Evaluation of Unsaponifiable Fraction of Avocado Oil on Liver and Kidney Mitochondrial Function in Rats Fed a High-Fat and High-Carbohydrate Diet
Abstract
1. Introduction
2. Materials and Methods
2.1. UFAO Preparation
2.2. AO and UFAO Characterization
2.3. Experimental Design
2.4. Diet Preparation
2.5. Biochemical Parameters
2.5.1. Determination of Biochemical Parameters in Serum
2.5.2. Low-Density Lipoprotein and Very Low-Density Lipoprotein Cholesterol
2.6. Oral Glucose Tolerance Test (OGTT) and HOMA-IR
2.7. Mitochondrial Isolation
2.8. Mitochondrial Function
2.8.1. Oxidative Phosphorylation (OXPHOS) Assessment
2.8.2. Determination of Mitochondrial Membrane Potential
2.8.3. Determination of ETC Complexes Activities
2.9. Mitochondrial Oxidative Stress
2.9.1. ROS Levels Estimation
2.9.2. Lipid Peroxidation Assay
2.10. Statistical Analyses
3. Results
3.1. Identification of Compounds in AO and UFAO
3.2. Effect of UFAO on Body Weight, Biochemical Parameters and Glucose Metabolism
3.3. Effects of UFAO on Liver and Kidney Mitochondrial Function
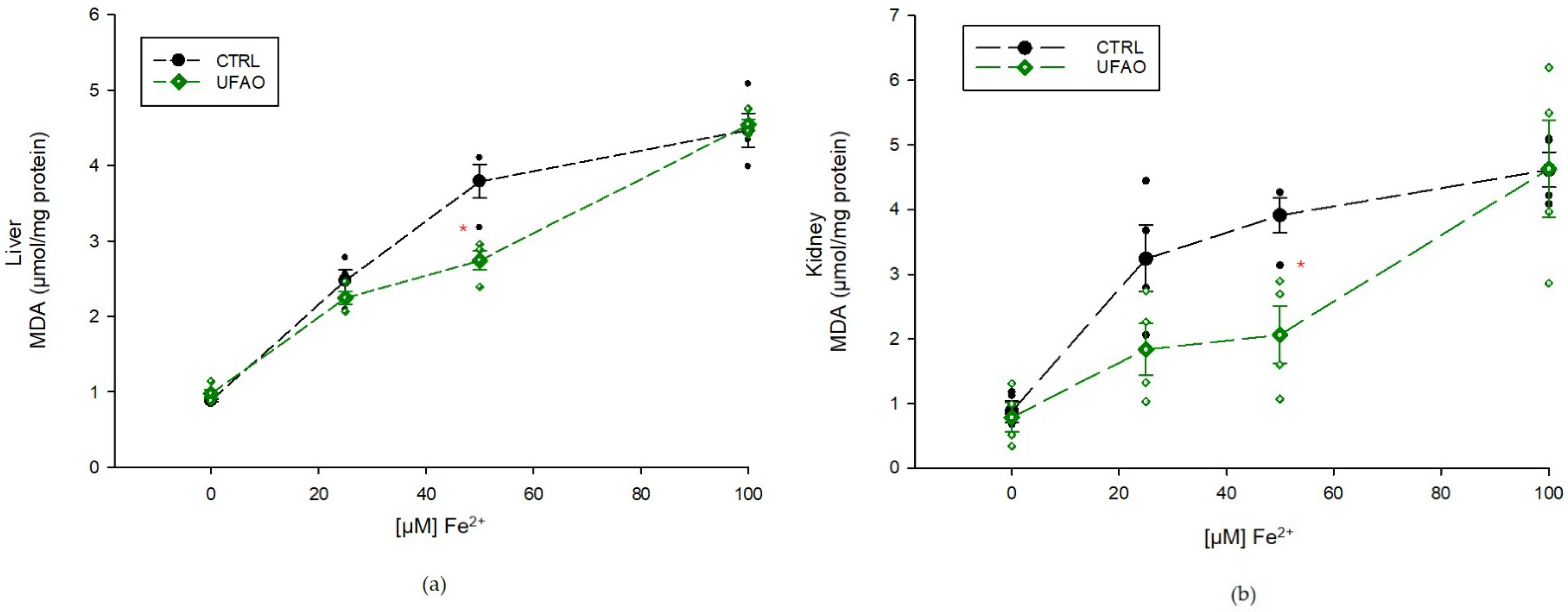
3.4. Effect of UFAO on Mitochondrial Oxidative Stress
4. Discussion
5. Conclusions
Supplementary Materials
Author Contributions
Funding
Institutional Review Board Statement
Informed Consent Statement
Data Availability Statement
Conflicts of Interest
References
- Touvier, M.; da Costa Louzada, M.L.; Mozaffarian, D.; Baker, P.; Juul, F.; Srour, B. Ultra-Processed Foods and Cardiometabolic Health: Public Health Policies to Reduce Consumption Cannot Wait. BMJ 2023, 383, e075294. [Google Scholar] [CrossRef] [PubMed]
- Leigh, S.-J.; Kendig, M.D.; Morris, M.J. Palatable Western-Style Cafeteria Diet as a Reliable Method for Modeling Diet-Induced Obesity in Rodents. J. Vis. Exp. 2019, 153, e60262. [Google Scholar] [CrossRef]
- Monteiro, C.A.; Cannon, G.; Levy, R.B.; Moubarac, J.-C.; Louzada, M.L.; Rauber, F.; Khandpur, N.; Cediel, G.; Neri, D.; Martinez-Steele, E.; et al. Ultra-Processed Foods: What They Are and How to Identify Them. Public Health Nutr. 2019, 22, 936–941. [Google Scholar] [CrossRef] [PubMed]
- Stinson, E.J.; Piaggi, P.; Ibrahim, M.; Venti, C.; Krakoff, J.; Votruba, S.B. High Fat and Sugar Consumption During Ad Libitum Intake Predicts Weight Gain. Obesity 2018, 26, 689–695. [Google Scholar] [CrossRef] [PubMed]
- Clemente-Suárez, V.J.; Beltrán-Velasco, A.I.; Redondo-Flórez, L.; Martín-Rodríguez, A.; Tornero-Aguilera, J.F. Global Impacts of Western Diet and Its Effects on Metabolism and Health: A Narrative Review. Nutrients 2023, 15, 2749. [Google Scholar] [CrossRef] [PubMed]
- Lane, M.M.; Gamage, E.; Du, S.; Ashtree, D.N.; McGuinness, A.J.; Gauci, S.; Baker, P.; Lawrence, M.; Rebholz, C.M.; Srour, B.; et al. Ultra-Processed Food Exposure and Adverse Health Outcomes: Umbrella Review of Epidemiological Meta-Analyses. BMJ 2024, 384, e077310. [Google Scholar] [CrossRef] [PubMed]
- Sakuma, T.; Nakamura, M.; Chiba, T.; Iwanaga, T.; Kan, M.; Kojima, R.; Ao, J.; Ma, Y.; Unozawa, H.; Fujita, N.; et al. A Diet-Induced Murine Model for Non-Alcoholic Fatty Liver Disease with Obesity and Insulin Resistance That Rapidly Develops Steatohepatitis and Fibrosis. Lab. Investig. 2022, 102, 1150–1157. [Google Scholar] [CrossRef]
- Horne, R.G.; Yu, Y.; Zhang, R.; Abdalqadir, N.; Rossi, L.; Surette, M.; Sherman, P.M.; Adeli, K. High Fat-High Fructose Diet-Induced Changes in the Gut Microbiota Associated with Dyslipidemia in Syrian Hamsters. Nutrients 2020, 12, 3557. [Google Scholar] [CrossRef]
- Veit, M.; van Asten, R.; Olie, A.; Prinz, P. The Role of Dietary Sugars, Overweight, and Obesity in Type 2 Diabetes Mellitus: A Narrative Review. Eur. J. Clin. Nutr. 2022, 76, 1497–1501. [Google Scholar] [CrossRef]
- Zhao, Y.; Wang, Q.-Y.; Zeng, L.-T.; Wang, J.-J.; Liu, Z.; Fan, G.-Q.; Li, J.; Cai, J.-P. Long-Term High-Fat High-Fructose Diet Induces Type 2 Diabetes in Rats through Oxidative Stress. Nutrients 2022, 14, 2181. [Google Scholar] [CrossRef]
- Wang, X.; Xu, Z.; Chang, R.; Zeng, C.; Zhao, Y. High-Fructose Diet Induces Cardiac Dysfunction via Macrophage Recruitment in Adult Mice. J. Cardiovasc. Pharmacol. Ther. 2023, 28, 10742484231162249. [Google Scholar] [CrossRef] [PubMed]
- García-Berumen, C.I.; Ortiz-Avila, O.; Vargas-Vargas, M.A.; Del Rosario-Tamayo, B.A.; Guajardo-López, C.; Saavedra-Molina, A.; Rodríguez-Orozco, A.R.; Cortés-Rojo, C. The Severity of Rat Liver Injury by Fructose and High Fat Depends on the Degree of Respiratory Dysfunction and Oxidative Stress Induced in Mitochondria. Lipids Health Dis. 2019, 18, 78. [Google Scholar] [CrossRef]
- Chen, S.; Chen, J.; Li, S.; Guo, F.; Li, A.; Wu, H.; Chen, J.; Pan, Q.; Liao, S.; Liu, H.; et al. High-Fat Diet-Induced Renal Proximal Tubular Inflammatory Injury: Emerging Risk Factor of Chronic Kidney Disease. Front. Physiol. 2021, 12, 786599. [Google Scholar] [CrossRef]
- Rosas-Villegas, A.; Sánchez-Tapia, M.; Avila-Nava, A.; Ramírez, V.; Tovar, A.R.; Torres, N. Differential Effect of Sucrose and Fructose in Combination with a High Fat Diet on Intestinal Microbiota and Kidney Oxidative Stress. Nutrients 2017, 9, 393. [Google Scholar] [CrossRef]
- Casanova, A.; Wevers, A.; Navarro-Ledesma, S.; Pruimboom, L. Mitochondria: It Is All about Energy. Front. Physiol. 2023, 14, 1114231. [Google Scholar] [CrossRef] [PubMed]
- Bramlage, K.S.; Bhattacharjee, J.; Kirby, M.; Myronovych, A.; Gupta, R.; Gonzalez, R.-M.S.; Xanthakos, S.; Bove, K.; Kohli, R. A Diet High in Fat and Fructose Induces Early Hepatic Mitochondrial Aging. J. Pediatr. Gastroenterol. Nutr. 2021, 73, 99–102. [Google Scholar] [CrossRef]
- Diaz-Vegas, A.; Sanchez-Aguilera, P.; Krycer, J.R.; Morales, P.E.; Monsalves-Alvarez, M.; Cifuentes, M.; Rothermel, B.A.; Lavandero, S. Is Mitochondrial Dysfunction a Common Root of Noncommunicable Chronic Diseases? Endocr. Rev. 2020, 41, bnaa005. [Google Scholar] [CrossRef]
- Ho, H.-J.; Shirakawa, H. Oxidative Stress and Mitochondrial Dysfunction in Chronic Kidney Disease. Cells 2022, 12, 88. [Google Scholar] [CrossRef] [PubMed]
- Shi, S.; Wang, L.; van der Laan, L.J.W.; Pan, Q.; Verstegen, M.M.A. Mitochondrial Dysfunction and Oxidative Stress in Liver Transplantation and Underlying Diseases: New Insights and Therapeutics. Transplantation 2021, 105, 2362–2373. [Google Scholar] [CrossRef] [PubMed]
- Cuffaro, D.; Digiacomo, M.; Macchia, M. Dietary Bioactive Compounds: Implications for Oxidative Stress and Inflammation. Nutrients 2023, 15, 4966. [Google Scholar] [CrossRef]
- Thiruvengadam, M.; Venkidasamy, B.; Subramanian, U.; Samynathan, R.; Ali Shariati, M.; Rebezov, M.; Girish, S.; Thangavel, S.; Dhanapal, A.R.; Fedoseeva, N.; et al. Bioactive Compounds in Oxidative Stress-Mediated Diseases: Targeting the NRF2/ARE Signaling Pathway and Epigenetic Regulation. Antioxidants 2021, 10, 1859. [Google Scholar] [CrossRef] [PubMed]
- Berasategi, I.; Barriuso, B.; Ansorena, D.; Astiasarán, I. Stability of Avocado Oil during Heating: Comparative Study to Olive Oil. Food Chem. 2012, 132, 439–446. [Google Scholar] [CrossRef] [PubMed]
- Ortiz-Avila, O.; Esquivel-Martínez, M.; Olmos-Orizaba, B.E.; Saavedra-Molina, A.; Rodriguez-Orozco, A.R.; Cortés-Rojo, C. Avocado Oil Improves Mitochondrial Function and Decreases Oxidative Stress in Brain of Diabetic Rats. J. Diabetes Res. 2015, 2015, 485759. [Google Scholar] [CrossRef] [PubMed]
- Ortiz-Avila, O.; Figueroa-García, M.D.C.; García-Berumen, C.I.; Calderón-Cortés, E.; Mejía-Barajas, J.A.; Rodriguez-Orozco, A.R.; Mejía-Zepeda, R.; Saavedra-Molina, A.; Cortés-Rojo, C. Avocado Oil Induces Long-Term Alleviation of Oxidative Damage in Kidney Mitochondria from Type 2 Diabetic Rats by Improving Glutathione Status. J. Bioenerg. Biomembr. 2017, 49, 205–214. [Google Scholar] [CrossRef] [PubMed]
- Márquez-Ramírez, C.A.; Hernández de la Paz, J.L.; Ortiz-Avila, O.; Raya-Farias, A.; González-Hernández, J.C.; Rodríguez-Orozco, A.R.; Salgado-Garciglia, R.; Saavedra-Molina, A.; Godínez-Hernández, D.; Cortés-Rojo, C. Comparative Effects of Avocado Oil and Losartan on Blood Pressure, Renal Vascular Function, and Mitochondrial Oxidative Stress in Hypertensive Rats. Nutrition 2018, 54, 60–67. [Google Scholar] [CrossRef] [PubMed]
- García-Berumen, C.I.; Vargas-Vargas, M.A.; Ortiz-Avila, O.; Piña-Zentella, R.M.; Ramos-Gómez, M.; Figueroa-García, M.D.C.; Mejía-Zepeda, R.; Rodríguez-Orozco, A.R.; Saavedra-Molina, A.; Cortés-Rojo, C. Avocado Oil Alleviates Non-Alcoholic Fatty Liver Disease by Improving Mitochondrial Function, Oxidative Stress and Inflammation in Rats Fed a High Fat-High Fructose Diet. Front. Pharmacol. 2022, 13, 1089130. [Google Scholar] [CrossRef] [PubMed]
- Ortiz-Avila, O.; Gallegos-Corona, M.A.; Sánchez-Briones, L.A.; Calderón-Cortés, E.; Montoya-Pérez, R.; Rodriguez-Orozco, A.R.; Campos-García, J.; Saavedra-Molina, A.; Mejía-Zepeda, R.; Cortés-Rojo, C. Protective Effects of Dietary Avocado Oil on Impaired Electron Transport Chain Function and Exacerbated Oxidative Stress in Liver Mitochondria from Diabetic Rats. J. Bioenerg. Biomembr. 2015, 47, 337–353. [Google Scholar] [CrossRef] [PubMed]
- Márquez-Ramírez, C.A.; Olmos-Orizaba, B.E.; García-Berumen, C.I.; Calderón-Cortés, E.; Montoya-Pérez, R.; Saavedra-Molina, A.; Rodríguez-Orozco, A.R.; Cortés-Rojo, C. Avocado Oil Prevents Kidney Injury and Normalizes Renal Vasodilation after Adrenergic Stimulation in Hypertensive Rats: Probable Role of Improvement in Mitochondrial Dysfunction and Oxidative Stress. Life 2021, 11, 1122. [Google Scholar] [CrossRef] [PubMed]
- Salehi, B.; Rescigno, A.; Dettori, T.; Calina, D.; Docea, A.O.; Singh, L.; Cebeci, F.; Özçelik, B.; Bhia, M.; Dowlati Beirami, A.; et al. Avocado–Soybean Unsaponifiables: A Panoply of Potentialities to Be Exploited. Biomolecules 2020, 10, 130. [Google Scholar] [CrossRef]
- D’Silva, A.; D’Souza, C.J.M. Effect of Nonsaponifiable Fraction of Avocado Oil on Body Weight, Body Fat and Blood Lipid Profile of Broiler Chickens. Asian J. Poult. Sci. 2015, 9, 144–154. [Google Scholar] [CrossRef]
- Young, S.; Wong, M.; Tabata, Y.; Mikos, A.G. Gelatin as a Delivery Vehicle for the Controlled Release of Bioactive Molecules. J. Control. Release 2005, 109, 256–274. [Google Scholar] [CrossRef] [PubMed]
- Dansethakul, P.; Thapanathamchai, L.; Saichanma, S.; Worachartcheewan, A.; Pidetcha, P. Determining a New Formula for Calculating Low-Density Lipoprotein Cholesterol: Data Mining Approach. EXCLI J. 2015, 14, 478–483. [Google Scholar] [CrossRef] [PubMed]
- Antunes, L.C.; Elkfury, J.L.; Jornada, M.N.; Foletto, K.C.; Bertoluci, M.C. Validation of HOMA-IR in a Model of Insulin-Resistance Induced by a High-Fat Diet in Wistar Rats. Arch. Endocrinol. Metab. 2016, 60, 138–142. [Google Scholar] [CrossRef] [PubMed]
- Gornall, A.G.; Bardawill, C.J.; David, M.M. Determination of serum proteins by means of the biuret reaction. J. Biol. Chem. 1949, 177, 751–766. [Google Scholar] [CrossRef] [PubMed]
- Cortés-Rojo, C.; Calderón-Cortés, E.; Clemente-Guerrero, M.; Estrada-Villagómez, M.; Manzo-Avalos, S.; Mejía-Zepeda, R.; Boldogh, I.; Saavedra-Molina, A. Elucidation of the Effects of Lipoperoxidation on the Mitochondrial Electron Transport Chain Using Yeast Mitochondria with Manipulated Fatty Acid Content. J. Bioenerg. Biomembr. 2009, 41, 15–28. [Google Scholar] [CrossRef] [PubMed]
- Erdelmeier, I.; Gérard-Monnier, D.; Yadan, J.C.; Chaudière, J. Reactions of N-Methyl-2-Phenylindole with Malondialdehyde and 4-Hydroxyalkenals. Mechanistic Aspects of the Colorimetric Assay of Lipid Peroxidation. Chem. Res. Toxicol. 1998, 11, 1184–1194. [Google Scholar] [CrossRef] [PubMed]
- Lee, S.; Lee, D.K. What Is the Proper Way to Apply the Multiple Comparison Test? Korean J. Anesthesiol. 2018, 71, 353–360. [Google Scholar] [CrossRef]
- Cervantes-Paz, B.; Yahia, E.M. Avocado Oil: Production and Market Demand, Bioactive Components, Implications in Health, and Tendencies and Potential Uses. Compr. Rev. Food Sci. Food Saf. 2021, 20, 4120–4158. [Google Scholar] [CrossRef] [PubMed]
- Krumreich, F.D.; Borges, C.D.; Mendonça, C.R.B.; Jansen-Alves, C.; Zambiazi, R.C. Bioactive Compounds and Quality Parameters of Avocado Oil Obtained by Different Processes. Food Chem. 2018, 257, 376–381. [Google Scholar] [CrossRef] [PubMed]
- Choi, D.; Kang, W.; Park, T. Anti-Allergic and Anti-Inflammatory Effects of Undecane on Mast Cells and Keratinocytes. Molecules 2020, 25, 1554. [Google Scholar] [CrossRef]
- Younis, I.Y.; Khattab, A.R.; Selim, N.M.; Sobeh, M.; Elhawary, S.S.; Bishbishy, M.H.E. Metabolomics-Based Profiling of 4 Avocado Varieties Using HPLC–MS/MS and GC/MS and Evaluation of Their Antidiabetic Activity. Sci. Rep. 2022, 12, 4966. [Google Scholar] [CrossRef] [PubMed]
- Baky, M.H.; Shawky, E.M.; Elgindi, M.R.; Ibrahim, H.A. Comparative Volatile Profiling of Ludwigia Stolonifera Aerial Parts and Roots Using VSE-GC-MS/MS and Screening of Antioxidant and Metal Chelation Activities. ACS Omega 2021, 6, 24788–24794. [Google Scholar] [CrossRef] [PubMed]
- Yuan, C.; Zhang, X.; Long, X.; Jin, J.; Jin, R. Effect of β-Sitosterol Self-Microemulsion and β-Sitosterol Ester with Linoleic Acid on Lipid-Lowering in Hyperlipidemic Mice. Lipids Health Dis. 2019, 18, 157. [Google Scholar] [CrossRef] [PubMed]
- Miceli, M.; Roma, E.; Rosa, P.; Feroci, M.; Loreto, M.A.; Tofani, D.; Gasperi, T. Synthesis of Benzofuran-2-One Derivatives and Evaluation of Their Antioxidant Capacity by Comparing DPPH Assay and Cyclic Voltammetry. Molecules 2018, 23, 710. [Google Scholar] [CrossRef] [PubMed]
- Sayuti, N.H.; Muhammad Nawawi, K.N.; Goon, J.A.; Mokhtar, N.M.; Makpol, S.; Tan, J.K. Preventative and Therapeutic Effects of Astaxanthin on NAFLD. Antioxidants 2023, 12, 1552. [Google Scholar] [CrossRef] [PubMed]
- Yang, S.; Wang, S.; Yang, B.; Zheng, J.; Cai, Y.; Yang, Z. Weight Loss before a Diagnosis of Type 2 Diabetes Mellitus Is a Risk Factor for Diabetes Complications. Medicine 2016, 95, e5618. [Google Scholar] [CrossRef] [PubMed]
- When to Worry If Weight Falls Off without Trying. Available online: https://www.mayoclinic.org/symptoms/unexplained-weight-loss/basics/definition/sym-20050700 (accessed on 1 August 2024).
- Moreno-Fernández, S.; Garcés-Rimón, M.; Vera, G.; Astier, J.; Landrier, J.F.; Miguel, M. High Fat/High Glucose Diet Induces Metabolic Syndrome in an Experimental Rat Model. Nutrients 2018, 10, 1502. [Google Scholar] [CrossRef] [PubMed]
- Sergi, D.; Naumovski, N.; Heilbronn, L.K.; Abeywardena, M.; O’Callaghan, N.; Lionetti, L.; Luscombe-Marsh, N. Mitochondrial (Dys)Function and Insulin Resistance: From Pathophysiological Molecular Mechanisms to the Impact of Diet. Front. Physiol. 2019, 10, 532. [Google Scholar] [CrossRef] [PubMed]
- Davis, R.C.; Castellani, L.W.; Hosseini, M.; Ben-Zeev, O.; Mao, H.Z.; Weinstein, M.M.; Jung, D.Y.; Jun, J.Y.; Kim, J.K.; Lusis, A.J.; et al. Early Hepatic Insulin Resistance Precedes the Onset of Diabetes in Obese C57BLKS-Db/Db Mice. Diabetes 2010, 59, 1616–1625. [Google Scholar] [CrossRef][Green Version]
- Yki-Järvinen, H. Fat in the Liver and Insulin Resistance. Ann. Med. 2005, 37, 347–356. [Google Scholar] [CrossRef]
- Sun, Y.; Ge, X.; Li, X.; He, J.; Wei, X.; Du, J.; Sun, J.; Li, X.; Xun, Z.; Liu, W.; et al. High-Fat Diet Promotes Renal Injury by Inducing Oxidative Stress and Mitochondrial Dysfunction. Cell Death Dis. 2020, 11, 914. [Google Scholar] [CrossRef] [PubMed]
- Ortiz-Avila, O.; García-Berumen, C.I.; Figueroa-García, M.d.C.; Mejía-Zepeda, R.; Saavedra-Molina, A.; Meléndez-Herrera, E.; Cortés-Rojo, C. Avocado Oil Delays Kidney Injury by Improving Serum Adiponectin Levels and Renal Mitochondrial Dysfunction in Type 2 Diabetic Rats. J. Biol. Regul. Homeost. Agents 2024, 38, 1975–1985. [Google Scholar] [CrossRef]
- Seruji, N.M.U.; Khong, H.Y.; Kutoi, C.J. Antioxidant, Anti-Inflammatory, and Cytotoxic Activities of Garcinia Nervosa (Clusiaceae). J. Chem. 2013, 2013, 913406. [Google Scholar] [CrossRef]
- Brand, M.D.; Nicholls, D.G. Assessing Mitochondrial Dysfunction in Cells. Biochem. J. 2011, 435, 297–312. [Google Scholar] [CrossRef] [PubMed]









| Diet Components | Control | HF-HC |
|---|---|---|
| Calories (kcal) | 440.5 | 501 * |
| Total Carbohydrates % | 62 | 60 |
| Fructose % | - | 25 |
| Sucrose % | - | 10 |
| Lactose% | - | 10 |
| Total Fat % | 8.5 | 21 |
| Saturated fat % | - | 8 |
| Trans fat % | - | 3.6 |
| Fatty Acid | Relative Proportion (%) |
|---|---|
| Palmitic acid | 15.7 |
| Palmitoleic acid | 5.4 |
| Esteraric acid | 1.3 |
| Oleic acid | 59 |
| Linoleic acid | 16.5 |
| Compound Name | Relative Proportion (%) |
|---|---|
| Decane | 7.65 |
| 4-Methyldecane | 2.87 |
| 2-Ethyl-1-hexanol | 6.68 |
| 2-Cyclohexyldecane | 1.89 |
| (E)-Tridec-2en-1-ol | 4.05 |
| Undecane | 19.55 |
| 1-Methyldecahydronaphthalene | 4.65 |
| 6-Methylundecane | 1.44 |
| 2-Decanone | 4.56 |
| Dodecane | 17.19 |
| 2,6-dimethylundecane | 6.61 |
| 2,3,7-Trimethyloctane | 4.79 |
| Tridecane | 11.85 |
| Tetradecane | 2.82 |
| Compound Number | Compound Name |
|---|---|
| 1 | (2E,4E)-3,7-Dimethyl-6-(5,5,8,8-tetramethyl-5,6,7,8-tetrahydro-naphthalen-2-yl)-octa-2,4,6-trienoic acid |
| 2 | Gluroside |
| 3 | Loliolide β-D-glucopyranoside |
| 4 | Yahyaxanthone |
| 5 | Tangeraxanthin |
| 6 | [(3R,4S,5R,6R)-3-dodecanoyloxy-2-ethoxy-5-hydroxy-6-(hydroxymethyl)oxan-4-yl] dodecanoate |
| Biochemical Parameters | CTRL | UFAO | HF-HC | HF-HC+UFAO |
|---|---|---|---|---|
| Total cholesterol (mg/dL) | 91.3 ± 10.4 b | 83.7 ± 3.9 b | 165.8 ± 14.3 a | 157.2 ± 20.6 a |
| Triglycerides (mg/dL) | 43.0 ± 7.2 b | 73.7 ± 17.6 b | 39.3 ± 1.5 a | 37.4 ± 5.6 a |
| HDL (mg/dL) | 79.7 ± 8.4 a | 65.2 ± 5.1 a | 68.3 ± 21.8 a | 89.6 ± 16.5 a |
| LDL (mg/dL) | 27.9 ± 10.3 b | 35.9 ± 3.8 b | 115.9 ± 23 a | 54.5 ± 6.7 a |
| VLDL (mg/dL) | 8.3 ± 1.5 b | 14.7 ± 3.5 b | 7.9 ± 0.3 a | 7.5 ± 1.1 b |
Disclaimer/Publisher’s Note: The statements, opinions and data contained in all publications are solely those of the individual author(s) and contributor(s) and not of MDPI and/or the editor(s). MDPI and/or the editor(s) disclaim responsibility for any injury to people or property resulting from any ideas, methods, instructions or products referred to in the content. |
© 2024 by the authors. Licensee MDPI, Basel, Switzerland. This article is an open access article distributed under the terms and conditions of the Creative Commons Attribution (CC BY) license (https://creativecommons.org/licenses/by/4.0/).
Share and Cite
González-Montoya, M.; Vargas-Vargas, M.A.; Torres-Isidro, O.; García-Berumen, C.I.; Cuiniche-Méndez, M.G.; Saavedra-Molina, A.; Ontiveros-Rodríguez, J.C.; García-Gutiérrez, H.A.; Calderón-Cortés, E.; Cortés-Rojo, C. Evaluation of Unsaponifiable Fraction of Avocado Oil on Liver and Kidney Mitochondrial Function in Rats Fed a High-Fat and High-Carbohydrate Diet. Metabolites 2024, 14, 431. https://doi.org/10.3390/metabo14080431
González-Montoya M, Vargas-Vargas MA, Torres-Isidro O, García-Berumen CI, Cuiniche-Méndez MG, Saavedra-Molina A, Ontiveros-Rodríguez JC, García-Gutiérrez HA, Calderón-Cortés E, Cortés-Rojo C. Evaluation of Unsaponifiable Fraction of Avocado Oil on Liver and Kidney Mitochondrial Function in Rats Fed a High-Fat and High-Carbohydrate Diet. Metabolites. 2024; 14(8):431. https://doi.org/10.3390/metabo14080431
Chicago/Turabian StyleGonzález-Montoya, Marcela, Manuel Alejandro Vargas-Vargas, Olin Torres-Isidro, Claudia Isabel García-Berumen, María Guadalupe Cuiniche-Méndez, Alfredo Saavedra-Molina, Julio Cesar Ontiveros-Rodríguez, Hugo A. García-Gutiérrez, Elizabeth Calderón-Cortés, and Christian Cortés-Rojo. 2024. "Evaluation of Unsaponifiable Fraction of Avocado Oil on Liver and Kidney Mitochondrial Function in Rats Fed a High-Fat and High-Carbohydrate Diet" Metabolites 14, no. 8: 431. https://doi.org/10.3390/metabo14080431
APA StyleGonzález-Montoya, M., Vargas-Vargas, M. A., Torres-Isidro, O., García-Berumen, C. I., Cuiniche-Méndez, M. G., Saavedra-Molina, A., Ontiveros-Rodríguez, J. C., García-Gutiérrez, H. A., Calderón-Cortés, E., & Cortés-Rojo, C. (2024). Evaluation of Unsaponifiable Fraction of Avocado Oil on Liver and Kidney Mitochondrial Function in Rats Fed a High-Fat and High-Carbohydrate Diet. Metabolites, 14(8), 431. https://doi.org/10.3390/metabo14080431

