Abstract
The Hubble tension in cosmology is not showing signs of alleviation and thus, it is important to look for alternative approaches to it. One such example would be the eventual detection of a time delay between simultaneously emitted high-energy and low-energy photons in gamma-ray bursts (GRB). This would signal a possible Lorentz Invariance Violation (LIV) and in the case of non-zero quantum gravity time delay, it can be used to study cosmology as well. In this work, we use various astrophysical datasets (BAO, Pantheon Plus and the CMB distance priors), combined with two GRB time delay datasets with their respective models for the intrinsic time delay. Since the intrinsic time delay is considered the largest source of uncertainty in such studies, finding a better model is important. Our results yield as quantum gravity energy bound GeV and GeV respectively. The difference between standard approximation (constant intrinsic lag) and the extended (non-constant) approximations is minimal in most cases we conside. However, the biggest effect on the results comes from the prior on the parameter , emphasizing once again that at current precision, cosmological datasets are the dominant factor in determining the cosmology. We estimate the energies at which cosmology gets significantly affected by the time delay dataset.
1. Introduction
The current cosmological probes have reached an unprecedented level of precision and understanding of the systematics related to measurements. Yet, the unanswered questions remain, with the tensions in cosmology the most famous among them. Currently, the Hubble tensions stands at [1,2] and the need for new approaches is clear [3,4,5,6,7,8,9,10,11,12,13,14,15,16,17].
The search for Lorentz Invariance Violation (LIV) through astrophysical probes has a long history [1,18,19,20,21,22,23,24,25,26,27,28,29,30,31,32,33,34,35,36,37,38,39,40,41,42,43,44,45,46,47,48]. Some quantum gravity theories predict violations of relativistic symmetries through messenger dispersion (photons, neutrinos, gravitational waves), the detection of which might offer crucial clues for unified theories [35].
There are two possible ways to look for LIV—either locally by dedicated experiments [49], that are so far out of our reach, or alternatively, through cosmological probes. The reason for this is that LIV effects are supposed to be amplified by the distance and also by the energy of the emission. Because of this, astrophysical probes such as gamma-ray bursts (GRB) are very well suited for such studies. Gamma-ray bursts possess two important qualities for such studies—they can be seen at extreme distances ( [50]) and at extreme energies ( [51]). Additionally, GRB’s emissions have been observed in a very wide energy band, spanning from keV to TeV (for example, GRB 221009A with emission > 10 TeV [52,53]). LIV effects are usually measured by the bound of the quantum energy above which they could be observed. A plot of some measurements along with the references can be found in Figure 1. The color legend of the figure refers to the different approximations for the intrinsic time delay used to obtain the points—the blue square uses the standard approximation [22,54], the green color uses the energy fit [55,56,57,58,59], the red one uses the fireball model [60], the brown one uses a variable luminosity [61], and the black circle uses the SME framework [62]. The most stringent bounds come from the TeV emissions of GRB 221009A (18 TeV [52]) and GRB 190114C (0.2 TeV [47]).
Figure 1.
Current upper limits of : P1 [22], P2 [56], P3 [47], P4 [62], P5 [63], P6 [57], P7 [55], P8 [58], P9 [59], P10 [60], P11 [54], P12 [61], P13 [64], P14 [64], P15 [52]. The red line signifies the Planck energy. The legend can be found in the text.
While the eventual LIV effect would be very small, if it is different from zero, it can also contribute to cosmology studies, providing new datasets independent of the luminosity measurements. Such datasets critically depend on the goodness of the GRB model (affecting the intrinsic time delay) and on the understanding of the propagational systematics of the messenger (affecting the other components of the time delay). Yet, they could help us look at cosmological tensions from another angle. The question of the use of GRBs in cosmology has been studied extensively, for example, using them as standardized candles [65,66,67,68] (and reference therein), through the cosmographic approach [69] and trying to reduce the Hubble tension [70], in combination with BAO, supernovae and quasars and a combined cosmological parameter [71].
In a previous paper [64], we started our investigation on how cosmology affects such constraints. LIV can be constrained either from the different energy bands of a single event or from averaging over multiple events, or both. However, cosmology needs to be taken into account in the estimations. It is particularly important when averaging over multiple GRBs due to the different redshifts employed. In [64], we obtained that the effect of adding cosmology may be significant for certain models and datasets. The biggest unknown in such a study is the intrinsic time delay—i.e., the possibility that the high and low-energy photons were not emitted at the same time. Since we do not have a good enough model of the GRB progenitor to predict the intrinsic time delay, we need to approximate it with a toy model. In [64], we used the standard approximation that assumes a constant (over the energy or the luminosity) intrinsic time delay, common for all the GRBs.
Here, we change that approximation, with two of the most popular other approximations. The first one is the energy-dependent intrinsic time delay introduced in [55,72], which yields as bound for the quantum gravity energy scale GeV from GRB 160625B and 23 more GRBs [63] and GeV [57]. The other is the luminosity-dependent approximation for which the previously published result is GeV [61].
In this paper, we use these two extended approximations for the intrinsic time delay and we apply them to two available GRB time delay (TD) datasets, to which we add several robust cosmological datasets. These are the angular baryonic acoustic oscillations (transversal BAO), supernovae type IA (the Pantheon Plus dataset), and the CMB distance prior. To the standard CDM model, we add two dark energy (DE) models and a spatial curvature model (CDM). We show that at the current level of precision for the LIV parameters, the cosmology is more affected by the priors on the parameter than by the intrinsic time delay approximation. We see that indeed the extended approximation has an effect on our measurement of the LIV parameter , but in most cases it is small. The other LIV parameters remain largely unconstrained.
2. Theoretical Setup
2.1. Definition of the LIV Time Delay
We consider a modified dispersion relation for photons [19,62] of the type:
with —the energy of the QG scale, c is the speed of light, p and E—the momentum and energy of photons and the for subluminal or superluminal propagation [62]. Here, we work only with and subluminal LIV.
Following [23,73,74], the time delay between a low-energy () and a high-energy () photon with in the subluminal case is
where is the Hubble parameter, —the Hubble constant at and —the equation of state of the Universe.
2.2. Different LIV Approximations
The observed time delay is a combination of the quantum-gravity time delay, the intrinsic time delay and different propagational effects [75,76,77]. While the propagational effects can be ignored for high-energy photons, to put bounds on the quantum gravity time delay, we need to make an approximation for the intrinsic time delay. Here, we will compare the standard approximation with two of the most popular other approximations.
1. Standard approximation (e.g., [22,74,75,78])
For it, one assumes the following forms for the intrinsic time delay: , where is a free parameter.
In this case, for the GRB time delay, one obtains:
where , and
If , there is no LIV, while if , there is LIV on energy scales above . The connection between the QG effect and cosmology comes from the term .
In our models, we use the form
As in our previous paper [64], we denote and b is replaced with , to avoid mixing this parameter with .
2. The energy-dependent approximation
This approximation has been used in [55,57,58,63] and also in [56] with (). This popular formula assumes that in the source frame, the intrinsic positive time lag increases with the energy E as a power law:
Here, keV is the median value of the fixed lowest energy band (10–12 keV). The free parameters are and . While this fit is usually associated with studying a single GRB in multiple energy bands, [58] has also applied it to multiple GRBs. Note, from here on, we rename the parameters as follows: . This is in order to differentiate them from the LIV and the cosmological b.
3. Intrinsic GRB lag-luminosity relation approximation
This formula has been used in [61] to describe the intrinsic time delay of long GRBs.
Here, is arbitrary normalization, and and are the free parameters. For short GRBs, one takes , which recovers the standard approximation.
2.3. Cosmology
The equation of state of the Universe for a flat Friedmann-Lemaître-Robertson-Walker metric with the scale parameter is:
where for CDM. The expansion of the universe is governed by , where is the Hubble parameter at redshift z. , and are the fractional matter, spatial and dark energy densities at redshift .
We will consider a few dynamical dark energy models: number of different DE models: Chevallier-Polarski-Linder (CPL, [79,80,81]) and Barboza-Alcaniz (BA [82,83]). The relevant equations for for Equation (8) can be found in Table 1. For one recovers CDM.
Table 1.
The DE models we use in this work. The references can be found in the text.
To infer the cosmological parameters, we need to define the angular diameter distance :
where , x, for , , , respectively.
It connects to the transversal BAO measurements through the angular scale measurement :
The Pantheon Plus datasets measure the distance modulus , which is related to the luminosity distance () in Mpc through
where is the absolute magnitude.
Finally, we include the CMB through the distance priors datapoints provided by [84]:
where is the acoustic scale coming from the CMB temperature power spectrum in the transverse direction and R is the “shift parameter” obtained from the CMB temperature spectrum along the line-of-sight direction [85]. is the co-moving sound horizon at redshift photon decoupling ( [86]).
3. Methods
The idea of the method is to avoid setting priors on and by considering only the quantity . The method has been outlined in [64]. For this reason, we just list the different likelihoods here. For BAO we have
Here, is a vector of the observed points, for BAO corresponding to , is the theoretical prediction of the model (for BAO—) and is the error of each measurement.
For the SN dataset, we marginalize over and . The integrated in this case is ([87,88,89,90]):
for
where is the observational distance modulus, is its error, and the is the luminosity distance, , is the unit matrix, and is the inverse covariance matrix of the Pantheon Plus dataset as given by [91,92].
Finally, we define the time delay likelihood as Equation (12), but here, the quantity we consider is the theoretical time delay (), as defined in Equation (5) and its observational value (), which is provided by the TD dataset.
The final is
4. Datasets
In this work, we use the so-called transversal BAO dataset published by [93], for which the authors claim to be cleaned up from the dependence on the cosmological model and uncorrelated. The CMB distant prior is given by [84]. The SN data comes from the Pantheon Plus dataset. It consists of 1701 light curves of 1550 spectroscopically confirmed Type Ia supernovae and their covariances, from which distance modulus measurements have been obtained [91,92,94].
To study the time delays, we use two different time delays (TD) datasets—TD1 provided by [61] and TD2 [59]. TD1 uses a combined sample of 49 long and short GRBs observed by Swift, dating between 2005 to 2013. In this dataset [61,95], the time lags have been extracted through a discrete cross-correlation function (CCF) analysis between characteristic rest-frame energy bands of 100–150 keV and 200–250 keV. The redshift for TD1 is . TD2 [59] uses 46 short GRBs with measured redshifts at Fixed Energy Bands (15–70 keV and 120–250 keV) gathered between 2004 and 2020 by Swift/BAT or Fermi/GBM. The two datasets have only six common GRBs, which is under 15% of their total number (49 vs. 46 events), which makes them effectively uncorrelated and independent. Because we want to emphasize the effect of cosmology, we prefer to average over multiple GRBs rather than to use measurements from a single GRB [22].
To run the inference, we use a nested sampler, provided by the open-source package [96] and the package package [97] for the plots.
We use uniform priors for all quantities: , , , and . Since the distance prior is defined at the decoupling epoch () and the BAO—at drag epoch (), we parametrize the difference between and as , where the prior for the ratio is . The LIV priors are .
5. Results
In [64], we started investigating the effect of cosmology on LIV bounds by studying in the standard approximation (Equation (3)) two databases: the most famous and robust time delay dataset published by Ellis et al. [22] and the one that we currently refer to as TD1. To avoid repetition. In this section, we present only the extended approximations1. For completeness, the results for the standard approximation for TD1 and TD2 are presented in Appendix C.
Since our previous work [64] demonstrated a deviation from the expected values for b and , here, we want to investigate further this observation. To this end, we try two hypotheses for the two datasets—a uniform prior on b and a Gaussian prior focused on the expected value from Planck results, . For the standard approximation, this leads to a very clear higher value of but a minimal difference for the DE parameters and and .
The results for the extended models are summarized below.
- –
- Matter density
In Figure 2, one can see the plot of b vs. for the extended LIV models for the four different cosmological models we consider (and the two priors on b).
Figure 2.
Posteriors (95%CL and 68% CL) for the TD1 dataset (left) and the TD2 dataset (right) for the parameters b and .
For both datasets, we see two groups of posteriors—one grouped around the top right corner, which corresponds to the Gaussian priors on b, and one that spans across the whole interval for the uniform prior. In both cases, the mean value and the 95% CL of b are below the expected value of for the three models.
For TD1, setting the Gaussian prior for b in this case significantly constrains and puts it in the limits of [0.29,0.34] at 95% CL. In this case, CDM gives the highest mean and gives the lowest one, with CDM in between. For the uniform prior, the posterior for is much less constrained, with the lowest value coming from CDM and the posteriors for CDM and CPL largely coinciding.
For the other dataset, TD2, the situation repeats to a great extent, with a little bit higher matter density for the Gaussian prior and and the lowest value for is for CDM and the highest for CDM. For the uniform prior, we have again the lowest value for and b coming from CDM and CDM and CPL largely coinciding.
- –
- Spatial curvature
The results for CDM are presented in Figure 3.
Figure 3.
Posteriors (95%CL and 68% CL) for the TD1 dataset (left) and the TD2 dataset (right)—the spatial curvature vs. .
We see that our results are not consistent with a flat universe at the 95% CL even for a uniform prior on b. For TD1, we get a bit less constrained contours for , but more constrained than the flat cases. A rather interesting feature is the huge difference in between the uniform and the Gaussian cases for both datasets. Our prior on is relatively small (), however, due to the large number of parameters of the model.
- –
- DE parameters
The two DE models we consider are shown in Figure 4. Their DE parameters and are largely insensitive to the dataset and their mean values for are lower than expected for CDM, with . This is a different value from the one obtained [64], which was consistent with CDM at 68% CL. The result in the study [71] without TD on the other hand, shows values about . In the two latter works, we use the Pantheon dataset, while here, we use the Pantheon Plus. To clarify if the difference is due to the new SN dataset or to the new TD datasets, we ran the same experiment with Pantheon instead of Pantheon Plus and it gave within 68% CL. As expected, the parameter is well constrained by the data while is not constrained at all.
Figure 4.
Posteriors (95%CL and 68% CL) for the TD1 dataset (left) and the TD2 dataset (right) in the plane.
Note, the cosmological results for TD1 and TD2 for the extended models look largely the same. That could be due to similar treatment of the data or other reasons (like adding additional degrees of freedom in the extended models). The standard approximation posteriors presented in Appendix A show a larger dependence on the dataset. Also, the LIV contribution to the fit is quite small due to the smallness of . As long as it is non-negligible, it still contributes to the cosmology in a minor way, as seen above in b and . The numerical experiment shows that for the TD1 dataset, the effect of the TD dataset on the cosmology becomes really pronounced at about , while for TD2, it becomes pronounced at about . This is just an order or two above our current constraints for . This means that observing an event that would push the bound for lower (or having a GRB intrinsic time delay model that would do so) would also bring the TD measurement on par with the current cosmological probes.
- –
- LIV Parameters
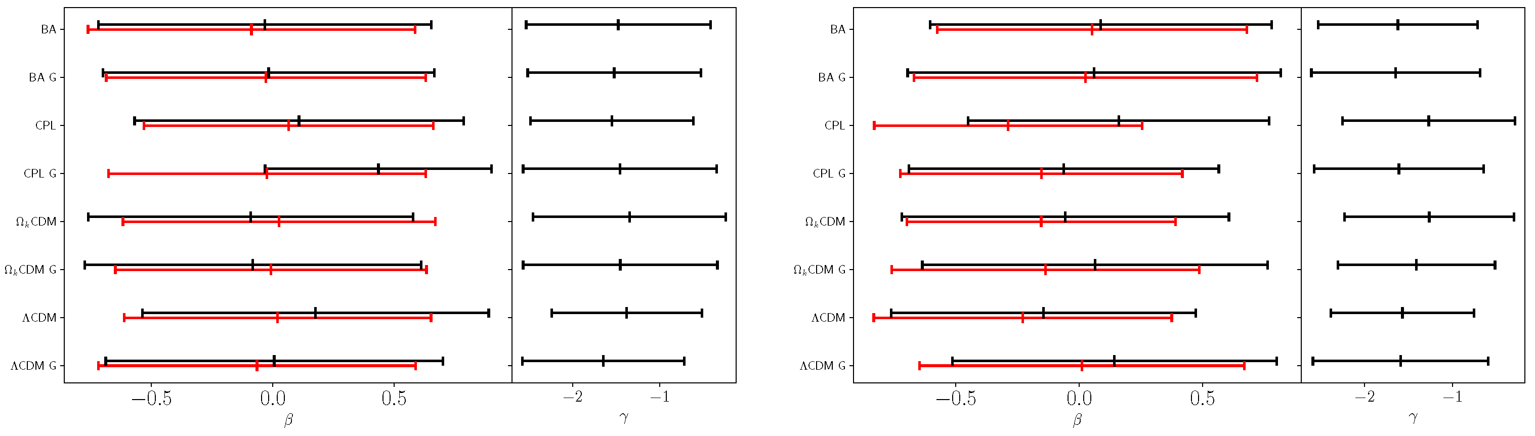
Finally, we are going to discuss the LIV parameters, and . They are shown in Figure 5 and Figure 6. In Figure 5, we can see the values for we obtained (where it should be noted that the lower bound on is, of course, 0). As a whole, TD1 gives 10 times higher values for than (which has been noticed also in our previous paper). We also see that the extended models do not have a conclusive improvement over the standard approximation, even though, for some of the models considered, they lead to significantly smaller , meaning higher .
Figure 5.
Mean values and errors for the parameter for the standard approximation (red) and the extended one (black) different models. To the (left) are the results for TD1 and to the (right)—from TD2.
Figure 6.
Mean values and errors (68%CL) for the parameters and for the standard approximation (red) and the extended one (black) different models. To the (left) are the results for TD1 and to the (right)—from TD2.
In Figure 6, we show the parameters and . We note that they are mostly unconstrained in all of the models and while there are differences between the standard and the extended approximations, they are minor. The posteriors for the LIV parameters can be found in Appendix B.
To obtain the values for , one needs to use the formula . This requires inputting the specific energy band for each dataset (), and choosing a value for . The error in this case will be
Since is the low limit of our priors, which gives an upper bound for infinity, we can get only the lower bound of the quantum gravity energy. We take as the 68% CL corresponding to deviation and we take the minimal and the maximal energies obtained for the different models. The results can be found in Table 2. In it, one needs to remember that the error comes from the incertitude in and the numerical estimation of ; thus, it is not supposed to be taken as a measurement, but as an estimation of the error we get from this study.
Table 2.
The minimal and maximal energy for the standard approximation (SA) and the extended approximation (EA).
6. Discussion
We have studied the LIV bounds and the effect of cosmology based on two different datasets TD1 [61,95] and TD2 [59]. To allow testing for new approximations for the intrinsic time delay, we have added two extended models—the intrinsic GRB lag-luminosity relation approximation for TD1 and the energy-dependent approximation for TD2 and we have compared them to the standard approximation (“constant” intrinsic time, i.e., not depending on the energy or the luminosity). To study the effect of the cosmological model, we have used additional cosmological datasets including transversal BAO, the Pantheon Plus dataset and the CMB distance priors. These are some of the most robust cosmological datasets; thus, they provide the best opportunity to study the joint effect of cosmology and LIV. We have considered CDN, CDM, the CPL and the BA dark energy models.
From the results we obtain, we see that the strongest effect is due to the prior on the parameter and not so much on the approximation for the intrinsic lag. This is because first the LIV effect is expected to be very small, and second, the intrinsic lag parameters are largely unbound from the current data. Instead, we see that the results for depend a lot on the cosmological model. The lowest bounds of are for CDM and the highest for CDM G (TD1) and BA (TD2). Surprisingly, despite the new degrees of freedom introduced by the LIV parameters, the CDM model suggests a closed universe. In terms of LIV energy, we obtain as lowest bound for TD1 GeV and for TD2: GeV. In both cases, the error is significant, regardless of the small error of . TD1 tends to give 10 times larger values of than TD2. The effect of the TD datasets on the cosmological parameters becomes noticeable if is an order higher than the inferred one, meaning lower than the currently estimated .
In conclusion, we see that for the moment, the time delay datasets are not precise enough to constrain the cosmological effects, while the cosmological models have a serious effect on the LIV constraints. For this situation to change, we need to improve the model of the GRB central engine and also to be able to better constrain the propagational effects, which are considered negligible at high energies; however, one needs to remember that not all measurements are made at very high energies, especially for the older GRB collections. Finally, a new and better approximation for the intrinsic time delay could benefit both GRB theoretical models and cosmological studies.
Funding
This work was conducted in a Short Term Scientific Missions (STSM) in Spain, funded by the COST Action CA21136 “Addressing observational tensions in cosmology with systematics and fundamental physics (CosmoVerse)”.
Data Availability Statement
Data are contained within the article.
Acknowledgments
D.S. is grateful to Diego Rubiera-Garcia for his hospitality at Complutense University.
Conflicts of Interest
The author declares no conflicts of interest.
Appendix A. Posteriors of the Models
Figure A1.
Posteriors for the TD1 dataset for the standard approximation (left panel) and the extended approximation (right panel). On each panel, the uniform prior is on the bottom triangle plot, the Gaussian—on the top one.
Figure A1.
Posteriors for the TD1 dataset for the standard approximation (left panel) and the extended approximation (right panel). On each panel, the uniform prior is on the bottom triangle plot, the Gaussian—on the top one.

Figure A2.
Posteriors for the TD2 dataset for the standard approximation (left panel) and the extended approximation (right panel). On each panel, the uniform prior is on the bottom triangle plot, the Gaussian—on the top one.
Figure A2.
Posteriors for the TD2 dataset for the standard approximation (left panel) and the extended approximation (right panel). On each panel, the uniform prior is on the bottom triangle plot, the Gaussian—on the top one.

Appendix B. LIV Parameters Posteriors
Figure A3.
Posteriors (95% CL and 68% CL) for the TD1 dataset (top panel) and the TD2 dataset (bottom panel). On the left, we have the SA case with its two parameters and , on the right, the EA case with its three parameters , and . As seen for the plots, only can be bounded with these datasets.
Figure A3.
Posteriors (95% CL and 68% CL) for the TD1 dataset (top panel) and the TD2 dataset (bottom panel). On the left, we have the SA case with its two parameters and , on the right, the EA case with its three parameters , and . As seen for the plots, only can be bounded with these datasets.

Appendix C. Tables of the Results
Table A1.
Mean values for the TD1 dataset for the standard approximation.
Table A1.
Mean values for the TD1 dataset for the standard approximation.
| Model | ||||||
|---|---|---|---|---|---|---|
| CDM G | 0.000 | 0.000 | 0.000 | |||
| CDM | 0.000 | 0.000 | 0.000 | |||
| CDM G | 0.000 | 0.000 | ||||
| CDM | 0.000 | 0.000 | ||||
| CPL G | 0.000 | |||||
| CPL | 0.000 | |||||
| BA G | 0.000 | |||||
| BA | 0.000 |
Table A2.
Mean values for the TD1 dataset for the extended approximation.
Table A2.
Mean values for the TD1 dataset for the extended approximation.
| Model | ||||||
|---|---|---|---|---|---|---|
| CDM GL | 0.000 | 0.000 | 0.000 | |||
| CDM L | 0.000 | 0.000 | 0.000 | |||
| CDM GL | 0.000 | 0.000 | ||||
| CDM L | 0.000 | 0.000 | ||||
| CPL GL | 0.000 | |||||
| CPL L | 0.000 | |||||
| BA GL | 0.000 | |||||
| BAL | 0.000 |
Table A3.
Mean values for the TD2 dataset for the standard.
Table A3.
Mean values for the TD2 dataset for the standard.
| Model | ||||||
|---|---|---|---|---|---|---|
| CDM G | 0.000 | 0.000 | 0.000 | |||
| CDM | 0.000 | 0.000 | 0.000 | |||
| CDM G | 0.000 | 0.000 | ||||
| CDM | 0.000 | 0.000 | ||||
| CPL G | 0.000 | |||||
| CPL | 0.000 | |||||
| BA G | 0.000 | |||||
| BA | 0.000 |
Table A4.
Mean values for the TD2 dataset for the extended approximation.
Table A4.
Mean values for the TD2 dataset for the extended approximation.
| Model | ||||||
|---|---|---|---|---|---|---|
| CDM GL | 0.000 | 0.000 | 0.000 | |||
| CDM L | 0.000 | 0.000 | 0.000 | |||
| CDM GL | 0.000 | 0.000 | ||||
| CDM L | 0.000 | 0.000 | ||||
| CPL GL | 0.000 | |||||
| CPL L | 0.000 | |||||
| BA GL | 0.000 | |||||
| BAL | 0.000 |
Table A5.
The LIV parameters for TD1: to the left—the standard approximation, to the right—the extended one.
Table A5.
The LIV parameters for TD1: to the left—the standard approximation, to the right—the extended one.
| Model | B | ||||
|---|---|---|---|---|---|
| CDM G | |||||
| CDM | |||||
| CDM G | |||||
| CDM | |||||
| CPL G | |||||
| CPL | |||||
| BA G | |||||
| BA |
Table A6.
The LIV parameters for TD2: to the left—the standard approximation, to the right—the extended one.
Table A6.
The LIV parameters for TD2: to the left—the standard approximation, to the right—the extended one.
| Model | |||||
|---|---|---|---|---|---|
| CDM G | |||||
| CDM | |||||
| CDM G | |||||
| CDM | |||||
| CPL G | |||||
| CPL | |||||
| BA G | |||||
| BA |
Note
| 1 |
References
- Abdalla, E.; Abellán, G.F.; Aboubrahim, A.; Agnello, A.; Akarsu, Ö.; Akrami, Y.; Alestas, G.; Aloni, D.; Amendola, L.; Anchordoqui, L.A.; et al. Cosmology intertwined: A review of the particle physics, astrophysics, and cosmology associated with the cosmological tensions and anomalies. J. High Energy Astrophys. 2022, 34, 49–211. [Google Scholar] [CrossRef]
- Vagnozzi, S. Seven Hints That Early-Time New Physics Alone Is Not Sufficient to Solve the Hubble Tension. Universe 2023, 9, 393. [Google Scholar] [CrossRef]
- Benisty, D.; Mifsud, J.; Levi Said, J.; Staicova, D. On the robustness of the constancy of the Supernova absolute magnitude: Non-parametric reconstruction & Bayesian approaches. Phys. Dark Univ. 2023, 39, 101160. [Google Scholar] [CrossRef]
- Dainotti, M.G.; De Simone, B.; Schiavone, T.; Montani, G.; Rinaldi, E.; Lambiase, G.; Bogdan, M.; Ugale, S. On the Evolution of the Hubble Constant with the SNe Ia Pantheon Sample and Baryon Acoustic Oscillations: A Feasibility Study for GRB-Cosmology in 2030. Galaxies 2022, 10, 24. [Google Scholar] [CrossRef]
- Dias, B.L.; Avila, F.; Bernui, A. Probing cosmic homogeneity in the Local Universe. Mon. Not. R. Astron. Soc. 2023, 526, 3219–3229. [Google Scholar] [CrossRef]
- Dialektopoulos, K.F.; Mukherjee, P.; Levi Said, J.; Mifsud, J. Neural network reconstruction of scalar-tensor cosmology. Phys. Dark Univ. 2024, 43, 101383. [Google Scholar] [CrossRef]
- Alonso, P.M.M.; Escamilla-Rivera, C.; Sandoval-Orozco, R. Constraining dark energy cosmologies with spatial curvature using Supernovae JWST forecasting. arXiv 2023, arXiv:2309.12292. [Google Scholar]
- Benisty, D.; Davis, A.C.; Evans, N.W. Constraining Dark Energy from the Local Group Dynamics. Astrophys. J. Lett. 2023, 953, L2. [Google Scholar] [CrossRef]
- Dialektopoulos, K.F.; Mukherjee, P.; Levi Said, J.; Mifsud, J. Neural network reconstruction of cosmology using the Pantheon compilation. Eur. Phys. J. C 2023, 83, 956. [Google Scholar] [CrossRef]
- Briffa, R.; Escamilla-Rivera, C.; Levi Said, J.; Mifsud, J. Constraints on f(T) cosmology with Pantheon+. Mon. Not. R. Astron. Soc. 2023, 522, 6024–6034. [Google Scholar] [CrossRef]
- Zhai, Y.; Giarè, W.; van de Bruck, C.; Di Valentino, E.; Mena, O.; Nunes, R.C. A consistent view of interacting dark energy from multiple CMB probes. JCAP 2023, 7, 032. [Google Scholar] [CrossRef]
- Bernui, A.; Di Valentino, E.; Giarè, W.; Kumar, S.; Nunes, R.C. Exploring the H0 tension and the evidence for dark sector interactions from 2D BAO measurements. Phys. Rev. D 2023, 107, 103531. [Google Scholar] [CrossRef]
- Yang, W.; Giarè, W.; Pan, S.; Di Valentino, E.; Melchiorri, A.; Silk, J. Revealing the effects of curvature on the cosmological models. Phys. Rev. D 2023, 107, 063509. [Google Scholar] [CrossRef]
- Gariazzo, S.; Di Valentino, E.; Mena, O.; Nunes, R.C. Late-time interacting cosmologies and the Hubble constant tension. Phys. Rev. D 2022, 106, 023530. [Google Scholar] [CrossRef]
- Bargiacchi, G.; Dainotti, M.G.; Nagataki, S.; Capozziello, S. Gamma-Ray Bursts, Quasars, Baryonic Acoustic Oscillations, and Supernovae Ia: New statistical insights and cosmological constraints. Mon. Not. R. Astron. Soc. 2023, 521, 3909–3924. [Google Scholar] [CrossRef]
- Staicova, D.; Stoilov, M. Electromagnetic Waves in Cosmological Spacetime. Universe 2023, 9, 292. [Google Scholar] [CrossRef]
- Dainotti, M.G.; De Simone, B.; Schiavone, T.; Montani, G.; Rinaldi, E.; Lambiase, G. On the Hubble constant tension in the SNe Ia Pantheon sample. Astrophys. J. 2021, 912, 150. [Google Scholar] [CrossRef]
- Colladay, D.; Kostelecky, V.A. CPT violation and the standard model. Phys. Rev. D 1997, 55, 6760–6774. [Google Scholar] [CrossRef]
- Amelino-Camelia, G.; Ellis, J.R.; Mavromatos, N.E.; Nanopoulos, D.V.; Sarkar, S. Tests of quantum gravity from observations of gamma-ray bursts. Nature 1998, 393, 763–765. [Google Scholar] [CrossRef]
- Colladay, D.; Kostelecky, V.A. Lorentz violating extension of the standard model. Phys. Rev. D 1998, 58, 116002. [Google Scholar] [CrossRef]
- Kostelecky, V.A.; Samuel, S. Spontaneous Breaking of Lorentz Symmetry in String Theory. Phys. Rev. D 1989, 39, 683. [Google Scholar] [CrossRef]
- Ellis, J.R.; Mavromatos, N.E.; Nanopoulos, D.V.; Sakharov, A.S.; Sarkisyan, E.K.G. Robust limits on Lorentz violation from gamma-ray bursts. Astropart. Phys. 2006, 25, 402–411, Erratum in Astropart. Phys. 2008, 29, 158–159. [Google Scholar] [CrossRef]
- Jacob, U.; Piran, T. Lorentz-violation-induced arrival delays of cosmological particles. JCAP 2008, 1, 031. [Google Scholar] [CrossRef]
- Gubitosi, G.; Pagano, L.; Amelino-Camelia, G.; Melchiorri, A.; Cooray, A. A Constraint on Planck-scale Modifications to Electrodynamics with CMB polarization data. JCAP 2009, 8, 021. [Google Scholar] [CrossRef]
- Vasileiou, V.; Granot, J.; Piran, T.; Amelino-Camelia, G. A Planck-scale limit on spacetime fuzziness and stochastic Lorentz invariance violation. Nat. Phys. 2015, 11, 344–346. [Google Scholar] [CrossRef]
- Amelino-Camelia, G.; Arzano, M.; Gubitosi, G.; Magueijo, J. Rainbow gravity and scale-invariant fluctuations. Phys. Rev. D 2013, 88, 041303. [Google Scholar] [CrossRef]
- Magueijo, J.; Smolin, L. Lorentz invariance with an invariant energy scale. Phys. Rev. Lett. 2002, 88, 190403. [Google Scholar] [CrossRef] [PubMed]
- Amelino-Camelia, G.; Piran, T. Planck scale deformation of Lorentz symmetry as a solution to the UHECR and the TeV gamma paradoxes. Phys. Rev. D 2001, 64, 036005. [Google Scholar] [CrossRef]
- Amelino-Camelia, G. Relativity in space-times with short distance structure governed by an observer independent (Planckian) length scale. Int. J. Mod. Phys. D 2002, 11, 35–60. [Google Scholar] [CrossRef]
- Amelino-Camelia, G. Doubly special relativity. Nature 2002, 418, 34–35. [Google Scholar] [CrossRef] [PubMed]
- Kostelecky, V.A.; Russell, N. Data Tables for Lorentz and CPT Violation. Rev. Mod. Phys. 2011, 83, 11–31. [Google Scholar] [CrossRef]
- Wei, J.J.; Wu, X.F. Tests of Lorentz Invariance. In Handbook of X-ray and Gamma-ray Astrophysics; Bambi, C., Santangelo, A., Eds.; Springer: Singapore, 2021. [Google Scholar] [CrossRef]
- Wei, J.J.; Wu, X.F. Testing fundamental physics with astrophysical transients. Front. Phys. 2021, 16, 44300. [Google Scholar] [CrossRef]
- Zhou, Q.Q.; Yi, S.X.; Wei, J.J.; Wu, X.F. Constraints on Lorentz Invariance Violation with Multiwavelength Polarized Astrophysical Sources. Galaxies 2021, 9, 44. [Google Scholar] [CrossRef]
- Addazi, A.; Alvarez-Muniz, J.; Batista, R.A.; Amelino-Camelia, G.; Antonelli, V.; Arzano, M.; Asorey, M.; Atteia, J.L.; Bahamonde, S.; Bajardi, F.; et al. Quantum gravity phenomenology at the dawn of the multi-messenger era—A review. Prog. Part. Nucl. Phys. 2022, 125, 103948. [Google Scholar] [CrossRef]
- Desai, S. Astrophysical and Cosmological Searches for Lorentz Invariance Violation. arXiv 2023, arXiv:2303.10643. [Google Scholar]
- Anchordoqui, L.A.; Di Valentino, E.; Pan, S.; Yang, W. Dissecting the H0 and S8 tensions with Planck + BAO + supernova type Ia in multi-parameter cosmologies. J. High Energy Astrophys. 2021, 32, 28–64. [Google Scholar] [CrossRef]
- Abdalla, H.; Cotter, G.; Backes, M.; Kasai, E.; Böttcher, M. Investigating the Lorentz invariance violation effect using different cosmological backgrounds. Class. Quant. Grav. 2024, 41, 015022. [Google Scholar] [CrossRef]
- Pasumarti, V.; Desai, S. Bayesian evidence for spectral lag transition due to Lorentz invariance violation for 32 Fermi/GBM Gamma-ray bursts. J. High Energy Astrophys. 2023, 40, 41–48. [Google Scholar] [CrossRef]
- Bolmont, J.; Caroff, S.; Gaug, M.; Gent, A.; Jacholkowska, A.; Kerszberg, D.; Levy, C.; Lin, T.; Martinez, M.; Nogués, L.; et al. First Combined Study on Lorentz Invariance Violation from Observations of Energy-dependent Time Delays from Multiple-type Gamma-Ray Sources. I. Motivation, Method Description, and Validation through Simulations of H.E.S.S., MAGIC, and VERITAS Data Sets. Astrophys. J. 2022, 930, 75. [Google Scholar] [CrossRef]
- Rosati, G.; Amelino-Camelia, G.; Marciano, A.; Matassa, M. Planck-scale-modified dispersion relations in FRW spacetime. Phys. Rev. D 2015, 92, 124042. [Google Scholar] [CrossRef]
- Amelino-Camelia, G.; Rosati, G.; Bedić, S. Phenomenology of curvature-induced quantum-gravity effects. Phys. Lett. B 2021, 820, 136595. [Google Scholar] [CrossRef]
- Pfeifer, C. Redshift and lateshift from homogeneous and isotropic modified dispersion relations. Phys. Lett. B 2018, 780, 246–250. [Google Scholar] [CrossRef]
- Amelino-Camelia, G.; Di Luca, M.G.; Gubitosi, G.; Rosati, G.; D’Amico, G. Could quantum gravity slow down neutrinos? Nat. Astron. 2023, 7, 996–1001. [Google Scholar] [CrossRef]
- Carmona, J.M.; Cortés, J.L.; Relancio, J.J.; Reyes, M.A. Cosmic Neutrinos as a Window to Departures from Special Relativity. Symmetry 2022, 14, 1326. [Google Scholar] [CrossRef]
- Bolmont, J.; Vasileiou, V.; Jacholkowska, A.; Piron, F.; Couturier, C.; Granot, J.; Stecker, F.W.; Cohen-Tanugi, J.; Longo, F. Lorentz invariance violation: The latest Fermi results and the GRB/ AGN complementarity. Nucl. Instrum. Meth. A 2014, 742, 165–168. [Google Scholar] [CrossRef]
- Acciari, V.A.; Ansoldi, S.; Antonelli, L.A.; Engels, A.A.; Baack, D.; Babić, A.; Banerjee, B.; de Almeida, U.B.; Barrio, J.A.; González, J.B.; et al. Bounds on Lorentz invariance violation from MAGIC observation of GRB 190114C. Phys. Rev. Lett. 2020, 125, 021301. [Google Scholar] [CrossRef]
- Lobo, I.P.; Pfeifer, C. Reaching the Planck scale with muon lifetime measurements. Phys. Rev. D 2021, 103, 106025. [Google Scholar] [CrossRef]
- Batista, R.A.; Amelino-Camelia, G.; Boncioli, D.; Carmona, J.M.; Di Matteo, A.; Gubitosi, G.; Lobo, I.; Mavromatos, N.E.; Pfeifer, C.; Rubiera-Garcia, D.; et al. White Paper and Roadmap for Quantum Gravity Phenomenology in the Multi-Messenger Era. arXiv 2023, arXiv:2312.00409. [Google Scholar]
- Cucchiara, A.; Levan, A.J.; Fox, D.B.; Tanvir, N.R.; Ukwatta, T.N.; Berger, E.; Krühler, T.; Yoldaş, A.K.; Wu, X.F.; Toma, K.; et al. A Photometric Redshift of z ~ 9.4 for GRB 090429B. Astrophys. J. 2011, 736, 7. [Google Scholar] [CrossRef]
- Burns, E.; Svinkin, D.; Fenimore, E.; Kann, D.A.; Fernández, J.F.A.; Frederiks, D.; Hamburg, R.; Lesage, S.; Temiraev, Y.; Tsvetkova, A.; et al. GRB 221009A: The BOAT. Astrophys. J. Lett. 2023, 946, L31. [Google Scholar] [CrossRef]
- Cao, Z. et al. [LHAASO Collaboration] Very high energy gamma-ray emission beyond 10 TeV from GRB 221009A. Sci. Adv. 2023, 9, adj2778. [Google Scholar] [CrossRef]
- Aharonian, F.; Benkhali, F.A.; Aschersleben, J.; Ashkar, H.; Backes, M.; Baktash, A.; Martins, V.B.; Batzofin, R.; Becherini, Y.; Berge, D.; et al. HESS Follow-up Observations of GRB 221009A. Astrophys. J. Lett. 2023, 946, L27. [Google Scholar] [CrossRef]
- Shao, L.; Xiao, Z.; Ma, B.Q. Lorentz violation from cosmological objects with very high energy photon emissions. Astropart. Phys. 2010, 33, 312–315. [Google Scholar] [CrossRef]
- Wei, J.J.; Zhang, B.B.; Shao, L.; Wu, X.F.; Mészáros, P. A New Test of Lorentz Invariance Violation: The Spectral Lag Transition of GRB 160625B. Astrophys. J. Lett. 2017, 834, L13. [Google Scholar] [CrossRef]
- Du, S.S.; Lan, L.; Wei, J.J.; Zhou, Z.M.; Gao, H.; Jiang, L.Y.; Zhang, B.B.; Liu, Z.K.; Wu, X.F.; Liang, E.W.; et al. Lorentz Invariance Violation Limits from the Spectral-lag Transition of GRB 190114C. Astrophys. J. 2021, 906, 8. [Google Scholar] [CrossRef]
- Agrawal, R.; Singirikonda, H.; Desai, S. Search for Lorentz Invariance Violation from stacked Gamma-Ray Burst spectral lag data. JCAP 2021, 5, 029. [Google Scholar] [CrossRef]
- Desai, S.; Agrawal, R.; Singirikonda, H. Search for Lorentz invariance violation using Bayesian model comparison applied to Xiao et al. GRB spectral lag catalog. Eur. Phys. J. C 2023, 83, 63. [Google Scholar] [CrossRef]
- Xiao, S.; Xiong, S.L.; Wang, Y.; Zhang, S.N.; Gao, H.; Zhang, Z.; Cai, C.; Yi, Q.B.; Zhao, Y.; Tuo, Y.L.; et al. A Robust Estimation of Lorentz Invariance Violation and Intrinsic Spectral Lag of Short Gamma-Ray Bursts. Astrophys. J. Lett. 2022, 924, L29. [Google Scholar] [CrossRef]
- Chang, Z.; Jiang, Y.; Lin, H. A unified constraint on the Lorentz invariance violation from both short and long GRBs. Astropart. Phys. 2012, 36, 47–50. [Google Scholar] [CrossRef]
- Vardanyan, V.; Takhistov, V.; Ata, M.; Murase, K. Revisiting Tests of Lorentz Invariance with Gamma-ray Bursts: Effects of Intrinsic Lags. Phys. Rev. D 2022, 108, 123023. [Google Scholar] [CrossRef]
- Vasileiou, V.; Jacholkowska, A.; Piron, F.; Bolmont, J.; Couturier, C.; Granot, J.; Stecker, F.W.; Cohen-Tanugi, J.; Longo, F. Constraints on Lorentz Invariance Violation from Fermi-Large Area Telescope Observations of Gamma-Ray Bursts. Phys. Rev. D 2013, 87, 122001. [Google Scholar] [CrossRef]
- Pan, Y.; Qi, J.; Cao, S.; Liu, T.; Liu, Y.; Geng, S.; Lian, Y.; Zhu, Z.H. Model-independent constraints on Lorentz invariance violation: Implication from updated Gamma-ray burst observations. Astrophys. J. 2020, 890, 169. [Google Scholar] [CrossRef]
- Staicova, D. Impact of cosmology on Lorentz Invariance Violation constraints from GRB time-delays. Class. Quant. Grav. 2023, 40, 195012. [Google Scholar] [CrossRef]
- Dainotti, M.G.; Nielson, V.; Sarracino, G.; Rinaldi, E.; Nagataki, S.; Capozziello, S.; Gnedin, O.Y.; Bargiacchi, G. Optical and X-ray GRB Fundamental Planes as cosmological distance indicators. Mon. Not. R. Astron. Soc. 2022, 514, 1828–1856. [Google Scholar] [CrossRef]
- Cao, S.; Khadka, N.; Ratra, B. Standardizing Dainotti-correlated gamma-ray bursts, and using them with standardized Amati-correlated gamma-ray bursts to constrain cosmological model parameters. Mon. Not. R. Astron. Soc. 2022, 510, 2928–2947. [Google Scholar] [CrossRef]
- Dainotti, M.G.; Lenart, A.L.; Chraya, A.; Sarracino, G.; Nagataki, S.; Fraija, N.; Capozziello, S.; Bogdan, M. The Gamma-ray Bursts fundamental plane correlation as a cosmological tool. Mon. Not. R. Astron. Soc. 2023, 518, 2201–2240. [Google Scholar] [CrossRef]
- Xu, F.; Tang, C.H.; Geng, J.J.; Wang, F.Y.; Wang, Y.Y.; Kuerban, A.; Huang, Y.F. X-Ray Plateaus in Gamma-Ray Burst Afterglows and Their Application in Cosmology. Astrophys. J. 2021, 920, 135. [Google Scholar] [CrossRef]
- Bargiacchi, G.; Dainotti, M.G.; Capozziello, S. Tensions with the flat ΛCDM model from high-redshift cosmography. Mon. Not. R. Astron. Soc. 2023, 525, 3104–3116. [Google Scholar] [CrossRef]
- Dainotti, M.G.; Bargiacchi, G.; Bogdan, M.; Lenart, A.L.; Iwasaki, K.; Capozziello, S.; Zhang, B.; Fraija, N. Reducing the Uncertainty on the Hubble Constant up to 35% with an Improved Statistical Analysis: Different Best-fit Likelihoods for Type Ia Supernovae, Baryon Acoustic Oscillations, Quasars, and Gamma-Ray Bursts. Astrophys. J. 2023, 951, 63. [Google Scholar] [CrossRef]
- Staicova, D. DE Models with Combined H0 · rd from BAO and CMB Dataset and Friends. Universe 2022, 8, 631. [Google Scholar] [CrossRef]
- Ganguly, S.; Desai, S. Statistical Significance of spectral lag transition in GRB 160625B. Astropart. Phys. 2017, 94, 17–21. [Google Scholar] [CrossRef]
- Biesiada, M.; Piorkowska, A. Gamma-ray burst neutrinos, Lorenz invariance violation and the influence of background cosmology. JCAP 2007, 5, 011. [Google Scholar] [CrossRef]
- Biesiada, M.; Piorkowska, A. Lorentz invariance violation-induced time delays in GRBs in different cosmological models. Class. Quant. Grav. 2009, 26, 125007. [Google Scholar] [CrossRef]
- Zou, X.B.; Deng, H.K.; Yin, Z.Y.; Wei, H. Model-Independent Constraints on Lorentz Invariance Violation via the Cosmographic Approach. Phys. Lett. B 2018, 776, 284–294. [Google Scholar] [CrossRef]
- Alves Batista, R.; Saveliev, A. The Gamma-ray Window to Intergalactic Magnetism. Universe 2021, 7, 223. [Google Scholar] [CrossRef]
- Saveliev, A.; Alves Batista, R. Simulating Electromagnetic Cascades with Lorentz Invariance Violation. arXiv 2023, arXiv:2312.10803. [Google Scholar]
- Pan, Y.; Gong, Y.; Cao, S.; Gao, H.; Zhu, Z.H. Constraints on the Lorentz Invariance Violation With Gamma-ray Bursts via a Markov Chain Monte Carlo Approach. Astrophys. J. 2015, 808, 78. [Google Scholar] [CrossRef]
- Chevallier, M.; Polarski, D. Accelerating universes with scaling dark matter. Int. J. Mod. Phys. D 2001, 10, 213–224. [Google Scholar] [CrossRef]
- Linder, E.V.; Huterer, D. How many dark energy parameters? Phys. Rev. D 2005, 72, 043509. [Google Scholar] [CrossRef]
- Barger, V.; Guarnaccia, E.; Marfatia, D. Classification of dark energy models in the (w(0), w(a)) plane. Phys. Lett. B 2006, 635, 61–65. [Google Scholar] [CrossRef]
- Barboza, E.M., Jr.; Alcaniz, J.S. A parametric model for dark energy. Phys. Lett. B 2008, 666, 415–419. [Google Scholar] [CrossRef]
- Escamilla-Rivera, C.; Nájera, A. Dynamical dark energy models in the light of gravitational-wave transient catalogues. JCAP 2022, 3, 060. [Google Scholar] [CrossRef]
- Chen, L.; Huang, Q.G.; Wang, K. Distance Priors from Planck Final Release. JCAP 2019, 2, 028. [Google Scholar] [CrossRef]
- Komatsu, E.; Dunkley, J.; Nolta, M.R.; Bennett, C.L.; Gold, B.; Hinshaw, G.; Jarosik, N.; Larson, D.; Limon, M.; Page, L.; et al. Five-Year Wilkinson Microwave Anisotropy Probe (WMAP) Observations: Cosmological Interpretation. Astrophys. J. Suppl. 2009, 180, 330–376. [Google Scholar] [CrossRef]
- Aghanim, N.; Akrami, Y.; Ashdown, M.; Aumont, J.; Baccigalupi, C.; Ballardini, M.; Banday, A.J.; Barreiro, R.B.; Bartolo, N.; Basak, S.; et al. Planck 2018 results. VI. Cosmological parameters. Astron. Astrophys. 2020, 641, A6, Erratum in Astron. Astrophys. 2021, 652, C4. [Google Scholar] [CrossRef]
- Di Pietro, E.; Claeskens, J.F. Future supernovae data and quintessence models. Mon. Not. R. Astron. Soc. 2003, 341, 1299. [Google Scholar] [CrossRef]
- Nesseris, S.; Perivolaropoulos, L. A Comparison of cosmological models using recent supernova data. Phys. Rev. D 2004, 70, 043531. [Google Scholar] [CrossRef]
- Perivolaropoulos, L. Constraints on linear negative potentials in quintessence and phantom models from recent supernova data. Phys. Rev. D 2005, 71, 063503. [Google Scholar] [CrossRef]
- Lazkoz, R.; Nesseris, S.; Perivolaropoulos, L. Exploring Cosmological Expansion Parametrizations with the Gold SnIa Dataset. JCAP 2005, 11, 010. [Google Scholar] [CrossRef]
- Scolnic, D.; Brout, D.; Carr, A.; Riess, A.G.; Davis, T.M.; Dwomoh, A.; Jones, D.O.; Ali, N.; Charvu, P.; Chen, R.; et al. The Pantheon+ Analysis: The Full Data Set and Light-curve Release. Astrophys. J. 2022, 938, 113. [Google Scholar] [CrossRef]
- Brout, D.; Scolnic, D.; Popovic, B.; Riess, A.G.; Carr, A.; Zuntz, J.; Kessler, R.; Davis, T.M.; Hinton, S.; Jones, D.; et al. The Pantheon+ Analysis: Cosmological Constraints. Astrophys. J. 2022, 938, 110. [Google Scholar] [CrossRef]
- Nunes, R.C.; Yadav, S.K.; Jesus, J.F.; Bernui, A. Cosmological parameter analyses using transversal BAO data. Mon. Not. R. Astron. Soc. 2020, 497, 2133–2141. [Google Scholar] [CrossRef]
- Riess, A.G.; Yuan, W.; Macri, L.M.; Scolnic, D.; Brout, D.; Casertano, S.; Jones, D.O.; Murakami, Y.; Anand, G.S.; Breuval, L.; et al. A Comprehensive Measurement of the Local Value of the Hubble Constant with 1 km s−1 Mpc−1 Uncertainty from the Hubble Space Telescope and the SH0ES Team. Astrophys. J. Lett. 2022, 934, L7. [Google Scholar] [CrossRef]
- Bernardini, M.G.; Ghirlanda, G.; Campana, S.; Covino, S.; Salvaterra, R.; Atteia, J.L.; Burlon, D.; Calderone, G.; D’Avanzo, P.; D’Elia, V.; et al. Comparing the spectral lag of short and long gamma-ray bursts and its relation with the luminosity. Mon. Not. R. Astron. Soc. 2015, 446, 1129–1138. [Google Scholar] [CrossRef]
- Handley, W.J.; Hobson, M.P.; Lasenby, A.N. PolyChord: Nested sampling for cosmology. Mon. Not. R. Astron. Soc. 2015, 450, L61–L65. [Google Scholar] [CrossRef]
- Lewis, A. GetDist: A Python package for analysing Monte Carlo samples. arXiv 2019, arXiv:1910.13970. [Google Scholar]
Disclaimer/Publisher’s Note: The statements, opinions and data contained in all publications are solely those of the individual author(s) and contributor(s) and not of MDPI and/or the editor(s). MDPI and/or the editor(s) disclaim responsibility for any injury to people or property resulting from any ideas, methods, instructions or products referred to in the content. |
© 2024 by the author. Licensee MDPI, Basel, Switzerland. This article is an open access article distributed under the terms and conditions of the Creative Commons Attribution (CC BY) license (https://creativecommons.org/licenses/by/4.0/).





