A Formal Model for Reliable Data Acquisition and Control in Legacy Critical Infrastructures
Abstract
1. Introduction
2. Data Acquisition in Water Distribution Networks
3. State of the Art
4. Formal Model
- (a)
- For any simple statement p, p is a wfds. Furthermore, if , then A is a wfds.
- (b)
- If A is a wfds and ∗ is a unary connective, then is a wfds.
- (c)
- If A and B are a wfds and ∗ a binary connective, then is a wfds.
- (d)
- There are no more well-formed data statements than those defined by the clauses (a), (b) and (c).
- d1.
- .
- d2.
- & .
- d3.
- | & ,
- p1.
- .
- p2.
- ( & ).
- (i).
- ( & ).
- (ii).
- if and .
- (iii).
- if or .
- (iv).
- if for all b, , ( and ).
- (v).
- if .
The Relation R and the Topological Requirements
5. Implementation
5.1. Algorithm
| Algorithm 1 Topological requirements of the model | |
| if [node_a connects with (designated_node and node_b)] and [node_b connects with | |
| (designated_node and node_a] then | |
| node_b disconnects from designated_node | ▷ d2 |
| end if | |
| if len(nodes_connections)≥ 4 and is even then | |
| (new_node connects with node_(len-1) and node_len) and (node_(len-1) disconnects | |
| from node_len) | ▷ d3 |
| end if | |
| if node_a connects with designated_node then | |
| [(node_a connects with node_a) | ▷ p1 |
| end if | |
| if [(designated_node connects with node_a) and (node_a connects with node_b)] and | |
| [(node_b connects with node_c) and (node_c connects with node_d)] then | |
| node_a connects with node_c | ▷ p2 |
| end if | |
5.2. Architecture
- 1
- If a node is connected to the set of designated nodes T and it is not a PLC, i.e., it has computation capabilities, the node will disconnect from the original node and will connect to a PLC.
- 2
- If two PLCs are connected to T and to each other, the connection of one of them with T will be eliminated.
- 3
- If there is a chain of nodes with a length equal to or over four, and the length is an even number, a new node will be inserted in the second to last position, breaking the previous connections.
- 4
- If a chain of over three regular nodes connects to a PLC, the second regular node will also be connected to the PLC.
- 1
- It will check if the new node is connected to a node of the set T, the set of designated nodes, and a previously existing one. It will also check if the previous node is connected to T. If that is the case, then the new node will be eliminated.
- 2
- It will ensure the computation capabilities of the new node in case it is connected to T. If it does not have those, it will be eliminated.
- 3
- It will evaluate if the connections described in p2, the fourth if statement of the algorithm, exist. Otherwise, it will create them.
- 4
- It will go over the length of the chains of nodes; if those are over four elements, the number of elements is even. If these conditions are satisfied, a new node will be added in the second to last position of the chain, breaking the previous connections.
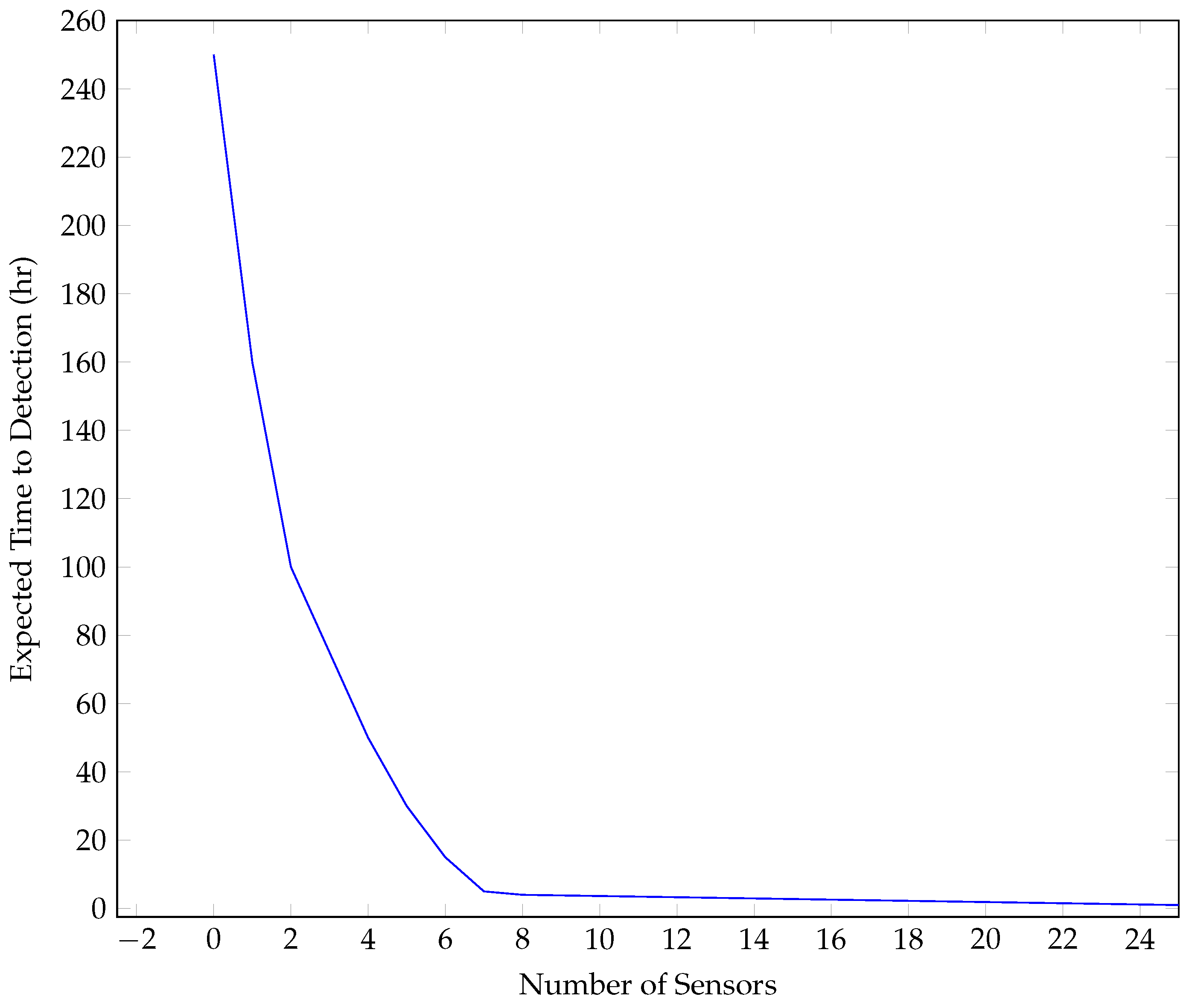
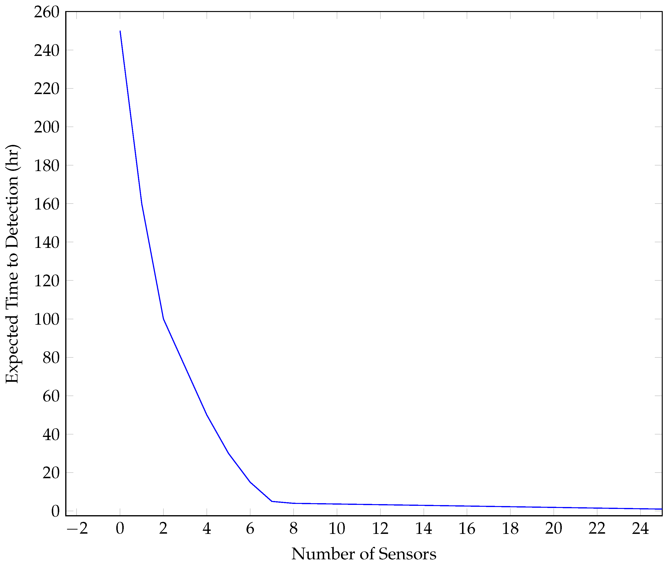
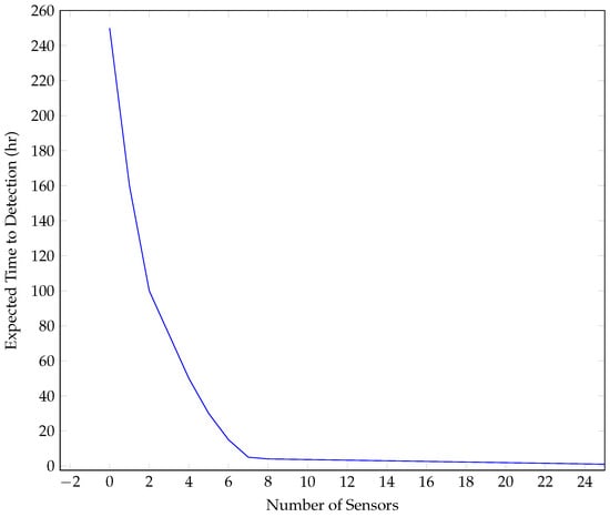
6. Validation
Limitations
7. Conclusions
Author Contributions
Funding
Data Availability Statement
Acknowledgments
Conflicts of Interest
References
- Chren, S.; Rossi, B.; Pitner, T. Smart grids deployments within EU projects: The role of smart meters. In Proceedings of the 2016 Smart Cities Symposium Prague (SCSP), Prague, Czech Republic, 26–27 May 2016; pp. 1–5. [Google Scholar] [CrossRef]
- Zhu, Z.Y.; Xie, H.M.; Chen, L. ICT industry innovation: Knowledge structure and research agenda. Technol. Forecast. Soc. Change 2023, 189, 122361. [Google Scholar] [CrossRef]
- Carriço, N.; Ferreira, B.; Antunes, A.; Caetano, J.; Covas, D. Computational Tools for Supporting the Operation and Management of Water Distribution Systems towards Digital Transformation. Water 2023, 15, 553. [Google Scholar] [CrossRef]
- Yao, C.; Fan, B. Spatiotemporal Vulnerability Analysis of Large-Scale Infrastructure Systems under Cascading Failures: Case of Water Distribution Networks. J. Infrastruct. Syst. 2023, 29, 04023008. [Google Scholar] [CrossRef]
- Pereira, L.; Morais, D.; Figueira, J. Using criticality categories to evaluate water distribution networks and improve maintenance management. Sustain. Cities Soc. 2020, 61, 102308. [Google Scholar] [CrossRef]
- Boyer, S.A. SCADA: Supervisory Control and Data Acquisition; International Society of Automation: Research Triangle Park, NC, USA, 2009. [Google Scholar]
- Routley, R.; Meyer, R.; Brady, R.; Plumwood, V. Relevant Logics and Their Rivals 1; Ridgeview: Atascadero, CA, USA, 1983. [Google Scholar]
- Blanco, J.M.; Rossi, B.; Pitner, T. A Time-Sensitive Model for Data Tampering Detection for the Advanced Metering Infrastructure. In Proceedings of the 2021 16th Conference on Computer Science and Intelligence Systems (FedCSIS), Online, 2–5 September 2021; pp. 511–519. [Google Scholar] [CrossRef]
- Mays, L.W. (Ed.) Water Distribution System Handbook, 1st ed.; McGraw-Hill Education: New York, NY, USA, 2000. [Google Scholar]
- Alves, D.; Blesa, J.; Duviella, E.; Rajaoarisoa, L. Topological analysis of water distribution networks for optimal leak localization. IOP Conf. Ser. Earth Environ. Sci. 2023, 1136, 012043. [Google Scholar] [CrossRef]
- Ciliberti, F.G.; Berardi, L.; Laucelli, D.B.; Giustolisi, O. Digital Transformation Paradigm for Asset Management in Water Distribution Networks. In Proceedings of the 2021 10th International Conference on ENERGY and ENVIRONMENT (CIEM), Bucharest, Romania, 14–15 October 2021; pp. 1–5. [Google Scholar] [CrossRef]
- Wu, Z.Y.; Chew, A.; Meng, X.; Cai, J.; Pok, J.; Kalfarisi, R.; Lai, K.C.; Hew, S.F.; Wong, J.J. High Fidelity Digital Twin-Based Anomaly Detection and Localization for Smart Water Grid Operation Management. Sustain. Cities Soc. 2023, 91, 104446. [Google Scholar] [CrossRef]
- Zekri, S.; Jabeur, N.; Gharrad, H. Smart Water Management Using Intelligent Digital Twins. Comput. Inf. 2022, 41, 135–153. [Google Scholar] [CrossRef]
- Korotkova, N.; Benders, J.; Mikalef, P.; Cameron, D. Maneuvering between skepticism and optimism about hyped technologies: Building trust in digital twins. Inf. Manag. 2023, 60, 103787. [Google Scholar] [CrossRef]
- Adedeji, K.B.; Ponnle, A.A.; Abu-Mahfouz, A.M.; Kurien, A.M. Towards Digitalization of Water Supply Systems for Sustainable Smart City Development—Water 4.0. Appl. Sci. 2022, 12, 9174. [Google Scholar] [CrossRef]
- Mohapatra, H.; Mohanta, B.K.; Nikoo, M.R.; Daneshmand, M.; Gandomi, A.H. MCDM-Based Routing for IoT-Enabled Smart Water Distribution Network. IEEE Internet Things J. 2023, 10, 4271–4280. [Google Scholar] [CrossRef]
- Guo, Y.; Wang, S.; Taha, A.F.; Summers, T.H. Optimal Pump Control for Water Distribution Networks via Data-Based Distributional Robustness. IEEE Trans. Control. Syst. Technol. 2023, 31, 114–129. [Google Scholar] [CrossRef]
- van Lagen, G.; Abraham, E.; Esfahani, P.M. A Bayesian Approach for Active Fault Isolation with an Application to Leakage Localization in Water Distribution Networks. IEEE Trans. Control. Syst. Technol. 2023, 31, 761–771. [Google Scholar] [CrossRef]
- Lasi, H.; Fettke, P.; Kemper, H.G.; Feld, T.; Hoffmann, M. Industry 4.0. Bus. Inf. Syst. Eng. 2014, 6, 239–242. [Google Scholar] [CrossRef]
- Alcaraz, C.; Zeadally, S. Critical infrastructure protection: Requirements and challenges for the 21st century. Int. J. Crit. Infrastruct. Prot. 2015, 8, 53–66. [Google Scholar] [CrossRef]
- Yadav, G.; Paul, K. Architecture and security of SCADA systems: A review. Int. J. Crit. Infrastruct. Prot. 2021, 34, 100433. [Google Scholar] [CrossRef]
- Dolatshahi-Zand, A.; Damghani, K.K.; Raissi, S. An evolutionary approach with reliability priority to design Scada systems for water reservoirs. Evol. Syst. 2022, 13, 499–517. [Google Scholar] [CrossRef]
- Rigatos, G.; Serpanos, D.; Zervos, N. Detection of attacks against power grid sensors using Kalman filter and statistical decision making. IEEE Sens. J. 2017, 17, 7641–7648. [Google Scholar] [CrossRef]
- Suaboot, J.; Fahad, A.; Tari, Z.; Grundy, J.; Mahmood, A.N.; Almalawi, A.; Zomaya, A.Y.; Drira, K. A Taxonomy of Supervised Learning for IDSs in SCADA Environments. ACM Comput. Surv. 2020, 53, 1–37. [Google Scholar] [CrossRef]
- Ducharlet, K.; Travé-Massuyès, L.; Le Lann, M.V.; Miloudi, Y. A multi-phase iterative approach for anomaly detection and its agnostic evaluation. In Lecture Notes in Computer Science (Including Subseries Lecture Notes in Artificial Intelligence and Lecture Notes in Bioinformatics), 2020, 12144 LNAI; Springer: Cham, Switzerland, 2020; pp. 505–517. [Google Scholar] [CrossRef]
- Ren, Z.; Wang, S.; Zhang, Y. Weakly supervised machine learning. CAAI Trans. Intell. Technol. 2023, 8, 549–580. [Google Scholar] [CrossRef]
- Wang, P.; Xiang, M.; Lei, R. Research on Multi-Sensor Data Fusion Algorithm for Monitoring of Power Distribution Station. Smart Innov. Syst. Technol. 2022, 257, 207–213. [Google Scholar] [CrossRef]
- Bjesse, P. What is formal verification? SIGDA Newsl. 2005, 35, 1–es. [Google Scholar] [CrossRef]
- Mercaldo, F.; Martinelli, F.; Santone, A. Model Checking for Real-Time Attack Detection in Water Distribution Systems. Inform. Autom. 2022, 21, 219–242. [Google Scholar] [CrossRef]
- Vistbakka, I.; Troubitsyna, E. Modelling and Verification of Safety of Access Control in SCADA Systems. In Risks and Security of Internet and Systems; Garcia-Alfaro, J., Leneutre, J., Cuppens, N., Yaich, R., Eds.; Springer: Cham, Switzerland, 2021; pp. 354–364. [Google Scholar]
- Mercaldo, F.; Martinelli, F.; Santone, A. Real-Time SCADA Attack Detection by Means of Formal Methods. In Proceedings of the 2019 IEEE 28th International Conference on Enabling Technologies: Infrastructure for Collaborative Enterprises (WETICE), Capri, Italy, 12–14 June 2019; pp. 231–236. [Google Scholar] [CrossRef]
- AL-Dahasi, A.E.M.; Saqib, B.N.A. Attack tree Model for Potential Attacks Against the SCADA System. In Proceedings of the 2019 27th Telecommunications Forum (TELFOR), Belgrade, Serbia, 26–27 November 2019; pp. 1–4. [Google Scholar] [CrossRef]
- Kousar, S.; Nazir, A.Z.; Ali, T.; Alkhammash, E.H.; Hadjouni, M. Formal Modeling of IoT-Based Distribution Management System for Smart Grids. Sustainability 2022, 14, 4499. [Google Scholar] [CrossRef]
- Jakaria, A.H.M.; Rahman, M.A.; Gokhale, A. A Formal Model for Resiliency-Aware Deployment of SDN: A SCADA-Based Case Study. In Proceedings of the 2019 15th International Conference on Network and Service Management (CNSM), Halifax, NS, Canada, 21–25 October 2019; pp. 1–5. [Google Scholar] [CrossRef]
- Blanco, J.M.; Ge, M.; del Alamo, J.M.; Dueñas, J.C.; Cuadrado, F. A formal model for reliable digital transformation of water distribution networks. Procedia Comput. Sci. 2023, 225, 2076–2085. [Google Scholar] [CrossRef]
- Taormina, R.; Galelli, S.; Douglas, H.; Tippenhauer, N.; Salomons, E.; Ostfeld, A. A toolbox for assessing the impacts of cyber-physical attacks on water distribution systems. Environ. Model. Softw. 2019, 112, 46–51. [Google Scholar] [CrossRef]
- Robles, G.; Blanco, J.M.; López, S.M.; Paradela, J.R.; Recio, M.M. Relational semantics for the 4-valued relevant logics BN4 and E4. Log. Log. Philos. 2016, 25, 173–201. [Google Scholar] [CrossRef]
- Prim, R.C. Shortest connection networks and some generalizations. Bell Syst. Tech. J. 1957, 36, 1389–1401. [Google Scholar] [CrossRef]
- Pournaras, E.; Taormina, R.; Thapa, M.; Galelli, S.; Palleti, V.; Kooij, R. Cascading Failures in Interconnected Power-to-Water Networks. SIGMETRICS Perform. Eval. Rev. 2020, 47, 16–20. [Google Scholar] [CrossRef]
- Taormina, R.; Galelli, S.; Tippenhauer, N.O.; Salomons, E.; Ostfeld, A. Characterizing Cyber-Physical Attacks on Water Distribution Systems. J. Water Resour. Plan. Manag. 2017, 143, 04017009. [Google Scholar] [CrossRef]
- Blanco, J.M.; Ge, M.; Pitner, T. Modeling Inconsistent Data for Reasoners in Web of Things. Procedia Comput. Sci. 2021, 192, 1265–1273. [Google Scholar] [CrossRef]










Disclaimer/Publisher’s Note: The statements, opinions and data contained in all publications are solely those of the individual author(s) and contributor(s) and not of MDPI and/or the editor(s). MDPI and/or the editor(s) disclaim responsibility for any injury to people or property resulting from any ideas, methods, instructions or products referred to in the content. |
© 2024 by the authors. Licensee MDPI, Basel, Switzerland. This article is an open access article distributed under the terms and conditions of the Creative Commons Attribution (CC BY) license (https://creativecommons.org/licenses/by/4.0/).
Share and Cite
Blanco, J.M.; Del Alamo, J.M.; Dueñas, J.C.; Cuadrado, F. A Formal Model for Reliable Data Acquisition and Control in Legacy Critical Infrastructures. Electronics 2024, 13, 1219. https://doi.org/10.3390/electronics13071219
Blanco JM, Del Alamo JM, Dueñas JC, Cuadrado F. A Formal Model for Reliable Data Acquisition and Control in Legacy Critical Infrastructures. Electronics. 2024; 13(7):1219. https://doi.org/10.3390/electronics13071219
Chicago/Turabian StyleBlanco, José Miguel, Jose M. Del Alamo, Juan C. Dueñas, and Felix Cuadrado. 2024. "A Formal Model for Reliable Data Acquisition and Control in Legacy Critical Infrastructures" Electronics 13, no. 7: 1219. https://doi.org/10.3390/electronics13071219
APA StyleBlanco, J. M., Del Alamo, J. M., Dueñas, J. C., & Cuadrado, F. (2024). A Formal Model for Reliable Data Acquisition and Control in Legacy Critical Infrastructures. Electronics, 13(7), 1219. https://doi.org/10.3390/electronics13071219

