Disturbance Observer-Based Saturation-Tolerant Prescribed Performance Control for Nonlinear Multi-Agent Systems
Abstract
1. Introduction
- Existing PPC schemes for MASs typically require initial tracking errors to lie within predefined constraint boundaries and struggle to maintain system stability under input saturation conditions [22]. This paper proposes a saturation-tolerant prescribed performance control (STPPC) framework, which introduces a shift function to transform initial tracking errors to a fixed origin, eliminating stringent requirements on initial conditions. Furthermore, an auxiliary system is developed to create a feedback link between input saturation and output constraints, effectively compensating for saturation effects in real time. This approach significantly enhances the flexibility of performance boundaries.
- This paper further proposes a composite disturbance observer aimed at achieving precise anti-disturbance control by analyzing multi-source disturbance characteristics and system performance. Tailored for strict-feedback nonlinear MASs, this observer addresses control challenges under mismatched disturbances. Compared to methods that only consider STPPC [18], the proposed observer leverages RBF NNs to accurately estimate composite disturbances, significantly reducing their adverse impact on system performance.
- Traditional DSC methods, primarily designed for centralized systems [23]. This paper proposes a distributed DSC framework that effectively mitigates the complexity issue in backstepping control by introducing first-order filters and distributed coordinate transformations. Compared to methods in [5], this framework relies solely on local neighbor information, significantly reducing communication and computational burdens. Furthermore, by integrating PPC and a composite disturbance observer, the proposed approach guarantees swift convergence of tracking errors to a specified small residual set, even under challenging conditions with input saturation and multiple disturbance sources, thereby achieving efficient and robust distributed consensus tracking.
2. Preparatory Segment
2.1. Communication Topology
2.2. System Description
2.3. Saturation-Tolerant Prescribed Performance Control Objective
3. Main Results
3.1. Composite Disturbance Observer Design
3.2. Controller Design and Stability Analysis
3.3. Stability Analysis
- The system achieves semi-global stability, and all signals are ultimately bounded;
- The distributed error can converge to the preassigned region before the given time .
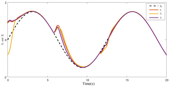
4. Simulations
5. Conclusions
Author Contributions
Funding
Data Availability Statement
Conflicts of Interest
References
- Xiao, W. B.; Cao, L.; Li, H. Y.; Lu, R. Q. Observer-based adaptive consensus control for nonlinear multi-agent systems with time-delay. Sci. China Inf. Sci. 2020, 63, 132202:1–132202:17. [Google Scholar] [CrossRef]
- Zhang, H.; Ren, H.; Mu, Y.; Han, J. Optimal Consensus Control Design for Multiagent Systems with Multiple Time Delay Using Adaptive Dynamic Programming. IEEE Trans. Cybern. 2022, 52, 12832–12842. [Google Scholar] [CrossRef] [PubMed]
- Liang, H.; Chen, L.; Pan, Y.; Lam, H. -K. Fuzzy-Based Robust Precision Consensus Tracking for Uncertain Networked Systems With Cooperative–Antagonistic Interactions. IEEE Trans. Fuzzy Syst. 2023, 31, 1362–1376. [Google Scholar] [CrossRef]
- Olfati-Saber, R.; Murray, R.M. Consensus problems in networks of agents with switching topology and time-delays. IEEE Trans. Autom. Control 2004, 49, 1520–1533. [Google Scholar] [CrossRef]
- Zhang, H.; Zhang, J.; Cai, Y.; Sun, S.; Sun, J. Leader-following consensus for a class of nonlinear multiagent systems under event-triggered and edge-event triggered mechanisms. IEEE Trans. Cybern. 2022, 52, 7643–7654. [Google Scholar] [CrossRef]
- Li, Z.; Liu, X.; Ren, W.; Xie, L. Distributed consensus of linear multi-agent systems with adaptive dynamic protocols. Automatica 2013, 49, 1986–1995. [Google Scholar] [CrossRef]
- Yao, D.; Li, H.; Shi, Y. Adaptive Event-Triggered Sliding-Mode Control for Consensus Tracking of Nonlinear Multiagent Systems With Unknown Perturbations. IEEE Trans. Cybern. 2023, 53, 2672–2684. [Google Scholar] [CrossRef]
- Lian, Y.; Xia, J.; Park, J.H.; Sun, W.; Shen, H. Disturbance Observer-Based Adaptive Neural Network Output Feedback Control for Uncertain Nonlinear Systems. IEEE Trans. Neural. Netw. Learn. Syst. 2023, 34, 7260–7270. [Google Scholar] [CrossRef]
- Li, H.J.; Zhang, J.J.; Jing, L.; Wang, Y. Neural-network-based adaptive quasi-consensus of nonlinear multi-agent systems with communication constrains and switching topologies. Nonlinear Anal. Hybrid Syst. 2020, 35, 100833. [Google Scholar] [CrossRef]
- Chen, J.; Li, J.; Yuan, X. Global Fuzzy Adaptive Consensus Control of Unknown Nonlinear Multiagent Systems. IEEE Trans. Fuzzy Syst. 2020, 28, 510–522. [Google Scholar] [CrossRef]
- Deng, X.; Zhang, X. Adaptive Fuzzy Tracking Control of Uncertain Nonlinear Multi-Agent Systems with Unknown Control Directions and a Dead-Zone Fault. Mathematics 2022, 10, 2655. [Google Scholar] [CrossRef]
- Bechlioulis, C.P.; Rovithakis, G.A. Robust adaptive control of feedback linearizable MIMO nonlinear systems with prescribed performance. IEEE Trans. Autom. Control 2008, 53, 2090–2099. [Google Scholar] [CrossRef]
- Cui, G.; Xu, S.; Ma, Q.; Li, Y.; Zhang, Z. Prescribed performance distributed consensus control for nonlinear multi-agent systems with unknown dead-zone input. Int. J. Control 2017, 91, 1053–1065. [Google Scholar] [CrossRef]
- Chen, G.; Zhao, Y. Distributed adaptive output-feedback tracking control of non-affine multi-agent systems with prescribed performance. J. Frankl. Inst. 2018, 355, 6087–6110. [Google Scholar] [CrossRef]
- Tarbouriech, S.; Garcia, G.; Gomes da Silva, J.M., Jr.; Queinnec, I. Stability and Stabilization of Linear Systems with Saturating Actuators; Springer: Berlin/Heidelberg, Germany, 2011. [Google Scholar] [CrossRef]
- Ma, C.; Dong, D. Non-singular practical fixed-time prescribed performance adaptive fuzzy consensus control for multi-agent systems based on an observer. IEEE/CAA J. Autom. Sin. 2025, 12, 1209–1220. [Google Scholar] [CrossRef]
- Yue, X.; Zhang, H.; Sun, J.; Wan, L. Adaptive event-triggered saturation-tolerant control for multiagent systems based on finite-time fuzzy learning. IEEE Trans. Fuzzy Syst. 2024, 32, 5638–5647. [Google Scholar] [CrossRef]
- Chen, W. H. Nonlinear Disturbance Observer Based Control for Nonlinear Systems with Harmonic Disturbances. IFAC Proc. Vol. 2001, 34, 329–334. [Google Scholar] [CrossRef]
- Ai, X. L.; Yu, J. Q.; Jia, Z. Y.; Yang, D.; Xu, X.; Shen, Y. C. Disturbance observer–based consensus tracking for nonlinear multiagent systems with switching topologies. Int. J. Robust Nonlinear Control 2018, 28, 2144–2160. [Google Scholar] [CrossRef]
- Liu, W.; Zhao, J.; Zhao, H.; Ma, Q.; Xu, S.; Park, J. H. Composite-Disturbances-Observer-Based Finite-Time Fuzzy Adaptive Dynamic Surface Control of Nonlinear Systems With Preassigned Performance. IEEE Trans. Fuzzy Syst. 2023, 31, 3710–3720. [Google Scholar] [CrossRef]
- Yan, X. H.; Liu, Y. G. Global practical tracking by output-feedback for nonlinear systems with unknown growth rate. Sci. China Inf. Sci. 2011, 54, 2079–2090. [Google Scholar] [CrossRef]
- Sui, S.; Xu, H.; Tong, S.; Chen, C.L.P. Prescribed performance fuzzy adaptive output feedback control for nonlinear MIMO systems in a finite time. IEEE Trans. Fuzzy Syst. 2022, 30, 3633–3644. [Google Scholar] [CrossRef]
- Yang, Z.; Zhao, W.; Kou, J.; Ma, Y.; Sun, Z.; Wang, Y.; Shi, Y. Observer-Based Fuzzy Adaptive Dynamic Surface Force Control for Pneumatic Polishing System End-Effector with Uncertain Contact Environment Model. IEEE Trans. Autom. Sci. Eng. 2025, 22, 17898–17913. [Google Scholar] [CrossRef]
- Xing, L. T.; Wen, C. Y.; Su, H. Y.; Liu, Z. T.; Cai, J. P. Robust control for a class of uncertain nonlinear systems with input quantization. Int. J. Robust Nonlinear Control 2016, 26, 1585–1596. [Google Scholar] [CrossRef]
- Zinage, V.; Chandra, R.; Bakolas, E. Disturbance Observer-Based Robust Integral Control Barrier Functions for Nonlinear Systems with High Relative Degree. In Proceedings of the 2024 American Control Conference (ACC), Toronto, ON, Canada, 10–12 July 2024; pp. 2470–2475. [Google Scholar] [CrossRef]
- Zemouche, A.; Boutayeb, M. On LMI conditions to design observers for Lipschitz nonlinear systems. Automatica 2013, 49, 585–591. [Google Scholar] [CrossRef]
- Li, Z.; Wen, G.; Duan, Z.; Ren, W. Designing Fully Distributed Consensus Protocols for Linear Multi-Agent Systems With Directed Graphs. IEEE Trans. Autom. Control 2015, 60, 1152–1157. [Google Scholar] [CrossRef]
- Yang, C.; Jiang, Y.; Na, J.; Li, Z.; Cheng, L.; Su, C. -Y. Finite-Time Convergence Adaptive Fuzzy Control for Dual-Arm Robot With Unknown Kinematics and Dynamics. IEEE Trans. Fuzzy Syst. 2019, 27, 574–588. [Google Scholar] [CrossRef]
- Zhang, Y. H.; Liang, H. J.; Ma, H.; Zhou, Q.; Yu, Z. D. Distributed adaptive consensus tracking control for nonlinear multi-agent systems with state constraints. Appl. Math. Comput. 2018, 326, 16–32. [Google Scholar] [CrossRef]
- Kang, S.; Liu, P.X.; Wang, H. Adaptive fuzzy finite-time prescribed performance control for uncertain nonlinear systems with actuator saturation and unmodeled dynamics. Asian J. Control 2024, 26, 1881–1891. [Google Scholar] [CrossRef]








Disclaimer/Publisher’s Note: The statements, opinions and data contained in all publications are solely those of the individual author(s) and contributor(s) and not of MDPI and/or the editor(s). MDPI and/or the editor(s) disclaim responsibility for any injury to people or property resulting from any ideas, methods, instructions or products referred to in the content. |
© 2025 by the authors. Licensee MDPI, Basel, Switzerland. This article is an open access article distributed under the terms and conditions of the Creative Commons Attribution (CC BY) license (https://creativecommons.org/licenses/by/4.0/).
Share and Cite
Chang, S.; Bai, J.; Wen, H.; Wei, S. Disturbance Observer-Based Saturation-Tolerant Prescribed Performance Control for Nonlinear Multi-Agent Systems. Electronics 2025, 14, 3310. https://doi.org/10.3390/electronics14163310
Chang S, Bai J, Wen H, Wei S. Disturbance Observer-Based Saturation-Tolerant Prescribed Performance Control for Nonlinear Multi-Agent Systems. Electronics. 2025; 14(16):3310. https://doi.org/10.3390/electronics14163310
Chicago/Turabian StyleChang, Shijie, Jiayu Bai, Haoxiang Wen, and Shuokai Wei. 2025. "Disturbance Observer-Based Saturation-Tolerant Prescribed Performance Control for Nonlinear Multi-Agent Systems" Electronics 14, no. 16: 3310. https://doi.org/10.3390/electronics14163310
APA StyleChang, S., Bai, J., Wen, H., & Wei, S. (2025). Disturbance Observer-Based Saturation-Tolerant Prescribed Performance Control for Nonlinear Multi-Agent Systems. Electronics, 14(16), 3310. https://doi.org/10.3390/electronics14163310

