Frequency Diversity Arc Array with Angle-Distance Two-Dimensional Broadening Null Steering for Sidelobe Suppression
Abstract
1. Introduction
2. FDAA Beam Pattern Synthesis
2.1. FDAA Structural Model
2.2. FDAA Beampattern Synthesis Analysis with Nonlinear Frequency Offset
3. Sidelobe Suppression
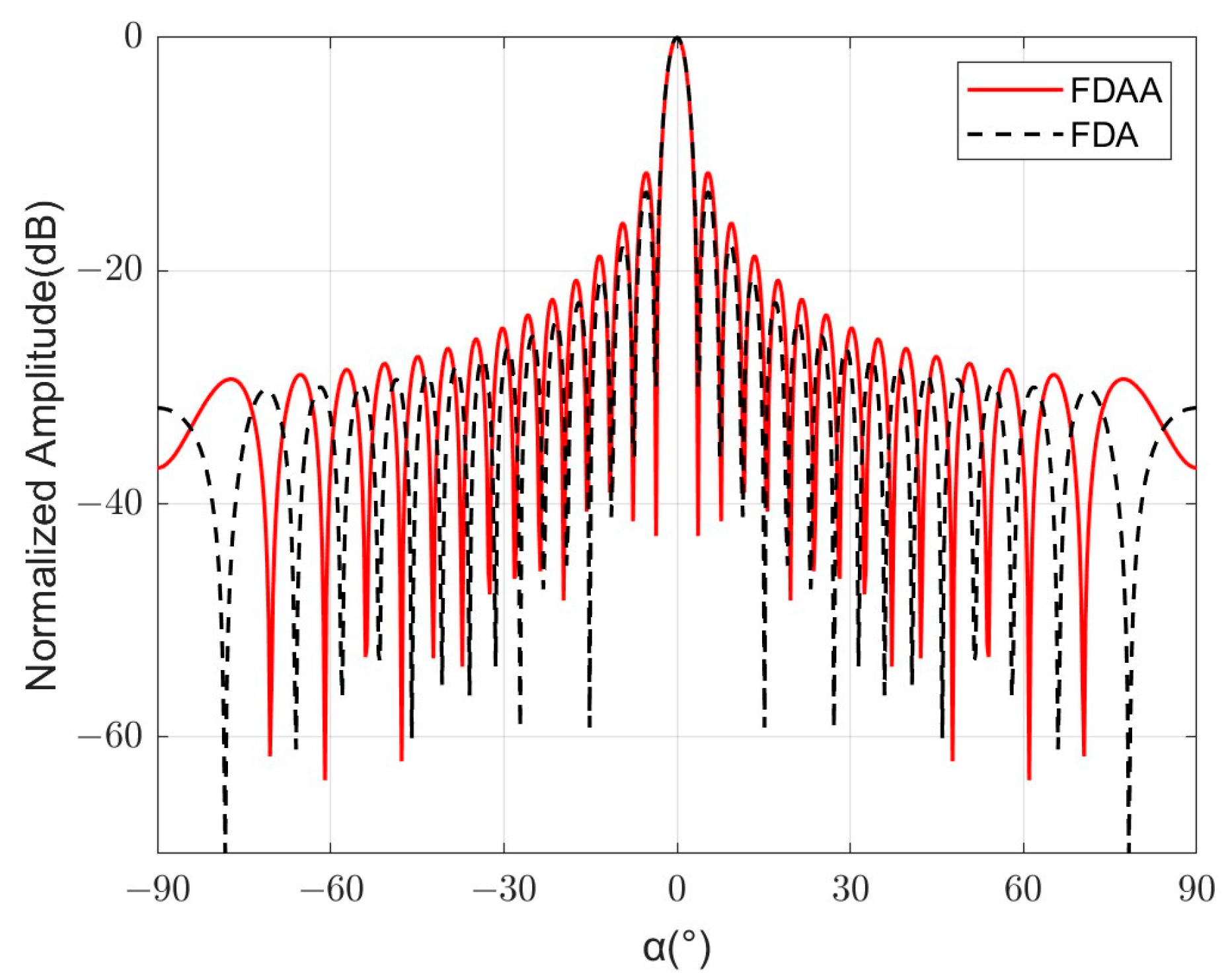
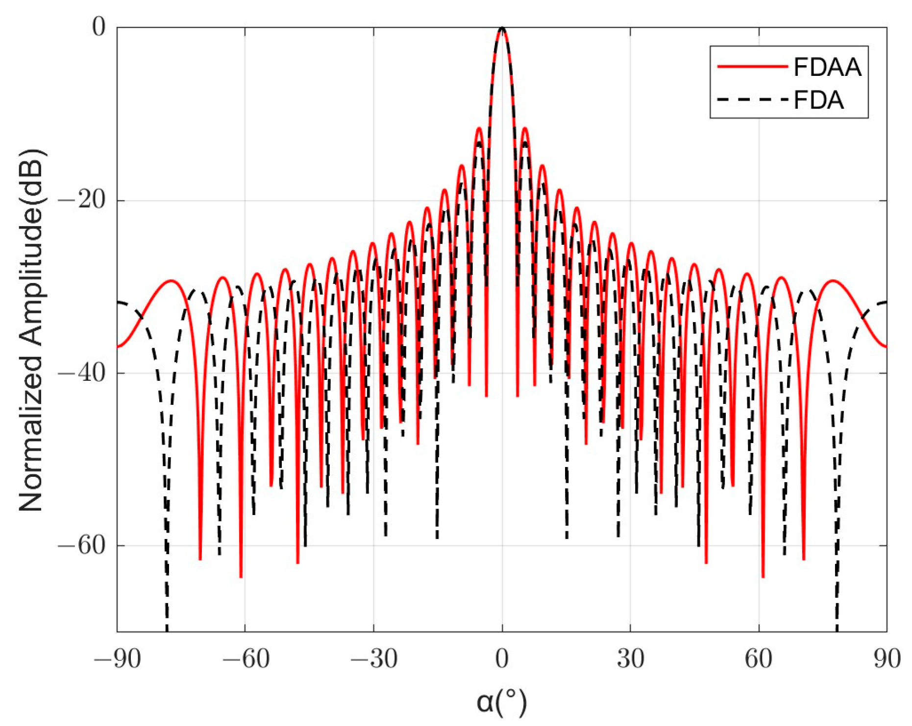
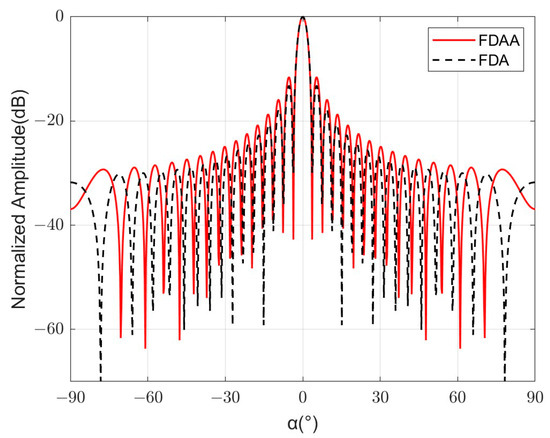
3.1. The FDAA Has the Problem of Slightly Higher Sidelobes
3.2. The Angle-Range Two-Dimensional Widening Nulling Method for the FDAA
3.2.1. The Angle-Domain Widening Nulling Method for the FDAA
3.2.2. The Range-Domain Widening Nulling Method for the FDAA
4. Simulation Analysis
5. Conclusions
Author Contributions
Funding
Data Availability Statement
Conflicts of Interest
References
- Lan, L.; Liao, G.; Xu, J.; Huang, Y. Research on FDA-MIMO Radar Non-adaptive Beamforming Against Mainlobe Deception Jamming. Signal Process 2019, 35, 944–950. [Google Scholar]
- Ahmad, Z.; Chen, M.; Bao, S.D. Beampattern Analysis of Frequency Diverse Array Aadar: A Review. J Wirel. Com Netw. 2021, 189, 4401. [Google Scholar]
- Xu, D.; He, R.; Shen, F. Robust Beamforming with Magnitude Response Constraints and Conjugate Symmetric Constraint. IEEE Commun. Lett. 2013, 17, 561–564. [Google Scholar] [CrossRef]
- Howells, P.W. Intermediate Frequency Sidelobe Canceller. U.S. Patent 3202990, 24 August 1965. [Google Scholar]
- Capon, J. High-Resolution Frequency-Wavenumber Spectrum Analysis. Proc. IEEE 1969, 57, 1408–1418. [Google Scholar] [CrossRef]
- Frost, O. An Algorithm for Linearly Constrained Adaptive Array Processing. Proc. IEEE 1972, 60, 926–935. [Google Scholar] [CrossRef]
- Reed, I.S.; Mallett, J.D.; Brennan, L.E. Rapid Convergence Rate in Adaptive Arrays. IEEE Trans. Aerosp. Electron. Syst. 1974, 10, 853–863. [Google Scholar] [CrossRef]
- Liu, Y.; Huang, R.; Wang, L.; Nehorai, A. The Random Frequency Diverse Array: A New Antenna Structure for Uncoupled Direction-Range Indication in Active Sensing. IEEE J. Sel. Top. Signal Process. 2017, 11, 295–308. [Google Scholar] [CrossRef]
- Xu, Y.; Shi, X.; Li, W.; Xu, J.; Huang, L. Low-Sidelobe Range-Angle Beamforming with FDA Using Multiple Parameter Optimization. IEEE Trans. Aerosp. Electron. Syst. 2019, 55, 2214–2225. [Google Scholar] [CrossRef]
- Antonik, P.; Wicks, M.; Griffiths, H.; Baker, C. Range Dependent Beamforming Using Element Level Waveform Diversity. In Proceedings of the 2006 International Waveform Diversity & Design Conference, Lihue, HI, USA, 22–27 January 2006; pp. 1–6. [Google Scholar]
- Secmen, M.; Demir, S.; Eker, T. Frequency Diverse Array Antenna with Periodic Time Modulated Pattern in Range and Angle. In Proceedings of the IEEE Radar Conference, Waltham, MA, USA, 17–20 April 2007; pp. 427–430. [Google Scholar]
- Huang, J.; Tong, K.; Woodbridge, K.; Baker, C. Frequency Diverse Array: Simulation and Design. In Proceedings of the 2009 IEEE Radar Conference, Pasadena, CA, USA, 4–8 May 2009; pp. 1–4. [Google Scholar]
- Zhuang, L.; Liu, X.; Yu, W. Precisely Beam Steering for Frequency Diverse Arrays Based on Frequency Offset Selection. In Proceedings of the 2009 International Radar Conference, Pasadena, CA, USA, 4–8 May 2009; pp. 1–4. [Google Scholar]
- Xu, W.; Zhang, L.; Bi, H.; Huang, P.; Tan, W. FDA Beampattern Synthesis with Both Nonuniform Frequency Offset and Array Spacing. IEEE Antennas Wirel. Propag. Lett. 2021, 20, 2354–2358. [Google Scholar] [CrossRef]
- Shpak, D. A Method for the Optimal Pattern Synthesis of Linear Arrays with Prescribed Nulls. IEEE Trans Antennas Propag. 1996, 44, 286–294. [Google Scholar] [CrossRef]
- Er, M.H. Linear Antenna Array Pattern Synthesis with Prescribed Broad Nulls. IEEE Trans. Antennas Propag. 1990, 38, 1496–1498. [Google Scholar] [CrossRef]
- Carlson, B.; Willner, D. Antenna Pattern Synthesis Using Weighted Least Squares. IEEE Proc. H 1992, 139, 11–16. [Google Scholar] [CrossRef]
- Shore, R. A Unified Treatment of Nulling in Linear Array Patterns with Minimized Weight Perturbations. Antennas Propag. Soc. Int. Symp. 1982, 20, 703–706. [Google Scholar]
- Hejres, J. Null Steering in Phased Arrays by Controlling the Positions of Selected Elements. IEEE Trans. Antennas Propag. 2004, 52, 2891–2895. [Google Scholar] [CrossRef]
- Steyskal, H. Simple Method for Pattern Nulling by Phase Perturbation. IEEE Trans. Antennas Propag. 1983, 31, 163–166. [Google Scholar] [CrossRef]
- Yashehyshyn, Y.; Starszuk, G. Investigation of A Simple Four-Element Steering Antenna Array. IEEE Proc.-Microw. Antennas Propag. 2005, 152, 92–96. [Google Scholar] [CrossRef]
- Applebaum, S. Adaptive Arrays. IEEE Trans. Antennas Propag. 1976, 24, 585–598. [Google Scholar] [CrossRef]
- Li, H.; Wang, K.; Wang, C.; He, Y.; Zhu, X. Robust Adaptive Beamforming Based on Worst-Case and Norm Constraint. Int. J. Antennas Propag. 2015, 2015, 765385. [Google Scholar] [CrossRef]
- Fan, Z.; Liang, G.; Wang, Y. A Null Broadening Robust Adaptive Beamforming Algorithm. J. Electron. Inform. 2013, 11, 2764–2770. [Google Scholar]
- Mailloux, R. Covariance Matrix Augmentation to Produce Adaptive Array Pattern Troughs. IEEE Antennas Propag. Soc. Int. Symp. 1995, 1, 102–105. [Google Scholar]
- Zatman, M. Production of Adaptive Array Troughs by Dispersion Synthesis. Electron. Lett. 1995, 31, 2141–2142. [Google Scholar] [CrossRef]
- Li, W.; Mao, X.; Sun, Y. A New Beamforming Null Broadening Algorithm. Electron. Inform. 2014, 36, 2882–2888. [Google Scholar]
- Deng, Z.; Xu, W.; Huang, P.; Tan, W.; Qi, Y. Frequency Diverse Arc Array Beampattern Synthesis Analysis with Nonlinear Frequency Offsets. Prog. Electromagn. Res. Lett. 2023, 110, 109–116. [Google Scholar] [CrossRef]
- Xu, W.; Deng, Z.; Huang, P.; Tan, W.; Gao, Z. Beampattern Synthesis and Optimization for Frequency Diverse Arc Array Based on the Virtual Element. Electronics 2023, 12, 2231. [Google Scholar] [CrossRef]















| Parameter | Symbol | Value |
|---|---|---|
| Frequency offset | 30 KHz | |
| Carrier frequency | 10 GHz | |
| Array element spacing | 0.015 m | |
| Element amount | 100 | |
| Number of activated array elements | 33 | |
| Angle of array | π/2 | |
| Array radius | 0.378 m | |
| Target distance | 25 km | |
| Target angle | 0° |
Disclaimer/Publisher’s Note: The statements, opinions and data contained in all publications are solely those of the individual author(s) and contributor(s) and not of MDPI and/or the editor(s). MDPI and/or the editor(s) disclaim responsibility for any injury to people or property resulting from any ideas, methods, instructions or products referred to in the content. |
© 2024 by the authors. Licensee MDPI, Basel, Switzerland. This article is an open access article distributed under the terms and conditions of the Creative Commons Attribution (CC BY) license (https://creativecommons.org/licenses/by/4.0/).
Share and Cite
Xu, W.; Tian, Y.; Huang, P.; Tan, W.; Qi, Y. Frequency Diversity Arc Array with Angle-Distance Two-Dimensional Broadening Null Steering for Sidelobe Suppression. Electronics 2024, 13, 1640. https://doi.org/10.3390/electronics13091640
Xu W, Tian Y, Huang P, Tan W, Qi Y. Frequency Diversity Arc Array with Angle-Distance Two-Dimensional Broadening Null Steering for Sidelobe Suppression. Electronics. 2024; 13(9):1640. https://doi.org/10.3390/electronics13091640
Chicago/Turabian StyleXu, Wei, Ying Tian, Pingping Huang, Weixian Tan, and Yaolong Qi. 2024. "Frequency Diversity Arc Array with Angle-Distance Two-Dimensional Broadening Null Steering for Sidelobe Suppression" Electronics 13, no. 9: 1640. https://doi.org/10.3390/electronics13091640
APA StyleXu, W., Tian, Y., Huang, P., Tan, W., & Qi, Y. (2024). Frequency Diversity Arc Array with Angle-Distance Two-Dimensional Broadening Null Steering for Sidelobe Suppression. Electronics, 13(9), 1640. https://doi.org/10.3390/electronics13091640

