Design of an E-Band Multiplexer Based on Turnstile Junction
Abstract
1. Introduction
2. Design Principles
2.1. Design of the Turnstile Junction
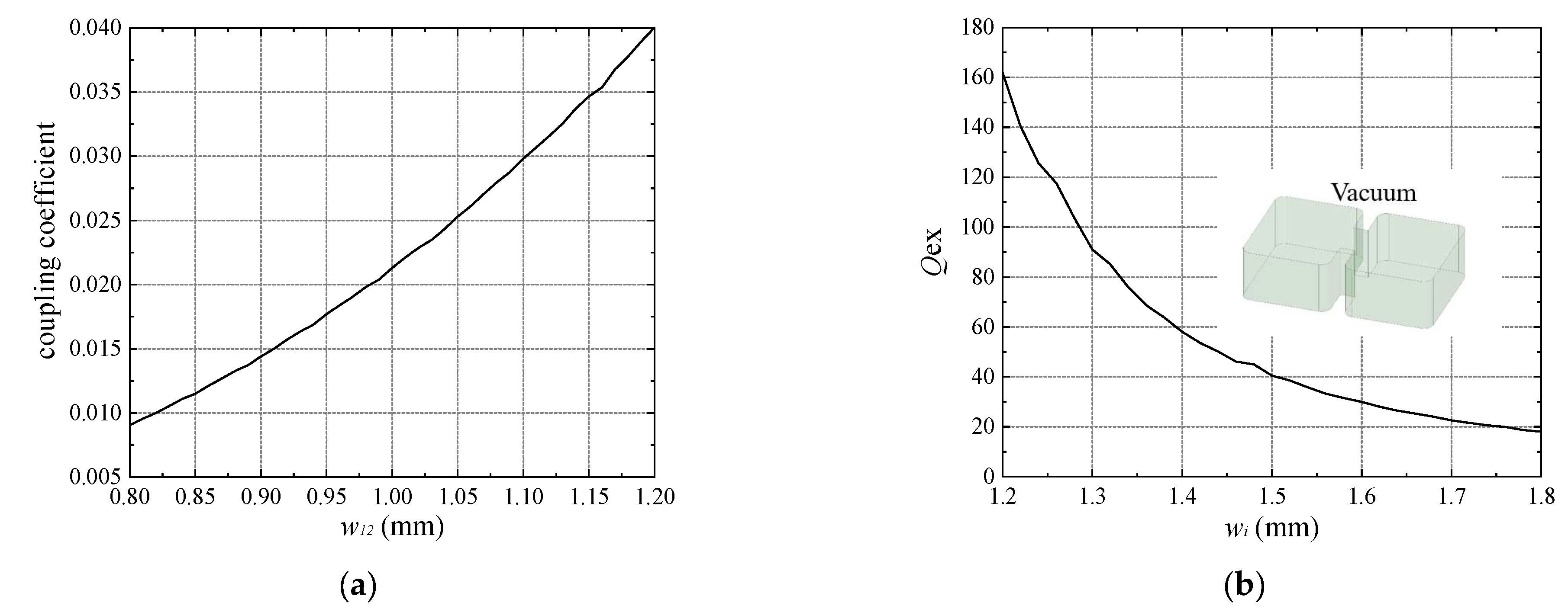
2.2. Design of the Bandpass Filter
2.3. Design of the Turnstile Multiplexer
- (1)
- Optimization of the stub lengths between the turnstile junction and each bandpass filter, as well as the dimensions of the metallic post within the junction. This step is particularly critical for enhancing the common-port return loss (CPRL) performance.
- (2)
- Fine-tuning the parameters of each bandpass filter individually to adjust the passband frequencies and further improve the filtering characteristics.
- (3)
- Iteratively refining the optimization process by increasing the number of design variables or integrating multiple objectives into the optimization framework until the desired response is achieved.
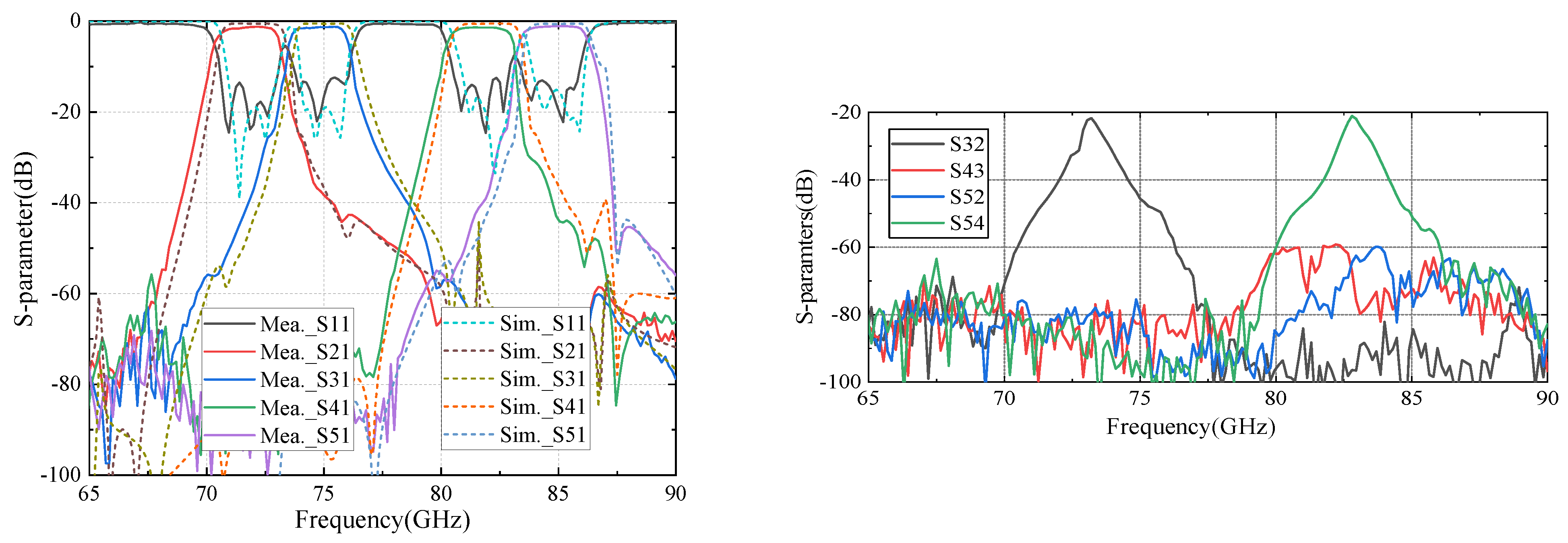
3. Fabrication and Measurement
4. Conclusions
Author Contributions
Funding
Data Availability Statement
Conflicts of Interest
References
- Pi, Z.; Khan, F. An introduction to millimeter-wave mobile broadband systems. IEEE Commun. Mag. 2011, 49, 101–107. [Google Scholar] [CrossRef]
- Wang, P.; Li, Y.; Song, L.; Vucetic, B. Multi-gigabit millimeter wave wireless communications for 5G: From fixed access to cellular networks. IEEE Commun. Mag. 2015, 53, 168–178. [Google Scholar] [CrossRef]
- Jiang, H.; Wang, C.; Xiu, T.; Wang, D.; Hu, S.; Zhan, X.; Yu, J.; Chen, X.; Yao, Y. High speed wireless communication system at W-band. In Proceedings of the International Conference on Microwave and Millimeter Wave Technology (ICMMT), Guangzhou, China, 19–22 May 2019; pp. 1–3. [Google Scholar]
- Schneider, T.; Wiatrek, A.; Preussler, S.; Grigat, M.; Braun, R.-P. Link Budget Analysis for Terahertz Fixed Wireless Links. IEEE Trans. Terahertz Sci. Technol. 2012, 2, 250–256. [Google Scholar] [CrossRef]
- Jang, K.J.; Oh, J.H.; Yoon, Y.; Kim, J.; Hwang, G. Atmospheric Attenuation Model Using Gaussian Process in Sub-THz Terrestrial Wireless Communications. IEEE Antennas Wirel. Propag. Lett. 2024, 23, 568–572. [Google Scholar] [CrossRef]
- Manoliu, L.; Henneberger, R.; Tessmann, A.; Seidel, J.; Eppard, M.; Kallfass, I. Impairments of Atmospheric Attenuation on a Wideband E-Band Outdoor Communication Link. In Proceedings of the 2021 51st European Microwave Conference (EuMC), London, UK, 4–6 April 2022. [Google Scholar]
- Luini, L.; Roveda, G.; Zaffaroni, M.; Costa, M.; Riva, C.G. The Impact of Rain on Short E -Band Radio Links for 5G Mobile Systems: Experimental Results and Prediction Models. IEEE Trans. Antennas Propag. 2020, 68, 3124–3134. [Google Scholar] [CrossRef]
- Harati, P.; Schoch, B.; Tessmann, A.; Schwantuschke, D.; Henneberger, R.; Czekala, H.; Zwick, T.; Kallfass, I. Is E-Band Satellite Communication Viable?: Advances in Modern Solid-State Technology Open Up the Next Frequency Band for SatCom. IEEE Microw. Maga. 2017, 18, 64–76. [Google Scholar] [CrossRef]
- Zheng, T.; Wei, B.; Cao, B.; Guo, X.; Zhang, X.; Jiang, L.; Xu, Z.; Heng, Y. Compact Superconducting Diplexer Design With Conductor-Backed Coplanar Waveguide Structures. IEEE Trans. Appl. Supercond. 2015, 25, 1501304. [Google Scholar] [CrossRef]
- Hong, S.; Chang, K. Stub-tuned microstrip bandpass filters for millimeter-wave diplexer design. IEEE Microw. Wirel. Compon. Lett. 2005, 15, 582–584. [Google Scholar] [CrossRef]
- Gómez-García, R.; Yang, L.; Munoz-Ferreras, J.-M. Balanced Quasi-Elliptic-Type Combline Diplexer With Multiextracted-Pole Junction/Output Sections. IEEE Microw. Wirel. Compon. Lett. 2020, 30, 569–572. [Google Scholar] [CrossRef]
- Zhou, K.; Wu, K. Substrate Integrated Waveguide Multiband Bandpass Filters and Multiplexers: Current Status and Future Outlook. IEEE J. Microw. 2023, 3, 466–483. [Google Scholar] [CrossRef]
- Uemichi, Y.; Nukaga, O.; Han, X.; Amakawa, S.; Guan, N. Highly Configurable Cylindrical-Resonator-Based Bandpass Filter Built of Silica-Based Post-Wall Waveguide and Its Application to Compact E-Band Hybrid-Coupled Diplexer. In Proceedings of the 2019 IEEE MTT-S International Microwave Symposium (IMS), Boston, MA, USA, 2–7 June 2019. [Google Scholar]
- Su, Z.L.; Xu, B.W.; Zheng, S.Y.; Liu, H.W.; Long, Y.L. High-Isolation and Wide-Stopband SIW Diplexer Using Mixed Electric and Magnetic Coupling. IEEE Trans. Circuits Syst. II Express Briefs 2020, 67, 32–36. [Google Scholar] [CrossRef]
- Hao, Z.-C.; Huo, X.-P.; Ding, W.-Q.; Hong, W. Efficient Design of Compact Contiguous-Channel SIW Multiplexers Using the Space-Mapping Method. IEEE Trans. Microw. Theory Tech. 2015, 63, 3651–3662. [Google Scholar] [CrossRef]
- Ma, D.; Zhou, K.; Xie, H.; Huang, T.; Wu, W. Compact or Wide-Stopband SIW Diplexers with High Intrinsic Isolations Based on Orthogonal Dual Modes. IEEE Trans. Circuits Syst. II Express Briefs 2023, 70, 71–75. [Google Scholar] [CrossRef]
- Lin, Y.; You, Y.; Shen, S.; Huang, J.; Lu, Y. A K-/Ka-Band Diplexer-Integrated Simplified Rotary Joint Using Gap Waveguide Technology. IEEE Microw. Wirel. Technol. Lett. 2023, 33, 1139–1142. [Google Scholar] [CrossRef]
- Rezaee, M.; Zaman, A.U.; Kildal, P.-S. V-band groove gap waveguide diplexer. In Proceedings of the 2015 9th European Conference on Antennas and Propagation (EuCAP), Lisbon, Portugal, 13–17 April 2015. [Google Scholar]
- Huang, R.; Wu, Y.; Ran, J.; Wu, L.; Meng, F.; Wang, W. Low Insertion Loss and High Isolation Gap Waveguide Diplexer for Ka-Band Satellite Communication Links. In Proceedings of the 2024 International Conference on Microwave and Millimeter Wave Technology (ICMMT), Bejing, China, 16–19 May 2024. [Google Scholar]
- Kojima, T.; Gonzalez, A.; Asayama, S.; Uzawa, Y. Design and Development of a Hybrid-Coupled Waveguide Multiplexer for a Multiband Receiver. IEEE Trans. Terahertz Sci. Technol. 2017, 7, 10–19. [Google Scholar] [CrossRef]
- Gonzalez, A.; Kojima, T.; Kaneko, K.; Asayama, S. 275–500 GHz Waveguide Diplexer to Combine Local Oscillators for Different Frequency Bands. IEEE Trans. Terahertz Sci. Technol. 2017, 7, 669–676. [Google Scholar] [CrossRef]
- Montejo-Garai, J.R.; Ruiz-Cruz, J.A.; Rebollar, J.M. Full-wave design of H-plane contiguous manifold output multiplexers using the fictitious reactive load concept. IEEE Trans. Microw. Theory Tech. 2005, 53, 2628–2632. [Google Scholar] [CrossRef]
- Cameron, R.I.; Yu, M. Design of manifold-coupled multiplexers. IEEE Microw. Mag. 2007, 8, 46–59. [Google Scholar] [CrossRef]
- Carceller, C.; Soto, P.; Boria, V.; Guglielmi, M.; Gil, J. Design of Compact Wideband Manifold-Coupled Multiplexers. IEEE Trans. Microw. Theory Tech. 2015, 63, 3398–3407. [Google Scholar] [CrossRef]
- Feng, Y.; Zhang, B.; Liu, Y.; Niu, Z.; Dai, B.; Fan, Y.; Chen, X. A 200–225-GHz Manifold-Coupled Multiplexer Utilizing Metal Waveguides. IEEE Trans. Microw. Theory Tech. 2021, 69, 5327–5333. [Google Scholar] [CrossRef]
- Holloway, J.W.; Dogiamis, G.C.; Shin, S.; Han, R. 220-to-330-GHz Manifold Triplexer with Wide Stopband Utilizing Ridged Substrate Integrated Waveguides. IEEE Trans. Microw. Theory Tech. 2020, 68, 3428–3438. [Google Scholar] [CrossRef]
- Feng, Y.; Zhang, B.; Liu, Y.; Niu, Z.; Fan, Y.; Chen, X. A D-Band Manifold Triplexer With High Isolation Utilizing Novel Waveguide Dual-Mode Filters. IEEE Trans. Terahertz Sci. Technol. 2022, 12, 678–681. [Google Scholar] [CrossRef]
- Kildal, P.-S.; Alfonso, E.; Valero-Nogueira, A.; Rajo-Iglesias, E. Local Metamaterial-Based Waveguides in Gaps Between Parallel Metal Plates. IEEE Antennas Wirel. Propag. Lett. 2009, 8, 84–87. [Google Scholar] [CrossRef]
- Pozar, D.M. Microwave Engineering; J. WILEY: Hoboken, NJ, USA, 2006. [Google Scholar]














| BW | mS1/m4L | m12/m34 | m23 | Qex | |
|---|---|---|---|---|---|
| BPF1 | 2.78% | 0.0288 | 0.0253 | 0.0194 | 33.59 |
| BPF2 | 2.67% | 0.0276 | 0.0243 | 0.0187 | 34.99 |
| BPF3 | 2.44% | 0.0252 | 0.0222 | 0.017 | 38.26 |
| BPF4 | 2.35% | 0.0244 | 0.0214 | 0.0165 | 39.66 |
| BPF1 | BPF 2 | BPF 3 | BPF 4 | |
|---|---|---|---|---|
| Passband (GHz) | 71–73 | 74–76 | 81–83 | 84–86 |
| a | 3.1 | 3.1 | 3.1 | 3.1 |
| b | 1.55 | 1.55 | 1.55 | 1.55 |
| t | 0.4 | 0.4 | 0.4 | 0.4 |
| r | 0.25 | 0.25 | 0.25 | 0.25 |
| wi | 1.64 | 1.57 | 1.44 | 1.41 |
| l1 | 2.263 | 2.116 | 1.854 | 1.748 |
| l2 | 2.532 | 2.365 | 2.064 | 1.953 |
| w12 | 1.117 | 1.055 | 0.951 | 0.926 |
| w23 | 1.042 | 0.982 | 0.888 | 0.862 |
| Parameters | CH1 | CH2 | CH3 | CH4 | Parameters | Value |
|---|---|---|---|---|---|---|
| Passband (GHz) | 71–73 | 74–76 | 81–83 | 84–86 | ||
| li | 2.23 | 2.272 | 1.044 | 0.65 | T | 0.4 |
| wi | 1.64 | 1.6 | 1.46 | 1.42 | R | 0.25 |
| l1 | 2.263 | 2.095 | 1.843 | 1.744 | wt | 0.66 |
| l2 | 2.532 | 2.37 | 2.062 | 1.954 | lt | 1.623 |
| w12 | 1.117 | 1.068 | 0.966 | 0.93 | ht | 0.7 |
| w23 | 1.042 | 0.976 | 0.899 | 0.857 | Θ | 43.25 |
| Reference | Operational Band (GHz) | IL (dB) | CPRL (dB) | MUX Type | Technology | No. of Channel |
|---|---|---|---|---|---|---|
| [13] | 71–86 | 2 | 18 | Hybrid-coupled | SIW | 2 |
| [14] | 18–22 | 2.1 | 15 | T-junction | SIW | 4 |
| [17] | 18–32 | 0.9 | 15 | Simplified rotary joint | CNC | 2 |
| [18] * | 58–64 | 1 | 10 | T-junction | CNC | 2 |
| [25] | 200–225 | 1.7 | 15 | Manifold | CNC | 4 |
| This work | 71–86 | 1.7 | 12 | Turnstile junction | CNC | 4 |
Disclaimer/Publisher’s Note: The statements, opinions and data contained in all publications are solely those of the individual author(s) and contributor(s) and not of MDPI and/or the editor(s). MDPI and/or the editor(s) disclaim responsibility for any injury to people or property resulting from any ideas, methods, instructions or products referred to in the content. |
© 2025 by the authors. Licensee MDPI, Basel, Switzerland. This article is an open access article distributed under the terms and conditions of the Creative Commons Attribution (CC BY) license (https://creativecommons.org/licenses/by/4.0/).
Share and Cite
Li, S.; Yao, Y.; Cheng, X.; Yu, J. Design of an E-Band Multiplexer Based on Turnstile Junction. Electronics 2025, 14, 1072. https://doi.org/10.3390/electronics14061072
Li S, Yao Y, Cheng X, Yu J. Design of an E-Band Multiplexer Based on Turnstile Junction. Electronics. 2025; 14(6):1072. https://doi.org/10.3390/electronics14061072
Chicago/Turabian StyleLi, Shaohang, Yuan Yao, Xiaohe Cheng, and Junsheng Yu. 2025. "Design of an E-Band Multiplexer Based on Turnstile Junction" Electronics 14, no. 6: 1072. https://doi.org/10.3390/electronics14061072
APA StyleLi, S., Yao, Y., Cheng, X., & Yu, J. (2025). Design of an E-Band Multiplexer Based on Turnstile Junction. Electronics, 14(6), 1072. https://doi.org/10.3390/electronics14061072
