Epicyclic Oscillations and Circular Orbits in Hairy Black Holes: Testing by High-Frequency Quasi-Periodic Oscillations Observed in Microquasars
Abstract
:1. Introduction
2. Hairy Spherically Symmetric Spacetime and Horizon
2.1. Hairy Spherically Symmetric Spacetime
2.2. Hairy Black Hole Horizon
3. Test Particle Motion in Hairy Spherically Symmetric Spacetime
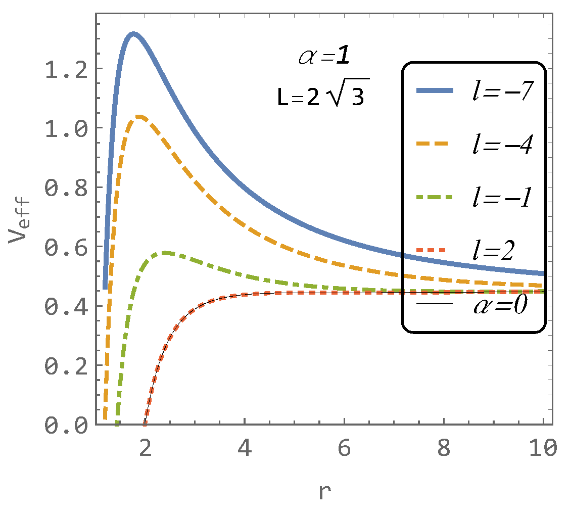
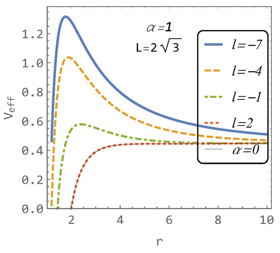
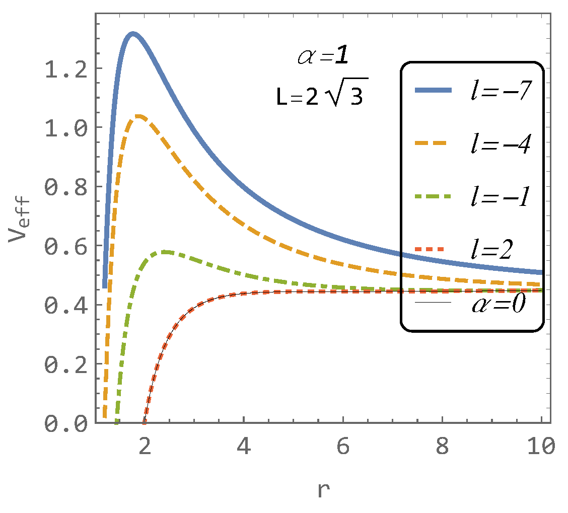
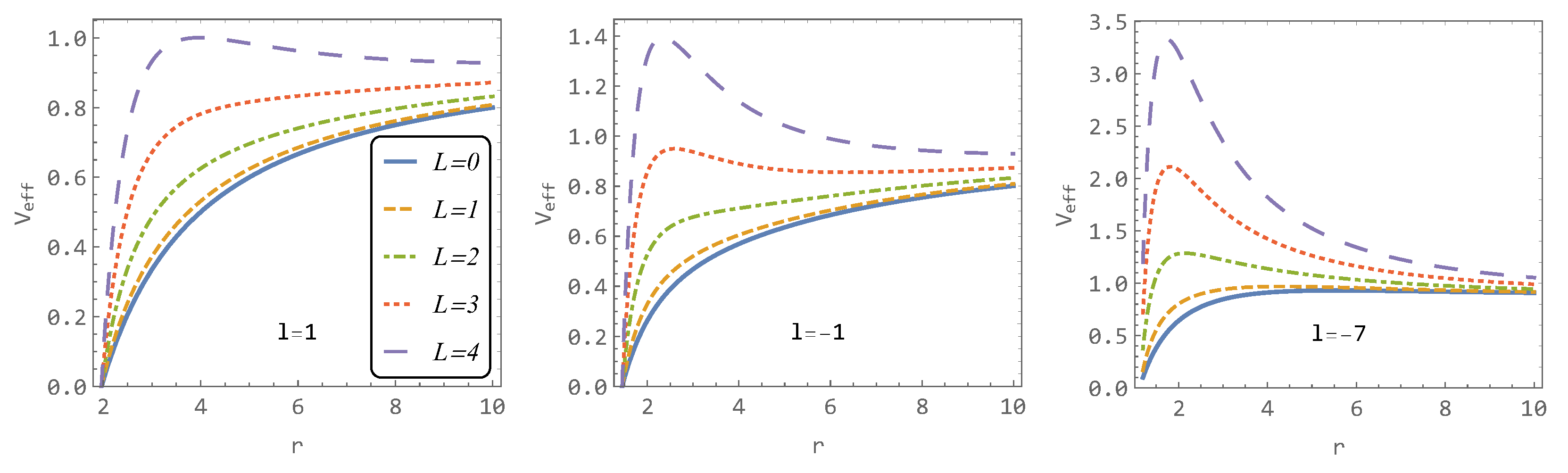
3.1. Effective Potential of Massive Test Particles
3.2. Photon Sphere
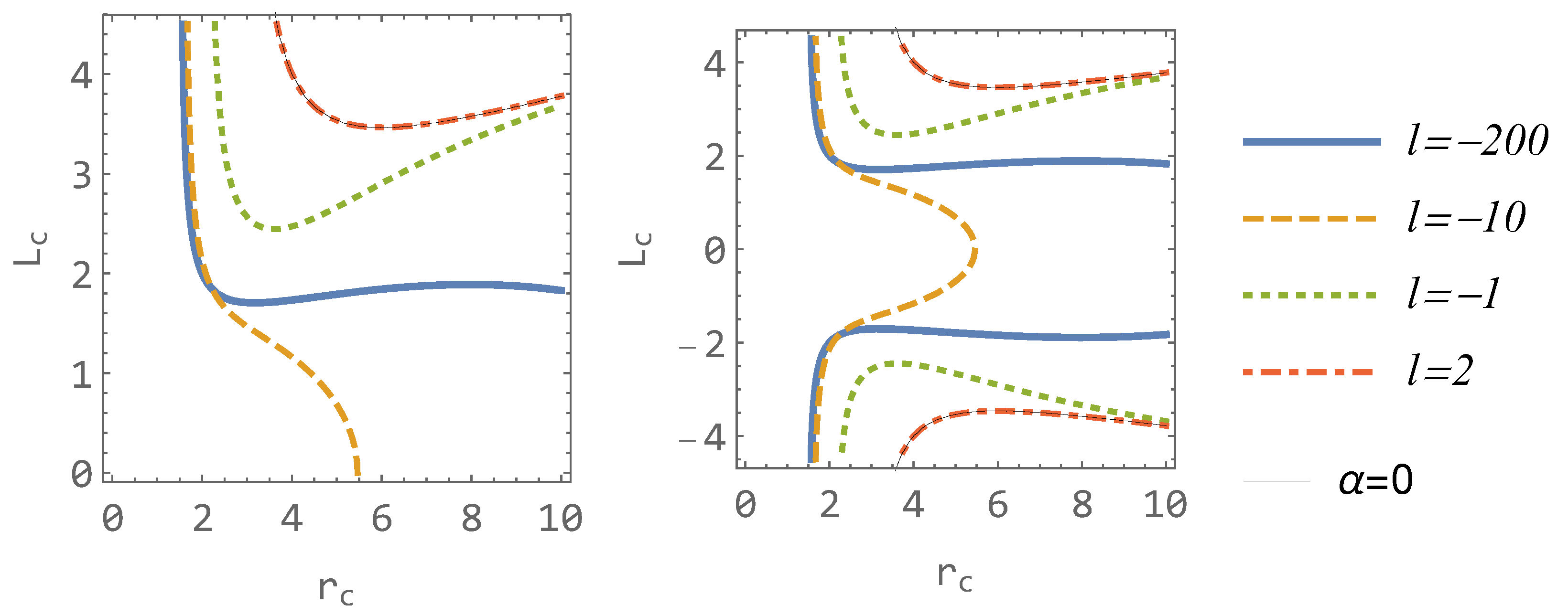
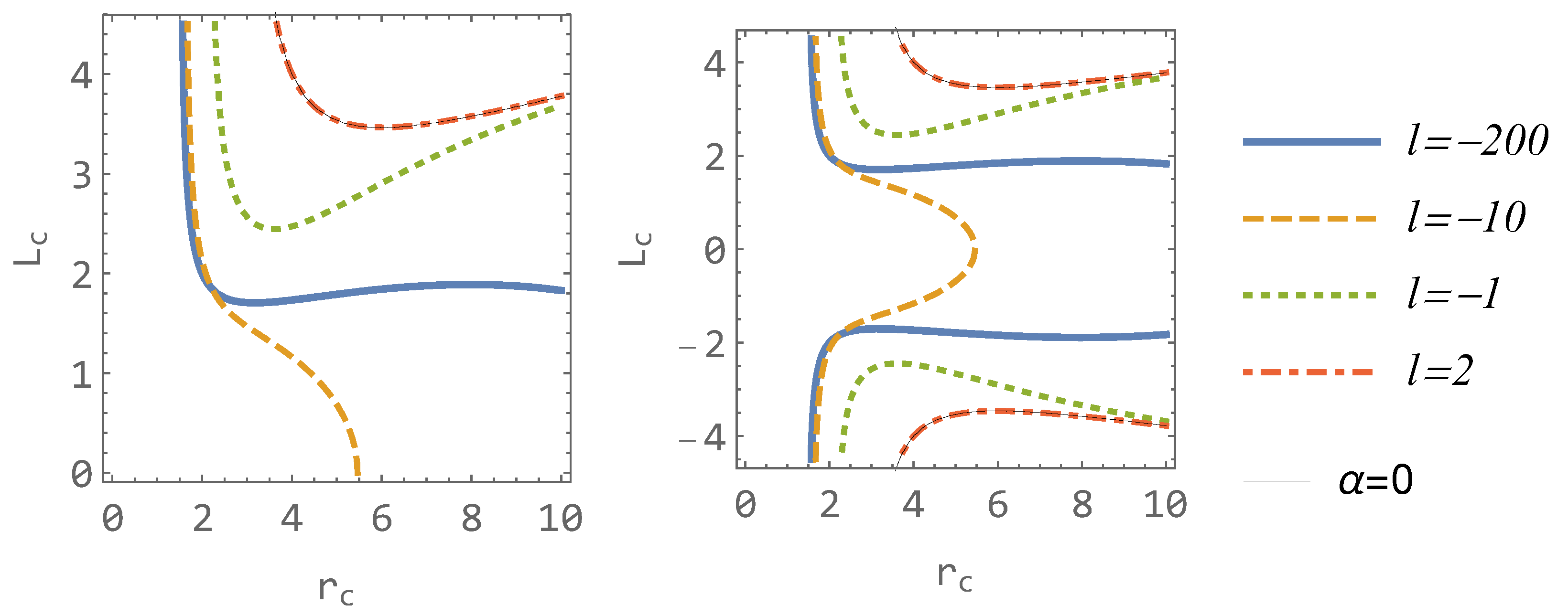
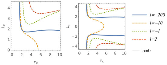
3.3. Circular Orbits of Massive Test Particles
4. Hairy Black Holes as a Mimicker of the Kerr Black Hole
5. Epicyclic Frequencies and HF QPOs in the Field of Ovalle Spacetime Applied to Microquasars Observation
5.1. Frequencies of Epicyclic Motion
5.2. Hairy Black Hole Test by HF QPOs Observed in Microquasars
6. Conclusions
Funding
Data Availability Statement
Acknowledgments
Conflicts of Interest
| 1 | Do not forget that we set the mass of the test particle as , which leads to the rescaling of constants and . |
References
- Ovalle, J.; Casadio, R.; Contreras, E.; Sotomayor, A. Hairy black holes by gravitational decoupling. Phys. Dark Univ. 2021, 31, 100744. [Google Scholar] [CrossRef]
- Ovalle, J. Decoupling gravitational sources in general relativity: From perfect to anisotropic fluids. Phys. Rev. D 2017, 95, 104019. [Google Scholar] [CrossRef]
- Ovalle, J.; Casadio, R.; da Rocha, R.; Sotomayor, A. Anisotropic solutions by gravitational decoupling. Eur. Phys. J. C 2018, 78, 122. [Google Scholar] [CrossRef]
- Ovalle, J. Searching Exact Solutions for Compact Stars in Braneworld: A Conjecture. Mod. Phys. Lett. A 2008, 23, 3247–3263. [Google Scholar] [CrossRef]
- Randall, L.; Sundrum, R. Large Mass Hierarchy from a Small Extra Dimension. Phys. Rev. Lett. 1999, 83, 3370–3373. [Google Scholar] [CrossRef]
- Randall, L.; Sundrum, R. An Alternative to Compactification. Phys. Rev. Lett. 1999, 83, 4690–4693. [Google Scholar] [CrossRef]
- Remillard, R.A.; McClintock, J.E. X-Ray Properties of Black-Hole Binaries. Annu. Rev. Astron. Astrophys. 2006, 44, 49–92. [Google Scholar] [CrossRef]
- Abramowicz, M.A.; Kluźniak, W. A precise determination of black hole spin in GRO J1655-40. Astron. Astrophys. 2001, 374, L19–L20. [Google Scholar] [CrossRef]
- Stuchlík, Z.; Kološ, M.; Kovář, J.; Slaný, P.; Tursunov, A. Influence of Cosmic Repulsion and Magnetic Fields on Accretion Disks Rotating around Kerr Black Holes. Universe 2020, 6, 26. [Google Scholar] [CrossRef]
- Török, G.; Abramowicz, M.A.; Kluźniak, W.; Stuchlík, Z. The orbital resonance model for twin peak kHz quasi periodic oscillations in microquasars. Astron. Astrophys. 2005, 436, 1–8. [Google Scholar] [CrossRef]
- Smith, K.L.; Tandon, C.R.; Wagoner, R.V. Confrontation of Observation and Theory: High-frequency QPOs in X-Ray Binaries, Tidal Disruption Events, and Active Galactic Nuclei. Astrophys. J. 2021, 906, 92. [Google Scholar] [CrossRef]
- Kološ, M.; Stuchlík, Z.; Tursunov, A. Quasi-harmonic oscillatory motion of charged particles around a Schwarzschild black hole immersed in a uniform magnetic field. Class. Quantum Gravity 2015, 32, 165009. [Google Scholar] [CrossRef]
- Stuchlík, Z.; Vrba, J. Supermassive black holes surrounded by dark matter modeled as anisotropic fluid: Epicyclic oscillations and their fitting to observed QPOs. JCAP 2021, 2021, 059. [Google Scholar] [CrossRef]
- Stuchlík, Z.; Vrba, J. Epicyclic orbits in the field of Einstein-Dirac-Maxwell traversable wormholes applied to the quasiperiodic oscillations observed in microquasars and active galactic nuclei. Eur. Phys. J. Plus 2021, 136, 1127. [Google Scholar] [CrossRef]
- Abuter, R. et al. [Gravity Collaboration]. Detection of orbital motions near the last stable circular orbit of the massive black hole SgrA*. Astron. Astrophys. 2018, 618, L10. [Google Scholar] [CrossRef]
- McClintock, J.E.; Narayan, R.; Steiner, J.F. Black Hole Spin via Continuum Fitting and the Role of Spin in Powering Transient Jets. Space Sci. Rev. 2014, 183, 295–322. [Google Scholar] [CrossRef]
- Zajaček, M.; Tursunov, A.; Eckart, A.; Britzen, S. On the charge of the Galactic centre black hole. Mon. Not. RAS 2018, 480, 4408–4423. [Google Scholar] [CrossRef]
- Schee, J.; Stuchlík, Z. Profiles of emission lines generated by rings orbiting braneworld Kerr black holes. Gen. Relativ. Gravit. 2009, 41, 1795–1818. [Google Scholar] [CrossRef]
- Blaschke, M.; Stuchlík, Z. Efficiency of the Keplerian accretion in braneworld Kerr-Newman spacetimes and mining instability of some naked singularity spacetimes. Phys. Rev. D 2016, 94, 086006. [Google Scholar] [CrossRef]
- Kerr, R.P. Gravitational Field of a Spinning Mass as an Example of Algebraically Special Metrics. Phys. Rev. Lett. 1963, 11, 237–238. [Google Scholar] [CrossRef]
- Chandrasekhar, S. The Mathematical Theory of Black Holes; Clarendon Press: Oxford, UK; Oxford University Press: New York, NY, USA, 1983. [Google Scholar]
- McClintock, J.E.; Narayan, R.; Davis, S.W.; Gou, L.; Kulkarni, A.; Orosz, J.A.; Penna, R.F.; Remillard, R.A.; Steiner, J.F. Measuring the spins of accreting black holes. Class. Quantum Gravity 2011, 28, 114009. [Google Scholar] [CrossRef]
- Török, G. QPOs in microquasars and Sgr A* measuring the black hole spin. Astron. Nachrichten 2005, 326, 856–860. [Google Scholar] [CrossRef]
- Stuchlík, Z.; Kotrlová, A.; Török, G. Multi-resonance orbital model of high-frequency quasi-periodic oscillations: Possible high-precision determination of black hole and neutron star spin. Astron. Astrophys. 2013, 552, A10. [Google Scholar] [CrossRef]













| Source | Spin a | ||
|---|---|---|---|
| GRS 1915+105 | > | - | |
| GRO J1655–40 | - | ||
| XTE J1550–564 |
Disclaimer/Publisher’s Note: The statements, opinions and data contained in all publications are solely those of the individual author(s) and contributor(s) and not of MDPI and/or the editor(s). MDPI and/or the editor(s) disclaim responsibility for any injury to people or property resulting from any ideas, methods, instructions or products referred to in the content. |
© 2023 by the author. Licensee MDPI, Basel, Switzerland. This article is an open access article distributed under the terms and conditions of the Creative Commons Attribution (CC BY) license (https://creativecommons.org/licenses/by/4.0/).
Share and Cite
Vrba, J. Epicyclic Oscillations and Circular Orbits in Hairy Black Holes: Testing by High-Frequency Quasi-Periodic Oscillations Observed in Microquasars. Universe 2024, 10, 9. https://doi.org/10.3390/universe10010009
Vrba J. Epicyclic Oscillations and Circular Orbits in Hairy Black Holes: Testing by High-Frequency Quasi-Periodic Oscillations Observed in Microquasars. Universe. 2024; 10(1):9. https://doi.org/10.3390/universe10010009
Chicago/Turabian StyleVrba, Jaroslav. 2024. "Epicyclic Oscillations and Circular Orbits in Hairy Black Holes: Testing by High-Frequency Quasi-Periodic Oscillations Observed in Microquasars" Universe 10, no. 1: 9. https://doi.org/10.3390/universe10010009
APA StyleVrba, J. (2024). Epicyclic Oscillations and Circular Orbits in Hairy Black Holes: Testing by High-Frequency Quasi-Periodic Oscillations Observed in Microquasars. Universe, 10(1), 9. https://doi.org/10.3390/universe10010009
