Transient Stability Enhancement Strategy for Grid-Following Inverter Based on Improved Phase-Locked Loop and Energy Dissipation
Abstract
1. Introduction
- (1)
- An improved PLL is proposed to eliminate the coupling between the equivalent damping coefficient and the power angle, and then the positive equivalent damping coefficient is always guaranteed. As a result, the problem of indefinite damping in traditional PLL is overcome.
- (2)
- Based on the principle of utilizing positive damping to dissipate energy in an improved PLL, a switching control strategy of the damping feedback coefficient is proposed to ensure the transient stability of the system under large disturbances.
- (3)
- The damping coefficient is an offline design that does not need to use grid parameter information or system operation parameter data.
2. Modeling of Inverter Grid-Connected System
2.1. Modeling of the Traditional PLL-Synchronized Inverter
2.2. Modeling of the Improved PLL-Synchronized Inverter
3. Stability Regions of PLL-Synchronized Inverters
3.1. Construction of Energy Function
3.2. Comparison of Stability Region Between PLL-Synchronized Inverter and IPLL-Synchronized Inverter
4. Transient Stability Enhancement Control of IPLL-Synchronized Inverter
4.1. Parameter Design of IPLL
4.2. Practical Processing of IPLL Parameter Design
5. Experimental Verification
5.1. Setup of HIL Platform
5.2. Accurate Phase-Locked Capability of IPLL-Synchronized Inverter
5.3. Comparison of Transient Stability Between PLL-Synchronized Inverter and IPLL-Synchronized Inverter
5.4. Verification of the Proposed Damping Switching Control Strategy Under Different Conditions
- (1)
- Under Different Voltage Sags: Cases 1~3 are used to verify its effectiveness under different voltage sags. The corresponding phase trajectories are shown in Figure 17. When the grid voltage sags to 0.6 and 0.4 pu, the fault severity is mild, and the system maintains a stable balance point, such that the IPLL remains stable during and after fault clearance. When the grid voltage sags to 0.2 pu, the stable equilibrium point is absent, causing the power angle to increase continuously. Substantial decelerating energy is supplied during the fault due to the IPLL providing sufficient positive damping, slowing down the rate of power angle increase. The power angle does not cross the first-cycle unstable equilibrium point after fault clearance, thus recovering to the original stable equilibrium point δs,1 = 0.3377 rad.
- (2)
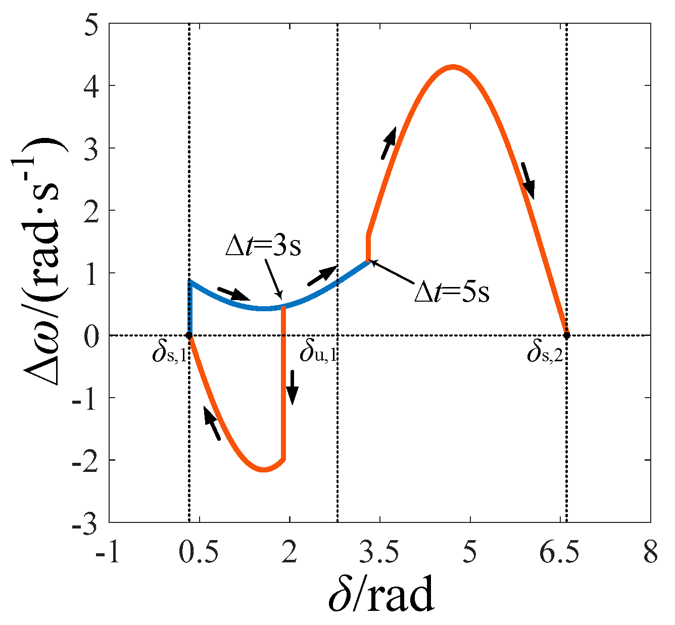
- Longer Fault Duration: Cases 1 and 4 are used to verify the effectiveness of the proposed method under longer fault durations, and the corresponding phase trajectories are shown in Figure 19. The power angle recovers to the original stable equilibrium point δs,2 = 0.3377 rad after fault clearance when the fault duration is 3 s. When the fault duration is 5 s, the power angle crosses the first-cycle unstable equilibrium point. Due to the sufficient decelerating energy provided by the constant positive damping, the power angle can stabilize at the stable equilibrium point δs,2 = 6.6209 rad within the second cycle after fault clearance.
- (3)
- Extremely weak grid: Case 5 is used to verify the effectiveness of the proposed method under extremely weak-grid conditions (SCR = 1.5). The corresponding phase trajectories are shown in Figure 21. When Lg = 8.2 mH (SCR = 1.5), the power angle of the system stabilizes at δs,1 = 0.7244 rad. Similarly to previous cases, the power angle of IPLL increases during the fault, crosses the unstable equilibrium point, and enters the second cycle. Due to the effect of positive damping, kinetic energy is not accumulated, and the frequency remains within a certain range. After fault clearance, the power angle stabilizes at the stable equilibrium point of the second cycle, δs,2 = 7.0076 rad.
6. Conclusions
- (1)
- By removing the proportional branch of the traditional PLL and adding a positive damping feedback branch, the IPLL fundamentally eliminates the nonlinear coupling between the equivalent damping coefficient and the power angle. Theoretical analysis and HIL experiments confirm that the equivalent damping of the IPLL-synchronized system remains positive across all operating conditions, resolving the inherent indefinite damping issue of traditional PLLs. Compared to traditional PLL, the IPLL expands the system’s stable region, significantly enhancing transient stability margins.
- (2)
- The proposed damping coefficient switching strategy leverages positive damping to dissipate transient energy. During faults, switching to a pre-calculated high damping coefficient rapidly suppresses power angle oscillations. Post-fault, reverting to the nominal damping coefficient ensures steady-state performance. Experiments under various conditions (voltage sags of 0.2–0.6 pu, fault durations of 3–5 s, and SCR = 1.5) demonstrate that the strategy prevents kinetic energy accumulation, enabling the system to stabilize at equilibrium points.
- (3)
- The damping coefficient is designed offline using rated parameters and SCRs, avoiding reliance on real-time grid parameter estimation. This feature makes the strategy adaptable to diverse grid conditions, including weak and ultra-weak grids. The experimental results validate its effectiveness in fault recovery under extreme scenarios, providing a practical and reliable solution for transient stability control in high-penetration new energy grid-connected systems.
Author Contributions
Funding
Data Availability Statement
Acknowledgments
Conflicts of Interest
References
- Tian, X.; Zhang, Y.; Xu, Y.; Zheng, L.; Zhang, L.; Yuan, Z. Transient Synchronous Stability Modeling and Comparative Analysis of Grid-Following and Grid-Forming New Energy Power Sources. Electronics 2024, 13, 3308. [Google Scholar] [CrossRef]
- Pei, J.; Yao, J.; Liu, R.; Zeng, D.; Sun, P.; Zhang, H.; Liu, Y. Characteristic Analysis and Risk Assessment for Voltage–Frequency Coupled Transient Instability of Large-Scale Grid-Connected Renewable Energy Plants During LVRT. IEEE Trans. Ind. Electron. 2020, 67, 5515–5530. [Google Scholar] [CrossRef]
- He, X.; Geng, H.; Xi, J.; Guerrero, J.M. Resynchronization Analysis and Improvement of Grid-Connected VSCs During Grid Faults. IEEE J. Emerg. Sel. Top. Power Electron. 2021, 9, 438–450. [Google Scholar] [CrossRef]
- Fu, X.; Sun, J.; Huang, M.; Tian, Z.; Yan, H.; Iu, H.H.-C.; Hu, P.; Zha, X. Large-Signal Stability of Grid-Forming and Grid-Following Controls in Voltage Source Converter: A Comparative Study. IEEE Trans. Power Electron. 2021, 36, 7832–7840. [Google Scholar] [CrossRef]
- Mansour, M.Z.; Me, S.P.; Hadavi, S.; Badrzadeh, B.; Karimi, A.; Bahrani, B. Nonlinear Transient Stability Analysis of Phased-Locked Loop-Based Grid-Following Voltage-Source Converters Using Lyapunov’s Direct Method. IEEE J. Emerg. Sel. Top. Power Electron. 2022, 10, 2699–2709. [Google Scholar] [CrossRef]
- Zhao, J.; Huang, M.; Zha, X. Nonlinear Analysis of PLL Damping Characteristics in Weak-Grid-Tied Inverters. IEEE Trans. Circuits Syst. II Express Briefs 2020, 67, 2752–2756. [Google Scholar] [CrossRef]
- Zhao, J.; Huang, M.; Yan, H.; Tse, C.K.; Zha, X. Nonlinear and Transient Stability Analysis of Phase-Locked Loops in Grid-Connected Converters. IEEE Trans. Power Electron. 2021, 36, 1018–1029. [Google Scholar] [CrossRef]
- Zhang, Y.; Zhang, C.; Cai, X. Large-Signal Grid-Synchronization Stability Analysis of PLL-Based VSCs Using Lyapunov’s Direct Method. IEEE Trans. Power Syst. 2022, 37, 788–791. [Google Scholar] [CrossRef]
- Taul, M.G.; Wang, X.; Davari, P.; Blaabjerg, F. An Overview of Assessment Methods for Synchronization Stability of Grid-Connected Converters Under Severe Symmetrical Grid Faults. IEEE Trans. Power Electron. 2019, 34, 9655–9670. [Google Scholar] [CrossRef]
- Tang, Y.; Tian, Z.; Zha, X.; Li, X.; Huang, M.; Sun, J. An Improved Equal Area Criterion for Transient Stability Analysis of Converter-Based Microgrid Considering Nonlinear Damping Effect. IEEE Trans. Power Electron. 2022, 37, 11272–11284. [Google Scholar] [CrossRef]
- Li, X.; Tian, Z.; Zha, X.; Sun, P.; Hu, Y.; Huang, M. An Iterative Equal Area Criterion for Transient Stability Analysis of Grid-Tied Converter Systems with Varying Damping. IEEE Trans. Power Syst. 2024, 39, 1771–1784. [Google Scholar] [CrossRef]
- Ma, S.; Geng, H.; Liu, L.; Yang, G.; Pal, B.C. Grid-Synchronization Stability Improvement of Large Scale Wind Farm During Severe Grid Fault. IEEE Trans. Power Syst. 2018, 33, 216–226. [Google Scholar] [CrossRef]
- Wang, X.; Wu, H.; Wang, X.; Dall, L.; Kwon, J.B. Transient Stability Analysis of Grid-Following VSCs Considering Voltage-Dependent Current Injection During Fault Ride-Through. IEEE Trans. Energy Convers. 2022, 37, 2749–2760. [Google Scholar] [CrossRef]
- Xu, D.; Zhan, M. Transient Stability Analysis and Enhancement of PLL-VSC Considering State-Dependent Damping. IEEE Access 2023, 11, 137485–137494. [Google Scholar] [CrossRef]
- Liu, Y.; Yao, J.; Pei, J.; Zhao, Y.; Sun, P.; Zeng, D.; Chen, S. Transient Stability Enhancement Control Strategy Based on Improved PLL for Grid Connected VSC during Severe Grid Fault. IEEE Trans. Energy Convers. 2021, 36, 218–229. [Google Scholar] [CrossRef]
- Wu, C.; Xiong, X.; Taul, M.G.; Blaabjerg, F. Enhancing Transient Stability of PLL-Synchronized Converters by Introducing Voltage Normalization Control. IEEE J. Emerg. Sel. Top. Circuits Syst. 2021, 11, 69–78. [Google Scholar] [CrossRef]
- Zhang, C.; Chen, J.; Si, W. Analysis of Phase-Locked Loop Filter Delay on Transient Stability of Grid-Following Converters. Electronics 2024, 13, 986. [Google Scholar] [CrossRef]
- Chen, Z.; Guan, L. Transient Synchronous Stability Analysis and Control Improvement for Power Systems with Grid-Following Converters. Electronics 2025, 14, 3263. [Google Scholar] [CrossRef]
- Taul, M.G.; Wang, X.; Davari, P.; Blaabjerg, F. Robust Fault Ride Through of Converter-Based Generation During Severe Faults With Phase Jumps. IEEE Trans. Ind. Appl. 2020, 56, 570–583. [Google Scholar] [CrossRef]
- Wu, H.; Wang, X. Design-Oriented Transient Stability Analysis of PLL-Synchronized Voltage-Source Converters. IEEE Trans. Power Electron. 2020, 35, 3573–3589. [Google Scholar] [CrossRef]
- Tang, Y.; Li, Y. Common Lyapunov Function Based Stability Analysis of VSC With Limits of Phase Locked Loop. IEEE Trans. Power Syst. 2023, 38, 1759–1762. [Google Scholar] [CrossRef]
- Fu, X.; Huang, M.; Tse, C.K.; Yang, J.; Ling, Y.; Zha, X. Synchronization Stability of Grid-Following VSC Considering Interactions of Inner Current Loop and Parallel-Connected Converters. IEEE Trans. Smart Grid 2023, 14, 4230–4241. [Google Scholar] [CrossRef]
- Nagam, S.S.; Pal, B.C.; Wu, H.; Blaabjerg, F. Synchronization Stability Analysis of SRF-PLL and DSOGI-PLL Using Port-Hamiltonian Framework. IEEE Trans. Control Syst. Technol. 2025, 33, 952–962. [Google Scholar] [CrossRef]
- Li, Y.; Lu, Y.; Tang, Y.; Du, Z. Conditions of Existence and Uniqueness of Limit Cycle for Grid-Connected VSC with PLL. IEEE Trans. Power Syst. 2024, 39, 706–719. [Google Scholar] [CrossRef]























| Methods | Global Transient Stability | Estimation of Grid Impedance | Indefinite Damping | Tracking Performance Under the Varying Grid Frequency | Advantages | Limitations |
|---|---|---|---|---|---|---|
| Adaptive power/current control [12,13,18] | No | Need | Yes | Good | These methods are easily applied without changing PLL’s structure | Information about grid impedance is needed and cannot eliminate the indefinite damping |
| Optimization of PLL’s PI parameters [14,15,16,17] | No | None | Yes | Good | Cannot eliminate the indefinite damping | |
| Freezing the PLL [18,19] | Yes | None | None | Static error | Eliminate the indefinite damping and keep global transient stability | Cannot eliminate the static error under the varying grid frequency |
| Proposed method | Yes | None | None | Good | Eliminate the indefinite damping and keep global transient stability | None |
| Parameter | Value |
|---|---|
| DC voltage Vdc | 700 V |
| Grid voltage Vg | 311 V |
| Rated frequency fn | 50 Hz |
| Rated current In | 80 A |
| Active current reference Idref | 80 A |
| Reactive current reference Iqref | 0 |
| Filter inductance Lf | 3.5 mH |
| Line inductance Lg | 4.1 mH |
| Inertia coefficient J of IPLL | 0.05 |
| Damping feedback coefficient Dn of IPLL | 2 |
| Proportional coefficient Kp of PLL | 0.1305 |
| Integral coefficient Ki of PLL | 19.144 |
| Proportional coefficient Kpc of current loop PI control | 27.49 |
| Integral coefficient Kic of current loop PI control | 785.40 |
| No | Cases | Vg/V | Lg/mH | ∆t/s | Restore Stability | Theoretical Stable Equilibrium Point | Experimental Stable Equilibrium Point |
|---|---|---|---|---|---|---|---|
| 1 | Basic case | 62 (0.2 pu) | 4.1 (SCR = 3) | 3 | Yes | δs,1 = 0.3377 rad | δs,1 = 0.338 rad |
| 2 | Different voltage sags | 124 (0.4 pu) | 4.1 (SCR = 3) | 3 | Yes | δs,1 = 0.3377 rad | δs,1 = 0.338 rad |
| 3 | 187 (0.6 pu) | 4.1 (SCR = 3) | 3 | Yes | δs,1 = 0.3377 rad | δs,1 = 0.338 rad | |
| 4 | Longer fault duration | 62 (0.2 pu) | 4.1 (SCR = 3) | 5 | Yes | δs,2 = 6.6209 rad | δs,2 = 6.621 rad |
| 5 | Extremely weak grid | 62 (0.2 pu) | 8.2 (SCR = 1.5) | 2 | Yes | δs,2 = 7.0076 rad | δs,2 = 7.008 rad |
Disclaimer/Publisher’s Note: The statements, opinions and data contained in all publications are solely those of the individual author(s) and contributor(s) and not of MDPI and/or the editor(s). MDPI and/or the editor(s) disclaim responsibility for any injury to people or property resulting from any ideas, methods, instructions or products referred to in the content. |
© 2025 by the authors. Licensee MDPI, Basel, Switzerland. This article is an open access article distributed under the terms and conditions of the Creative Commons Attribution (CC BY) license (https://creativecommons.org/licenses/by/4.0/).
Share and Cite
Jiang, K.; Liu, D. Transient Stability Enhancement Strategy for Grid-Following Inverter Based on Improved Phase-Locked Loop and Energy Dissipation. Electronics 2025, 14, 3520. https://doi.org/10.3390/electronics14173520
Jiang K, Liu D. Transient Stability Enhancement Strategy for Grid-Following Inverter Based on Improved Phase-Locked Loop and Energy Dissipation. Electronics. 2025; 14(17):3520. https://doi.org/10.3390/electronics14173520
Chicago/Turabian StyleJiang, Kezheng, and Dan Liu. 2025. "Transient Stability Enhancement Strategy for Grid-Following Inverter Based on Improved Phase-Locked Loop and Energy Dissipation" Electronics 14, no. 17: 3520. https://doi.org/10.3390/electronics14173520
APA StyleJiang, K., & Liu, D. (2025). Transient Stability Enhancement Strategy for Grid-Following Inverter Based on Improved Phase-Locked Loop and Energy Dissipation. Electronics, 14(17), 3520. https://doi.org/10.3390/electronics14173520
