Ultra-High-Energy Cosmic Rays from Active Galactic Nuclei Jets: The Role of Supermassive Black Hole Growth and Accretion States
Abstract
1. Introduction
2. The JET Model for Galaxy and Black Hole Evolution
2.1. Dark Matter Merger Tree
2.2. Star Formation and the Gas Cycle
2.3. Metallicity Evolution
2.4. Black Hole Growth and Feedback Model
- in the sEDD scenario, the accreted gas mass is limited to a fraction (see Appendix A) of the total cold gas mass present in the galaxy;
- in the EDDlim scenario, the accreted gas mass corresponds to the minimum between the same fraction, , of the cold gas mass or the mass that the black hole would accrete by growing at the Eddington rate.
3. The Galaxy and SMBH Populations
3.1. Star Formation and Black Hole Accretion Rates
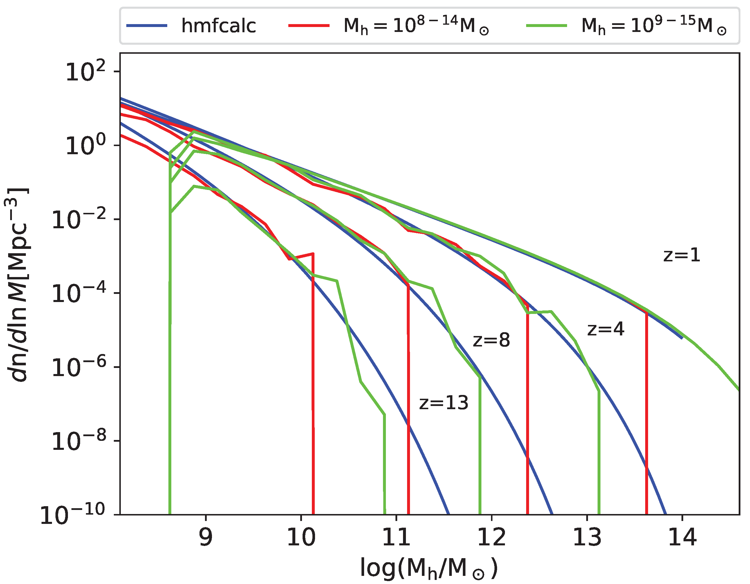
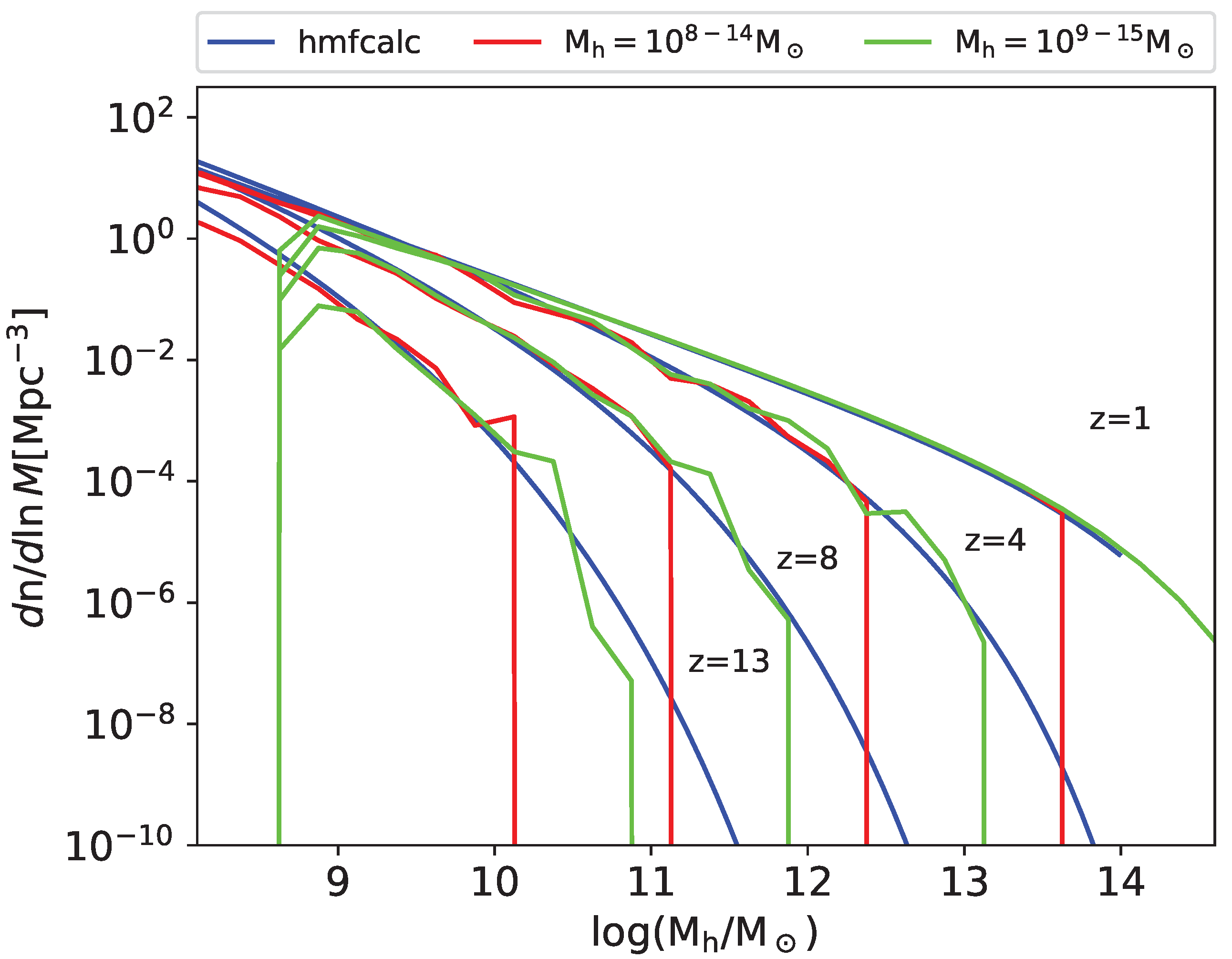
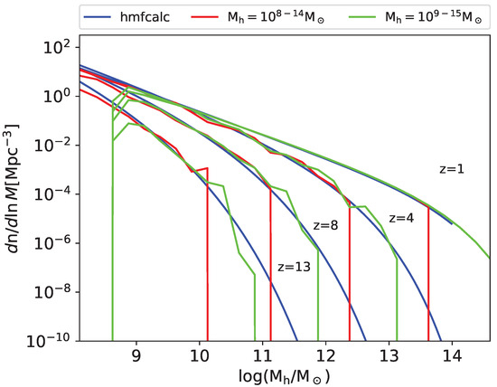
3.2. Black Hole Mass Function
3.3. Jet Activities During Cosmic Time
4. UHECR Source Spectra Associated with Jet Activities
5. Summary and Implications
- Dependence on accretion types: the nature of AGN jets and their efficiencies are strongly influenced by the accretion states of SMBHs, as determined by their Eddington ratios. The UHECR production rate for the different jets (and therefore the accretion types), as considered in our parameter , is a major source of uncertainty.
- Dependence of jet duty cycles and feedback: the duty cycles of AGN jets, shaped by SMBH accretion histories, significantly impact the predicted UHECR flux at the source. Feedback effects further regulate the evolution of SMBHs and their host galaxies, leading to differences in the emitted cosmic ray energy densities.
- Dependence of SMBH growth models: different SMBH growth scenarios, such as the sEDD and EDDlim models considered in this work, lead to varying predictions for the UHECR background.
Author Contributions
Funding
Data Availability Statement
Acknowledgments
Conflicts of Interest
Appendix A
| Parameter | Description | Value |
|---|---|---|
| fraction of the gas mass accreted onto the galaxy as cold | 0.4 | |
| star formation efficiency cap | 0.02 | |
| fraction of SN energy that couples to the gas | 0.1 | |
| critical halo mass for BH growth and cold accretion | ||
| halo mass ratio defining major mergers | 0.1 | |
| fraction of cold gas mass that BH can accrete | 0.00003 | |
| limiting cold gas fraction for quasar accretion | 0.6 | |
| fraction of BH energy that couples to the gas | 0.003 | |
| fraction of jet energy that drives outflows | 0.003 | |
| fraction of jet energy that heats up the gas | 0.01 |
References
- Naab, T.; Ostriker, J.P. Theoretical Challenges in Galaxy Formation. Annu. Rev. Astron Astrophys. 2017, 55, 59–109. [Google Scholar] [CrossRef]
- Owen, E.R.; Wu, K.; Jin, X.; Surajbali, P.; Kataoka, N. Starburst and post-starburst high-redshift protogalaxies. The feedback impact of high energy cosmic rays. Astron. Astrophys. 2019, 626, A85. [Google Scholar] [CrossRef]
- Buck, T.; Pfrommer, C.; Pakmor, R.; Grand, R.J.J.; Springel, V. The effects of cosmic rays on the formation of Milky Way-mass galaxies in a cosmological context. Mon. Not. RAS 2020, 497, 1712–1737. [Google Scholar] [CrossRef]
- Semenov, V.A.; Kravtsov, A.V.; Caprioli, D. Cosmic-Ray Diffusion Suppression in Star-forming Regions Inhibits Clump Formation in Gas-rich Galaxies. Astrophys. J. 2021, 910, 126. [Google Scholar] [CrossRef]
- Owen, E.R.; Wu, K.; Inoue, Y.; Yang, H.Y.K.; Mitchell, A.M.W. Cosmic Ray Processes in Galactic Ecosystems. Galaxies 2023, 11, 86. [Google Scholar] [CrossRef]
- Ruszkowski, M.; Pfrommer, C. Cosmic ray feedback in galaxies and galaxy clusters. Astron. Astrophys. Rev. 2023, 31, 4. [Google Scholar] [CrossRef]
- Indriolo, N.; Fields, B.D.; McCall, B.J. The Implications of a High Cosmic-Ray Ionization Rate in Diffuse Interstellar Clouds. Astrophys. J. 2009, 694, 257–267. [Google Scholar] [CrossRef]
- Casanova, S.; Aharonian, F.A.; Fukui, Y.; Gabici, S.; Jones, D.I.; Kawamura, A.; Onishi, T.; Rowell, G.; Sano, H.; Torii, K.; et al. Molecular Clouds as Cosmic-Ray Barometers. Publ. ASJ 2010, 62, 769. [Google Scholar] [CrossRef]
- Owen, E.R.; On, A.Y.L.; Lai, S.P.; Wu, K. Observational Signatures of Cosmic-Ray Interactions in Molecular Clouds. Astrophys. J. 2021, 913, 52. [Google Scholar] [CrossRef]
- Gabici, S. Low-energy cosmic rays: Regulators of the dense interstellar medium. Astron. Astrophys. Rev. 2022, 30, 4. [Google Scholar] [CrossRef]
- Ipavich, F.M. Galactic winds driven by cosmic rays. Astrophys. J. 1975, 196, 107–120. [Google Scholar] [CrossRef]
- Yu, B.P.B.; Owen, E.R.; Pan, K.C.; Wu, K.; Ferreras, I. Outflows from starburst galaxies with various driving mechanisms and their X-ray properties. Mon. Not. RAS 2021, 508, 5092–5113. [Google Scholar] [CrossRef]
- Thompson, T.A.; Heckman, T.M. Theory and Observation of Winds from Star-Forming Galaxies. Annu. Rev. Astron Astrophys. 2024, 62, 529–591. [Google Scholar] [CrossRef]
- Wu, K.; Owen, E.R.; Han, Q.; Inoue, Y.; Luo, L. Energetic Particles and High-Energy Processes in Cosmological Filaments and Their Astronomical Implications. Universe 2024, 10, 287. [Google Scholar] [CrossRef]
- Kotera, K.; Lemoine, M. Optical depth of the Universe to ultrahigh energy cosmic ray scattering in the magnetized large scale structure. Phys. Rev. D 2008, 77, 123003. [Google Scholar] [CrossRef]
- Takami, H. Propagation of Ultra-high-energy Cosmic Rays in Galactic Magnetic Field. In Proceedings of the International Symposium on the Recent Progress of Ultra-High Energy Cosmic Ray Observation, Aichi, Japan, 10–12 December 2010; Sagawa, H., Kawasaki, Y., Sako, T., Takeda, M., Tsunesada, Y., Eds.; American Institute of Physics Conference Series. AIP: Melville, NY, USA, 2011; Volume 1367, pp. 82–87. [Google Scholar] [CrossRef]
- Kachelrieß, M.; Semikoz, D. Cosmic ray models. Prog. Part. Nucl. Phys. 2019, 109, 103710. [Google Scholar] [CrossRef]
- Alves Batista, R.; Biteau, J.; Bustamante, M.; Dolag, K.; Engel, R.; Fang, K.; Kampert, K.H.; Kostunin, D.; Mostafa, M.; Murase, K.; et al. Open Questions in Cosmic-Ray Research at Ultrahigh Energies. Front. Astron. Space Sci. 2019, 6, 23. [Google Scholar] [CrossRef]
- Owen, E.R.; Han, Q.; Wu, K. Effects of large-scale magnetic fields on the observed composition of ultrahigh-energy cosmic rays. Phys. Rev. D 2023, 107, 103027. [Google Scholar] [CrossRef]
- Blasi, P. Shock acceleration of electrons in the presence of synchrotron losses—I. Test-particle theory. Mon. Not. RAS 2010, 402, 2807–2816. [Google Scholar] [CrossRef]
- Inoue, Y.; Khangulyan, D.; Inoue, S.; Doi, A. On High-energy Particles in Accretion Disk Coronae of Supermassive Black Holes: Implications for MeV Gamma-rays and High-energy Neutrinos from AGN Cores. Astrophys. J. 2019, 880, 40. [Google Scholar] [CrossRef]
- Caprioli, D. “Espresso” Acceleration of Ultra-high-energy Cosmic Rays. Astrophys. J. Lett. 2015, 811, L38. [Google Scholar] [CrossRef]
- Bykov, A.M.; Kalyashova, M.E.; Ellison, D.C.; Osipov, S.M. High-energy cosmic rays from compact galactic star clusters: Particle fluxes and anisotropy. Adv. Space Res. 2019, 64, 2439–2444. [Google Scholar] [CrossRef]
- Globus, N.; Blandford, R. Ultra High Energy Cosmic Ray Source Models: Successes, Challenges and General Predictions. Eur. Phys. J. Web Conf. 2023, 283, 04001. [Google Scholar] [CrossRef]
- Zirakashvili, V.N.; Ptuskin, V.S.; Rogovaya, S.I. Galactic origin of ultrahigh energy cosmic rays. Phys. Rev. D 2024, 110, 023016. [Google Scholar] [CrossRef]
- Pierre Auger Collaboration; Abraham, J.; Abreu, P.; Aglietta, M.; Aguirre, C.; Allard, D.; Allekotte, I.; Allen, J.; Allison, P.; Alvarez, C.; et al. Correlation of the Highest-Energy Cosmic Rays with Nearby Extragalactic Objects. Science 2007, 318, 938. [Google Scholar] [CrossRef]
- Aab, A.; Abreu, P.; Aglietta, M.; Ahn, E.J.; Samarai, I.A.; Albuquerque, I.F.M.; Allekotte, I.; Allen, J.; Allison, P.; Almela, A.; et al. Searches for Anisotropies in the Arrival Directions of the Highest Energy Cosmic Rays Detected by the Pierre Auger Observatory. Astrophys. J. 2015, 804, 15. [Google Scholar] [CrossRef]
- HESS Collaboration; Abramowski, A.; Aharonian, F.; Benkhali, F.A.; Akhperjanian, A.G.; Angüner, E.O.; Backes, M.; Balzer, A.; Becherini, Y.; Tjus, J.B.; et al. Acceleration of petaelectronvolt protons in the Galactic Centre. Nature 2016, 531, 476–479. [Google Scholar] [CrossRef]
- MAGIC Collaboration; Acciari, V.A.; Ansoldi, S.; Antonelli, L.A.; Arbet Engels, A.; Baack, D.; Babić, A.; Banerjee, B.; Barres de Almeida, U.; Barrio, J.A.; et al. MAGIC observations of the diffuse γ-ray emission in the vicinity of the Galactic center. Astron. Astrophys. 2020, 642, A190. [Google Scholar] [CrossRef]
- Toomey, M.W.; Oikonomou, F.; Murase, K. Gamma-ray counterparts of 2WHSP high-synchrotron-peaked BL Lac objects as possible signatures of ultra-high-energy cosmic ray emission. Mon. Not. RAS 2020, 497, 2455–2468. [Google Scholar] [CrossRef]
- Archambault, S.; Archer, A.; Benbow, W.; Bird, R.; Bourbeau, E.; Buchovecky, M.; Buckley, J.H.; Bugaev, V.; Cerruti, M.; Connolly, M.P.; et al. Gamma-Ray Observations of Tycho’s Supernova Remnant with VERITAS and Fermi. Astrophys. J. 2017, 836, 23. [Google Scholar] [CrossRef]
- Abeysekara, A.U.; Archer, A.; Benbow, W.; Bird, R.; Brose, R.; Buchovecky, M.; Buckley, J.H.; Chromey, A.J.; Cui, W.; Daniel, M.K.; et al. Evidence for Proton Acceleration up to TeV Energies Based on VERITAS and Fermi-LAT Observations of the Cas A SNR. Astrophys. J. 2020, 894, 51. [Google Scholar] [CrossRef]
- Mirabel, I.F. Microquasars: Summary and Outlook. In The Jet Paradigm; Lecture Notes in Physics; Belloni, T., Ed.; Springer: Berlin, Germany, 2010; Volume 794, p. 1. [Google Scholar] [CrossRef]
- Fender, R.P.; Belloni, T.M.; Gallo, E. Towards a unified model for black hole X-ray binary jets. Mon. Not. RAS 2004, 355, 1105–1118. [Google Scholar] [CrossRef]
- Belloni, T.M. States and Transitions in Black Hole Binaries. In The Jet Paradigm; Lecture Notes in Physics; Belloni, T., Ed.; Springer: Berlin, Germany, 2010; Volume 794, p. 53. [Google Scholar] [CrossRef]
- Sobolewska, M.A.; Siemiginowska, A.; Gierliński, M. Simulated spectral states of active galactic nuclei and observational predictions. Mon. Not. RAS 2011, 413, 2259–2268. [Google Scholar] [CrossRef][Green Version]
- Moravec, E.; Svoboda, J.; Borkar, A.; Boorman, P.; Kynoch, D.; Panessa, F.; Mingo, B.; Guainazzi, M. Do radio active galactic nuclei reflect X-ray binary spectral states? Astron. Astrophys. 2022, 662, A28. [Google Scholar] [CrossRef]
- Trump, J.R.; Impey, C.D.; Kelly, B.C.; Civano, F.; Gabor, J.M.; Diamond-Stanic, A.M.; Merloni, A.; Urry, C.M.; Hao, H.; Jahnke, K.; et al. Accretion Rate and the Physical Nature of Unobscured Active Galaxies. Astrophys. J. 2011, 733, 60. [Google Scholar] [CrossRef]
- Ichimaru, S. Bimodal behavior of accretion disks: Theory and application to Cygnus X-1 transitions. Astrophys. J. 1977, 214, 840–855. [Google Scholar] [CrossRef]
- Narayan, R.; Yi, I. Advection-dominated Accretion: A Self-similar Solution. Astrophys. J. Lett. 1994, 428, L13. [Google Scholar] [CrossRef]
- Narayan, R.; Yi, I. Advection-dominated Accretion: Underfed Black Holes and Neutron Stars. Astrophys. J. 1995, 452, 710. [Google Scholar] [CrossRef]
- Sadowski, A. Slim Disks Around Kerr Black Holes Revisited. Astrophys. J. Suppl. 2009, 183, 171–178. [Google Scholar] [CrossRef]
- Sądowski, A.; Narayan, R. Three-dimensional simulations of supercritical black hole accretion discs—Luminosities, photon trapping and variability. Mon. Not. RAS 2016, 456, 3929–3947. [Google Scholar] [CrossRef]
- Piana, O.; Pu, H.Y.; Wu, K. Super-Eddington accretion in high-redshift black holes and the emergence of jetted AGN. Mon. Not. RAS 2024, 530, 1732–1748. [Google Scholar] [CrossRef]
- Gardner, J.P.; Mather, J.C.; Clampin, M.; Doyon, R.; Greenhouse, M.A.; Hammel, H.B.; Hutchings, J.B.; Jakobsen, P.; Lilly, S.J.; Long, K.S.; et al. The James Webb Space Telescope. Space Sci. Rev. 2006, 123, 485–606. [Google Scholar] [CrossRef]
- Dayal, P.; Ferrara, A.; Dunlop, J.S.; Pacucci, F. Essential physics of early galaxy formation. Mon. Not. RAS 2014, 445, 2545–2557. [Google Scholar] [CrossRef]
- Dayal, P.; Rossi, E.M.; Shiralilou, B.; Piana, O.; Choudhury, T.R.; Volonteri, M. The hierarchical assembly of galaxies and black holes in the first billion years: Predictions for the era of gravitational wave astronomy. Mon. Not. RAS 2019, 486, 2336–2350. [Google Scholar] [CrossRef]
- Piana, O.; Dayal, P.; Volonteri, M.; Choudhury, T.R. The mass assembly of high-redshift black holes. Mon. Not. RAS 2021, 500, 2146–2158. [Google Scholar] [CrossRef]
- Piana, O.; Dayal, P.; Choudhury, T.R. The impact of black hole feedback on the UV luminosity and stellar mass assembly of high-redshift galaxies. Mon. Not. RAS 2022, 510, 5661–5675. [Google Scholar] [CrossRef]
- Sheth, R.K.; Tormen, G. Large-scale bias and the peak background split. Mon. Not. RAS 1999, 308, 119–126. [Google Scholar] [CrossRef]
- Latif, M.A.; Ferrara, A. Formation of Supermassive Black Hole Seeds. Publ. Astron. Soc. Aust. 2016, 33, e051. [Google Scholar] [CrossRef]
- Inayoshi, K.; Visbal, E.; Haiman, Z. The Assembly of the First Massive Black Holes. Annu. Rev. Astron Astrophys. 2020, 58, 27–97. [Google Scholar] [CrossRef]
- Volonteri, M.; Habouzit, M.; Colpi, M. The origins of massive black holes. Nat. Rev. Phys. 2021, 3, 732–743. [Google Scholar] [CrossRef]
- Murray, S.G.; Power, C.; Robotham, A.S.G. HMFcalc: An online tool for calculating dark matter halo mass functions. Astron. Comput. 2013, 3, 23. [Google Scholar] [CrossRef]
- Dekel, A.; Birnboim, Y. Galaxy bimodality due to cold flows and shock heating. Mon. Not. RAS 2006, 368, 2–20. [Google Scholar] [CrossRef]
- Madau, P.; Haardt, F.; Dotti, M. Super-critical Growth of Massive Black Holes from Stellar-mass Seeds. Astrophys. J. Lett. 2014, 784, L38. [Google Scholar] [CrossRef]
- Lacey, C.G.; Baugh, C.M.; Frenk, C.S.; Benson, A.J.; Bower, R.G.; Cole, S.; Gonzalez-Perez, V.; Helly, J.C.; Lagos, C.D.P.; Mitchell, P.D. A unified multiwavelength model of galaxy formation. Mon. Not. RAS 2016, 462, 3854–3911. [Google Scholar] [CrossRef]
- Marigo, P.; Bressan, A.; Chiosi, C. The TP-AGB phase: A new model. Astron. Astrophys. 1996, 313, 545–564. [Google Scholar]
- Portinari, L.; Chiosi, C.; Bressan, A. Galactic chemical enrichment with new metallicity dependent stellar yields. Astron. Astrophys. 1998, 334, 505–539. [Google Scholar] [CrossRef]
- Tchekhovskoy, A.; Narayan, R.; McKinney, J.C. Efficient generation of jets from magnetically arrested accretion on a rapidly spinning black hole. Mon. Not. RAS 2011, 418, L79–L83. [Google Scholar] [CrossRef]
- Pillepich, A.; Nelson, D.; Hernquist, L.; Springel, V.; Pakmor, R.; Torrey, P.; Weinberger, R.; Genel, S.; Naiman, J.P.; Marinacci, F.; et al. First results from the IllustrisTNG simulations: The stellar mass content of groups and clusters of galaxies. Mon. Not. RAS 2018, 475, 648–675. [Google Scholar] [CrossRef]
- Harikane, Y.; Ono, Y.; Ouchi, M.; Liu, C.; Sawicki, M.; Shibuya, T.; Behroozi, P.S.; He, W.; Shimasaku, K.; Arnouts, S.; et al. GOLDRUSH. IV. Luminosity Functions and Clustering Revealed with ∼4,000,000 Galaxies at z∼2-7: Galaxy-AGN Transition, Star Formation Efficiency, and Implication for Evolution at z > 10. arXiv 2021, arXiv:2108.01090. [Google Scholar] [CrossRef]
- Ueda, Y.; Akiyama, M.; Hasinger, G.; Miyaji, T.; Watson, M.G. Toward the Standard Population Synthesis Model of the X-Ray Background: Evolution of X-Ray Luminosity and Absorption Functions of Active Galactic Nuclei Including Compton-thick Populations. Astrophys. J. 2014, 786, 104. [Google Scholar] [CrossRef]
- Ananna, T.T.; Urry, C.M.; Treister, E.; Hickox, R.C.; Shankar, F.; Ricci, C.; Cappelluti, N.; Marchesi, S.; Turner, T.J. Accretion History of AGNs. III. Radiative Efficiency and AGN Contribution to Reionization. Astrophys. J. 2020, 903, 85. [Google Scholar] [CrossRef]
- Kim, S.J.; Goto, T.; Ling, C.T.; Wu, C.K.W.; Hashimoto, T.; Kilerci, E.; Ho, S.C.C.; Uno, Y.; Wang, P.Y.; Lin, Y.W. Cosmic star-formation history and black hole accretion history inferred from the JWST mid-infrared source counts. Mon. Not. RAS 2024, 527, 5525–5539. [Google Scholar] [CrossRef]
- Merloni, A.; Heinz, S. A synthesis model for AGN evolution: Supermassive black holes growth and feedback modes. Mon. Not. RAS 2008, 388, 1011–1030. [Google Scholar] [CrossRef]
- Delvecchio, I.; Gruppioni, C.; Pozzi, F.; Berta, S.; Zamorani, G.; Cimatti, A.; Lutz, D.; Scott, D.; Vignali, C.; Cresci, G.; et al. Tracing the cosmic growth of supermassive black holes to z ∼ 3 with Herschel. Mon. Not. RAS 2014, 439, 2736–2754. [Google Scholar] [CrossRef]
- Goto, T.; Oi, N.; Utsumi, Y.; Momose, R.; Matsuhara, H.; Hashimoto, T.; Toba, Y.; Ohyama, Y.; Takagi, T.; Chiang, C.Y.; et al. Infrared luminosity functions based on 18 mid-infrared bands: Revealing cosmic star formation history with AKARI and Hyper Suprime-Cam*. Publ. ASJ 2019, 71, 30. [Google Scholar] [CrossRef]
- Gruppioni, C.; Béthermin, M.; Loiacono, F.; Le Fèvre, O.; Capak, P.; Cassata, P.; Faisst, A.L.; Schaerer, D.; Silverman, J.; Yan, L.; et al. The ALPINE-ALMA [CII] survey. The nature, luminosity function, and star formation history of dusty galaxies up to z ∼ 6. Astron. Astrophys. 2020, 643, A8. [Google Scholar] [CrossRef]
- Ling, C.T.; Goto, T.; Kim, S.J.; Wu, C.K.W.; Hashimoto, T.; Chien, T.C.C.; Lin, Y.W.; Ho, S.C.C.; Kilerci, E. Exploring the faintest end of mid-infrared luminosity functions up to z ∼ 5 with the JWST CEERS survey. Mon. Not. RAS 2024, 528, 6025–6045. [Google Scholar] [CrossRef]
- Bouwens, R.J.; Illingworth, G.D.; Labbe, I.; Oesch, P.A.; Trenti, M.; Carollo, C.M.; van Dokkum, P.G.; Franx, M.; Stiavelli, M.; González, V.; et al. A candidate redshift z∼10 galaxy and rapid changes in that population at an age of 500 Myr. Nature 2011, 469, 504–507. [Google Scholar] [CrossRef]
- Bouwens, R.J.; Illingworth, G.D.; Oesch, P.A.; Labbé, I.; Trenti, M.; van Dokkum, P.; Franx, M.; Stiavelli, M.; Carollo, C.M.; Magee, D.; et al. Ultraviolet Luminosity Functions from 132 z ∼ 7 and z ∼ 8 Lyman-break Galaxies in the Ultra-deep HUDF09 and Wide-area Early Release Science WFC3/IR Observations. Astrophys. J. 2011, 737, 90. [Google Scholar] [CrossRef]
- Ellis, R.S.; McLure, R.J.; Dunlop, J.S.; Robertson, B.E.; Ono, Y.; Schenker, M.A.; Koekemoer, A.; Bowler, R.A.A.; Ouchi, M.; Rogers, A.B.; et al. The Abundance of Star-forming Galaxies in the Redshift Range 8.5-12: New Results from the 2012 Hubble Ultra Deep Field Campaign. Astrophys. J. Lett. 2013, 763, L7. [Google Scholar] [CrossRef]
- Oesch, P.A.; Bouwens, R.J.; Illingworth, G.D.; Labbé, I.; Franx, M.; van Dokkum, P.G.; Trenti, M.; Stiavelli, M.; Gonzalez, V.; Magee, D. Probing the Dawn of Galaxies at z ∼ 9–12: New Constraints from HUDF12/XDF and CANDELS data. Astrophys. J. 2013, 773, 75. [Google Scholar] [CrossRef]
- Oesch, P.A.; Bouwens, R.J.; Illingworth, G.D.; Labbé, I.; Smit, R.; Franx, M.; van Dokkum, P.G.; Momcheva, I.; Ashby, M.L.N.; Fazio, G.G.; et al. The Most Luminous z ∼ 9–10 Galaxy Candidates Yet Found: The Luminosity Function, Cosmic Star-formation Rate, and the First Mass Density Estimate at 500 Myr. Astrophys. J. 2014, 786, 108. [Google Scholar] [CrossRef]
- Yang, G.; Caputi, K.I.; Papovich, C.; Arrabal Haro, P.; Bagley, M.B.; Behroozi, P.; Bell, E.F.; Bisigello, L.; Buat, V.; Burgarella, D.; et al. CEERS Key Paper. VI. JWST/MIRI Uncovers a Large Population of Obscured AGN at High Redshifts. Astrophys. J. Lett. 2023, 950, L5. [Google Scholar] [CrossRef]
- Rosas-Guevara, Y.; Bower, R.G.; Schaye, J.; McAlpine, S.; Dalla Vecchia, C.; Frenk, C.S.; Schaller, M.; Theuns, T. Supermassive black holes in the EAGLE Universe. Revealing the observables of their growth. Mon. Not. RAS 2016, 462, 190–205. [Google Scholar] [CrossRef]
- Cao, X. Cosmological Evolution of Massive Black Holes: Effects of Eddington Ratio Distribution and Quasar Lifetime. Astrophys. J. 2010, 725, 388–393. [Google Scholar] [CrossRef]
- Shankar, F. The demography of supermassive black holes: Growing monsters at the heart of galaxies. New Astron. Rev. 2009, 53, 57–77. [Google Scholar] [CrossRef][Green Version]
- Li, Y.R.; Ho, L.C.; Wang, J.M. Cosmological Evolution of Supermassive Black Holes. I. Mass Function at 0 < z ≲ 2. Astrophys. J. 2011, 742, 33. [Google Scholar] [CrossRef]
- Griffin, A.J.; Lacey, C.G.; Gonzalez-Perez, V.; Lagos, C.d.P.; Baugh, C.M.; Fanidakis, N. AGNs at the cosmic dawn: Predictions for future surveys from a ΛCDM cosmological model. Mon. Not. RAS 2020, 492, 2535–2552. [Google Scholar] [CrossRef]
- Ni, Y.; Di Matteo, T.; Bird, S.; Croft, R.; Feng, Y.; Chen, N.; Tremmel, M.; DeGraf, C.; Li, Y. The ASTRID simulation: The evolution of supermassive black holes. Mon. Not. RAS 2022, 513, 670–692. [Google Scholar] [CrossRef]
- Qin, Y.; Mutch, S.J.; Poole, G.B.; Liu, C.; Angel, P.W.; Duffy, A.R.; Geil, P.M.; Mesinger, A.; Wyithe, J.S.B. Dark-ages reionization and galaxy formation simulation - X. The small contribution of quasars to reionization. Mon. Not. RAS 2017, 472, 2009–2027. [Google Scholar] [CrossRef]
- Volonteri, M.; Reines, A.E.; Atek, H.; Stark, D.P.; Trebitsch, M. High-redshift Galaxies and Black Holes Detectable with the JWST: A Population Synthesis Model from Infrared to X-Rays. Astrophys. J. 2017, 849, 155. [Google Scholar] [CrossRef]
- Willott, C.J.; Albert, L.; Arzoumanian, D.; Bergeron, J.; Crampton, D.; Delorme, P.; Hutchings, J.B.; Omont, A.; Reylé, C.; Schade, D. Eddington-limited Accretion and the Black Hole Mass Function at Redshift 6. Astron. J. 2010, 140, 546–560. [Google Scholar] [CrossRef]
- Trinca, A.; Schneider, R.; Valiante, R.; Graziani, L.; Zappacosta, L.; Shankar, F. The low-end of the black hole mass function at cosmic dawn. Mon. Not. RAS 2022, 511, 616–640. [Google Scholar] [CrossRef]
- Ptuskin, V.; Rogovaya, S.; Zirakashvili, V. On ultra-high energy cosmic rays: Origin in AGN jets and transport in expanding universe. Adv. Space Res. 2013, 51, 315–321. [Google Scholar] [CrossRef]
- Eichmann, B.; Rachen, J.P.; Merten, L.; van Vliet, A.; Becker Tjus, J. Ultra-high-energy cosmic rays from radio galaxies. J. Cosmol. Astropart. Phys. 2018, 2018, 036. [Google Scholar] [CrossRef]
- Lovelace, R.V.E. Dynamo model of double radio sources. Nature 1976, 262, 649–652. [Google Scholar] [CrossRef]
- Blandford, R.; Koenigl, A. The Disk-Jet Connection. Sky Telesc. 1993, 85, 40. [Google Scholar]
- Farrar, G.R.; Gruzinov, A. Giant AGN Flares and Cosmic Ray Bursts. Astrophys. J. 2009, 693, 329–332. [Google Scholar] [CrossRef]
- Ptuskin, V.S.; Zirakashvili, V.N. Limits on diffusive shock acceleration in supernova remnants in the presence of cosmic-ray streaming instability and wave dissipation. Astron. Astrophys. 2003, 403, 1–10. [Google Scholar] [CrossRef]
- Schröder, F.G.; AbuZayyad, T.; Anchordoqui, L.; Andeen, K.; Bai, X.; BenZvi, S.; Bergman, D.; Coleman, A.; Dembinski, H.; DuVernois, M.; et al. High-Energy Galactic Cosmic Rays (Astro2020 Science White Paper). arXiv 2019, arXiv:1903.07713. [Google Scholar] [CrossRef]
- Heinze, J.; Boncioli, D.; Bustamante, M.; Winter, W. Cosmogenic Neutrinos Challenge the Cosmic-ray Proton Dip Model. Astrophys. J. 2016, 825, 122. [Google Scholar] [CrossRef]
- Liu, R.Y.; Taylor, A.M.; Wang, X.Y.; Aharonian, F.A. Indication of a local fog of subankle ultrahigh energy cosmic rays. Phys. Rev. D 2016, 94, 043008. [Google Scholar] [CrossRef]
- Fanidakis, N.; Baugh, C.M.; Benson, A.J.; Bower, R.G.; Cole, S.; Done, C.; Frenk, C.S. Grand unification of AGN activity in the ΛCDM cosmology. Mon. Not. RAS 2011, 410, 53–74. [Google Scholar] [CrossRef]
- Dubois, Y.; Pichon, C.; Welker, C.; Le Borgne, D.; Devriendt, J.; Laigle, C.; Codis, S.; Pogosyan, D.; Arnouts, S.; Benabed, K.; et al. Dancing in the dark: Galactic properties trace spin swings along the cosmic web. Mon. Not. RAS 2014, 444, 1453–1468. [Google Scholar] [CrossRef]
- Bustamante, S.; Springel, V. Spin evolution and feedback of supermassive black holes in cosmological simulations. Mon. Not. RAS 2019, 490, 4133–4153. [Google Scholar] [CrossRef]
- Bardeen, J.M. Kerr Metric Black Holes. Nature 1970, 226, 64–65. [Google Scholar] [CrossRef] [PubMed]
- Greisen, K. End to the Cosmic-Ray Spectrum? Phys. Rev. Lett. 1966, 16, 748–750. [Google Scholar] [CrossRef]
- Zatsepin, G.T.; Kuz’min, V.A. Upper Limit of the Spectrum of Cosmic Rays. Sov. J. Exp. Theor. Phys. Lett. 1966, 4, 78. [Google Scholar]
- Dermer, C.D.; Menon, G. High Energy Radiation from Black Holes. Gamma Rays, Cosmic Rays, and Neutrinos; Princeton University Press: Princeton, NJ, USA, 2010. [Google Scholar]
- Jacobsen, I.B.; Wu, K.; On, A.Y.L.; Saxton, C.J. High-energy neutrino fluxes from AGN populations inferred from X-ray surveys. Mon. Not. RAS 2015, 451, 3649–3663. [Google Scholar] [CrossRef]







Disclaimer/Publisher’s Note: The statements, opinions and data contained in all publications are solely those of the individual author(s) and contributor(s) and not of MDPI and/or the editor(s). MDPI and/or the editor(s) disclaim responsibility for any injury to people or property resulting from any ideas, methods, instructions or products referred to in the content. |
© 2025 by the authors. Licensee MDPI, Basel, Switzerland. This article is an open access article distributed under the terms and conditions of the Creative Commons Attribution (CC BY) license (https://creativecommons.org/licenses/by/4.0/).
Share and Cite
Piana, O.; Pu, H.-Y. Ultra-High-Energy Cosmic Rays from Active Galactic Nuclei Jets: The Role of Supermassive Black Hole Growth and Accretion States. Universe 2025, 11, 78. https://doi.org/10.3390/universe11030078
Piana O, Pu H-Y. Ultra-High-Energy Cosmic Rays from Active Galactic Nuclei Jets: The Role of Supermassive Black Hole Growth and Accretion States. Universe. 2025; 11(3):78. https://doi.org/10.3390/universe11030078
Chicago/Turabian StylePiana, Olmo, and Hung-Yi Pu. 2025. "Ultra-High-Energy Cosmic Rays from Active Galactic Nuclei Jets: The Role of Supermassive Black Hole Growth and Accretion States" Universe 11, no. 3: 78. https://doi.org/10.3390/universe11030078
APA StylePiana, O., & Pu, H.-Y. (2025). Ultra-High-Energy Cosmic Rays from Active Galactic Nuclei Jets: The Role of Supermassive Black Hole Growth and Accretion States. Universe, 11(3), 78. https://doi.org/10.3390/universe11030078

