On the Cooling of Compact Stars in Light of the HESS J1731-347 Remnant
Abstract
1. Introduction
2. Equation of State
2.1. Hadronic Matter
2.2. Quark Matter
2.3. Phase Transition
3. Compact Star Cooling
3.1. Cooling Processes in Quark Matter
3.2. Specific Heat in Quark Matter
3.3. Pairing in Quark Matter
3.4. Cooling Processes in Hadronic Matter
3.5. Specific Heat in Hadronic Matter
3.6. Pairing in Hadronic Matter
3.7. Crust and Envelope
3.8. Thermal Evolution of Compact Stars in the Isothermal Approximation
4. Results and Discussion
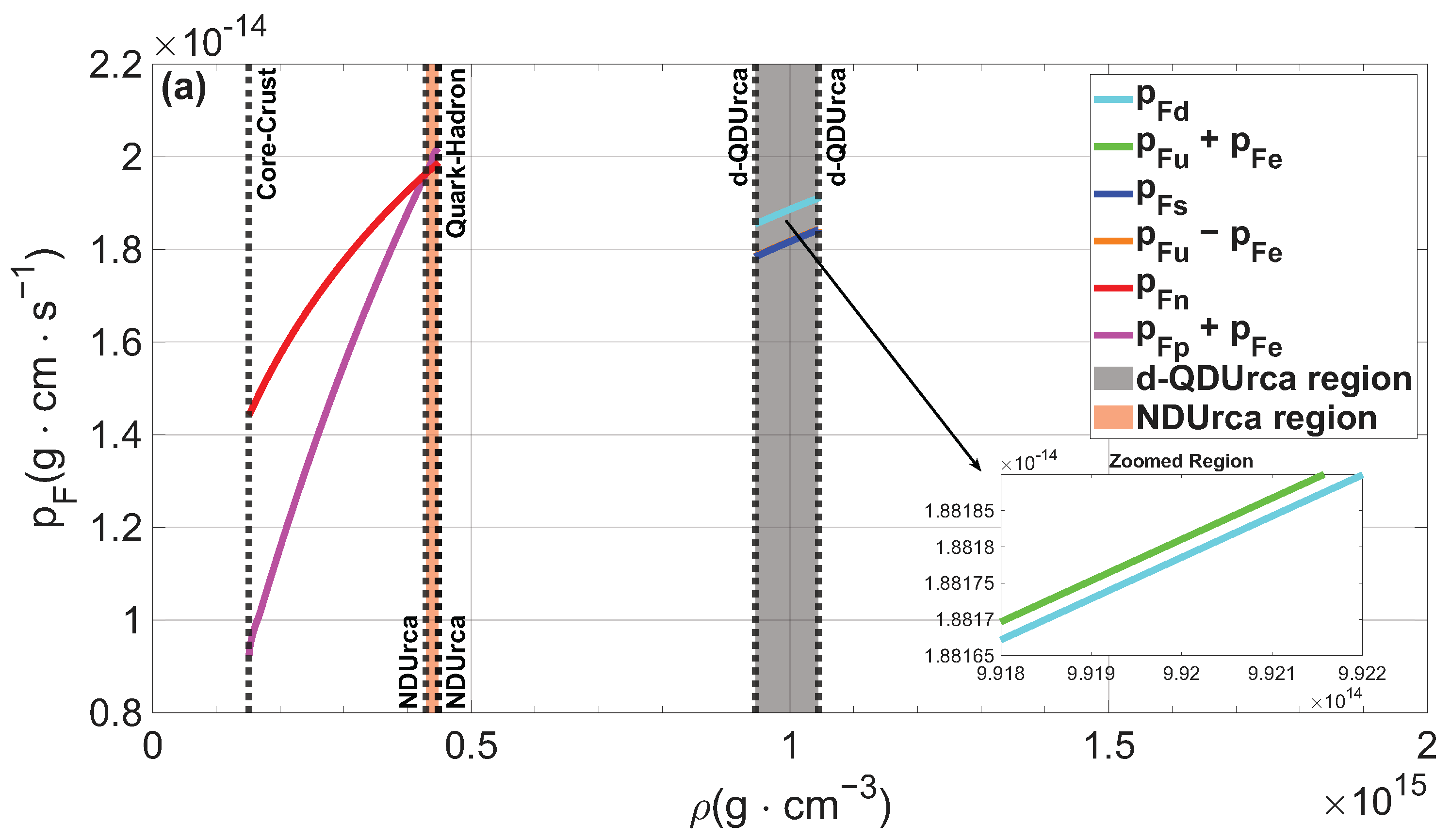
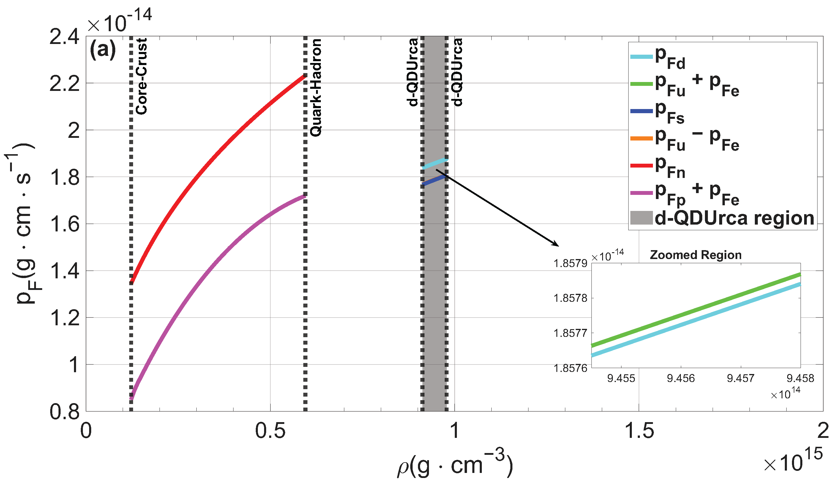
4.1. Neutron Stars
4.2. Hybrid Stars
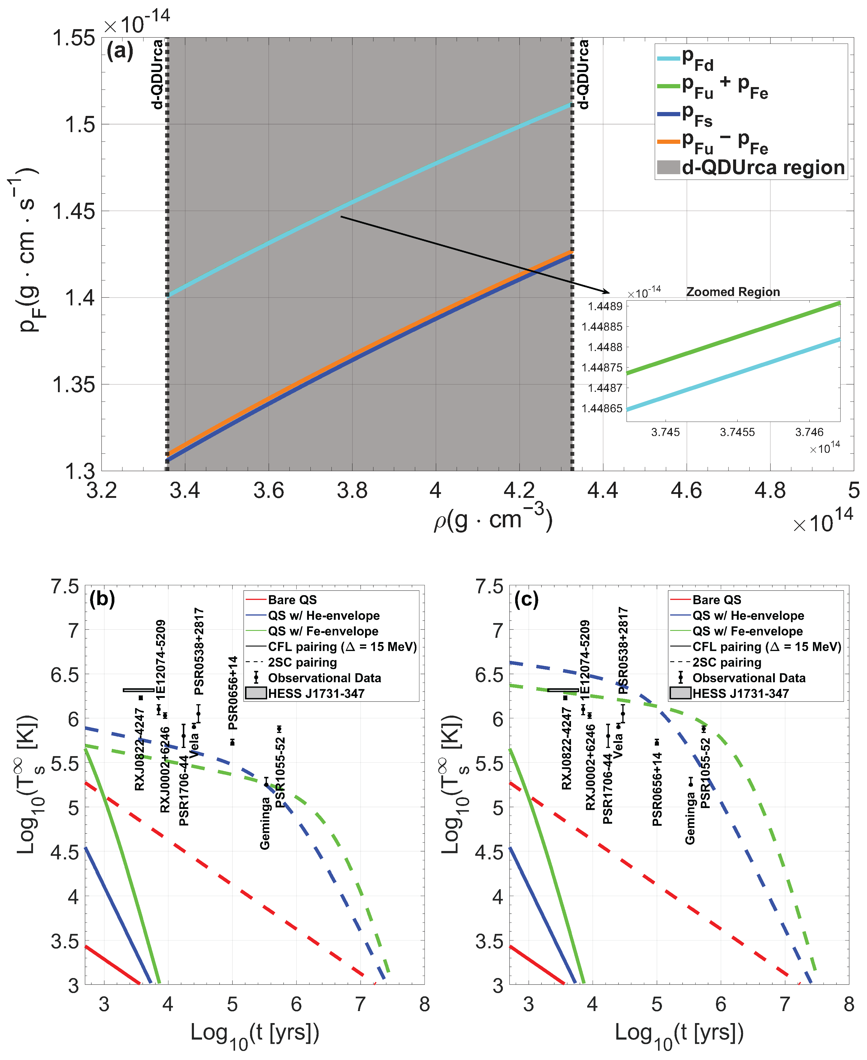
4.3. Strange Quark Stars
5. Conclusions
Author Contributions
Funding
Data Availability Statement
Acknowledgments
Conflicts of Interest
Abbreviations
| EOS | Equation Of State |
| SQM | Strange Quark Matter |
| CCO | Central Compact Object |
| QCD | Quantum Chromodynamics |
| QDU | Quark Direct Urca |
| QMU | Quark Modified Urca |
| QB | Quark Bremsstrahlung |
| CFL | Color–Flavor Locked |
| 2SC | 2 color–flavor SuperConductor |
| NDU | Nucleon Direct Urca |
| NMU | Nucleon Modified Urca |
| NNB | Nucleon–Nucleon Bremsstrahlung |
| PS | Proton Singlet |
| NT | Neutron Triplet |
| PBF | Pair Breaking Formation |
| QS | Quark Star |
| NS | Neutron Star |
| HS | Hybrid Star |
| HS1 | Hybrid Star-1 |
| HS2 | Hybrid Star-2 |
| env | Envelope |
Appendix A. Quark Masses and the Activation of d-QDU
References
- Witten, E. Cosmic separation of phases. Phys. Rev. D 1984, 30, 272. [Google Scholar] [CrossRef]
- Annala, E.; Gorda, T.; Kurkela, A.; Nättilä, J.; Vuorinen, A. Evidence for quark-matter cores in massive neutron stars. Nat. Phys. 2020, 16, 907–910. [Google Scholar] [CrossRef]
- Weber, F. Strange quark matter and compact stars. Prog. Part. Nucl. Phys. 2005, 54, 193. [Google Scholar] [CrossRef]
- Heiselberg, H.; Hjorth-Jensen, M. Phases of dense matter in neutron stars. Phys. Rep. 2000, 328, 237. [Google Scholar] [CrossRef]
- Lattimer, J.M.; Prakash, M. Neutron star structure and the equation of state. Astrophys. J. 2001, 550, 426. [Google Scholar] [CrossRef]
- Glendenning, N.K.; Pei, S.; Weber, F. Signal of Quark Deconfinement in the Timing Structure of Pulsar Spin-Down. Phys. Rev. Lett. 1997, 79, 1603. [Google Scholar] [CrossRef]
- Heiselberg, H.; Hjorth-Hensen, M. Phase Transitions in Rotating Neutron Stars. Phys. Rev. Lett. 1998, 80, 5485. [Google Scholar] [CrossRef]
- Cheng, K.S.; Yuan, Y.F.; Zhang, J.L. Phase Transitions in Rotating Neutron Stars: Effects of Stellar Crusts. Astrophys. J. 2002, 564, 909. [Google Scholar] [CrossRef][Green Version]
- Spyrou, N.K.; Stergioulas, N. Spin-down of Relativistic Stars with Phase Transitions and PSR J0537-6910. Astron. Astrophys. 2002, 395, 151. [Google Scholar] [CrossRef]
- Page, D.; Geppert, U.; Weber, F. The cooling of compact stars. Nucl. Phys. A 2006, 777, 497–530. [Google Scholar] [CrossRef]
- Yakovlev, D. Neutrino emission from neutron stars. Phys. Rep. 2001, 354, 1–155. [Google Scholar] [CrossRef]
- Antoniadis, J.; Freire, P.C.; Wex, N.; Tauris, T.M.; Lynch, R.S.; Van Kerkwijk, M.H.; Kramer, M.; Bassa, C.; Dhillon, V.S.; Driebe, T.; et al. A Massive Pulsar in a Compact Relativistic Binary. Science 2013, 340, 448. [Google Scholar] [CrossRef] [PubMed]
- Cromartie, H.T.; Fonseca, E.; Ransom, S.M.; Demorest, P.B.; Arzoumanian, Z.; Blumer, H.; Brook, P.R.; DeCesar, M.E.; Dolch, T.; Ellis, J.A.; et al. Relativistic Shapiro delay measurements of an extremely massive millisecond pulsar. Nat. Astron. 2020, 4, 72. [Google Scholar] [CrossRef]
- Romani, R.G.; Kandel, D.; Filippenko, A.V.; Brink, T.G.; Zheng, W. PSR J0952-0607: The Fastest and Heaviest Known Galactic Neutron Star. Astrophys. J. Lett. 2022, 934, L17. [Google Scholar] [CrossRef]
- Abbott, B.P.; Abbott, R.; Abbott, T.D.; Acernese, F.; Ackley, K.; Adams, C.; Adams, T.; Addesso, P.; Adhikari, R.X.; Adya, V.B.; et al. GW170817: Measurements of Neutron Star Radii and Equation of State. Phys. Rev. Lett. 2018, 121, 161101. [Google Scholar] [CrossRef]
- Riley, T.E.; Watts, A.L.; Bogdanov, S.; Ray, P.S.; Ludlam, R.M.; Guillot, S.; Arzoumanian, Z.; Baker, C.L.; Bilous, A.V.; Chakrabarty, D.; et al. A NICER View of PSR J0030+0451: Millisecond Pulsar Parameter Estimation. Astrophys. J. Lett. 2019, 887, L21. [Google Scholar] [CrossRef]
- Miller, M.C.; Lamb, F.K.; Dittmann, A.J.; Bogdanov, S.; Arzoumanian, Z.; Gendreau, K.C.; Guillot, S.; Harding, A.K.; Ho, W.C.G.; Lattimer, J.M.; et al. PSR J0030+0451 Mass and Radius from NICER Data and Implications for the Properties of Neutron Star Matter. Astrophys. J. Lett. 2019, 887, L24. [Google Scholar] [CrossRef]
- Doroshenko, V.; Suleimanov, V.; Pühlhofer, G.; Santangelo, A. A strangely light neutron star within a supernova remnant. Nat. Astron. 2022, 6, 1444–1451. [Google Scholar] [CrossRef]
- Zhang, C.M.; Wang, J.; Zhao, Y.H.; Yin, H.X.; Song, L.M.; Menezes, D.P.; Wickramasinghe, D.T.; Ferrario, L.; Chardonnet, P. Study of measured pulsar masses and their possible conclusions. Astron. Astrophys. 2011, 527, 83. [Google Scholar] [CrossRef]
- Vinciguerra, S.; Salmi, T.; Watts, A.L.; Choudhury, D.; Riley, T.E.; Ray, P.S.; Bogdanov, S.; Kini, Y.; Guillot, S.; Chakrabarty, D.; et al. An updated mass-radius analysis of the 2017–2018 NICER data set of PSR J0030+0451. Astrophys. J. 2024, 961, 62. [Google Scholar] [CrossRef]
- Choudhury, D.; Salmi, T.; Vinciguerra, S.; Riley, T.E.; Kini, Y.; Watts, A.L.; Dorsman, B.; Bogdanov, S.; Guillot, S.; Ray, P.S.; et al. A NICER View of the Nearest and Brightest Millisecond Pulsar: PSR J0437–4715. Astrophys. J. Lett. 2024, 971, L20. [Google Scholar] [CrossRef]
- Salmi, T.; Choudhury, D.; Kini, Y.; Riley, T.E.; Vinciguerra, S.; Watts, A.L.; Wolff, M.T.; Arzoumanian, Z.; Bogdanov, S.; Chakrabarty, D.; et al. The Radius of the High-mass Pulsar PSR J0740+6620 with 3.6 yr of NICER Data. Astrophys. J. Lett. 2024, 974, 294. [Google Scholar] [CrossRef]
- Di Clemente, F.; Drago, A.; Pagliara, G. Is the Compact Object Associated with HESS J1731-347 a Strange Quark Star? A Possible Astrophysical Scenario for Its Formation. Astrophys. J. 2024, 967, 159. [Google Scholar] [CrossRef]
- Horvath, J.E.; Roch, L.S.; de Sá, L.M.; Moraes, P.H.R.S.; Barão, L.G.; de Avellar, M.G.B.; Bernardo, A.; Bachega, R.R.A. A light strange star in the remnant HESS J1731-347: Minimal consistency checks. Astron. Astrophys. 2023, 672, L11. [Google Scholar] [CrossRef]
- Oikonomou, P.T.; Moustakidis, C.C. Color-flavor locked quark stars in light of the compact object in the HESS J1731-347 and the GW190814 event. Phys. Rev. D 2023, 108, 063010. [Google Scholar] [CrossRef]
- Das, H.C.; Lopes, L.L. Anisotropic strange stars in the spotlight: Unveiling constraints through observational data. Mon. Not. Roy. Astron. Soc. 2023, 525, 3571–3575. [Google Scholar] [CrossRef]
- Rather, I.A.; Panotopoulos, G.; Lopes, I. Quark models and radial oscillations: Decoding the HESS J1731-347 compact object’s equation of state. Eur. Phys. J. C 2023, 83, 1065. [Google Scholar] [CrossRef]
- Kourmpetis, K.; Laskos-Patkos, P.; Moustakidis, C.C. Confronting recent light compact star observations with color-flavor locked quark matter. Front. Astron. Space Sci. 2025, 12, 1600563. [Google Scholar] [CrossRef]
- Tsaloukidis, L.; Koliogiannis, P.S.; Kanakis-Pegios, A.; Moustakidis, C.C. Twin stars as probes of the nuclear equation of state: Effects of rotation through the PSR J0952-0607 pulsar and constraints via the tidal deformability from the GW170817 event. Phys. Rev. D 2023, 107, 023012. [Google Scholar] [CrossRef]
- Sagun, V.; Giangrandi, E.; Dietrich, T.; Ivanytskyi, O.; Negreiros, R.; Providencia, C. What Is the Nature of the HESS J1731-347 Compact Object? Astrophys. J. 2023, 958, 49. [Google Scholar] [CrossRef]
- Laskos-Patkos, P.; Koliogiannis, P.S.; Moustakidis, C.C. Hybrid stars in light of the HESS J1731-347 remnant and the PREX-II experiment. Phys. Rev. D 2024, 109, 063017. [Google Scholar] [CrossRef]
- Laskos-Patkos, P.; Lalazissis, G.A.; Wang, S.; Meng, J.; Ring, P.; Moustakidis, C.C. Speed of sound bounds and first-order phase transitions in compact stars. Phys. Rev. C 2025, 111, 025801. [Google Scholar] [CrossRef]
- Li, J.J.; Sedrakian, A.; Alford, M. Hybrid star models in light of new multimessnger data. Astrophys. J. 2024, 967, 116. [Google Scholar]
- Mariani, M.; Ranea-Sandoval, I.F.; Lugones, G.; Orsaria, M.G. Could a slow stable hybrid star explain the central compact object in HESS J1731-347? Phys. Rev. D 2024, 110, 043026. [Google Scholar] [CrossRef]
- Gholami, H.; Rather, I.A.; Hofmann, M.; Buballa, M.; Schäffner-Bielich, J. Astrophysical constraints on color-superconducting phases in compact stars within the RG-consistent NJL model. Phys. Rev. D 2025, 111, 103034. [Google Scholar] [CrossRef]
- Gao, B.; Yan, Y.; Harada, M. Reconciling constraints from the supernova remnant HESS J1731-347 with the parity doublet model. Phys. Rev. C 2024, 109, 065807. [Google Scholar] [CrossRef]
- Pal, S.; Podder, S.; Chaudhuri, G. Is the Central Compact Object in HESS J1731-347 a Hybrid Star with a Quark Core? An Analysis with the Constant Speed of Sound Parameterization. Astrophys. J. 2025, 983, 24. [Google Scholar] [CrossRef]
- Alvarez-Castillo, D.E. Properties of the Object HESS J1731-347 as a Twin Compact Star. Universe 2025, 11, 224. [Google Scholar] [CrossRef]
- Kubis, S.; Wójcik, W. Does HESS J1731-347 have a thick crust? arXiv 2025, arXiv:2507.06837. [Google Scholar] [CrossRef]
- Brodie, L.; Haber, A. Nuclear and hybrid equations of state in light of the low-mass compact star in HESS J1731-347. Phys. Rev. C 2023, 108, 025806. [Google Scholar] [CrossRef]
- Huang, K.; Shen, H.; Hu, J.; Zhang, Y. Hadronic equation of state of low-mass neutron stars from a relativistic mean-field model with tensor couplings. Phys. Rev. D 2024, 109, 043036. [Google Scholar] [CrossRef]
- Li, J.J.; Sedrakian, A. Baryonic models of ultra-low-mass compact stars for the central compact object in HESS J1731-347. Phys. Lett. B 2023, 844, 138062. [Google Scholar] [CrossRef]
- Kubis, S.; Wojcik, W.; Castillo, D.A.; Zabari, N. Relativistic mean-field model for the ultracompact low-mass neutron star HESS J1731-347. Phys. Rev. 2023, 108, 045803. [Google Scholar] [CrossRef]
- Char, P.; Biswas, B. The compact object of HESS J1731-347 and its implication on neutron star matter. arXiv 2024, arXiv:2408.15220. [Google Scholar] [CrossRef]
- Tewari, S.; Chatterjee, S.; Kumar, D.; Mallick, R. Analyzing the dense matter equation of states in the light of the compact object HESS J1731-347. Phys. Rev. D 2024, 111, 103009. [Google Scholar] [CrossRef]
- Zhang, S.R.; Rueda Hernandez, J.A.; Negreiros, J.A. Can the Central Compact Object in HESS J1731–347 Be Indeed the Lightest Neutron Star Observed? Astrophys. J. 2025, 978, 1. [Google Scholar] [CrossRef]
- Yang, S.-H.; Pi, C.-M. Color-flavor locked strange stars admixed with mirror dark matter and the observations of compact stars. J. Cosmol. Astropart. Phys. 2024, 9, 052. [Google Scholar] [CrossRef]
- Alford, J.A.J.; Halpern, J.P. Do Central Compact Objects have Carbon Atmospheres? Astrophys. J. 2023, 944, 36. [Google Scholar] [CrossRef]
- Abramowski, A. et al. [H.E.S.S. Collaboration] A new SNR with TeV shell-type morphology: HESS J1731-347. Astron. Astrophys. 2011, 531, A81. [Google Scholar]
- Ofengeim, D.D.; Kaminker, A.D.; Klochkov, D.; Suleimanov, V.; Yakovlev, D.G. Analyzing Neutron Star in HESS J1731-347 from Thermal Emission and Cooling Theory. Mon. Not. Roy. Astron. Soc. 2015, 454, 2668–2676. [Google Scholar] [CrossRef]
- Acero, F.; Lemoine-Goumard, M.; Renaud, M.; Ballet, J.; Hewitt, J.W.; Rousseau, R.; Tanaka, T. Study of TeV shell supernova remnants at gamma-ray energies. Astron. Astrophys. 2015, 580, A74. [Google Scholar] [CrossRef][Green Version]
- Cui, Y.; Pühlhofer, G.; Santangelo, A. A young supernova remnant illuminating nearby molecular clouds with cosmic rays. Astron. Astrophys. 2016, 591, A68. [Google Scholar] [CrossRef]
- Maxted, N.; Burton, M.; Braiding, C.; Rowell, G.; Sano, H.; Voisin, F.; Capasso, M.; Pühlhofer, G.; Fukui, Y. Probing the local environment of the supernova remnant HESS J1731-347 with CO and CS observations. Mon. Not. R. Astron. Soc. 2018, 474, 662–676. [Google Scholar] [CrossRef]
- Yuan, Y.-J.; Zhou, X. Thermal Evolution of Central Compact Object in HESS J1731–347 as Evidence for a Color-Flavor-Locked Strange Star. Res. Astron. Astrophys. 2025, 25, 055016. [Google Scholar] [CrossRef]
- Lattimer, J.M. Constraints on Nuclear Symmetry Energy Parameters. Particles 2023, 6, 30–56. [Google Scholar] [CrossRef]
- Lattimer, J.M. Symmetry energy in nuclei and neutron stars. Nucl. Phys. A 2014, 928, 276–295. [Google Scholar] [CrossRef]
- Piekarewicz, J.; Centelles, M. Incompressibility of neutron-rich matter. Phys. Rev. C 2009, 79, 054311. [Google Scholar] [CrossRef]
- Divaris, M.; Kanakis-Pegios, A.; Moustakidis, C.C. Constraints on the isovector properties of finite nuclei from neutron star observations. Phys. Rev. C 2024, 109, 055805. [Google Scholar] [CrossRef]
- Baym, G.; Pethick, C.; Sutherland, P. The Ground State of Matter at High Densities: Equation of State and Stellar Models. Astrophys. J. 1971, 170, 299. [Google Scholar] [CrossRef]
- Kubis, S. Nuclear symmetry energy and stability of matter in neutron stars. Phys. Rev. C 2007, 76, 025801. [Google Scholar] [CrossRef]
- Kubis, S. Diffusive instability of a kaon condensate in neutron star matter. Phys. Rev. C 2004, 70, 065804. [Google Scholar] [CrossRef]
- Moustakidis, C.C.; Niksic, T.; Lalazissis, G.A.; Vretenar, D.; Ring, P. Constraints on the inner edge of neutron star crusts from relativistic nuclear energy density functionals. Phys. Rev. C 2010, 81, 065803. [Google Scholar] [CrossRef]
- Moustakidis, C.C. Effect of the symmetry energy on the location of the inner edge of the neutron star crust. Phys. Rev. C 2010, 86, 015801. [Google Scholar] [CrossRef]
- Sotani, H.; Iida, K.; Oyamatsu, K.; Ohnishi, A. Mass and radius formulas for low-mass neutron stars. Prog. Theor. Exp. Phys. 2014, 51, 1. [Google Scholar] [CrossRef]
- Lopes, L.L.; Biesdorf, C.; Menezes, D.P. Modified MIT bag Models—Part I: Thermodynamic consistency, stability windows and symmetry group. Phys. Scr. 2021, 96, 065303. [Google Scholar] [CrossRef]
- Lopes, L.L.; Biesdorf, C.; Menezes, D.P. Modified MIT Bag Models—Part II: QCD phase diagram and hot quark stars. Phys. Scr. 2021, 96, 065302. [Google Scholar] [CrossRef]
- Klähn, T.; Fischer, T. Vector Interaction Enhanced Bag Model for Astrophysical Applications. Astrophys. J. 2015, 810, 134. [Google Scholar] [CrossRef]
- Franzon, B.; Gomes, R.; Schramm, S. Effects of the quark-hadron phase transition on highly magnetized neutron stars. Mon. Not. Roy. Astron. Soc. 2016, 463, 571. [Google Scholar] [CrossRef]
- Gomes, R.; Char, P.; Schramm, S. Constraining Strangeness in Dense Matter with GW170817. Astrophys. J. 2019, 877, 139. [Google Scholar] [CrossRef]
- Gomes, R.; Dexheimer, V.; Han, S.; Schramm, S. Can magnetic fields (de)stabilize twin stars? Mon. Not. Roy. Astron. Soc. 2019, 485, 4873. [Google Scholar] [CrossRef]
- Jaikumar, P.; Semposki, A.; Prakash, M.; Constantinou, C. g-mode oscillations in hybrid stars: A tale of two sounds. Phys. Rev. D 2021, 103, 123009. [Google Scholar] [CrossRef]
- Constantinou, C.; Han, S.; Jaikumar, P.; Prakash, M. g-modes of neutron stars with hadron-to-quark crossover transitions. Phys. Rev. D 2021, 104, 123032. [Google Scholar] [CrossRef]
- Quasinormal modes of neutron stars with quarks. Phys. Rev. D 2022, 105, 103025. [CrossRef]
- Constantinou, C.; Zhao, T.; Han, S.; Prakash, M. Framework for phase transitions between the Maxwell and Gibbs constructions. Phys. Rev. D 2023, 107, 074013. [Google Scholar] [CrossRef]
- Lyra, F.; Moreira, L.; Negreiros, R.; Gomes, R.O.; Dexheimer, V. Compactness in the thermal evolution of twin stars. Phys. Rev. C 2023, 107, 025806. [Google Scholar] [CrossRef]
- Kumar, A.; Thapa, V.B.; Sinha, M. Compact star merger events with stars composed of interacting strange quark matter. Mon. Not. R. Astron. Soc. 2022, 513, 3788–3797. [Google Scholar] [CrossRef]
- Kumar, A.; Thapa, V.B.; Sinha, M. Hybrid stars are compatible with recent astrophysical observations. Phys. Rev. D 2023, 107, 63024. [Google Scholar] [CrossRef]
- Yang, S.-H.; Pi, C.-M.; Zheng, X.-P.; Weber, F. Constraints from compact star observations on non-Newtonian gravity in strange stars based on a density dependent quark mass model. Phys. Rev. D 2021, 103, 043012. [Google Scholar] [CrossRef]
- Yang, S.-H.; Pi, C.-M.; Zheng, X.-P.; Weber, F. Confronting Strange Stars with Compact-Star Observations and New Physics. Universe 2023, 9, 202. [Google Scholar] [CrossRef]
- Burgio, G.F.; Baldo, M.; Sahu, S.K.; Schulze, H.-J. Hadron-quark phase transition in dense matter and neutron stars. Phys. Rev. C 2002, 66, 025802. [Google Scholar] [CrossRef]
- Burgio, G.F.; Baldo, M.; Sahu, P.K.; Santra, A.B.; Schulze, H.-J. Maximum mass of neutron stars with a quark core. Phys. Lett. B 2002, 526, 19–26. [Google Scholar] [CrossRef]
- Miyatsu, T.; Cheoun, M.-K.; Saito, K. Equation of State for Neutron Stars with Hyperons and Quarks in the Relativistic Hartree-Fock Approximation. Astrophys. J. 2015, 813, 135. [Google Scholar] [CrossRef]
- Yazdizadeh, T.; Bordbar, G.H. The Effect of a Density-Dependent Bag Constant on the Structure of a Hot Neutron Star with a Quark Core. Astrophysics 2013, 56, 121–129. [Google Scholar] [CrossRef]
- Pal, S.; Podder, S.; Sen, D.; Chaudhuri, G. Speed of sound in hybrid stars and the role of bag pressure in the emergence of special points on the M-R variation of hybrid stars. Phys. Rev. D 2023, 107, 063019. [Google Scholar] [CrossRef]
- Pal, S.; Gargi, C. Medium effects in the MIT bag model for quark matter: Self-consistent thermodynamical treatment. Phys. Rev. D 2023, 108, 103028. [Google Scholar] [CrossRef]
- Negreiros, R.; Dexheimer, V.A.; Schramm, S. Quark core impact on hybrid star cooling. Phys. Rev. C 2012, 85, 035805. [Google Scholar] [CrossRef]
- Yasutake, N.; Chen, H.; Maruyama, T.; Tatsumi, T. Finite size effects in hadron-quark phase transition by the Dyson-Schwinger method. J. Phys. Conf. Ser. 2016, 665, 012068. [Google Scholar] [CrossRef]
- Mariani, M.; Orsaria, M.; Vucetich, H. Constant entropy hybrid stars: A first approximation of cooling evolution. Astron. Astrophys. 2017, 601, A21. [Google Scholar] [CrossRef]
- Schaffner-Bielich, J. Compact Star Physics; Cambridge University Press: Cambridge, UK, 2020. [Google Scholar]
- Gerlach, U.H. Equation of State at Supranuclear Densities and the Existence of a Third Family of Superdense Stars. Phys. Rev. 1968, 172, 1325. [Google Scholar]
- Kampfer, J. On the possibility of stable quark and pion-condensed stars. J. Phys. A Math. Gen. 1981, 14, L471. [Google Scholar] [CrossRef]
- Kampfer, J. On stabilizing effects of relativity in cold spheric stars with a phase transition in the interior. Phys. Lett. B 1981, 101, 366. [Google Scholar] [CrossRef]
- Glendenning, N.K.; Kettner, C. Possible third family of compact stars more dense than neutron stars. Astron. Astrophys. 2000, 353, L9–L12. [Google Scholar]
- Schertler, K.; Greiner, C.; Schaffner-Bielich, J.; Thoma, M.H. Quark phases in neutron stars and a third family of compact stars as signature for phase transitions. Nucl. Phys. A 2000, 677, 463. [Google Scholar] [CrossRef]
- Sotani, H.; Yasutake, N.; Maruyama, T.; Tatsumi, T. Signatures of hadron-quark mixed phase in gravitational waves. Phys. Rev. D 2011, 83, 024014. [Google Scholar] [CrossRef]
- Iwamoto, N. Neutrino emissivities and mean free paths of degenerate quark matter. Annal. Phys. 1982, 141, 1–49. [Google Scholar] [CrossRef]
- Blaschke, D.; Grigorian, H.; Voskresensky, D.N. Cooling of hybrid neutron stars and hypothetical self-bound objects with superconducting quark cores. Astron. Astrophys. 2001, 368, 561–568. [Google Scholar] [CrossRef]
- Zhou, X.; Wang, L.; Zhou, A. Thermal Evolution of Strange Stars. Publ. Astron. Soc. Pac. 2007, 119, 1367. [Google Scholar] [CrossRef]
- Blaschke, D.; Klähn, T.; Voskresensky, D.N. Diquark Condensates and Compact Star Cooling. Astrophys. J. 2000, 533, 406. [Google Scholar] [CrossRef]
- Alford, M.G. Color superconducting quark matter. Ann. Rev. Nucl. Part. Sci. 2001, 51, 131–160. [Google Scholar] [CrossRef]
- Zapata, J.; Sales, T.; Jaikumar; Negreiros, R. Thermal relaxation and cooling of quark stars with a strangelet crust. Astron. Astrophys. 2022, 663, A19. [Google Scholar] [CrossRef]
- Dexheimer, V.; Steinheimer, J.; Negreiros, R.; Schramm, S. Hybrid stars in an SU(3) parity doublet model. Phys. Rev. C 2013, 87, 15804. [Google Scholar] [CrossRef]
- Grigorian, H. Hot Neutron and Quark Star Evolution. arXiv 2005, arXiv:astro-ph/0506399. [Google Scholar] [CrossRef]
- Alford, M.; Rajagopal, K.; Reddy, S.; Wilczek, F. Minimal color-flavor-locked–nuclear interface. Phys. Rev. D 2001, 64, 074017. [Google Scholar] [CrossRef]
- Alford, M.; Kouvaris, C.; Rajagopal, K. Evaluating the gapless colorflavor locked phase. Phys. Rev. D. 2005, 71, 054009. [Google Scholar] [CrossRef]
- Alford, M.G.; Schmitt, A.; Rajagopal, K.; Schäfer, T. Color superconductivity in dense quark matter. Rev. Mod. Phys. 2008, 80, 1455–1515. [Google Scholar] [CrossRef]
- Page, D.; Usov, V.V. Thermal Evolution and Light Curves of Young Bare Strange Stars. Phys. Rev. Lett. 2002, 89, 131101. [Google Scholar] [CrossRef] [PubMed]
- Yu, Y.W.; Zheng, X.P. Cooling of a rotating strange star in the color superconducting phase with a crust. Astron. Astrophys. 2006, 450, 1071–1075. [Google Scholar] [CrossRef]
- Yakovlev, D.; Levenfish, K.P.; Shibanov, Y.A. Cooling of neutron stars and superfluidity in their cores. Phys. Usp. 1999, 42, 737. [Google Scholar] [CrossRef]
- Friman, B.L.; Maxwell, O.V. Neutrino emissivities of neutron stars. Astrophys. J. 1979, 232, 541–557. [Google Scholar] [CrossRef]
- Yakovlev, D.; Levenfish, K.P. Modified URCA process in neutron star cores. Astron. Astrophys. 1995, 297, 717. [Google Scholar]
- Ofengeim, D.D.; Fortin, M.; Haensel, P.; Yakovlev, D.G.; Zdunik, J.L. Neutrino luminosities and heat capacities of neutron stars in analytic form. Phys. Rev. D 2017, 96, 043002. [Google Scholar] [CrossRef]
- Grigorian, H.; Voskresensky, D.N. Medium effects in cooling of neutron stars and the 3P2 neutron gap. Astron. Astrophys. 2005, 444, 913–929. [Google Scholar] [CrossRef]
- Yakovlev, D.; Kaminker, A.D.; Levenfish, K.P. Neutrino emission due to Cooper pairing of nucleons in cooling neutron stars. Astron. Astrophys. 1999, 343, 650. [Google Scholar]
- Blaschke, D.; Grigorian, H.; Voskresensky, D.N. Cooling of neutron stars. Hadronic model. Astron. Astrophys. 2004, 424, 979–992. [Google Scholar] [CrossRef]
- Kaminker, A.D.; Yakovlev, D.G.; Gnedin, O.Y. Three Types of Cooling Superfluid Neutron Stars: Theory and Observations. Astron. Astrophys. 2001, 383, 1076–1087. [Google Scholar] [CrossRef]
- Andersson, N.; Comer, G.L.; Glampedakis, K. How viscous is a superfluid neutron star core? Nucl. Phys. A 2005, 763, 212–229. [Google Scholar] [CrossRef]
- Kaminker, A.D.; Haensel, P.; Yakovlev, D.G. Nucleon superfluidity vs. observations of cooling neutron stars. Astron. Astrophys. 2001, 373, L17–L20. [Google Scholar] [CrossRef]
- Ho, W.C.G.; Elshamouty, K.G.; Heinke, C.O.; Potekhin, A.Y. Tests of the nuclear equation of state and superfluid and superconducting gaps using the Cassiopeia A neutron star. Phys. Rev. C 2015, 91, 015806. [Google Scholar] [CrossRef]
- Elgarøy, Ø.; Engvik, L.; Hjorth-Jensen, M.; Osnes, E. Superfluidity in β-Stable Neutron Star Matter. Phys. Rev. Lett. 1996, 77, 1428–1431. [Google Scholar] [CrossRef] [PubMed]
- Amundsen, L.; Østgaard, E. Superfluidity of neutron matter (I). Singlet pairing. Nucl. Phys. A 1985, 437, 487–508. [Google Scholar] [CrossRef]
- Baldo, M.; Cugnon, J.; Lejeune, A.; Lombardo, U. Proton and neutron superfluidity in neutron star matter. Nucl. Phys. A 1992, 536, 349–365. [Google Scholar] [CrossRef]
- Baldo, M.; Elgarøy, Ø.; Engvik, L.; Hjorth-Jensen, M.; Schulze, H.J. 3P2-3F2 pairing in neutron matter with modern nucleon-nucleon potentials. Phys. Rev. C 1998, 58, 1921–1928. [Google Scholar] [CrossRef]
- Elgarøy, Ø.; Engvik, L.; Hjorth-Jensen, M.; Osnes, E. Triplet pairing of neutrons in β-stable neutron star matter. Nucl. Phys. A 1996, 607, 425–441. [Google Scholar] [CrossRef]
- Schaab, C.; Voskresensky, D.; Sedrakian, A.D.; Weber, F.; Weigel, M.K. Impact of medium effects on the cooling of non-superfluid and superfluid neutron stars. Astron. Astrophys. 1997, 321, 591–604. [Google Scholar]
- Voskresensky, D.N.; Senatorov, A.V. Description of Nuclear Interaction in Keldysh’s Diagram Technique and Neutrino Luminosity of Neutron Stars. Sov. J. Nucl. Phys. 1987, 45, 411. (In Russian) [Google Scholar]
- Maxwell, O.V. Neutron star cooling. Astrophys. J. 1979, 231, 201–210. [Google Scholar] [CrossRef]
- Gudmundsson, E.H.; Pethick, C.J.; Epstein, R.I. Structure of neutron star envelopes. Astrophys. J. 1983, 272, 286–300. [Google Scholar] [CrossRef]
- Cumming, A.; Brown, E.F.; Fattoyev, F.J.; Horowitz, C.J.; Page, D.; Reddy, S. Lower limit on the heat capacity of the neutron star core. Phys. Rev. C 2017, 95, 025806. [Google Scholar] [CrossRef]
- Yakovlev, D.G.; Ho, W.C.G.; Shternin, P.S.; Heinke, C.O.; Potekhin, A.Y. Cooling rates of neutron stars and the young neutron star in the Cassiopeia A supernova remnant. Mon. Not. R. Astron. Soc. 2011, 411, 1977–1988. [Google Scholar] [CrossRef]
- Beznogov, M.V.; Potekhin, A.Y.; Yakovlev, D.G. Heat blanketing envelopes of neutron stars. Phys. Rept. 2021, 919, 1–68. [Google Scholar] [CrossRef]
- Blaes, O.M.; Blandford, R.D.; Madau, P.; Yan, L. On the Evolution of Slowly Accreting Neutron Stars. Astrophys. J. 1992, 399, 634–645. [Google Scholar] [CrossRef]
- Chiu, H.Y.; Salpeter, E.E. Surface X-Ray Emission from Neutron Stars. Phys. Rev. Lett. 1964, 12, 413–415. [Google Scholar] [CrossRef]
- Rosen, L.C. Hydrogen and Helium Abundances in Neutron-Star Atmospheres. Astrophys. Space Sci. 1968, 1, 372–387. [Google Scholar] [CrossRef][Green Version]
- Chang, P.; Bildsten, L. Diffusive Nuclear Burning in Neutron Star Envelopes. Astrophys. J. 2003, 585, 464–474. [Google Scholar] [CrossRef]
- Wijngaarden, M.J.P.; Ho, W.C.G.; Chang, P.; Heinke, C.O.; Page, D.; Beznogov, M.; Patnaude, D.J. Diffusive nuclear burning in cooling simulations and application to new temperature data of the Cassiopeia A neutron star. Mon. Not. R. Astron. Soc. 2019, 484, 974–988. [Google Scholar] [CrossRef]
- Thorne, K.S. The relativistic equations of stellar structure and evolution. Astrophys. J. 1977, 212, 825–831. [Google Scholar] [CrossRef]
- Glen, G.; Sutherland, P. On the cooling of neutron stars. Astrophys. J. 1980, 239, 671–684. [Google Scholar] [CrossRef]
- Adhikari, D. et al. [PREX Collaboration] Accurate Determination of the Neutron Skin Thickness of 208Pb through Parity-Violation in Electron Scattering. Phys. Rev. Lett. 2021, 126, 172502. [Google Scholar] [CrossRef]
- Reed, B.T.; Fattoyev, F.J.; Horowitz, C.J.; Piekarewicz, J. Implications of PREX-2 on the Equation of State of Neutron-Rich Matter. Phys. Rev. Lett. 2021, 126, 172503. [Google Scholar] [CrossRef]
- Raduta, A.R.; Gulminelli, F. Nuclear skin and the curvature of the symmetry energy. Phys. Rev. C 2018, 97, 064309. [Google Scholar] [CrossRef]
- Tews, I.; Lattimer, J.M.; Ohnishi, A.; Kolomeitsev, E.E. Constraints from a Lower Bound on Neutron-matter Energy. Eur. Phys. J. A 2017, 848, 105. [Google Scholar]
- Gil, H.; Papakonstantinou, P.; Hyun, C.H. Constraints on the curvature of nuclear symmetry energy from recent astronomical data within the KIDS framework. Int. J. Mod. Phys. E 2022, 31, 2250013. [Google Scholar] [CrossRef]
- Tews, I.; Carlson, J.; Gandolfi, S.; Reddy, S. Constraining the speed of sound inside neutron stars with chiral effective field theory interactions and observations. Astrophys. J. 2018, 860, 149. [Google Scholar] [CrossRef]
- Page, D.; Lattimer, J.M.; Prakash, M.; Steiner, A.W. Minimal Cooling of Neutron Stars: A New Paradigm. Astrophys. J. Suppl. Ser. 2004, 155, 623. [Google Scholar] [CrossRef]
- Lopes, L.L. Role of the symmetry energy slope in neutron stars: Exploring the model dependency. Phys. Rev. C 2024, 110, 015805. [Google Scholar] [CrossRef]
- Scurto, L.; Pais, H.; Antonelli, M.; Gulminelli, F. Role of the δ Meson in the Equation of State an Direct Urca Cooling of Neutron Stars. Astron. Astrophys. 2025, 703, A200. [Google Scholar] [CrossRef]
- Sarkar, T.; Thapa, V.B.; Sinha, M. Fast neutron star cooling in light of the PREX-2 experiment. Phys. Rev. C 2023, 108, 035801. [Google Scholar] [CrossRef]
- Suwa, Y.; Yoshida, T.; Shibata, M.; Umeda, H.; Takahashi, K. On the minimum mass of neutron stars. Mon. Not. R. Astron. Soc. 2018, 481, 3305–3312. [Google Scholar] [CrossRef]
- Workmman, R.L. et al. [Particle Data Group] Review of particle physics. Prog. Theor. Exp. Phys. 2022, 2022, 083C01. [Google Scholar]









| Process | Factor |
|---|---|
| NDU | |
| NMU-n | |
| NMU-p | |
| NNB-nn | |
| NNB-pp | |
| NNB-np |
| Pairing Type | Gap Model | Ref. | |||||
|---|---|---|---|---|---|---|---|
| PS | i | 61 | 0 | 6 | 1.1 | 0.6 | [120] |
| ii | 55 | 0.15 | 4 | 1.27 | 4 | [121] | |
| iii | 2.27 | 0.1 | 0.07 | 1.05 | 0.25 | [122] | |
| NT | i | 4.8 | 1.07 | 1.8 | 3.2 | 2 | [123] |
| ii | 10.2 | 1.09 | 3 | 3.45 | 2.5 | [123] | |
| iii | 2.2 | 1.05 | 1 | 2.82 | 0.6 | [123] | |
| iv | 0.425 | 1.1 | 0.5 | 2.7 | 0.5 | [124] | |
| v | 0.068 | 1.28 | 0.1 | 2.37 | 0.02 | [124] | |
| vi | 2.9 | 1.21 | 0.5 | 1.62 | 0.5 | [120] |
| EOS Model | J (MeV) | L (MeV) | (MeV) | (MeV) | (MeV) | (MeV) | () |
|---|---|---|---|---|---|---|---|
| Quark | - | - | - | - | 140 | 140 | 0.25 |
| Hadronic | 32 | 40 | 200 | −35 | - | - | - |
| Hybrid-1 | 32 | 52 | 230 | −100 | 57 | 185 | 0.28 |
| Hybrid-2 | 38 | 106 | 240 | 0 | 57 | 190 | 0.27 |
| EFT | Hadronic | Hybrid-1 | ||
|---|---|---|---|---|
| (MeV) | 1 | 17.3 ± 3.8 | 16 | 16 |
| 2 | 36.9 ± 16.9 | 38.5 | 40.6 | |
| P (MeV · ) | 1 | 2.4 ± 0.6 | 2.1 | 2.7 |
| 2 | 15.1 ± 4.7 | 19.6 | 19.7 |
| Compact Star Model | ) | R (km) | |
|---|---|---|---|
| Quark Star (QS) | 1.00 | 10.85 | 1.71 |
| Neutron Star (NS) | 1.00 | 11.83 | 2.39 |
| Hybrid Star-1 (HS1) | 1.00 | 11.67 | 3.49 |
| Hybrid Star-2 (HS2) | 1.00 | 12.04 | 3.69 |
Disclaimer/Publisher’s Note: The statements, opinions and data contained in all publications are solely those of the individual author(s) and contributor(s) and not of MDPI and/or the editor(s). MDPI and/or the editor(s) disclaim responsibility for any injury to people or property resulting from any ideas, methods, instructions or products referred to in the content. |
© 2026 by the authors. Licensee MDPI, Basel, Switzerland. This article is an open access article distributed under the terms and conditions of the Creative Commons Attribution (CC BY) license.
Share and Cite
Nanopoulos, D.G.; Laskos-Patkos, P.; Moustakidis, C.C. On the Cooling of Compact Stars in Light of the HESS J1731-347 Remnant. Universe 2026, 12, 18. https://doi.org/10.3390/universe12010018
Nanopoulos DG, Laskos-Patkos P, Moustakidis CC. On the Cooling of Compact Stars in Light of the HESS J1731-347 Remnant. Universe. 2026; 12(1):18. https://doi.org/10.3390/universe12010018
Chicago/Turabian StyleNanopoulos, Dimitrios G., Pavlos Laskos-Patkos, and Charalampos C. Moustakidis. 2026. "On the Cooling of Compact Stars in Light of the HESS J1731-347 Remnant" Universe 12, no. 1: 18. https://doi.org/10.3390/universe12010018
APA StyleNanopoulos, D. G., Laskos-Patkos, P., & Moustakidis, C. C. (2026). On the Cooling of Compact Stars in Light of the HESS J1731-347 Remnant. Universe, 12(1), 18. https://doi.org/10.3390/universe12010018

