Gravitating Scalarons with Inverted Higgs Potential
Abstract
1. Introduction
2. Theoretical Setting
2.1. Theory and Ansätze
2.2. Remarks on the Existence of the Scalaron
2.3. Ordinary Differential Equations (ODEs)
2.4. Geodesics of Test Particles around the Gravitating Scalaron
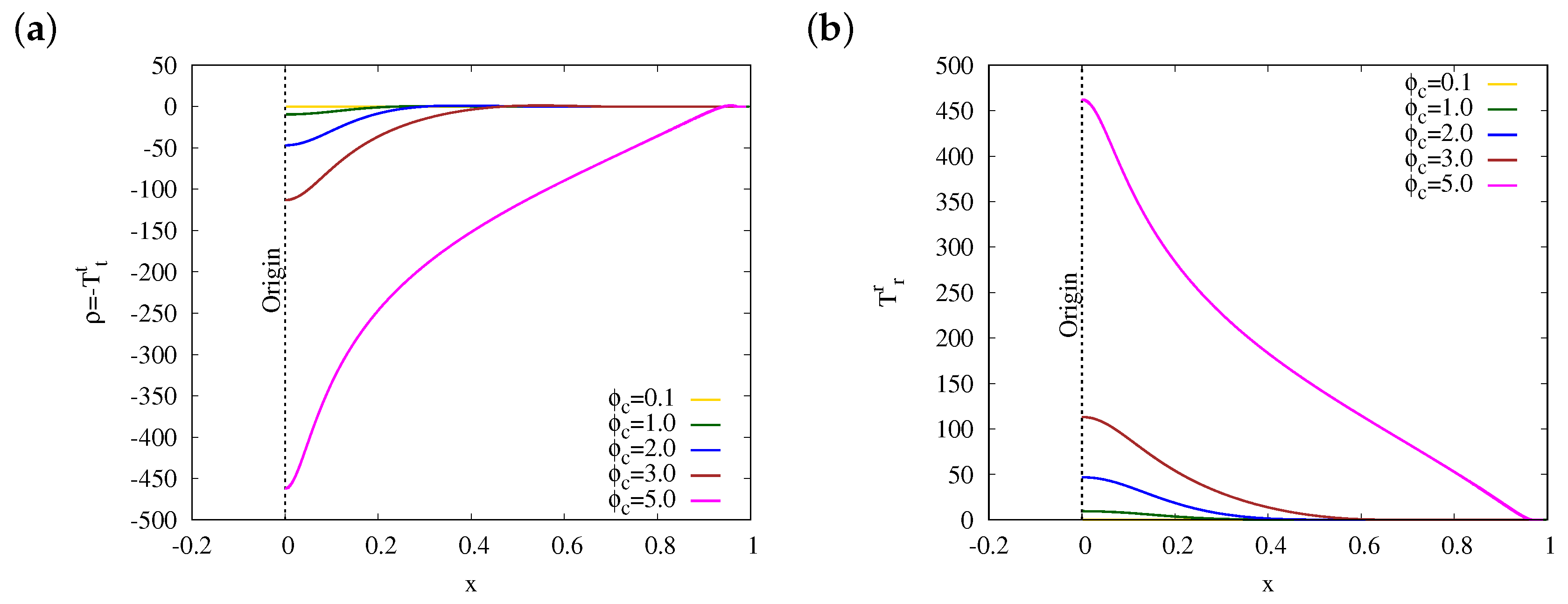
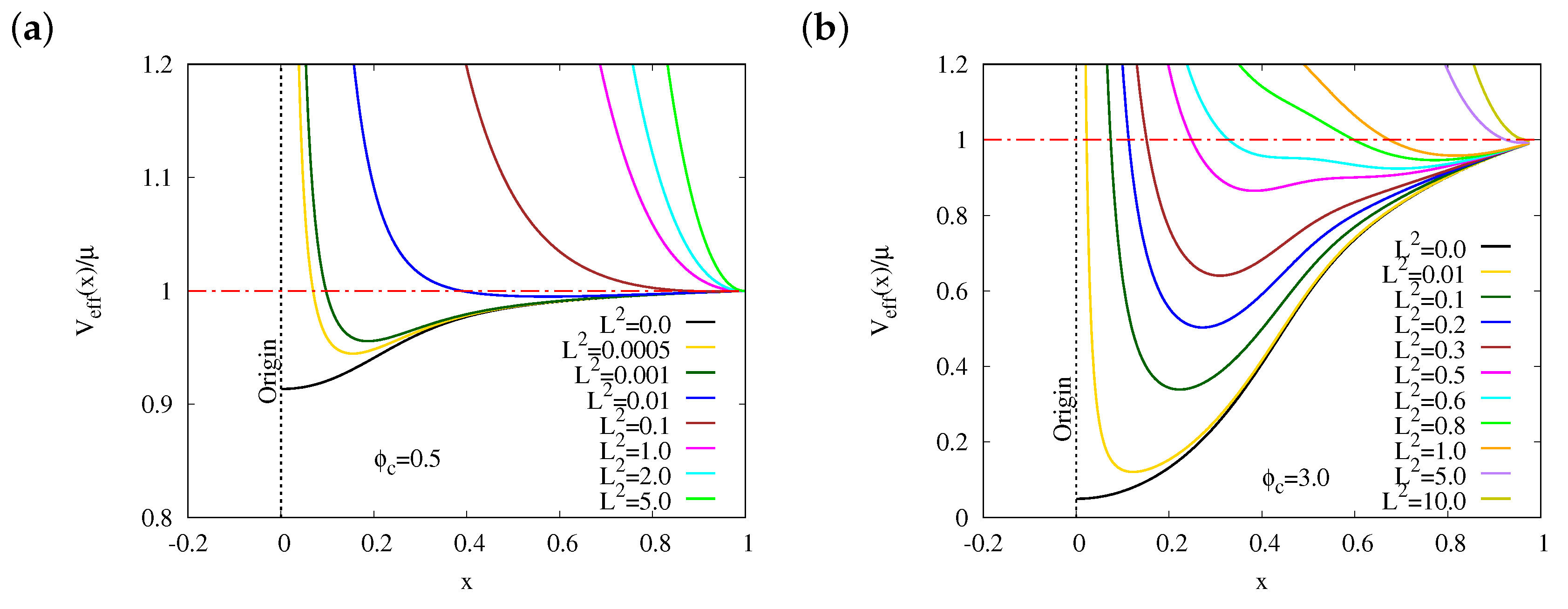
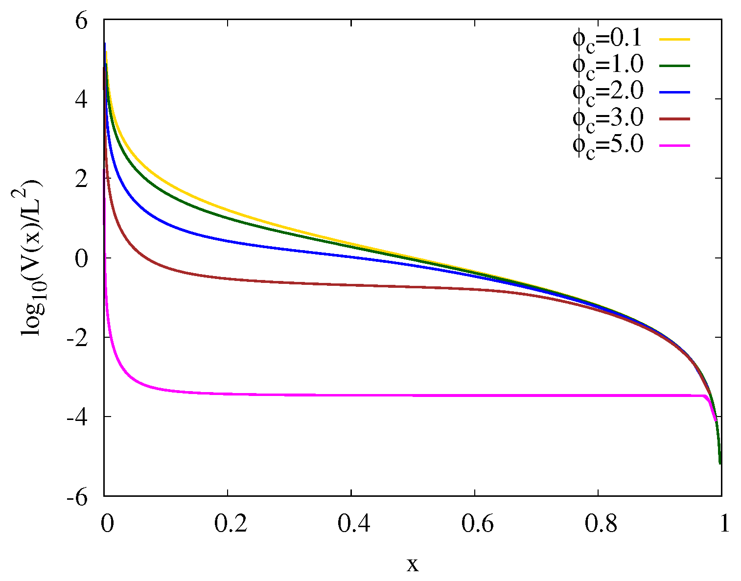
3. Results and Discussion
4. Conclusions
Author Contributions
Funding
Data Availability Statement
Acknowledgments
Conflicts of Interest
Abbreviations
| GR | General Relativity |
| FJNW | Fisher–Janis–Newman–Winicour |
| EKG | Einstein–Klein–Gordon |
| ADM | Arnowitt–Deser–Misner |
| EsGB | Einstein-scalar–Gauss–Bonnet |
| KG | Klein–Gordon |
| ODEs | Ordinary Differential Equations |
| WEC | Weak Energy Condition |
| ISCO | Innermost Stable Circular Orbit |
| SUSY | Superpotential and Supersymmetry |
Appendix A. FJNW Metric
Appendix B. Hairy Black Hole


| 1 | The presence of a quadratic term in causes a scalar field to decay as the Yukawa-type potential at infinity, ; thus, this gives rise to a scalar field that possesses an effective mass . |
| 2 | Previously, Ref. [33] considered such hairy black holes but did not study the properties systematically. |
| 3 | |
| 4 | Note that the Higgs-like potential has been considered for constructing a class of traversable wormholes in the Einstein-3-Form theory, where the corresponding kinetic term still can possess a proper sign [47], and where another class of static and rotating traversable wormholes are supported by the complex phantom field [48,49]. |
References
- Abbott, B.P. et al. [LIGO Scientific and Virgo] Observation of Gravitational Waves from a Binary Black Hole Merger. Phys. Rev. Lett. 2016, 116, 061102. [Google Scholar] [CrossRef] [PubMed]
- Abbott, B.P. et al. [LIGO Scientific and Virgo] GW170817: Observation of Gravitational Waves from a Binary Neutron Star Inspiral. Phys. Rev. Lett. 2017, 119, 161101. [Google Scholar] [CrossRef]
- Abbott, B.P. et al. [LIGO Scientific and Virgo] Multi-messenger Observations of a Binary Neutron Star Merger. Astrophys. J. Lett. 2017, 848, L12. [Google Scholar] [CrossRef]
- Abbott, B.P. et al. [LIGO Scientific and Virgo] Tests of General Relativity with the Binary Black Hole Signals from the LIGO-Virgo Catalog GWTC-1. Phys. Rev. D 2019, 100, 104036. [Google Scholar] [CrossRef]
- Barack, L.; Cardoso, V.; Nissanke, S.; Sotiriou, T.P.; Askar, A.; Belczynski, C.; Bertone, G.; Bon, E.; Blas, D.; Brito, R.; et al. Black holes, gravitational waves and fundamental physics: A roadmap. Class. Quant. Grav. 2019, 36, 143001. [Google Scholar] [CrossRef]
- Abbott, R. et al. [LIGO Scientific and Virgo] GWTC-2: Compact Binary Coalescences Observed by LIGO and Virgo During the First Half of the Third Observing Run. Phys. Rev. X 2021, 11, 021053. [Google Scholar]
- Akiyama, K. et al. [Event Horizon Telescope] First M87 Event Horizon Telescope Results. I. The Shadow of the Supermassive Black Hole. Astrophys. J. Lett. 2019, 875, L1. [Google Scholar] [CrossRef]
- Akiyama, K. et al. [Event Horizon Telescope] First M87 Event Horizon Telescope Results. IV. Imaging the Central Supermassive Black Hole. Astrophys. J. Lett. 2019, 875, L4. [Google Scholar] [CrossRef]
- Akiyama, K. et al. [Event Horizon Telescope] First M87 Event Horizon Telescope Results. V. Physical Origin of the Asymmetric Ring. Astrophys. J. Lett. 2019, 875, L5. [Google Scholar] [CrossRef]
- Akiyama, K. et al. [Event Horizon Telescope] First M87 Event Horizon Telescope Results. VI. The Shadow and Mass of the Central Black Hole. Astrophys. J. Lett. 2019, 875, L6. [Google Scholar] [CrossRef]
- Akiyama, K. et al. [Event Horizon Telescope] First Sagittarius A* Event Horizon Telescope Results. I. The Shadow of the Supermassive Black Hole in the Center of the Milky Way. Astrophys. J. Lett. 2022, 930, L12. [Google Scholar] [CrossRef]
- Akiyama, K. et al. [Event Horizon Telescope] First Sagittarius A* Event Horizon Telescope Results. VI. Testing the Black Hole Metric. Astrophys. J. Lett. 2022, 930, L17. [Google Scholar] [CrossRef]
- Akiyama, K. et al. [Event Horizon Telescope] First Sagittarius A* Event Horizon Telescope Results. V. Testing Astrophysical Models of the Galactic Center Black Hole. Astrophys. J. Lett. 2022, 930, L16. [Google Scholar] [CrossRef]
- Akiyama, K. et al. [Event Horizon Telescope] First Sagittarius A* Event Horizon Telescope Results. IV. Variability, Morphology, and Black Hole Mass. Astrophys. J. Lett. 2022, 930, L15. [Google Scholar] [CrossRef]
- Cunha, P.V.P.; Herdeiro, C.A.R.; Radu, E. EHT constraint on the ultralight scalar hair of the M87 supermassive black hole. Universe 2019, 5, 220. [Google Scholar] [CrossRef]
- Sengo, I.; Cunha, P.V.P.; Herdeiro, C.A.R.; Radu, E. Kerr black holes with synchronised Proca hair: Lensing, shadows and EHT constraints. JCAP 2023, 1, 047. [Google Scholar] [CrossRef]
- Blázquez-Salcedo, J.L.; Chew, X.Y.; Kunz, J. Scalar and axial quasinormal modes of massive static phantom wormholes. Phys. Rev. D 2018, 98, 044035. [Google Scholar] [CrossRef]
- Azad, B.; Blázquez-Salcedo, J.L.; Chew, X.Y.; Kunz, J.; Yeom, D. Polar modes and isospectrality of Ellis-Bronnikov wormholes. Phys. Rev. D 2023, 107, 084024. [Google Scholar] [CrossRef]
- Huang, H.; Kunz, J.; Yang, J.; Zhang, C. Light ring behind wormhole throat: Geodesics, images, and shadows. Phys. Rev. D 2023, 107, 104060. [Google Scholar] [CrossRef]
- Fisher, I.Z. Scalar mesostatic field with regard for gravitational effects. Zh. Eksp. Teor. Fiz. 1948, 18, 636–640. [Google Scholar]
- Janis, A.I.; Newman, E.T.; Winicour, J. Reality of the Schwarzschild Singularity. Phys. Rev. Lett. 1968, 20, 878–880. [Google Scholar] [CrossRef]
- Wyman, M. Static Spherically Symmetric Scalar Fields in General Relativity. Phys. Rev. D 1981, 24, 839–841. [Google Scholar] [CrossRef]
- Virbhadra, K.S. Janis-Newman-Winicour and Wyman solutions are the same. Int. J. Mod. Phys. A 1997, 12, 4831–4836. [Google Scholar] [CrossRef]
- Lee, J.; Koh, I. Galactic halos as boson stars. Phys. Rev. D 1996, 53, 2236–2239. [Google Scholar] [CrossRef] [PubMed]
- Magana, J.; Matos, T. A brief Review of the Scalar Field Dark Matter model. J. Phys. Conf. Ser. 2012, 378, 012012. [Google Scholar] [CrossRef]
- Lee, J.W. Brief History of Ultra-light Scalar Dark Matter Models. EPJ Web Conf. 2018, 168, 06005. [Google Scholar] [CrossRef]
- Lalremruati, P.C.; Kalita, S. Effect of Dark Matter Distribution on Scalaron Gravity near the Galactic Center Black Hole and Its Prospects. Astrophys. J. 2022, 941, 183. [Google Scholar] [CrossRef]
- Dzhunushaliev, V.; Folomeev, V.; Myrzakulov, R.; Singleton, D. Non-singular solutions to Einstein-Klein-Gordon equations with a phantom scalar field. JHEP 2008, 7, 094. [Google Scholar] [CrossRef]
- Dzhunushaliev, V.; Folomeev, V. 4D static solutions with interacting phantom fields. Int. J. Mod. Phys. D 2008, 17, 2125–2142. [Google Scholar] [CrossRef]
- Dzhunushaliev, V.; Folomeev, V.; Makhmudov, A.; Urazalina, A.; Singleton, D.; Scott, J. Compact and extended objects from self-interacting phantom fields. Phys. Rev. D 2016, 94, 024004. [Google Scholar] [CrossRef]
- Dzhunushaliev, V.; Folomeev, V.; Makhmudov, A.; Urazalina, A. Static general relativistic solutions supported by phantom and ordinary scalar fields with higher-order potentials. arXiv 2019, arXiv:1901.04314. [Google Scholar]
- Chew, X.Y.; Lim, K.G. Scalar hairy black holes with an inverted Mexican-hat potential. Phys. Rev. D 2024, 109, 064039. [Google Scholar] [CrossRef]
- Gubser, S.S. Phase transitions near black hole horizons. Class. Quant. Grav. 2005, 22, 5121–5144. [Google Scholar] [CrossRef]
- Astefanesei, D.; Huang, H.; Kunz, J.; Radu, E. Einstein-scalar field solutions in AdS spacetime: Clouds, boundary conditions, and scalar multipoles. JHEP 2023, 3, 174. [Google Scholar] [CrossRef]
- Corichi, A.; Nucamendi, U.; Salgado, M. Scalar hairy black holes and scalarons in the isolated horizons formalism. Phys. Rev. D 2006, 73, 084002. [Google Scholar] [CrossRef]
- Chew, X.Y.; Yeom, D.; Blázquez-Salcedo, J.L. Properties of scalar hairy black holes and scalarons with asymmetric potential. Phys. Rev. D 2023, 108, 044020. [Google Scholar] [CrossRef]
- Herdeiro, C.A.R.; Oliveira, J.M.S.; Radu, E. A class of solitons in Maxwell-scalar and Einstein–Maxwell-scalar models. Eur. Phys. J. C 2020, 80, 23. [Google Scholar] [CrossRef]
- Kleihaus, B.; Kunz, J.; Kanti, P. Particle-like ultracompact objects in Einstein-scalar-Gauss-Bonnet theories. Phys. Lett. B 2020, 804, 135401. [Google Scholar] [CrossRef]
- Kleihaus, B.; Kunz, J.; Kanti, P. Properties of ultracompact particlelike solutions in Einstein-scalar-Gauss-Bonnet theories. Phys. Rev. D 2020, 102, 024070. [Google Scholar] [CrossRef]
- Radu, E.; Shnir, Y.; Tchrakian, D.H. Scalar hairy black holes and solitons in a gravitating Goldstone model. Phys. Lett. B 2011, 703, 386–393. [Google Scholar] [CrossRef]
- Kleihaus, B.; Kunz, J.; Radu, E.; Subagyo, B. Axially symmetric static scalar solitons and black holes with scalar hair. Phys. Lett. B 2013, 725, 489–494. [Google Scholar] [CrossRef]
- Karakasis, T.; Mavromatos, N.E.; Papantonopoulos, E. Regular compact objects with scalar hair. Phys. Rev. D 2023, 108, 024001. [Google Scholar] [CrossRef]
- Ning, Z.; Chen, Q.; Tian, Y.; Wu, X.; Zhang, H. Spontaneous Deformation of an AdS Spherical Black Hole. arXiv 2023, arXiv:2307.14156. [Google Scholar] [CrossRef]
- Cadoni, M.; Oi, M.; Pitzalis, M.; Sanna, A.P. Scalar stars and lumps with (A)dS core. arXiv 2023, arXiv:2311.16934. [Google Scholar]
- Gao, C.; Qiu, J. On black holes with scalar hairs. Gen. Rel. Grav. 2022, 54, 158. [Google Scholar] [CrossRef]
- Grosso, L.D.; Pani, P. Fermion soliton stars with asymmetric vacua. Phys. Rev. D 2023, 108, 064042. [Google Scholar] [CrossRef]
- Bouhmadi-López, M.; Chen, C.Y.; Chew, X.Y.; Ong, Y.C.; Yeom, D. Traversable wormhole in Einstein 3-form theory with self-interacting potential. JCAP 2021, 10, 059. [Google Scholar] [CrossRef]
- Dzhunushaliev, V.; Folomeev, V.; Kleihaus, B.; Kunz, J. Wormhole solutions with a complex ghost scalar field and their instability. Phys. Rev. D 2018, 97, 024002. [Google Scholar] [CrossRef]
- Chew, X.Y.; Dzhunushaliev, V.; Folomeev, V.; Kleihaus, B.; Kunz, J. Rotating wormhole solutions with a complex phantom scalar field. Phys. Rev. D 2019, 100, 044019. [Google Scholar] [CrossRef]
- Misner, C.W.; Sharp, D.H. Relativistic equations for adiabatic, spherically symmetric gravitational collapse. Phys. Rev. 1964, 136, B571–B576. [Google Scholar] [CrossRef]
- Herdeiro, C.A.R.; Radu, E. Asymptotically flat black holes with scalar hair: A review. Int. J. Mod. Phys. D 2015, 24, 1542014. [Google Scholar] [CrossRef]
- Ascher, U.; Christiansen, J.; Russell, R.D. A Collocation Solver for Mixed Order Systems of Boundary Value Problems. Math. Comput. 1979, 33, 659–679. [Google Scholar] [CrossRef]
- Shampine, L.F.; Kierzenka, J. A BVP solver based on residual control and the Maltab PSE. ACM Trans. Math. Softw. 2001, 27, 299–316. [Google Scholar]
- Gondolo, P.; Silk, J. Dark matter annihilation at the galactic center. Phys. Rev. Lett. 1999, 83, 1719–1722. [Google Scholar] [CrossRef]
- Nishikawa, H.; Kovetz, E.D.; Kamionkowski, M.; Silk, J. Primordial-black-hole mergers in dark-matter spike. Phys. Rev. D 2019, 99, 043533. [Google Scholar] [CrossRef]
- Kavanagh, B.J.; Nichols, D.A.; Bertone, G.; Gaggero, D. Detecting dark matter around black holes with gravitational waves: Effects of dark-matter dynamics on the gravitational waveform. Phys. Rev. D 2020, 102, 083006. [Google Scholar] [CrossRef]
- Diemer, V.; Eilers, K.; Hartmann, B.; Schaffer, I.; Toma, C. Geodesic motion in the space-time of a noncompact boson star. Phys. Rev. D 2013, 88, 044025. [Google Scholar] [CrossRef]
- Schunck, F.E.; Mielke, E.W. General relativistic boson stars. Class. Quant. Grav. 2003, 20, R301–R356. [Google Scholar] [CrossRef]







Disclaimer/Publisher’s Note: The statements, opinions and data contained in all publications are solely those of the individual author(s) and contributor(s) and not of MDPI and/or the editor(s). MDPI and/or the editor(s) disclaim responsibility for any injury to people or property resulting from any ideas, methods, instructions or products referred to in the content. |
© 2024 by the authors. Licensee MDPI, Basel, Switzerland. This article is an open access article distributed under the terms and conditions of the Creative Commons Attribution (CC BY) license (https://creativecommons.org/licenses/by/4.0/).
Share and Cite
Chew, X.Y.; Lim, K.-G. Gravitating Scalarons with Inverted Higgs Potential. Universe 2024, 10, 212. https://doi.org/10.3390/universe10050212
Chew XY, Lim K-G. Gravitating Scalarons with Inverted Higgs Potential. Universe. 2024; 10(5):212. https://doi.org/10.3390/universe10050212
Chicago/Turabian StyleChew, Xiao Yan, and Kok-Geng Lim. 2024. "Gravitating Scalarons with Inverted Higgs Potential" Universe 10, no. 5: 212. https://doi.org/10.3390/universe10050212
APA StyleChew, X. Y., & Lim, K.-G. (2024). Gravitating Scalarons with Inverted Higgs Potential. Universe, 10(5), 212. https://doi.org/10.3390/universe10050212

