Next Article in Journal
Packaging-Aware EMC for 2.5D/3D Semiconductor Devices with Key-Point Radiated Checks
Next Article in Special Issue
High-Isolation Four-Port Wideband MIMO Antenna Array on Polycarbonate for Sub-6 GHz 5G Systems
Previous Article in Journal
A Data-Driven Distributed Autonomous Architecture for the 6G Network
Previous Article in Special Issue
Multi-Target Sensing with Interference Analysis for the Multi-UAV-Enabled ISAC Network
 
 
Font Type:
Arial Georgia Verdana
Font Size:
Aa Aa Aa
Line Spacing:
Column Width:
Background:
Article

A Window-Embedded Broadband Vehicle-Mounted Antenna for FM Broadcast Application Based on the Characteristic Mode Theory

1
Air and Missile Defend College, Air Force Engineering University, Xi’an 710051, China
2
The 54th Research Institute, China Electronics Technology Group Corporation (CETC), Shijiazhuang 050081, China
3
Department of Computer Science, Anhui Medical University, Hefei 230032, China
4
Interdisciplinary Center for Quantum Information, State Key Laboratory of Modern Optical Instrumentation, ZJU-Hangzhou Global Scientific and Technological Innovation Center, Zhejiang University, Hangzhou 310027, China
*
Authors to whom correspondence should be addressed.
These authors contributed equally to this work.
Electronics 2026, 15(1), 103; https://doi.org/10.3390/electronics15010103
Submission received: 28 November 2025 / Revised: 23 December 2025 / Accepted: 24 December 2025 / Published: 25 December 2025
(This article belongs to the Special Issue Next-Generation MIMO Systems with Enhanced Communication and Sensing)

Abstract

A window-embedded broadband vehicle-mounted antenna for frequency modulation (FM) broadcast application is proposed. Antenna miniaturization at sub-gigahertz frequencies remains challenging due to the inherently long wavelengths, which impose strict constraints on compactness, bandwidth, and structural weight. A promising strategy to alleviate this problem is to use the vehicle itself as an effective radiator to enhance the bandwidth and maintain good radiation performance. In this work, the potentialities of the radiation patterns offered by the vehicle are analyzed by using the characteristic mode theory (CMT). A compact T-shape coupling element, with dimensions of 0.2λ0 × 0.08λ0 × 0.01λ0, is employed to simultaneously excite multiple significant characteristic modes, thereby broadening the operating band. Both simulated and measured results validate that the proposed antenna can cover the FM broadcast operating band from 87 MHz to 108 MHz, with the 1:10 scaled prototype achieving a maximum measured gain of 7.4 dBi at 950 MHz. The proposed antenna and design strategy have advantages in radio broadcasting, radio navigation, and military and law enforcement communication systems for its low-cost, compact, and easy conformal structure.

1. Introduction

Modern vehicles are equipped with various Car-to-Car and Car-to-Infrastructure communication systems to support various services including AM radio, FM radio, electronic toll collection, navigation, automated driver assistance, etc. Hence, many types of antennas that operate in different frequency bands are integrated into a single vehicle. Antenna design at high-frequency (HF) and very-high-frequency (VHF) bands is very challenging for two reasons: First, the complex conducting car frame influences the antenna performance severely for the wavelength-comparable sizes of cars, thus the materials and metal body shapes around antennas must be considered. The second reason is that the large operating wavelengths inherently require larger physical dimensions, as dictated by the scaling properties of Maxwell’s equations. However, the limitations of overall available space, aesthetics, and wind resistance bring strong demand for electrically small antennas. According to Chu’s limit [1], there is an intrinsic trade-off between the impedance bandwidth and the electrical dimension. Namely, electrically small antennas suffer from narrow bandwidth.
One promising strategy for enhancing the operational bandwidth is to utilize the metallic body of the vehicle as the primary radiator for the antenna. In this platform-based paradigm, the electrically large chassis supports most of the radiating currents, whereas the antenna is reduced to one or several compact coupling elements that are judiciously positioned and tuned to excite the desired current distributions and radiation patterns. The corresponding design problem therefore shifts from shaping a standalone radiator to engineering efficient coupling between the feed element and the characteristic modes supported by the vehicle platform. This concept has been demonstrated in various platforms including aircraft, shipboard, unmanned ground vehicles, and amphibious assault vehicles [2,3,4,5,6]. In [2], a platform-integrated vehicle antenna operating in the VHF band achieves a fractional bandwidth of 12.6% by leveraging the vehicle body; however, the associated feed network is relatively intricate, and a three-dimensional metallic structure must be added near the headlight region, which complicates integration and aesthetics. An electrically small platform-based antenna designed for an unmanned ground vehicle is reported in [3], but the overall physical footprint remains sizable, limiting its suitability for compact or constrained installations. In [4], a military platform-mounted antenna is developed to support operation in both the HF and VHF bands, yet the radiating structure still relies on bulky metal components that are difficult to conform to existing vehicle geometries.
In the conventional platform-based antenna design, understanding the complex electromagnetic interactions between the coupling element and the vehicle platform is essential. This process relies heavily on extensive full-wave numerical simulations, where each candidate geometry must be iteratively tuned through repeated structural modifications and re-evaluations. Achieving a satisfactory radiation response therefore requires numerous case-by-case simulations, with each adjustment only marginally improving performance. Such a mechanical trial-and-error workflow not only obscures the underlying physical mechanisms but also leads to prohibitive computational costs, ultimately slowing down the entire design cycle and limiting the designer’s ability to explore broader solution spaces.
Characteristic mode theory, first proposed in the 1960s by Garbacz et al. and Harrington et al. [7,8], is widely used in the design of various antennas such as slot antennas [9,10], dipole antennas [11], and MIMO antennas [12,13,14]. Potential radiation modes of the antenna can be analyzed by the CMT without prior excitation or feeding network. Therefore, CMT is well-suited for analyzing the potential radiation patterns of an electrically large vehicle body as the primary radiator, providing a blueprint for designing vehicle-mounted antennas. In [15], the CMT is employed to determine the optimal location of the feeding on the shipboard to form a platform-embedded HF band antenna. A bandwidth-enhanced expeditionary fighting vehicle -mounted antenna is investigated by resorting to the CMT [16]. In [17], the radiation efficiency of the platform-mounted antenna is improved by achieving a good level of excitation purity with CMT. An aircraft-mounted antenna for direction finding at the HF band is demonstrated using CMT [18]. While much attention has been devoted to the study of military applications with CMT, to the best of the author’s knowledge, platform-integrated antennas for FM broadcast applications on civilian vehicles have yet to be reported.
In this work, we develop a wideband vehicle-mounted antenna for FM audio broadcast services. The potential characteristic modes are pre-calculated by the CMT. Then, a window-embedded T-shape coupling element with the size of 0.65 m × 0.24 m × 0.05 m is employed to simultaneously excite multiple significant modes, resulting in a −10 dB impedance bandwidth from 87 MHz to 108 MHz (21.5% relative bandwidth). A 1:10 scaled-model prototype is fabricated and measured. The measured normalized radiation patterns agree well with the simulated ones of the full-scale model in xoy, xoz, and yoz planes, and the measured peak gains at 870 MHz, 950 MHz, and 1080 MHz are 5.8 dBi, 7.49 dBi, and 5.83 dBi, respectively. The proposed antenna is well-suited for vehicular applications including navigation, infotainment, and autonomous driving systems.

2. Antenna Design and Operating Principles

A general three-dimensional civil vehicle model with an overall size of 6 m × 3 m × 1.9 m is shown in Figure 1. For clarity and to facilitate electromagnetic analysis, only the metallic components that significantly influence the radiation characteristics are retained in the model. These include the main vehicle body, the roof frame, and the surrounding structural pillars, while other nonessential details are omitted. The comprehensive geometric specifications of the modeled platform are summarized in Table 1.
Characteristic mode analysis is implemented with commercial full-wave simulation software CST 2021. Modal significance (MS) is exploited to identify the potential contribution of each mode and is defined as follows:
M S =   1 | 1   +   j λ n |  
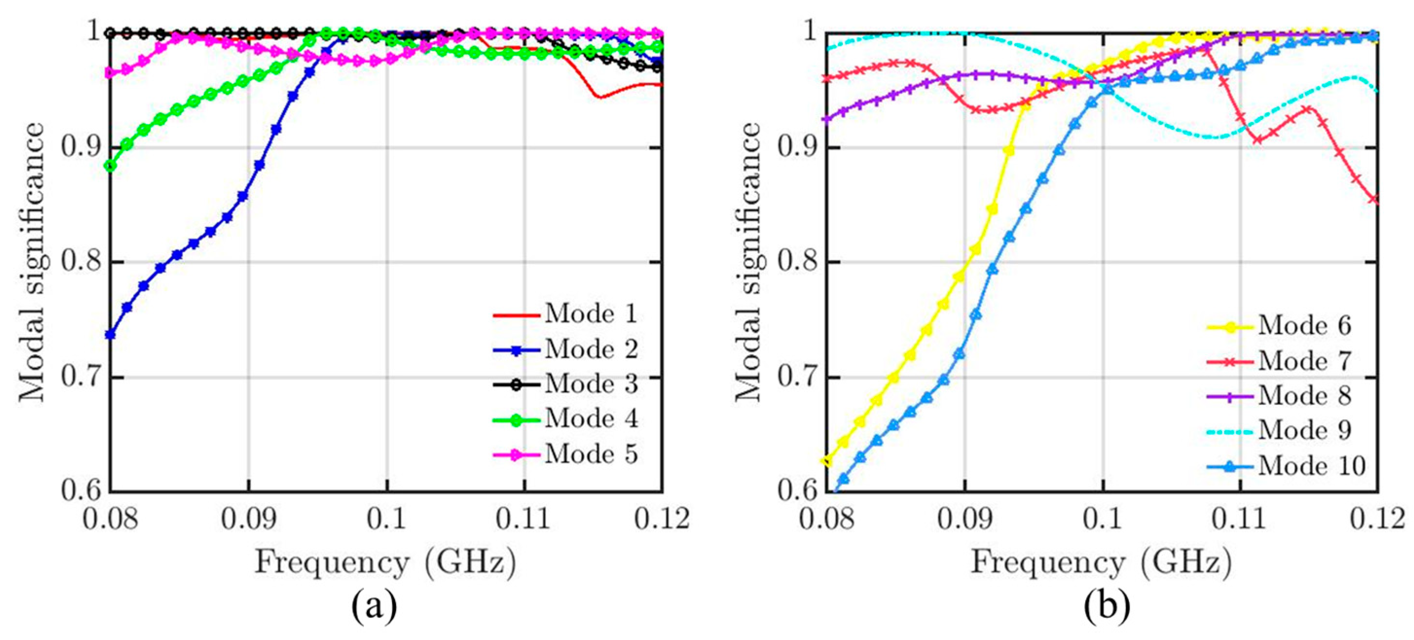
where λn represents the eigenvalue of the n-th mode. Physically, the eigenvalue λn represents the ratio between the net reactive power and the radiated power associated with the corresponding characteristic mode. Thus, a mode is considered to dominate the radiation patterns if the value of the MS is greater than 0.7 [19]. MS equals 1 denotes the mode is resonant. In addition, the MS value in the range of 0.2 and 0.7 indicates that the mode is partially excited; this part of the mode is carefully utilized to improve the radiation efficiency and pattern quality. However, for an MS value less than 0.2, the corresponding mode can usually be ignored. The MS of the first ten modes within the 87–108 MHz bandwidth is depicted in Figure 2 as a function of the frequency. As seen, MS values of ten modes are larger than 0.7, indicating that all modes can be excited in the operating band. This property is because the overall size of the car is comparable to the wavelength of the interested band, especially the length of the roof frame is about one wavelength.
The electric current distributions and the radiation patterns of the first ten CMs at 100 MHz are presented in Figure 3. It shows that the current distributions for all modes are mainly concentrated on the roof, surrounding metal brackets, and lamp positions. The current orientation of each mode is different, and it has distinct amplitude distributions at different positions on the vehicle. Modes 1, 2, and 8 have dipole-like radiation patterns, with the maximum radiation direction pointing to the direction perpendicular to the roof surface. For modes 3, 4, 5, 6, 7, 9, and 10, the corresponding far-field patterns are closer to omnidirectional radiation due to their complex distribution of currents. To achieve the desired radiation pattern, multiple modes should be combined with a certain linear weighting. There are usually two approaches to excite CM, including inductive coupling element (ICE) and capacitive coupling element (CCE) [20]. ICE is commonly placed at the position with the maximum current densities to couple energy by the magnetic field. However, CCE is typically located at the place where the weakest current occurs; thus, the energy can be coupled through the electric field. Specifically, a monopole antenna [21,22] can be regarded as a practical implementation of a CCE.
By analyzing the characteristic mode current distributions of the vehicle platform, it can be observed that efficiently exciting a single pure mode generally requires multiple coupling elements distributed at different locations. However, for broadband operation, where multiple characteristic modes are intentionally excited simultaneously using a single coupling element, the feeding location should be carefully selected to minimize mode competition. In this case, an optimal feeding point corresponds to a region where the surface current densities of the dominant characteristic modes are simultaneously weak, such that no individual mode is excessively favored.
As shown by the modal current analysis, Modes 1, 2, 3, 4, 6, 8, and 10 all exhibit relatively low current magnitudes in the middle region of the side windows, whereas stronger and more uneven current concentrations are observed in the roof, hood, and trunk regions. Therefore, the middle area of the side window provides a physically justified and robust feeding location for enabling simultaneous multi-mode excitation, which is essential for achieving broadband impedance matching in the FM band.
To systematically determine the optimal dimensions of the coupling element, as shown in Figure 4a, a series of parametric studies are carried out. First, the influence of the horizontal arm width w on the impedance matching performance is investigated, presenting the simulated reflection coefficients for different values of w. It can be observed from Figure 4b that increasing w from 640 mm to 700 mm mainly affects the impedance matching in the lower-frequency region. When w = 620 mm, the reflection coefficient at approximately 0.087 GHz is close to the −10 dB threshold. Considering both impedance bandwidth robustness and structural compactness, w = 650 mm is selected as an optimal compromise. Subsequently, the effect of the vertical arm length l is examined, as shown in Figure 4c. As l increases from 230 mm to 280 mm, the impedance matching band gradually shifts from higher to lower frequencies. However, the impedance matching around the center frequency of 0.1 GHz deteriorates with excessively large values of l. Considering the overall bandwidth coverage and matching stability across the entire FM band, the vertical arm length is chosen as l = 240 mm. Finally, the feeding position is optimized based on the selected coupling element dimensions. Figure 4d illustrates the simulated reflection coefficients for different feeding positions pos, indicating that pos has a pronounced impact on the impedance matching performance. When pos = 3450 mm, the proposed antenna achieves a −10 dB reflection coefficient bandwidth of 86–110 MHz, which fully covers the FM broadcast band. To quantitatively evaluate the relative contributions of different characteristic modes across the operating band, the normalized modal weighting coefficients (MWCs) of the proposed multimode antenna at 0.1 GHz are presented in Figure 4f. The modal weighting coefficient of a characteristic mode represents the strength with which that mode is excited relative to the others. It is calculated by projecting the total excited surface current onto the corresponding characteristic modal current, thereby providing a direct and physically meaningful measure of modal excitation under the given feeding condition. As observed in Figure 4f, Modes 1, 4, and 10 exhibit significantly higher MWCs over the FM operating band, indicating that these modes contribute dominantly to the radiation behavior of the proposed antenna. In contrast, the remaining modes show relatively weaker excitation levels and play a secondary role. The coexistence and complementary contributions of these dominant modes enable broadband impedance matching and stable radiation performance.
The selection of the T-shaped coupling element is further validated, and a comparative study involving different coupling geometries was conducted. Specifically, three representative coupling structures, namely L-shaped, T-shaped, and F-shaped elements, were investigated under the same feeding position. The optimized geometrical configurations of these coupling elements are illustrated in Figure 5a, and their corresponding simulated reflection coefficients are compared in Figure 5b. It can be seen that the T-shaped and L-shaped coupling elements exhibit similar impedance matching performance over a large portion of the FM broadcast band. However, the T-shaped structure provides improved impedance matching at the higher-frequency region, resulting in a more robust −10 dB impedance bandwidth across the entire operating band. In contrast, the F-shaped coupling element shows inferior matching characteristics, and its impedance response is more difficult to optimize within the desired frequency range. Moreover, the inverted-F structure requires a relatively larger physical size, which is less favorable for compact and conformal window-embedded implementations. Considering the overall impedance bandwidth, matching robustness, and structural compactness, the T-shaped coupling element offers a more balanced and practical solution for the proposed vehicle-mounted FM antenna design.
To evaluate the impact of model simplification on antenna performance, an enhanced vehicle model was further investigated. As shown in Figure 6a, representative dielectric components were introduced into the simplified metallic vehicle shell, including interior seats with a relative permittivity of 1.3 and surrounding window glass with a relative permittivity of 7. These elements were selected to capture the dominant dielectric effects present in a realistic vehicle environment while maintaining a manageable modeling complexity. The comparison results are presented in Figure 6b,c. It can be observed that the inclusion of dielectric windows and interior structures causes only minor variations in the resonance behavior, and the −10 dB impedance matching bandwidth remains essentially unchanged, still fully covering the FM broadcast band. In addition, the radiation patterns at 0.95 GHz obtained from the enhanced model preserve the quasi-omnidirectional characteristics observed in the simplified metallic model. Only slight distortions appear in certain angular directions. These results indicate that although the simplified metallic model does not include all structural details of a real vehicle, it is sufficiently accurate for analyzing dominant characteristic modes and guiding the coupling element-based antenna design. The proposed method therefore demonstrates good robustness against the inclusion of realistic dielectric features commonly found in practical vehicle platforms.

3. Fabrication and Experimental Demonstration

To experimentally validate the performance of the proposed antenna, a 1:10 scaled car model and a correspondingly miniaturized T-shaped coupling element are designed for the convenience of fabrication and measurement under laboratory conditions. The scaled fabricated prototype is illustrated in Figure 7. The reflection coefficient is tested in a microwave anechoic chamber with the vector network analyzer. Figure 4e compares the simulated and measured reflection coefficients of the scaled prototype. Overall, good agreement between simulation and measurement is achieved in terms of impedance matching characteristics. A slight frequency shift in the resonant points can be observed in the measured results, and the measured ∣S11∣ < −10 dB bandwidth of the scaled prototype covers 0.86–1.18 GHz. The observed frequency discrepancies are mainly attributed to several practical factors. First, the fabrication tolerances of the scaled metallic platform and the coupling element inevitably introduce dimensional deviations, which are more pronounced at the scaled frequency range. Second, uncertainties in the effective electrical properties of the supporting materials and the simplified modeling of the feeding structure in the simulation contribute to additional deviations. Third, the influence of the coaxial feed and connector, which is difficult to fully de-embed in the measurement, may also result in a minor downward frequency shift. Despite these discrepancies, the measured results confirm the broadband behavior predicted by the characteristic mode-based design, validating the robustness of the proposed antenna configuration.
To characterize the radiation behavior, far-field patterns were measured using a multiprobe spherical near-field system (Satimo StarLab, Paris, France), as illustrated in Figure 7. In the multiprobe spherical near-field measurement system, the antenna under test is surrounded by an array of probes distributed on a spherical surface. The electromagnetic field components are sampled simultaneously over the spherical surface without requiring the antenna to be placed in the far-field region of the probes. Based on spherical wave expansion, the measured near-field data are decomposed into spherical wave coefficients, which uniquely represent the radiated fields of the antenna. The far-field radiation patterns, gain, and polarization characteristics are then obtained through a standard near-to-far-field transformation. As demonstrated in Figure 8, the measured normalized two-dimensional (2-D) radiation patterns along the xoy, xoz, and yoz planes at different frequencies (870 MHz, 950 MHz, and 1080 MHz) are compared with the simulation results of full-scale model at 87 MHz, 95 MHz, and 108 MHz, respectively. Across all planes and frequencies, the measured patterns closely follow the simulated ones, confirming that the dominant radiation features of the full-scale antenna are faithfully preserved in the scaled prototype. The maximum measured realized gain reaches 7.4 dBi at 950 MHz. Minor discrepancies observed between measurement and simulation can be attributed to several practical factors, including fabrication imperfections, soldering uncertainties, and measurement-induced errors.
For radiation performance evaluation, the simulated and measured realized gains of the proposed antenna as a function of frequency are presented in Figure 9a. It can be observed that the measured gain exhibits small variation across the operating band, remaining between 5 and 7.4 dBi from 0.87 to 1.08 GHz. This stable gain indicates effective radiation over the entire FM broadcast band. In addition, the measured total radiation efficiency of the proposed antenna is shown in Figure 9b, which is obtained using a multiprobe spherical near-field measurement system. The total radiated power is obtained by integrating the reconstructed far-field over the entire solid angle, and the total radiation efficiency is evaluated as the ratio of radiated power to the input power at the antenna port. As illustrated, the antenna efficiency remains high throughout the operating frequency range, varying from 0.83 to 0.97 over 0.87–1.08 GHz. The high efficiency confirms that most of the accepted power is effectively radiated, which is particularly important for vehicle-mounted FM reception applications.
Comparisons among different VHF antennas are presented in Table 2. Compared to the platform-mounted antennas designed with CMT in [2,4], our proposed antenna has the easiest feeding structure without the additional complex matching network. Moreover, the coupling element embedded in the window can satisfy the requirements of the vehicle for wind resistance and aesthetics. Although the platform-mounted antenna shown in [4] has a wider working bandwidth, our proposed antenna has a much smaller size and a better reflection coefficient than that. Furthermore, the proposed antenna has a much higher peak gain and a wider −10 dB reflection coefficient bandwidth compared with the FM antennas in [23,24,25]. In a word, our proposed vehicle-mounted antenna provides the advantages of compact feeding structure, wide operating bandwidths, and high gains.
To further validate the effectiveness of the proposed design approach, a more specific SUV vehicle model is considered, as shown in Figure 10a, whose dimensions are approximately scaled at a ratio of 1:10 from a real vehicle. Following the same design procedure, the optimal feeding position is identified to enable the simultaneous excitation of multiple characteristic modes. As illustrated in Figure 10b, the simulated impedance matching bandwidth covers 0.87–1.08 GHz, fully encompassing the FM broadcast band. The far-field radiation patterns at 1 GHz, as shown in Figure 10c, exhibit quasi-omnidirectional characteristics, and the simulated maximum gain reaches approximately 5 dBi.
Despite these encouraging results, the proposed approach still has certain limitations. Since the vehicle body itself acts as the primary radiating structure, the antenna performance is inherently dependent on the geometry and electrical characteristics of the vehicle platform. Variations in vehicle size, body shape, and window configuration may alter the characteristic mode distributions and resonance conditions, thereby requiring re-analysis and re-optimization of the feeding position. In addition, the present study is based on a simplified metallic vehicle model and scaled simulations; in practical vehicles, dielectric windows, plastic components, and interior structures may introduce frequency shifts or slight performance degradation. Although these factors are not expected to fundamentally change the underlying radiation mechanism, their influence should be further investigated. Moreover, the proposed method is primarily validated for broadband FM-band reception, and its applicability to other frequency bands or multi-antenna coexistence scenarios has not yet been systematically evaluated. Future work should include full-scale prototype measurements to validate the scaling approach.

4. Conclusions

A window-embedded broadband vehicle-mounted antenna is proposed and experimentally demonstrated in FM broadcast band. By analyzing the dominant characteristic modes of the vehicle platform, an optimal feed position was identified, enabling the use of an electrically small and conformal T-shaped coupling element to simultaneously excite multiple radiation modes. A 1:10 scaled prototype is fabricated and measured, and both simulated and measured results demonstrated a relative bandwidth of 21.5% together with stable radiation characteristics.
Beyond the demonstrated performance, the proposed design strategy highlights the advantages of exploiting the vehicle structure itself as an effective radiator to overcome the inherent bandwidth and efficiency limitations of electrically small antennas at sub-gigahertz frequencies. Owing to its compact size, simple planar geometry, and window-embedded configuration, the antenna is well-suited for low-cost fabrication and practical vehicle integration.
Future work will focus on extending the proposed characteristic mode theory-guided design methodology to different vehicle platforms and frequency bands, as well as evaluating long-term reliability under realistic operating conditions, such as temperature variations, vibration, and environmental aging. In addition, the concept of structurally integrated antennas may be further explored toward higher-frequency applications and energy-interaction scenarios [26], offering potential opportunities for emerging in-vehicle communication and sensing systems.

Author Contributions

Conceptualization, Y.Z. and Q.L.; methodology, D.L. and L.J.; software, X.L. and P.W.; validation, Y.Z., Q.L. and X.L.; formal analysis, Y.C.; investigation, Y.Z. and D.L.; data curation, L.J. and Y.Z.; writing—original draft preparation, Y.Z. and Q.L.; writing—review and editing, Y.Z., L.J. and Y.Z.; visualization, Y.Z.; supervision, L.J. and P.W.; resources, Y.C.; project administration, Y.C.; funding acquisition, L.J. and Y.C. All authors have read and agreed to the published version of the manuscript.

Funding

The work was sponsored by the National Natural Science Foundation of China (62201500), the Natural Science Foundation of Zhejiang Province under Grant No. ZCLY24F0101.

Data Availability Statement

The simulation and experimental results are available upon email request.

Conflicts of Interest

Authors Qiqiang Li and Pengyi Wang were employed by the company China Electronics Technology Group Corporation (CETC). The remaining authors declare that the research was conducted in the absence of any commercial or financial relationships that could be construed as a potential conflict of interest.

References

  1. Chu, L.J. Physical Limitations of Omni-Directional Antennas. J. Appl. Phys. 1948, 19, 1163–1175. [Google Scholar] [CrossRef]
  2. Ma, R.Y.; Shih, T.; Lian, R.; Behdad, N. Design of Bandwidth-Enhanced Platform-Mounted Electrically Small VHF Antennas Using the Characteristic-Mode Theory. IEEE Antennas Wirel. Propag. Lett. 2018, 17, 2384–2388. [Google Scholar] [CrossRef]
  3. Nikkhah, M.R.; Dagefu, F.T.; Behdad, N. Electrically Small Platform-Based Antennas for an Unmanned Ground Vehicle. IEEE Trans. Antennas Propag. 2020, 68, 5189–5198. [Google Scholar] [CrossRef]
  4. Li, M.; Behdad, N. Dual-Band Platform-Mounted HF/VHF Antenna Design Using the Characteristic Mode Theory. IET Microw. Antennas Propag. 2018, 12, 452–458. [Google Scholar] [CrossRef]
  5. Chen, Y.; Wang, C.F. Electrically Small UAV Antenna Design Using Characteristic Modes. IEEE Trans. Antennas Propag. 2014, 62, 535–545. [Google Scholar] [CrossRef]
  6. Ren, K. Helicopter-Mounted HF Direction-Finding Antenna with Rotor-Blade Modulation Using the Characteristic Mode Theory. IEEE Antennas Wirel. Propag. Lett. 2023, 22, 1597–1601. [Google Scholar] [CrossRef]
  7. Garbacz, R.J. Modal Expansions for Resonance Scattering Phenomena. Proc. IEEE 1965, 53, 856–864. [Google Scholar] [CrossRef]
  8. Harrington, R.; Mautz, J. Theory of Characteristic Modes for Conducting Bodies. IEEE Trans. Antennas Propag. 1971, 19, 622–628. [Google Scholar] [CrossRef]
  9. Zeng, J.; Liang, X.; He, L.; Guan, F.; Lin, F.H.; Zi, J. Single-Fed Triple-Mode Wideband Circularly Polarized Microstrip Antennas Using Characteristic Mode Analysis. IEEE Trans. Antennas Propag. 2022, 70, 846–855. [Google Scholar] [CrossRef]
  10. Antonino-Daviu, E.; Cabedo-Fabrés, M.; Sonkki, M.; Mohamed-Hicho, N.M.; Ferrando-Bataller, M. Design Guidelines for the Excitation of Characteristic Modes in Slotted Planar Structures. IEEE Trans. Antennas Propag. 2016, 64, 5020–5029. [Google Scholar] [CrossRef]
  11. Wen, D.L.; Hao, Y.; Wang, H.Y.; Zhou, H. Design of a Wideband Antenna with Stable Omnidirectional Radiation Pattern Using the Theory of Characteristic Modes. IEEE Trans. Antennas Propag. 2017, 65, 2671–2676. [Google Scholar] [CrossRef]
  12. Kishor, K.K.; Hum, S.V. A Two-Port Chassis-Mode MIMO Antenna. IEEE Antennas Wirel. Propag. Lett. 2013, 12, 690–693. [Google Scholar] [CrossRef]
  13. Li, H.; Miers, Z.T.; Lau, B.K. Design of Orthogonal MIMO Handset Antennas Based on Characteristic Mode Manipulation at Frequency Bands below 1 GHz. IEEE Trans. Antennas Propag. 2014, 62, 2756–2766. [Google Scholar] [CrossRef]
  14. Li, H.; Chen, Y.; Jakobus, U. Synthesis, Control, and Excitation of Characteristic Modes for Platform-Integrated Antenna Designs: A Design Philosophy. IEEE Antennas Propag. Mag. 2022, 64, 41–48. [Google Scholar] [CrossRef]
  15. Chen, Y.; Wang, C.F. HF Band Shipboard Antenna Design Using Characteristic Modes. IEEE Trans. Antennas Propag. 2015, 63, 1004–1013. [Google Scholar] [CrossRef]
  16. Shih, T.Y.; Behdad, N. Bandwidth Enhancement of Platform-Mounted HF Antennas Using the Characteristic Mode Theory. IEEE Trans. Antennas Propag. 2016, 64, 2648–2659. [Google Scholar] [CrossRef]
  17. Dicandia, F.A.; Genovesi, S.; Monorchio, A. Efficient Excitation of Characteristic Modes for Radiation Pattern Control Using a Novel Balanced Inductive Coupling Element. IEEE Trans. Antennas Propag. 2018, 66, 1102–1113. [Google Scholar] [CrossRef]
  18. Wang, C.H.; Chen, Y.K.; Yang, S.W. Application of Characteristic Mode Theory in HF Band Aircraft-Integrated Multiantenna System Designs. IEEE Trans. Antennas Propag. 2019, 67, 513–521. [Google Scholar] [CrossRef]
  19. Newman, E. Small Antenna Location Synthesis Using Characteristic Modes. IEEE Trans. Antennas Propag. 1979, 27, 530–531. [Google Scholar] [CrossRef]
  20. Martens, R.; Safin, E.; Manteuffel, D. Inductive and Capacitive Excitation of the Characteristic Modes of Small Terminals. In Proceedings of the Loughborough Antennas and Propagation Conference (LAPC) 2011, Loughborough, UK, 14–15 November 2011; pp. 1–4. [Google Scholar]
  21. Park, S.; Jung, K. Novel Compact UWB Planar Monopole Antenna Using a Ribbon-shaped Slot. IEEE Access 2022, 10, 61951–61959. [Google Scholar] [CrossRef]
  22. Wang, S.; Kong, F.; Li, K.; Du, L. A Planar Triple-Band Monopole Antenna Loaded With an Arc-Shaped Defected Ground Plane for WLAN/WiMAX Applications. Int. J. Microw. Wirel. Technol. 2021, 13, 381–389. [Google Scholar] [CrossRef]
  23. Ahn, S.; Choo, H. A systematic design method of on-glass antennas using mesh-grid structures. IEEE Trans. Veh. Technol. 2010, 59, 3286–3293. [Google Scholar] [CrossRef]
  24. Ahn, S.; Cho, Y.; Choo, H. Diversity on-glass antennas for maximized channel capacity for FM radio reception in vehicles. IEEE Trans. Antennas Propag. 2011, 59, 699–702. [Google Scholar] [CrossRef]
  25. Liu, Y.; Ai, Z.; Liu, G.F.; Jia, Y.T. An integrated shark-fin antenna for MIMO-LTE, FM, and GPS applications. IEEE Antennas Wirel. Propag. Lett. 2019, 18, 1666–1670. [Google Scholar] [CrossRef]
  26. Citroni, R.; Livreri, P. A Novel Shape of Bowtie Antenna Arranged in a Linear Array for Energy Harvesting in MID-IR Band. In Proceedings of the 2023 12th International Conference on Renewable Energy Research and Applications (ICRERA), Oshawa, ON, Canada, 29 August–1 September 2023; pp. 248–253. [Google Scholar]
Figure 1. (a) Schematic of the three-dimensional simplified vehicle model. (b) Architecture of the coupling elements.
Figure 1. (a) Schematic of the three-dimensional simplified vehicle model. (b) Architecture of the coupling elements.
Electronics 15 00103 g001
Figure 2. (a) MS values of modes 1–5 versus frequency. (b) MS values of modes 6–10 versus frequency.
Figure 2. (a) MS values of modes 1–5 versus frequency. (b) MS values of modes 6–10 versus frequency.
Electronics 15 00103 g002
Figure 3. Simulated electric current distributions and normalized radiation patterns of the first ten CMs at 100 MHz.
Figure 3. Simulated electric current distributions and normalized radiation patterns of the first ten CMs at 100 MHz.
Electronics 15 00103 g003
Figure 4. (a) Coupling element. (b) |S11| of the proposed antenna with different w (unit mm). (c) |S11| of the proposed antenna with different l (unit mm). (d) |S11| of the proposed antenna with various pos values. (e) Simulated and measured reflection coefficients of the 1:10 scaled vehicle-mounted antenna. (f) Normalized modal weighting coefficients at 0.1 GHz.
Figure 4. (a) Coupling element. (b) |S11| of the proposed antenna with different w (unit mm). (c) |S11| of the proposed antenna with different l (unit mm). (d) |S11| of the proposed antenna with various pos values. (e) Simulated and measured reflection coefficients of the 1:10 scaled vehicle-mounted antenna. (f) Normalized modal weighting coefficients at 0.1 GHz.
Electronics 15 00103 g004
Figure 5. (a) Optimized geometries of different coupling elements (L-shaped, T-shaped, and F-shaped) at the same feeding position. (b) Simulated reflection coefficients (|S11|) of the proposed antenna using different coupling geometries.
Figure 5. (a) Optimized geometries of different coupling elements (L-shaped, T-shaped, and F-shaped) at the same feeding position. (b) Simulated reflection coefficients (|S11|) of the proposed antenna using different coupling geometries.
Electronics 15 00103 g005
Figure 6. Comparison between the simplified metallic vehicle model and the enhanced model with dielectric windows and interior structures. (a) Enhanced vehicle model configuration. (b) Simulated reflection coefficients. (c) Simulated radiation patterns at 0.95 GHz.
Figure 6. Comparison between the simplified metallic vehicle model and the enhanced model with dielectric windows and interior structures. (a) Enhanced vehicle model configuration. (b) Simulated reflection coefficients. (c) Simulated radiation patterns at 0.95 GHz.
Electronics 15 00103 g006
Figure 7. Measurement setup. Photographs of the fabricated 1:10 scaled vehicle model and the T-shaped coupling element, together with the experimental configuration of the far-field measurement system.
Figure 7. Measurement setup. Photographs of the fabricated 1:10 scaled vehicle model and the T-shaped coupling element, together with the experimental configuration of the far-field measurement system.
Electronics 15 00103 g007
Figure 8. Simulated (at 87 MHz, 95 MHz, and 108 MHz) and measured (at 870 MHz, 950 MHz, and 1080 MHz) normalized 2-D radiation patterns of the proposed vehicle-mounted antenna in the xoy, xoz, and yoz planes.
Figure 8. Simulated (at 87 MHz, 95 MHz, and 108 MHz) and measured (at 870 MHz, 950 MHz, and 1080 MHz) normalized 2-D radiation patterns of the proposed vehicle-mounted antenna in the xoy, xoz, and yoz planes.
Electronics 15 00103 g008
Figure 9. (a) Simulated and measured realized gain. (b) Simulated and measured total radiation efficiency.
Figure 9. (a) Simulated and measured realized gain. (b) Simulated and measured total radiation efficiency.
Electronics 15 00103 g009
Figure 10. (a) Schematic of the SUV model and the feeding structure. (b) Simulated |S11|. (c) Far-field radiation pattern at 1 GHz.
Figure 10. (a) Schematic of the SUV model and the feeding structure. (b) Simulated |S11|. (c) Far-field radiation pattern at 1 GHz.
Electronics 15 00103 g010
Table 1. Design parameters of the vehicle-mounted antenna.
Table 1. Design parameters of the vehicle-mounted antenna.
ParametersValues (m)ParametersValues (m)
d10.8w10.26
d21.5w22.7
d31.136w32.2
d42.4w43.5
d50.3h1.9
d61l6
w3r10.3
Table 2. Comparison with other VHF antennas.
Table 2. Comparison with other VHF antennas.
Ref.TypeAdditional Matching NetworkReflection CoefficientBandwidthSizePeak Gain
[2]Platform-integratedYes−10 dB56.8–64.1 MHz (12.1%)0.06λ × 0.06λ × 0.06λ4.1 dBi
[4]Platform-integratedYes−8.3 dB75.1–150.5 MHz (66.8%)1.3λ × 0.2λ × 0.1λ5.5 dBi
[23]Whip antennaNo−3 dB80–120 MHz (20%)0.24λ × 0.13λ3.5 dBi
[24]Monopole antennaNo−3 dB73.5–130 MHz (55.5%)0.4λ × 0.17λ−7.58 dBi
[25]Shark-Fin AntennaNo−10 dB98.5–101 MHz (2.5%)0.016λ × 0.014λ−25 dBi
This workPlatform-integratedNo−10 dB87–108 MHz (21.5%)0.2λ × 0.08λ × 0.01λ7.4 dBi
Note: Different reflection coefficient thresholds used in different works affect bandwidth comparison.
Disclaimer/Publisher’s Note: The statements, opinions and data contained in all publications are solely those of the individual author(s) and contributor(s) and not of MDPI and/or the editor(s). MDPI and/or the editor(s) disclaim responsibility for any injury to people or property resulting from any ideas, methods, instructions or products referred to in the content.

Share and Cite

MDPI and ACS Style

Zhao, Y.; Li, Q.; Liu, X.; Wang, P.; Liao, D.; Jing, L.; Cheng, Y. A Window-Embedded Broadband Vehicle-Mounted Antenna for FM Broadcast Application Based on the Characteristic Mode Theory. Electronics 2026, 15, 103. https://doi.org/10.3390/electronics15010103

AMA Style

Zhao Y, Li Q, Liu X, Wang P, Liao D, Jing L, Cheng Y. A Window-Embedded Broadband Vehicle-Mounted Antenna for FM Broadcast Application Based on the Characteristic Mode Theory. Electronics. 2026; 15(1):103. https://doi.org/10.3390/electronics15010103

Chicago/Turabian Style

Zhao, Yi, Qiqiang Li, Xianglong Liu, Pengyi Wang, Dashuang Liao, Liqiao Jing, and Yongjian Cheng. 2026. "A Window-Embedded Broadband Vehicle-Mounted Antenna for FM Broadcast Application Based on the Characteristic Mode Theory" Electronics 15, no. 1: 103. https://doi.org/10.3390/electronics15010103

APA Style

Zhao, Y., Li, Q., Liu, X., Wang, P., Liao, D., Jing, L., & Cheng, Y. (2026). A Window-Embedded Broadband Vehicle-Mounted Antenna for FM Broadcast Application Based on the Characteristic Mode Theory. Electronics, 15(1), 103. https://doi.org/10.3390/electronics15010103

Note that from the first issue of 2016, this journal uses article numbers instead of page numbers. See further details here.

Article Metrics

Back to TopTop