β-Ga2O3-Based Heterostructures and Heterojunctions for Power Electronics: A Review of the Recent Advances
Abstract
1. Introduction
2. p-NiOx/β-Ga2O3 Heterojunction
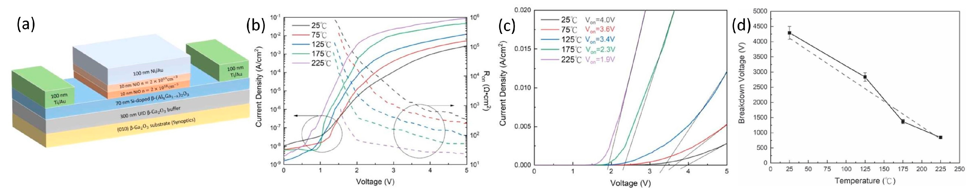
3. β-(AlxGa1−x)2O3/β-Ga2O3 Heterostructures
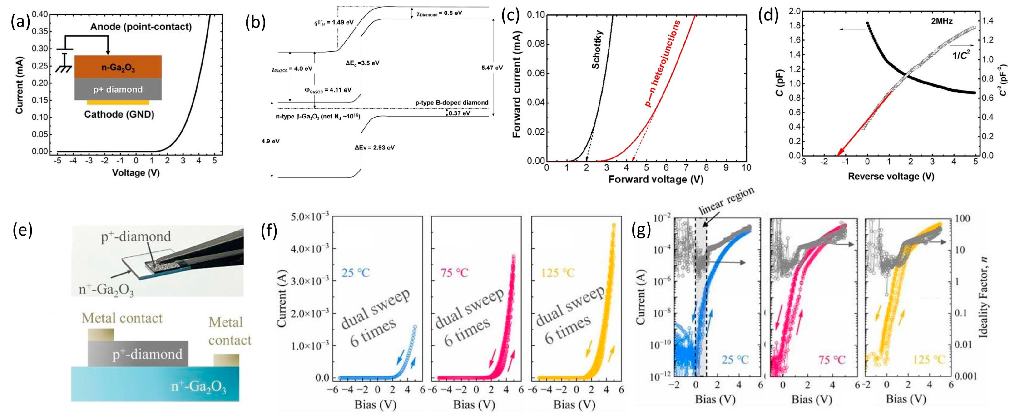
4. β-Ga2O3 Heterojunctions with Other p-Type Materials
5. β-Ga2O3 Heterostructures with Other UWBG Semiconductors
6. β-Ga2O3 Heterostructures with 2D Materials
7. Conclusions and Outlook
Author Contributions
Funding
Data Availability Statement
Conflicts of Interest
References
- Gallium Oxide; Springer: Berlin/Heidelberg, Germany, 2020; Volume 293. [CrossRef]
- Higashiwaki, M.; Sasaki, K.; Kuramata, A.; Masui, T.; Yamakoshi, S. Gallium Oxide (Ga2O3) Metal-Semiconductor Field-Effect Transistors on Single-Crystal β-Ga2O3 (010) Substrates. Appl. Phys. Lett. 2012, 100, 013504. [Google Scholar] [CrossRef]
- Higashiwaki, M. β-Ga2O3 Material Properties, Growth Technologies, and Devices: A Review. AAPPS Bull. 2022, 32, 3. [Google Scholar] [CrossRef]
- Tolbert, L.M. Power Electronics for Distributed Energy Systems and Transmission and Distribution Applications: Assessing the Technical Needs for Utility Applications; Oak Ridge National Laboratory: Oak Ridge, TN, USA, 2005. [Google Scholar]
- Wang, C.; Zhang, J.; Xu, S.; Zhang, C.; Feng, Q.; Zhang, Y.; Ning, J.; Zhao, S.; Zhou, H.; Hao, Y. Progress in state-of-the-art technologies of Ga2O3 devices. J. Phys. D Appl. Phys. 2021, 54, 243001. [Google Scholar] [CrossRef]
- Green, A.J.; Speck, J.; Xing, G.; Moens, P.; Allerstam, F.; Gumaelius, K.; Neyer, T.; Arias-Purdue, A.; Mehrotra, V.; Kuramata, A.; et al. β-Gallium Oxide Power Electronics. APL Mater. 2022, 10, 029201. [Google Scholar] [CrossRef]
- Chabak, K.D.; Leedy, K.D.; Green, A.J.; Mou, S.; Neal, A.T.; Asel, T.; Heller, E.R.; Hendricks, N.S.; Liddy, K.; Crespo, A.; et al. Lateral β-Ga2O3 Field Effect Transistors. Semicond. Sci. Technol. 2020, 35, 013002. [Google Scholar] [CrossRef]
- Pearton, S.J.; Yang, J.; Cary, P.H., IV; Ren, F.; Kim, J.; Tadjer, M.J.; Mastro, M.A. A Review of Ga2O3 Materials, Processing, and Devices. Appl. Phys. Rev. 2018, 5, 011301. [Google Scholar] [CrossRef]
- Mastro, M.A.; Eddy, C.R., Jr.; Tadjer, M.J.; Hite, J.K.; Kim, J.; Pearton, S.J. Assessment of the (010) β-Ga2O3 Surface and Substrate Specification. J. Vac. Sci. Technol. A 2020, 39, 013408. [Google Scholar] [CrossRef]
- Goto, K.; Konishi, K.; Murakami, H.; Kumagai, Y.; Monemar, B.; Higashiwaki, M.; Kuramata, A.; Yamakoshi, S. Halide Vapor Phase Epitaxy of Si Doped β-Ga2O3 and Its Electrical Properties. Thin Solid Films 2018, 666, 182–184. [Google Scholar] [CrossRef]
- Higashiwaki, M. MBE Growth and Device Applications of Ga2O3. In Molecular Beam Epitaxy; John Wiley & Sons, Inc.: Hoboken, NJ, USA, 2019; pp. 411–422. ISBN 9781119354987. [Google Scholar]
- Seryogin, G.; Alema, F.; Valente, N.; Fu, H.; Steinbrunner, E.; Neal, A.T.; Mou, S.; Fine, A.; Osinsky, A. MOCVD Growth of High Purity Ga2O3 Epitaxial Films Using Trimethylgallium Precursor. Appl. Phys. Lett. 2020, 117, 262101. [Google Scholar] [CrossRef]
- Sinha, G.; Adhikary, K.; Chaudhuri, S. Effect of Annealing Temperature on Structural Transformation of Gallium Based Nanocrystalline Oxide Thin Films and Their Optical Properties. Opt. Mater. 2007, 29, 718–722. [Google Scholar] [CrossRef]
- Suman, S.; Mukurala, N.; Kushwaha, A.K. Annealing Induced Surface Restructuring in Hydrothermally Synthesized Gallium Oxide Nano-Cuboids. J. Cryst. Growth 2021, 554, 125946. [Google Scholar] [CrossRef]
- Fujihara, S.; Shibata, Y.; Hosono, E. Chemical Deposition of Rodlike GaOOH and β-Ga2O3 Films Using Simple Aqueous Solutions. J. Electrochem. Soc. 2005, 152, C764. [Google Scholar] [CrossRef]
- Ghazali, N.M.; Mahmood, M.R.; Yasui, K.; Hashim, A.M. Electrochemically Deposited Gallium Oxide Nanostructures on Silicon Substrates. Nanoscale Res. Lett. 2014, 9, 120. [Google Scholar] [CrossRef]
- Chiang, J.-L.; Yadlapalli, B.K.; Chen, M.-I.; Wuu, D.-S. A Review on Gallium Oxide Materials from Solution Processes. Nanomaterials 2022, 12, 3601. [Google Scholar] [CrossRef]
- Al-Hardan, N.H.; Abdul Hamid, M.A.; Jalar, A.; Firdaus-Raih, M. Unleashing the Potential of Gallium Oxide: A Paradigm Shift in Optoelectronic Applications for Image Sensing and Neuromorphic Computing Applications. Mater. Today Phys. 2023, 38, 101279. [Google Scholar] [CrossRef]
- Asif, M.; Kumar, A. Resistive Switching in Emerging Materials and Their Characteristics for Neuromorphic Computing. Mater. Today Electron 2022, 1, 100004. [Google Scholar] [CrossRef]
- Neal, A.T.; Mou, S.; Rafique, S.; Zhao, H.; Ahmadi, E.; Speck, J.S.; Stevens, K.T.; Blevins, J.D.; Thomson, D.B.; Moser, N.; et al. Donors and Deep Acceptors in β-Ga2O3. Appl. Phys. Lett. 2018, 113, 062101. [Google Scholar] [CrossRef]
- Ma, N.; Tanen, N.; Verma, A.; Guo, Z.; Luo, T.; Xing, H.; Jena, D. Intrinsic Electron Mobility Limits in β-Ga2O3. Appl. Phys. Lett. 2016, 109, 212101. [Google Scholar] [CrossRef]
- Kang, Y.; Krishnaswamy, K.; Peelaers, H.; Van de Walle, C.G. Fundamental Limits on the Electron Mobility of β-Ga2O3. J. Phys. Condens. Matter 2017, 29, 234001. [Google Scholar] [CrossRef]
- Ghosh, K.; Singisetti, U. Ab Initio Calculation of Electron–Phonon Coupling in Monoclinic β-Ga2O3 Crystal. Appl. Phys. Lett. 2016, 109, 072102. [Google Scholar] [CrossRef]
- Ghosh, K.; Singisetti, U. Ab Initio Velocity-Field Curves in Monoclinic β-Ga2O3. J. Appl. Phys. 2017, 122, 035702. [Google Scholar] [CrossRef]
- Guo, Z.; Verma, A.; Wu, X.; Sun, F.; Hickman, A.; Masui, T.; Kuramata, A.; Higashiwaki, M.; Jena, D.; Luo, T. Anisotropic Thermal Conductivity in Single Crystal β-Gallium Oxide. Appl. Phys. Lett. 2015, 106, 111909. [Google Scholar] [CrossRef]
- Gopalan, P.; Knight, S.; Chanana, A.; Stokey, M.; Ranga, P.; Scarpulla, M.A.; Krishnamoorthy, S.; Darakchieva, V.; Galazka, Z.; Irmscher, K.; et al. The Anisotropic Quasi-Static Permittivity of Single-Crystal β-Ga2O3 Measured by Terahertz Spectroscopy. Appl. Phys. Lett. 2020, 117, 252103. [Google Scholar] [CrossRef]
- Fu, H.; Chen, H.; Huang, X.; Baranowski, I.; Montes, J.; Yang, T.-H.; Zhao, Y. A Comparative Study on the Electrical Properties of Vertical (01) and (010) β-Ga2O3 Schottky Barrier Diodes on EFG Single-Crystal Substrates. IEEE Trans. Electron Devices 2018, 65, 3507–3513. [Google Scholar] [CrossRef]
- Lyons, J.L. A Survey of Acceptor Dopants for β-Ga2O3. Semicond. Sci. Technol. 2018, 33, 05LT02. [Google Scholar] [CrossRef]
- He, H.; Orlando, R.; Blanco, M.A.; Pandey, R.; Amzallag, E.; Baraille, I.; Rérat, M. First-Principles Study of the Structural, Electronic, and Optical Properties of Ga2O3 in Its Monoclinic and Hexagonal Phases. Phys. Rev. B 2006, 74, 195123. [Google Scholar] [CrossRef]
- Gake, T.; Kumagai, Y.; Oba, F. First-Principles Study of Self-Trapped Holes and Acceptor Impurities in Ga2O3 Polymorphs. Phys. Rev. Mater. 2019, 3, 44603. [Google Scholar] [CrossRef]
- Ji, X.; Lu, C.; Yan, Z.; Shan, L.; Yan, X.; Wang, J.; Yue, J.; Qi, X.; Liu, Z.; Tang, W.; et al. A Review of Gallium Oxide-Based Power Schottky Barrier Diodes. J. Phys. D Appl. Phys. 2022, 55, 443002. [Google Scholar] [CrossRef]
- Higashiwaki, M.; Wong, M.H.; Goto, K.; Murakami, H.; Kumagai, Y. (Keynote) Nitrogen-Ion Implantation Doping of Ga2O3 and Its Application to Transistors. ECS Meet. Abstr. 2019, MA2019-02, 1169. [Google Scholar] [CrossRef]
- Zhang, L.; Yan, J.; Zhang, Y.; Li, T.; Ding, X. A Comparison of Electronic Structure and Optical Properties between N-Doped β-Ga2O3 and N–Zn Co-Doped β-Ga2O3. Phys. B Condens. Matter 2012, 407, 1227–1231. [Google Scholar] [CrossRef]
- Shivani; Kaur, D.; Ghosh, A.; Kumar, M. A Strategic Review on Gallium Oxide Based Power Electronics: Recent Progress and Future Prospects. Mater. Today Commun. 2022, 33, 104244. [Google Scholar] [CrossRef]
- Lu, X.; Deng, Y.; Pei, Y.; Chen, Z.; Wang, G. Recent Advances in NiO/Ga2O3 Heterojunctions for Power Electronics. J. Semicond. 2023, 44, 061802. [Google Scholar] [CrossRef]
- Kaplar, R.J.; Allerman, A.A.; Armstrong, A.M.; Crawford, M.H.; Dickerson, J.R.; Fischer, A.J.; Baca, A.G.; Douglas, E.A. Review—Ultra-Wide-Bandgap AlGaN Power Electronic Devices. ECS J. Solid State Sci. Technol. 2017, 6, Q3061. [Google Scholar] [CrossRef]
- Tsao, J.Y.; Chowdhury, S.; Hollis, M.A.; Jena, D.; Johnson, N.M.; Jones, K.A.; Kaplar, R.J.; Rajan, S.; Van de Walle, C.G.; Bellotti, E.; et al. Ultrawide-Bandgap Semiconductors: Research Opportunities and Challenges. Adv. Electron Mater. 2018, 4, 1600501. [Google Scholar] [CrossRef]
- Di Girolamo, D.; Di Giacomo, F.; Matteocci, F.; Marrani, A.G.; Dini, D.; Abate, A. Progress, Highlights and Perspectives on NiO in Perovskite Photovoltaics. Chem. Sci. 2020, 11, 7746–7759. [Google Scholar] [CrossRef]
- Zhang, B.; Su, J.; Guo, X.; Zhou, L.; Lin, Z.; Feng, L.; Zhang, J.; Chang, J.; Hao, Y. NiO/Perovskite Heterojunction Contact Engineering for Highly Efficient and Stable Perovskite Solar Cells. Adv. Sci. 2020, 7, 1903044. [Google Scholar] [CrossRef] [PubMed]
- Kokubun, Y.; Kubo, S.; Nakagomi, S. All-Oxide p–n Heterojunction Diodes Comprising p-Type NiO and n-Type β-Ga2O3. Appl. Phys. Express 2016, 9, 091101. [Google Scholar] [CrossRef]
- Li, J.-S.; Xia, X.; Chiang, C.-C.; Hays, D.C.; Gila, B.P.; Craciun, V.; Ren, F.; Pearton, S.J. Deposition of Sputtered NiO as a P-Type Layer for Heterojunction Diodes with Ga2O3. J. Vac. Sci. Technol. A 2022, 41, 013405. [Google Scholar] [CrossRef]
- Schlupp, P.; Splith, D.; von Wenckstern, H.; Grundmann, M. Electrical Properties of Vertical P-NiO/n-Ga2O3 and p-ZnCo2O4/n-Ga2O3 Pn-HeterodiodGa2O3es. Phys. Status Solidi (a) 2019, 216, 1800729. [Google Scholar] [CrossRef]
- Mudiyanselage, D.H.; Mandia, R.; Wang, D.; Adivarahan, J.; He, Z.; Fu, K.; Zhao, Y.; McCartney, M.R.; Smith, D.J.; Fu, H. Anisotropic Electrical Properties of NiOx/β-Ga2O3p-n Heterojunctions on (01), (001), and (010) Crystal Orientations. Appl. Phys. Express 2023, 16, 094002. [Google Scholar] [CrossRef]
- Hajakbari, F. Characterization of Nanocrystalline Nickel Oxide Thin Films Prepared at Different Thermal Oxidation Temperatures. J. Nanostruct. Chem. 2020, 10, 97–103. [Google Scholar] [CrossRef]
- Xia, X.; Li, J.-S.; Chiang, C.-C.; Yoo, T.J.; Ren, F.; Kim, H.; Pearton, S.J. Annealing Temperature Dependence of Band Alignment of NiO/β-Ga2O3. J. Phys. D Appl. Phys. 2022, 55, 385105. [Google Scholar] [CrossRef]
- Ma, Y.; Qin, Y.; Porter, M.; Spencer, J.; Du, Z.; Xiao, M.; Wang, B.; Wang, Y.; Jacobs, A.G.; Wang, H.; et al. Wide-Bandgap Nickel Oxide with Tunable Acceptor Concentration for Multidimensional Power Devices. Adv. Electron Mater. 2023, 2300662. [Google Scholar] [CrossRef]
- Li, J.-S.; Chiang, C.-C.; Xia, X.; Yoo, T.J.; Ren, F.; Kim, H.; Pearton, S.J. Demonstration of 4.7 KV Breakdown Voltage in NiO/β-Ga2O3 Vertical Rectifiers. Appl. Phys. Lett. 2022, 121, 042105. [Google Scholar] [CrossRef]
- Attri, R.; Panda, D.P.; Ghatak, J.; Rao, C.N.R. High Crystalline Epitaxial Thin Films of NiO by Plasma-Enhanced ALD and Their Properties. APL Mater. 2023, 11, 091105. [Google Scholar] [CrossRef]
- Liao, C.; Lu, X.; Xu, T.; Fang, P.; Deng, Y.; Luo, H.; Wu, Z.; Chen, Z.; Liang, J.; Pei, Y.; et al. Optimization of NiO/β-Ga2O3 Heterojunction Diodes for High-Power Application. IEEE Trans. Electron Devices 2022, 69, 5722–5727. [Google Scholar] [CrossRef]
- Wrobel, F.; Park, H.; Sohn, C.; Hsiao, H.-W.; Zuo, J.-M.; Shin, H.; Lee, H.N.; Ganesh, P.; Benali, A.; Kent, P.R.C.; et al. Doped NiO: The Mottness of a Charge Transfer Insulator. Phys. Rev. B 2020, 101, 195128. [Google Scholar] [CrossRef]
- Luo, H.; Zhou, X.; Chen, Z.; Pei, Y.; Lu, X.; Wang, G. Fabrication and Characterization of High-Voltage NiO/β-Ga2O3 Heterojunction Power Diodes. IEEE Trans. Electron Devices 2021, 68, 3991–3996. [Google Scholar] [CrossRef]
- Gong, H.; Chen, X.; Xu, Y.; Chen, Y.; Ren, F.; Liu, B.; Gu, S.; Zhang, R.; Ye, J. Band Alignment and Interface Recombination in NiO/β-Ga2O3 Type-II p-n Heterojunctions. IEEE Trans. Electron Devices 2020, 67, 3341–3347. [Google Scholar] [CrossRef]
- Li, J.-S.; Wan, H.-H.; Chiang, C.-C.; Xia, X.; Yoo, T.J.; Kim, H.; Ren, F.; Pearton, S.J. Reproducible NiO/Ga2O3 Vertical Rectifiers with Breakdown Voltage >8 KV. Crystals 2023, 13, 886. [Google Scholar] [CrossRef]
- Deng, Y.; Yang, Z.; Xu, T.; Jiang, H.; Ng, K.W.; Liao, C.; Su, D.; Pei, Y.; Chen, Z.; Wang, G.; et al. Band Alignment and Electrical Properties of NiO/β-Ga2O3 Heterojunctions with Different β-Ga2O3 Orientations. Appl. Surf. Sci. 2023, 622, 156917. [Google Scholar] [CrossRef]
- Hao, W.; He, Q.; Zhou, K.; Xu, G.; Xiong, W.; Zhou, X.; Jian, G.; Chen, C.; Zhao, X.; Long, S. Low Defect Density and Small I−V Curve Hysteresis in NiO/β-Ga2O3 Pn Diode with a High PFOM of 0.65 GW/cm2. Appl. Phys. Lett. 2021, 118, 043501. [Google Scholar] [CrossRef]
- Yan, Q.; Gong, H.; Zhou, H.; Zhang, J.; Ye, J.; Liu, Z.; Wang, C.; Zheng, X.; Zhang, R.; Hao, Y. Low Density of Interface Trap States and Temperature Dependence Study of Ga2O3 Schottky Barrier Diode with P-NiOx Termination. Appl. Phys. Lett. 2022, 120, 092106. [Google Scholar] [CrossRef]
- Li, J.-S.; Wan, H.-H.; Chiang, C.-C.; Ren, F.; Pearton, S.J. Annealing Stability of NiO/Ga2O3 Vertical Heterojunction Rectifiers. Crystals 2023, 13, 1174. [Google Scholar] [CrossRef]
- Lu, X.; Zhou, X.; Jiang, H.; Ng, K.W.; Chen, Z.; Pei, Y.; Lau, K.M.; Wang, G. 1-KV Sputtered p-NiO/n-Ga2O3 Heterojunction Diodes with an Ultra-Low Leakage Current Below μA/cm2. IEEE Electron Device Lett. 2020, 41, 449–452. [Google Scholar] [CrossRef]
- Zhang, J.; Dong, P.; Dang, K.; Zhang, Y.; Yan, Q.; Xiang, H.; Su, J.; Liu, Z.; Si, M.; Gao, J.; et al. Ultra-Wide Bandgap Semiconductor Ga2O3 Power Diodes. Nat. Commun. 2022, 13, 3900. [Google Scholar] [CrossRef]
- Chiang, C.-C.; Li, J.-S.; Wan, H.-H.; Ren, F.; Pearton, S.J. The Optimization of NiO Doping, Thickness, and Extension in KV-Class NiO/Ga2O3 Vertical Rectifiers. Crystals 2023, 13, 1124. [Google Scholar] [CrossRef]
- Li, J.-S.; Chiang, C.-C.; Xia, X.; Wan, H.-H.; Ren, F.; Pearton, S.J. 1 Mm2, 3.6 KV, 4.8 A NiO/Ga2O3 Heterojunction Rectifiers. ECS J. Solid State Sci. Technol. 2023, 12, 085001. [Google Scholar] [CrossRef]
- Xiao, M.; Wang, B.; Spencer, J.; Qin, Y.; Porter, M.; Ma, Y.; Wang, Y.; Sasaki, K.; Tadjer, M.; Zhang, Y. NiO Junction Termination Extension for High-Voltage (>3 kV) Ga2O3 Devices. Appl. Phys. Lett. 2023, 122, 183501. [Google Scholar] [CrossRef]
- Zhou, F.; Gong, H.H.; Wang, Z.P.; Xu, W.Z.; Yu, X.X.; Yang, Y.; Ren, F.-F.; Gu, S.L.; Zhang, R.; Zheng, Y.D.; et al. Over 1.8 GW/cm2 Beveled-Mesa NiO/β-Ga2O3 Heterojunction Diode with 800 V/10 A Nanosecond Switching Capability. Appl. Phys. Lett. 2021, 119, 262103. [Google Scholar] [CrossRef]
- Hao, W.; He, Q.; Zhou, X.; Zhao, X.; Xu, G.; Long, S. 2.6 KV NiO/Ga2O3 Heterojunction Diode with Superior High-Temperature Voltage Blocking Capability. In Proceedings of the 2022 IEEE 34th International Symposium on Power Semiconductor Devices and ICs (ISPSD), Vancouver, BC, Canada, 22–25 May 2022; pp. 105–108. [Google Scholar]
- Wang, Y.; Gong, H.; Lv, Y.; Fu, X.; Dun, S.; Han, T.; Liu, H.; Zhou, X.; Liang, S.; Ye, J.; et al. 2.41 KV Vertical P-Nio/n-Ga2O3 Heterojunction Diodes with a Record Baliga’s Figure-of-Merit of 5.18 GW/cm2. IEEE Trans. Power Electron 2022, 37, 3743–3746. [Google Scholar] [CrossRef]
- Gong, H.H.; Chen, X.H.; Xu, Y.; Ren, F.-F.; Gu, S.L.; Ye, J.D. A 1.86-KV Double-Layered NiO/β-Ga2O3 Vertical p–n Heterojunction Diode. Appl. Phys. Lett. 2020, 117, 022104. [Google Scholar] [CrossRef]
- Li, J.-S.; Chiang, C.-C.; Xia, X.; Wan, H.-H.; Ren, F.; Pearton, S.J. 7.5 KV, 6.2 GW cm−2 NiO/β-Ga2O3 Vertical Rectifiers with on–off Ratio Greater than 1013. J. Vac. Sci. Technol. A 2023, 41, 030401. [Google Scholar] [CrossRef]
- Wang, B.; Xiao, M.; Spencer, J.; Qin, Y.; Sasaki, K.; Tadjer, M.J.; Zhang, Y. 2.5 KV Vertical Ga2O3 Schottky Rectifier with Graded Junction Termination Extension. IEEE Electron Device Lett. 2023, 44, 221–224. [Google Scholar] [CrossRef]
- Gong, H.H.; Yu, X.X.; Xu, Y.; Chen, X.H.; Kuang, Y.; Lv, Y.J.; Yang, Y.; Ren, F.-F.; Feng, Z.H.; Gu, S.L.; et al. β-Ga2O3 Vertical Heterojunction Barrier Schottky Diodes Terminated with p-NiO Field Limiting Rings. Appl. Phys. Lett. 2021, 118, 202102. [Google Scholar] [CrossRef]
- Wang, Y.; Gong, H.; Jia, X.; Han, G.; Ye, J.; Liu, Y.; Hu, H.; Ou, X.; Ma, X.; Hao, Y. First Demonstration of RESURF and Superjunction ß-Ga2O3 MOSFETs with p-NiO/n-Ga2O3 Junctions. In Proceedings of the 2021 IEEE International Electron Devices Meeting (IEDM), San Francisco, CA, USA, 11–16 December 2021; pp. 36.6.1–36.6.4. [Google Scholar]
- Qin, Y.; Xiao, M.; Porter, M.; Ma, Y.; Spencer, J.; Du, Z.; Jacobs, A.G.; Sasaki, K.; Wang, H.; Tadjer, M.; et al. 10-KV Ga2O3 Charge-Balance Schottky Rectifier Operational at 200 °C. IEEE Electron Device Lett. 2023, 44, 1268–1271. [Google Scholar] [CrossRef]
- Lv, Y.; Wang, Y.; Fu, X.; Dun, S.; Sun, Z.; Liu, H.; Zhou, X.; Song, X.; Dang, K.; Liang, S.; et al. Demonstration of β-Ga2O3 Junction Barrier Schottky Diodes with a Baliga’s Figure of Merit of 0.85 GW/cm2 or a 5A/700 V Handling Capabilities. IEEE Trans. Power Electron 2021, 36, 6179–6182. [Google Scholar] [CrossRef]
- Yan, Q.; Gong, H.; Zhang, J.; Ye, J.; Zhou, H.; Liu, Z.; Xu, S.; Wang, C.; Hu, Z.; Feng, Q.; et al. β-Ga2O3 Hetero-Junction Barrier Schottky Diode with Reverse Leakage Current Modulation and BV2/Ron,Sp Value of 0.93 GW/cm2. Appl. Phys. Lett. 2021, 118, 122102. [Google Scholar] [CrossRef]
- Wu, F.; Wang, Y.; Jian, G.; Xu, G.; Zhou, X.; Guo, W.; Du, J.; Liu, Q.; Dun, S.; Yu, Z.; et al. Superior Performance β-Ga2O3 Junction Barrier Schottky Diodes Implementing p-NiO Heterojunction and Beveled Field Plate for Hybrid Cockcroft–Walton Voltage Multiplier. IEEE Trans. Electron Devices 2023, 70, 1199–1205. [Google Scholar] [CrossRef]
- Wang, C.; Gong, H.; Lei, W.; Cai, Y.; Hu, Z.; Xu, S.; Liu, Z.; Feng, Q.; Zhou, H.; Ye, J.; et al. Demonstration of the P-NiOx/n-Ga2O3 Heterojunction Gate FETs and Diodes with BV2/Ron,Sp Figures of Merit of 0.39 GW/cm2 and 1.38 GW/cm2. IEEE Electron Device Lett. 2021, 42, 485–488. [Google Scholar] [CrossRef]
- Zhou, X.; Liu, Q.; Hao, W.; Xu, G.; Long, S. Normally-off β-Ga2O3 Power Heterojunction Field-Effect-Transistor Realized by p-NiO and Recessed-Gate. In Proceedings of the 2022 IEEE 34th International Symposium on Power Semiconductor Devices and ICs (ISPSD), Vancouver, BC, Canada, 22–25 May 2022; pp. 101–104. [Google Scholar]
- Ashwin Kumar Saikumar, S.D.N.; Sundaram, K.B. A Review of Recent Developments in Aluminum Gallium Oxide Thin Films and Devices. Crit. Rev. Solid State Mater. Sci. 2022, 47, 538–569. [Google Scholar] [CrossRef]
- Ranga, P.; Rishinaramangalam, A.; Varley, J.; Bhattacharyya, A.; Feezell, D.; Krishnamoorthy, S. Si-Doped β-(Al0.26Ga0.74)2O3 Thin Films and Heterostructures Grown by Metalorganic Vapor-Phase Epitaxy. Appl. Phys. Express 2019, 12, 111004. [Google Scholar] [CrossRef]
- Okumura, H.; Kato, Y.; Oshima, T.; Palacios, T. Demonstration of Lateral Field-Effect Transistors Using Sn-Doped β-(AlGa)2O3 (010). Jpn. J. Appl. Phys. 2019, 58, SBBD12. [Google Scholar] [CrossRef]
- Peelaers, H.; Varley, J.B.; Speck, J.S.; Van de Walle, C.G. Structural and electronic properties of Ga2O3-Al2O3 alloys. Appl. Phys. Lett. 2018, 112, 242101. [Google Scholar] [CrossRef]
- Zhang, F.; Saito, K.; Tanaka, T.; Nishio, M.; Arita, M.; Guo, Q. Wide Bandgap Engineering of (AlGa)2O3 Films. Appl. Phys. Lett. 2014, 105, 162107. [Google Scholar] [CrossRef]
- Wang, C.-C.; Yuan, S.-H.; Ou, S.-L.; Huang, S.-Y.; Lin, K.-Y.; Chen, Y.-A.; Hsiao, P.-W.; Wuu, D.-S. Growth and Characterization of Co-Sputtered Aluminum-Gallium Oxide Thin Films on Sapphire Substrates. J. Alloys Compd. 2018, 765, 894–900. [Google Scholar] [CrossRef]
- Oshima, T.; Okuno, T.; Arai, N.; Kobayashi, Y.; Fujita, S. β-Al2xGa2-2xO3 Thin Film Growth by Molecular Beam Epitaxy. Jpn. J. Appl. Phys. 2009, 48, 070202. [Google Scholar] [CrossRef]
- Oshima, Y.; Ahmadi, E.; Badescu, S.C.; Wu, F.; Speck, J.S. Composition Determination of β-(AlxGa1−x)2O3 Layers Coherently Grown on (010) β-Ga2O3 Substrates by High-Resolution X-Ray Diffraction. Appl. Phys. Express 2016, 9, 061102. [Google Scholar] [CrossRef]
- Kaun, S.W.; Wu, F.; Speck, J.S. β-(AlxGa1−x)2O3/Ga2O3 (010) Heterostructures Grown on β-Ga2O3 (010) Substrates by Plasma-Assisted Molecular Beam Epitaxy. J. Vac. Sci. Technol. A 2015, 33, 041508. [Google Scholar] [CrossRef]
- Zhang, Y.; Neal, A.; Xia, Z.; Joishi, C.; Johnson, J.M.; Zheng, Y.; Bajaj, S.; Brenner, M.; Dorsey, D.; Chabak, K.; et al. Demonstration of High Mobility and Quantum Transport in Modulation-Doped β-(AlxGa1−x)2O3/Ga2O3 Heterostructures. Appl. Phys. Lett. 2018, 112, 173502. [Google Scholar] [CrossRef]
- Miller, R.; Alema, F.; Osinsky, A. Epitaxial β-Ga2O3 and β-(AlxGa1−x)2O3/β-Ga2O3 Heterostructures Growth for Power Electronics. IEEE Trans. Semicond. Manuf. 2018, 31, 467–474. [Google Scholar] [CrossRef]
- Zhang, Y.; Mauze, A.; Speck, J.S. Development of β-(AlxGa1−x)2O3/Ga2O3 Heterostructures; University of California: Santa Barbara CA, USA, 2019. [Google Scholar]
- Bhuiyan, A.F.M.A.U.; Meng, L.; Huang, H.-L.; Chae, C.; Hwang, J.; Zhao, H. Al Incorporation up to 99% in Metalorganic Chemical Vapor Deposition-Grown Monoclinic (AlxGa1−x)2O3 Films Using Trimethylgallium. Phys. Status Solidi (RRL)–Rapid Res. Lett. 2023, 17, 2300224. [Google Scholar] [CrossRef]
- Wang, D.; Mudiyanselage, D.H.; Fu, H. Design Space of Delta-Doped β-(AlxGa1-x)2O3/Ga2O3 High-Electron Mobility Transistors. IEEE Trans. Electron Devices 2022, 69, 69–74. [Google Scholar] [CrossRef]
- Ahmadi, E.; Koksaldi, O.S.; Zheng, X.; Mates, T.; Oshima, Y.; Mishra, U.K.; Speck, J.S. Demonstration of β-(AlxGa1−x)2O3/β-Ga2O3 Modulation Doped Field-Effect Transistors with Ge as Dopant Grown via Plasma-Assisted Molecular Beam Epitaxy. Appl. Phys. Express 2017, 10, 071101. [Google Scholar] [CrossRef]
- Kalarickal, N.K.; Xia, Z.; McGlone, J.F.; Liu, Y.; Moore, W.; Arehart, A.R.; Ringel, S.A.; Rajan, S. High Electron Density β-(Al0.17Ga0.83)2O3/Ga2O3 Modulation Doping Using an Ultra-Thin (1 Nm) Spacer Layer. J. Appl. Phys. 2020, 127, 215706. [Google Scholar] [CrossRef]
- Kalarickal, N.K.; Feng, Z.; Anhar Uddin Bhuiyan, A.F.M.; Xia, Z.; Moore, W.; McGlone, J.F.; Arehart, A.R.; Ringel, S.A.; Zhao, H.; Rajan, S. Electrostatic Engineering Using Extreme Permittivity Materials for Ultra-Wide Bandgap Semiconductor Transistors. IEEE Trans. Electron Devices 2021, 68, 29–35. [Google Scholar] [CrossRef]
- Zhang, Y.; Joishi, C.; Xia, Z.; Brenner, M.; Lodha, S.; Rajan, S. Demonstration of β-(AlxGa1−x)2O3/Ga2O3 Double Heterostructure Field Effect Transistors. Appl. Phys. Lett. 2018, 112, 233503. [Google Scholar] [CrossRef]
- Kalarickal, N.K.; Xia, Z.; Huang, H.-L.; Moore, W.; Liu, Y.; Brenner, M.; Hwang, J.; Rajan, S. β-(Al0.18Ga0.82)2O3/Ga2O3 Double Heterojunction Transistor with Average Field of 5.5 MV/Cm. IEEE Electron Device Lett. 2021, 42, 899–902. [Google Scholar] [CrossRef]
- Vaidya, A.; Saha, C.N.; Singisetti, U. Enhancement Mode β-(AlxGa1−x)2O3/Ga2O3 Heterostructure FET (HFET) with High Transconductance and Cutoff Frequency. IEEE Electron Device Lett. 2021, 42, 1444–1447. [Google Scholar] [CrossRef]
- Joishi, C.; Zhang, Y.; Xia, Z.; Sun, W.; Arehart, A.R.; Ringel, S.; Lodha, S.; Rajan, S. Breakdown Characteristics of β-(Al0.22Ga0.78)2O3/Ga2O3 Field-Plated Modulation-Doped Field-Effect Transistors. IEEE Electron Device Lett. 2019, 40, 1241–1244. [Google Scholar] [CrossRef]
- Wang, D.; Mudiyanselage, D.H.; Fu, H. Design of KV-Class and Low RON E-Mode β-Ga2O3 Current Aperture Vertical Transistors with Delta-Doped β-(AlxGa1−x)2O3/Ga2O3 Heterostructure. IEEE Trans. Electron Devices 2023, 70, 5795–5802. [Google Scholar] [CrossRef]
- Sundaram, P.P.; Alema, F.; Osinsky, A.; Koester, S.J. β-(AlxGa1−x)2O3/Ga2O3 Heterostructure Schottky Diodes for Improved VBR2/RON. J. Vac. Sci. Technol. A 2022, 40, 043211. [Google Scholar] [CrossRef]
- Ahmadi, E.; Oshima, Y.; Wu, F.; Speck, J.S. Schottky Barrier Height of Ni to β-(AlxGa1−x)2O3 with Different Compositions Grown by Plasma-Assisted Molecular Beam Epitaxy. Semicond. Sci. Technol. 2017, 32, 035004. [Google Scholar] [CrossRef]
- Mudiyanselage, D.H.; Wang, D.; Fu, H. Ultrawide Bandgap Vertical β-(AlxGa1−x)2O3 Schottky Barrier Diodes on Free-Standing β-Ga2O3 Substrates. J. Vac. Sci. Technol. A 2023, 41, 023201. [Google Scholar] [CrossRef]
- Wan, H.-H.; Li, J.-S.; Chiang, C.-C.; Xia, X.; Ren, F.; Masten, H.N.; Lundh, J.S.; Spencer, J.A.; Alema, F.; Osinsky, A.; et al. Operation of NiO/β-(Al0.21Ga0.79)2O3/Ga2O3 Heterojunction Lateral Rectifiers at up to 225 °C. ECS J. Solid State Sci. Technol. 2023, 12, 075008. [Google Scholar] [CrossRef]
- Wan, H.-H.; Li, J.-S.; Chiang, C.-C.; Xia, X.; Ren, F.; Masten, H.N.; Lundh, J.S.; Spencer, J.A.; Alema, F.; Osinsky, A.; et al. NiO/β-(AlxGa1−x)2O3/Ga2O3 Heterojunction Lateral Rectifiers with Reverse Breakdown Voltage >7 kV. J. Vac. Sci. Technol. A 2023, 41, 032701. [Google Scholar] [CrossRef]
- Montes, J.; Yang, C.; Fu, H.; Yang, T.-H.; Fu, K.; Chen, H.; Zhou, J.; Huang, X.; Zhao, Y. Demonstration of Mechanically Exfoliated β-Ga2O3/GaN p-n Heterojunction. Appl. Phys. Lett. 2019, 114, 162103. [Google Scholar] [CrossRef]
- Herath Mudiyanselage, D.; Wang, D.; Fu, H. Wide Bandgap Vertical KV-Class β-Ga2O3/GaN Heterojunction p-n Power Diodes with Mesa Edge Termination. IEEE J. Electron Devices Soc. 2022, 10, 89–97. [Google Scholar] [CrossRef]
- Nandi, A.; Rana, K.S.; Bag, A. Design and Analysis of P-GaN/N-Ga2O3 Based Junction Barrier Schottky Diodes. IEEE Trans. Electron Devices 2021, 68, 6052–6058. [Google Scholar] [CrossRef]
- Mudiyanselage, D.H.; Wang, D.; Fu, H. Design and Analysis of KV-Class Ultrawide Bandgap β-Ga2O3/p-GaN Heterojunction Barrier Schottky Diodes. In Proceedings of the 2022 Compound Semiconductor Week (CSW), Ann Arbor, MI, USA, 1–3 June 2022; pp. 1–2. [Google Scholar]
- Nakagomi, S.; Momo, T.; Takahashi, S.; Kokubun, Y. Deep Ultraviolet Photodiodes Based on β-Ga2O3/SiC Heterojunction. Appl. Phys. Lett. 2013, 103, 072105. [Google Scholar] [CrossRef]
- Nakagomi, S.; Hiratsuka, K.; Kakuda, Y.; Yoshihiro, K. Beta-Gallium Oxide/SiC Heterojunction Diodes with High Rectification Ratios. ECS J. Solid State Sci. Technol. 2016, 6, Q3030. [Google Scholar] [CrossRef]
- Song, Y.; Bhattacharyya, A.; Karim, A.; Shoemaker, D.; Huang, H.-L.; Roy, S.; McGray, C.; Leach, J.H.; Hwang, J.; Krishnamoorthy, S.; et al. Ultra-Wide Band Gap Ga2O3-on-SiC MOSFETs. ACS Appl. Mater. Interfaces 2023, 15, 7137–7147. [Google Scholar] [CrossRef]
- Watahiki, T.; Yuda, Y.; Furukawa, A.; Yamamuka, M.; Takiguchi, Y.; Miyajima, S. Heterojunction P-Cu2O/n-Ga2O3 Diode with High Breakdown Voltage. Appl. Phys. Lett. 2017, 111, 222104. [Google Scholar] [CrossRef]
- Gallagher, J.C.; Koehler, A.D.; Tadjer, M.J.; Mahadik, N.A.; Anderson, T.J.; Budhathoki, S.; Law, K.-M.; Hauser, A.J.; Hobart, K.D.; Kub, F.J. Demonstration of CuI as a P–N Heterojunction to β-Ga2O3. Appl. Phys. Express 2019, 12, 104005. [Google Scholar] [CrossRef]
- Budde, M.; Splith, D.; Mazzolini, P.; Tahraoui, A.; Feldl, J.; Ramsteiner, M.; von Wenckstern, H.; Grundmann, M.; Bierwagen, O. SnO/β-Ga2O3 Vertical Pn Heterojunction Diodes. Appl. Phys. Lett. 2020, 117, 252106. [Google Scholar] [CrossRef]
- Tetzner, K.; Egbo, K.; Klupsch, M.; Unger, R.-S.; Popp, A.; Chou, T.-S.; Anooz, S.B.; Galazka, Z.; Trampert, A.; Bierwagen, O.; et al. SnO/β-Ga2O3 Heterojunction Field-Effect Transistors and Vertical p–n Diodes. Appl. Phys. Lett. 2022, 120, 112110. [Google Scholar] [CrossRef]
- Umezawa, H. Recent Advances in Diamond Power Semiconductor Devices. Mater. Sci. Semicond. Process 2018, 78, 147–156. [Google Scholar] [CrossRef]
- Isberg, J.; Hammersberg, J.; Johansson, E.; Wikström, T.; Twitchen, D.J.; Whitehead, A.J.; Coe, S.E.; Scarsbrook, G.A. High Carrier Mobility in Single-Crystal Plasma-Deposited Diamond. Science 2002, 297, 1670–1672. [Google Scholar] [CrossRef] [PubMed]
- Sittimart, P.; Ohmagari, S.; Matsumae, T.; Umezawa, H.; Yoshitake, T. Diamond/β-Ga2O3 Pn Heterojunction Diodes Fabricated by Low-Temperature Direct-Bonding. AIP Adv. 2021, 11, 105114. [Google Scholar] [CrossRef]
- Matsumae, T.; Kurashima, Y.; Umezawa, H.; Tanaka, K.; Ito, T.; Watanabe, H.; Takagi, H. Low-Temperature Direct Bonding of β-Ga2O3 and Diamond Substrates under Atmospheric Conditions. Appl. Phys. Lett. 2020, 116, 141602. [Google Scholar] [CrossRef]
- Nandi, A.; Cherns, D.; Sanyal, I.; Kuball, M. Epitaxial Growth of (−201) β-Ga2O3 on (001) Diamond Substrates. Cryst. Growth Des. 2023, 23, 8290–8295. [Google Scholar] [CrossRef] [PubMed]
- Kusaba, T.; Sittimart, P.; Katamune, Y.; Kageura, T.; Naragino, H.; Ohmagari, S.; Valappil, S.M.; Nagano, S.; Zkria, A.; Yoshitake, T. Heteroepitaxial Growth of β-Ga2O3 Thin Films on Single Crystalline Diamond (111) Substrates by Radio Frequency Magnetron Sputtering. Appl. Phys. Express 2023, 16, 105503. [Google Scholar] [CrossRef]
- Mishra, A.; Abdallah, Z.; Pomeroy, J.W.; Uren, M.J.; Kuball, M. Electrical and Thermal Performance of Ga2O3–Al2O3–Diamond Super-Junction Schottky Barrier Diodes. IEEE Trans. Electron Devices 2021, 68, 5055–5061. [Google Scholar] [CrossRef]
- Malakoutian, M.; Song, Y.; Yuan, C.; Ren, C.; Lundh, J.S.; Lavelle, R.M.; Brown, J.E.; Snyder, D.W.; Graham, S.; Choi, S.; et al. Polycrystalline Diamond Growth on β-Ga2O3 for Thermal Management. Appl. Phys. Express 2021, 14, 55502. [Google Scholar] [CrossRef]
- Rahaman, I.; Ellis, H.D.; Fu, K. Robust Diamond/{eta}-Ga2O3 Hetero-p-n-Junction Via Mechanically Integrating Their Building Blocks. arXiv 2023, arXiv:2311.16323. [Google Scholar]
- Hickman, A.L.; Chaudhuri, R.; Bader, S.J.; Nomoto, K.; Li, L.; Hwang, J.C.M.; Xing, H.G.; Jena, D. Next Generation Electronics on the Ultrawide-Bandgap Aluminum Nitride Platform. Semicond. Sci. Technol. 2021, 36, 44001. [Google Scholar] [CrossRef]
- Chen, J.-X.; Tao, J.-J.; Ma, H.-P.; Zhang, H.; Feng, J.-J.; Liu, W.-J.; Xia, C.; Lu, H.-L.; Zhang, D.W. Band Alignment of AlN/β-Ga2O3 Heterojunction Interface Measured by x-Ray Photoelectron Spectroscopy. Appl. Phys. Lett. 2018, 112, 261602. [Google Scholar] [CrossRef]
- Song, K.; Zhang, H.; Fu, H.; Yang, C.; Singh, R.; Zhao, Y.; Sun, H.; Long, S. Normally-off AlN/β-Ga2O3 Field-Effect Transistors Using Polarization-Induced Doping. J. Phys. D Appl. Phys. 2020, 53, 345107. [Google Scholar] [CrossRef]
- Baskaran, S.; Shunmugathammal, M.; Sivamani, C.; Ravi, S.; Murugapandiyan, P.; Ramkumar, N. UWBG AlN/β-Ga2O3 HEMT on Silicon Carbide Substrate for Low Loss Portable Power Converters and RF Applications. Silicon 2022, 14, 11079–11087. [Google Scholar] [CrossRef]
- He, Z.; Fu, K.; Xu, M.; Zhou, J.; Li, T.; Zhao, Y. Understanding the Breakdown Behavior of Ultrawide-Bandgap Boron Nitride Power Diodes Using Device Modeling. Phys. Status Solidi (RRL)–Rapid Res. Lett. 2023, 2200397. [Google Scholar] [CrossRef]
- Biswas, A.; Xu, M.; Fu, K.; Zhou, J.; Xu, R.; Puthirath, A.B.; Hachtel, J.A.; Li, C.; Iyengar, S.A.; Kannan, H.; et al. Properties and Device Performance of BN Thin Films Grown on GaN by Pulsed Laser Deposition. Appl. Phys. Lett. 2022, 121, 092105. [Google Scholar] [CrossRef]
- Xu, M.; Biswas, A.; Li, T.; He, Z.; Luo, S.; Mei, Z.; Zhou, J.; Chang, C.; Puthirath, A.B.; Vajtai, R.; et al. Vertical β-Ga2O3 Metal–Insulator–Semiconductor Diodes with an Ultrathin Boron Nitride Interlayer. Appl. Phys. Lett. 2023, 123, 232107. [Google Scholar] [CrossRef]
- Lemme, M.C.; Akinwande, D.; Huyghebaert, C.; Stampfer, C. 2D Materials for Future Heterogeneous Electronics. Nat. Commun. 2022, 13, 1392. [Google Scholar] [CrossRef]
- Su, S.-K.; Chuu, C.-P.; Li, M.-Y.; Cheng, C.-C.; Wong, H.-S.P.; Li, L.-J. Layered Semiconducting 2D Materials for Future Transistor Applications. Small Struct. 2021, 2, 2000103. [Google Scholar] [CrossRef]
- Yan, X.; Esqueda, I.S.; Ma, J.; Tice, J.; Wang, H. High Breakdown Electric Field in β-Ga2O3/Graphene Vertical Barristor Heterostructure. Appl. Phys. Lett. 2018, 112, 032101. [Google Scholar] [CrossRef]
- Kim, J.; Mastro, M.A.; Tadjer, M.J.; Kim, J. Heterostructure WSe2−Ga2O3 Junction Field-Effect Transistor for Low-Dimensional High-Power Electronics. ACS Appl. Mater. Interfaces 2018, 10, 29724–29729. [Google Scholar] [CrossRef] [PubMed]
- Leblanc, C.; Herath Mudiyanselage, D.; Song, S.; Zhang, H.; Davydov, A.V.; Fu, H.; Jariwala, D. Vertical van Der Waals Heterojunction Diodes Comprising 2D Semiconductors on 3D β-Ga2O3. Nanoscale 2023, 15, 9964–9972. [Google Scholar] [CrossRef] [PubMed]















Disclaimer/Publisher’s Note: The statements, opinions and data contained in all publications are solely those of the individual author(s) and contributor(s) and not of MDPI and/or the editor(s). MDPI and/or the editor(s) disclaim responsibility for any injury to people or property resulting from any ideas, methods, instructions or products referred to in the content. |
© 2024 by the authors. Licensee MDPI, Basel, Switzerland. This article is an open access article distributed under the terms and conditions of the Creative Commons Attribution (CC BY) license (https://creativecommons.org/licenses/by/4.0/).
Share and Cite
Herath Mudiyanselage, D.; Da, B.; Adivarahan, J.; Wang, D.; He, Z.; Fu, K.; Zhao, Y.; Fu, H. β-Ga2O3-Based Heterostructures and Heterojunctions for Power Electronics: A Review of the Recent Advances. Electronics 2024, 13, 1234. https://doi.org/10.3390/electronics13071234
Herath Mudiyanselage D, Da B, Adivarahan J, Wang D, He Z, Fu K, Zhao Y, Fu H. β-Ga2O3-Based Heterostructures and Heterojunctions for Power Electronics: A Review of the Recent Advances. Electronics. 2024; 13(7):1234. https://doi.org/10.3390/electronics13071234
Chicago/Turabian StyleHerath Mudiyanselage, Dinusha, Bingcheng Da, Jayashree Adivarahan, Dawei Wang, Ziyi He, Kai Fu, Yuji Zhao, and Houqiang Fu. 2024. "β-Ga2O3-Based Heterostructures and Heterojunctions for Power Electronics: A Review of the Recent Advances" Electronics 13, no. 7: 1234. https://doi.org/10.3390/electronics13071234
APA StyleHerath Mudiyanselage, D., Da, B., Adivarahan, J., Wang, D., He, Z., Fu, K., Zhao, Y., & Fu, H. (2024). β-Ga2O3-Based Heterostructures and Heterojunctions for Power Electronics: A Review of the Recent Advances. Electronics, 13(7), 1234. https://doi.org/10.3390/electronics13071234

