The Invasive Anemone Condylactis sp. of the Coral Reef as a Source of Sulfur- and Nitrogen-Containing Metabolites and Cytotoxic 5,8-Epidioxy Steroids
Abstract
1. Introduction
2. Materials and Methods
2.1. General Procedures
2.2. Animal Material
2.3. Extraction and Separation
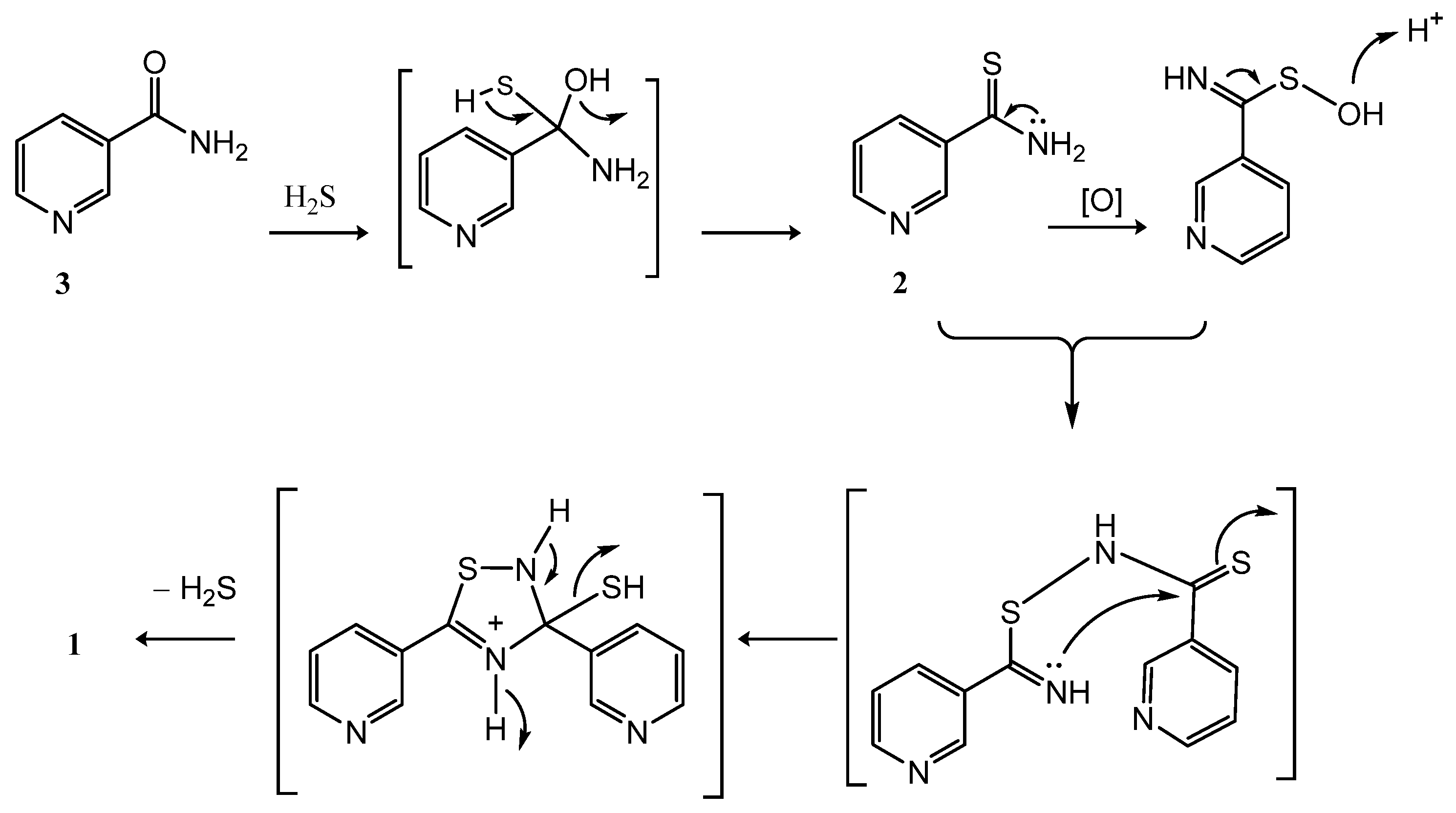
2.3.1. 3,5-Bis(3-pyridinyl)-1,2,4-thiadiazole (1)
2.3.2. Thionicotinamide (2)
2.3.3. Nicotinamide (3)
2.3.4. (−)-Betonicine (4)
2.3.5. Uridine (5)
2.3.6. Hypoxanthine (6)
2.3.7. 5α,8α-Epidioxy-24S-methylcholest-6-en-3β-ol (7)
2.3.8. 5α,8α-Epidioxy-24R-methylcholesta-6,22E-dien-3β-ol (8)
2.3.9. 5α,8α-Epidioxy-24-methylenecholesta-6-en-3β-ol (9)
2.3.10. (22R,23R,24R)-5α,8α-Epidioxy-22,23-methylene-24-methylcholesta-6-en-3β-ol (10)
2.4. Cytotoxicity Testing
3. Results and Discussion
4. Conclusions
Supplementary Materials
Author Contributions
Funding
Institutional Review Board Statement
Informed Consent Statement
Data Availability Statement
Conflicts of Interest
References
- Carroll, A.R.; Copp, B.R.; Davis, R.A.; Keyzers, R.A.; Prinsep, M.R. Marine Natural Products. Nat. Prod. Rep. 2022, 39, 1122–1171. [Google Scholar] [CrossRef] [PubMed]
- Niklas, B.; Jankowska, M.; Gordon, D.; Beress, L.; Stankiewicz, M.; Nowak, W. Interactions of sea anemone toxins with Insect sodium channel-insights from electrophysiology and molecular docking studies. Molecules 2021, 26, 1302. [Google Scholar] [CrossRef] [PubMed]
- Morante, K.; Bellomio, A.; Viguera, A.R.; Gonzalez-Manas, J.M.; Tsumoto, K.; Caaveiro, J.M.M. The isolation of new pore-forming toxins from the sea anemone Actinia fragacea provides insights into the mechanisms of actinoporin evolution. Toxins 2019, 11, 401. [Google Scholar] [CrossRef] [PubMed]
- Menezes, C.; Thakur, N.L. Sea anemone venom: Ecological interactions and bioactive potential. Toxicon 2022, 208, 31–46. [Google Scholar] [CrossRef] [PubMed]
- Diochot, S.; Lazdunski, M. Sea anemone toxins affecting potassium channels. Prog. Mol. Subcell. Biol. 2009, 46, 99–122. [Google Scholar]
- Nesher, N.; Shapira, E.; Sher, D.; Moran, Y.; Tsveyer, L.; Turchetti-Maia, A.L.; Horowitz, M.; Hochner, B.; Zlotkin, E. AdE-1, a new inotropic Na(+) channel toxin from Aiptasia diaphana, is similar to, yet distinct from, known anemone Na(+) channel toxins. Biochem. J. 2013, 451, 81–90. [Google Scholar] [CrossRef]
- Leychenko, E.; Isaeva, M.; Tkacheva, E.; Zelepuga, E.; Kvetkina, A.; Guzev, K.; Monastyrnaya, M.; Kozlovskaya, E. Multigene family of pore-forming toxins from sea anemone Heteractis crispa. Mar. Drugs 2018, 16, 183. [Google Scholar] [CrossRef]
- Turk, T.; Macek, P.; Gubensek, F. Chemical modification of equinatoxin II, a lethal and cytolytic toxin from the sea anemone Actinia equina L. Toxicon 1989, 27, 375–384. [Google Scholar] [CrossRef]
- Norton, R.S.; Bobek, G.; Ivanov, J.O.; Thomson, M.; Fiala-Beer, E.; Moritz, R.L.; Simpson, R.J. Purification and characterisation of proteins with cardiac stimulatory and haemolytic activity from the anemone Actinia tenebrosa. Toxicon 1990, 28, 29–41. [Google Scholar] [CrossRef]
- Macek, P.; Lebez, D. Isolation and characterization of three lethal and hemolytic toxins from the sea anemone Actinia equina L. Toxicon 1988, 26, 441–451. [Google Scholar] [CrossRef]
- Santos, Y.; Martinez, M.; Sandoval, A.; Rodriguez, A.A.; Falcon, A.; Heimer de la Cotera, E.P.; Aguilar, M.B.; Flores, P.; Felix, R.; Arreguin, R. Arrhythmogenic effect of a crude extract from sea anemone Condylactis gigantea: Possible involvement of rErg1 channels. Toxicon 2013, 67, 47–54. [Google Scholar] [CrossRef] [PubMed]
- Frazao, B.; Vasconcelos, V.; Antunes, A. Sea anemone (Cnidaria, Anthozoa, Actiniaria) toxins: An overview. Mar. Drugs 2012, 10, 1812–1851. [Google Scholar] [CrossRef] [PubMed]
- Madio, B.; King, G.F.; Undheim, E.A.B. Sea anemone toxins: A structural overview. Mar. Drugs 2019, 17, 325. [Google Scholar] [CrossRef] [PubMed]
- Standker, L.; Beress, L.; Garateix, A.; Christ, T.; Ravens, U.; Salceda, E.; Soto, E.; John, H.; Forssmann, W.G.; Aneiros, A. A new toxin from the sea anemone Condylactis gigantea with effect on sodium channel inactivation. Toxicon 2006, 48, 211–220. [Google Scholar] [CrossRef] [PubMed]
- Billen, B.; Debaveye, S.; Beress, L.; Garateix, A.; Tytgat, J. Phyla- and subtype-selectivity of CgNa, a Na channel toxin from the venom of the giant Caribbean sea anemone Condylactis Gigantea. Front. Pharmacol. 2010, 1, 133. [Google Scholar] [CrossRef]
- Yang, K.L.; Wei, M.Y.; Shao, C.L.; Fu, X.M.; Guo, Z.Y.; Xu, R.F.; Zheng, C.J.; She, Z.G.; Lin, Y.C.; Wang, C.Y. Antibacterial anthraquinone derivatives from a sea anemone-derived fungus Nigrospora sp. J. Nat. Prod. 2012, 75, 935–941. [Google Scholar] [CrossRef]
- WoRMS Editorial Board. World Register of Marine Species. 2022. Available online: https://www.marinespecies.org (accessed on 12 November 2022).
- Simoes, N. Cnidae sizes in the two morphotypes of the giant Caribbean anemone Condylactis gigantea (Actiniaria: Actiniidae). Rev. Biol. Trop. 2018, 66, 1055–1064. [Google Scholar]
- Salceda, E.; Pérez-Castells, J.; López-Méndez, B.; Garateix, A.; Salazar, H.; López, O.; Aneiros, A.; Ständker, L.; Béress, L.; Forssmann, W.-G.; et al. CgNa, a type I toxin from the giant Caribbean sea anemone Condylactis gigantea shows structural similarities to both type I and II toxins, as well as distinctive structural and functional properties. Biochem. J. 2007, 406, 67–76. [Google Scholar] [CrossRef]
- Romero, L.; Marcussi, S.; Marchi-Salvador, D.P.; Silva, F.P., Jr.; Fuly, A.L.; Stabeli, R.G.; da Silva, S.L.; Gonzalez, J.; Monte, A.D.; Soares, A.M. Enzymatic and structural characterization of a basic phospholipase A(2) from the sea anemone Condylactis gigantea. Biochimie 2010, 92, 1063–1071. [Google Scholar] [CrossRef]
- Chen, C.A.; Dai, C.F. Local phase shift from Acropora-dominant to Condylactis-dominant community in the Tiao-Shi Reef, Kenting National Park, southern Taiwan. Coral Reefs 2004, 23, 508. [Google Scholar] [CrossRef]
- Dai, C.F.; Kao, K.M.; Chen, Y.T.; Chaun, S.T. Changes of coral communities in the eastern and western coast, Kenting National Park from 1987 to 1997. Bull. Natl. Park. 1999, 9, 111–129. (In Chinese) [Google Scholar]
- Kimrua, T.; Chang, F.D.; Pae, S.; Hui, H.; Ang, P.O.; Je, J.G.; Choi, C.L.S. Status of Coral Reefs in East and North Asia: China, Hong Kong, Taiwan, Korea and Japan. In Status of Coral Reefs of the World: 2004; Wilkinson, C., Ed.; Australian Institute of Marine Science: Townsville: Townsville, QLD, Australia, 2004; Volume 1, pp. 277–301. [Google Scholar]
- Prakash, S.; Kumar, T.T.A.; Lal, K.K. Corallimorph sea anemone infestation in the coral reefs of Lakshadweep archipelago, India. Curr. Sci. 2022, 122, 1009–1010. [Google Scholar]
- Carballeira, N.M.; Reyes, M. Identification of a new 6-bromo-5,9-eicosadienoic acid from the anemone Condylactis gigantea and the zoanthid Palythoa caribaeorum. J. Nat. Prod. 1995, 58, 1689–1694. [Google Scholar] [CrossRef]
- National Institute of Advanced Industrial Science and Technology (AIST): Spectral Database for Organic Compounds (SDBS). Available online: https://sdbs.db.aist.go.jp/sdbs/cgi-bin/cre_index.cgi (accessed on 3 March 2023).
- Singha, N.C.; Sathyanarayana, D.N. 1H and 13C NMR spectral studies of conformation of some N-(2-pyridinyl)-3-pyridinecarboxamides. J. Mol. Struct. 1998, 449, 91–98. [Google Scholar] [CrossRef]
- Wang, P.-H.; Lee, S.-S. Active chemical constituents from Sauropus androgynus. J. Chin. Chem. Soc. 1997, 44, 145–149. [Google Scholar] [CrossRef]
- Gauvin, A.; Smadja, J.; Aknin, M.; Faure, R.; Gaydou, E.-M. Isolation of bioactive 5α,8α-epidioxy sterols from the marine sponge Luffariella cf. variabilis. Can. J. Chem. 2000, 78, 986–992. [Google Scholar] [CrossRef]
- Wu, F.-E.; Koike, K.; Nikaido, T.; Ishii, K.; Ohmoto, T.; Ikeda, K. Terpenoids and flavonoids from Arenaria kansuensis. Chem. Pharm. Bull. 1990, 38, 2281–2282. [Google Scholar] [CrossRef]
- Chen, W.-H.; Chen, G.-Y.; Wang, J.; Hui, Y.; Liu, L.; Han, J.-J.; Song, X.P. Chemical constituents of Drypetes congestiflora. Chem. Nat. Prod. 2015, 51, 797–799. [Google Scholar] [CrossRef]
- Gunatilaka, A.A.L.; Gopichand, Y.; Schmitz, F.J.; Djerassi, C. Minor and trace sterols in marine invertebrates. 26. Isolation and structure elucidation of nine new 5α,8α-epidoxy sterols from four marine organisms. J. Org. Chem. 1981, 46, 3860–3866. [Google Scholar] [CrossRef]
- Sheu, J.H.; Chang, K.C.; Duh, C.Y. A cytotoxic 5α,8α-epidioxysterol from a soft coral Sinularia species. J. Nat. Prod. 2000, 63, 149–151. [Google Scholar] [CrossRef]
- Alley, M.C.; Scudiero, D.A.; Monks, A.; Hursey, M.L.; Czerwinski, M.J.; Fine, D.L.; Abbott, B.J.; Mayo, J.G.; Shoemaker, R.H.; Boyd, M.R. Feasibility of drug screening with panels of human tumor cell lines using a microculture tetrazolium assay. Cancer Res. 1988, 48, 589–601. [Google Scholar] [PubMed]
- Corradi, A.B.; Boga, C.; Forlani, L.; Sgarabotto, P. X-ray diffraction and self condensation reaction of thionicotinamide S-oxide. J. Chem. Crystallogr. 1999, 29, 115–119. [Google Scholar] [CrossRef]
- Takikawa, Y.; Shimada, K.; Sato, K.; Sato, S.; Takizawa, S. Convenient preparations of 3,5-disubstituted 1,2,4-thiadiazoles by oxidative dimerization of thioamides. Bull. Chem. Soc. Jpn. 1985, 58, 995–999. [Google Scholar] [CrossRef]
- Sun, Y.; Wu, W.; Jiang, H. Copper(II)-mediated homocoupling of thioamides for the synthesis of 1,2,4-thiadiazoles. Eur. J. Org. Chem. 2014, 2014, 4239–4243. [Google Scholar] [CrossRef]
- Yang, Z.; Huang, N.; Xu, B.; Huang, W.; Xie, T.; Cheng, F.; Zou, K. Cytotoxic 1,3-thiazole and 1,2,4-thiadiazole alkaloids from Penicillium oxalicum: Structural elucidation and total synthesis. Molecules 2016, 21, 232. [Google Scholar] [CrossRef]
- Chen, M.; Lin, S.; Li, L.; Zhu, C.; Wang, X.; Wang, Y.; Jiang, B.; Wang, S.; Li, Y.; Jiang, J.; et al. Enantiomers of an indole alkaloid containing unusual dihydrothiopyran and 1,2,4-thiadiazole rings from the root of Isatis indigotica. Org. Lett. 2012, 14, 5668–5671. [Google Scholar] [CrossRef]
- Pham, C.D.; Weber, H.; Hartmann, R.; Wray, V.; Lin, W.; Lai, D.; Proksch, P. New cytotoxic 1,2,4-thiadiazole alkaloids from the ascidian Polycarpa aurata. Org. Lett. 2013, 15, 2230–2233. [Google Scholar] [CrossRef]
- Jensen, K.A.; Nielsen, P.H. Infrared spectra of thioamides and selenoamides. Acta Chem. Scand. 1966, 20, 597–629. [Google Scholar] [CrossRef]
- Desseyn, H.O.; Van Der Veken, B.J.; Herman, M.A. The characteristic pattern of thioamides in infrared and Raman spectra Appl. Spectrosc. 1978, 32, 101–105. [Google Scholar] [CrossRef]
- Pathak, U.; Pandey, L.K.; Tank, R. Expeditious microwave-assisted thionation with the system PSCl3/H2O/Et3N under solvent-free condition. J. Org. Chem. 2008, 73, 2890–2893. [Google Scholar] [CrossRef]
- Guan, L.; Shiiya, A.; Hisatomi, S.; Fujii, K.; Nonaka, M.; Harada, N. Sulfate-reducing bacteria mediate thionation of diphenylarsinic acid under anaerobic conditions. Biodegradation 2015, 26, 29–38. [Google Scholar] [CrossRef]
- Du, Z.; Zhang, W.; Xia, H.; Lü, G.; Chen, G. Isolation and diversity analysis of heterotrophic bacteria associated with sea anemones. Acta Oceanol. Sin. 2010, 29, 62–69. [Google Scholar] [CrossRef]
- Liu, X.; Ashforth, E.; Ren, B.; Song, F.; Dai, H.; Liu, M.; Wang, J.; Xie, Q.; Zhang, L. Bioprospecting microbial natural product libraries from the marine environment for drug discovery. J. Antibiot. 2010, 63, 415–422. [Google Scholar] [CrossRef]
- Jones, G.P.; Naidu, B.P.; Paleg, L.G.; Tiekink, E.R.T.; Snow, M.R. 4-Hydroxy-N-methylproline analogues in Melaleuca spp. Phytochemistry 1987, 26, 3343–3344. [Google Scholar] [CrossRef]
- Liu, H.B.; Koh, K.P.; Kim, J.S.; Seo, Y.; Park, S. The effects of betonicine, floridoside, and isethionic acid from the red alga Ahnfeltiopsis flabelliformis on quorum-sensing activity. Biotechnol. Bioprocess Eng. 2008, 13, 458–463. [Google Scholar] [CrossRef]
- Mayhoub, A.S.; Marler, L.; Kondratyuk, T.P.; Park, E.J.; Pezzuto, J.M.; Cushman, M. Optimizing thiadiazole analogues of resveratrol versus three chemopreventive targets. Bioorg. Med. Chem. 2012, 20, 510–520. [Google Scholar] [CrossRef]
- Tedeschi, P.M.; Bansal, N.; Kerrigan, J.E.; Abali, E.E.; Scotto, K.W.; Bertino, J.R. NAD+ kinase as a therapeutic target in cancer. Clin. Cancer Res. 2016, 22, 5189–5195. [Google Scholar] [CrossRef]
- Tedeschi, P.M.; Lin, H.; Gounder, M.; Kerrigan, J.E.; Abali, E.E.; Scotto, K.; Bertino, J.R. Suppression of cytosolic NADPH pool by thionicotinamide increases oxidative stress and synergizes with chemotherapy. Mol. Pharmacol. 2015, 88, 720–727. [Google Scholar] [CrossRef]
- Hsieh, Y.C.; Tedeschi, P.; Adebisi Lawal, R.; Banerjee, D.; Scotto, K.; Kerrigan, J.E.; Lee, K.C.; Johnson-Farley, N.; Bertino, J.R.; Abali, E.E. Enhanced degradation of dihydrofolate reductase through inhibition of NAD kinase by nicotinamide analogs. Mol. Pharmacol. 2013, 83, 339–353. [Google Scholar] [CrossRef]
- Sousa, E.H.; Pontes, D.L.; Diogenes, I.C.; Lopes, L.G.; Oliveira, J.S.; Basso, L.A.; Santos, D.S.; Moreira, I.S. Electron transfer kinetics and mechanistic study of the thionicotinamide coordinated to the pentacyanoferrate(III)/(II) complexes: A model system for the in vitro activation of thioamides anti-tuberculosis drugs. J. Inorg. Biochem. 2005, 99, 368–375. [Google Scholar] [CrossRef]
- Schroeder, E.K.; de Souza, N.; Santos, D.S.; Blanchard, J.S.; Basso, L.A. Drugs that inhibit mycolic acid biosynthesis in Mycobacterium tuberculosis. Curr. Pharm. Biotechnol. 2002, 3, 197–225. [Google Scholar] [CrossRef] [PubMed]
- Laborde, J.; Deraeve, C.; Duhayon, C.; Pratviel, G.; Bernardes-Genisson, V. Ethionamide biomimetic activation and an unprecedented mechanism for its conversion into active and non-active metabolites. Org. Biomol. Chem. 2016, 14, 8848–8858. [Google Scholar] [CrossRef] [PubMed]
- Garcia, R.A.G.; Saydoff, J.A.; Bamat, M.K.; von Borstel, R.W. Prompt treatment with uridine triacetate improves survival and reduces toxicity due to fluorouracil and capecitabine overdose or dihydropyrimidine dehydrogenase deficiency. Toxicol. Appl. Pharmacol. 2018, 353, 67–73. [Google Scholar] [CrossRef] [PubMed]
- Dembitsky, V.M. Bioactive peroxides as potential therapeutic agents. Eur. J. Med. Chem. 2008, 43, 223–251. [Google Scholar] [CrossRef]
- Ahmed, A.F.; Kuo, Y.H.; Dai, C.F.; Sheu, J.H. Oxygenated terpenoids from a formosan soft coral Sinularia gibberosa. J. Nat. Prod. 2005, 68, 1208–1212. [Google Scholar] [CrossRef]
- Casteel, D.A. Peroxy natural products. Nat. Prod. Rep. 1992, 9, 289–312. [Google Scholar] [CrossRef]
- Huang, C.Y.; Chang, C.W.; Tseng, Y.J.; Lee, J.; Sung, P.J.; Su, J.H.; Hwang, T.L.; Dai, C.F.; Wang, H.C.; Sheu, J.H. Bioactive steroids from the Formosan soft coral Umbellulifera petasites. Mar. Drugs 2016, 14, 180. [Google Scholar] [CrossRef]
- Vil, V.A.; Gloriozova, T.A.; Poroikov, V.V.; Terent’ev, A.O.; Savidov, N.; Dembitsky, V.M. Peroxy steroids derived from plant and fungi and their biological activities. Appl. Microbiol. Biotechnol. 2018, 102, 7657–7667. [Google Scholar] [CrossRef]
- Casteel, D.A. Antimalarial Agents. In Burger’s Medicinal Chemistry and Drug Discovery; Wolff, M.E., Ed.; Wiley: New York, NY, USA, 1997. [Google Scholar]
- Vil, V.A.; Yaremenko, I.A.; Ilovaisky, A.I.; Terent’ev, A.O. Peroxides with anthelmintic, antiprotozoal, fungicidal and antiviral bioactivity: Properties, synthesis and reactions. Molecules 2017, 22, 1881. [Google Scholar] [CrossRef]
- Panic, G.; Duthaler, U.; Speich, B.; Keiser, J. Repurposing drugs for the treatment and control of helminth infections. Int. J. Parasitol. Drugs Drug Resist. 2014, 4, 185–200. [Google Scholar] [CrossRef]
- Kahlos, K.; Kangas, L.; Hiltunen, R. Ergosterol peroxide, an active compound from Inonotus radiatus. Planta Medica 1989, 55, 389–390. [Google Scholar] [CrossRef]
- Ioannou, E.; Abdel-Razik, A.F.; Zervou, M.; Christofidis, D.; Alexi, X.; Vagias, C.; Alexis, M.N.; Roussis, V. 5-Alpha,8-alpha-epidioxysterols from the gorgonian Eunicella cavolini and the ascidian Trididemnum inarmatum: Isolation and evaluation of their antiproliferative activity. Steroids 2009, 74, 73–80. [Google Scholar] [CrossRef]
- Yasukawa, K.; Akihisa, T.; Kanno, H.; Kaminaga, T.; Izumida, M.; Sakoh, T.; Tamura, T.; Takido, M. Inhibitory effects of sterols isolated from Chlorella vulgaris on 12-0-tetradecanoylphorbol-13-acetate-induced inflammation and tumor promotion in mouse skin. Biol. Pharm. Bull. 1996, 19, 573–576. [Google Scholar] [CrossRef]
- Fujimoto, H.; Nakayama, M.; Nakayama, Y.; Yamazaki, M. Isolation and characterization of immunosuppressive components of three mushrooms, Pisolithus tinctorius, Microporus flabelliformis and Lenzites betulina. Chem. Pharm. Bull. 1994, 42, 694–697. [Google Scholar] [CrossRef]
- Kobori, M.; Yoshida, M.; Ohnishi-Kameyama, M.; Shinmoto, H. Ergosterol peroxide from an edible mushroom suppresses inflammatory responses in RAW264.7 macrophages and growth of HT29 colon adenocarcinoma cells. Br. J. Pharmacol. 2007, 150, 209–219. [Google Scholar] [CrossRef]
- Lu, Y.; Lin, Y.C.; Wen, Z.H.; Su, J.H.; Sung, P.J.; Hsu, C.H.; Kuo, Y.H.; Chiang, M.Y.; Dai, C.F.; Sheu, J.H. Steroid and cembranoids from the Dongsha atoll soft coral Lobophytum sarcophytoides. Tetrahedron 2010, 66, 7129–7135. [Google Scholar] [CrossRef]





| 1 | 2 | 3 | |||||
|---|---|---|---|---|---|---|---|
| Atom | δC | δH | Atom | δC | δH | δC | δH | 
| 3 | 171.4 (C) | ||||||
| 5 | 185.8 (C) | 7 | 200.4 (C) | 167.6 (C) | |||
| 2′ | 9.63 1H, br d (1.8) a | 149.2 (CH) b | 2 | 9.11 1H, d (1.6) | 148.5 (CH) | 9.08 1H, s | 149.8 (CH) | 
| 3′ | 128.8 (C) | 3 | 136.3 (C) | 130.8 (C) | |||
| 4′ | 8.70 1H, ddd (7.9, 1.8, 1.8) | 136.2 (CH) | 4 | 8.27 1H, br d (7.8) | 135.5 (CH) | 8.22 1H, d (7.2) | 135.9 (CH) | 
| 5′ | 7.52 1H, ddd (7.3, 5.0, 1.8) | 123.9 (CH) | 5 | 7.42 1H, dd (7.8, 5.0) | 123.7 (CH) | 7.45 1H, dd (7.2, 5.0) | 124.2 (CH) | 
| 6′ | 8.75 1H, dd (5.0, 1.8) | 150.6 (CH) | 6 | 8.66 1H, d (5.0) | 152.5 (CH) | 8.68 1H, d (5.0) | 153.0 (CH) | 
| 2″ | 9.28 1H, br d (1.8) | 148.6 (CH) | |||||
| 3″ | 126.7 (C) | ||||||
| 4″ | 8.37 1H, ddd (7.9, 1.8, 1.8) | 134.6 (CH) | |||||
| 5″ | 7.52 1H, ddd (7.3, 5.0, 1.8) | 124.2 (CH) | |||||
| 6″ | 8.81 1H, dd (4.9, 1.8) | 153.0 (CH) | |||||
| Compound | Hepa 59T/VGH | NCI-H661 | KB | HeLa | Med | 
|---|---|---|---|---|---|
| Fraction A12 | 18.9 | − a | >20 | 18.3 | >20 | 
| 1–5 | >20 | >20 | >20 | >20 | >20 | 
| 6 | − a | − a | − a | − a | − a | 
| 7 | 7.4 | 6.0 | 7.6 | 4.7 | 7.5 | 
| 8 | 8.8 | 7.1 | 9.0 | 8.4 | 7.7 | 
| 9 | 7.0 | 5.8 | 3.5 | 5.7 | 5.7 | 
| 10 | 6.5 | 6.6 | 7.9 | 6.1 | 4.2 | 
| Mitomycin | 0.8 | 0.6 | 0.7 | 0.8 | 0.8 | 
| Disclaimer/Publisher’s Note: The statements, opinions and data contained in all publications are solely those of the individual author(s) and contributor(s) and not of MDPI and/or the editor(s). MDPI and/or the editor(s) disclaim responsibility for any injury to people or property resulting from any ideas, methods, instructions or products referred to in the content. | 
© 2023 by the authors. Licensee MDPI, Basel, Switzerland. This article is an open access article distributed under the terms and conditions of the Creative Commons Attribution (CC BY) license (https://creativecommons.org/licenses/by/4.0/).
Share and Cite
Ahmed, A.F.; Dai, C.-F.; Kuo, Y.-H.; Sheu, J.-H. The Invasive Anemone Condylactis sp. of the Coral Reef as a Source of Sulfur- and Nitrogen-Containing Metabolites and Cytotoxic 5,8-Epidioxy Steroids. Metabolites 2023, 13, 392. https://doi.org/10.3390/metabo13030392
Ahmed AF, Dai C-F, Kuo Y-H, Sheu J-H. The Invasive Anemone Condylactis sp. of the Coral Reef as a Source of Sulfur- and Nitrogen-Containing Metabolites and Cytotoxic 5,8-Epidioxy Steroids. Metabolites. 2023; 13(3):392. https://doi.org/10.3390/metabo13030392
Chicago/Turabian StyleAhmed, Atallah F., Chang-Feng Dai, Yao-Haur Kuo, and Jyh-Horng Sheu. 2023. "The Invasive Anemone Condylactis sp. of the Coral Reef as a Source of Sulfur- and Nitrogen-Containing Metabolites and Cytotoxic 5,8-Epidioxy Steroids" Metabolites 13, no. 3: 392. https://doi.org/10.3390/metabo13030392
APA StyleAhmed, A. F., Dai, C.-F., Kuo, Y.-H., & Sheu, J.-H. (2023). The Invasive Anemone Condylactis sp. of the Coral Reef as a Source of Sulfur- and Nitrogen-Containing Metabolites and Cytotoxic 5,8-Epidioxy Steroids. Metabolites, 13(3), 392. https://doi.org/10.3390/metabo13030392
 
        




 
       