Abstract
Thermal relics with masses in the GeV to TeV range remain possible candidates for the Universe’s dark matter (DM). These neutral particles are often assumed to have vanishing electric and magnetic dipole moments so that they do not interact with single real photons, but the anapole moment, a static electromagnetic property whose features are akin to that of a classical toroidal solenoid, can still be non-zero, permitting interactions with single virtual photons. In some models, DM predominantly annihilates into charged standard model particles through a p-wave process mediated by the anapole moment. The anapole moment is also responsible for another interaction of interest. If a DM medium were subjected to an electric current, a DM particle whose anapole moment was aligned with the current would have lower energy than the state with an antialigned anapole moment. Given these interactions, if a collection of initially unpolarized DM particles were subjected to an electric current, then the DM medium would become partially polarized, according to the Boltzmann distribution. In such a polarized medium, DM annihilation into photons, a subdominant s-wave process realizable through higher order interactions, would be somewhat suppressed. If the local electric current existed during a time in which the DM begins to drop out of thermal equilibrium with the rest of the Universe, the suppressed annihilation could lead to a small local excess in the relic DM density relative to a current-free region. This mechanism by which the local DM density can be perturbed is novel. Using effective interactions to model a DM particle’s anapole moment and polarizabilities (responsible for s-wave annihilation into two photons), we compute the changes in the DM density produced by long- and short-lived currents around freeze out. If we employ the most stringent constraints on DM annihilation into two photons, we find that long-lived currents can result in a fractional change in the DM density on the order of for DM masses around 100 GeV; for short-lived currents, this fractional change in local DM density is on the order of for the same DM mass.
1. Introduction
A concordance of observations point to a Universe whose matter content is overwhelmingly comprised of some new type of particles, outside the standard model [1]. The constraints on this new matter are few: it must be non-relativistic, stable, and relatively weakly interacting. A recent history of dark matter, including a discussion of various dark matter (DM) models, can be found in Ref. [2]. Early on, one class of DM models, weakly interacting massive particles (WIMPs), was theoretically well-motivated, in part because of its potential tie in with supersymmetry [3]. Additional motivation for WIMPs stemmed from a coincidence often called the “WIMP miracle”. If DM were a thermal relic, then weak-scale masses and annihilation cross sections for the DM candidate naturally result in the correct relic density of DM observed today. This coincidence is compelling, but we note that a much wider class of WIMPless models can satisfy the same relic density constraint, e.g., Ref. [4].
Despite a multimodal approach to DM detection, no definitive DM signal yet exists, though some observations show tantalizing hints. Perhaps because of theoretical prejudice, many direct DM detection experiments focus upon the WIMP parameter space, broadly construed to include DM masses between the GeV scale up to a few TeV. Decades of direct detection experiments have found no evidence for DM, and as a result, strict limits on the DM–nucleus interaction cross section [5,6,7] have ruled out many WIMP DM models. In addition to direct detection experiments, particle colliders also place stringent constraints on DM models. In particular, the LHC has produced no particles outside the standard model, making tenuous the notion that DM is comprised of supersymmetry’s neutralino [8]. One other task to assess the presence of dark matter is via indirect detection experiments in which telescopes search for high energy cosmic rays, neutrinos, or photons. If signals cannot be attributable to standard astrophysical sources, then they may be due to DM annihilation. In some instances, this results on constraints on the DM annihilation cross section, as with the observations of dwarf spheroidal galaxies from the Fermi Large Area Telescope (Fermi-LAT) for DM masses below 100 GeV [9], while Fermi-LAT observations of the Galactic Center hint at the possibility of a DM annihilation [10]. Additionally, observations of antiprotons in the AMS-02 detector [11] could also signal DM annihilation for a DM mass around 80 GeV [12].
Because of the severe constraints imposed by direct detection experiments and particle colliders, axion dark matter models are, perhaps, eclipsing WIMP models in terms of their favorability [13], but the WIMP paradigm is not entirely ruled out because there is still viable parameter space remaining [14,15,16]. With a narrowing parameter space, current developments in model building focus on a WIMP paradigm with either simplified models or from the perspective of effective field theory (EFT) in which the modelers remain agnostic to a particular UV completion of the theory [17].
In an EFT analysis of DM, one couples DM directly to standard model (SM) particles at low energies via, often, effective couplings with non-zero mass dimension that depend on a high-energy scale . As long as interaction energies are well below , the effective interactions faithfully capture the relevant physics. For neutral dark matter, the leading order electromagnetic interactions in an EFT occur through their static electromagnetic properties. Electric and magnetic dipole moments proceed through mass dimension-5 operators, and several DM modelers have explored the possibility that DM predominantly interacts through such moments [18,19,20,21,22,23,24,25,26,27,28,29,30,31,32,33]. If the DM candidate is a Majorana fermion, then both the electric and magnetic dipole moments must vanish identically, and its sole static electromagnetic property is its anapole moment, whose features are akin to that of a classical toroidal solenoid [34,35]. Anapole interactions of DM have been studied in Refs. [16,20,24,29,30,31,32,36,37,38,39,40]. Because the anapole interaction arises from a dimension-6 operator, the anapole moment is suppressed by which further suppresses these leading order interactions for Majorana fermion DM. Additionally, one can choose model parameters so that annihilation precedes primarily through p-wave modes [36], and because its annihilation is velocity suppressed, it can more easily evade indirect detection constraints [16].
Moving beyond the static electromagnetic properties of fermions, higher order electromagnetic interactions with Majorana fermions are mediated by operators that are dimension-7 and beyond [17,20,28]. In particular, a fermion can interact with two real photons via its polarizabilities. There are six two-photon interactions: two spin-independent, and four spin-dependent, that are separately invariant under charge conjugation (), parity (), and time reversal () [41], and there an additional ten more polarizability terms that are either -odd and -odd or -odd and -odd [42]. The self-conjugate nature of the Majorana fermion does limit its interaction with two real photons somewhat, requiring the four -odd and -odd polarizabilites to vanish, but that still leaves a dozen modes unconstrained [43].
In this paper, we will focus upon Majorana fermion DM with a non-zero anapole moment and non-zero polarizabilities, but we will restrict our considerations to the six polarizabilities that separately preserve , , and symmetries. Of these six, the two spin-independent polarizabilities arise from a dimension-7 interaction, , that gives rise to a low-energy interaction Hamiltonian quadratic in the electric and magnetic fields. The four spin-dependent polarizabilities arise from interactions that depend upon derivatives of the electric and magnetic fields. As a consequence, these four spin-dependent polarizabilities are nominally , though their precise mass dependence depends on the particular UV completion of the theory [43]. It is these spin-dependent polarizabilities that allow for s-wave annihilation of two Majorana fermions into two photons. Nominally, this s-wave mode is suppressed relative to p-wave annihilation, but depending upon the particular UV completion, s-wave annihilation can be comparable to the p-wave mode [44].
The coupling between an anapole moment and a real photon vanishes, so the leading order electromagnetic interaction for a Majorana fermion is via the exchange of a virtual photon with a charged particle. Thus, at low energies, Majorana fermions do not couple to electric or magnetic fields; they only couple to electric currents. If a spin- Majorana fermion is immersed in a persistent electric current, there is an energy difference in the two spin states of the fermion, with the lower energy state corresponding to the one in which the anapole moment is aligned with the current. In the presence of a background current, a collection of Majorana fermions can be undergo some level of polarization, at least in principle.
This polarization can only be achieved if there are mechanisms that allow the Majorana fermion to change spin states. For particles that are not in thermal equilibrium, such as DM after freeze out, only irreversible processes can allow the higher-energy antialigned anapole moments to flip spin to the lower energy aligned state. Spontaneous two-photon emission or single-photon emission via virtual Compton scattering are two such irreversible mechanisms; however, because the photon coupling occurs through the polarizabilities, the rates of these irreversible processes are extremely small [45]. However, before freeze out when the DM is in equilibrium with the thermal bath, reversible spin–flip processes can lead to a partially polarized DM medium in the presence of a background current, assuming the spin–flip interactions happen at a sufficient rate. The Boltzmann distribution would guarantee a slight excess of lower-energy states with spins aligned with the current.
Our interest, in this paper, is to explore the novel notion as to whether a localized region of partially polarized DM can impact the DM annihilation rate and thus the DM relic density. For temperatures greater than the DM mass, the comoving DM density remains essentially constant. However, as the Universe cools and expands, this DM density decreases by virtue of the DM annihilation into SM particles. Once DM annihilations become so rare, the DM drops out of thermal equilibrium with the rest of the Universe. At freeze out, the comoving DM density becomes constant, yielding the relic density present today. This relic density is largely determined by the DM annihilation cross section; a larger cross section results in a smaller relic density, and vice versa. If a region of DM is partially polarized due to a background current, then the s-wave mode of DM annihilation can be suppressed because the s-wave mode requires the annihilating particles to have opposite spin states. In this region, the DM annihilation rate will be somewhat smaller in the presence of the current than otherwise. If this suppressed annihilation rate occurs near the freeze out temperature, then the local relic density in the region will be somewhat larger relative to a region with no electric current. Though the effect is extremely small, this density perturbation is frozen in, perhaps growing in a later epoch via gravitational collapse.
In Section 2, we first discuss the the anapole moment and spin-dependent polarizabilities from an effective-interaction framework. The anapole moment takes on three roles in our work. First, we assume our DM particles to annihilate into SM particles primarily through a p-wave mode, mediated by the anapole moment. The spin-dependent polarizabilities also contribute to the annihilation cross section, but in a subdominant manner via an s-wave process. Together, these two annihilation modes determine the relic density present today. The anapole moment’s second role is the primary, novel interest of this paper. In a background electric current, the anapole moment establishes an energy difference between DM states with anapole moment aligned and antialigned with the current. Furthermore, interactions with charged particles via the anapole moment can flip the spin of the DM particle; this is the third role of the anapole moment. In Section 3, we determine the rate at which this spin–flip process occurs in the radiation-dominated era of the early Universe. This rate sets the time scale required for a DM particle to thermalize in the presence of a background electric current, resulting in an excess of DM particles whose anapole moment is aligned with the current—a partially polarized medium. With this time scale set, in Section 4, we determine how a partially polarized DM medium impacts the relic DM density. Assuming a classical electric current, we determine the degree by which the s-wave annihilation is suppressed and then use the Boltzmann equation to estimate the relative change in DM relic density for a long- and short-lived electric current that exists around freeze out. We finish the paper with some concluding remarks in Section 5.
2. EFT Interactions
Anapole interactions arise from an effective Lagrangian term [34,35,46]. The anapole moment is the dimension-2 coefficient that results from a UV-complete theory in which the neutral fermion effectively couples to the photon field through, at least, a one-loop process. In the UV-complete Lagrangian, there must be a parity-violating [46] trilinear term that couples the Majorana fermion to a charged fermion, , and (vector or scalar) boson, . As an example, the interaction term in the Lagrangian can take the form , with the projections . If , this parity violation results in an anapole moment at the one-loop level. Taking the DM candidate, , to be Majorana fermion ensures vanishing magnetic and electric dipole moments [34,35], leaving the anapole moment the leading order interaction. In terms of the mass scale for the anapole moment, it is set by the dominant mass of the charged particle to which the Majorana fermion couples. Further examples of how this coefficient depends on the underlying UV physics can be found in Refs. [43,47,48].
At tree-level, the anapole moment of a Majorana fermion allows it to couple to charge particles via a virtual photon. This interaction will serve three roles in this paper. First, it permits interactions between DM and electric currents; second, it permits Majorana fermions to annihilate into charged SM particles; and finally, the spin-dependent interactions with charged particles permits the Majorana fermions to flip spin states.
We first discuss the interaction of Majorana fermions with electric currents. At low energies, the anapole interaction results in the Hamiltonian , where are the Pauli spin matrices and is the current density associated with the charged particle comprising the electric current [34,35,46]. Given this, a background current establishes an energy difference between the Majorana fermion states aligned and antialigned with the current.
The second process of interest is the annihilation channel for the Majorana fermion mediated by the anapole moment. Annihilating DM particles can couple to virtual photon which then pair produce charged SM particles in a p-wave process. The cross section for this annihilation has been computed previously in Refs. [36,37], and we quote the results here. The thermally averaged cross section is
The factor accounts for all the kinematically available final states, weighted by the square of the particles’ charges. For DM masses below the mass of the W boson, GeV, the only charged particles that the DM can annihilate into are fermions, assuming temperatures higher than the QCD phase transition. For temperatures below this transition, the charged lepton annihilation channels dominate. In terms of , annihilation into an electron–positron pair contributes 1 to ; annihilation into a quark–antiquark pair, whose charges are , contributes to , where the factor of 3 accounts for color degrees of freedom. For GeV, we must include the possibility that the Majorana fermions can annihilate into W bosons. We can accommodate this in with the term if we employ the approximation , as in Ref. [37].
Moving beyond the anapole moment, we consider higher-order two-photon effective interactions with a Majorana fermion. Spin-independent interactions arise from the dimension-7 effective Lagrangian discussed above. We are interested in the spin-dependent two-photon interactions because s-wave annihilation proceeds through these channels. The spin-dependent terms that couple the Majorana fermion to two photons involve derivatives of the electromagnetic field, and they have been characterized in Ref. [49] and elsewhere. The four coefficients of these dimension-8 terms, the spin-dependent polarizabilities, carry mass dimension . Ostensibly, these polarizabilities would seem to scale as , but in considering an explicit simplified UV-complete theory, the reality is somewhat more nuanced. As with the anapole moment, the effective two-photon coupling to a Majorana fermion arises from a direct coupling of this fermion to charged particles. Let us suppose these charged particles have mass and m with . From a simplified UV completion [44], one finds that the polarizabilities can scale as ∼ and ∼.
These two mass scales in the spin-dependent polarizability coefficients also make an appearance in the s-wave annihilation cross section. Dimensional analysis suggests where is some linear combination of the spin-dependent polarizabilities and is a dimensionless coefficient [44]. From a UV-complete theory, we note that there are scenarios in which the s-wave annihilation cross section is not as suppressed as one might naively assume: [44]. We will adopt the EFT s-wave annihilation rate to be
where with .
We would like to compare the relative s- and p-wave annihilation rates in order to determine their impact upon the relic density for a thermal WIMP. In the anapole interaction, the dimensionless coupling, g, must be small enough in order for perturbative calculations to be viable; we will set . For the polarizabilities, the corresponding dimensionless coupling, , is relatable to g in a UV-complete theory. The polarizabilities arise from, at least, a four-vertex Feynman diagram while the anapole moment comes from a three-vertex diagram. Given this, should involve an extra factor of e relative to g which would suppress by a factor relative to g. However, at the same time, may incorporate corrections that are logarithmic in the relevant mass scale that could be [43]. Given this, we will also take , admitting that a particular UV-complete theory might deviate from this value by a factor of 10.
With these couplings fixed, we find that s-wave annihilation into photons is larger than or comparable to p-wave annihilation into charged particles whenever
To see what size makes the two annihilation channels comparable, we consider DM masses, , between 5 GeV and 80 GeV because, in this mass range, is fixed at 6.67. As a figure of merit, thermal WIMPs typically fall out of thermal equilibrium in the early Universe for a temperature around . Given this, we see that s-wave annihilation can exceed the p-wave process for . The upshot is that the s-wave annihilation mode is subdominant unless m is close to .
3. Rate of Reversible Spin–Flip Processes
As discussed above, if a Majorana fermion were in a background electric current, the state with anapole moment aligned with the current has lower energy than the antialigned state. If DM were in thermal equilibrium with the rest of the Universe (i.e., before freeze out), one would expect the electric current to result in a slight polarization of the medium by virtue of the Boltzmann distribution. However, if a DM medium is initially unpolarized and then subjected to a current, there must be a sufficient rate of spin–flip interactions to assist in establishing polarization. In particular, the spin–flip rate must be much larger than the Universe’s expansion rate, . In the radiation-dominated era, we have
where represents the relativistic degrees of freedom at temperature T and is the Planck mass [50].
The anapole moment is spin-dependent, so interaction, via a single virtual photon, with a charged SM particle in the relativistic plasma can change a Majorana fermion’s spin orientation. This is the third interaction with the anapole moment that we are considering herein. We first focus upon the interaction between the Majorana fermion and one species of relativistic fermion with charge . We assume the background current is , and we average over the initial spin of the charged fermion and sum over its final spin states. Below, we compute the amplitude for the process: . To do so, we make several simplifying assumptions. In particular, we neglect the mass of the charged fermion because it is relativistic. Also, the Majorana fermion is non-relativistic which implies . Implementing these approximations, the leading order contribution to the squared amplitude for this process is
Integrating over the phase space for the final states, the total DM spin–flip cross section is
where is the fine structure constant.
The rate at which the charged SM fermion can flip the spin of Majorana fermion depends on the total interaction cross section as well as the flux of incident charged particles, . At temperature T, the fermion number density in the radiation-dominated early Universe is given by
where is the Riemann zeta function and represents the degrees of freedom for the particular species [50]. In the plasma, these fermions are incident upon the Majorana fermion from all directions with a thermal distribution of momenta, so we average over all possible in the distribution. The thermally averaged cross section becomes
With this averaged cross section, we now have the thermally averaged spin–flip rate, , due to interaction with a single species of fermion in the early Universe. At a given temperature, there are a host of different relativistic fermion species. We incorporate these through an incoherent sum of spin–flip rates induced by each individual relativistic species appropriately weighted by its charge, q.
For temperatures above 80 GeV, the W boson is relativistic, so it can appreciably contribute to the spin–flip rate of the Majorana fermion. As with the charged fermion, the interaction between the W boson and Majorana fermion involves the exchange of a virtual photon, . When computing the cross section for this process, we make several simplifying assumptions. As above, we keep only leading order terms for the fermion spin line, taking , and we assume the W boson to be highly relativistic with . For these relativistic bosons, the longitudinal polarization state will dominate with . Implementing these assumptions, the leading contribution to the squared amplitude is
where we define the three-vector . Integrating over the phase space of the final states, we find the total cross section to be
where is the polar angle of the initial boson’s momentum, . When relativistic, the boson number density in the radiation-dominated early Universe is given by [50]
Averaging over the thermal distribution of relativistic W bosons we find
For temperatures beyond , we add to the thermally averaged fermion spin–flip rate the contributions from the interactions with the W boson, .
We now consider the rate at which all relativistic particles can flip the spin of a non-relativistic Majorana fermion in the early Universe. In comparing the spin–flip rate to the Universe’s expansion rate, we find:
whenever only charged fermions are relativistic, . Beyond that temperature, we have:
accurate to within a factor of a few. Using the full expression for the spin–flip rate, we plot in Figure 1a the anapole moment at which the spin–flip rate equals the Hubble parameter as a function of temperature. For anapole moments above this curve, spin–flip interactions are sufficiently frequent to allow a collection of Majorana fermions to partially polarize in a background current via thermalization.
Figure 1.
(a) In the top panel, the curve plots the anapole moment at which the spin–flip rate of a non-relativistic Majorana fermion equals that of the Hubble parameter for a given temperature in the radiation-dominated era of the early Universe. (b) Setting with , the curve in the lower panel shows the energy scale at which the spin–flip rate of a non-relativistic Majorana fermion equals that of the Hubble parameter for a given temperature in the radiation-dominated era of the early Universe. Note: The curves in (a,b) are not smooth because we treat the relativistic degrees of freedom as a piecewise continuous function of the temperature. A more detailed calculation would have little impact on our results.
Because we treat the anapole moment as an effective interaction, , we can constrain the energy scale for UV completion. Setting , we plot in Figure 1b the energy for which the Majorana fermion’s spin–flip rate in the early Universe is equal to the Hubble expansion rate. From the figure, we may determine, for a given temperature, the upper limit on for which spin–flip interactions are sufficient to achieve Majorana fermion polarization. This energy scale can also be used to inform our knowledge of additional, higher-order, effective electromagnetic interactions with the Majorana fermion. In particular, it sets the scale for the DM’s polarizabilities.
Considering a fixed , then Figure 1b shows the lowest temperature at which the spin–flip and expansion rates are equal because (or for higher temperatures, ). In what follows, we would like this spin–flip rate to be sufficiently large for temperatures through freeze out, so that polarization can be achieved up until the point at which dark matter decouples from the background thermal bath. If we are to interpret the temperature in Figure 1b as the freeze-out temperature for a given dark matter candidate, then the constraints on will be more stringent. We estimate these more stringent constraints below.
The freeze-out temperature, , for a DM candidate is determined primarily by the thermally averaged annihilation cross section . The cross section can be expanded in a power series for velocity because DM is non-relativistic when it decouples from the thermal background. Here, we assume one velocity mode dominates the annihilation cross section and parameterize the cross section in terms of the background temperature by virtue of , viz., where . If s-wave annihilation dominates, then ; for p-wave, ; and so on.
To precisely determine freeze out and the relic DM density, one must solve the Boltzmann equation, as discussed below in Section 4. However, estimates, accurate to a few percent, do exist. In particular, the freeze-out temperature and relic number density (relative to the entropy density s) are given by:
where and [50,51].
For the models under consideration herein, we assume the p-wave contribution to the cross section dominates, so we set and use the cross section in Equation (1). Given a particular DM mass , we can determine what value of energy scale yields a given freeze-out temperature . Figure 2 contains these results for a range of DM masses from 1 GeV to 1 TeV. We superpose on this plot the curve from Figure 1b which shows the upper limit for at which the spin–flip rate is sufficient to achieve thermalization. Not surprisingly, for the models under consideration, the spin–flip rate is sufficiently large through the freeze-out temperature. Additionally, we consider the values of and that reproduce the relic DM mass density present today , where is the DM fraction of the energy budget and is the critical energy density [1]. If we assume our DM candidate is to reproduce the relic DM density, then the energy scale is sufficiently small so that the DM candidate interacts through freeze out to thermalize in a background current.
Figure 2.
For a given DM mass , the black curves show the value of that yields a given freeze-out temperature, . For the dotted curve, the mass is 1 GeV; for the dashed curve, the mass is 10 GeV; for the dot-dashed curve, the mass is 100 GeV; for the solid (black) curve, the mass is 1 TeV. The value of that reproduces the relic DM density for a given mass is denoted by ★. The solid gray curve represents the spin–flip constraints on for a given temperature, reproduced from Figure 1b.
4. DM Density in a Current
We must use the Boltzmann equation to precisely determine the evolution of the DM density from the time it becomes non-relativistic through freeze out. As above, we express as the DM number density relative to the entropy density, s. Given this, the first moment of the Boltzmann equation can be written as
The term tracks the equilibrium number density which we take as in the non-relativistic regime (), where again . In what follows, we would like to determine the impact of a locally polarized region of DM on the local relic DM density, but the the Boltzmann equation is derived under the assumptions of homogeneity and isometry. The presence of a local current clearly violates that, but because the inhomogeneities we introduce are so small, we will treat the current as a local perturbative term in the Boltzmann equation.
Though the p-wave annihilation cross section dominates, as shown in Equation (1), we must also consider the subdominant s-wave mode, Equation (2). For what follows, it will be useful to factor the cross section as
where and . For the DM interactions considered herein, we find from Equation (1) that . Then, from Equation (2), we compute . If the s-wave process is to be a subdominant correction through freeze out, then we must require . This constrains the parameter which was defined to be the mass ratio : . Substituting the factored annihilation cross section, Equation (18), into the Boltzmann equation, Equation (17), we have
where again .
Our analysis herein is based upon the s-wave annihilation mode being sub-dominant, and in fact, there are a variety of observational constraints on the annihilation of DM into two photons. In search of mono-energetic gamma rays from annihilating DM in the galactic halo, Fermi-LAT places the most stringent constraints on the annihilation into two photons; we use the most stringent constraints from the R3 region of interest in Ref. [52]. Additionally, precise measurements of the cosmic microwave background (CMB) anisotropies from the Planck satellite [53] severely constrain the energy injection from DM annihilation at the time of recombination. An analysis of the CMB has resulted in stringent constraints on the s-wave DM annihilation cross section considered herein [54]. Finally, an absorption feature has been observed in the 21 cm spectrum at high redshift; this constrains DM s-wave annihilation because energy injection from annihilation would wash out the feature [55]. Though the Fermi-LAT data provide the most stringent constraints on the s-wave annihilation channel up to 500 GeV, we include the constraints derived from the CMB data and the 21 cm line out of a sense of completeness.
We use these constraints on the s-wave cross section to place lower bounds on the parameter in Equation (2). To do so, we assume that, for a given DM mass , the energy-scale is set by reproducing the DM relic density through p-wave annihilation only, fixing all parameters in the s-wave cross section except . Then the limits on two-photon annihilation from Fermi-LAT, the CMB, and 21 cm data bound as shown in Figure 3. We emphasize here, again, that the p-wave mode is the primary annihilation channel, and the s-wave mode contributes in a subdominant manner. For instance, we can see in Ref. [54] and elsewhere that DM candidates which annihilate primarily through the s-wave channel have been excluded for masses below 20 GeV; however, this particular bound is does not exclude the DM candidates under consideration herein because such low mass candidates in our work would annihilate primarily through the p-wave mode with the s-wave mode suppressed sufficiently to avoid the constraints from Refs. [52,54,55].
Figure 3.
Bounds on derived from observational limits on the s-wave DM annihilation mode. The solid (black) curve uses data from Ref. [52]; the dashed (red) curve uses data from Ref. [55]; and the dotted (blue) curve uses data from Ref. [54]. The maximum DM mass considered in Ref. [52] is 500 GeV, and their limits on the annihilation cross section into two photons show an anomalous dip around 1 GeV. Note: These curves are generated using the value of calculated in Figure 1 which employed the piecewise continuous approximation of .
In the presence of a local current density, we need to modify the s-wave contribution to the cross section because it requires a spin-zero initial state and a current can partially polarize the DM medium before freeze out. In particular, suppose a current J exists in a region. In thermal equilibrium, the number density of DM particles with spins aligned with the current, , will exceed those antialigned, , by an amount where is the energy difference between the aligned and antialigned states. The fractional relative difference in the two spin states is . Then, in the Boltzmann equation, Equation (19), the s-wave annihilation in the presence of a current is suppressed by a factor of
where . With no current, vanishes, and the equation reverts back to Equation (19). If the DM were fully polarized, then would approach unity which would completely shut down the s-wave annihilation channel.
Before exploring the impact of a current in detail, it is worth considering these two extreme possibilities; that is, we will compare the impact of the fully polarized medium () to the unpolarized scenario (). We will do this, first, using the estimates of and from Equations (15) and (16) extended to include both s- and p-wave annihilation [50]
If the p-wave process dominates freeze out, then , and continuing with our previous approximation , the s-wave channel modifies the freeze-out temperature by . Upon including the s-wave annihilation mode, the relic DM density should decrease by . It is most useful to cast these changes in terms of the fractional change in the relic density. Full polarization of the DM medium () relative to the no-current scenario () results in the approximate relic DM density fractional change
Using some exemplar parameters, we would like to numerically integrate the Boltzmann equation, Equation (20), to confirm the accuracy of the estimates in Equations (21)–(23). Because Equation (20) is an extremely stiff differential equation, it is easier to set and instead integrate the equation [56]
For parameters, we set GeV. Annihilation dominated by the p-wave process reproduces the observed DM relic density for GeV with a freeze-out temperature around . If we use the most stringent constraints on derived from the Fermi LAT data [52], then . From the estimate in Equation (23), we expect a fractional increase in the relic DM density of 0.4% for a fully polarized DM medium. Numerical calculations produce the same order of magnitude change. Computing for both scenarios, we find that the p-wave only (full polarization) relic density is a factor of 0.1% larger than when both p- and s-wave annihilations (no current scenario) are considered. (We note that the estimate of from Equation (22) relative to the numerical computation of differs by 3.5%; however, the relative fractional change in the estimates using Equations (16) and (22) for the p-wave only and p- and s-wave computations for yield the correct order of magnitude result.)
We now discuss the impact of a local current upon the local relic DM density. In order to do so, we must supply some details about the form of the current. Turning to the literature, we find extensive discussions of the electromagnetism of the early Universe that focus to a large degree upon the production of primordial magnetic fields. Present day, intergalactic magnetic fields and galactic magnetic fields with long coherence lengths suggest an origin before recombination; reviews of this work can be found in Refs. [57,58]. These primordial magnetic fields could be produced by electric currents in the early Universe during inflation [59]. Alternatively, after reheating, the magnetic fields could be produced by electric currents created during phase transitions in the early Universe for both the electroweak phase transition at GeV [60,61] and the QCD phase transition around MeV [60,62,63,64]. Aside from the currents that produce these magnetic fields, their existence could also produce electric currents in the plasma before recombination [65], and beyond this standard electromagnet source of fields, electric fields can be produced by even more exotic mechanisms, like axion oscillations in the primordial magnetic fields [66].
It is beyond the scope of this work to focus in on one specific source of electric current in the early Universe, but from the framework provide herein, the particulars of a phase transition model or more sophisticated magnetohydrodynamic calculations can be brought to bear upon our work. For the purposes of determining the impact of a current on the DM density, we adopt a simple model of electrical currents in the early Universe as an exemplar; that is, we treat them classically assuming that they can be represented as the . In the case of phase transitions, represents the charge density that builds up on bubble walls during a phase transition and v their velocity [60]. In the case of a current driven by an electric field, it is the net drift of relativistic charged particles in the plasma that comprise the current. The charge density, , is then the product of the particles’ charge and its number density, Equations (7) and (11); the velocity v is the drift velocity. In the presence of an electric field , the drift velocity is where m is the particle’s mass (or energy, if relativistic) and is the time between collision with other particles in the plasma [57]. This expression leads to the Ohm’s law, with conductivity . To be definite, in what follows, we will consider a classical current created via an electric field in the plasma; one could similarly adapt the calculations to deal with the currents that arise during phase transitions.
Focusing upon a single species of charge carrier, we determine its contribution to the conductivity. Given the drift speed of a charged particle moving under the influence of an electric field, the current density is , where n is the number density of the charge carrier (Equation (7) for fermions and Equation (11) for bosons), which results in . The total conductivity of the early Universe is due to a sum over all relativistic charged species. Because only the relativistic charged species contribute appreciably to the conductivity, conductivity decreases with temperature, as particles no longer contribute once . An initial estimate of the conductivity in the radiation dominated (RD) Universe is [59]. This can be refined by including Debye and dynamical screening effects [67], so that over a large range of temperatures in the RD era the conductivity is well approximated as [68]
It is interesting that the conductivity does not rise more sharply with T beyond the hadronization temperature (∼150 MeV) when quarks could make a marked contribution to a current. This is due to the fact that the strong force limits the quark drift velocity [69], and quarks also provide additional scattering centers inhibiting the charged leptonic drift velocity [68].
In order to understand the degree to which an electric current can impact the DM density, we posit that a local classical electric current given by , using the conductivity in Equation (25). We suppose that the electric field that produces the current persists from from some (with ) through freeze out, , though we allow for the field to redshift due to the Universe’s expansion, . With these assumptions, the current scales like , and overall, the perturbing term in Equation (20) scales with x as .
Before we integrate Equation (20) with the classical current, we will develop some approximations that allow us to estimate the relative change in the local relic density. Following the arguments in Ref. [50] that yield Equations (21) and (22), we can achieve order of magnitude estimates on the freeze-out temperature and DM relic density in the presence of a current (signified by parameter ) relative to the no-current scenario (). We find:
where is evaluated at . The fractional change in the local relic density in the presence of the assumed classical current is
We would like to compare this crude estimate with a more robust solution of Equation (20). The current introduces a small perturbation in the DM density , and it is sufficient to linearize Equation (20) with respect , neglecting small quantities
where is the no-current DM density. This first order non-homogenous ordinary differential equation can be solved with an integrating factor. Defining the functions
then the solution to Equation (29) is:
where
Examining Equation (32), we see that the approximation for is explicitly linear in the initial electric field, , that establishes the current and manifestly positive because is positive.
To perform the integral in Equation (32), we first consider the factor
For the parameters under consideration is extremely large, ranging from ∼ around to ∼ around for the DM mass of 100 GeV (and associated parameters considered above). Because is so large, the factor vanishes, for all practical purposes, except at , where . Because of this feature, only the value is of any consequence in the integrand in Equation (32)
The remaining integral in Equation (35) can be accurately estimated by a Taylor expansion of the argument of the exponential in Equation (34) about
We can then estimate the integral
This yields an estimate for of
We first consider the impact of a long-lived current on the DM density. That is, we take ; in this limit, Equation (38) becomes
Using the definitions of p and q in Equations (30) and (31), we find at freeze out
where is evaluated at . For small b, we can approximate this as
In Equation (41), if we further neglect relative to at freeze out, then we recover our crude estimate from Equation (28): . Executing the calculation for in Equation (41) for DM mass GeV (and associated parameters considered above), we find that the result is about times the crude estimate, .
In addition to determining the effect of a long-lived current, we also would like to consider the impact of a short-lived electric current. The minimum time that a current can possibly impact the DM is set by the thermalization rate, . We now consider from Equation (38) in the limit in which the onset of the current occurs at a time before freeze out. That is, the onset of the current occurs at temperature , where is the time at freeze out. In the RD era, time depends on the square of the inverse square of the temperature: [50]. Given this, the temperature of interest before freeze out is , where and H are evaluated at . Then, we find .
Given this, we return to Equation (38) to estimate the impact on such a short-lived electric on the DM density as . Using the spin-rate due to fermions, Equation (13), this short lived current results in a density change of
Dividing by , we obtain the relative change in the dark matter density for this short-duration current
With Equations (41) and (43), we are now able to determine how long- and short-lived local electric currents can impact the local DM density through freeze out. As noted previously, we model the current classically, produced by an electric field, that redshifts ∼, from through freeze out. To be definite, we set the initial electric field to , the threshold value for pair producing electrons in vacuum [70]. While the existence of an electric current in the plasma violates our assumption of thermal equilibrium, the magnitude of this electric field only represents a small, perturbative deviation from equilibrium because the plasma temperature is ∼GeV and higher. Though we assume a specific value for , one can easily scale our results to accommodate any initial field magnitude because is manifestly linear in the electric field. With this assumption, we present our results in Figure 4 for a long-lived current. For a given DM mass, we determine the mass scale by fixing the relic DM density to the observed value, assuming p-wave annihilations determine this because it is the dominant annihilation mode. Then, we set the mass ratio to satisfy the constraints on subdominant s-wave annihilation derived from Fermi-LAT data [52], CMB data from the Planck satellite [53,54], and observations of the 21 cm line [55].
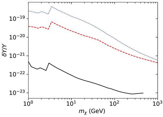
Figure 4.
The local relative change in DM density at freeze out due to the presence of a long-lived classical current created by an electric field with . For a given , the parameters are chosen to reproduce the observed relic DM density and satisfy constraints on s-wave annihilation derived from Fermi-LAT data (the solid (black) curve) [52], 21 cm spectral data (the dashed (red) curve) [55], and CMB data (the dotted (blue) curve) [54].
We can qualitatively understand some of the features of Figure 4 by examining the parameter dependence of the crude estimate of from Equation (28). Aside from a factor of constants and , the behavior of scales as . For a fixed initial electric field , the perturbation in DM relic density is primarily due to and . With the near monotonic decrease in with DM mass, , shown in Figure 3, the perturbation in relic density should increase with DM mass, but this increase is mitigated by the increase in with DM mass, as .
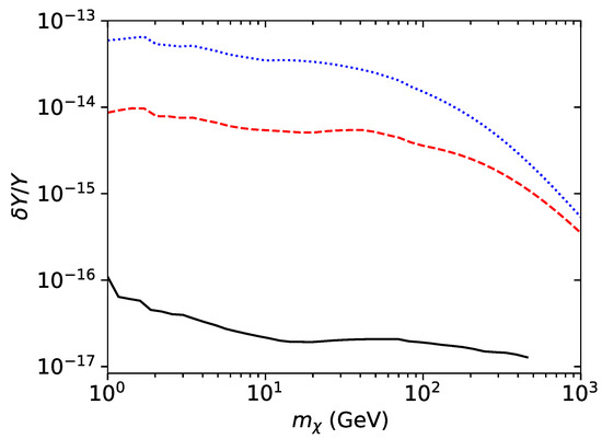
In Figure 5, we plot the relative change in the DM density due to a short-lived current. Again, we set the initial electric field to be , and we suppose the current begins at a time before freeze out. As above, the parameter is set by the relic density constraints assuming p-wave annihilation, and the parameter satisfies the various observation constraints [52,54,55]. For these short-lived currents, we find the impact on the relic DM density is suppressed by a factor of relative to the long-lived currents in part because Equation (43) involves a factor of relative to Equation (41).
Figure 5.
The local relative change in DM density at freeze out due to the presence of a short-lived classical current created by an electric field . The current begins at a time before freeze out. For a given , the parameters are chosen to reproduce the observed relic DM density and satisfy constraints on s-wave annihilation derived from Fermi-LAT data (the solid (black) curve) [52], 21 cm spectral data (the dashed (red) curve) [55], and CMB data (the dotted (blue) curve) [54].
5. Discussion and Conclusions
Herein, we considered the impact that a local current might have on the evolution of the DM density around DM freeze out. The anapole moment of a Majorana fermion DM candidate tends to align with external currents provided there are sufficient spin–flip interactions to thermalize the DM. We find for the model parameters under consideration DM can thermalize, so that the DM states, described by a Boltzmann distribution, can lead to a partially polarized DM medium. This partial polarization is of consequence for the available DM annihilation channels.
Rather generically, a Majorana fermion DM candidate can interact with real photons through higher order processes. In particular, DM can annihilate into two real photons in an s-wave process by virtue of its spin-dependent polarizabilities. In a partially polarized DM medium, this s-wave annihilation channel is somewhat suppressed because it requires the initial DM states to have opposite spins. As a consequence, the overall DM annihilation rate is smaller than it would be if no current were present, and as the Universe cools and expands, the lower annihilation rate will result in a slightly higher relic DM density than in a no-current region.
Returning to a model of anapole DM cited earlier, Refs. [36,37], the authors do not consider additional annihilation modes beyond the p-wave process, but the model could be extended, as in Refs. [43,44] to include higher order interactions leading to s-wave annihilation processes. Our focus in this paper has been primarily upon how electric currents can impact DM in the early Universe, and the only constraints that we have applied to the models have come from the relic DM density and limits on s-wave annihilations. However, additional constraints on models do exist. For example, from Ref. [37] we find that the non-production of DM in the LHC [71] restricts the candidate mass for anapole DM model to be greater than 100 GeV, so the lower mass DM candidates discussed in our manuscript are excluded by collider results as well.
The impact of local currents on the DM density are small. For the long-lived currents, the fractional change in the DM density is on the order of for DM masses from 1 to 500 GeV, using the most stringent constraints on s-wave annihilation derived from Ref. [52]. For the more realistic short-lived currents, the fractional change in DM density is exceedingly small, ∼, for the same DM mass range, again using the most stringent constraints on the parameter . At this early stage in the Universe, we would expect a tiny effect. As a point of reference, the temperature variations in the CMB blackbody spectrum are on the order of one part in one-hundred thousand at recombination, long after the end of the radiation-dominated era. Despite the small inhomogeneities in DM that electric currents can bring on, they are essentially frozen in and can only grow with time through later gravitational collapse.
Author Contributions
Conceptualization, D.C.L.; methodology, L.K. and D.C.L.; formal analysis, L.K. and D.C.L.; writing—original draft preparation, D.C.L.; writing—review and editing, L.K. and D.C.L. All authors have read and agreed to the published version of the manuscript.
Funding
This research was supported in part by the National Science Foundation under Grant No. NSF PHY-1748958.
Data Availability Statement
No new data were created or analyzed in this study. Data sharing is not applicable to this article.
Acknowledgments
DCL thanks the Kavli Institute for Theoretical Physics for its hospitality during the completion of this work. This research was supported in part by the National Science Foundation under Grant No. NSF PHY-1748958.
Conflicts of Interest
The authors declare no conflicts of interest. The funders had no role in the design of the study; in the collection, analyses, or interpretation of data; in the writing of the manuscript; or in the decision to publish the results.
Abbreviations
The following abbreviations are used in this manuscript:
| CMB | Cosmic microwave background |
| DM | Dark matter |
| EFT | Effective field theory |
| GeV | Gigaelectronvolt |
| LHC | Large Hadron Collider |
| MeV | Megaelectronvolt |
| QCD | Quantum chromodynamics |
| RD | Radiation dominated |
| SM | Standard model |
| TeV | Teraelectronvolt |
| UV | Ultraviolet |
| WIMP | Weakly interactive massive particle |
References
- Workman, R.L. et al. [Particle Data Group] Review of Particle Physics. Prog. Theor. Exp. Phys. 2022, 2022, 083C01. [Google Scholar]
- Bertone, G.; Hooper, D. History of dark matter. Rev. Mod. Phys. 2018, 90, 045002. [Google Scholar] [CrossRef]
- Jungman, G.; Kamionkowski, M.; Griest, K. Supersymmetric dark matter. Phys. Rep. 1996, 267, 195–373. [Google Scholar] [CrossRef]
- Feng, J.L.; Kumar, J. Dark-Matter Particles without Weak-Scale Masses or Weak Interactions. Phys. Rev. Lett. 2008, 101, 231301. [Google Scholar] [CrossRef] [PubMed]
- Akerib, D.S.; Alsum, S.; Araújo, H.M.; Bai, X.; Bailey, A.J.; Balajthy, J.; Beltrame, P.; Bernard, E.P.; Bernstein, A.; Biesiadzinski, T.P.; et al. Limits on Spin-Dependent WIMP-Nucleon Cross Section Obtained from the Complete LUX Exposure. Phys. Rev. Lett. 2017, 118, 251302. [Google Scholar] [CrossRef] [PubMed]
- Aprile, E.; Aalbers, J.; Agostini, F.; Alfonsi, M.; Althueser, L.; Amaro, F.D.; Anthony, M.; Arneodo, F.; Baudis, L.; Bauermeister, B.; et al. Dark Matter Search Results from a One Ton-Year Exposure of XENON1T. Phys. Rev. Lett. 2018, 121, 111302. [Google Scholar] [CrossRef] [PubMed]
- Meng, Y.; Wang, Z.; Tao, Y.; Abdukerim, A.; Bo, Z.; Chen, W.; Chen, X.; Chen, Y.; Cheng, C.; Cheng, Y.; et al. Dark Matter Search Results from the PandaX-4T Commissioning Run. Phys. Rev. Lett. 2021, 127, 261802. [Google Scholar] [CrossRef] [PubMed]
- Peskin, M.E. Supersymmetric dark matter in the harsh light of the Large Hadron Collider. Proc. Natl. Acad. Sci. USA 2015, 112, 12256–12263. [Google Scholar] [CrossRef] [PubMed]
- Albert, A.; Anderson, B.; Bechtol, K.; Drlica-Wagner, A.; Meyer, M.; Sánchez-Conde, M.; Strigari, L.; Wood, M.; Abbott, T.M.C.; Abdalla, F.B.; et al. Searching for Dark Matter Annihilation in Recently Discovered Milky Way Satellites with FERMI-LAT. Astrophys. J. 2017, 834, 110. [Google Scholar] [CrossRef]
- Hooper, D.; Goodenough, L. Dark matter annihilation in the Galactic Center as seen by the Fermi Gamma Ray Space Telescope. Phys. Lett. B 2011, 697, 412–428. [Google Scholar] [CrossRef]
- Aguilar, M.; Ali Cavasonza, L.; Alpat, B.; Ambrosi, G.; Arruda, L.; Attig, N.; Aupetit, S.; Azzarello, P.; Bachlechner, A.; Barao, F.; et al. Antiproton Flux, Antiproton-to-Proton Flux Ratio, and Properties of Elementary Particle Fluxes in Primary Cosmic Rays Measured with the Alpha Magnetic Spectrometer on the International Space Station. Phys. Rev. Lett. 2016, 117, 091103. [Google Scholar] [CrossRef] [PubMed]
- Cuoco, A.; Krämer, M.; Korsmeier, M. Novel Dark Matter Constraints from Antiprotons in Light of AMS-02. Phys. Rev. Lett. 2017, 118, 191102. [Google Scholar] [CrossRef]
- Marsh, D.J. Axion Cosmology. Phys. Rep. 2016, 643, 1–79. [Google Scholar] [CrossRef]
- Roszkowski, L.; Sessolo, E.M.; Trojanowski, S. WIMP dark matter candidates and searches—Current status and future prospects. Rept. Prog. Phys. 2018, 81, 066201. [Google Scholar] [CrossRef] [PubMed]
- Arcadi, G.; Dutra, M.; Ghosh, P.; Lindner, M.; Mambrini, Y.; Pierre, M.; Profumo, S.; Queiroz, F.S. The waning of the WIMP? A review of models, searches, and constraints. Eur. Phys. J. C 2018, 78, 203. [Google Scholar] [CrossRef] [PubMed]
- Blanco, C.; Escudero, M.; Hooper, D.; Witte, S.J. Z′ mediated WIMPs: Dead, dying, or soon to be detected? J. Cosmol. Astropart. Phys. 2019, 2019, 024. [Google Scholar] [CrossRef]
- De Simone, A.; Jacques, T. Simplified Models vs. Effective Field Theory Approaches in Dark Matter Searches. Eur. Phys. J. C 2016, 76, 367. [Google Scholar] [CrossRef]
- Raby, S.; West, G.B. Experimental consequences and constraints for magninos. Phys. Lett. B 1987, 194, 557–562. [Google Scholar] [CrossRef]
- Raby, S.; West, G. Detection of galactic halo magninos via their coherent interaction with heavy nuclei. Phys. Lett. B 1988, 200, 547–552. [Google Scholar] [CrossRef]
- Pospelov, M.; ter Veldhuis, T. Direct and indirect limits on the electromagnetic form-factors of WIMPs. Phys. Lett. 2000, B480, 181–186. [Google Scholar] [CrossRef]
- Sigurdson, K.; Doran, M.; Kurylov, A.; Caldwell, R.R.; Kamionkowski, M. Dark-matter electric and magnetic dipole moments. Phys. Rev. D 2004, 70, 083501, Erratum in Phys. Rev. D 2006, 73, 089903. [Google Scholar] [CrossRef]
- Massó, E.; Mohanty, S.; Rao, S. Dipolar dark matter. Phys. Rev. D 2009, 80, 036009. [Google Scholar] [CrossRef]
- Heo, J.H. Minimal Dirac fermionic dark matter with nonzero magnetic dipole moment. Phys. Lett. B 2010, 693, 255–258. [Google Scholar] [CrossRef][Green Version]
- Fitzpatrick, A.L.; Zurek, K.M. Dark moments and the DAMA-CoGeNT puzzle. Phys. Rev. D 2010, 82, 075004. [Google Scholar] [CrossRef]
- Barger, V.; Keung, W.Y.; Marfatia, D. Electromagnetic properties of dark matter: Dipole moments and charge form factor. Phys. Lett. B 2011, 696, 74–78. [Google Scholar] [CrossRef]
- Barger, V.; Keung, W.Y.; Marfatia, D.; Tseng, P.Y. Dipole moment dark matter at the LHC. Phys. Lett. B 2012, 717, 219–223. [Google Scholar] [CrossRef][Green Version]
- Fortin, J.F.m.c.; Tait, T.M.P. Collider constraints on dipole-interacting dark matter. Phys. Rev. D 2012, 85, 063506. [Google Scholar] [CrossRef]
- Weiner, N.; Yavin, I. UV completions of magnetic inelastic and Rayleigh dark matter for the Fermi Line(s). Phys. Rev. D 2013, 87, 023523. [Google Scholar] [CrossRef]
- Del Nobile, E.; Gelmini, G.B.; Gondolo, P.; Huh, J.H. Direct detection of Light Anapole and Magnetic Dipole DM. J. Cosmol. Astropart. Phys. 2014, 1406, 002. [Google Scholar] [CrossRef]
- Kopp, J.; Michaels, L.; Smirnov, J. Loopy Constraints on Leptophilic Dark Matter and Internal Bremsstrahlung. J. Cosmol. Astropart. Phys. 2014, 04, 022. [Google Scholar] [CrossRef]
- Gresham, M.I.; Zurek, K.M. Light dark matter anomalies after LUX. Phys. Rev. D 2014, 89, 016017. [Google Scholar] [CrossRef]
- Matsumoto, S.; Mukhopadhyay, S.; Tsai, Y.L.S. Singlet Majorana fermion dark matter: A comprehensive analysis in effective field theory. J. High Energy Phys. 2014, 10, 155. [Google Scholar] [CrossRef]
- Antipin, O.; Redi, M.; Strumia, A.; Vigiani, E. Accidental Composite Dark Matter. J. High Energy Phys. 2015, 07, 039. [Google Scholar] [CrossRef]
- Kayser, B. CPT, CP, and c Phases and their Effects in Majorana Particle Processes. Phys. Rev. D 1984, 30, 1023. [Google Scholar] [CrossRef]
- Nieves, J.F. Electromagnetic Properties of Majorana Neutrinos. Phys. Rev. D 1982, 26, 3152. [Google Scholar] [CrossRef]
- Ho, C.M.; Scherrer, R.J. Anapole dark matter. Phys. Lett. B 2013, 722, 341–346. [Google Scholar] [CrossRef]
- Gao, Y.; Ho, C.M.; Scherrer, R.J. Anapole dark matter at the LHC. Phys. Rev. D 2014, 89, 045006. [Google Scholar] [CrossRef]
- Sandick, P.; Sinha, K.; Teng, F. Simplified Dark Matter Models with Charged Mediators: Prospects for Direct Detection. J. High Energy Phys. 2016, 10, 018. [Google Scholar] [CrossRef]
- Gelmini, G.B. Light weakly interacting massive particles. Rep. Prog. Phys. 2017, 80, 082201. [Google Scholar] [CrossRef] [PubMed]
- Alves, A.; Santos, A.C.O.; Sinha, K. Collider Detection of Dark Matter Electromagnetic Anapole Moments. Phys. Rev. D 2018, 97, 055023. [Google Scholar] [CrossRef]
- Ragusa, S. Third order spin polarizabilities of the nucleon. Phys. Rev. D 1993, 47, 3757–3767. [Google Scholar] [CrossRef] [PubMed]
- Gorchtein, M. CP-violation in Compton scattering. Phys. Rev. 2008, C77, 065501. [Google Scholar] [CrossRef]
- Latimer, D.C. Two-photon interactions with Majorana fermions. Phys. Rev. 2016, D94, 093010. [Google Scholar] [CrossRef]
- Latimer, D.C. Anapole dark matter annihilation into photons. Phys. Rev. D 2017, 95, 095023. [Google Scholar] [CrossRef]
- Walter, K.; Hall, K.; Latimer, D.C. Aligning a Majorana fermion’s anapole moment with an external current through photon emission mediated by the fermion’s generalized polarizabilities. Phys. Rev. D 2022, 106, 096021. [Google Scholar] [CrossRef]
- Zel’dovich, I.B. Electromagnetic interaction with parity violation. Sov. Phys. JETP 1957, 6, 1184. [Google Scholar]
- Giunti, C.; Studenikin, A. Neutrino electromagnetic interactions: A window to new physics. Rev. Mod. Phys. 2015, 87, 531–591. [Google Scholar] [CrossRef]
- Cabral-Rosetti, L.G.; Mondragón, M.; Reyes-Pérez, E. Anapole moment of the lightest neutralino in the cMSSM. Nucl. Phys. B 2016, 907, 1–17. [Google Scholar] [CrossRef]
- Prange, R.E. Dispersion Relations for Compton Scattering. Phys. Rev. 1958, 110, 240–252. [Google Scholar] [CrossRef]
- Kolb, E.; Turner, M. The Early Universe; Addison-Wesley: Redwood City, CA, USA, 1990. [Google Scholar]
- Scherrer, R.J.; Turner, M.S. On the Relic, Cosmic Abundance of Stable Weakly Interacting Massive Particles. Phys. Rev. 1986, D33, 1585, Erratum in Phys. Rev. D 1986, 34, 3263. [Google Scholar]
- Ackermann, M.; Ajello, M.; Albert, A.; Anderson, B.; Atwood, W.B.; Baldini, L.; Barbiellini, G.; Bastieri, D.; Bellazzini, R.; Bissaldi, E.; et al. Updated search for spectral lines from Galactic dark matter interactions with pass 8 data from the Fermi Large Area Telescope. Phys. Rev. D 2015, 91, 122002. [Google Scholar] [CrossRef]
- Ade, P.A.; Aghanim, N.; Arnaud, M.; Ashdown, M.; Aumont, J.; Baccigalupi, C.; Bandy, A.J.; Barreiro, R.B.; Bartlett, J.G.; Bartolo, N.; et al. Planck 2015 results. XIII. Cosmological parameters. Astron. Astrophys. 2016, 594, A13. [Google Scholar]
- Slatyer, T.R. Indirect dark matter signatures in the cosmic dark ages. I. Generalizing the bound on s-wave dark matter annihilation from Planck results. Phys. Rev. D 2016, 93, 023527. [Google Scholar] [CrossRef]
- D’Amico, G.; Panci, P.; Strumia, A. Bounds on Dark-Matter Annihilations from 21-cm Data. Phys. Rev. Lett. 2018, 121, 011103. [Google Scholar] [CrossRef] [PubMed]
- Steigman, G.; Dasgupta, B.; Beacom, J.F. Precise relic WIMP abundance and its impact on searches for dark matter annihilation. Phys. Rev. D 2012, 86, 023506. [Google Scholar] [CrossRef]
- Grasso, D.; Rubinstein, H.R. Magnetic fields in the early Universe. Phys. Rept. 2001, 348, 163–266. [Google Scholar] [CrossRef]
- Subramanian, K. The origin, evolution and signatures of primordial magnetic fields. Rep. Prog. Phys. 2016, 79, 076901. [Google Scholar] [CrossRef]
- Turner, M.S.; Widrow, L.M. Inflation-produced, large-scale magnetic fields. Phys. Rev. D 1988, 37, 2743–2754. [Google Scholar] [CrossRef]
- Sigl, G.; Olinto, A.V.; Jedamzik, K. Primordial magnetic fields from cosmological first order phase transitions. Phys. Rev. D 1997, 55, 4582–4590. [Google Scholar] [CrossRef]
- Baym, G.; Bödeker, D.; McLerran, L. Magnetic fields produced by phase transition bubbles in the electroweak phase transition. Phys. Rev. D 1996, 53, 662–667. [Google Scholar] [CrossRef] [PubMed]
- Quashnock, J.M.; Loeb, A.; Spergel, D.N. Magnetic Field Generation during the Cosmological QCD Phase Transition. Astrophys. J. Lett. 1989, 344, L49. [Google Scholar] [CrossRef]
- Cheng, B.; Olinto, A.V. Primordial magnetic fields generated in the quark-hadron transition. Phys. Rev. D 1994, 50, 2421–2424. [Google Scholar] [CrossRef]
- de Souza, R.S.; Opher, R. Origin of primordial magnetic fields. Phys. Rev. D 2008, 77, 043529. [Google Scholar] [CrossRef]
- Alfvén, H. Existence of Electromagnetic-Hydrodynamic Waves. Nature 1942, 150, 405–406. [Google Scholar] [CrossRef]
- Ahonen, J.; Enqvist, K.; Raffelt, G. The paradox of axions surviving primordial magnetic fiels. Phys. Lett. B 1996, 366, 224–228. [Google Scholar] [CrossRef]
- Hosoya, A.; Kajantie, K. Transport Coefficients of QCD Matter. Nucl. Phys. B 1985, 250, 666–688. [Google Scholar] [CrossRef]
- Baym, G.; Heiselberg, H. The Electrical conductivity in the early universe. Phys. Rev. D 1997, 56, 5254–5259. [Google Scholar] [CrossRef]
- Ahonen, J.; Enqvist, K. Electrical conductivity in the early universe. Phys. Lett. B 1996, 382, 40–44. [Google Scholar] [CrossRef]
- Schwinger, J. On Gauge Invariance and Vacuum Polarization. Phys. Rev. 1951, 82, 664–679. [Google Scholar] [CrossRef]
- Khachatryan, V. et al. [CMS Collaboration] Search for dark matter, extra dimensions, and unparticles in monojet events in proton-proton collisions at = 8 TeV. Eur. Phys. J. C 2015, 75, 235. [Google Scholar] [CrossRef] [PubMed]
Disclaimer/Publisher’s Note: The statements, opinions and data contained in all publications are solely those of the individual author(s) and contributor(s) and not of MDPI and/or the editor(s). MDPI and/or the editor(s) disclaim responsibility for any injury to people or property resulting from any ideas, methods, instructions or products referred to in the content. |
© 2025 by the authors. Licensee MDPI, Basel, Switzerland. This article is an open access article distributed under the terms and conditions of the Creative Commons Attribution (CC BY) license (https://creativecommons.org/licenses/by/4.0/).




