Comparison of Ten Surrogate Insulin Resistance and Obesity Markers to Identify Metabolic Syndrome in Mexican Adults
Abstract
1. Introduction
2. Materials and Methods
2.1. Study Population
2.2. Definition of Metabolic Syndrome
2.3. Surrogate Markers of Insulin Resistance and Obesity
2.4. Statistical Analysis
3. Results
3.1. Characteristics of the Study Population
3.2. Diagnostic Indices for MetS According to the ATP III Criteria
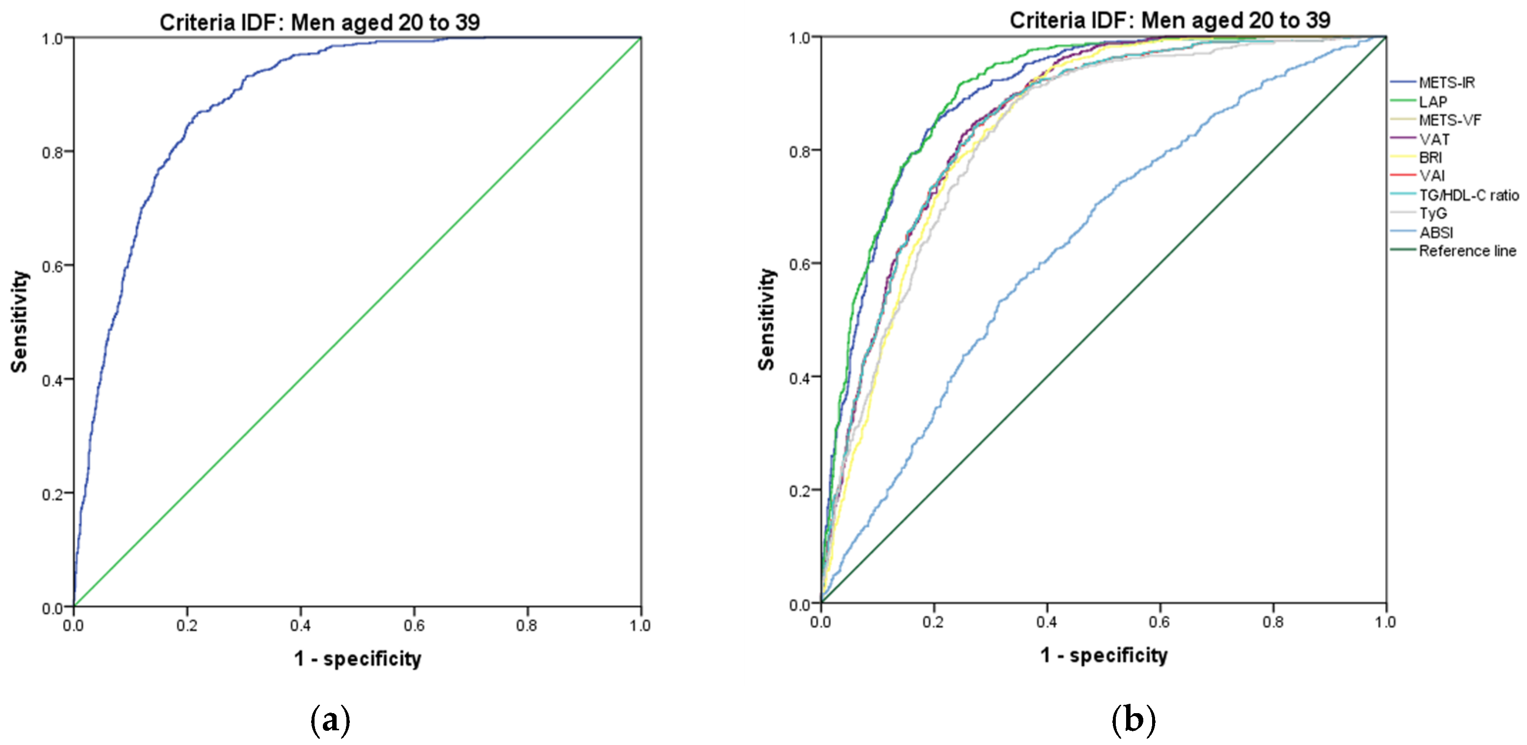
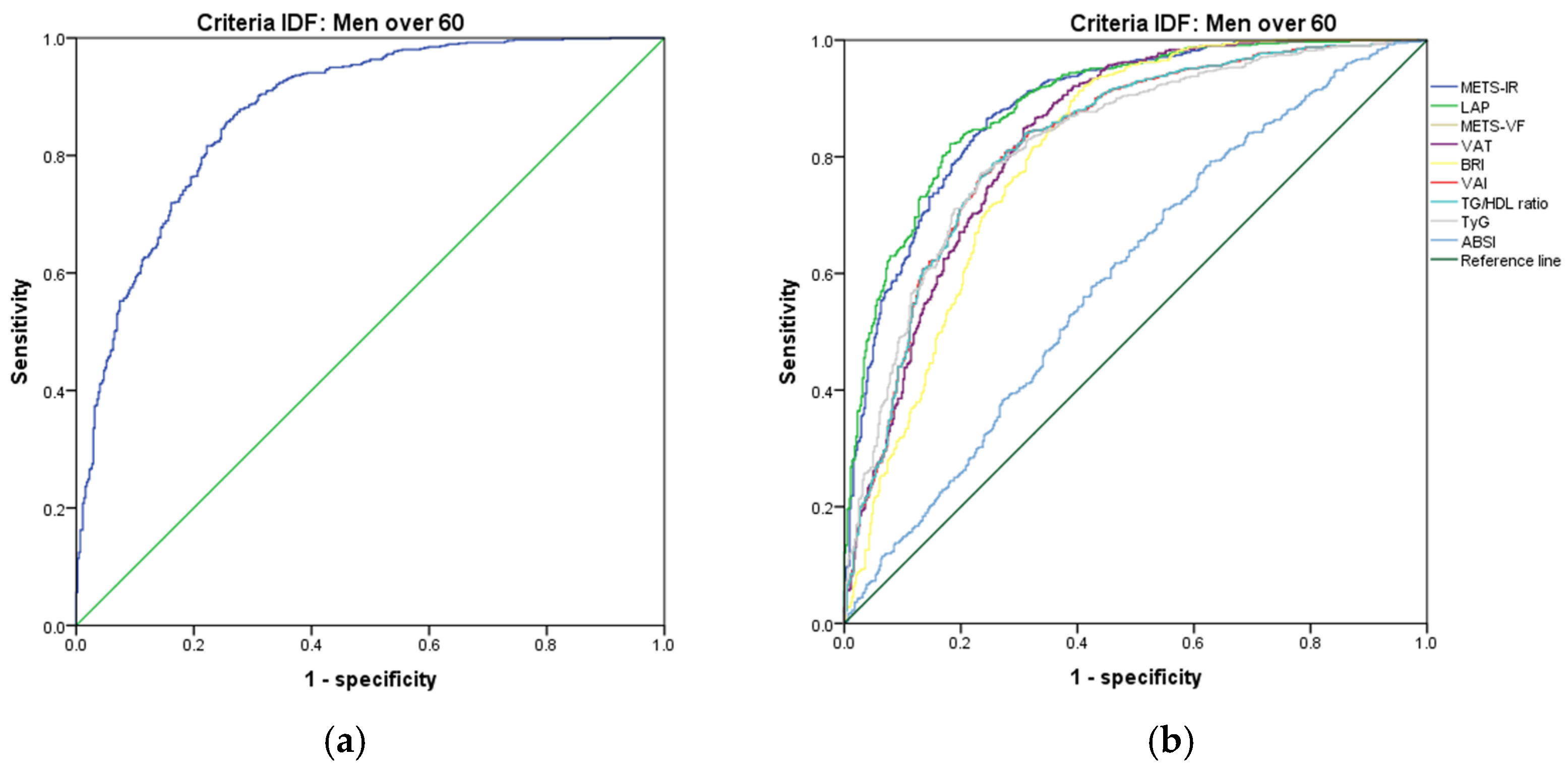
3.3. Indices for the Diagnosis of MetS According to the IDF Criteria
4. Discussion
5. Conclusions
Author Contributions
Funding
Institutional Review Board Statement
Informed Consent Statement
Data Availability Statement
Acknowledgments
Conflicts of Interest
Appendix A
| Definition | ATP III | IDF |
|---|---|---|
| Criteria | Central obesity and any 2 out of these 4 other factors | ≥3 out of these parameters |
| Waist Circumference | ≥102 cm (men), ≥88 cm (women) | ≥90 cm (men), ≥80 cm (women) |
| Triglycerides | ≥150 mg/dL or drug treatment for elevated levels | ≥150 mg/dL or drug treatment for elevated levels |
| HDL Cholesterol | <40 mg/dL (men), <50 mg/dL (women) or drug treatment for elevated levels | <40 mg/dL (men), <50 mg/dL (women) or drug treatment for elevated levels |
| Blood Pressure | ≥130/85 mmHg or drug treatment for high blood pressure | ≥130/85 mmHg dL or drug treatment for high blood pressure |
| Fasting Glucose | ≥110 mg/dL or drug treatment for diabetes mellitus | ≥100 mg/dL or drug treatment for diabetes mellitus |
References
- Huang, P.L. A Comprehensive Definition for Metabolic Syndrome. Dis. Models Mech. 2009, 2, 231–237. [Google Scholar] [CrossRef]
- Kassi, E.; Pervanidou, P.; Kaltsas, G.; Chrousos, G. Metabolic Syndrome: Definitions and Controversies. BMC Med. 2011, 9, 48. [Google Scholar] [CrossRef]
- Saklayen, M.G. The Global Epidemic of the Metabolic Syndrome. Curr. Hypertens. Rep. 2018, 20, 12. [Google Scholar] [CrossRef]
- Cardiovascular Diseases (CVDs). WHO 2021. Available online: https://www.who.int/news-room/fact-sheets/detail/cardiovascular-diseases-(cvds) (accessed on 14 July 2023).
- Sun, H.; Saeedi, P.; Karuranga, S.; Pinkepank, M.; Ogurtsova, K.; Duncan, B.B.; Stein, C.; Basit, A.; Chan, J.C.N.; Mbanya, J.C.; et al. IDF Diabetes Atlas: Global, Regional and Country-Level Diabetes Prevalence Estimates for 2021 and Projections for 2045. Diabetes Res. Clin. Pract. 2022, 183, 109119. [Google Scholar] [CrossRef]
- INEGI. Estadísticas de Defunciones Registradas 2021. Available online: https://www.inegi.org.mx/rnm/index.php/catalog/822 (accessed on 14 July 2023).
- 490. Cada Año, 220 Mil Personas Fallecen Debido a Enfermedades Del Corazón 2020. Available online: https://www.gob.mx/salud/prensa/490-cada-ano-220-mil-personas-fallecen-debido-a-enfermedades-del-corazon (accessed on 12 July 2023).
- Rojas-Martínez, R.; Aguilar-Salinas, C.A.; Romero-Martínez, M.; Castro-Porras, L.; Gómez-Velasco, D.; Mehta, R. Trends in the Prevalence of Metabolic Syndrome and Its Components in Mexican Adults, 2006–2018. Salud. Publica. Mex. 2021, 63, 713–724. [Google Scholar] [CrossRef]
- Barrios, Y.; Carías, D. Adiposidad, estado pro-inflamatorio y resistencia a la insulina durante la menopausia. Rev. Venez. Endocrinol. Metab. 2012, 10, 51–64. [Google Scholar]
- Esser, N.; Legrand-Poels, S.; Piette, J.; Scheen, A.J.; Paquot, N. Inflammation as a Link between Obesity, Metabolic Syndrome and Type 2 Diabetes. Diabetes Res. Clin. Pract. 2014, 105, 141–150. [Google Scholar] [CrossRef]
- Gobato, A.O.; Vasques, A.C.J.; Zambon, M.P.; Barros Filho, A.D.A.; Hessel, G. Metabolic Syndrome and Insulin Resistance in Obese Adolescents. Rev. Paul. Pediatr. 2014, 32, 55–59. [Google Scholar] [CrossRef]
- Ros Pérez, M.; Medina-Gómez, G. Obesity, Adipogenesis and Insulin Resistance. Endocrinol. Y Nutr. (Engl. Ed.) 2011, 58, 360–369. [Google Scholar] [CrossRef]
- Alberti, K.G.M.M.; Eckel, R.H.; Grundy, S.M.; Zimmet, P.Z.; Cleeman, J.I.; Donato, K.A.; Fruchart, J.-C.; James, W.P.T.; Loria, C.M.; Smith, S.C. Harmonizing the Metabolic Syndrome: A Joint Interim Statement of the International Diabetes Federation Task Force on Epidemiology and Prevention; National Heart, Lung, and Blood Institute; American Heart Association; World Heart Federation; International Atherosclerosis Society; and International Association for the Study of Obesity. Circulation 2009, 120, 1640–1645. [Google Scholar] [CrossRef]
- Expert Panel on Detection, Evaluation, and Treatment of High Blood Cholesterol in Adults Executive Summary of the Third Report of the National Cholesterol Education Program (NCEP) Expert Panel on Detection, Evaluation, and Treatment of High Blood Cholesterol in Adults (Adult Treatment Panel III). JAMA 2001, 285, 2486–2497. [CrossRef]
- Chiu, T.-H.; Huang, Y.-C.; Chiu, H.; Wu, P.-Y.; Chiou, H.-Y.C.; Huang, J.-C.; Chen, S.-C. Comparison of Various Obesity-Related Indices for Identification of Metabolic Syndrome: A Population-Based Study from Taiwan Biobank. Diagnostics 2020, 10, 1081. [Google Scholar] [CrossRef]
- Rajaram, V.; Pandhya, S.; Patel, S.; Meyer, P.M.; Goldin, M.; Feinstein, M.J.M.; Neems, R.; Liebson, P.R.; Fiedler, B.M.; Macioch, J.E.; et al. Role of Surrogate Markers in Assessing Patients with Diabetes Mellitus and the Metabolic Syndrome and in Evaluating Lipid-Lowering Therapy. Am. J. Cardiol. 2004, 93, 32–48. [Google Scholar] [CrossRef]
- Wang, K.; He, G.; Zhang, Y.; Yin, J.; Yan, Y.; Zhang, Y.; Wang, K. Association of Triglyceride-Glucose Index and Its Interaction with Obesity on Hypertension Risk in Chinese: A Population-Based Study. J. Hum. Hypertens. 2021, 35, 232–239. [Google Scholar] [CrossRef]
- Tabassum, M.; Rahman, M.M.; Mozaffor, M. Adiposity Indicators Lipid Accumulation Product and Triglyceride-Glucose Index as Alternate Criteria for the Diagnosis of Metabolic Obesity in Adult. Bangabandhu Sheikh Mujib Med. Univ. J. 2018, 11, 118. [Google Scholar] [CrossRef]
- Shin, K.-A.; Kim, Y.-J. Usefulness Of Surrogate Markers Of Body Fat Distribution For Predicting Metabolic Syndrome In Middle-Aged And Older Korean Populations. Diabetes Metab. Syndr. Obes. 2019, 12, 2251–2259. [Google Scholar] [CrossRef]
- Ray, L.; Ravichandran, K.; Nanda, S.K. Comparison of Lipid Accumulation Product Index with Body Mass Index and Waist Circumference as a Predictor of Metabolic Syndrome in Indian Population. Metab. Syndr. Rel. Dis. 2018, 16, 240–245. [Google Scholar] [CrossRef]
- Thomas, D.M.; Bredlau, C.; Bosy-Westphal, A.; Mueller, M.; Shen, W.; Gallagher, D.; Maeda, Y.; McDougall, A.; Peterson, C.M.; Ravussin, E.; et al. Relationships between Body Roundness with Body Fat and Visceral Adipose Tissue Emerging from a New Geometrical Model: Body Roundness with Body Fat & Visceral Adipose Tissue. Obesity 2013, 21, 2264–2271. [Google Scholar] [CrossRef]
- Ramírez-Vélez, R.; Pérez-Sousa, M.Á.; González-Ruíz, K.; Cano-Gutierrez, C.A.; Schmidt-RioValle, J.; Correa-Rodríguez, M.; Izquierdo, M.; Romero-García, J.A.; Campos-Rodríguez, A.Y.; Triana-Reina, H.R.; et al. Obesity- and Lipid-Related Parameters in the Identification of Older Adults with a High Risk of Prediabetes According to the American Diabetes Association: An Analysis of the 2015 Health, Well-Being, and Aging Study. Nutrients 2019, 11, 2654. [Google Scholar] [CrossRef]
- Baez-Duarte, B.G.; Zamora-Ginez, I.; Rodríguez-Ramírez, S.O.; Pesqueda-Cendejas, K.; García-Aragón, K.H. Índice TG/HDL para identificar a sujetos con síndrome metabólico en población mexicana. Gac. Méd. Méx. 2022, 158, 8834. [Google Scholar] [CrossRef]
- Romero-Martínez, M.; Shamah-Levy, T.; Vielma-Orozco, E.; Heredia-Hernández, O.; Mojica-Cuevas, J.; Cuevas-Nasu, L.; Rivera-Dommarco, J. Encuesta Nacional de Salud y Nutrición 2018–2019: Metodología y Perspectivas. Salud Publica Mex. 2019, 61, 917–923. [Google Scholar] [CrossRef]
- Paulmichl, K.; Hatunic, M.; Højlund, K.; Jotic, A.; Krebs, M.; Mitrakou, A.; Porcellati, F.; Tura, A.; Bergsten, P.; Forslund, A.; et al. Modification and Validation of the Triglyceride-to–HDL Cholesterol Ratio as a Surrogate of Insulin Sensitivity in White Juveniles and Adults without Diabetes Mellitus: The Single Point Insulin Sensitivity Estimator (SPISE). Clin. Chem. 2016, 62, 1211–1219. [Google Scholar] [CrossRef]
- Kahn, H.S. The “Lipid Accumulation Product” Performs Better than the Body Mass Index for Recognizing Cardiovascular Risk: A Population-Based Comparison. BMC Cardiovasc. Disord. 2005, 5, 26. [Google Scholar] [CrossRef]
- Amato, M.C.; Giordano, C.; Galia, M.; Criscimanna, A.; Vitabile, S.; Midiri, M.; Galluzzo, A.; for the AlkaMeSy Study Group. Visceral Adiposity Index: A reliable indicator of visceral fat function associated with cardiometabolic risk. Diabetes Care 2010, 33, 920–922. [Google Scholar] [CrossRef]
- Guerrero-Romero, F.; Villalobos-Molina, R.; Jiménez-Flores, J.R.; Simental-Mendia, L.E.; Méndez-Cruz, R.; Murguía-Romero, M.; Rodríguez-Morán, M. Fasting Triglycerides and Glucose Index as a Diagnostic Test for Insulin Resistance in Young Adults. Arch. Med. Res. 2016, 47, 382–387. [Google Scholar] [CrossRef]
- Giannini, C.; Santoro, N.; Caprio, S.; Kim, G.; Lartaud, D.; Shaw, M.; Pierpont, B.; Weiss, R. The Triglyceride-to-HDL Cholesterol Ratio. Diabetes Care 2011, 34, 1869–1874. [Google Scholar] [CrossRef]
- Bello-Chavolla, O.Y.; Almeda-Valdes, P.; Gomez-Velasco, D.; Viveros-Ruiz, T.; Cruz-Bautista, I.; Romo-Romo, A.; Sánchez-Lázaro, D.; Meza-Oviedo, D.; Vargas-Vázquez, A.; Campos, O.A.; et al. METS-IR, a Novel Score to Evaluate Insulin Sensitivity, Is Predictive of Visceral Adiposity and Incident Type 2 Diabetes. Eur. J. Endocrinol. 2018, 178, 533–544. [Google Scholar] [CrossRef]
- Bello-Chavolla, O.Y.; Antonio-Villa, N.E.; Vargas-Vázquez, A.; Viveros-Ruiz, T.L.; Almeda-Valdes, P.; Gomez-Velasco, D.; Mehta, R.; Elias-López, D.; Cruz-Bautista, I.; Roldán-Valadez, E.; et al. Metabolic score for visceral fat (METS-VF), a Novel Estimator of Intra-Abdominal Fat Content and Cardio-Metabolic Health. Clin. Nutr. 2020, 39, 1613–1621. [Google Scholar] [CrossRef]
- Robin, X.; Turck, N.; Hainard, A.; Tiberti, N.; Lisacek, F.; Sanchez, J.-C.; Müller, M. pROC: An Open-Source Package for R and S+ to Analyze and Compare ROC Curves. BMC Bioinform. 2011, 12, 77. [Google Scholar] [CrossRef]
- Anık İlhan, G.; Yıldızhan, B. Visceral Adiposity Indicators as Predictors of Metabolic Syndrome in Postmenopausal Women. Turk. J. Obstet. Gynecol. 2019, 16, 164–168. [Google Scholar] [CrossRef]
- Li, R.; Li, Q.; Cui, M.; Yin, Z.; Li, L.; Zhong, T.; Huo, Y.; Xie, P. Clinical Surrogate Markers for Predicting Metabolic Syndrome in Middle-Aged and Elderly Chinese. J. Diabetes Investig. 2018, 9, 411–418. [Google Scholar] [CrossRef]
- Talavera, J.E.; Torres-Malca, J.R. Diagnostic Performance of Lipid Accumulation Indices and Triglyceride and Glucose Index for Metabolic Syndrome in a Sample of Peruvian Adult Population. Rev. Fac. Med. Humana 2021, 22, 42–49. [Google Scholar] [CrossRef]
- Gil Llinás, M.; Estades Janer, P.; García Agudo, S. Utilidad en enfermería de diferentes índices antropométricos y analíticos para valorar la existencia de síndrome metabólico con los criterios NCEP ATPIII e IDF en población mediterránea española. Med. Balear. 2017, 32, 26–34. [Google Scholar] [CrossRef]
- Gu, Z.; Zhu, P.; Wang, Q.; He, H.; Xu, J.; Zhang, L.; Li, D.; Wang, J.; Hu, X.; Ji, G.; et al. Obesity and Lipid-Related Parameters for Predicting Metabolic Syndrome in Chinese Elderly Population. Lipids Health Dis. 2018, 17, 289. [Google Scholar] [CrossRef]
- Baveicy, K.; Mostafaei, S.; Darbandi, M.; Hamzeh, B.; Najafi, F.; Pasdar, Y. Predicting Metabolic Syndrome by Visceral Adiposity Index, Body Roundness Index and a Body Shape Index in Adults: A Cross-Sectional Study from the Iranian RaNCD Cohort Data. Diabetes Metab. Syndr. Obes. 2020, 13, 879–887. [Google Scholar] [CrossRef]
- Yu, X.; Wang, L.; Zhang, W.; Ming, J.; Jia, A.; Xu, S.; Li, Q.; Ji, Q. Fasting Triglycerides and Glucose Index Is More Suitable for the Identification of Metabolically Unhealthy Individuals in the Chinese Adult Population: A Nationwide Study. J. Diabetes Investig. 2019, 10, 1050–1058. [Google Scholar] [CrossRef] [PubMed]
- Chen, Z.; Wen, J. Elevated triglyceride-glucose (TyG) index predicts impaired islet β-cell function: A hospital-based cross-sectional study. Front. Endocrinol. 2022, 13, 973655. [Google Scholar] [CrossRef]
- Chua, E.C.; Shui, G.; Lee, I.T.; Lau, P.; Tan, L.C.; Yeo, S.C.; Lam, B.D.; Bulchand, S.; Summers, S.A.; Puvanendran, K.; et al. Extensive diversity in circadian regulation of plasma lipids and evidence for different circadian metabolic phenotypes in humans. Proc. Natl. Acad. Sci. USA 2013, 110, 14468–14473. [Google Scholar] [CrossRef] [PubMed] [PubMed Central]
- Grant, L.K.; Czeisler, C.A.; Lockley, S.W.; Rahman, S.A. Time-of-day and meal size effects on clinical lipid markers. J. Clin. Endocrinol. Metab. 2021, 106, e1373–e1379. [Google Scholar] [CrossRef]
- Albreiki, M.S.; Middleton, B.; Hampton, S.M. The effect of melatonin on glucose tolerance, insulin sensitivity and lipid profiles after a late evening meal in healthy young males. J. Pineal Res. 2021, 71, e12770. [Google Scholar] [CrossRef]
- Zimmet, P.; Alberti, K.G.M.M.; Stern, N.; Bilu, C.; El-Osta, A.; Einat, H.; Kronfeld-Schor, N. The Circadian Syndrome: Is the Metabolic Syndrome and much more! J. Intern. Med. 2019, 286, 181–191. [Google Scholar] [CrossRef] [PubMed]
- Shi, Z.; Tuomilehto, J.; Kronfeld-Schor, N.; Alberti, G.; Stern, N.; El-Osta, A.; Chai, Z.; Bilu, C.; Einat, H.; Zimmet, P. The Circadian Syndrome Is a Significant and Stronger Predictor for Cardiovascular Disease than the Metabolic Syndrome—The NHANES Survey during 2005–2016. Nutrients 2022, 14, 5317. [Google Scholar] [CrossRef]
- Zhang, R.; Cai, X.; Lin, C.; Yang, W.; Lv, F.; Wu, J.; Ji, L. The association between metabolic parameters and evening chronotype and social jetlag in non-shift workers: A meta-analysis. Front. Endocrinol. 2022, 13, 1008820. [Google Scholar] [CrossRef] [PubMed]
- Gubin, D.; Danilenko, K.; Stefani, O.; Kolomeichuk, S.; Markov, A.; Petrov, I.; Voronin, K.; Mezhakova, M.; Borisenkov, M.; Shigabaeva, A.; et al. Blue Light and Temperature Actigraphy Measures Predicting Metabolic Health Are Linked to Melatonin Receptor Polymorphism. Biology 2023, 13, 22. [Google Scholar] [CrossRef] [PubMed]
- Gu, C.; Brereton, N.; Schweitzer, A.; Cotter, M.; Duan, D.; Børsheim, E.; Wolfe, R.R.; Pham, L.V.; Polotsky, V.Y.; Jun, J.C. Metabolic effects of late dinner in healthy volunteers—A randomized crossover clinical trial. J. Clin. Endocrinol. Metab. 2020, 105, 2789–2802. [Google Scholar] [CrossRef]
- Kent, B.A.; Rahman, S.A.; St. Hilaire, M.A.; Grant, L.K.; Rüger, M.; Czeisler, C.A.; Lockley, S.W. Circadian lipid and hepatic protein rhythms shift with a phase response curve different than melatonin. Nat. Commun. 2022, 13, 681. [Google Scholar] [CrossRef]













| Variables | n (%) | |
|---|---|---|
| Female | 6041 (57%) | |
| Age, median (Q1, Q3) | years | 45 (33, 58) |
| Age groups | 20–39 years | 4006 (37.9%) |
| 40–59 years | 4095 (38.7%) | |
| ≥60 years | 2474 (23.4%) | |
| BMI, median (Q1, Q3) | kg/m2 | 28.4 (25.2, 31.9) |
| ≤18.4 kg/m2 | 106 (1.0%) | |
| 18.5–24.4 kg/m2 | 2288 (21.6%) | |
| 25–29.9 kg/m2 | 2606 (24.6%) | |
| ≥30 kg/m2 | 5575 (52.7%) | |
| Waist circumference, median (Q1, Q3) | cm | 95.8 (87.5, 104) |
| ATP-III Men WC ≥ 102 cm ATP-III Woman WC ≥ 88 cm IDF Men WC ≥ 90 cm | 1679 (37.0%) 4445 (73.6%) 3296 (72.7%) | |
| IDF Woman WC ≥ 80 cm | 5369 (88.9%) | |
| Systolic pressure, median (Q1, Q3) | mmHg | 122 (111, 135) |
| ≥135 mmHg | 3661 (34.6%) | |
| Diastolic pressure, median (Q1,Q3) | mmHg | 75 (68, 82) |
| ≥85 mmHg | 2185 (20.7%) | |
| Cholesterol, median (Q1,Q3) | mg/dL | 183 (159, 209) |
| ≥200 mg/dL | 3555 (33.6%) | |
| High-density-lipoprotein cholesterol, median (Q1,Q3) | mg/dL Men HDL-C ≤ 40 mg/dL Women HDL-C ≤ 50 mg/dL | 43 (37, 50) 4325 (40.9%) 8091 (76.5%) |
| Triglycerides, median (Q1,Q3) | mg/dL | 168 (117, 243) |
| ≥150 mg/dL | 6201 (58.6%) | |
| Glucose, median (Q1,Q3) | mg/dL | 92 (84, 103) |
| ATP III Glu ≥ 110 mg/dL | 2025 (19.1%) | |
| IDF Glu ≥ 100 mg/dL | 3216 (30.4%) | |
| MetS ATP III | Men | 1808 (39.9%) |
| Woman | 3180 (52.6%) | |
| MetS IDF | Men | 2431 (53.6%) |
| Woman | 3624 (60.0%) |
| Index | Cut-Off Point | AUC (95% CI) | Se (%) | Sp (%) | PPV (%) | NPV (%) | LRP | LRN | Youden Index |
|---|---|---|---|---|---|---|---|---|---|
| METS-IR | ≥45.29 | 0.884 | 88.5 | 71.3 | 56.2 | 93.7 | 3.08 | 0.16 | 59.8 |
| (0.868–0.900) | (85.4 –91.1) | (68.6–73.8) | (53.8–58.5) | (92.1–95.0) | (2.81–3.39) | (0.13–0.21) | (56.0–63.6) | ||
| SPISE | ≤4.13 | 0.875 | 67.8 | 87.5 | 69.7 | 86.8 | 5.53 | 0.37 | 55.3 |
| (0.858–0.892) | (63.5–71.8) | (85.8–89.5) | (66.2–73.2) | (85.3–88.3) | (4.70–6.50) | (0.32–0.42) | (51.0–59.9) | ||
| LAP | ≥65.22 | 0.855 | 85.5 | 69.1 | 53.5 | 92.0 | 2.77 | 0.21 | 54.6 |
| (0.837–0.873) | (82.2–88.5) | (66.4–71.7) | (51.3–55.8) | (90.2–93.4) | (2.53–3.04) | (0.17–0.26) | (50.6–58.6) | ||
| BRI | ≥4.70 | 0.836 | 83.7 | 69.5 | 53.4 | 91.1 | 2.75 | 0.23 | 53.2 |
| (0.815–0.856) | (80.2–86.9) | (66.9–72.1) | (51.0–55.7) | (89.4–92.6) | (2.51–3.02) | (0.19–0.28) | (49.1–0.573) | ||
| METS-VF | ≥6.79 | 0.849 | 84.9 | 67.2 | 51.9 | 91.5 | 2.6 | 0.22 | 52.1 |
| (0.829–0.868) | (81.5–87.9) | (64.5–69.9) | (49.7–54.1) | (89.7–93.0) | (2.38–2.84) | (0.18–0.28) | (48.0–56.1) | ||
| VAT | ≥895.52 | 0.849 | 84.9 | 67.2 | 51.9 | 91.5 | 2.6 | 0.22 | 52.1 |
| (0.829–0.868) | (81.5–87.9) | (64.5–69.9) | (49.7–54.1) | (89.7–93.0) | (2.38–2.84) | (0.18–0.28) | (48.0–56.1) | ||
| TG/HDL | ≥4.59 | 0.803 | 80.4 | 67.1 | 50.4 | 89.1 | 2.45 | 0.29 | 47.5 |
| (0.782–0.824) | (76.7–83.8) | (64.3–69.7) | (48.1–52.7) | (87.3–90.8) | (2.23–2.68) | (0.24–0.35) | (43.1–51.8) | ||
| VAI | ≥105.75 | 0.803 | 80.4 | 67.1 | 50.4 | 89.1 | 2.45 | 0.29 | 47.5 |
| (0.781–0.824) | (76.7–83.8) | (64.3–69.7) | (48.1–52.7) | (87.3–90.8) | (2.23–2.68) | (0.24–0.35) | (43.1–51.8) | ||
| TyG | ≥4.87 | 0.785 | 78.6 | 65.3 | 48.5 | 88 | 2.27 | 0.33 | 43.9 |
| (0.763–0.807) | (74.8–82.1) | (62.5–67.9) | (46.3–50.7) | (86.0–89.7) | (2.07–2.48) | (0.28–0.39) | (39.4–48.4) | ||
| ABSI | ≥0.07 | 0.614 | 62 | 54.2 | 36 | 77.4 | 1.36 | 0.7 | 16.2 |
| (0.585–0.642) | (57.6–66.3) | (51.4–57.1) | (34.0–38.2) | (75.2–79.5) | (1.24–1.49) | (0.62–0.79) | (11.0–21.2) |
| Index | Cut-Off Point | AUC (95% CI) | Se (%) | Sp (%) | PPV (%) | NPV (%) | LRP | LRN | Youden Index |
|---|---|---|---|---|---|---|---|---|---|
| METS-IR | ≥45.08 | 0.867 | 86.8 | 68.0 | 68.8 | 86.3 | 2.71 | 0.19 | 54.8 |
| (0.850–0.883) | (84.2–89.1) | (64.9–70.9) | (66.7–70.8) | (84.0–88.4) | (2.46–2.99) | (0.16–0.23) | (50.9–58.6) | ||
| LAP | ≥70.75 | 0.836 | 83.6 | 68.8 | 68.6 | 83.8 | 2.69 | 0.24 | 52.4 |
| (0.817–0.854) | (80.8–86.2) | (65.8–71.8) | (66.4–70.7) | (81.4–85.9) | (2.43–2.97) | (0.20–0.28) | (48.3–56.3) | ||
| SPISE | ≤4.22 | 0.846 | 64.1 | 84.7 | 77.3 | 74.3 | 4.19 | 0.42 | 48.8 |
| (0.828–0.865) | (60.5–67.5) | (82.2–86.9) | (74.4–80.0) | (72.4–76.1) | (3.57–4.91) | (0.38–0.47) | (44.7–52.7) | ||
| METS-VF | ≥7.21 | 0.826 | 82.7 | 65.0 | 65.8 | 82.2 | 2.37 | 0.26 | 47.7 |
| (0.806–0.845) | (79.9–85.3) | (61.8–68.0) | (63.7–67.8) | (79.7–84.5) | (2.16–2.60) | (0.23–0.31) | (43.5–51.7) | ||
| VAT | ≥1357.18 | 0.826 | 82.7 | 65 | 65.8 | 82.2 | 2.37 | 0.26 | 47.7 |
| (0.806–0.845) | (79.9–85.3) | (61.8–68.0) | (63.7–67.8) | (79.7–84.5) | (2.16–2.60) | (0.23–0.31) | (43.5–51.7) | ||
| TG/HDL | ≥4.48 | 0.796 | 79.7 | 64.8 | 64.8 | 79.7 | 2.27 | 0.31 | 44.5 |
| (0.776–0.817) | (76.7–82.5) | (61.6–67.8) | (62.7–66.9) | (77.2–82.0) | (2.06–2.49) | (0.27–0.36) | (40.3–48.7) | ||
| VAI | ≥103.21 | 0.796 | 79.7 | 64.5 | 64.6 | 79.6 | 2.25 | 0.31 | 44.2 |
| (0.775–0.817) | (76.7–82.5) | (61.3–67.5) | (62.5–66.7) | (77.1–81.9) | (2.05–2.47) | (0.27–0.36) | (40.0–48.4) | ||
| TyG | ≥4.90 | 0.792 | 79.3 | 64.4 | 64.4 | 79.3 | 2.23 | 0.32 | 43.7 |
| (0.771–0.813) | (76.3–82.1) | (61.2–67.4) | (62.3–66.5) | (76.8–81.6) | (2.03–2.45) | (0.28–0.37) | (39.4–47.7) | ||
| BRI | ≥5.17 | 0.788 | 78.8 | 63.3 | 63.6 | 78.6 | 2.15 | 0.33 | 42.1 |
| (0.767–0.810) | (75.7–81.6) | (60.1–66.4) | (61.5–65.7) | (76.0–80.9) | (1.96–2.36) | (0.29–0.39) | (37.9–46.3) | ||
| ABSI | ≥0.08 | 0.609 | 61.7 | 54 | 52.2 | 63.4 | 1.35 | 0.71 | 15.7 |
| (0.582–0.635) | (58.2–65.2) | (50.8–57.3) | (50.0–54.4) | (60.9–65.9) | (1.23–1.47) | (0.64–0.79) | (11.2–20.3) |
| Index | Cut-Off Point | AUC (95% CI) | Se (%) | Sp (%) | PPV (%) | NPV (%) | LRP | LRN | Youden Index |
|---|---|---|---|---|---|---|---|---|---|
| LAP | ≥55.83 | 0.876 | 87.6 | 73.2 | 75.5 | 86.3 | 3.28 | 0.17 | 60.8 |
| (0.855–0.896) | (84.6–90.3) | (69.4–76.8) | (72.8–78.0) | (83.3–88.8) | (2.85–3.77) | (0.13–0.21) | (56.8–65.8) | ||
| TG/HDL | ≥3.84 | 0.862 | 86.3 | 72.9 | 75 | 85 | 3.19 | 0.19 | 59.2 |
| (0.840–0.883) | (83.1–89.1) | (69.0–76.5) | (72.3–77.5) | (82.0–87.6) | (2.78–3.67) | (0.15–0.23) | (54.7–64.3) | ||
| VAI | ≥89.26 | 0.861 | 86.1 | 72.9 | 75 | 84.8 | 3.18 | 0.19 | 59.0 |
| (0.839–0.883) | (82.9–89.0) | (69.0–76.5) | (72.3–77.5) | (81.8–87.4) | (2.77–3.66) | (0.15–0.24) | (54.1–63.6) | ||
| TyG | ≥4.80 | 0.858 | 86.0 | 71.8 | 74.2 | 84.5 | 3.06 | 0.19 | 57.8 |
| (0.836–0.880) | (82.7–88.8) | (67.9–75.5) | (71.5–76.7) | (81.4–87.1) | (2.67–3.50) | (0.16–0.24) | (53.1–62.5) | ||
| METS-IR | ≥41.91 | 0.88 | 88.0 | 69.7 | 73.2 | 86.1 | 2.91 | 0.17 | 57.7 |
| (0.860–0.900) | (85.0–90.6) | (65.8–73.5) | (70.7–75.7) | (83.0–88.7) | (2.56–3.31) | (0.14–0.22) | (53.2–62.4) | ||
| SPISE | ≤4.75 | 0.867 | 67.9 | 86.8 | 82.9 | 74.1 | 5.15 | 0.37 | 54.7 |
| (0.846–0.888) | (63.7–71.8) | (83.7–89.4) | (79.5–85.8) | (71.6–76.5) | (4.14–6.41) | (0.33–0.42) | (50.0–59.6) | ||
| METS-VF | ≥7.43 | 0.798 | 79.8 | 63.9 | 67.6 | 77.1 | 2.22 | 0.31 | 43.7 |
| (0.772–0.824) | (76.2–83.1) | (59.8–67.9) | (64.9–70.1) | (73.8–80.1) | (1.97–2.49) | (0.26–0.38) | (38.6–49.0) | ||
| VAT | ≥1693.07 | 0.798 | 79.8 | 63.9 | 67.6 | 77.1 | 2.22 | 0.31 | 43.7 |
| (0.772–0.824) | (76.2–83.1) | (59.8–67.9) | (64.9–70.1) | (73.8–80.1) | (1.97–2.49) | (0.26–0.38) | (38.6–49.0) | ||
| BRI | ≥0.08 | 0.763 | 76.4 | 62.9 | 66.0 | 73.9 | 2.06 | 0.37 | 39.3 |
| (0.736–0.791) | (72.6–80.0) | (58.8–66.9) | (63.3–68.5) | (70.6–77.0) | (1.84–2.32) | (0.32–0.44) | (34.0–44.7) | ||
| ABSI | ≥5.31 | 0.575 | 58.9 | 52.9 | 54.1 | 57.7 | 1.25 | 0.78 | 11.8 |
| (0.541–0.608) | (54.6–63.1) | (48.7–57.0) | (51.3–56.8) | (54.6–60.8) | (1.12–1.40) | (0.68–0.88) | (6.1–17.8) |
| Index | Cut-Off Point | AUC (95% CI) | Se (%) | Sp (%) | PPV (%) | NPV (%) | LRP | LRN | Youden Index |
|---|---|---|---|---|---|---|---|---|---|
| LAP | ≥56.01 | 0.924 | 92.4 | 78.1 | 70.5 | 94.8 | 4.23 | 0.1 | 70.5 |
| (0.913–0.935) | (90.4–94.1) | (75.9–80.2) | (68.4–72.5) | (93.5–95.9) | (3.83–4.67) | (0.08–0.12) | (67.6–73.2) | ||
| TyG | ≥4.73 | 0.88 | 88.1 | 77.1 | 68.5 | 91.9 | 3.86 | 0.15 | 65.2 |
| (0.866–0.895) | (85.7–90.2) | (74.9–79.3) | (66.4–70.6) | (90.5–93.2) | (3.50–4.26) | (0.13–0.19) | (62.0–68.2) | ||
| TG/HDL | ≥3.31 | 0.888 | 88.9 | 74.9 | 66.7 | 92.3 | 3.55 | 0.15 | 63.8 |
| (0.874–0.901) | (86.6–91.0) | (72.6–77.1) | (64.6–68.7) | (90.8–93.5) | (3.24–3.89) | (0.12–0.18) | (60.6–66.8) | ||
| VAI | ≥104.08 | 0.887 | 88.8 | 74.7 | 66.5 | 92.2 | 3.52 | 0.15 | 63.5 |
| (0.874–0.901) | (86.5–90.9) | (72.4–76.9) | (64.5–68.5) | (90.7–93.5) | (3.21–3.86) | (0.12–0.18) | (60.4–66.6) | ||
| METS-IR | ≥43.91 | 0.869 | 87.0 | 72.1 | 63.8 | 90.7 | 3.13 | 0.18 | 59.1 |
| (0.855–0.884) | (84.5–89.2) | (69.8–74.4) | (61.8–65.8) | (89.1–92.1) | (2.87–3.41) | (0.15–0.22) | (55.9–62.2) | ||
| SPISE | ≤4.37 | 0.882 | 69.7 | 88.2 | 77.0 | 83.7 | 5.91 | 0.34 | 57.9 |
| (0.868–0.896) | (66.4–72.8) | (86.5–89.8) | (74.3–79.5) | (82.2–85.1) | (5.10–6.85) | (0.31–0.38) | (54.3–61.4) | ||
| METS-VF | ≥7.23 | 0.836 | 83.7 | 67.3 | 59.1 | 87.9 | 2.56 | 0.24 | 51.0 |
| (0.820–0.852) | (81.0–86.2) | (64.8–69.7) | (57.2–61.0) | (86.2–89.5) | (2.37–2.77) | (0.21–0.28) | (47.5–54.5) | ||
| VAT | ≥1388.44 | 0.836 | 83.7 | 67.3 | 59.1 | 87.9 | 2.56 | 0.24 | 51.0 |
| (0.820–0.852) | (81.0–86.2) | (64.8–69.7) | (57.2–61.0) | (86.2–89.5) | (2.37–2.77) | (0.21–0.28) | (47.5–54.5) | ||
| BRI | ≥5.21 | 0.808 | 80.9 | 67.0 | 58.1 | 86.1 | 2.46 | 0.28 | 47.9 |
| (0.791–0.825) | (78.1–83.5) | (64.5–69.4) | (56.1–60.0) | (84.3–87.8) | (2.27–2.66) | (0.25–0.33) | (44.3–0.513) | ||
| ABSI | ≥0.07 | 0.597 | 60.4 | 54.0 | 42.6 | 70.7 | 1.32 | 0.73 | 14.4 |
| (0.573–0.621) | (57.0–63.8) | (54.4–56.6) | (40.7–44.6) | (68.7–72.7) | (1.22–1.42) | (0.66–0.80) | (10.1–18.6) |
| Index | Cut-Off Point | AUC (95% CI) | Se (%) | Sp (%) | PPV (%) | NPV (%) | LRP | LRN | Youden Index |
|---|---|---|---|---|---|---|---|---|---|
| TyG | ≥4.77 | 0.866 | 86.6 | 71.7 | 83.1 | 77 | 3.07 | 0.19 | 58.3 |
| (0.851–0.881) | (84.8–88.3) | (68.7–74.6) | (81.5–84.5) | (74.5–79.3) | (2.76–3.41) | (0.16–0.21) | (54.9–61.6) | ||
| TG/HDL | ≥3.16 | 0.866 | 86.7 | 71.4 | 82.9 | 77.0 | 3.04 | 0.19 | 58.1 |
| (0.850–0.881) | (84.9–88.4) | (68.3–74.3) | (81.4–84.3) | (74.5–79.3) | (2.74–3.37) | (0.16–0.21) | (54.6–61.5) | ||
| LAP | ≥60.23 | 0.881 | 88.1 | 69.9 | 82.4 | 78.6 | 2.93 | 0.17 | 58.0 |
| (0.867–0.895) | (86.4–89.7) | (66.8–72.8) | (80.9–83.8) | (76.1–81.0) | (2.65–3.24) | (0.15–0.20) | (54.6–61.3) | ||
| VAI | ≥99.27 | 0.865 | 86.6 | 71.3 | 82.8 | 76.8 | 3.02 | 0.19 | 57.9 |
| (0.850–0.881) | (84.7–88.3) | (68.2–74.2) | (81.3–84.3) | (74.3–79.1) | (2.72–3.35) | (0.16–0.22) | (54.5–61.2) | ||
| METS-IR | ≥44.69 | 0.832 | 83.2 | 68.4 | 80.9 | 71.8 | 2.64 | 0.24 | 51.6 |
| (0.815–0.849) | (81.2–85.1) | (65.3–71.4) | (79.3–82.3) | (69.3–74.2) | (2.40–2.91) | (0.22–0.28) | (47.9–55.0) | ||
| SPISE | ≤4.34 | 0.826 | 63.6 | 82.6 | 85.4 | 58.6 | 3.65 | 0.44 | 46.2 |
| (0.809–0.843) | (61.1–66.0) | (80.0–85.0) | (83.5–87.2) | (56.8–60.4) | (3.15–4.22) | (0.41–0.47) | (42.7–49.6) | ||
| METS-VF | ≥7.62 | 0.779 | 78.0 | 64.3 | 77.8 | 64.6 | 2.19 | 0.34 | 42.3 |
| (0.759–0.799) | (75.8–80.1) | (61.1–67.4) | (76.2–79.3) | (62.1–67.0) | (2.00–2.40) | (0.31–0.38) | (38.6–45.9) | ||
| VAT | ≥2044.70 | 0.779 | 77.9 | 64.3 | 77.8 | 64.5 | 2.19 | 0.34 | 42.2 |
| (0.759–0.799) | (75.7–80.0) | (61.1–67.4) | (76.2–79.3) | (62.0–66.9) | (2.00–2.40) | (0.31–0.38) | (38.5–45.9) | ||
| BRI | ≥5.77 | 0.744 | 74.5 | 63.2 | 76.4 | 60.7 | 2.03 | 0.4 | 37.7 |
| (0.723–0.766) | (72.2–76.7) | (60.0–66.3) | (74.8–78.0) | (58.3–63.1) | (1.85–2.22) | (0.36–0.45) | (72.3–76.7) | ||
| ABSI | ≥0.08 | 0.585 | 59.1 | 52.5 | 66.6 | 44.5 | 1.25 | 0.78 | 11.6 |
| (0.561–0.608) | (56.5–61.6) | (49.2–55.8) | (64.8–68.4) | (42.3–46.6) | (1.15–1.35) | (0.71–0.85) | (7.5–15.6) |
| Index | Cut-Off Point | AUC (95% CI) | Se (%) | Sp (%) | PPV (%) | NPV (%) | LRP | LRN | Youden Index |
|---|---|---|---|---|---|---|---|---|---|
| TyG | ≥4.75 | 0.86 | 86.0 | 74.0 | 85.7 | 74.4 | 3.31 | 0.19 | 60.0 |
| (0.839–0.880) | (83.6–88.3) | (69.8–77.8) | (83.8–87.5) | (71.0–77.6) | (2.84–3.86) | (0.16–0.22) | (55.3–64.5) | ||
| TG/HDL | ≥2.84 | 0.857 | 85.8 | 68.2 | 83.1 | 72.5 | 2.7 | 0.21 | 54.0 |
| (0.836–0.877) | (83.3–88.0) | (63.9–72.3) | (81.1–84.9) | (69.0–75.9) | (2.37–3.09) | (0.17–0.25) | (49.2–58.6) | ||
| VAI | ≥89.27 | 0.856 | 85.7 | 68.0 | 83.0 | 72.3 | 2.68 | 0.21 | 53.7 |
| (0.836–0.877) | (83.2–87.9) | (63.6–72.1) | (81.0–84.8) | (68.7–75.6) | (2.35–3.06) | (0.18–0.25) | (49.0–58.4) | ||
| LAP | ≥51.79 | 0.871 | 87.2 | 65.9 | 82.3 | 73.9 | 2.56 | 0.19 | 53.1 |
| (0.853–0.890) | (84.8–89.3) | (61.5–70.1) | (80.4–84.1) | (70.2–77.2) | (2.26–2.91) | (0.16–0.23) | (48.3–57.9) | ||
| METS-IR | ≥41.35 | 0.808 | 80.8 | 65.7 | 81.1 | 65.3 | 2.36 | 0.29 | 46.5 |
| (0.783–0.833) | (78.1–83.4) | (61.3–69.9) | (79.1–83.0) | (61.9–68.6) | (2.08–2.68) | (0.25–0.34) | (41.5–51.5) | ||
| SPISE | ≤ 4.75 | 0.8 | 62.4 | 80.2 | 85.1 | 53.9 | 3.15 | 0.47 | 42.6 |
| (0.775–0.826) | (59.1–65.6) | (76.3–83.6) | (82.6–87.3) | (51.5–56.3) | (2.62–3.80) | (0.43–0.52) | (37.8–47.3) | ||
| METS-VF | ≥7.86 | 0.747 | 74.8 | 65.3 | 79.7 | 58.8 | 2.16 | 0.38 | 40.1 |
| (0.719–0.776) | (71.8–77.7) | (60.9–69.5) | (77.6–81.7) | (55.6–61.9) | (1.90–2.46) | (0.34–0.44) | (35.0–45.2) | ||
| VAT | ≥2611.89 | 0.747 | 74.7 | 65.3 | 79.7 | 58.7 | 2.61 | 0.39 | 40.0 |
| (0.719–0.776) | (71.7–77.6) | (60.9–69.5) | (77.5–81.7) | (55.5–61.8) | (1.90–2.45) | (0.34–0.44) | (34.9–45.1) | ||
| BRI | ≥6.10 | 0.718 | 71.9 | 64.1 | 78.5 | 55.6 | 2.01 | 0.44 | 36.0 |
| (0.688–0.748) | (68.8–74.8) | (59.6–68.4) | (76.3–80.5) | (52.5–58.6) | (1.77–2.27) | (0.39–0.50) | (30.9–41.2) | ||
| ABSI | ≥0.08 | 0.596 | 60.2 | 54.6 | 70.7 | 43.0 | 1.33 | 0.73 | 14.8 |
| (0.564–0.627) | (56.9–63.5) | (50.0–59.1) | (68.4–73.0) | (40.2–45.8) | (1.19–1.49) | (0.65–0.82) | (9.3–20.3) |
| Index | Cut-Off Point | AUC (95% CI) | Se (%) | Sp (%) | PPV (%) | NPV (%) | LRP | LRN | Youden Index |
|---|---|---|---|---|---|---|---|---|---|
| LAP | ≥57.97 | 0.902 | 90.3 | 75.9 | 73.7 | 91.3 | 3.75 | 0.13 | 66.2 |
| (0.888–0.916) | (88.0–92.4) | (73.1–78.5) | (71.5–75.9) | (89.3–92.9) | (3.35–4.20) | (0.10–0.16) | (62.7–69.4) | ||
| METS-IR | ≥43.29 | 0.895 | 89.5 | 73.7 | 71.9 | 90.4 | 3.42 | 0.14 | 63.2 |
| (0.881–0.910) | (87.1–91.6) | (70.9–76.5) | (69.7–74.0) | (88.3–92.1) | (3.07–3.80) | (0.11–0.18) | (59.6–66.1) | ||
| METS-VF | ≥6.72 | 0.859 | 86.0 | 70.8 | 68.8 | 87.1 | 2.95 | 0.2 | 56.8 |
| (0.841–0.876) | (83.3–88.4) | (67.8–73.6) | (66.6–71.0) | (84.9–89.0) | (2.67–3.27) | (0.16–0.24) | (53.1–60.6) | ||
| VAT | ≥831.33 | 0.859 | 86.0 | 70.8 | 68.8 | 87.1 | 2.95 | 0.2 | 56.8 |
| (0.841–0.876) | (83.3–88.4) | (67.8–73.6) | (66.6–71.0) | (84.9–89.0) | (2.67–3.27) | (0.16–0.24) | (53.1–60.6) | ||
| TG/HDL | ≥4.06 | 0.85 | 85.0 | 71.1 | 68.8 | 86.4 | 2.95 | 0.21 | 56.1 |
| (0.832–0.868) | (82.3–87.5) | (68.2–73.9) | (66.6–71.0) | (84.2–88.3) | (2.66–3.27) | (0.18–0.25) | (52.1–59.9) | ||
| VAI | ≥93.66 | 0.85 | 85.0 | 71.1 | 68.8 | 86.4 | 2.95 | 0.21 | 56.1 |
| (0.832–0.867) | (82.3–87.5) | (68.2–73.9) | (66.6–71.0) | (84.2–88.3) | (2.66–3.27) | (0.18–0.25) | (52.1–59.9) | ||
| SPISE | ≤4.30 | 0.893 | 64.2 | 89.4 | 82.0 | 76.9 | 6.07 | 0.40 | 53.6 |
| (0.878–0.908) | (60.6–67.6) | (87.3–91.2) | (79.0–84.6) | (75.1–78.6) | (5.02–7.34) | (0.36–0.44) | (49.6–57.6) | ||
| BRI | ≥4.41 | 0.841 | 84.2 | 69.4 | 67.3 | 85.4 | 2.76 | 0.23 | 53.6 |
| (0.822–0.859) | (81.4–86.8) | (66.4–72.2) | (65.1–69.5) | (83.2–87.4) | (2.50–3.04) | (0.19–0.27) | (49.6–57.4) | ||
| TyG | ≥4.82 | 0.829 | 83.0 | 70.3 | 67.7 | 84.7 | 2.8 | 0.24 | 53.3 |
| (0.810–0.848) | (80.1–85.7) | (67.3–73.1) | (65.4–69.9) | (82.4–86.7) | (2.53–3.10) | (0.20–0.28) | (49.3–57.3) | ||
| ABSI | ≥0.07 | 0.638 | 65.4 | 54.6 | 51.9 | 67.8 | 1.44 | 0.63 | 20.0 |
| (0.612–0.665) | (61.8–68.8) | (51.5–57.8) | (49.8–54.1) | (65.3–70.2) | (1.32–1.57) | (0.56–0.71) | (15.3–24.6) |
| Index | Cut-Off Point | AUC (IC 95%) | Se (%) | Sp (%) | PPV (%) | NPV (%) | LRP | LRN | Youden Index |
|---|---|---|---|---|---|---|---|---|---|
| METS-IR | ≥42.86 | 0.872 | 87.3 | 69.5 | 81.5 | 78.1 | 2.87 | 0.18 | 56.8 |
| (0.854–889) | (85.1–89.3) | (65.9–73.0) | (79.6–83.1) | (75.1–80.8) | (2.55–3.22) | (0.15–0.22) | (52.6–60.8) | ||
| LAP | ≥59.07 | 0.867 | 86.7 | 69.6 | 81.4 | 77.3 | 2.86 | 0.19 | 56.3 |
| (0.849–885) | (84.5–88.7) | (66.0–73.1) | (79.6–83.1) | (74.4–80.1) | (2.55–3.22) | (0.16–0.22) | (52.2–60.1) | ||
| SPISE | ≤4.44 | 0.863 | 65.4 | 86.4 | 88.1 | 61.9 | 4.84 | 0.40 | 51.8 |
| (0.845–0.881) | (62.4–68.3) | (83.6–88.9) | (85.9–90.0) | (59.8–64.0) | (3.97–5.88) | (0.37–0.44) | (47.8–55.5) | ||
| VAI | ≥91.09 | 0.820 | 82.1 | 67.7 | 79.6 | 71.1 | 2.55 | 0.26 | 49.8 |
| (0.0.799–0.840) | (79.6–84.4) | (64.0–71.2) | (77.7–81.4) | (68.1–73.9) | (2.27–2.85) | (0.23–0.30) | (45.4–54.1) | ||
| VAT | ≥1265.96 | 0.826 | 82.6 | 67.1 | 79.4 | 71.6 | 2.52 | 0.26 | 49.7 |
| (0.806–0.847) | (80.2–84.9) | (63.4–70.7) | (77.5–81.2) | (68.6–74.4) | (2.25–2.82) | (0.22–0.30) | (45.5–53.9) | ||
| TG/HDL | ≥3.95 | 0.82 | 82.1 | 67.6 | 79.5 | 71.0 | 2.53 | 0.26 | 49.7 |
| (0.799–0.841) | (79.6–84.4) | (63.9–71.1) | (77.6–81.3) | (68.1–73.9) | (2.26–2.84) | (0.23–0.30) | (45.4–53.9) | ||
| METS-VF | ≥7.14 | 0.826 | 82.5 | 67.1 | 79.4 | 71.5 | 2.52 | 0.26 | 49.6 |
| (0.806–0.847) | (80.1–84.8) | (63.4–70.7) | (77.5–81.2) | (68.5–74.3) | (2.25–2.81) | (0.22–0.30) | (45.3–53.8) | ||
| TyG | ≥4.85 | 0.806 | 80.6 | 67.1 | 79.0 | 69.3 | 2.46 | 0.29 | 47.7 |
| (0.784–0.828) | (78.1–83.0) | (63.4–70.7) | (77.1–80.8) | (66.3–72.1) | (2.20–2.75) | (0.25–0.33) | (43.3–52.1) | ||
| BRI | ≥4.98 | 0.792 | 79.3 | 64.9 | 77.6 | 67.1 | 2.26 | 0.32 | 44.2 |
| (0.769–0.815) | (76.7–81.7) | (61.1–68.5) | (75.7–79.4) | (64.1–69.9) | (2.03–2.52) | (0.28–0.36) | (39.7–48.8) | ||
| ABSI | ≥0.08 | 0.596 | 61.0 | 50.8 | 65.5 | 45.9 | 1.24 | 0.77 | 11.8 |
| (0.569–0.624) | (57.9–64.0) | (46.9–54.6) | (63.5–67.6) | (43.2–48.5) | (1.13–1.36) | (0.69–0.85) | (7.0–16.6) |
| Index | Cut-Off Point | AUC (95% CI) | Se (%) | Sp (%) | PPV (%) | NPV (%) | LRP | LRN | Youden Index |
|---|---|---|---|---|---|---|---|---|---|
| METS-IR | ≥40.48 | 0.885 | 88.6 | 71.5 | 82.1 | 80.9 | 3.11 | 0.16 | 60.1 |
| (0.864–0.905) | (85.9–90.9) | (67.0–75.6) | (79.8–84.2) | (77.3–84.1) | (2.68–3.61) | (0.13–0.20) | (55.2–64.9) | ||
| LAP | ≥45.81 | 0.891 | 89.2 | 70.4 | 81.6 | 81.5 | 3.01 | 0.15 | 59.6 |
| (0.872–0.910) | (86.6–91.4) | (65.9–74.6) | (79.3–83.7) | (77.8–84.7) | (2.61–3.49) | (0.12–0.19) | (54.8–64.4) | ||
| METS-VF | ≥7.37 | 0.833 | 83.4 | 69.2 | 80.0 | 73.9 | 2.72 | 0.24 | 52.6 |
| (0.808–0.859) | (80.4–86.2) | (64.7–73.5) | (77.6–82.2) | (70.2–77.2) | (2.35–3.14) | (0.20–0.29) | (47.5–57.9) | ||
| VAT | ≥1603.28 | 0.833 | 83.4 | 69.2 | 80.0 | 73.9 | 2.72 | 0.24 | 52.6 |
| (0.808–0.859) | (80.4–86.2) | (64.7–73.5) | (77.6–82.2) | (70.2–77.2) | (2.35–3.14) | (0.20–0.29) | (47.5–57.9) | ||
| VAI | ≥80.01 | 0.825 | 82.7 | 69.5 | 80.0 | 73.1 | 2.71 | 0.25 | 52.2 |
| (0.799–0.850) | (79.5–85.5) | (65.0–73.7) | (77.6–82.2) | (69.4–76.4) | (2.35–3.13) | (0.21–0.30) | (46.9–57.3) | ||
| TG/HDL | ≥3.46 | 0.825 | 82.7 | 69.2 | 79.9 | 73.0 | 2.69 | 0.25 | 51.9 |
| (0.799–0.850) | (79.5–85.5) | (64.7–73.5) | (77.5–82.1) | (69.4–76.4) | (2.33–3.11) | (0.21–0.30) | (46.8–57.1) | ||
| TyG | ≥4.75 | 0.824 | 82.5 | 68.8 | 79.6 | 72.7 | 2.65 | 0.25 | 51.3 |
| (0.799–0.849) | (79.4–85.3) | (64.3–73.1) | (77.2–81.8) | (69.0–76.1) | (2.30–3.05) | (0.21–0.30) | (46.2–56.6) | ||
| SPISE | ≤ 4.88 | 0.875 | 63.1 | 87.6 | 88.3 | 61.6 | 5.12 | 0.42 | 50.7 |
| (0.854–0.896) | (59.3–66.8) | (84.2–90.5) | (85.4–90.7) | (59.1–64.1) | (3.97–6.60) | (0.38–0.47) | (45.9–55.5) | ||
| BRI | ≥5.13 | 0.806 | 80.7 | 67.9 | 78.8 | 70.4 | 2.52 | 0.28 | 48.6 |
| (0.779–0.834) | (77.5–83.6) | (63.3–72.2) | (76.3–81.0) | (66.8–73.8) | (2.19–2.90) | (0.24–0.34) | (43.3–53.7) | ||
| ABSI | ≥0.08 | 0.597 | 61.1 | 53.8 | 66.1 | 48.3 | 1.32 | 0.72 | 14.9 |
| (0.563–0.632) | (57.3–64.8) | (49.0–58.5) | (63.5–68.7) | (45.1–51.6) | (1.18–1.49) | (0.63–0.82) | (9.1–20.7) |
| Index | Cut-Off Point | AUC (95% CI) | Se (%) | Sp (%) | PPV (%) | NPV (%) | LRP | LRN | Youden Index |
|---|---|---|---|---|---|---|---|---|---|
| TyG | ≥4.67 | 0.898 | 89.8 | 73.3 | 73.0 | 90.0 | 3.37 | 0.14 | 63.1 |
| (0.885–0.911) | (87.8–91.6) | (70.8–75.7) | (71.1–74.8) | (88.2–91.5) | (3.07–3.70) | (0.11–0.17) | (60.1–66.1) | ||
| LAP | ≥46.16 | 0.903 | 90.3 | 71.1 | 71.5 | 90.2 | 3.14 | 0.14 | 61.4 |
| (0.891–0.915) | (88.3–92.1) | (68.6–73.6) | (69.7–73.3) | (88.3–91.7) | (2.87–3.43) | (0.11–0.16) | (58.2–64.4) | ||
| VAI | ≥91.42 | 0.904 | 90.4 | 70.0 | 70.8 | 90.1 | 3.02 | 0.14 | 60.4 |
| (0.892–0.917) | (88.4–92.2) | (67.4–72.6) | (69.0–72.5) | (88.3–91.7) | (2.77–3.30) | (0.11–0.17) | (57.3–63.4) | ||
| TG/HDL | ≥2.90 | 0.905 | 90.5 | 69.8 | 70.6 | 90.2 | 3.00 | 0.14 | 60.3 |
| (0.892–0.917) | (88.6–92.2) | (67.2–72.3) | (68.8–72.4) | (88.3–91.8) | (2.76–3.27) | (0.11–0.16) | (57.0–63.3) | ||
| SPISE | ≤4.56 | 0.848 | 66.3 | 84.9 | 77.9 | 75.8 | 4.40 | 0.40 | 51.2 |
| (0.832–0.863) | (63.3–69.2) | (82.8–86.8) | (75.4–80.2) | (74.2–77.4) | (3.83–5.05) | (0.36–0.43) | (47.8–54.7) | ||
| METS-IR | ≥42.18 | 0.835 | 83.5 | 66.8 | 66.9 | 83.5 | 2.52 | 0.25 | 50.3 |
| (0.819–0.851) | (81.1–85.8) | (64.1–69.4) | (65.0–68.7) | (81.4–85.4) | (2.32–2.74) | (0.21–0.28) | (46.8–53.7) | ||
| VAT | ≥1301.41 | 0.786 | 78.6 | 62.6 | 62.8 | 78.5 | 2.11 | 0.34 | 41.2 |
| (0.767–0.804) | (76.0–81.1) | (59.9–65.3) | (61.0–64.6) | (76.3–80.5) | (1.95–2.28) | (0.30–0.39) | (37.4–44.8) | ||
| METS-VF | ≥7.17 | 0.786 | 78.6 | 62.6 | 62.8 | 78.5 | 2.11 | 0.34 | 41.2 |
| (0.767–0.804) | (76.0–81.1) | (59.9–65.3) | (61.0–64.6) | (76.3–80.5) | (1.95–2.28) | (0.30–0.39) | (37.4–44.8) | ||
| BRI | ≥4.99 | 0.751 | 75.2 | 61.2 | 60.9 | 75.4 | 1.94 | 0.4 | 36.4 |
| (0.731–0.770) | (72.4–77.8) | (58.5–63.9) | (59.0–62.7) | (73.2–77.5) | (1.80–2.10) | (0.36–0.45) | (32.6–40.1) | ||
| ABSI | ≥0.07 | 0.569 | 58.0 | 52.4 | 49.5 | 60.9 | 1.22 | 0.8 | 10.4 |
| (0.546–0.593) | (54.9–61.0) | (49.6–55.2) | (47.5–51.4) | (58.7–63.0) | (1.13–1.32) | (0.73–0.87) | (6.4–14.4) |
| Index | Cut-Off Point | AUC (95% CI) | Se (%) | Sp (%) | PPV (%) | NPV (%) | LRP | LRN | Youden Index |
|---|---|---|---|---|---|---|---|---|---|
| TyG | ≥4.73 | 0.893 | 89.3 | 74.7 | 88.9 | 75.5 | 3.54 | 0.14 | 64.0 |
| (0.878–0.907) | (87.8–90.8) | (71.4–77.8) | (87.6–90.1) | (72.8–78.1) | (3.12–4.02) | (0.12–0.16) | (60.5–67.4) | ||
| LAP | ≥55.94 | 0.875 | 87.5 | 70.1 | 86.9 | 71.2 | 2.93 | 0.18 | 57.6 |
| (0.860–0.891) | (85.9–89.1) | (66.6–73.4) | (85.6–88.1) | (68.4–73.9) | (2.62–3.28) | (0.15–0.20) | (53.9–61.2) | ||
| VAI | ≥87.28 | 0.892 | 89.2 | 68.0 | 86.4 | 73.5 | 2.79 | 0.16 | 57.2 |
| (0.879–0.906) | (87.6–90.7) | (64.5–71.4) | (85.1–87.6) | (70.6–76.3) | (2.51–3.11) | (0.14–0.18) | (53.5–60.9) | ||
| TG/HDL | ≥2.76 | 0.893 | 89.3 | 67.7 | 86.3 | 73.7 | 2.77 | 0.16 | 57.0 |
| (0.879–0.906) | (87.8–90.8) | (64.2–71.1) | (85.0–87.5) | (70.7–76.5) | (2.49–3.08) | (0.13–0.18) | (53.2–60.7) | ||
| METS-IR | ≥43.69 | 0.816 | 81.6 | 65.9 | 84.5 | 61.2 | 2.4 | 0.28 | 47.5 |
| (0.797–0.835) | (79.7–83.5) | (62.4–69.4) | (83.1–85.8) | (58.5–63.9) | (2.16–2.66) | (0.25–0.31) | (43.5–51.3) | ||
| SPISE | ≤ 4.44 | 0.812 | 62.9 | 81.3 | 88.5 | 49.0 | 3.37 | 0.46 | 44.2 |
| (0.793–0.831) | (60.5–65.3) | (78.3–84.1) | (86.8–90.0) | (47.2–50.8) | (2.89–3.94) | (0.42–0.49) | (40.5–47.9) | ||
| VAT | ≥2007.23 | 0.746 | 74.6 | 60.9 | 81.3 | 51.3 | 1.91 | 0.42 | 35.5 |
| (0.723–0.768) | (72.5–76.7) | (57.2–64.4) | (79.8–82.7) | (48.8–53.9) | (1.74–2.10) | (0.38–0.46) | (31.3–39.5) | ||
| METS-VF | ≥7.60 | 0.746 | 74.6 | 60.9 | 81.3 | 51.3 | 1.91 | 0.42 | 35.5 |
| (0.723–0.768) | (72.5–76.7) | (57.2–64.4) | (79.8–82.7) | (48.8–53.9) | (1.74–2.10) | (0.38–0.46) | (31.3–39.5) | ||
| BRI | ≥5.70 | 0.706 | 70.7 | 59.6 | 79.9 | 47.2 | 1.75 | 0.49 | 30.3 |
| (0.683–0.730) | (68.4–72.8) | (56.0–63.2) | (78.4–81.4) | (44.8–49.6) | (1.60–1.93) | (0.45–0.54) | (26.1–34.3) | ||
| ABSI | ≥0.08 | 0.565 | 57.5 | 51.8 | 73.1 | 34.9 | 1.19 | 0.82 | 9.3 |
| (0.540–0.590) | (55.0–59.9) | (48.1–55.5) | (71.3–74.7) | (32.9–36.9) | (1.10–1.30) | (0.75–0.90) | (4.8–13.0) |
| Index | Cut-Off Point | AUC (95% CI) | Se (%) | Sp (%) | PPV (%) | NPV (%) | LRP | LRN | Youden Index |
|---|---|---|---|---|---|---|---|---|---|
| TyG | ≥4.74 | 0.848 | 84.9 | 73.6 | 87.8 | 68.4 | 3.22 | 0.2 | 58.5 |
| (0.826–0.871) | (82.4–87.1) | (69.1–77.7) | (86.0–89.5) | (64.8–71.8) | (2.74–3.79) | (0.17–0.24) | (53.8–63.2) | ||
| LAP | ≥48.70 | 0.881 | 88.1 | 66.0 | 85.3 | 71.2 | 2.6 | 0.18 | 54.1 |
| (0.863–0.899) | (85.9–90.1) | (61.2–70.5) | (83.6–87.0) | (67.3–74.9) | (2.27–2.97) | (0.15–0.22) | (49.1–59.0) | ||
| TG/HDL | ≥2.78 | 0.837 | 83.7 | 66.9 | 85.1 | 64.6 | 2.54 | 0.24 | 50.6 |
| (0.815–0.860) | (81.2–86.0) | (62.2–71.4) | (83.2–86.7) | (60.9–68.2) | (2.21–2.91) | (0.21–0.28) | (45.5–55.0) | ||
| VAI | ≥87.30 | 0.837 | 83.7 | 66.9 | 85.1 | 64.6 | 2.54 | 0.24 | 50.6 |
| (0.815–0.859) | (81.2–86.0) | (62.2–71.4) | (83.2–86.7) | (60.9–68.2) | (2.21–2.91) | (0.21–0.28) | (45.5–55.0) | ||
| METS-IR | ≥40.80 | 0.81 | 81.1 | 66.2 | 84.4 | 60.9 | 2.4 | 0.28 | 47.3 |
| (0.785–0.836) | (78.4–83.5) | (61.5–70.7) | (82.5–86.1) | (57.3–64.3) | (2.10–2.76) | (0.25–0.33) | (42.0–52.5) | ||
| SPISE | ≤ 4.81 | 0.803 | 61.2 | 80.5 | 87.6 | 48.0 | 3.14 | 0.48 | 41.7 |
| (0.777–0.830) | (58.1–64.4) | (76.4–84.2) | (85.2–89.6) | (45.7–50.3) | (2.57–3.84) | (0.44–053) | (36.7–46.5) | ||
| VAT | ≥2539.43 | 0.756 | 75.7 | 64.1 | 82.6 | 54.0 | 2.11 | 0.38 | 39.8 |
| (0.727–0.786) | (72.8–78.4) | (59.3–68.7) | (80.6–84.4) | (50.6–57.2) | (1.85–2.41) | (0.33–0.43) | (34.4–45.1) | ||
| METS-VF | ≥7.83 | 0.756 | 75.7 | 64.1 | 82.6 | 54.0 | 2.11 | 0.38 | 39.8 |
| (0.727–0.786) | (72.8–78.4) | (59.3–68.7) | (80.6–84.4) | (50.6–57.2) | (1.85–2.41) | (0.33–0.43) | (34.4–45.1) | ||
| BRI | ≥5.94 | 0.724 | 72.4 | 60.5 | 80.5 | 49.4 | 1.84 | 0.45 | 32.9 |
| (0.693–0.756) | (69.5–75.2) | (55.7–65.2) | (78.5–82.4) | (46.2–52.6) | (1.62–2.08) | (0.40–0.52) | (27.4–38.3) | ||
| ABSI | ≥0.08 | 0.602 | 61.1 | 55.8 | 75.7 | 38.9 | 1.38 | 0.70 | 16.9 |
| (0.569–0.635) | (58.0–64.3) | (50.9–60.6) | (73.4–77.8) | (36.2–41.7) | (1.23–1.56) | (0.62–0.78) | (11.1–22.5) |
Disclaimer/Publisher’s Note: The statements, opinions and data contained in all publications are solely those of the individual author(s) and contributor(s) and not of MDPI and/or the editor(s). MDPI and/or the editor(s) disclaim responsibility for any injury to people or property resulting from any ideas, methods, instructions or products referred to in the content. |
© 2024 by the authors. Licensee MDPI, Basel, Switzerland. This article is an open access article distributed under the terms and conditions of the Creative Commons Attribution (CC BY) license (https://creativecommons.org/licenses/by/4.0/).
Share and Cite
Contreras-Hernández, I.F.; Vargas-De-León, C.; García-Cortes, L.R.; Flores-Miranda, A.; Romero-Nava, R.; Ocharán-Hernández, M.E. Comparison of Ten Surrogate Insulin Resistance and Obesity Markers to Identify Metabolic Syndrome in Mexican Adults. Metabolites 2024, 14, 358. https://doi.org/10.3390/metabo14070358
Contreras-Hernández IF, Vargas-De-León C, García-Cortes LR, Flores-Miranda A, Romero-Nava R, Ocharán-Hernández ME. Comparison of Ten Surrogate Insulin Resistance and Obesity Markers to Identify Metabolic Syndrome in Mexican Adults. Metabolites. 2024; 14(7):358. https://doi.org/10.3390/metabo14070358
Chicago/Turabian StyleContreras-Hernández, Iván Filiberto, Cruz Vargas-De-León, Luis Rey García-Cortes, Adriana Flores-Miranda, Rodrigo Romero-Nava, and María Esther Ocharán-Hernández. 2024. "Comparison of Ten Surrogate Insulin Resistance and Obesity Markers to Identify Metabolic Syndrome in Mexican Adults" Metabolites 14, no. 7: 358. https://doi.org/10.3390/metabo14070358
APA StyleContreras-Hernández, I. F., Vargas-De-León, C., García-Cortes, L. R., Flores-Miranda, A., Romero-Nava, R., & Ocharán-Hernández, M. E. (2024). Comparison of Ten Surrogate Insulin Resistance and Obesity Markers to Identify Metabolic Syndrome in Mexican Adults. Metabolites, 14(7), 358. https://doi.org/10.3390/metabo14070358

