Assessing the Similarity of Continuous Gravitational-Wave Signals to Narrow Instrumental Artifacts
Abstract
1. Introduction
2. Characterizing the Visibility of Continuous-Wave Signals
2.1. Expected Kurtosis from a Finite Gaussian Sample


2.2. Kurtosis from CW Signals
3. Implications for Astrophysical CW Sources
3.1. An Optimistic CW Source
3.2. Visibility of CW Signals in a Power Spectra
4. Conclusions
Author Contributions
Funding
Data Availability Statement
Acknowledgments
Conflicts of Interest
| 1 | |
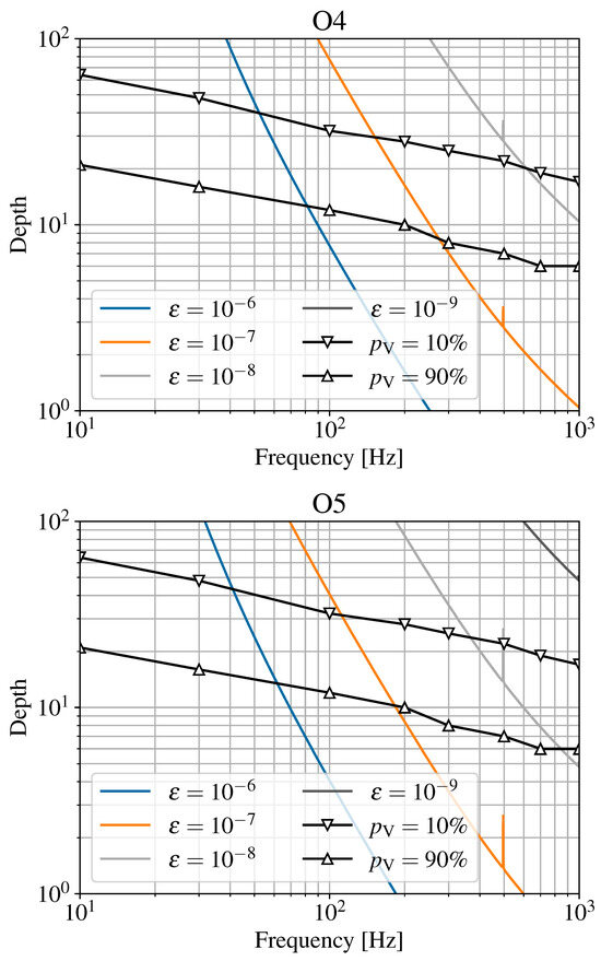
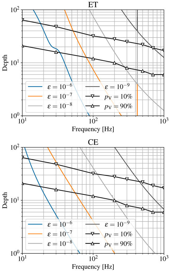
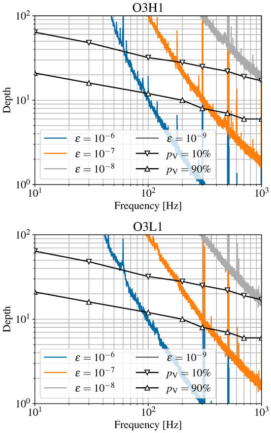
| 2 | As discussed in [52], the moment of inertia differs by a factor of ∼3 for different equations of state. Conversely, as discussed in the text, the equatorial ellipticity has a broader dynamical range depending on the sourcing mechanism; as a result, we choose to fix the moment of inertia to the canonical value and focus our discussion on . |
References
- Riles, K. Searches for continuous-wave gravitational radiation. Living Rev. Rel. 2023, 26, 3. [Google Scholar] [CrossRef]
- Wette, K. Searches for continuous gravitational waves from neutron stars: A twenty-year retrospective. Astropart. Phys. 2023, 153, 102880. [Google Scholar] [CrossRef]
- Sieniawska, M.; Bejger, M. Continuous gravitational waves from neutron stars: Current status and prospects. Universe 2019, 5, 217. [Google Scholar] [CrossRef]
- Zhu, S.J.; Baryakhtar, M.; Papa, M.A.; Tsuna, D.; Kawanaka, N.; Eggenstein, H.B. Characterizing the continuous gravitational-wave signal from boson clouds around Galactic isolated black holes. Phys. Rev. D 2020, 102, 063020. [Google Scholar] [CrossRef]
- Jones, D.; Sun, L.; Siemonsen, N.; East, W.E.; Scott, S.M.; Wette, K. Methods and prospects for gravitational-wave searches targeting ultralight vector-boson clouds around known black holes. Phys. Rev. D 2023, 108, 064001. [Google Scholar] [CrossRef]
- Miller, A.L.; Clesse, S.; De Lillo, F.; Bruno, G.; Depasse, A.; Tanasijczuk, A. Probing planetary-mass primordial black holes with continuous gravitational waves. Phys. Dark Univ. 2021, 32, 100836. [Google Scholar] [CrossRef]
- Miller, A.L.; Aggarwal, N.; Clesse, S.; De Lillo, F. Constraints on planetary and asteroid-mass primordial black holes from continuous gravitational-wave searches. Phys. Rev. D 2022, 105, 062008. [Google Scholar] [CrossRef]
- Aasi, J.; Abbott, B.P.; Abbott, R.; Abbott, T.; Abernathy, M.R.; Ackley, K.; Adams, C.; Adams, T.; Addesso, P.; Adhikari, R.X.; et al. Advanced LIGO. Class. Quant. Grav. 2015, 32, 074001. [Google Scholar] [CrossRef]
- Acernese, F.A.; Agathos, M.; Agatsuma, K.; Aisa, D.; Allemandou, N.; Allocca, A.; Amarni, J.; Astone, P.; Balestri, G.; Ballardin, G.; et al. Advanced Virgo: A second-generation interferometric gravitational wave detector. Class. Quant. Grav. 2015, 32, 024001. [Google Scholar] [CrossRef]
- Akutsu, T.; Ando, M.; Arai, K.; Arai, Y.; Araki, S.; Araya, A.; Aritomi, N.; Asada, H.; Aso, Y.; Atsuta, S.; et al. KAGRA: 2.5 Generation Interferometric Gravitational Wave Detector. Nat. Astron. 2019, 3, 35–40. [Google Scholar] [CrossRef]
- Maggiore, M.; Van Den Broeck, C.; Bartolo, N.; Belgacem, E.; Bertacca, D.; Bizouard, M.A.; Branchesi, M.; Clesse, S.; Foffa, S.; García-Bellido, J.; et al. Science Case for the Einstein Telescope. JCAP 2020, 03, 050. [Google Scholar] [CrossRef]
- Reitze, D.; Adhikari, R.X.; Ballmer, S.; Barish, B.; Barsotti, L.; Billingsley, G.; Brown, D.A.; Chen, Y.; Coyne, D.; Eisenstein, R.; et al. Contribution to Gravitational-Wave Astronomy beyond LIGO. Bull. Am. Astron. Soc. 2019, 51, 035. [Google Scholar]
- Jaranowski, P.; Krolak, A.; Schutz, B.F. Data analysis of gravitational-wave signals from spinning neutron stars. 1. The Signal and its detection. Phys. Rev. D 1998, 58, 063001. [Google Scholar] [CrossRef]
- Krishnan, B.; Sintes, A.M.; Papa, M.A.; Schutz, B.F.; Frasca, S.; Palomba, C. The Hough transform search for continuous gravitational waves. Phys. Rev. D 2004, 70, 082001. [Google Scholar] [CrossRef]
- Knispel, B.; Allen, B. Blandford’s Argument: The Strongest Continuous Gravitational Wave Signal. Phys. Rev. D 2008, 78, 044031. [Google Scholar] [CrossRef]
- Wade, L.; Siemens, X.; Kaplan, D.L.; Knispel, B.; Allen, B. Continuous Gravitational Waves from Isolated Galactic Neutron Stars in the Advanced Detector Era. Phys. Rev. D 2012, 86, 124011. [Google Scholar] [CrossRef]
- Tenorio, R.; Keitel, D.; Sintes, A.M. Search Methods for Continuous Gravitational-Wave Signals from Unknown Sources in the Advanced-Detector Era. Universe 2021, 7, 474. [Google Scholar] [CrossRef]
- Sarin, N.; Lasky, P.D.; Sammut, L.; Ashton, G. X-ray guided gravitational-wave search for binary neutron star merger remnants. Phys. Rev. D 2018, 98, 043011. [Google Scholar] [CrossRef]
- Oliver, M.; Keitel, D.; Sintes, A.M. Adaptive transient Hough method for long-duration gravitational wave transients. Phys. Rev. D 2019, 99, 104067. [Google Scholar] [CrossRef]
- Grace, B.; Wette, K.; Scott, S.M.; Sun, L. Piecewise frequency model for searches for long-transient gravitational waves from young neutron stars. Phys. Rev. D 2023, 108, 123045. [Google Scholar] [CrossRef]
- Prix, R.; Itoh, Y. Global parameter-space correlations of coherent searches for continuous gravitational waves. Class. Quant. Grav. 2005, 22, S1003–S1012. [Google Scholar] [CrossRef]
- Leaci, P. Methods to filter out spurious disturbances in continuous-wave searches from gravitational-wave detectors. Phys. Scr. 2015, 90, 125001. [Google Scholar] [CrossRef]
- Berger, B.K. Identification and mitigation of Advanced LIGO noise sources. J. Phys. Conf. Ser. 2018, 957, 012004. [Google Scholar] [CrossRef]
- Cabero, M.; Lundgren, A.; Nitz, A.H.; Dent, T.; Barker, D.; Goetz, E.; Kissel, J.S.; Nuttall, L.K.; Schale, P.; Schofield, R.; et al. Blip glitches in Advanced LIGO data. Class. Quant. Grav. 2019, 36, 15. [Google Scholar] [CrossRef]
- Davis, D.; Areeda, J.S.; Berger, B.K.; Bruntz, R.; Effler, A.; Essick, R.C.; Fisher, R.P.; Godwin, P.; Goetz, E.; Helmling-Cornell, A.F.; et al. LIGO detector characterization in the second and third observing runs. Class. Quant. Grav. 2021, 38, 135014. [Google Scholar] [CrossRef]
- Vazsonyi, L.; Davis, D. Identifying glitches near gravitational-wave signals from compact binary coalescences using the Q-transform. Class. Quant. Grav. 2023, 40, 035008. [Google Scholar] [CrossRef]
- Davis, D.; Littenberg, T.B.; Romero-Shaw, I.M.; Millhouse, M.; McIver, J.; Di Renzo, F.; Ashton, G. Subtracting glitches from gravitational-wave detector data during the third LIGO-Virgo observing run. Class. Quant. Grav. 2022, 39, 245013. [Google Scholar] [CrossRef]
- Covas, P.B.; Effler, A.; Goetz, E.; Meyers, P.M.; Neunzert, A.; Oliver, M.; Pearlstone, B.L.; Roma, V.J.; Schofield, R.M.S.; Adya, V.B.; et al. Identification and mitigation of narrow spectral artifacts that degrade searches for persistent gravitational waves in the first two observing runs of Advanced LIGO. Phys. Rev. D 2018, 97, 082002. [Google Scholar] [CrossRef]
- Goetz, E.; Neunzert, A.; Riles, K.; Matas, A.; Kandhasamy, S.; Tasson, J.; Barschaw, C.; Middleton, H.; Hughey, S.; Mueller, L.; et al. O3 Lines and Combs in Found in Self-Gated C01 Data. 2021. Available online: https://dcc.ligo.org/LIGO-T2100200/public (accessed on 1 December 2023).
- Goetz, E.; Neunzert, A.; Riles, K.; Matas, A.; Kandhasamy, S.; Tasson, J.; Barschaw, C.; Middleton, H.; Hughey, S.; Mueller, L.; et al. Unidentified O3 Lines Found in Self-Gated C01 Data. 2021. Available online: https://dcc.ligo.org/LIGO-T2100201/public (accessed on 1 December 2023).
- Steltner, B.; Papa, M.A.; Eggenstein, H.B.; Prix, R.; Bensch, M.; Allen, B.; Machenschalk, B. Deep Einstein@Home All-sky Search for Continuous Gravitational Waves in LIGO O3 Public Data. Astrophys. J. 2023, 952, 55. [Google Scholar] [CrossRef]
- Keitel, D.; Prix, R.; Papa, M.A.; Leaci, P.; Siddiqi, M. Search for continuous gravitational waves: Improving robustness versus instrumental artifacts. Phys. Rev. D 2014, 89, 064023. [Google Scholar] [CrossRef]
- Zhu, S.J.; Papa, M.A.; Walsh, S. New veto for continuous gravitational wave searches. Phys. Rev. D 2017, 96, 124007. [Google Scholar] [CrossRef]
- Valluri, S.R.; Dergachev, V.; Zhang, X.; Chishtie, F.A. Fourier transform of the continuous gravitational wave signal. Phys. Rev. D 2021, 104, 024065. [Google Scholar] [CrossRef]
- Tenorio, R.; Keitel, D.; Sintes, A.M. Application of a hierarchical MCMC follow-up to Advanced LIGO continuous gravitational-wave candidates. Phys. Rev. D 2021, 104, 084012. [Google Scholar] [CrossRef]
- Jones, D.; Sun, L.; Carlin, J.; Dunn, L.; Millhouse, M.; Middleton, H.; Meyers, P.; Clearwater, P.; Beniwal, D.; Strang, L.; et al. Validating continuous gravitational-wave candidates from a semicoherent search using Doppler modulation and an effective point spread function. Phys. Rev. D 2022, 106, 123011. [Google Scholar] [CrossRef]
- Allen, B.; Goetz, E.; Keitel, D.; Landry, M.; Mendell, G.; Prix, R.; Riles, K.; Wette, K. SFT Data Format Version 2–3 Specification. 2023. Available online: https://dcc.ligo.org/LIGO-T040164 (accessed on 1 December 2023).
- Bretthorst, G.L. Bayesian Spectrum Analysis and Parameter Estimation; Springer: New York, NY, USA, 1988. [Google Scholar] [CrossRef]
- Das, K. A Brief Review of Tests for Normality. Am. J. Theor. Appl. Stat. 2016, 5, 5. [Google Scholar] [CrossRef]
- Owen, B.J.; Lindblom, L.; Pinheiro, L.S.; Rajbhandari, B. Improved Upper Limits on Gravitational Wave Emission from NS 1987A in SNR 1987A. Astrophys. J. Lett. 2023, 962, L23. [Google Scholar] [CrossRef]
- Cramér, H. On the composition of elementary errors. Scand. Actuar. J. 1928, 1928, 13–74. [Google Scholar] [CrossRef]
- Westfall, P.H. Kurtosis as Peakedness, 1905–2014. R.I.P. Am. Stat. 2014, 68, 191–195. [Google Scholar] [CrossRef] [PubMed]
- Joanes, D.N.; Gill, C.A. Comparing measures of sample skewness and kurtosis. J. R. Stat. Soc. Ser. (The Stat.) 1998, 47, 183–189. [Google Scholar] [CrossRef]
- Fisher, R.A. The Moments of the Distribution for Normal Samples of Measures of Departure from Normality. Proc. R. Soc. Lond. Ser. A 1930, 130, 16–28. [Google Scholar] [CrossRef]
- Virtanen, P.; Gommers, R.; Oliphant, T.E.; Haberland, M.; Reddy, T.; Cournapeau, D.; Burovski, E.; Peterson, P.; Weckesser, W.; Bright, J.; et al. SciPy 1.0: Fundamental Algorithms for Scientific Computing in Python. Nat. Methods 2020, 17, 261–272. [Google Scholar] [CrossRef] [PubMed]
- LIGO Scientific Collaboration; Virgo Collaboration; KAGRA Collaboration. LVK Algorithm Library—LALSuite. Free Software (GPL). Software Version 7.21. Available online: https://pypi.org/project/lalsuite/ (accessed on 1 December 2023).
- Abbott, R.; Abe, H.; Acernese, F.; Ackley, K.; Adhikari, N.; Adhikari, R.X.; Adkins, V.K.; Adya, V.B.; Affeldt, C.; Agarwal, D.; et al. All-sky search for continuous gravitational waves from isolated neutron stars using Advanced LIGO and Advanced Virgo O3 data. Phys. Rev. D 2022, 106, 102008. [Google Scholar] [CrossRef]
- Manchester, R.N.; Hobbs, G.B.; Teoh, A.; Hobbs, M. The Australia Telescope National Facility Pulsar Catalogue. Astrophys. J. 2005, 129, 1993–2006. [Google Scholar] [CrossRef]
- Behnke, B.; Papa, M.A.; Prix, R. Postprocessing methods used in the search for continuous gravitational-wave signals from the Galactic Center. Phys. Rev. D 2015, 91, 064007. [Google Scholar] [CrossRef]
- Dreissigacker, C.; Prix, R.; Wette, K. Fast and Accurate Sensitivity Estimation for Continuous-Gravitational-Wave Searches. Phys. Rev. D 2018, 98, 084058. [Google Scholar] [CrossRef]
- Wolfram Research, Inc. Mathematica, Version 13.3; Wolfram Research, Inc.: Champaign, IL, USA, 2023.
- Abbott, B.; Abbott, R.; Adhikari, R.; Agresti, J.; Ajith, P.; Allen, B.; Amin, R.; Anderson, S.B.; Anderson, W.G.; Arain, M.; et al. Upper limits on gravitational wave emission from 78 radio pulsars. Phys. Rev. D 2007, 76, 042001. [Google Scholar] [CrossRef]
- Tenorio, R. Blind-search constraints on the sub-kiloparsec population of continuous gravitational-wave sources. arXiv 2023, arXiv:2310.12097. [Google Scholar]
- Gittins, F.; Andersson, N. Modelling neutron star mountains in relativity. Mon. Not. Roy. Astron. Soc. 2021, 507, 116–128. [Google Scholar] [CrossRef]
- Morales, J.A.; Horowitz, C.J. Neutron star crust can support a large ellipticity. Mon. Not. Roy. Astron. Soc. 2022, 517, 5610–5616. [Google Scholar] [CrossRef]
- Owen, B.J. Maximum elastic deformations of compact stars with exotic equations of state. Phys. Rev. Lett. 2005, 95, 211101. [Google Scholar] [CrossRef]
- Woan, G.; Pitkin, M.D.; Haskell, B.; Jones, D.I.; Lasky, P.D. Evidence for a Minimum Ellipticity in Millisecond Pulsars. Astrophys. J. Lett. 2018, 863, L40. [Google Scholar] [CrossRef]
- Sartore, N.; Ripamonti, E.; Treves, A.; Turolla, R. Galactic neutron stars. I. Space and velocity distributions in the disk and in the halo. Astron. Astrophys. 2010, 510, A23. [Google Scholar] [CrossRef]
- Goetz, E. H1 Calibrated Sensitivity Spectra 4 January 2020 (Representative best of O3b – C01_CLEAN_SUB60HZ). 2021. Available online: https://dcc.ligo.org/LIGO-G2100674/public (accessed on 1 December 2023).
- Goetz, E. L1 Calibrated Sensitivity Spectra 4 January 2020 (Representative best of O3b – C01_CLEAN_SUB60HZ). 2021. Available online: https://dcc.ligo.org/LIGO-G2100675/public (accessed on 1 December 2023).
- Barsotti, L.; Fritschel, P.; Evans, M.; Gras, S. Updated Advanced LIGO Sensitivity Design Curve. 2018. Available online: https://dcc.ligo.org/LIGO-T1800044/public (accessed on 1 December 2023).
- Barsotti, L.; McCuller, L.; Evans, M.; Fritschel, P. Updated Advanced LIGO Sensitivity Design Curve. 2018. Available online: https://dcc.ligo.org/LIGO-T1800042/public (accessed on 1 December 2023).
- ET Design Study Team. ET-0001A-18/ET-0001A-18.txt. Available online: https://www.et-gw.eu/index.php/etsensitivities (accessed on 9 October 2023).
- Hild, S.; Chelkowski, S.; Freise, A.; Franc, J.; Morgado, N.; Flaminio, R.; DeSalvo, R. A Xylophone Configuration for a third Generation Gravitational Wave Detector. Class. Quant. Grav. 2010, 27, 015003. [Google Scholar] [CrossRef]
- Kuns, K.; Hall, E.; Srivastava, V.; Smith, J.; Evans, M.; Fritschel, P.; McCuller, L.; Wipf, C.; Ballmer, S. T2000017-v6/cosmic_explorer_strain.txt. Available online: https://dcc.cosmicexplorer.org/CE-T2000017/public (accessed on 9 October 2023).
- Ashton, G.; Prix, R.; Jones, D.I. Statistical characterization of pulsar glitches and their potential impact on searches for continuous gravitational waves. Phys. Rev. D 2017, 96, 063004. [Google Scholar] [CrossRef]
- Ashton, G.; Prix, R.; Jones, D.I. A semicoherent glitch-robust continuous-gravitational-wave search method. Phys. Rev. D 2018, 98, 063011. [Google Scholar] [CrossRef]
- Mukherjee, A.; Messenger, C.; Riles, K. Accretion-induced spin-wandering effects on the neutron star in Scorpius X-1: Implications for continuous gravitational wave searches. Phys. Rev. D 2018, 97, 043016. [Google Scholar] [CrossRef]
- Bayley, J.; Messenger, C.; Woan, G. Generalized application of the Viterbi algorithm to searches for continuous gravitational-wave signals. Phys. Rev. D 2019, 100, 023006. [Google Scholar] [CrossRef]
- Bayley, J.; Messenger, C.; Woan, G. Robust machine learning algorithm to search for continuous gravitational waves. Phys. Rev. D 2020, 102, 083024. [Google Scholar] [CrossRef]







| 1800 s | 7200 s | 18,000 s | |
|---|---|---|---|
| 0.182 | 0.185 | 0.188 |
| 10 Hz | 30 Hz | 100 Hz | 200 Hz | 300 Hz | 500 Hz | 700 Hz | 1000 Hz | ||
|---|---|---|---|---|---|---|---|---|---|
| 21 | 16 | 12 | 10 | 8 | 7 | 6 | 6 | ||
| 64 | 48 | 34 | 28 | 25 | 22 | 19 | 17 | ||
| 21 | 16 | 11 | 9 | 8 | 6 | 5 | 5 | ||
| 64 | 47 | 33 | 26 | 23 | 19 | 17 | 15 | ||
| 18,000 s | 20 | 15 | 11 | 8 | 7 | 5 | 5 | 4 | |
| 63 | 46 | 31 | 25 | 21 | 18 | 16 | 13 |
Disclaimer/Publisher’s Note: The statements, opinions and data contained in all publications are solely those of the individual author(s) and contributor(s) and not of MDPI and/or the editor(s). MDPI and/or the editor(s) disclaim responsibility for any injury to people or property resulting from any ideas, methods, instructions or products referred to in the content. |
© 2024 by the authors. Licensee MDPI, Basel, Switzerland. This article is an open access article distributed under the terms and conditions of the Creative Commons Attribution (CC BY) license (https://creativecommons.org/licenses/by/4.0/).
Share and Cite
Jaume, R.; Tenorio, R.; Sintes, A.M. Assessing the Similarity of Continuous Gravitational-Wave Signals to Narrow Instrumental Artifacts. Universe 2024, 10, 121. https://doi.org/10.3390/universe10030121
Jaume R, Tenorio R, Sintes AM. Assessing the Similarity of Continuous Gravitational-Wave Signals to Narrow Instrumental Artifacts. Universe. 2024; 10(3):121. https://doi.org/10.3390/universe10030121
Chicago/Turabian StyleJaume, Rafel, Rodrigo Tenorio, and Alicia M. Sintes. 2024. "Assessing the Similarity of Continuous Gravitational-Wave Signals to Narrow Instrumental Artifacts" Universe 10, no. 3: 121. https://doi.org/10.3390/universe10030121
APA StyleJaume, R., Tenorio, R., & Sintes, A. M. (2024). Assessing the Similarity of Continuous Gravitational-Wave Signals to Narrow Instrumental Artifacts. Universe, 10(3), 121. https://doi.org/10.3390/universe10030121

