The last Column gives the references for each measurement. Measurements flagged with a * identify targets for which some of the transitions used in the current measurement are outside the wavelength range of ESPRESSO.
Strictly speaking, the first listed measurement does not fulfil all the criteria, but it is the only system accessible to ESPRESSO where the proton-to-electron mass ratio and the temperature–redshift relation can also be measured. This fact makes it a theoretically interesting target for testing theories where a relation between these three parameters is predicted [14,15].
3. Dark Energy Constraints
In addition to their intrinsic importance for fundamental physics, these tests can also have a significant impact on cosmology, shedding light on the enigma of dark energy [16]. They complement traditional observables (such as Type Ia supernovas) used to map the dark energy equation of state, in particular, because they significantly extend the redshift range that can be probed by the traditional methods [17,18].
Using previously developed tools of [19], we perform detailed forecasts of the impact of ESPRESSO measurements of for these 14 targets. We note that these forecasts can be reliably made, once one has an accurate list of the redshift distribution of the targets, because they mostly depend on the sensitivity of the measurement rather than its central value.
Our Principal Component Analysis (PCA) based formalism to obtain the forecasts is described in [17], to which we refer the reader for further details. We consider models for which the variation of is linearly proportional to the displacement of a scalar field, and further assume that this field is a quintessence type field, i.e., responsible for the current acceleration of the Universe.
We take the coupling between the scalar field and electromagnetism to be:
where the gauge kinetic function is , and is a dimensionless parameter to be marginalized over. This can be seen as the first term of a Taylor expansion, and should be a good approximation if the field is slowly varying at low redshift—given that it is assumed to be a quintessence-type field and that observationally only small relative variations of are allowed [20,21,22]. Then, the evolution of is given by
For a flat Friedmann–Lemaïtre–Robertson–Walker Universe with a canonical scalar field, we can write its speed as , from which it follows that for a given dependence of the equation of state parameter with redshift, the scalar field evolves as
where we have chosen the positive root of the solution since we expect the scalar field to be rolling down the potential.
From this, one can calculate the Fisher matrix to infer the precision on the measurement of w using standard techniques [17], obtaining from a set of observables and its uncertainties, the eigenvalues of the diagonalized Fisher matrix (ordered from the best determined modes to the worst ones) and the variance of the new parameters, . To reconstruct the fiducial equation, only the best determined modes are used, chosen according to statistical and physical criteria detailed in [17].
We will consider three fiducial models for the equation of state parameter:
- ;
- tanh;
- exp .
These have already been used in previous work [17,18,19], allowing simpler comparisons between results. At a phenomenological level, these describe the three qualitatively different scenarios: an equation of state that remains close to a cosmological constant throughout the probed redshift range, one that evolves towards a matter-like behaviour by the highest redshifts probed, and one that has non-trivial features over a limited redshift range, perhaps associated with a low-redshift phase transition. In what follows, we will refer to these cases as the constant, step and bump fiducial models, respectively.
For each fiducial model, we choose a prior for the coupling parameter such that it leads to a few parts-per-million variation of at redshift , consistently with [2].
We applied this PCA Formalism to the dataset of 14 ESPRESSO targets discussed above, on its own and also in combination with representative future Sna Ia Surveys. For the measurements, we assumed two different scenarios for the ESPRESSO GTO target list: a Baseline scenario for which we assumed that each of the targets on the list can be measured by ESPRESSO with an uncertainty of ppm; an Ideal scenario for which, in this case, we assumed an uncertainty of ppm, representing more optimistic uncertainties.
As for the Type Ia supernovas, we consider the following datasets:
- A low-redshift sample, henceforth denoted LOW, of 3000 supernovas uniformly distributed in the redshift range , with an uncertainty on the magnitude of . These numbers are typical of a ‘SNAP-like’ future supernova survey and were also used in [23] and many other subsequent works;
- An intermediate redshift sample, henceforth denoted MID, of 1700 supernovas uniformly distributed in the redshift range and the same as before. This is representative of recent proposals such as DESIRE [24].
To reconstruct the dark energy equation of state, we assumed 20 redshift bins between , though note that the ESPRESSO GTO measurements only occupy the range , and similarly, the type Ia supernova data only covers comparatively low redshifts. Increasing the redshift coverage is indeed one of the key advantages of these measurements, as discussed in [17]. Here, we present a visual representation of the reconstruction of the three fiducial models for the different combination of datasets. A more quantitative detailed study is presented in [12].
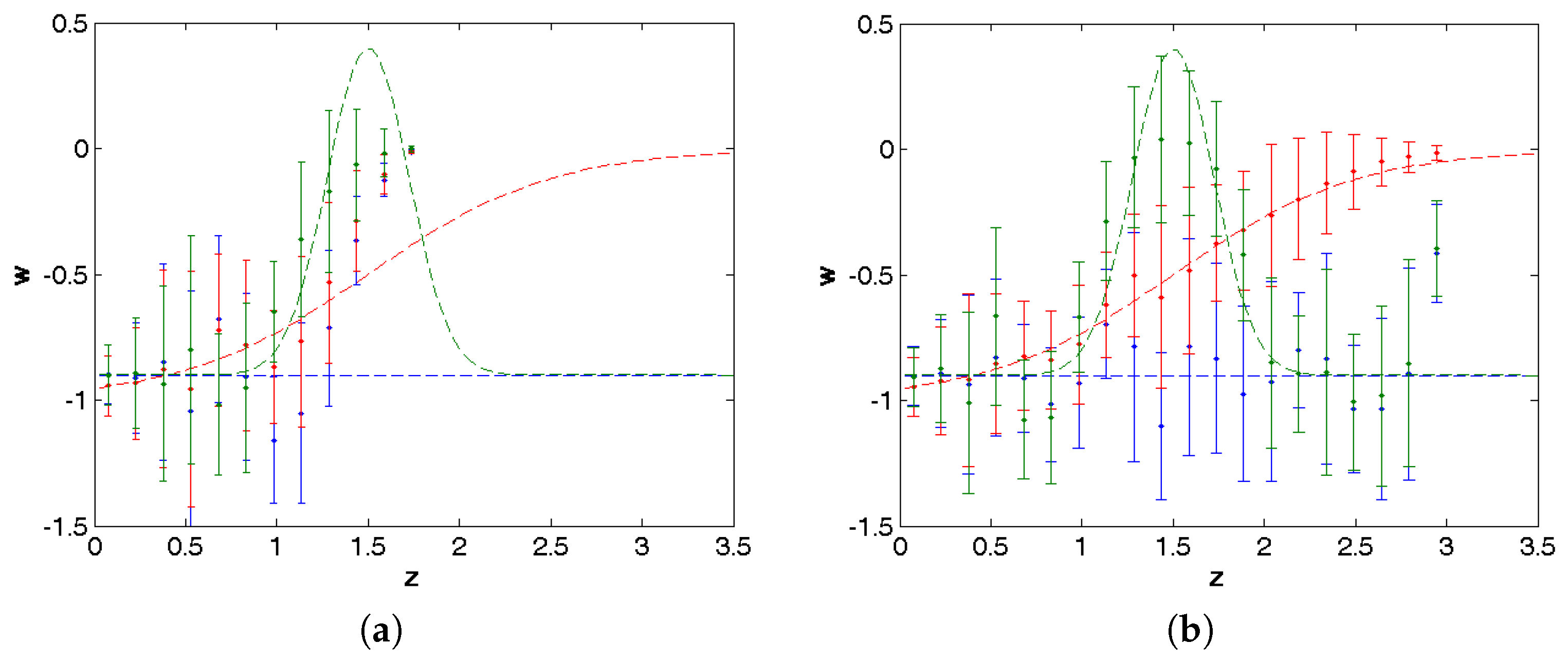
The reconstruction using only the 14 ESPRESSO GTO’s targets is presented in Figure 2. The presented reconstruction assumes the Ideal scenario uncertainties. In the case of Baseline, the reconstruction does not allow to find differences between the three models represented, but the ideal scenario starts to distinguish, in some of the bins, different behaviours and starts to allow the Dark Energy to be constrained. This confirms that a post-GTO program extending its dataset and improving its sensitivity can have a stronger impact in the field.
Figure 2.
Comparing the reconstructed dark energy equations of state (the data points) for the constant fiducial model (blue line), for the step fiducial model (red line) and the bump fiducial model (green line), using the ESPRESSO GTO Target List assuming the Ideal scenario for the fine-structure constant measurements.
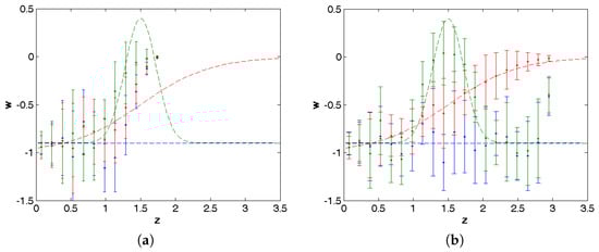
If we assume now the combination of both future Type Ia supernovas datasets, LOW and MID, and use them to reconstruct the same fiducial equation of state , then we see presented in Figure 3 the higher redshift coverage that combined Type Ia supernovas and measurements can enable. This analysis confirms that supernova surveys are good probes to the present-day dark energy equation of state and its rate of change, but they are ineffective for constraining higher modes, corresponding to higher redshifts.
Figure 3.
Comparing the reconstructed dark energy equations of state (the data points) for the constant fiducial model (blue lines), for the step fiducial model (red lines) and the bump fiducial model (green lines). The left panel represents the reconstruction using the LOW and MID Type Ia supernovas datasets, respectively, low-redshift and the intermediate redshift data. The reconstruction is limited in redshift and doesn’t allow to distinguish models. The right panel adds to these supernovas the 14 ESPRESSO GTO Targets assuming the Ideal scenario for the fine-structure constant measurements, allowing a deeper redshift coverage.
4. Conclusions
The ESPRESSO target selection for the ESPRESSO fundamental physics GTO has been put together. An important complementary task is to assess which, among ESPRESSO’s modes of operation, is optimal for each target. Such a study requires detailed simulations of ESPRESSO-like spectra, and is currently under way.
The classical way to study the redshift dependence of the dark energy equation of state is to use type Ia Supernovas, but they are, for now, limited in redshift. Spectroscopic measurements of allow us to map dark energy deep in the matter era where, if dark energy is due to a dynamical scalar field, such a dynamics is expected to be fastest (and may therefore be easier to detect). Despite ESPRESSO’s somewhat limited wavelength coverage as compared to its ESO predecessor UVES, it will enable us to characterize dark energy up to a redshift .
The 14 measurements expected from the ESPRESSO fundamental physics GTO will not be able to reconstruct the equation of state and distinguish models in a convincing manner by themselves. However, they will provide important improvements when combined with Type Ia Supernova data. On the other hand, further improvements in sensitivity expected in the E-ELT era will make these measurements a competitive dark energy probe, even on their own.
Acknowledgments
This work was done in the context of Project PTDC/FIS/111725/2009 (FCT, Portugal), with additional support from Grant UID/FIS/04434/2013. ACL is supported by an FCT fellowship (SFRH/BD/113746/2015), under the FCT PD Program PhD: SPACE (PD/00040/2012), and by the Gulbenkian Foundation through Programa de Estímulo à Investigação 2014, Grant Number 2148613525. CJM is supported by an FCT Research Professorship, contract reference IF/00064/2012, funded by FCT/MCTES (Portugal) and POPH/FSE (EC).
Author Contributions
Ana C. O. Leite, Carlos J. A. P. Martins and Paolo Molaro conceived and designed the project and analysed the data; Ana C. O. Leite wrote this contribution.
Conflicts of Interest
The authors declare no conflict of interest.
References
- Pepe, F.; Cristiani, S.; Rebolo, R.; Santos, N.C.; Dekker, H.; Mégevand, D.; Zerbi, F.M.; Cabral, A.; Molaro, P.; Di Marcantonio, P.; et al. ESPRESSO—An Echelle SPectrograph for Rocky Exoplanets Search and Stable Spectroscopic Observations. Messenger 2013, 153, 6–16. [Google Scholar]
- Webb, J.; King, J.; Murphy, M.; Flambaum, V.; Carswell, R.; Bainbridge, M. Indications of a Spatial Variation of the Fine Structure Constant. Phys. Rev. Lett. 2010, 107, 191101. [Google Scholar] [CrossRef] [PubMed]
- King, J.A. Searching for Variations in the Fine-Structure Constant and the Proton-to-Electron Mass Ratio Using Quasar Absorption Lines. Ph.D. Thesis, School of Physics, New South Wales U., Sydney, Australia, 2012. [Google Scholar]
- Murphy, M.T. Probing Variations in the Fundamental Constants with Quasar Absorption Lines. Ph.D. Thesis, New South Wales U., Sydney, Australia, December 2002. [Google Scholar]
- Chand, H.; Srianand, R.; Petitjean, P.; Aracil, B. Probing the cosmological variation of the fine-structure constant: Results based on VLT-UVES sample. Astron. Astrophys. 2004, 417, 853–871. [Google Scholar] [CrossRef]
- Chand, H.; Petitjean, P.; Srianand, R.; Aracil, B. Probing the time-variation of the fine-structure constant: Results based on Si IV doublets from a UVES sample. Astron. Astrophys. 2005, 430, 47–58. [Google Scholar] [CrossRef]
- Chand, H.; Srianand, R.; Petitjean, P.; Aracil, B.; Quast, R.; Reimers, D. Variation of the fine-structure constant: Very high resolution spectrum of QSO HE 0515-4414. Astron. Astrophys. 2006, 451, 45–56. [Google Scholar] [CrossRef]
- Levshakov, S.A.; Molaro, P.; Lopez, S.; D’Odorico, S.; Centurión, M.; Bonifacio, P.; Agafonova, I.I.; Reimers, D. A new measure of Δα/α at redshift z = 1.84 from very high resolution spectra of Q 1101-264. Astron. Astrophys. 2007, 466, 1077–1082. [Google Scholar]
- Molaro, P.; Reimers, D.; Agafonova, I.I.; Levshakov, S.A. Bounds on the fine structure constant variability from Fe ii absorption lines in QSO spectra. Eur. Phy. J. Spec. Top. 2008, 163, 173–189. [Google Scholar] [CrossRef]
- Molaro, P.; Centurión, M.; Whitmore, J.B.; Evans, T.M.; Murphy, M.T.; Agafonova, I.I.; Bonifacio, P.; D’Odorico, S.; Levshakov, S.A.; Lopez, S.; et al. The UVES Large Program for testing fundamental physics I. Bounds on a change in α towards quasar HE 2217-2818. Astron. Astrophys. 2013, 555, A68. [Google Scholar] [CrossRef]
- Rahmani, H.; Wendt, M.; Srianand, R.; Noterdaeme, P.; Petitjean, P.; Molaro, P.; Whitmore, J.B.; Murphy, M.T.; Centurion, M.; Fathivavsari, H.; et al. The UVES large program for testing fundamental physics—II. Constraints on a change in μ towards quasar HE 0027-1836. Mon. Not. R. Astron. Soc. 2013, 435, 861–878. [Google Scholar] [CrossRef][Green Version]
- Leite, A.C.O.; Martins, C.J.A.P.; Molaro, P.; Corre, D.; Cristiani, S. Dark energy constraints from ESPRESSO tests of the stability of fundamental couplings. Phys. Rev. D 2016, 94, 123512. [Google Scholar] [CrossRef]
- Leite, A.C.O. Optimization of ESPRESSO Fundamental Physics Tests. Master’s Thesis, University of Porto, Porto, Portugal, November 2015. [Google Scholar]
- Ferreira, M.C.; Frigola, O.; Martins, C.J.A.P.; Monteiro, A.M.R.V.L.; Solà, J. Consistency tests of the stability of fundamental couplings and unification scenarios. Phys. Rev. D 2014, 89, 083011. [Google Scholar] [CrossRef]
- Ferreira, M.; Martins, C. Further consistency tests of the stability of fundamental couplings. Phys. Rev. D 2015, 91, 124032. [Google Scholar] [CrossRef]
- Martins, C.J.A.P. Fundamental cosmology in the E-ELT era: The status and future role of tests of fundamental coupling stability. Gen. Relativ. Gravit. 2015, 47, 1843. [Google Scholar] [CrossRef]
- Amendola, L.; Leite, A.C.O.; Martins, C.J.A.P.; Nunes, N.J.; Pedrosa, P.O.J.; Seganti, A. Variation of fundamental parameters and dark energy: A principal component approach. Phys. Rev. D 2012, 86, 063515. [Google Scholar] [CrossRef]
- Leite, A.C.O.; Martins, C.J.A.P.; Pedrosa, P.O.J.; Nunes, N.J. Fundamental cosmology from precision spectroscopy: Varying couplings. Phys. Rev. D 2014, 90, 063519. [Google Scholar] [CrossRef]
- Leite, A.C.O.; Martins, C.J.A.P. Fundamental cosmology from precision spectroscopy. II. Synergies with supernovae. Phys. Rev. D 2015, 91, 103519. [Google Scholar] [CrossRef]
- Carroll, S.M. Quintessence and the rest of the world. Phys. Rev. Lett. 1998, 81, 3067–3070. [Google Scholar] [CrossRef]
- Dvali, G.R.; Zaldarriaga, M. Changing alpha with time: Implications for fifth-force- type experiments and quintessence. Phys. Rev. Lett. 2002, 88, 091303. [Google Scholar] [CrossRef] [PubMed]
- Chiba, T.; Kohri, K. Quintessence Cosmology and Varying α. Prog. Theor. Phys. 2002, 107, 631–636. [Google Scholar] [CrossRef]
- Huterer, D.; Starkman, G. Parametrization of Dark-Energy Properties: A Principal-Component Approach. Phy. Rev. Lett. 2003, 90, 031301. [Google Scholar] [CrossRef] [PubMed]
- Astier, P.; Balland, C.; Brescia, M.; Cappellaro, E.; Carlberg, R.G.; Cavuoti, S.; Della Valle, M.; Gangler, E.; Goobar, A.; Guy, J.; et al. Extending the supernova Hubble diagram to z ∼ 1.5 with the Euclid space mission. Astron. Astrophys. 2014, 572, A80. [Google Scholar] [CrossRef]
© 2017 by the authors. Licensee MDPI, Basel, Switzerland. This article is an open access article distributed under the terms and conditions of the Creative Commons Attribution (CC BY) license (http://creativecommons.org/licenses/by/4.0/).


