Next Article in Journal
Enhancing Review-Based Recommendations Through Local and Global Feature Fusion
Next Article in Special Issue
A Framework for Joint Beam Scheduling and Resource Allocation in Beam-Hopping-Based Satellite Systems
Previous Article in Journal
Emulation-Based Fuzzing of Encrypted Firmware
Previous Article in Special Issue
A Machine Learning Evaluation of the Impact of Bit-Depth for the Detection and Classification of Wireless Interferences in Global Navigation Satellite Systems
 
 
Font Type:
Arial Georgia Verdana
Font Size:
Aa Aa Aa
Line Spacing:
Column Width:
Background:
Article

A Doppler Frequency-Offset Estimation Method Based on the Beam Pointing of LEO Satellites

1
School of Physics, University of Electronic Science and Technology of China, Chengdu 611731, China
2
Scientific and Technical on Communication Network Laboratory, The 54th Research Institute of CETC, Shijiazhuang 050081, China
*
Author to whom correspondence should be addressed.
Electronics 2025, 14(13), 2539; https://doi.org/10.3390/electronics14132539
Submission received: 25 May 2025 / Revised: 16 June 2025 / Accepted: 17 June 2025 / Published: 23 June 2025

Abstract

With the advancement of 5G-Advanced Non-Terrestrial Network (5G-A NTN) mobile communication technologies, direct satellite connectivity for mobile devices has been increasingly adopted. In the highly dynamic environment of low-Earth-orbit (LEO) satellite communications, the synchronization of satellite–ground signals remains a critical challenge. In this study, a Doppler frequency-shift estimation method applicable to high-mobility LEO scenarios is proposed, without reliance on the Global Navigation Satellite System (GNSS). Rapid access to satellite systems by mobile devices is enabled without the need for additional time–frequency synchronization infrastructure. The generation mechanism of satellite–ground Doppler frequency shifts is analyzed, and a relationship between satellite velocity and beam-pointing direction is established. Based on this relationship, a Doppler frequency-shift estimation method, referred to as DFS-BP (Doppler frequency-shift estimation using beam pointing), is developed. The effects of Earth’s latitude and satellite orbital inclination are systematically investigated and optimized. Through simulation, the estimation performance under varying minimum satellite elevation angles and terminal geographic locations is evaluated. The algorithm may provide a novel solution for Doppler frequency-shift compensation in Non-Terrestrial Networks (NTNs).

1. Introduction

The relative motion between communication entities gives rise to the Doppler frequency effect, which induces carrier frequency shifts in communication systems. Due to their high orbital velocities, low-Earth-orbit (LEO) satellites experience significantly more pronounced Doppler effects, resulting in larger frequency deviations under fixed carrier frequency conditions [1,2]. Traditional satellite communication systems have predominantly adopted or are based on Digital Video Broadcasting (DVB) standards. DVB systems offer strong anti-interference capabilities and excellent resilience to Doppler-induced distortions. With the ongoing evolution of mobile communication technologies, terrestrial communication systems are increasingly being extended into space, driving the development of Non-Terrestrial Networks (NTNs). NTN systems typically employ orthogonal frequency-division multiplexing (OFDM), which offers robust multipath resistance through its subcarrier structure. However, the Doppler resilience of OFDM remains limited compared to that of DVB systems [3].
In satellite–ground communication, two primary approaches are generally used to address the carrier frequency offset (CFO) between the transmitter and the receiver.
The first involves enhancing signal processing capabilities to improve adaptability to CFO [4], such as developing demodulation algorithms that can tolerate larger offsets or designing signals in specialized formats.
The second involves applying frequency-offset compensation prior to signal processing, such as implementing CFO pre-compensation at the receiver side [5].
Both approaches face inherent limitations. Demodulation algorithms capable of handling large frequency offsets tend to increase signal processing complexity and implementation difficulty. Signals with special formats often lack flexibility and general applicability. Meanwhile, applying CFO compensation at the receiver adds to the system’s overall complexity. As a result, these conventional techniques struggle to meet the performance requirements of high-speed LEO satellite communication and the broader application demands of NTN systems.
To address Doppler-induced frequency offsets in dynamic and diverse scenarios, the fundamental principles [6,7] of Doppler generation are revisited. The Doppler correction techniques used in navigation systems [8,9] are analyzed, and the method by which ground stations calculate Doppler offsets [10,11,12] for LEO satellites is studied. Based on these insights and extensive simulations, a novel approach for frequency-offset estimation and compensation is proposed. This method leverages beam-pointing information to infer Doppler frequency offsets. A satellite-centered coordinate system is established using satellite orbital altitudes, beam elevation angles, and azimuth angles as input parameters. The positions of the communicating terminals are mapped into this coordinate system. The frequency offset is then estimated based on variations in beam-pointing directions as the satellite moves according to the laws governing Doppler shifts.
This paper focuses on the modeling, optimization, and simulation analysis of Doppler frequency-offset estimations for LEO satellite signals based on beam-pointing perception. The remainder of this paper is organized as follows. In the Section 2, the Doppler frequency-offset estimation model based on the satellite coordinate system is established. The Section 3 optimizes the model according to the parameters affecting the model. In the Section 4, the model is simulated and analyzed and compared with the simulation results of the STK 11.6.0 software. The Section 5 is the discussion of the model, and the Section 6 is the conclusion of this article.

2. Model Establishment

In satellite communications, the orbital motion of a satellite is typically described within the Earth-centered inertial (ECI) coordinate system, where the satellite’s position and velocity vectors are characterized by six orbital elements. To analyze the Doppler frequency effect and the resulting Doppler frequency offset, models of the relative position and relative velocity between the satellite and the ground terminal are commonly established. However, such models require real-time knowledge of the position, velocity, and other parameters of both communicating entities, and the associated computations are often complex and resource-intensive.

2.1. Satellite–Ground Doppler Frequency Offset

The Doppler frequency offset between satellite S and ground terminal M arises from their relative velocity. It can be expressed as follows:
F d = F c V S M c
As shown in Figure 1, V S M is the relative speed between satellite S and ground terminal M, c is the speed of light, F c is the working frequency of the communication system, and F d   is the Doppler frequency offset. Figure 1 is the satellite–ground Doppler frequency-offset model.
In Figure 1, V S is the motion speed of the satellite, and α is the angle between the direction of the satellite’s motion and the connection between the two sides of satellite–ground communication; we obtain the following:
V S M = V S cos α
Thus, Equation (1) yields F d as follows:
F d = F c V S cos α c
In this model, F c and c are constants, and the satellite speed V S can be calculated according to the orbital altitude of the satellite.
However, the angle α is related to both the magnitude and direction of the satellite speed V S , and it changes in real time, so the calculation process of cos α is complex. Although Equation (3) is difficult to calculate, it provides an excellent approach for studying the Doppler frequency shift. We can use the projection of the satellite velocity onto the line connecting the satellite and the ground terminal (SM) to calculate the satellite-to-ground relative velocity, thus completing the estimation of the satellite-to-ground Doppler frequency shift. Based on the satellite velocity-based satellite-to-ground Doppler frequency-shift model, this paper establishes a simple Doppler frequency-shift estimation model based on satellite beam pointing. The model uses the beam-pointing information of the satellite’s antenna to complete the velocity projection of the satellite’s velocity onto the satellite-to-ground direction, which can simply estimate the satellite-to-ground Doppler frequency shift.

2.2. Establishment of the Frequency-Offset Model

Equation (3) indicates that the Doppler frequency offset F d is dependent on the angle α. Within the satellite body’s coordinate system, α can be expressed in terms of the satellite’s azimuth angle θ, which can be expressed in terms of the satellite’s elevation angle φ.
The satellite body’s coordinate system is defined as follows:
  • Origin (S): Located at the satellite’s center of mass.
  • Z-axis: Directed from the satellite’s center of mass toward the center of the Earth.
  • X-axis: Lies in the orbital plane, perpendicular to the Z-axis, and points in the direction of the satellite’s velocity.
  • Y-axis: Determined according to the right-hand rule with respect to the X-axis and Z-axis.
The satellite body’s coordinate system and the Doppler frequency-offset model based on beam pointing (DFS-BP) are illustrated in Figure 2.
In this paper, the satellite antenna’s coordinate system is defined consistently with the satellite body’s coordinate system; therefore, no coordinate transformation between the two systems is required.
According to the characteristics of the satellite body’s coordinate system, we divide the satellite into three two-dimensional planes: plane XSY, plane XSZ, and plane YSZ. The satellite S, ground terminal M, and geocentric o form a plane SOM, and the satellite’s Z-axis is in the plane SOM. Therefore, if solving the radial velocity between satellite S and ground terminal M is required, this can be divided into two steps:
  • First, the satellite velocity V S is projected onto the plane SOM. According to the included angle θ between V S and the plane SOM, θ is the azimuth in the satellite antenna’s coordinate system. The following can be obtained:
    V θ = V S cos θ
    where V θ   is on the plane SOM.
  • Then, the velocity V θ is projected onto the straight line SM. According to the included angle φ between V θ and the straight line SM, φ is the elevation angle in the satellite antenna’s coordinate system. The following can be obtained:
    V φ = V θ cos φ
    where V φ   is the radial velocity of the satellite’s velocity V S along the straight line SM, and the following is obtained:
    V φ = V S cos θ cos φ
Since both V φ and V S M are the relative velocities between satellite S and ground terminal M, we obtain V S M = V θ .
Therefore, we substitute Equation (6) into Equation (1), and the Doppler frequency offset based on satellite beam pointing is as follows:
F d = F c c V S cos θ cos φ
where F c is the working frequency of the signal, c is the signal’s propagation speed, V S is the scalar value of V S , θ is the azimuth of the satellite antenna, and φ is the elevation angle of the satellite antenna.
In Equation (7), the motion speed V S of the satellite is as follows:
V S = G M r , r = R + h  
where G is the universal gravitation constant, M is the mass of the Earth, h is the orbit altitude of the satellite, r is the orbit radius of the satellite, and R is the radius of the Earth.
The Doppler frequency offset F d   of Equation (8) is obtained as follows:
F d = F c c G M r cos θ cos φ
In this model, F c , c , G, M, and r are constants, and θ and φ are the pointing angle parameters of the satellite antenna, which can be calculated through the pointing of the satellite antenna to the ground terminal. In the case of satellite–ground communication, the satellite antenna’s azimuth angle θ and elevation angle φ are the parameters that must be calculated by the satellite, so the angle θ and φ parameters can be directly used in the calculation of Doppler frequency offsets without recalculation.

3. Model Optimization

The Doppler frequency-offset model based on satellite beam pointing does not account for the effects of satellite orbital inclination, Earth’s rotation, and other factors related to the frequency-offset estimation. In this section, the model is optimized and refined accordingly.
In an Earth-centered inertial coordinate system (ECI), the angular velocity is constant. However, due to the rotation of the Earth, the angular velocity of the satellite in an Earth-centered fixed coordinate system (ECF) varies with latitude. As shown in Figure 3, β is the geocentric latitude value. V S   represents the tangential velocity of the satellite in the ECI coordinate system, and V E β represents the velocity at latitude β due to the rotation of the Earth. i represents the inclination of the satellite orbit, i represents the angle between V S   and V E β , V S   represents the tangential velocity of the satellite in the ECI coordinate system, and V E β represents the velocity at latitude β due to the rotation of the Earth. r is the orbital radius of the satellite. The latitude β plane is parallel to the equatorial plane, and r is the projection of r within the latitude β plane.
When the satellite orbital inclination is less than 90°, the direction of the Earth’s rotation speed V E β is the same as that of the satellite’s motion speed V S . The Earth’s rotation speed V E β will reduce the relative velocity between satellite S and ground terminal M. Therefore, when the satellite is located at latitude β, its velocity in the ECF coordinate system is as follows:
V β = V S V E β
Both sides of Equation (8) are squared, and we obtain the following:
V β 2 = V S V E β 2
Then, we obtain the following:
V β 2 = V S 2 + V E β 2 2 V S · V E β
Since the angle between vector V S and vector V E β is i , it follows that
V S · V E β = V S V S cos i
Then, Equation (12) yields the following:
V β 2 = V S 2 + V E β 2 V S V E β cos i
Since V β = V β , V E β = V E β , Equation (14) yields
V β 2 = V S 2 + V E β 2 2 V S V E β cos i
In the ECI coordinate system, ω S is the angular velocity of the satellite; then, V S is
V S = r ω S
Let r be the radius of the latitude β plane and ω E be the angular velocity of Earth’s rotation. Then, Earth’s rotational velocity at latitude β is
V E β = r ω E
Since r is the projection of r within the latitude β plane, then r is
r = r cos β
Thus, V E β is
V E β = r ω E cos β
Then, Equation (15) yields
V β 2 = r 2 ω S 2 + r 2 ω E 2 cos β 2 2 r 2 ω S ω E cos β cos i
According to the three-dimensional cosine theorem in space, we obtain
cos i = cos i cos β
Thus, V β 2 is
V β 2 = r 2 ω S 2 + r 2 ω E 2 cos β 2 2 r 2 ω S ω E cos i
As shown in Figure 3, N is the ascending node of satellite S. In the SON plane, according to the three-dimensional sine theorem in space, we obtain
sin β = sin i sin NOS
Since 0 ° N O S < 360 ° , then 1 sin N O S 1 . When the satellite orbit is a prograde orbit, sin β is
sin i sin β sin i
The value range of latitude β is i β i ; then, using Equation (22), we obtain
V β 2 = r 2 ω S 2 + r 2 ω E 2 2 r 2 ω S ω E cos i                               β = 0 °               r 2 ω S 2 + r 2 ω E 2 cos i 2 2 r 2 ω S ω E cos i           β = ± i               r 2 ω S 2 + r 2 ω E 2 cos β 2 2 r 2 ω S ω E cos i           β   is   others
Simplifying Equation (24) obtains
V β = r ω S 2 + ω E 2 2 ω S ω E cos i                                 β = 0 °           r ω S r   ω E cos i                                                                     β = ± i               r ω S 2 + ω E 2 cos β 2 2 ω S ω E cos i         β   is   others
Substituting Equation (26) into Equation (7) obtains
F d = F c c r ω S 2 + ω E 2 2 ω S ω E cos i cos θ cos φ                                 , β = 0 °           F c c r ω S ω E cos i cos θ cos φ                                                                   ,   β = ± i               F c c r ω S 2 + ω E 2 cos β 2 2 ω S ω E cos i   cos θ cos φ     , β   is   others
When the eccentricity of the satellite orbit is approximately zero, ω S is
ω S = G M r 3
where ω E is
ω E = 2 π T
T is the rotation period of the Earth, which is equal to the time of a stellar day. Then, Equation (27) is
F d = F c c r G M r 3 + 2 π T 2 4 π T G M r 3 cos i   cos θ cos φ                         , β = 0 °                     F c c r G M r 3 2 π T cos i cos θ cos φ                                                                   ,   β = ± i                           F c c r G M r 3 + 2 π T 2 cos β 2 4 π T G M r 3 cos i   cos θ cos φ   , β   is   others              
F c , c , G , M , r , i , and T are constants or approximate constants. When β = 0 ° or β = ± i , the Doppler frequency shift F d is only related to the azimuth angle θ and elevation angle φ of the satellite antenna’s beam; then, F d , β = 0 ° > F d , β = ± i . When 0 ° < β < i , the Doppler frequency shift F d is related not only to the azimuth angle θ and elevation angle φ of the satellite antenna beam but also to β .
When the satellite orbital radius is 6878 km and the orbital inclination is 60°,   V β = 0 ° = 7.3833 km/s, V β = 20 °   = 7.3799 km/s,   V β = 40 ° = 7.3746 km/s, and V β = 60 ° = 7.3653 km/s. For satellites with low orbital altitudes, when β is different, the change in V β ’s value is less than 0.25%. Therefore, to simplify the calculation, β in Equation (30) can be approximated as the satellite’s orbital inclination i , and thus, Equation (30) can be written as
F d = F c c r ( G M r 3 2 π T cos i ) cos θ cos φ

4. Simulation Analysis

To analyze the frequency-offset estimation accuracy of the DFS-BP algorithm, this paper uses STK’s SGP4 model and the DFS-BP algorithm to perform Doppler frequency-shift simulations for satellites in different scenarios, and it compares the frequency-offset estimation errors of the two methods.
This section mainly conducts simulation work in three aspects:
  • Case 1: The DFS-BP algorithm is used to simulate the Doppler frequency offset with a minimum elevation angle of 0° and a terminal geographic latitude of 0°. The simulation results are compared against those obtained from the SGP4 model in STK. Under the condition of the same orbital altitude and orbital inclination, the influence of different latitude values on the satellite’s beam-pointing frequency-offset estimation model is analyzed.
  • Case 2: The DFS-BP algorithm is used to simulate the Doppler frequency offset with a minimum elevation angle of 0° and varying terminal geographic latitudes. The simulation results are compared with those from the SGP4 model in STK. The accuracy of the Doppler frequency-offset estimation by the DFS-BP algorithm is then analyzed. To analyze the accuracy of the Doppler frequency-offset estimation of the DFS-BP algorithm, the Root Mean Square Errors (RMSEs) of the Doppler frequency-offset estimation errors under different orbital altitudes and orbital inclinations are compared. The ±95% confidence intervals (CIs) are also analyzed.
  • Case 3: The DFS-BP algorithm is employed to simulate the Doppler frequency offsets of various satellite minimum elevation angles. The simulation results are compared with those obtained from the SGP4 model in STK. The accuracy of the Doppler frequency-offset estimation by the DFS-BP algorithm is subsequently analyzed.

4.1. Simulation of Doppler Frequency Shift When the Minimum Elevation Angle Is 0° and the Geographical Location of the Terminal Is 0°

The Doppler frequency-shift simulation parameters for a minimum elevation angle of 0° are listed in Table 1.
The simulation process of Doppler frequency-offset estimations under this condition is as follows:
  • According to the simulation parameters, the STK tool is utilized to simulate the Doppler frequency-offset variation of the LEO satellite during visible time, with a minimum elevation angle of 0° and a terminal geographic latitude of 0°. The simulation outputs include the Doppler frequency-offset variation over the visible period, as well as the satellite’s azimuth and elevation angles.
  • Using the satellite beam-pointing method, the Doppler frequency-offset variation is calculated according to the azimuth and elevation angles of LEO satellites.
  • Compare the frequency-offset estimation error between the Doppler frequency-offset estimation based on STK simulations and the Doppler frequency-offset estimation based on the DFS-BP method.
  • When the satellite geocentric latitudes are set to 0°, 10°, 20°, 30°, 40°, and 50°, compare the frequency-offset estimation error between the Doppler frequency-offset estimation based on STK simulations and the Doppler frequency-offset estimation based on the DFS-BP method. The differences among the three sub-equations in Equation (30) are analyzed through the RMSE of the frequency-offset estimation errors.
When the minimum elevation angle of the satellite is 0° and the geographical latitude of the terminal is 0°, the Doppler frequency-offset estimation of the satellite beam-pointing method is shown in Figure 4. Figure 4 compares the simulation results of the satellite beam-pointing method with STK simulation results. Within the visible time of the satellite, the range of frequency-offset estimation error is [−150 Hz, +150 Hz].
When the minimum satellite elevation angle is 0° and the terminal geographic latitude is 0˚, the satellite’s geocentric latitude β is set to 0°, 10°, 20°, 30°, 40°, and 50°. The error values of the Doppler frequency-offset estimation by the DFS-BP method are shown in Figure 5a. The RMSEs of the Doppler frequency-offset estimation errors at different satellite geocentric latitudes β are shown in Figure 5b. When the satellite’s geocentric latitude β is set to different values, the RMSE of the Doppler frequency-offset estimation errors of the three sub-equations of the DFS-BP method are all less than 100 Hz, and the maximum difference in their RMSE values is 30 Hz.

4.2. Simulation of Doppler Frequency Shift When the Minimum Elevation Angle Is 0° and the Geographical Location of the Terminal Is Adjustable

The Doppler frequency-shift simulation parameters of different terminal geographic positions and satellite orbits are listed in Table 2.
The simulation process of Doppler frequency-shift estimations is as follows:
  • According to the simulation parameters, the STK tool is used to simulate the change value of the satellite–ground Doppler frequency offset under the condition that the minimum elevation angle is 0° and the geographic latitude of the terminal is set to 0°, 15°, 30°, and 45°. The simulation results of the Doppler frequency offset and azimuth and elevation angles of the satellite are outputted.
  • Using the satellite beam-pointing method, the Doppler frequency offset is calculated according to the azimuth and elevation angles of the satellite. Compare the errors with the Doppler frequency-shift variations simulated by STK, analyze the RMSE of the Doppler frequency shift, and verify the adaptability of the DFS-BP method to different terminal geographic latitudes.
  • According to the simulation parameters, the STK tool is used to simulate the change value of the satellite–ground Doppler frequency offsets under the condition that the minimum elevation angle is 0° and the satellite orbital altitude h is set to 480 km, 500 km, 600 km, 700 km, and 800 km. The simulation results of the Doppler frequency offset and azimuth and elevation angles of the satellite are outputted.
  • Using the satellite beam-pointing method, the Doppler frequency offset is calculated according to the azimuth and elevation angles of the satellite. Compare the errors with the Doppler frequency-shift variations simulated by STK, analyze the RMSE of the Doppler frequency shift, and verify the adaptability of the DFS-BP method to different satellite orbital altitudes.
  • According to the simulation parameters, the STK tool is used to simulate the change value of satellite–ground Doppler frequency offsets under the condition that the minimum elevation angle is 0° and the satellite orbital inclination i is set to 40°, 50°, 60°, 70°, 80°, and 90°. The simulation results of the Doppler frequency offset and azimuth and elevation angles of the satellite are output.
  • Using the satellite beam-pointing method, the Doppler frequency offset is calculated according to the azimuth and elevation angles of the satellite. Compare the errors with the Doppler frequency-shift variations simulated by STK, analyze the RMSE of the Doppler frequency shift, and verify the adaptability of the DFS-BP method to different satellite orbital inclinations.
  • Calculate the 95% CI of the Doppler frequency-offset estimation errors based on the RMSEs under different orbital altitudes and orbital inclinations. Due to the small sample size, the t-distribution model is selected for confidence interval analyses. The t-distribution model is C I = x ¯ ± t 0.025 , n 1 s n , where x ¯ is the average value of RMSE, t 0.025 , n 1 is the distribution values at a 95% confidence level, s is the sample’s standard deviation, and n is the sample size.
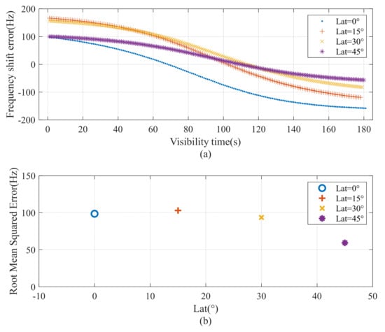
When the minimum elevation angle of the satellite is 0° and the geographical latitude of the terminal is set at 0°, 15°, 30°, and 45°, the Doppler frequency-offset estimation errors of the satellite beam-pointing method are shown in Figure 6. Figure 6a shows that the frequency-offset estimation error range of the two methods is between [−200 Hz, +200 Hz] in the whole visible period. Figure 6b shows that the RMSE of the frequency-offset estimation for ground terminals at different latitudes is less than 100 Hz. The geographical latitude of the terminal has little effect on the Doppler frequency-offset estimation error.
To analyze the adaptability of the DFS-BP algorithm to different satellite orbits, this paper designs simulations of the Doppler frequency-offset estimation and the RMSE of frequency-offset estimation errors for different orbital altitudes and orbital inclinations.
When the minimum satellite elevation angle is 0°, simulations of the Doppler frequency-offset estimation errors and the RMSE of the frequency-offset estimation errors are conducted for satellites with different orbital altitudes ranging from 480 km to 800 km. The simulation results are shown in Figure 7. The results indicate, based on the DFS-BP algorithm, that the satellite-to-ground frequency-offset estimation errors at different satellite orbital altitudes fall within the range of [−200 Hz, +200 Hz], and the RMSE of frequency-offset estimation errors is less than 120 Hz.
When the minimum satellite elevation angle is 0°, simulations of the Doppler frequency-offset estimation errors and the RMSE of the frequency-offset estimation errors are conducted for satellites with different orbital inclinations ranging from 40° to 90°. The simulation results are shown in Figure 8. The results indicate, based on the DFS-BP algorithm, that the satellite-to-ground frequency-offset estimation errors at different satellite orbital inclinations fall within the range of [−240 Hz, +240 Hz], and the RMSE of frequency-offset estimation errors fall within the range of [50 Hz, 150 Hz].
Based on the RMSE results of the Doppler frequency-offset estimation errors for different orbital altitudes and orbital inclinations, the 95% CI analysis of the satellite-to-ground Doppler frequency-offset estimation errors of the DFS-BP algorithm is conducted. The RMSE results of the Doppler frequency-offset estimation errors for different orbital altitudes are shown in Table 3. The RMSE results of the Doppler frequency-offset estimation errors for different orbital inclinations are shown in Table 4.
Due to the small sample size for calculating the 95% CI, this paper selects the t-distribution model for confidence interval calculations. The calculated 95% CI of the Doppler frequency-offset estimation errors falls within the range of [80 Hz, 112 Hz].

4.3. Simulation of Doppler Frequency Shift When the Minimum Elevation Angle Parameter Is Adjustable

The Doppler frequency-shift simulation parameters for variable minimum satellite elevation angles are listed in Table 5.
The simulation process of the Doppler frequency-offset estimation is as follows:
  • According to the simulation parameters, when the minimum elevation angles of the satellite are set at 0°, 10°, 20°, 30°, 40°, and 50°, we use the STK tool to simulate the Doppler frequency-offset changes invisible time. The changes in the Doppler frequency offset and the azimuth and elevation of the satellite are simulated.
  • Using the satellite beam-pointing method, the Doppler frequency-offset variation is calculated according to the azimuth and elevation angles of LEO satellites.
  • Compare the error between the Doppler frequency-offset change value of the satellite beam-pointing method and the Doppler frequency-offset change value of the STK simulation.
φ m a x represents the minimum elevation angle of the satellite. φ m a x   is set at 0°, 10°, 20°, 30°, 40°, and 50°. When the azimuth angle is less than 180°, the Doppler frequency-offset estimation error of the satellite beam-pointing method is shown in Figure 9. It can be seen from Figure 8 that the frequency-offset estimation error range of the two methods is between [−200 Hz, +2000 Hz] in the whole visible period. When the azimuth angle is less than 180°, the positive deviation error of the frequency-offset estimation increases with an increase in the minimum elevation angle of the satellite.
We conducted simulations of the RMSE of the frequency-offset estimation for values of 0°, 10°, 20°, 30°, 40°, and 50°. The simulation results are shown in Figure 9. The results indicate that the RMSE of the frequency-offset estimation gradually increases. When φ m a x   = 0°, the RMSE of the frequency-offset estimation does not exceed 100 Hz, and when φ m a x   = 50°, the RMSE is approximately 1900 Hz.
The minimum elevation angles of the satellite are represented, and φ m a x and φ m a x are set to values such as 0°, 10°, 20°, 30°, 40°, and 50°. When the azimuth angle exceeds 180°, the Doppler frequency-offset estimation error of the satellite beam-pointing method is shown in Figure 10. During the entire visible period, the frequency-offset estimation error ranges of the two methods are between [−2000 Hz, +200 Hz]. The simulation results indicate that as the minimum elevation angle value of the satellite increases, the frequency-offset estimation error of the satellite beam-pointing method also increases.
We conducted simulations on the RMSE of the frequency-offset estimation for values of 0°, 10°, 20°, 30°, 40°, and 50°. The simulation results are shown in Figure 10. The results indicate that as φ m a x   increases, the RMSE of the frequency-offset estimation gradually increases. When φ m a x   = 0°, the RMSE of the frequency-offset estimation does not exceed 100 Hz, and when φ m a x   = 50°, the RMSE is approximately 2000 Hz.
The simulation results of the DFS-BP algorithm are compared with those obtained from STK’s SGP4 model. The comparison shows that the terminal’s geographic latitude has little effect on the Doppler frequency-offset estimation error. When the satellite’s minimum elevation angle is 0°, the Doppler frequency-offset estimates from both methods are similar, with estimation errors ranging between −200 Hz and +200 Hz. The RMSE of the DFS-BP algorithm is less than 100 Hz. As the minimum elevation angle increases, the Doppler frequency-offset estimates from both methods also increase gradually, with estimation errors expanding to a range of approximately −2000 Hz to +2000 Hz. The RMSE of the DFS-BP algorithm is less than 2 kHz.
Analyzing the frequency-offset estimation errors as the minimum elevation angle increases reveals that the difference between the frequency-offset estimates at the start and end of the satellite-to-ground communication remains under 500 Hz. Future work can focus on reducing frequency-offset estimation errors through more in-depth research. Depending on the specific satellite communication scenarios, techniques such as satellite beam-pointing awareness and fixed error compensation could be applied to optimize the frequency-offset estimation in the satellite beam-pointing method, thereby enhancing estimation accuracy.
This section simulates the estimation error accuracy of the DFS-BP algorithm in terms of the satellite’s geocentric latitude, orbital altitude, orbital inclination, terminal position, etc., which uses statistical methods such as the RMSE and 95% CI to analyze the error range of the DFS-BP algorithm. This proposes follow-up improvement directions for the DFS-BP algorithm. However, this method does not consider the influence of clocks, equipment, and systems on the DFS-BP algorithm. This part of the influence will be discussed in Section 5.

5. Discussion

The accuracy of the DFS-BP algorithm proposed in this paper depends on the accuracy of the satellite antenna’s azimuth and elevation angles, which are closely related to factors such as antenna pointing accuracy, satellite attitude control accuracy, clock stability, and radio frequency (RF) tolerance.
(1)
Influence of Antenna Pointing Accuracy on the DFS-BP Algorithm
Traditional communication satellites typically have antenna pointing accuracies ranging from 0.1° to 0.5°. Military satellites and navigation satellites usually feature antenna pointing accuracies that are better than 0.01°. Low-Earth-orbit (LEO) satellites, due to the requirements of inter-satellite communication, often have antenna pointing accuracies that are superior to 0.01°.
Antenna pointing accuracy is primarily determined by two components: hardware errors and software algorithms. Hardware errors mainly arise from phase errors in phase shifters and radio frequency (RF) chain errors. Phase errors can be minimized by using digital phase shifters to increase the effective bits of the phase shifter and improve quantization accuracy. RF chain errors mainly stem from amplitude and phase errors between channels, which can be reduced by employing high-precision components and implementing amplitude predistortion adjustments. In terms of software, beam-pointing compensation algorithms can be used to reduce RF delays, avoid beam squint, and thus minimize antenna pointing errors.
(2)
Influence of Satellite Attitude Control Accuracy on the DFS-BP Algorithm
Traditional communication satellites have attitude control accuracies of less than 0.1°, while remote sensing satellites achieve attitude accuracies that are better than 0.05°. Low-Earth-orbit (LEO) satellites for satellite constellation applications feature attitude control accuracies that are superior to 0.01°. For instance, the Chang’e-5 probe achieved an attitude control accuracy of ≤0.1° during lunar sampling, and the “Jilin-1” satellite can reach an attitude control accuracy of 0.02°.
The factors influencing satellite attitude control accuracy mainly include star sensors, gyroscopes, etc. The measurement error of star sensors directly affects attitude control accuracy, with high-precision star sensors achieving an accuracy of 0.0003°. The bias stability of fiber optic gyroscopes is 0.01°/h, while that of laser gyroscopes can be better than 0.001°/h. The combination of high-precision star sensors and laser gyroscopes enables high-precision satellite attitude control.
A satellite’s attitude control accuracy and antenna pointing accuracy actually affect the antenna’s pointing information. Based on the requirement that both the antenna pointing accuracy and satellite’s attitude control accuracy are better than 0.5°, this paper adds random errors of 0.05° to 0.5° to the antenna’s azimuth and elevation angles for simulation, and the simulation results are shown in Figure 11. The simulation results indicate that as the random errors added to the antenna’s azimuth and elevation angles gradually increase, the Doppler frequency-shift estimation errors also increase progressively, with the estimation errors remaining within ±350 Hz. If the satellite’s altitude control errors and antenna pointing errors reach a certain threshold, the accuracy of the DFS-BP algorithm will be affected.
(3)
Influence of Clock Stability on the DFS-BP Algorithm
Clock stability is reflected in a signal’s frequency stability. The stability of atomic clocks is superior to 10−11, while that of ordinary oven-controlled crystal oscillators (OCXOs) is better than 10−8. Most satellites use atomic clocks as clock sources. For a signal with an operating frequency of 2 GHz, the signal’s frequency stability caused by either atomic clocks or ordinary OCXOs is less than 20 Hz. This value is much smaller than the satellite-to-ground Doppler frequency shift; thus, the influence of clock stability on the DFS-BP algorithm is negligible.
(4)
Influence of Radio Frequency (RF) Tolerance on the DFS-BP Algorithm
Radio frequency (RF) tolerance generally refers to the permissible deviation range of characteristics such as frequency, power, phase, and amplitude–frequency when RF equipment is in operation. It is an important indicator for measuring the tolerance capability of RF components or systems relative to parameter fluctuations and their operational stability. Among RF characteristics like frequency, power, phase, and amplitude–frequency, frequency accuracy may impact the DFS-BP algorithm. Frequency accuracy is typically related to the precision grade of crystal oscillators or clocks, the operating temperature range, and manufacturing processes. For example, the frequency accuracy of atomic clocks is usually better than 10−10, while that of ordinary oven-controlled crystal oscillators is typically better than 10−7. For a 2 GHz signal, the maximum operating frequency error caused by the frequency’s accuracy is 200 Hz, which translates to an estimation error of less than 1 Hz in the DFS-BP algorithm.

6. Conclusions

Building on the development of 5G-A NTN technology and the communication requirements of mobile terminals directly connected to satellites, we investigated a novel Doppler frequency-offset estimation method that operates without GNSS guidance and is tailored for the high dynamics of low-Earth-orbit (LEO) satellite communications. We analyzed the principles underlying satellite-to-ground Doppler frequency offsets, derived the relationship between satellite beam pointing and satellite velocities, and proposed a Doppler frequency-offset estimation method based on satellite beam pointing. Furthermore, we conducted a detailed study on how parameters such as the Earth’s latitude and the satellite’s orbital inclination affect this method. Under varying conditions of minimum satellite elevation angles and terminal geographical locations, we compared the Doppler frequency-offset estimation results using the satellite beam-pointing method to those from STK’s SGP4 model. The simulation results show that when a satellite’s minimum elevation angle is 0°, the frequency-offset estimation errors of both methods lie within ±200 Hz, and the RMSE of the frequency-offset estimation does not exceed 100 Hz. When the minimum elevation angle is greater than 0°, the error range and the RMSE of the frequency-offset estimation increase to approximately ±2000 Hz.

Author Contributions

Conceptualization, Y.S., J.X. and C.S.; Methodology, Y.S. and J.X.; Software, Y.S. and X.L.; Validation, Y.S., X.L. and S.A.; Resources, C.S.; Data curation, S.A.; Writing—review & editing, Y.S. All authors have read and agreed to the published version of the manuscript.

Funding

This research received no external funding.

Data Availability Statement

Data are contained within the article.

Conflicts of Interest

The authors declare no conflict of interest.

References

  1. Ali, I.; Al-Dhahir, N.; Hershey, J.E. Doppler Characterization for LEO Satellites. Communications. IEEE Trans. Commun. 1998, 46, 309–313. [Google Scholar] [CrossRef]
  2. You, B.H.; Jung, H.J.; Lee, I.H. Survey on Doppler Characterization and Compensation Schemes in LEO Satellite Communication Systems. In Proceedings of the 2022 27th Asia Pacific Conference on Communications (APCC), Jeju Island, Republic of Korea, 19–21 October 2022; pp. 637–638. [Google Scholar]
  3. Nia, O.; Mark, B.L. Models for Frequency Doppler Shift Prediction for LEO Satellites at L-Band. In Proceedings of the 2022 IEEE Military Communications Conference (MILCOM), Rockville, MD, USA, 28 November–2 December 2022. [Google Scholar]
  4. Lin, J.G.; Hou, Z.W.; Zhou, Y.Q.; Tian, L.; Shi, J.L. MAP Estimation Based on Doppler Characterization in Broadband Mobile LEO Satellite Communications. In Proceedings of the 2016 IEEE 83rd Vehicular Technology Conference (VTC Spring), Nanjing, China, 15–18 May 2016. [Google Scholar]
  5. Li, Z.; Lin, W.H.; Deng, W.; Yang, J.F.; Zhu, Z.Y. Analysis of the Doppler Effect on Starlink Downlink Signals. J. Commun. 2024, 45, 131–141. [Google Scholar]
  6. Khan, T.A.; Afshang, M. A Stochastic Geometry Approach to Doppler Characterization in a LEO Satellite Network. In Proceedings of the ICC 2020–2020 IEEE International Conference on Communications (ICC), Dublin, Ireland, 7–11 June 2020. [Google Scholar]
  7. Wang, A.H.; Wang, X.Y.; Chen, L.T. A Geometric Algorithm of Doppler-Time Characterization for LEO Satellite. Trans. Beijing Inst. Technol. 2016, 36, 1294–1297. [Google Scholar]
  8. Wang, D.L.; Fattouche, M.; Ghannouchi, F. Geometry-Based Doppler Analysis for GPS Receivers. Wirel. Pers. Commun. 2013, 68, 1–13. [Google Scholar] [CrossRef]
  9. Peters, E.G.; Benson, C.R. A Doppler Correcting Software Defined Radio Receiver Design for Satellite Communications. IEEE Aerosp. Electron. Syst. Mag. 2020, 35, 38–48. [Google Scholar] [CrossRef]
  10. Rouzegar, H.; Ghanbarisabagh, M. Estimation of Doppler Curve for LEO Satellites. Wirel. Pers. Commun. 2019, 108, 2195–2212. [Google Scholar] [CrossRef]
  11. Amiri, S.; Mehdipour, M. Accurate Doppler Frequency Shift Estimation for any Satellite Orbit. In Proceedings of the 2007 3rd International Conference on Recent Advances in Space Technologies, Vols. 1 and 2, Istanbul, Turkey, 14–16 June 2007; pp. 602–607. [Google Scholar]
  12. Han, L.; Wu, X.C.; Luo, W.X. Doppler shift characterization for Non-GEO satellite channels. J. Beijing Inst. Technol. 2005, 25, 143–146. [Google Scholar]
Figure 1. Simple satellite–ground Doppler frequency-offset model.
Figure 1. Simple satellite–ground Doppler frequency-offset model.
Electronics 14 02539 g001
Figure 2. The satellite body coordinate system and the Doppler frequency-offset model based on satellite beam pointing.
Figure 2. The satellite body coordinate system and the Doppler frequency-offset model based on satellite beam pointing.
Electronics 14 02539 g002
Figure 3. Relationship between Earth’s rotation and the satellite’s speed.
Figure 3. Relationship between Earth’s rotation and the satellite’s speed.
Electronics 14 02539 g003
Figure 4. Simulation of Doppler frequency shifts when the minimum elevation angle is 0° and the geographical location of the terminal is 0°. (a) The Frequency shift; (b) The Frequency shift error.
Figure 4. Simulation of Doppler frequency shifts when the minimum elevation angle is 0° and the geographical location of the terminal is 0°. (a) The Frequency shift; (b) The Frequency shift error.
Electronics 14 02539 g004
Figure 5. Doppler frequency-shift simulation and error statistics at different satellite geocentric latitudes. (a) The Frequency shift error; (b) The Root Mean Squared Error.
Figure 5. Doppler frequency-shift simulation and error statistics at different satellite geocentric latitudes. (a) The Frequency shift error; (b) The Root Mean Squared Error.
Electronics 14 02539 g005
Figure 6. Simulation results of frequency-offset estimation error and RMSE for ground terminals at different latitudes. (a) The Frequency shift error; (b) The Root Mean Squared Error.
Figure 6. Simulation results of frequency-offset estimation error and RMSE for ground terminals at different latitudes. (a) The Frequency shift error; (b) The Root Mean Squared Error.
Electronics 14 02539 g006
Figure 7. Simulation results of the RMSE of frequency-offset estimations for different orbital altitudes. (a) The Frequency shift error; (b) The Root Mean Squared Error.
Figure 7. Simulation results of the RMSE of frequency-offset estimations for different orbital altitudes. (a) The Frequency shift error; (b) The Root Mean Squared Error.
Electronics 14 02539 g007
Figure 8. Simulation results of the RMSE of frequency-offset estimations for different orbital inclinations. (a) The Frequency shift error; (b) The Root Mean Squared Error.
Figure 8. Simulation results of the RMSE of frequency-offset estimations for different orbital inclinations. (a) The Frequency shift error; (b) The Root Mean Squared Error.
Electronics 14 02539 g008
Figure 9. Simulation results of Doppler frequency shifts when the minimum elevation angle is adjustable (the ground terminal is on the right side of the subsatellite point).
Figure 9. Simulation results of Doppler frequency shifts when the minimum elevation angle is adjustable (the ground terminal is on the right side of the subsatellite point).
Electronics 14 02539 g009
Figure 10. Simulation results of the Doppler frequency shift when the minimum elevation angle is adjustable (the ground terminal is on the left side of the subsatellite point).
Figure 10. Simulation results of the Doppler frequency shift when the minimum elevation angle is adjustable (the ground terminal is on the left side of the subsatellite point).
Electronics 14 02539 g010
Figure 11. Influence of pointing errors in azimuth and elevation angles on the results of Doppler frequency-offset estimation.
Figure 11. Influence of pointing errors in azimuth and elevation angles on the results of Doppler frequency-offset estimation.
Electronics 14 02539 g011
Table 1. Doppler frequency-shift simulation parameter table for a minimum elevation angle of 0°.
Table 1. Doppler frequency-shift simulation parameter table for a minimum elevation angle of 0°.
Parameter NameParameter Value
Orbital altitude, h480 km
Earth radius, R6378 km
Eccentricity, e0.0
Orbital inclination, i 50°
Satellite geocentric latitude, β 0°, 10°, 20°, 30°, 40°, 50°
Earth’s rotation period, T 86,164 s
Signal propagation speed, c2.998 × 108 m/s
Signal carrier frequency, Fc2.0 GHz
Table 2. Doppler frequency-shift simulation parameter table for different terminal geographic positions and satellite orbits.
Table 2. Doppler frequency-shift simulation parameter table for different terminal geographic positions and satellite orbits.
Parameter NameParameter Value
Orbital altitude, h480 km, 500 km, 600 km, 700 km, 800 km
Earth radius, R6378 km
Eccentricity, e0.0
Orbital inclination, i 40°, 50°, 60°, 70°, 80°, 90°
Geographical latitude of the terminal, Lat 0°, 15°, 30°, 45°
Earth’s rotation period, T 86,164 s
Signal propagation speed, c2.998 × 108 m/s
Signal carrier frequency, Fc2.0 GHz
Table 3. The RMSE results of Doppler frequency-offset estimation errors for different orbital altitudes.
Table 3. The RMSE results of Doppler frequency-offset estimation errors for different orbital altitudes.
Orbital Altitudes480 km500 km600 km700 km800 km
RMSE109 Hz110 Hz83 Hz84 Hz93 Hz
Table 4. The RMSE results of Doppler frequency-offset estimation errors for different orbital inclinations.
Table 4. The RMSE results of Doppler frequency-offset estimation errors for different orbital inclinations.
Orbital Inclinations40°50°60°70°80°90°
RMSE52 Hz108 Hz90 Hz120 Hz113 Hz147 Hz
Table 5. Table of Doppler frequency-shift simulation parameters for variable minimum satellite elevation angles.
Table 5. Table of Doppler frequency-shift simulation parameters for variable minimum satellite elevation angles.
Parameter NameParameter Value
Orbital altitude, h480 km
Earth radius, R6378 km
Eccentricity, e0.0
Orbital inclination, i 50°
Maximum elevation angle, φ m a x   0°, 10°, 20°, 30°, 40°, 50°
Earth’s rotation period, T 86,164 s
Signal propagation speed, c2.998 × 108 m/s
Signal carrier frequency, Fc2.0 GHz
Disclaimer/Publisher’s Note: The statements, opinions and data contained in all publications are solely those of the individual author(s) and contributor(s) and not of MDPI and/or the editor(s). MDPI and/or the editor(s) disclaim responsibility for any injury to people or property resulting from any ideas, methods, instructions or products referred to in the content.

Share and Cite

MDPI and ACS Style

Song, Y.; Xu, J.; Sun, C.; Li, X.; An, S. A Doppler Frequency-Offset Estimation Method Based on the Beam Pointing of LEO Satellites. Electronics 2025, 14, 2539. https://doi.org/10.3390/electronics14132539

AMA Style

Song Y, Xu J, Sun C, Li X, An S. A Doppler Frequency-Offset Estimation Method Based on the Beam Pointing of LEO Satellites. Electronics. 2025; 14(13):2539. https://doi.org/10.3390/electronics14132539

Chicago/Turabian Style

Song, Yanjun, Jun Xu, Chenhua Sun, Xudong Li, and Shaoyi An. 2025. "A Doppler Frequency-Offset Estimation Method Based on the Beam Pointing of LEO Satellites" Electronics 14, no. 13: 2539. https://doi.org/10.3390/electronics14132539

APA Style

Song, Y., Xu, J., Sun, C., Li, X., & An, S. (2025). A Doppler Frequency-Offset Estimation Method Based on the Beam Pointing of LEO Satellites. Electronics, 14(13), 2539. https://doi.org/10.3390/electronics14132539

Note that from the first issue of 2016, this journal uses article numbers instead of page numbers. See further details here.

Article Metrics

Back to TopTop