Skip Content
You are currently on the new version of our website. Access the old version .
UniverseUniverse
  • This is an early access version, the complete PDF, HTML, and XML versions will be available soon.
  • Article
  • Open Access

30 January 2026

The Scaling Relations of Galaxies with Different Morphology: Comparison Among WINGS, MANGA and Illustris Data Samples

,
,
and
1
Department of Physics and Astronomy G. Galilei, University of Padua, I35122 Padova, Italy
2
Istituto Nazionale di Astrofisica, Osservatorio Astronomico di Padova, I35122 Padova, Italy
*
Author to whom correspondence should be addressed.
This article belongs to the Section Galaxies and Clusters

Abstract

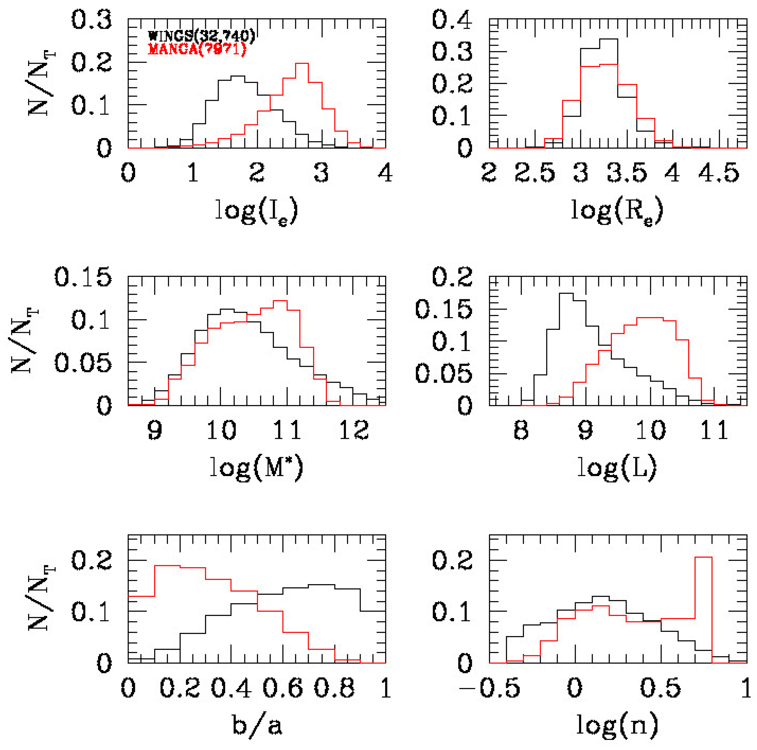
We present a panoramic view of several scaling relations (ScRs) of galaxies of different morphology. The ScRs are obtained from the data of two large surveys (WINGS and MANGA). We analyze the distribution (parameterized by the percent over the total) of galaxies in each region of the diagnostic planes that are set up by means of suitable physical quantities. In addition to this, we discuss the origin of the differences observed in the ScRs between the two samples. Finally, we compare the observational data with the theoretical ones taken from two subsets of the Illustris large-scale simulations (TNG50 and TNG100), and we discuss how the comparison should be performed for a correct statistical answer.

Article Metrics

Citations

Article Access Statistics

Multiple requests from the same IP address are counted as one view.