Low-Energy Cosmic Rays and Associated MeV Gamma-Ray Emissions in the Protoplanetary System
Abstract
1. Introduction
2. Calculation of LECR Spectrum
2.1. Theoretical Basis
2.1.1. Parker Transport Equation
2.1.2. Stellar Wind Velocity
2.1.3. Diffusion Coefficient
2.1.4. Boundary Conditions
2.2. Numerical Methods
2.3. Results
3. Calculation of Nuclear De-Excitation Line Emission
3.1. Calculation Method
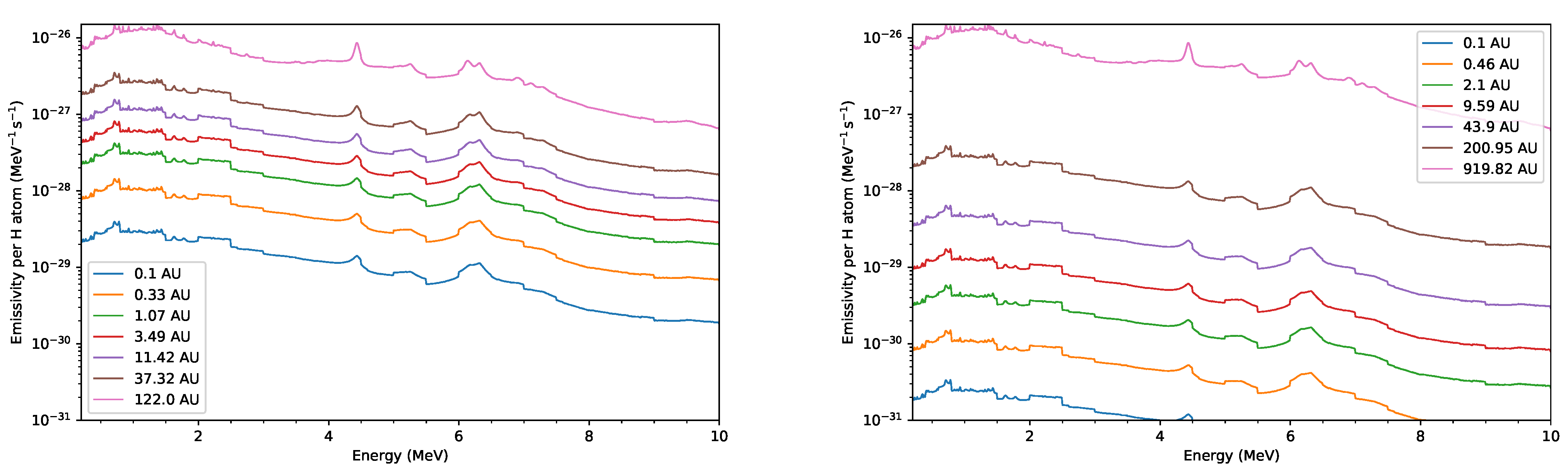
3.2. Results
4. Discussion
5. Summary and Outlook
Author Contributions
Funding
Institutional Review Board Statement
Informed Consent Statement
Data Availability Statement
Conflicts of Interest
Abbreviations
| CRs | cosmic rays |
| LECRs | low-energy cosmic rays |
| LIS | local interstellar spectrum |
| ISM | interstellar medium |
Appendix A
| 1 | https://numba.pydata.org/ (accessed on 23 November 2023). |
| 2 | https://www-nds.iaea.org/talys/ (accessed on 11 April 2024). |
| 3 | https://indico.icranet.org/event/1/ (accessed on 15 June 2024). |
| 4 | https://asd.gsfc.nasa.gov/amego/ (accessed on 15 June 2024). |
| 5 | https://cosi.ssl.berkeley.edu/ (accessed on 15 June 2024). |
References
- Becker Tjus, J.; Merten, L. Closing in on the origin of Galactic cosmic rays using multimessenger information. Phys. Rep. 2020, 872, 1–98. [Google Scholar] [CrossRef]
- Aguilar, M. et al. [AMS Collaboration] The Alpha Magnetic Spectrometer (AMS) on the international space station: Part II—Results from the first seven years. Phys. Rep. 2021, 894, 1–116. [Google Scholar] [CrossRef]
- Abbasi, R. et al. [IceCube Collaboration] Observation of Anisotropy in the Galactic Cosmic-Ray Arrival Directions at 400 TeV with IceCube. Astrophys. J. 2012, 746, 33. [Google Scholar] [CrossRef]
- Abbasi, R. et al. [IceCube Collaboration] Cosmic ray composition and energy spectrum from 1-30 PeV using the 40-string configuration of IceTop and IceCube. Astropart. Phys. 2013, 42, 15–32. [Google Scholar] [CrossRef]
- Abbasi, R. et al. [IceCube Collaboration] All-particle cosmic ray energy spectrum measured with 26 IceTop stations. Astropart. Phys. 2013, 44, 40–58. [Google Scholar] [CrossRef]
- Aartsen, M.G. et al. [IceCube Collaboration] Observation of Cosmic-Ray Anisotropy with the IceTop Air Shower Array. Astrophys. J. 2013, 765, 55. [Google Scholar] [CrossRef]
- Aharonian, F.; Peron, G.; Yang, R.; Casanova, S.; Zanin, R. Probing the sea of galactic cosmic rays with Fermi-LAT. Phys. Rev. 2020, 101, 083018. [Google Scholar] [CrossRef]
- Cummings, A.C.; Stone, E.C.; Heikkila, B.C.; Lal, N.; Webber, W.R.; Jóhannesson, G.; Moskalenko, I.V.; Orlando, E.; Porter, T.A. Galactic Cosmic Rays in the Local Interstellar Medium: Voyager 1 Observations and Model Results. Astrophys. J. 2016, 831, 18. [Google Scholar] [CrossRef] [PubMed]
- Stone, E.C.; Cummings, A.C.; Heikkila, B.C.; Lal, N. Cosmic ray measurements from Voyager 2 as it crossed into interstellar space. Nat. Astron. 2019, 3, 1013–1018. [Google Scholar] [CrossRef]
- Gabici, S. Low-energy cosmic rays: Regulators of the dense interstellar medium. Astron. Astrophys. Rev. 2022, 30, 4. [Google Scholar] [CrossRef]
- Grenier, I.A.; Black, J.H.; Strong, A.W. The Nine Lives of Cosmic Rays in Galaxies. Annu. Rev. Astron. Astrophys. 2015, 53, 199. [Google Scholar] [CrossRef]
- Padovani, M.; Ivlev, A.V.; Galli, D.; Offner, S.S.R.; Indriolo, N.; Rodgers-Lee, D.; Marcowith, A.; Girichidis, P.; Bykov, A.M.; Kruijssen, J.M.D. Impact of Low-Energy Cosmic Rays on Star Formation. Space Sci. Rev. 2020, 16, 29. [Google Scholar] [CrossRef]
- Williams, J.P.; Cieza, L.A. Protoplanetary Disks and Their Evolution. Annu. Rev. Astron. Astrophys. 2011, 49, 67. [Google Scholar] [CrossRef]
- Cleeves, L.I.; Adams, F.C.; Bergin, E.A. Exclusion of Cosmic Rays in Protoplanetary Disks: Stellar and Magnetic Effects. Astrophys. J. 2013, 772, 5. [Google Scholar] [CrossRef]
- Cleeves, L.I.; Bergin, E.A.; Adams, F.C. Exclusion of Cosmic Rays in Protoplanetary Disks. II. Chemical Gradients and Observational Signatures. Astrophys. J. 2014, 794, 123. [Google Scholar] [CrossRef]
- Padovani, M.; Ivlev, A.V.; Galli, D.; Caselli, P. Cosmic-ray ionisation in circumstellar discs. Astron. Astrophys. 2018, 614, A111. [Google Scholar] [CrossRef]
- Glassgold, A.E.; Galli, D.; Padovani, M. Cosmic-Ray and X-Ray Heating of Interstellar Clouds and Protoplanetary Disks. Astrophys. J. 2012, 756, 157. [Google Scholar] [CrossRef]
- Öberg, K.I.; Bergin, E.A. Astrochemistry and compositions of planetary systems. Phys. Rep. 2021, 893, 1–48. [Google Scholar] [CrossRef]
- Walsh, C.; Millar, T.J.; Nomura, H. Chemical Processes in Protoplanetary Disks. Astrophys. J. 2010, 722, 1607–1623. [Google Scholar] [CrossRef]
- Öberg, K.I.; Facchini, S.; Anderson, D.E. Protoplanetary Disk Chemistry. Annu. Rev. Astron. Astrophys. 2023, 61, 287–328. [Google Scholar] [CrossRef]
- Ramaty, R.; Lingenfelter, R.E. Gamma-ray line astronomy. Nature 1979, 278, 127. [Google Scholar] [CrossRef]
- Ramaty, R.; Kozlovsky, B.; Lingenfelter, R.E. Nuclear gamma rays from energetic particle interactions. Astrophys. J. Suppl. Ser. 1979, 40, 487–526. [Google Scholar] [CrossRef]
- Kozlovsky, B.; Murphy, R.J.; Ramaty, R. Nuclear Deexcitation Gamma-Ray Lines from Accelerated Particle Interactions. Astrophys. J. Suppl. Ser. 2002, 141, 523–541. [Google Scholar] [CrossRef]
- Chupp, E.L.; Forrest, D.J.; Higbie, P.R.; Suri, A.N.; Tsai, C.; Dunphy, P.P. Solar Gamma Ray Lines observed during the Solar Activity of August 2 to August 11, 1972. Nature 1973, 241, 333–335. [Google Scholar] [CrossRef]
- Cliver, E.W.; Forrest, D.J.; Cane, H.V.; Reames, D.V.; McGuire, R.E.; von Rosenvinge, T.T.; Kane, S.R.; MacDowall, R.J. Solar Flare Nuclear Gamma Rays and Interplanetary Proton Events. Astrophys. J. 1989, 343, 953–970. [Google Scholar] [CrossRef]
- Vilmer, N.; MacKinnon, A.L.; Hurford, G.J. Properties of Energetic Ions in the Solar Atmosphere from γ-Ray and Neutron Observations. Space Sci. Rev. 2011, 159, 167–224. [Google Scholar] [CrossRef]
- Ramaty, R.; Kozlovsky, B.; Lingenfelter, R.E. Solar Gamma Rays. Space Sci. Rev. 1975, 18, 341–388. [Google Scholar] [CrossRef]
- Murphy, R.J.; Kozlovsky, B.; Kiener, J.; Share, G.H. Nuclear Gamma-Ray De-Excitation Lines and continuousum from Accelerated-Particle Interactions in Solar Flares. Astrophys. J. Suppl. 2009, 183, 142. [Google Scholar] [CrossRef]
- Benhabiles-Mezhoud, H.; Kiener, J.; Tatischeff, V.; Strong, A.W. De-excitation Nuclear Gamma-Ray Line Emission from Low-energy Cosmic Rays in the Inner Galaxy. Astrophys. J. 2013, 763, 98. [Google Scholar] [CrossRef]
- Liu, B.; Yang, R.-Z.; Aharonian, F. Nuclear de-excitation lines as a probe of low-energy cosmic rays. Astron. Astrophys. 2021, 646, A149. [Google Scholar] [CrossRef]
- Liu, B.; Yang, R.-Z.; He, X.-Y.; Aharonian, F. New estimation of the nuclear de-excitation line emission from the supernova remnant Cassiopeia A. Mon. Not. R. Astron. Soc. 2023, 524, 5248–5253. [Google Scholar] [CrossRef]
- Dogiel, V.A.; Tatischeff, V.; Cheng, K.S.; Chernyshov, D.O.; Ko, C.M.; Ip, W.H. Nuclear interaction gamma-ray lines from the Galactic center region. Astron. Astrophys. 2009, 508, 1–7. [Google Scholar] [CrossRef][Green Version]
- Parker, E.N. The passage of energetic charged particles through interplanetary space. Planet. Space Sci. 1965, 13, 9–49. [Google Scholar] [CrossRef]
- Rodgers-Lee, D.; Taylor, A.M.; Gallagher, S.; Vidotto, A.A.; Reichardt, C. The Galactic cosmic ray intensity at the evolving Earth and young exoplanets. Mon. Not. R. Astron. Soc. 2020, 499, 2124–2137. [Google Scholar] [CrossRef]
- Carolan, S.; Vidotto, A.A.; Loesch, C.; Coogan, P.; Fares, R.; Jeffers, S.; Marsden, S.; Morin, J.; Petit, P.; Reiners, A. The evolution of Earth’s magnetosphere during the solar main sequence. Mon. Not. R. Astron. Soc. 2019, 489, 5784–5801. [Google Scholar] [CrossRef]
- Jokipii, J.R. Propagation of cosmic rays in the solar wind. Rev. Geophys. Space Phys. 1971, 9, 27–87. [Google Scholar] [CrossRef]
- Schlickeiser, R. Cosmic-Ray Transport and Acceleration. I. Derivation of the Kinetic Equation and Application to Cosmic Rays in Static Cold Media. Astrophys. J. 1989, 336, 243–293. [Google Scholar] [CrossRef]
- Cohen, O.; Drake, J.J.; Kóta, J. The Cosmic-Ray Intensity near the Archean Earth. Astrophys. J. 2012, 760, 85. [Google Scholar] [CrossRef]
- Vos, E.E.; Potgieter, M.S. New Modeling of Galactic Proton Modulation during the Minimum of Solar Cycle 23/24. Astrophys. J. 2015, 815, 119. [Google Scholar] [CrossRef]
- Crank, J.; Nicolson, P. A practical method for numerical evaluation of solutions of partial differential equations of the heat-conduction type. Proc. Camb. Philos. Soc. 1947, 43, 50–67. [Google Scholar] [CrossRef]
- Press, W.H.; Teukolsky, S.A.; Vetterling, W.T.; Flannery, B.P. Numerical recipes in FORTRAN. In The Art of Scientific Computing, 2nd ed.; University Press: Cambridge, UK, 1992. [Google Scholar]
- Lam, S.K.; Pitrou, A.; Seibert, S. Numba: A LLVM-based Python JIT Compiler. In Proceedings of the Second Workshop on the LLVM Compiler Infrastructure in HPC, Austin, TX, USA, 15 November 2015; pp. 1–6. [Google Scholar]
- Koning, A.J.; Hilaire, S.; Duijvestijn, M.C. TALYS-1.0. In Proceedings of the International Conference on Nuclear Data for Science and Technology, Nice, France, 22–27 April 2007; EDP Sciences: Les Ulis, France, 2007. [Google Scholar]
- Koning, A.; Hilaire, S.; Goriely, S. TALYS: Modeling of nuclear reactions. Eur. Phys. J. 2023, 59, 131. [Google Scholar] [CrossRef]
- Andrews, S.M. Observations of Protoplanetary Disk Structures. Annu. Rev. Astron. Astrophys. 2020, 58, 483–528. [Google Scholar] [CrossRef]
- Wardle, M. Magnetic fields in protoplanetary disks. Astrophys. Space Sci. 2007, 311, 35–45. [Google Scholar] [CrossRef]
- Fujii, Y.I.; Kimura, S.S. Cosmic-Ray Ionization Rate in Protoplanetary Disks with Sheared Magnetic Fields. Astrophys. J. Lett. 2022, 937, L37. [Google Scholar] [CrossRef]
- Hughes, A.M.; Wilner, D.J.; Andrews, S.M.; Qi, C.; Hogerheijde, M.R. Empirical Constraints on Turbulence in Protoplanetary Accretion Disks. Astrophys. J. 2011, 727, 85. [Google Scholar] [CrossRef]
- Rosotti, G.P. Empirical constraints on turbulence in proto-planetary discs. New Astron. Rev. 2023, 96, 101674. [Google Scholar] [CrossRef]
- Yi, S.-X.; Zhang, Z.; Wang, X. Flares from Merged Magnetars: Their Prospects as a New Population of Gamma-Ray Counterparts of Binary Neutron Star Mergers. Astrophys. J. 2023, 955, 4. [Google Scholar] [CrossRef]
- Zhu, J.; Zheng, X.; Feng, H.; Zeng, M.; Huang, C.-Y.; Hsiang, J.-Y.; Chang, H.-K.; Li, H.; Chang, H.; Pan, X.; et al. MeV astrophysical spectroscopic surveyor (MASS): A compton telescope mission concept. Exp. Astron. 2024, 57, 1–26. [Google Scholar] [CrossRef]
- De Angelis, A.; Tatischeff, V.; Argan, A.; Brandt, S.; Bulgarelli, A.; Bykov, A.; Costantini, E.; da Silva, R.C.; Grenier, I.A.; Hanlon, L.; et al. Gamma-ray astrophysics in the MeV range. Exp. Astron. 2021, 51, 1225–1245. [Google Scholar] [CrossRef]
- McEnery, J.; Barrio, J.A.; Agudo, I.; Ajello, M.; Álvarez, J.M.; Ansoldi, S.; Auricchio, N.; Stephen, J.B.; Baldini, L.; Bambi, C.; et al. All-sky Medium Energy Gamma-ray Observatory: Exploring the Extreme Multimessenger Universe. Bull. Am. Astron. Soc. 2019, 51, 245. [Google Scholar]
- Kierans, C.A. AMEGO: Exploring the extreme multimessenger universe. Proc. SPIE 2020, 11444, 1144431. [Google Scholar]
- Karwin, C.M.; Siegert, T.; Beechert, J.; Tomsick, J.; Porter, T.; Negro, M.; Kierans, C.; Ajello, M.; Castellanos, I.M.; Shih, A.; et al. Probing the Galactic Diffuse continuousum Emission with COSI. Astrophys. J. 2023, 959, 90. [Google Scholar] [CrossRef]
- Lucchetta, G.; Ackermann, M.; Berge, D.; Bühler, R. Introducing the MeVCube concept: A CubeSat for MeV observations. J. Cosmol. Astropart. Phys. 2022, 08, 013. [Google Scholar] [CrossRef]
- Ferro, L.; Moita, M.; Rosati, P.; Lolli, R.; Guidorzi, C.; Frontera, F.; Campana, R.; Ferrari, C.; Squerzanti, S.; Pucci, M.; et al. Laue lenses: Focusing optics for hard X/soft Gamma-ray astronomy. In The Sixteenth Marcel Grossmann Meeting on Recent Developments in Theoretical and Experimental General Relativity, Astrophysics and Relativistic Field Theories, Proceedings of the MG16 Meeting on General Relativity, Online, 5–10 July 2021; World Scientific: Singapore, 2023; p. 3355. [Google Scholar]
- Svensmark, H. Cosmic rays and the biosphere over 4 billion years. Astron. Nachrichten 2006, 327, 871–875. [Google Scholar] [CrossRef]
- Grießmeier, J.-M.; Tabataba-Vakili, F.; Stadelmann, A.; Grenfell, J.L.; Atri, D. Galactic cosmic rays on extrasolar Earth-like planets. I. Cosmic ray flux. Astron. Astrophys. 2015, 581, A44. [Google Scholar] [CrossRef]
- Rodgers-Lee, D.; Taylor, A.M.; A Vidotto, A.; Downes, T.P. Stellar versus Galactic: The intensity of cosmic rays at the evolving Earth and young exoplanets around Sun-like stars. Mon. Not. R. Astron. Soc. 2021, 504, 1519–1530. [Google Scholar] [CrossRef]



| Element | Stellar Atmosphere | CRs |
|---|---|---|
| H | 1 | 1 |
| He | ||
| C | ||
| N | ||
| O | ||
| Ne | ||
| Mg | ||
| Al | ||
| Si | ||
| S | ||
| Ca | ||
| Fe |
Disclaimer/Publisher’s Note: The statements, opinions and data contained in all publications are solely those of the individual author(s) and contributor(s) and not of MDPI and/or the editor(s). MDPI and/or the editor(s) disclaim responsibility for any injury to people or property resulting from any ideas, methods, instructions or products referred to in the content. |
© 2024 by the authors. Licensee MDPI, Basel, Switzerland. This article is an open access article distributed under the terms and conditions of the Creative Commons Attribution (CC BY) license (https://creativecommons.org/licenses/by/4.0/).
Share and Cite
Sun, X.; Zheng, S.; Shi, Z.; Liu, B.; Yang, R. Low-Energy Cosmic Rays and Associated MeV Gamma-Ray Emissions in the Protoplanetary System. Universe 2024, 10, 310. https://doi.org/10.3390/universe10080310
Sun X, Zheng S, Shi Z, Liu B, Yang R. Low-Energy Cosmic Rays and Associated MeV Gamma-Ray Emissions in the Protoplanetary System. Universe. 2024; 10(8):310. https://doi.org/10.3390/universe10080310
Chicago/Turabian StyleSun, Xulei, Shuying Zheng, Zhaodong Shi, Bing Liu, and Ruizhi Yang. 2024. "Low-Energy Cosmic Rays and Associated MeV Gamma-Ray Emissions in the Protoplanetary System" Universe 10, no. 8: 310. https://doi.org/10.3390/universe10080310
APA StyleSun, X., Zheng, S., Shi, Z., Liu, B., & Yang, R. (2024). Low-Energy Cosmic Rays and Associated MeV Gamma-Ray Emissions in the Protoplanetary System. Universe, 10(8), 310. https://doi.org/10.3390/universe10080310

