A High Dynamic Velocity Locked Loop for the Carrier Tracking of a Wide-Band Hybrid Direct Sequence/Frequency Hopping Spread-Spectrum Signal
Abstract
1. Introduction
2. Hybrid DS/FH Spread Spectrum Signal Model
3. HD-VLL for Hybrid DS/FH Spread Spectrum Signals
3.1. A Description of the Problem
3.2. HD-VLL
| Algorithm 1: Workflow of HD-VLL to Generate Local Phase |
|
| . |
| do |
| . |
| , by formula (10), formula (11) and formula (9). |
| do |
| by formula (12). |
| by formula (13). |
| by formula (14). |
| by formula (15). |
| 11: end for |
| 12: end for |
| . |
3.3. HD-VLL-NCO
4. Simulation and Analysis
4.1. Comparison of Different Loop Bandwidths
4.2. Comparison of Dynamic Adaptability
4.3. Comparison of Steady-State Tracking Performance
4.4. Comparison of PLL Tracking Performance
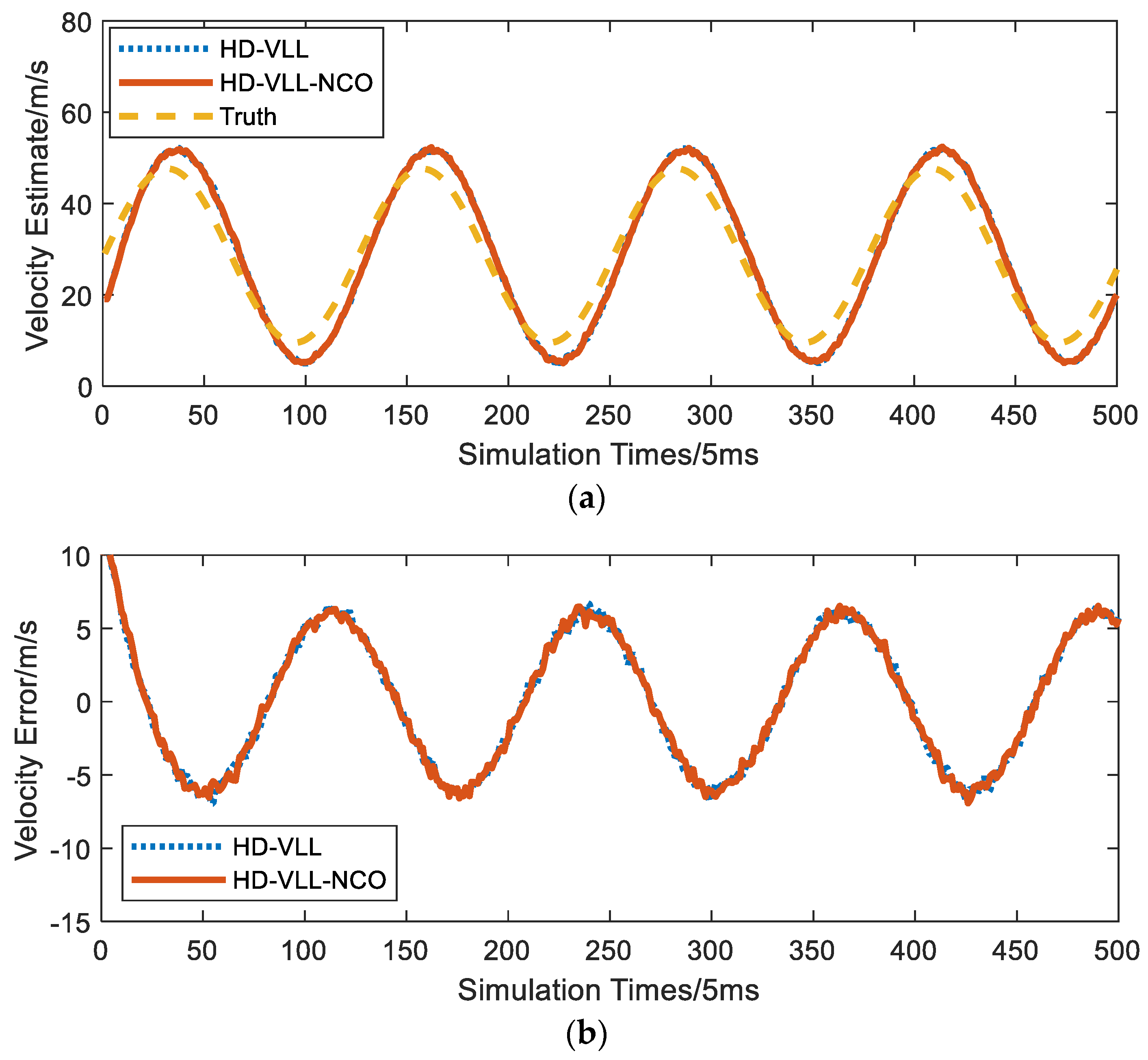
4.5. Comparison of HD-VLL-NCO and HD-VLL
4.6. Application Discussion
5. Conclusions
Author Contributions
Funding
Data Availability Statement
Conflicts of Interest
Abbreviations
| DS/FH | direct sequence/frequency hopping |
| DSSS | direct sequence spread spectrum |
| FHSS | frequency hopping spread spectrum |
| TT&C | telemetry, tracking, and command |
| SNR | signal-to-noise ratio |
| DS/FFH | direct sequence/fast frequency hopping |
| VLL | velocity locked loop |
| FLL | frequency locked loop |
| PLL | phase locked loop |
| HD-VLL | high dynamic VLL |
| HD-VLL-NCO | HD-VLL based on multi-carrier NCO |
| DLL | delay locked loop |
| VLL-SA-PLL | VLL serially assisted PLL |
| VLL-PA-PLL | VLL parallelly assisted PLL |
| DDS | direct digital synthesis |
| HD-VLL-SA-PLL | HD-VLL serially assisted PLL |
| CNR | carrier-to-noise ratio |
References
- Krenz, R.; Rodziewicz, M. Hybrid DS/FH spread spectrum data transmission system for telemetry. In Proceedings of the 2016 10th International Symposium on Communication Systems, Networks and Digital Signal Processing (CSNDSP), Prague, Czech Republic, 20–22 July 2016; Volume 7, pp. 1–5. [Google Scholar]
- Wang, W.T.; Shen, Y.Y.; Wang, Y.Q. Keystone Transform-Based Parameter Search for Wide-Band Hybrid DS/FH Systems. IEEE Access 2019, 7, 108223–108231. [Google Scholar] [CrossRef]
- Si, W.W.; Fang, H.H.; Fu, S.S.; Ma, R. Research on DS/FH Signal Acquisition Algorithm Based on Slow Scanning Strategy. In Proceedings of the 2023 4th International Symposium on Computer Engineering and Intelligent Communications (ISCEIC), Nanjing, China, 18–20 August 2023; Volume 8, pp. 411–417. [Google Scholar]
- Kim, J.W.; Lim, B.J.; Ko, Y.C. A Rapid Serial Timing Acquisition Algorithm for Hybrid DS/FFH Packet Radio Communication. IEEE Trans. Aerosp. Electron. Syst. 2021, 57, 1016–1027. [Google Scholar] [CrossRef]
- Jin, X.; Yang, X.H.; Luo, S.X.; Wang, S.; An, J.P. A Novel Differential Coherent FFH/DS Acquisition Strategy for LEO Satellite-enabled Internet of Things. IEEE Internet Things J. 2023, 10, 20297–20310. [Google Scholar] [CrossRef]
- Wang, Z.C.; Cheng, J.; Su, R.H.; Hu, J.; Li, C.; Bian, D.M. Signal Detection and Parameter Estimation of Hybrid Hopping Spread Spectrum Signal. In Proceedings of the 2023 6th International Conference on Information Communication and Signal Processing (ICICSP), Xi’an, China, 23–25 September 2023; Volume 9, pp. 300–307. [Google Scholar]
- Lou, D.K.; Li, Z.Q.; Li, F.L. The range and velocity measurement performance of DS/FH hybrid spread spectrum signal with the interference. In Proceedings of the 2012 2nd International Conference on Computer Science and Network Technology, Changchun, China, 29–31 December 2012; Volume 12, pp. 1405–1408. [Google Scholar]
- Chen, Z.; Wang, Y.Q.; Yang, W.G.; Wang, Z.Y. Research on carrier tracking in Hybrid DS/FH spread spectrum TT&C system. In Proceedings of the 2010 2nd International Conference on Future Computer and Communication, Wuhan, China, 21–24 May 2010; Volume 5, pp. V2-796–V2-800. [Google Scholar]
- Chang, X.M.; Zhang, X.L.; Liu, Y.G.; Zhan, W. Research on high hopping rate DS/FH hybrid spread spectrum technology. Manned Spacefl. 2012, 2, 14–20. (In Chinese) [Google Scholar]
- Zheng, G.; Yao, Y.P.; Wang, D.D.; Tian, J.C. Study of an Application of Hybrid Spread Spectrum Technology in Satellite Communication. In Proceedings of the 2020 International Conference on Communications, Information System and Computer Engineering (CISCE), Kuala Lumpur, Malaysia, 3–5 July 2020; Volume 7, pp. 49–54. [Google Scholar]
- Chen, T.W.; Wang, J.; Fan, X.; Yue, Y.Y.; Miao, C.H. A research of carrier tracking loop for high hopping rate DS/FH receiver. In Proceedings of the 2013 IEEE International Conference on Signal Processing, Communication and Computing (ICSPCC 2013), Kunming, China, 5–8 August 2013; Volume 8, pp. 1–5. [Google Scholar]
- Yin, Y.H. Research and Implementation of Tracking Algorithm for DS/FH Signal. Master’s Thesis, Beijing Jiaotong University, Beijing, China, 2017. [Google Scholar]
- Jwo, D.J. Optimization and sensitivity analysis of GPS receiver tracking loops in dynamic environments. IEEE Proc.-Radar Sonar Navig. 2001, 148, 241–250. [Google Scholar] [CrossRef]
- Nan, H.N. Research on Fast Acquisition Algorithm and Tracking Algorithm for Satellite Communication System in High Dynamic Environment. Master’s Thesis, Northwestern Polytechnical University, Shaanxi, China, 2016. [Google Scholar]
- Wang, W.W. Research on Beidou Navigation Signal Tracking Algorithms and Software Implementation. Master’s Thesis, Xidian University, Xi’an, China, 2017. [Google Scholar]
- Luo, Z.B.; Ding, J.C.; Zhao, L. Adaptive gain control method of a phase-locked loop for GNSS carrier signal tracking. Int. J. Antennas Propag. 2018, 2018, 6841285. [Google Scholar] [CrossRef]
- Wang, S.C.; Yang, D.F.; Liu, Z.G. Research on high dynamic GPS software receiver. J. Astronaut. 2009, 30, 1078–1085. (In Chinese) [Google Scholar]
- Zhang, R.Y.; Zhan, Y.F.; Dai, X.J. Robust algorithm for high-dynamic and low-signal-to-noise ratio signal reception in deep space communications. IET Commun. 2013, 7, 1818–1824. [Google Scholar]
- Kuang, H.B. Research on GPS Signal Tracking under High Dynamic Condition. Ph.D. Thesis, Shanghai Jiao Tong University, Shanghai, China, 2010. [Google Scholar]
- Ma, L.; Shi, L.G.; Wang, Z.G. Performance analysis of a second order FLL assisted third order PLL for tracking Doppler rates. WSEAS Trans. Commun. 2014, 13, 26–43. [Google Scholar]
- Yang, R.; Zhan, X.Q.; Chen, W.T.; Li, Y.F. An Iterative Filter for FLL-Assisted-PLL Carrier Tracking at Low C/N_0 and High Dynamic Conditions. IEEE Trans. Aerosp. Electron. Syst. 2022, 58, 275–289. [Google Scholar] [CrossRef]
- Tan, X.G. High Dynamic Tracking Method of Satellite Navigation Signal. In Proceedings of the 11th Satellite Navigation Academic Annual Conference, Chengdu, China, 23–25 November 2020; Volume 11, pp. 35–38. [Google Scholar]
- Xiao, Q.; Wang, J. An improved Carrier Tracking Loop Design under high dynamic and low CNR conditions. In Proceedings of the EEI 2022 4th International Conference on Electronic Engineering and Informatics, Guiyang, China, 24–26 June 2022; Volume 6, pp. 1–5. [Google Scholar]
- Xie, G. GPS Principle and Receiver Design, 1st ed.; Publishing House of Electronics Industry: Beijing, China, 2009. [Google Scholar]
- Roland, E.B. Phase-Locked Loops Design, Simulation, and Applications, 6th ed.; McGraw-Hill: New York, NY, USA, 2007. [Google Scholar]
- Elliott, D.K. Understanding GPS: Principles and Applications, 2nd ed.; Artech House: London, UK, 2005. [Google Scholar]
- Lian, P. Improving Tracking Performance of PLL in High Dynamic Applications. Master’s Thesis, University of Calgary, Calgary, AB, Canada, 2004. [Google Scholar]
- Parkinson, B.W. Global Positioning System: Theory and Applications, 1st ed.; American Institute of Aeronautics & Ast: Reston, VA, USA, 1996. [Google Scholar]
- Rinder, P.; Bertelsen, N. Design of a Single Frequency GPS Software Receiver. Master’s Thesis, Aalborg University, Aalborg, Denmark, 2004. [Google Scholar]
- Donald, R.S. Phase-Locked Loops for Wireless Communications: Digital and Analog Implementation, 1st ed.; Springer: Berlin, Germany, 2012. [Google Scholar]
- Wu, X. Research on Tracking Algorithms and Implement Technology of Direct Sequence Spread Spectrum Signal. Master’s Thesis, Beijing Institute of Technology, Beijing, China, 2015. [Google Scholar]

















| References | Hopping Rates (hops/s) | Dynamics | SNR (dB) | Loop Structures |
|---|---|---|---|---|
| [8] | ≤1.2 k | Acceleration 30 g | ≥13 | Second-order PLL |
| [9] | 10 k | Unspecified | Unspecified | FLL and PLL Switching |
| [10] | 100 k | Unspecified | ≥0 | PLL |
| [11] | 10 k | Jerk 10 g/s | ≥−30 | Second-order VLL assisted third-order PLL |
| [12] | 9 k | Jerk 10 g/s | −25 | Second-order VLL assisted third-order PLL |
| Parameters | Definition |
|---|---|
| Received signal power | |
| Code delay time in seconds | |
| Initial carrier phase in radians | |
| Carrier frequency of th frequency hopping time slot | |
| Doppler frequency offset in th frequency hopping time slot caused by relative motion between transmitter and receiver |
| Loop Structure | Bandwidth/Hz | Mean of Velocity Tracking Error/m/s | Standard Deviation of Velocity Tracking Error /m/s |
|---|---|---|---|
| HD-VLL | 5 | 0.25 | 4.42 |
| VLL | 8 | 0.44 | 5.60 |
| Loop Structure | Bandwidth/Hz | Mean of Velocity Tracking Error/m/s | Standard Deviation of Velocity Tracking Error /m/s |
|---|---|---|---|
| HD-VLL | 5 | 5.52 | 0.31 |
| VLL | 8 | 6.47 | 0.33 |
Disclaimer/Publisher’s Note: The statements, opinions and data contained in all publications are solely those of the individual author(s) and contributor(s) and not of MDPI and/or the editor(s). MDPI and/or the editor(s) disclaim responsibility for any injury to people or property resulting from any ideas, methods, instructions or products referred to in the content. |
© 2024 by the authors. Licensee MDPI, Basel, Switzerland. This article is an open access article distributed under the terms and conditions of the Creative Commons Attribution (CC BY) license (https://creativecommons.org/licenses/by/4.0/).
Share and Cite
Wang, J.; Liang, Y.; Xu, X.; Wang, J.; Zhong, Y. A High Dynamic Velocity Locked Loop for the Carrier Tracking of a Wide-Band Hybrid Direct Sequence/Frequency Hopping Spread-Spectrum Signal. Electronics 2024, 13, 1794. https://doi.org/10.3390/electronics13091794
Wang J, Liang Y, Xu X, Wang J, Zhong Y. A High Dynamic Velocity Locked Loop for the Carrier Tracking of a Wide-Band Hybrid Direct Sequence/Frequency Hopping Spread-Spectrum Signal. Electronics. 2024; 13(9):1794. https://doi.org/10.3390/electronics13091794
Chicago/Turabian StyleWang, Ju, Yiying Liang, Xuanyu Xu, Jinyi Wang, and Yi Zhong. 2024. "A High Dynamic Velocity Locked Loop for the Carrier Tracking of a Wide-Band Hybrid Direct Sequence/Frequency Hopping Spread-Spectrum Signal" Electronics 13, no. 9: 1794. https://doi.org/10.3390/electronics13091794
APA StyleWang, J., Liang, Y., Xu, X., Wang, J., & Zhong, Y. (2024). A High Dynamic Velocity Locked Loop for the Carrier Tracking of a Wide-Band Hybrid Direct Sequence/Frequency Hopping Spread-Spectrum Signal. Electronics, 13(9), 1794. https://doi.org/10.3390/electronics13091794

