Gravitational Waves from Black Hole Emission
Abstract
1. Introduction
2. Numerical Setup
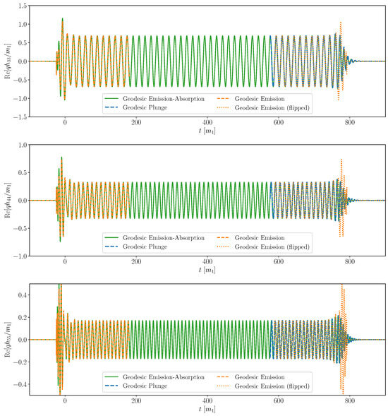
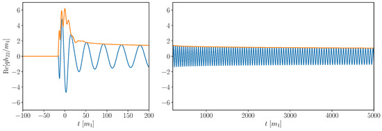
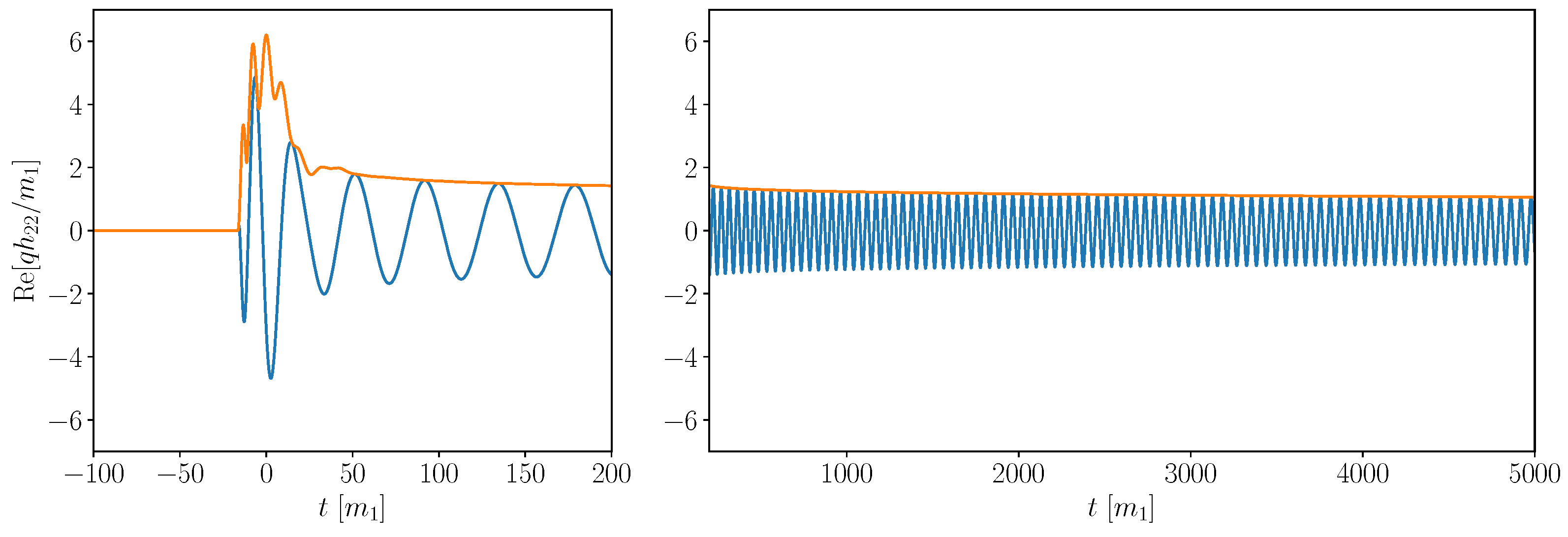
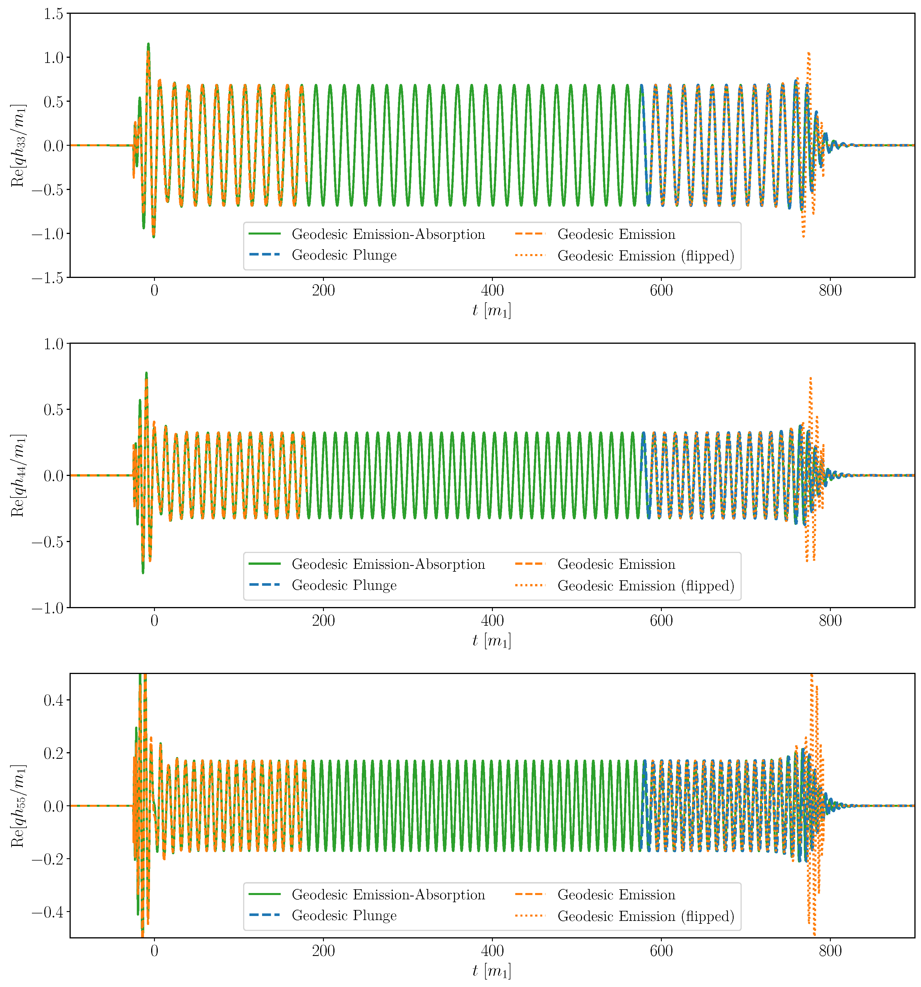
3. Results
4. Implications
4.1. Radiation-Reaction Driven Orbits
4.2. Waveform Model
4.3. Detection
5. Concluding Remarks
Author Contributions
Funding
Data Availability Statement
Acknowledgments
Conflicts of Interest
| 1 | By “adiabatic” we mean that we work within the approximation that the radiated energy is sufficiently small that the system energy remains constant and orbits are quasi-circular. |
| 2 | Fully nonlinear numerical simulations of black hole binaries have long confronted the problem of spurious gravitational radiation [44]. |
References
- Will, C.M. The Confrontation between General Relativity and Experiment. Living Rev. Rel. 2014, 17, 4. [Google Scholar] [CrossRef]
- Abbott, B.P.; Abbott, R.; Abbott, T.D.; Abraham, S.; Acernese, F.; Ackley, K.; Adams, C.; Adhikari, R.X.; Adya, V.B.; Affeldt, C.; et al. Tests of General Relativity with the Binary Black Hole Signals from the LIGO-Virgo Catalog GWTC-1. Phys. Rev. D 2019, 100, 104036. [Google Scholar] [CrossRef]
- Abbott, R.; KAGRA Collaboration; LIGO Scientific Collaboration and Virgo Collaboration. Tests of general relativity with binary black holes from the second LIGO-Virgo gravitational-wave transient catalog. Phys. Rev. D 2021, 103, 122002. [Google Scholar] [CrossRef]
- Abbott, R.; Abe, H.; Acernese, F.; Ackley, K.; Adhikari, N.; Adhikari, R.X.; Adkins, V.K.; Adya, V.B.; Affeldt, C.; Agarwal, D.; et al. Tests of General Relativity with GWTC-3. arXiv 2021, arXiv:2112.06861. [Google Scholar]
- Canizares, P.; Gair, J.R.; Sopuerta, C.F. Testing Chern–Simons Modified Gravity with Gravitational-Wave Detections of Extreme-Mass-Ratio Binaries. Phys. Rev. D 2012, 86, 044010. [Google Scholar] [CrossRef]
- Yunes, N.; O’Shaughnessy, R.; Owen, B.J.; Alexander, S. Testing gravitational parity violation with coincident gravitational waves and short gamma-ray bursts. Phys. Rev. D 2010, 82, 064017. [Google Scholar] [CrossRef]
- Perkins, S.E.; Nair, R.; Silva, H.O.; Yunes, N. Improved gravitational-wave constraints on higher-order curvature theories of gravity. Phys. Rev. D 2021, 104, 024060. [Google Scholar] [CrossRef]
- Carson, Z.; Yagi, K. Probing Einstein-dilaton Gauss–Bonnet Gravity with the inspiral and ringdown of gravitational waves. Phys. Rev. D 2020, 101, 104030. [Google Scholar] [CrossRef]
- Liu, Y.; Qian, W.L.; Gong, Y.; Wang, B. Gravitational Waves in Scalar-Tensor-Vector Gravity Theory. Universe 2021, 7, 9. [Google Scholar] [CrossRef]
- Bezares, M.; Bošković, M.; Liebling, S.; Palenzuela, C.; Pani, P.; Barausse, E. Gravitational waves and kicks from the merger of unequal mass, highly compact boson stars. Phys. Rev. D 2022, 105, 064067. [Google Scholar] [CrossRef]
- Bezares, M.; Palenzuela, C. Gravitational Waves from Dark Boson Star binary mergers. Class. Quant. Grav. 2018, 35, 234002. [Google Scholar] [CrossRef]
- Palenzuela, C.; Pani, P.; Bezares, M.; Cardoso, V.; Lehner, L.; Liebling, S. Gravitational Wave Signatures of Highly Compact Boson Star Binaries. Phys. Rev. D 2017, 96, 104058. [Google Scholar] [CrossRef]
- Ahmed, S.; Kavic, M.J.; Liebling, S.L.; Lippert, M.; Mian, M.; Simonetti, J. Black hole spin-down via cosmic strings. arXiv 2024, arXiv:2407.04743. [Google Scholar]
- Islam, T.; Mehta, A.K.; Ghosh, A.; Varma, V.; Ajith, P.; Sathyaprakash, B.S. Testing the no-hair nature of binary black holes using the consistency of multipolar gravitational radiation. Phys. Rev. D 2020, 101, 024032. [Google Scholar] [CrossRef]
- Dhanpal, S.; Ghosh, A.; Mehta, A.K.; Ajith, P.; Sathyaprakash, B.S. A no-hair test for binary black holes. Phys. Rev. D 2019, 99, 104056. [Google Scholar] [CrossRef]
- Krishnendu, N.V.; Arun, K.G.; Mishra, C.K. Testing the binary black hole nature of a compact binary coalescence. Phys. Rev. Lett. 2017, 119, 091101. [Google Scholar] [CrossRef] [PubMed]
- Johnson-Mcdaniel, N.K.; Mukherjee, A.; Kashyap, R.; Ajith, P.; Del Pozzo, W.; Vitale, S. Constraining black hole mimickers with gravitational wave observations. Phys. Rev. D 2020, 102, 123010. [Google Scholar] [CrossRef]
- Kastha, S.; Gupta, A.; Arun, K.G.; Sathyaprakash, B.S.; Van Den Broeck, C. Testing the multipole structure of compact binaries using gravitational wave observations. Phys. Rev. D 2018, 98, 124033. [Google Scholar] [CrossRef]
- Carullo, G.; Riemenschneider, G.; Tsang, K.W.; Nagar, A.; Del Pozzo, W. GW150914 peak frequency: A novel consistency test of strong-field General Relativity. Class. Quant. Grav. 2019, 36, 105009. [Google Scholar] [CrossRef]
- Carullo, G.; Del Pozzo, W.; Veitch, J. Observational Black Hole Spectroscopy: A time-domain multimode analysis of GW150914. Phys. Rev. D 2019, 99, 123029, Erratum in Phys. Rev. D 2019, 100, 089903. [Google Scholar] [CrossRef]
- Ghosh, A.; Brito, R.; Buonanno, A. Constraints on quasinormal-mode frequencies with LIGO-Virgo binary–black-hole observations. Phys. Rev. D 2021, 103, 124041. [Google Scholar] [CrossRef]
- Edelman, B.; Rivera-Paleo, F.J.; Merritt, J.D.; Farr, B.; Doctor, Z.; Brink, J.; Farr, W.M.; Gair, J.; Key, J.S.; McIver, J.; et al. Constraining unmodeled physics with compact binary mergers from GWTC-1. Phys. Rev. D 2021, 103, 042004. [Google Scholar] [CrossRef]
- Isi, M.; Chatziioannou, K.; Farr, W.M. Hierarchical test of general relativity with gravitational waves. Phys. Rev. Lett. 2019, 123, 121101. [Google Scholar] [CrossRef]
- Isi, M.; Giesler, M.; Farr, W.M.; Scheel, M.A.; Teukolsky, S.A. Testing the no-hair theorem with GW150914. Phys. Rev. Lett. 2019, 123, 111102. [Google Scholar] [CrossRef]
- Isi, M.; Farr, W.M.; Giesler, M.; Scheel, M.A.; Teukolsky, S.A. Testing the Black-Hole Area Law with GW150914. Phys. Rev. Lett. 2021, 127, 011103. [Google Scholar] [CrossRef] [PubMed]
- Calderón Bustillo, J.; Lasky, P.D.; Thrane, E. Black-hole spectroscopy, the no-hair theorem, and GW150914: Kerr versus Occam. Phys. Rev. D 2021, 103, 024041. [Google Scholar] [CrossRef]
- Ghosh, A.; Ghosh, A.; Johnson-McDaniel, N.K.; Mishra, C.K.; Ajith, P.; Del Pozzo, W.; Nichols, D.A.; Chen, Y.; Nielsen, A.B.; Berry, C.P.; et al. Testing general relativity using golden black-hole binaries. Phys. Rev. D 2016, 94, 021101. [Google Scholar] [CrossRef]
- Ghosh, A.; Johnson-Mcdaniel, N.K.; Ghosh, A.; Mishra, C.K.; Ajith, P.; Del Pozzo, W.; Berry, C.P.L.; Nielsen, A.B.; London, L. Testing general relativity using gravitational wave signals from the inspiral, merger and ringdown of binary black holes. Class. Quant. Grav. 2018, 35, 014002. [Google Scholar] [CrossRef]
- Capano, C.D.; Nitz, A.H. Binary black hole spectroscopy: A no-hair test of GW190814 and GW190412. Phys. Rev. D 2020, 102, 124070. [Google Scholar] [CrossRef]
- Yunes, N.; Pretorius, F. Fundamental Theoretical Bias in Gravitational Wave Astrophysics and the Parameterized Post-Einsteinian Framework. Phys. Rev. D 2009, 80, 122003. [Google Scholar] [CrossRef]
- Arkani-Hamed, N.; Motl, L.; Nicolis, A.; Vafa, C. The String landscape, black holes and gravity as the weakest force. JHEP 2007, 06, 060. [Google Scholar] [CrossRef]
- Cheung, C.; Liu, J.; Remmen, G.N. Proof of the Weak Gravity Conjecture from Black Hole Entropy. JHEP 2018, 10, 004. [Google Scholar] [CrossRef]
- McInnes, B. Extremal bifurcations of rotating AdS4 black holes. JHEP 2021, 12, 155. [Google Scholar] [CrossRef]
- Marolf, D.; Virmani, A. A black hole instability in five dimensions? J. High Energy Phys. 2005, 2005, 026. [Google Scholar] [CrossRef][Green Version]
- Emparan, R.; Myers, R.C. Instability of ultra-spinning black holes. JHEP 2003, 9, 025. [Google Scholar] [CrossRef]
- Gaur, R.; Visser, M. Black holes, white holes, and near-horizon physics. arXiv 2023, arXiv:2304.10692. [Google Scholar] [CrossRef]
- Dent, J.B.; Gabella, W.E.; Holley-Bockelmann, K.; Kephart, T.W. Gravitational waves from a black hole orbiting in a wormhole geometry. Phys. Rev. D 2021, 104, 044030. [Google Scholar] [CrossRef]
- Xia, J.; Ong, Y.C. Upper Bound of Barrow Entropy Index from Black Hole Fragmentation. Universe 2024, 10, 177. [Google Scholar] [CrossRef]
- Sundararajan, P.A.; Khanna, G.; Hughes, S.A. Towards adiabatic waveforms for inspiral into Kerr black holes. I. A New model of the source for the time domain perturbation equation. Phys. Rev. D 2007, 76, 104005. [Google Scholar] [CrossRef]
- Sundararajan, P.A.; Khanna, G.; Hughes, S.A.; Drasco, S. Towards adiabatic waveforms for inspiral into Kerr black holes: II. Dynamical sources and generic orbits. Phys. Rev. D 2008, 78, 024022. [Google Scholar] [CrossRef]
- Sundararajan, P.A.; Khanna, G.; Hughes, S.A. Binary black hole merger gravitational waves and recoil in the large mass ratio limit. Phys. Rev. D 2010, 81, 104009. [Google Scholar] [CrossRef]
- Zenginoglu, A.; Khanna, G. Null infinity waveforms from extreme-mass-ratio inspirals in Kerr spacetime. Phys. Rev. X 2011, 1, 021017. [Google Scholar] [CrossRef]
- Field, S.E.; Gottlieb, S.; Grant, Z.J.; Isherwood, L.F.; Khanna, G. A GPU-Accelerated Mixed-Precision WENO Method for Extremal Black Hole and Gravitational Wave Physics Computations. Commun. Appl. Math. Comput. 2023, 5, 97. [Google Scholar] [CrossRef]
- Higginbotham, K.; Khamesra, B.; McInerney, J.P.; Jani, K.; Shoemaker, D.M.; Laguna, P. Coping with spurious radiation in binary black hole simulations. Phys. Rev. D 2019, 100, 081501. [Google Scholar] [CrossRef]
- Fujita, R.; Tagoshi, H. New numerical methods to evaluate homogeneous solutions of the Teukolsky equation. Prog. Theor. Phys. 2004, 112, 415–450. [Google Scholar] [CrossRef]
- Fujita, R.; Tagoshi, H. New Numerical Methods to Evaluate Homogeneous Solutions of the Teukolsky Equation II. Solutions of the Continued Fraction Equation. Prog. Theor. Phys. 2005, 113, 1165–1182. [Google Scholar] [CrossRef]
- Mano, S.; Suzuki, H.; Takasugi, E. Analytic solutions of the Teukolsky equation and their low frequency expansions. Prog. Theor. Phys. 1996, 95, 1079–1096. [Google Scholar] [CrossRef]
- Throwe, W.W.T. High Precision Calculation of Generic Extreme Mass Ratio Inspirals. Ph.D. Thesis, Massachusetts Institute of Technology, Cambridge, MA, USA, 2010. [Google Scholar]
- O’Sullivan, S.; Hughes, S.A. Strong-field tidal distortions of rotating black holes: Formalism and results for circular, equatorial orbits. Phys. Rev. D 2014, 90, 124039, Erratum in Phys. Rev. D 2015, 91, 109901. [Google Scholar] [CrossRef]
- Drasco, S.; Hughes, S.A. Gravitational wave snapshots of generic extreme mass ratio inspirals. Phys. Rev. D 2006, 73, 024027, Erratum in Phys. Rev. D 2013, 88, 109905; Erratum in Phys. Rev. D 2014, 90, 109905. [Google Scholar] [CrossRef]
- Black Hole Perturbation Toolkit. Available online: http://bhptoolkit.org/ (accessed on 24 July 2024).
- Ori, A.; Thorne, K.S. The Transition from inspiral to plunge for a compact body in a circular equatorial orbit around a massive, spinning black hole. Phys. Rev. D 2000, 62, 124022. [Google Scholar] [CrossRef]
- Hughes, S.A.; Apte, A.; Khanna, G.; Lim, H. Learning about black hole binaries from their ringdown spectra. Phys. Rev. Lett. 2019, 123, 161101. [Google Scholar] [CrossRef]
- Apte, A.; Hughes, S.A. Exciting black hole modes via misaligned coalescences: I. Inspiral, transition, and plunge trajectories using a generalized Ori-Thorne procedure. Phys. Rev. D 2019, 100, 084031. [Google Scholar] [CrossRef]
- Islam, T.; Field, S.E.; Hughes, S.A.; Khanna, G.; Varma, V.; Giesler, M.; Scheel, M.A.; Kidder, L.E.; Pfeiffer, H.P. Surrogate model for gravitational wave signals from nonspinning, comparable-to large-mass-ratio black hole binaries built on black hole perturbation theory waveforms calibrated to numerical relativity. Phys. Rev. D 2022, 106, 104025. [Google Scholar] [CrossRef]
- Akutsu, T.; Ando, M.; Arai, K.; Arai, Y.; Araki, S.; Araya, A.; Aritomi, N.; Aso, Y.; Bae, S.; Bae, Y.; et al. Overview of KAGRA: Detector design and construction history. PTEP 2021, 2021, 05A101. [Google Scholar] [CrossRef]
- Acernese, F.; Agathos, M.; Agatsuma, K.; Aisa, D.; Allemandou, N.; Allocca, A.; Amarni, J.; Astone, P.; Balestri, G.; Ballardin, G.; et al. Advanced Virgo: A second-generation interferometric gravitational wave detector. Class. Quant. Grav. 2015, 32, 024001. [Google Scholar] [CrossRef]
- Aasi, J.; Abbott, B.P.; Abbott, R.; Abbott, T.; Abernathy, M.R.; Ackley, K.; Adams, C.; Adams, T.; Addesso, P.; Adhikari, R.X.; et al. Advanced LIGO. Class. Quant. Grav. 2015, 32, 074001. [Google Scholar] [CrossRef]







Disclaimer/Publisher’s Note: The statements, opinions and data contained in all publications are solely those of the individual author(s) and contributor(s) and not of MDPI and/or the editor(s). MDPI and/or the editor(s) disclaim responsibility for any injury to people or property resulting from any ideas, methods, instructions or products referred to in the content. |
© 2025 by the authors. Licensee MDPI, Basel, Switzerland. This article is an open access article distributed under the terms and conditions of the Creative Commons Attribution (CC BY) license (https://creativecommons.org/licenses/by/4.0/).
Share and Cite
Islam, T.; Khanna, G.; Liebling, S.L. Gravitational Waves from Black Hole Emission. Universe 2025, 11, 21. https://doi.org/10.3390/universe11010021
Islam T, Khanna G, Liebling SL. Gravitational Waves from Black Hole Emission. Universe. 2025; 11(1):21. https://doi.org/10.3390/universe11010021
Chicago/Turabian StyleIslam, Tousif, Gaurav Khanna, and Steven L. Liebling. 2025. "Gravitational Waves from Black Hole Emission" Universe 11, no. 1: 21. https://doi.org/10.3390/universe11010021
APA StyleIslam, T., Khanna, G., & Liebling, S. L. (2025). Gravitational Waves from Black Hole Emission. Universe, 11(1), 21. https://doi.org/10.3390/universe11010021

