Abstract
This paper investigates the efficiency optimization problem in the drive system of Permanent Magnet Synchronous Motors (PMSM) based on the iron loss resistance model. Initially, an efficiency calculation method is proposed, utilizing the direct current (DC) side power based on the iron loss motor model as the input power. This approach determines the system’s input power by measuring DC side voltage and current, accounting for the impacts of temperature, magnetic saturation, and inverter nonlinearity. It avoids the need for intricate nonlinear loss modeling of the inverter, thereby simplifying the computational requirements for system efficiency. Simultaneously, the d-q axis equivalent equations based on the iron loss motor model are employed to calculate the system’s output power, enhancing the accuracy of the system efficiency calculation. An improved discrete gradient descent algorithm is presented based on this system efficiency calculation model, accelerating the search for the optimal current angle and improving its accuracy. In comparison to existing methods, this approach exhibits adaptive step size and provides more precise and higher efficiency calculations, resulting in faster search speeds. Experimental and simulation evaluations are conducted to assess the effectiveness of the proposed methods.
1. Introduction
In the field of robotics, particularly for mobile robots with independent locomotion, electric motors serve as the primary propulsion system, supplying the power necessary for the robots’ movements. The efficiency of the electric motor drive system significantly impacts the endurance and operational lifespan of robots, exerting a crucial influence on their overall development. Within the electric motor drive system, the electric motor and power converters consume a substantial portion of battery power. Consequently, further enhancing the efficiency of the electric motor drive system is a research topic of considerable interest to academic institutions and the electric motor industry. In comparison to other types of electric motors, PMSM have gained widespread application due to their advantages in efficiency, power, and torque density. Extensive research has been conducted during the motor structure design phase [,,,,], focusing on the adoption of new design procedures, optimized structures, and innovative rotor–stator combinations to improve the efficiency of PMSM. In the drive system design phase, efficiency in PMSM drive systems can be enhanced through the optimization of control and power converter designs [,,,].
The common control strategies for PMSM typically include Maximum Torque Per Ampere (MTPA) control [,,,] and Maximum Efficiency Per Ampere (MEPA) control []. The extensively studied MTPA control aims to identify the optimal current angle, maximizing the ratio of motor output torque to stator current, effectively minimizing motor copper losses [,,,]. While MTPA control overlooks the significant increase in motor iron losses at high speeds, particularly in the high-speed region, the development of MEPA control [] seeks to further enhance the efficiency of the drive system. MEPA control primarily achieves this by selecting optimal control variables (such as DC side voltage, inverter switching frequency, d-q axis current amplitude, and angle) to either maximize efficiency or minimize losses (Loss Minimization Control, LMC). If the DC side voltage is chosen as the control parameter, iron losses are reduced, resulting in an efficiency improvement. However, the addition of a DC converter in the control system introduces additional converter losses [,]. Adjusting the switching frequency aids in minimizing the total losses generated in the inverter and motor [,]. This is because inverter switching losses increase with frequency, while motor losses decrease. The extent of loss reduction varies under different operating conditions, with a more pronounced decrease at high speeds []. Therefore, the optimal switching frequency can be determined based on the motor speed to achieve maximum drive system efficiency []. In the motor control process, the current angle influences motor copper and iron losses and inverter conduction losses, as well as motor output torque and power [,,]. Thus, optimizing the current angle contributes to improving the drive system’s output torque and efficiency. To perform current angle optimization, it is essential to first establish a PMSM efficiency model for efficiency calculations, followed by maximizing drive system efficiency through current angle optimization [,,,,,]. However, conventional MTPA and MEPA control strategies only consider motor iron and copper losses, neglecting inverter losses.
The studies in refs. [,,] considered losses from both the motor and inverter to maximize system efficiency. In these investigations, motor and inverter loss models were employed to calculate the drive system losses, achieving Loss Minimization Control (LMC) of the PMSM through optimized current angle. However, due to the use of a conventional PMSM model in calculating the efficiency function, these studies are susceptible to efficiency errors resulting from model inaccuracies.
Ref. [] proposed a method to characterize efficiency by the ratio of electromagnetic torque power to the directly calculated input total power, aiming to simplify the complex computation of inverter losses. The study implemented MEPA control for PMSM using a discrete gradient descent algorithm. This approach bypassed the need for a detailed inverter loss model, reducing hardware requirements. However, it did not consider motor iron losses, resulting in a calculated efficiency slightly higher than that of the iron loss motor model (ILMM) and introducing inaccuracies in determining the optimal current angle.
Therefore, this paper proposes a novel system efficiency calculation model based on the ILMM. The derived efficiency calculation model, being based on the ILMM, exhibits higher precision in system efficiency calculation compared to the traditional motor model (CMM). Furthermore, the calculation of system efficiency is determined based on input and output power, eliminating the need for detailed loss models. Additionally, this efficiency model takes into account the losses of both the motor and the inverter simultaneously.
Specifically, direct input current is collected at the front end of the inverter using a current sensor, and the input power of the system is calculated in conjunction with the driving voltage. Considering the nonlinear characteristics of the motor and inverter, the output power of the system is calculated based on the d-q axis equivalent equations. Due to the fact that the output efficiency of the system efficiency calculation model is derived from the motor model, different motor models can significantly affect the calculation of system efficiency. In comparison to conventional motor models, the ILMM treats iron loss as an equivalent heating resistor, where the size of the motor iron loss can be represented by the heating power of the iron loss resistor, mainly influenced by the iron loss resistance and iron loss current. Generally, the iron loss resistance is positively correlated with the speed: as the motor speed increases, the iron loss also increases. Ref. [] provides a detailed mathematical model for the iron loss of the motor, which is primarily composed of hysteresis loss and eddy current loss, with speed having the most significant impact, a characteristic consistent with the ILMM.
Under actual operating conditions, the efficiency of PMSM exhibits distinct characteristics at different speeds and load torques. Ref. [] introduces an LMC control strategy suitable for PMSM, along with experimental investigations and analyses of the load characteristics of PMSM under various operating conditions. In essence, at speeds below rated values and under constant torque operation, a decrease in motor speed leads to an increase in the d-axis current, resulting in elevated motor copper losses and inverter losses, while iron losses relatively decrease. However, due to the higher proportional increase in inverter losses and motor copper losses compared to the decrease in iron losses, the motor efficiency is relatively lower at low speeds. Conversely, during high-speed operation, a decrease in the d-axis current of the motor leads to reductions in copper losses and inverter losses, while iron losses increase to some extent with increasing frequency. However, similarly, due to the higher proportional decrease in inverter losses and motor copper losses compared to the increase in iron losses, the motor efficiency significantly improves at high speeds.
In this study, the same MTPA control algorithm is applied to simulate and compare the efficiency calculation models obtained from the two motor models. The paper analyzes the differences in efficiency calculations under different load conditions, compares the influence of saliency ratios on the two efficiency calculation models, and identifies that, compared to the CMM, the new system efficiency calculation model more accurately describes the actual efficiency of the motor drive system, with significant differences observed in the optimal saliency ratio.
In the context of existing system efficiency computation models, the selection of an appropriate optimization algorithm is crucial for enhancing controller performance. The fundamental principle involves treating the system efficiency computation model as the objective function for optimization purposes. Conventional optimization algorithms applicable to PMSM include the golden section method, Newton’s method, and gradient descent algorithm, among others. The golden section optimization method [] is a simple yet effective algorithm rooted in the bisection method, suitable for solving unconstrained optimization problems of single-variable functions. Due to its independence from gradient information, it converges rapidly to the optimal solution. However, it is fundamentally an unconstrained optimization algorithm, and the PMSM drive system imposes limitations due to hardware conditions necessitating restrictions on inverter output voltage and current amplitudes. Newton’s method is characterized by fast convergence and high accuracy. Nevertheless, each iteration involves computing the gradient and second-order derivative of the objective function, resulting in a relatively significant computational burden. In high-dimensional problems, computing the Hessian matrix can become complex and expensive. A continuous-time distributed gradient method is proposed in ref. [], with theoretical convergence speed matching the minimum consistency and concentration gradient descent speed achievable solely with the Hessian matrix, demonstrating faster convergence. However, this method is tailored for continuous systems, while PMSM control algorithms are mostly deployed on microprocessors, operating on discrete systems, posing challenges in application. To apply the gradient descent algorithm to PMSM control systems, a gradient descent algorithm suitable for PMSM drive systems is proposed in the literature []. By utilizing a discrete search space and appropriate constraints, the efficiency of PMSM drive systems is optimized. To adapt to discrete systems and expedite convergence, this algorithm utilizes only the gradient sign as the search direction during application. However, the algorithm employs a fixed-step-length search, where convergence speed is significantly affected by the initial step length, leaving room for further improvement in search speed.
Inspired by this work, this paper enhances existing discrete gradient descent algorithms by introducing an adaptive law for step-length search, reducing the impact of the initial step length on convergence speed. By adjusting the search step length, the algorithm’s convergence speed is improved.
Building upon the system efficiency calculation model and optimization algorithm proposed in this paper, a MEPA control algorithm based on the direct current side system efficiency model is introduced. To validate the effectiveness of the proposed efficiency optimization algorithm, experimental investigations were conducted on the load characteristics of a PMSM.
2. Comparison of Mathematical Models for Two PMSM
Compared to the motor model neglecting iron losses, the motor model considering iron losses yields a more realistic calculation of the optimal current angle and efficiency. To accurately calculate the motor’s efficiency, it is essential to construct a mathematical model of the motor. Therefore, the following assumption is made for the motor model with iron losses:
Magnetic saturation phenomena are neglected.
The conventional mathematical model of a PMSM without considering iron losses is illustrated in Figure 1a,b.

Figure 1.
Equivalent circuit of PMSM: (a) d-axis equivalent circuit of conventional PMSM; (b) q-axis equivalent circuit of conventional PMSM; (c) d-axis equivalent circuit of iron loss motor; (d) q-axis equivalent circuit of iron loss motor.
The equivalent equation is:
where is the stator resistance, and are the stator terminal voltage and the armature current, is the electrical angular velocity, are the d-q axis inductances, and is the magnet flux linkage.
The mathematical model of a PMSM considering iron losses is depicted in Figure 1c,d, and its equivalent equations are presented as follows:
where, is the iron loss resistance, and are the d, q axis iron loss currents, while and are the output current components in the d-axis and q-axis, respectively.
To assess the efficiency variations between two models operating under the same conditions, MTPA control algorithm was employed to examine the steady-state efficiency of these models at different loads and speeds. Figure 2 illustrates a distribution chart that elucidates the differences between the two models.

Figure 2.
Efficiency discrepancy between the models under various operating conditions.
As depicted in Figure 2, where is the efficiency error of the two models, signifies the load torque, and represents the motor speed, both having undergone normalization. At lower speeds, a substantial disparity in efficiency is discerned between the two models. Conversely, at higher speeds, the escalation of iron loss resistance with the increasing speed leads the iron loss resistance model to approach the CMM. Consequently, this convergence results in comparatively minor errors in efficiency calculations between the two models.
Loss Analysis of PMSM
The PMSM drive system is mainly composed of a power supply, inverter, motor, and controller. To ensure that the motor operates at maximum efficiency, it is crucial to analyze the sources of losses. The losses in the PMSM primarily exist in the inverter and motor components. Inverter losses can be further classified into conduction losses and switching losses. Motor losses can be divided into iron losses and copper losses. Since this study measures the power supplied from the DC side as the input power and calculates the actual motor power using the product of electromagnetic torque and the actual motor speed as the output power, specific loss equations are not extensively elaborated. However, obtaining the iron loss resistance is crucial due to the adoption of the ILMM.
There are generally two methods to obtain the iron loss resistance: one involves using finite element analysis software, and the other entails fitting experimental data to derive the relationship between iron loss resistance and speed [,]. In this study, the latter method is employed to acquire the value of iron loss resistance (as shown in Figure 3). The specific parameters of the iron loss resistance are represented by Equation (4):

Figure 3.
Fitting diagram of iron loss resistance experiment.
3. Proposed Efficiency Modeling and Maximum Efficiency Control for the PMSM Drive System
Opting for the current angle as the control variable, the extensive computational requirements of the inverter loss model make it feasible to use the DC-side power value as the input power and the power of the electromagnetic torque as the output power. This approach circumvents the intricate calculation of inverter losses by superimposing the inverter distortion voltage model onto the reference d-q axis voltage output of the current loop. Ultimately, employing an optimization algorithm facilitates the determination of the optimal current angle under the current steady-state conditions, thereby achieving MEPA control for the PMSM.
3.1. DC Side Efficiency Function Based on the ILMM
The efficiency is calculated through the power of the DC side and the power of the electromagnetic torque, which represents the actual output of the motor. The formula is as follows:
where is the actual angular velocity of the motor, denotes the electromagnetic torque output by the motor, and and correspond to the DC-side voltage and current, respectively.
As illustrated in Figure 1, the equivalent equations for the ILMM are presented in Equations (5) and (6):
where denotes the electromagnetic torque output by the motor, are the d-axis and q-axis inductances, are the d, q axis stator voltages, are the d, q axis output currents, is the magnet flux linkage, and is the electrical angular velocity.
When the motor enters steady state, ignoring the dynamic differential term gives the following:
In the drive system, phase voltage measurements are not always directly accessible. Therefore, the reference voltage from the PI controller output is often utilized for estimation and control. However, due to the nonlinearity of the inverter, the actual voltage does not equate to the controller’s output voltage. Yet, a model for the voltage distorted by the inverter [] is established as follows:
where represents the consideration of the d-q axis voltage distorted by the inverter.
The distorted voltage caused by the nonlinearity of the inverter is denoted as , where represents the dead zone distortion voltage of the inverter. Here, is defined as:
From Equations (8) and (9), it can be concluded that:
If is given, it can be inferred from Equation (12) that:
Eliminating and from Equation (13), we obtain:
where is the magnitude of the current vector.
According to Equations (7) and (13), the output power of electromagnetic torque is:
Substituting Equation (13) into Equation (16) yields the following result:
where
From the above equation, it can be inferred that when , it aligns with the efficiency equation of the motor model without considering iron loss resistance []. As the control scalar is the current angle , it can be deduced through the transformation of space vectors:
where γ is the current angle.
By incorporating the above equation, it can be concluded that:
where
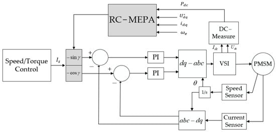
Based on the aforementioned efficiency function considering iron losses, an improved discrete gradient descent algorithm can be employed to implement MEPA control for the PMSM. Specifically, during steady-state operation, the optimal current angle is sought to maximize the motor efficiency. Figure 4 illustrates the schematic of the MEPA control proposed in this paper.

Figure 4.
Proposed maximum efficiency control in a PMSM drive.
3.2. MEPA Control of PMSM Based on the Iron Loss Model
To ensure that the drive system exhibits responsive characteristics, the selection of PI parameters in the current loop is crucial. Generally, achieving a ratio of proportional gain to integral gain can be obtained by canceling zeros and poles in the transfer function. Subsequently, designing the bandwidth according to practical control requirements allows the equivalent closed-loop transfer function of the motor to be represented as a first-order low-pass filter. This facilitates the determination of PI proportional and integral gains in the current loop. The nonlinear coupling terms in the motor’s transfer function can be offset through feedforward compensation.
Figure 5 depicts the control flowchart proposed in this paper. Upon the initiation of the drive system into operational status, in the initial phase, the amplitude of the current vector is computed based on the control mode. Subsequently, the current loop is calculated with respect to the initial current angle, yielding . To account for the impact of inverter harmonics on the actual motor drive system, the inverter distortion voltage is superimposed onto calculated in the current loop. This results in the voltage injected with inverter harmonics. This voltage is then input to the driven motor through the Space Vector Pulse Width Modulation (SVPWM) waveform generator. While the motor is operational, a steady-state recognizer is employed to determine whether the motor has reached a steady state. If the motor has not reached a steady state, it awaits stabilization. Once a steady state is achieved, the parameters needed for calculating efficiency, apart from the current angle , are stored for iterative optimization. Using the gradient descent algorithm within the search space, the optimal solution is sought and employed to update the current angle, ensuring that the motor operates at the highest efficiency under these conditions.

Figure 5.
Proposed control algorithm flowchart.
To implement MEPA control for the motor, the efficiency function given by Equation (19) can be iteratively solved using an optimization algorithm. The specific approach involves considering the case where the current angle, , increases to , and the system efficiency, , increases from to . Due to limitations in sensor resolution, model uncertainties, and measurement noise, if γ is extremely small, η might be too small to be reliably detected by sensors. In such cases, the small variations in parameter variables due to the minute changes in the current angle may be challenging to detect, making it difficult to observe changes in the efficiency of the drive system. Therefore, a steady-state recognizer can be employed to store parameters unrelated to the current angle, , ignoring changes in other parameters caused by the small variations in the current angle. This helps avoid interference from other factors in efficiency calculations and facilitates the use of the gradient descent algorithm.
Equation (20) provides the triggering conditions for the steady-state recognizer. The purpose is to calculate the efficiency function when the motor enters steady state. Due to the neglect of dynamic terms in the derivation process of the efficiency function, in order to ensure the accuracy of efficiency calculation, it is necessary to use a steady-state recognizer to perform the optimization algorithm of the rising edge triggered efficiency function.
where represents the motor angular acceleration, is the electromagnetic torque, and , are the respective thresholds for angular acceleration and torque difference.
These thresholds can be adjusted based on specific motor response requirements. Once the steady-state recognizer identifies the motor’s entry into a stable state, the proposed improved discrete gradient descent algorithm is employed to search for and obtain the optimal current angle. After the motor discovers the optimal solution through the search, it continues to operate steadily based on the obtained optimal solution until the steady-state recognizer identifies the emergence of a new steady state, initiating the next search loop. In practical drive systems, due to frequent hardware constraints, to ensure that the motor operates in a normal state, it is necessary to confine the output voltage of the driver within the voltage limit and current limit loops, i.e., the constraint condition as shown in Equation (21):
where and are the d-axis input voltage and q-axis output voltage after inverter distortion, is the voltage limit output voltage, is the voltage limit output current.
The gradient descent algorithm for continuous systems typically involves calculating the product of the derivative and the learning rate as the search step. However, controllers in practical motors are generally deployed in discrete systems, necessitating the discretization of the gradient descent algorithm. A discrete step size gradient descent algorithm, where the step size changes with the sign of the derivative, was proposed in ref. []. When the product of the derivatives sampled in two consecutive instances is less than zero, the iterative step size becomes half of the normal, with the minimum value of the iterative step size serving as the termination condition, as shown in Equations (22) and (23). Since the above method adopts a fixed-step-size search before the oscillation of the current angle and considers step-size changes only during the oscillation, it overlooks the step-size changes leading up to the oscillation. To enhance the convergence speed before the oscillation of the current angle, this paper proposes an improved discrete adaptive step-size gradient descent algorithm, as shown in Equation (24).
where represents the current angle, denotes the learning rate of the gradient descent algorithm, and signifies the search step size.
where n represents the golden section ratio, and the value of N is contingent upon the numerical variations of parameter S. Upon the controller entering the optimization algorithm, the initial value of N is set to 1. Once S becomes negative for the first time during the iteration, N is set to 0.
When N = 1, it indicates that oscillations have not occurred in the iteration. The iteration step size increases with the iteration count, thereby enhancing the convergence speed of the system before reaching oscillations. Conversely, when N equals 0, signifying the occurrence of oscillations in the iteration, the iteration step size ceases to increase. Instead, it gradually decreases in proportion to the golden section ratio with the increase in the number of oscillations in the current angle until the convergence criterion is met.
To avoid situations where the efficiency improvement becomes insignificant after multiple iterations, convergence criteria are established, as shown in Equation (25):
where is the set step boundary value.
When the iteration step size is less than , it can be considered that the optimal electrical angle has been found. At this steady state, the system operates with this electrical angle to maintain stability.
4. Simulation and Experimental Verification
In order to assess the effectiveness of the proposed motor control strategy in comparison to traditional control methods, an experimental motor testing platform was established, as depicted in Figure 6. The motor under test is connected to a torque sensor via a coupling, allowing measurement of the motor’s output torque, speed, and power. The torque sensor is further linked to a gear mechanism, connecting to a magnetic powder brake. The magnetic powder brake facilitates the adjustment of the load, enabling the examination of motor output power under various loading conditions. The motor’s input power is determined by measuring the DC side current in conjunction with a 24 V power supply.

Figure 6.
The prototype of PMSM and hardware of test bench.
The proposed enhanced control method is implemented using the TMS320F28379D floating-point DSP. The switching frequency is set at 20 kHz with a dead time of 3 μs.
To validate the proposed efficiency calculation method, this study conducted simulations and experiments using the same control algorithm on both the ILMM and the CMM. A comparative analysis was performed to assess the impact of model errors on the optimal electrical angle. Additionally, the study analyzed the losses and iron loss current components in the ILMM, investigating the sensitivity of efficiency to the convex pole ratio. To evaluate the control performance of the proposed algorithm, a comparison was made between the algorithm presented in this paper and the control algorithm from ref. [], with a specific focus on the optimal current angle and the number of iterations for each algorithm.
The motor parameters used in the simulation and experiment in this paper are shown in Table 1:

Table 1.
Simulation and experimental motor parameters.
Figure 7 illustrates the efficiency-angle curves of two motor models under identical operating conditions, Where the triangle symbol represents the position of the optimal value. The models include the ILMM and the CMM. Triangular symbols represent the corresponding optimal current angles. It is evident from the graph that under the same conditions, the optimal current angles measured by the ILMM and the CMM differ by approximately 0.02 radians, and this discrepancy may vary with different operating conditions. Due to the consideration of iron losses in the ILMM, its calculated efficiency is relatively lower compared to that of the CMM.

Figure 7.
Efficiency-angle characteristic curves of different motor models.
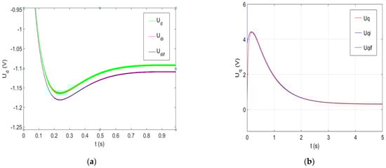
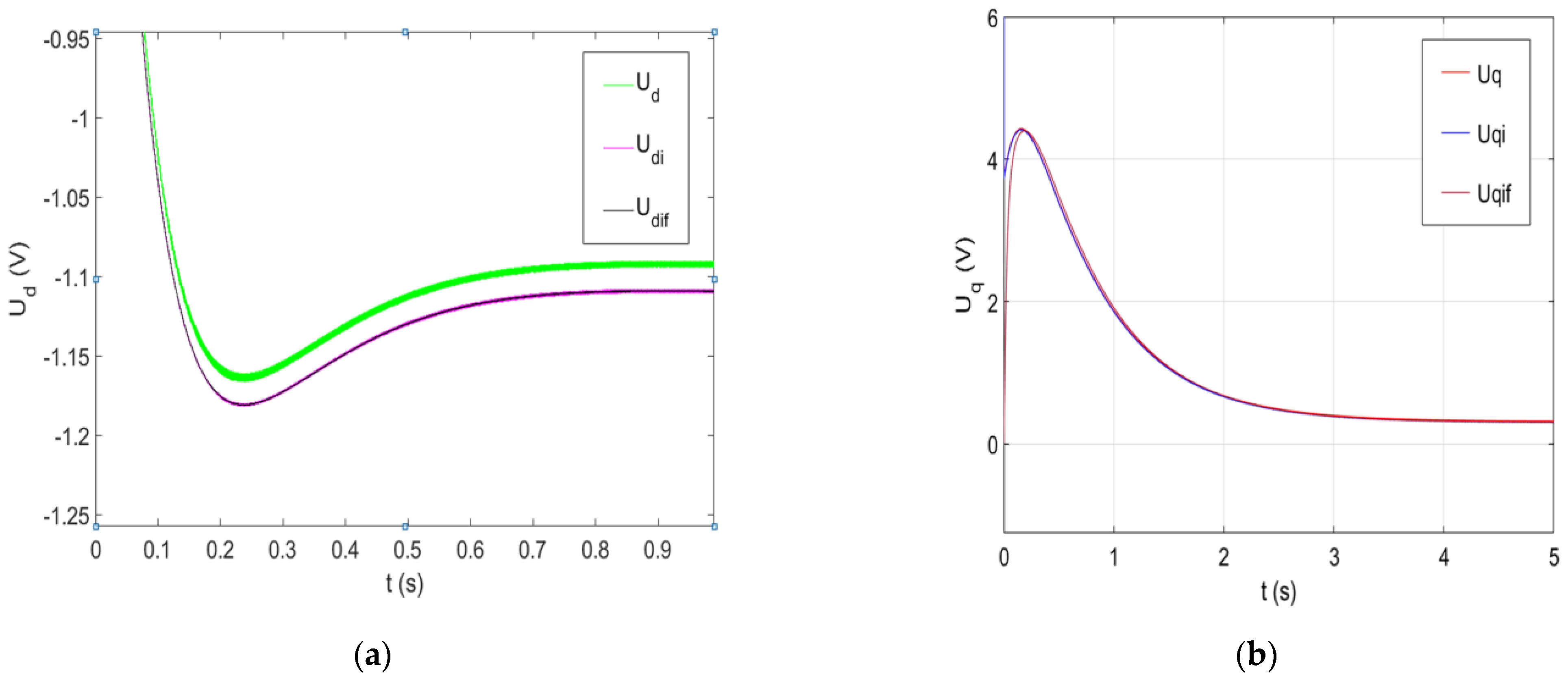
Figure 8 shows the d-q axis voltage profiles of the drive system, where represents the voltage without considering inverter distortion, represents the voltage considering inverter distortion, and represents the distorted voltage with the equivalent voltage after mean filtering. From the graph, it is evident that the voltage considering the inverter distortion effect is larger than that without considering inverter distortion. The average d-axis voltage is approximately 0.02 V higher in the former, while the q-axis voltage is about 0.04 V higher. The actual distortion effect is influenced by the dead time of MOS transistors and is related to the physical parameters of the MOS transistors, details of which are not expounded here.

Figure 8.
d-q axis voltage curve: (a) d-axis voltage curve; (b) q-axis voltage curve.
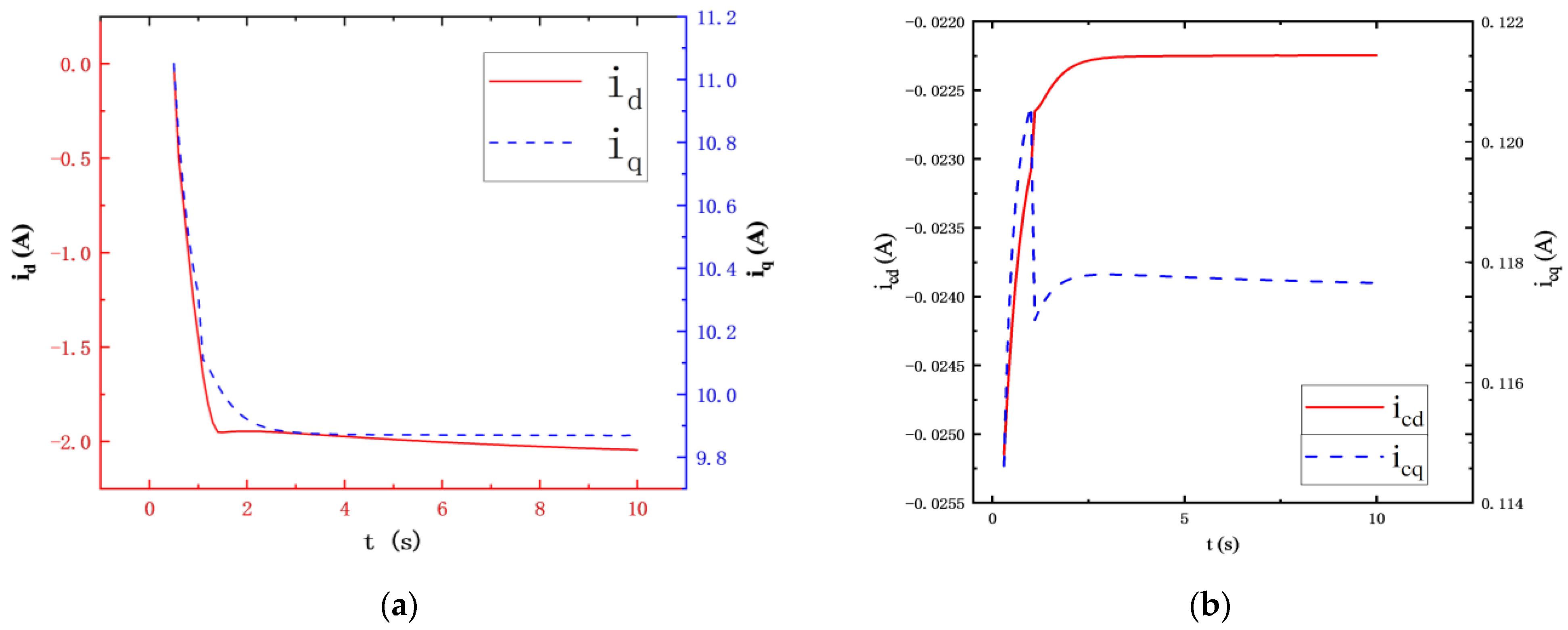
Figure 9 depicts the curves of the d-q axis current and iron loss current components obtained using the conventional MEPA control algorithm under a load of 0.4 Nm and a speed of 1500 rpm. From the curves, it can be observed that the d-axis iron loss current component stabilizes around −0.028 A, and the q-axis iron loss current component stabilizes around −0.022 A. The d-axis current is approximately −1.9 A, while the q-axis current is about 9.9 A. The contribution of the d-axis iron loss current to the total d-axis current is approximately 1.6%, and the contribution of the q-axis iron loss current to the total q-axis current is about 0.2%.

Figure 9.
d-q axis current and iron loss current curve: (a) d-q axis current l; (b) d-q axis iron loss current.
To analyze the impact of the saliency ratio on motor efficiency, simulations were conducted for both motor models under the operating condition of 1500 rpm and 0.6 Nm. As depicted in Figure 10, when simulating with the conventional motor model, the highest efficiency is achieved at a saliency ratio of 3.6, reaching 93.18%. Conversely, when simulating with the ILMM, the peak efficiency is observed at a saliency ratio of 2.4, reaching 90.62%. Therefore, the sensitivity of motor efficiency to the convex pole ratio varies when using different motor models for simulation.

Figure 10.
Comparative simulation diagram of the effect of convex pole ratio on efficiency.
Figure 11 presents a comparative analysis of losses between the two motor models. As observed from the graph, simulating with the ILMM results in the motor copper loss stabilizing around 44 W, while the iron loss stabilizes at approximately 3.02 W, constituting approximately 6% of the total losses. In contrast, simulating with the conventional motor model yields a copper loss stabilizing at around 38.3 W. Since the conventional motor model does not account for iron loss due to the resistance of the iron loss, the motor efficiency calculated by the conventional motor model is slightly higher than that obtained from the ILMM.

Figure 11.
Simulation diagram of loss comparison between two motor models. (a) Copper loss; (b) Iron loss.
To compare the effectiveness of the two optimization algorithms, simulations were conducted based on the same electric motor model considering iron losses, under the operating conditions as depicted in Table 2 and Table 3. Different traditional optimization algorithms and the proposed optimization algorithm in this paper were employed separately, resulting in the determination of the optimal current angle, iteration count, and efficiency for each case.

Table 2.
The proposed optimization algorithm in this paper.

Table 3.
Conventional optimization algorithm.
Figure 12 illustrates the iteration counts for different initial step sizes using two algorithms under the same updated system efficiency calculation model. The conventional algorithm refers to the method proposed in ref. [], while the improved algorithm corresponds to the enhanced algorithm introduced in this paper.

Figure 12.
Simulation diagram of iteration time with different initial step sizes.
In order to compare the impact of the initial step size on the iteration count of the two algorithms, the traditional system efficiency calculation model was used. By varying the initial step size, iteration count charts for both optimization algorithms were obtained, as depicted in Figure 12. It can be observed that with an increase in the initial step size, the iteration count gradually decreases. However, beyond a value of , the iteration count slightly increases. This is attributed to the fact that an excessively large search step results in oscillations around the optimal value. Therefore, within a given range of step sizes, there exists an optimal initial step size. The graph reveals that both the traditional algorithm and the modified algorithm converge optimally at an initial value around .
Under the same initial step size, the traditional algorithm requires a minimum iteration count of 11, whereas the improved algorithm achieves the same result with only 6 iterations. Moreover, overall, the modified algorithm consistently exhibits a significant reduction in iteration count across the entire range of available initial step sizes. This enhancement facilitates a faster convergence to the optimal value for the controller. After the initial oscillation, employing the golden section ratio as the step size reduction factor enhances the algorithm’s convergence speed in the vicinity of the optimum.
Figure 13 presents the variation in the electrical angle with iteration count for the two optimization algorithms under the proposed system efficiency calculation model in this paper. It is evident from the graph that the optimal electrical angles for both algorithms stabilize around 0.11 radians, yet there is a noticeable difference in iteration counts. The traditional algorithm takes approximately 13 iterations to reach a stable value, while the algorithm proposed in this paper tends to stabilize after only nine iterations, demonstrating a higher convergence speed. It is noteworthy that the efficiency calculation model proposed in this paper is derived based on the ILMM, resulting in a relatively increased computational load compared to traditional efficiency models. As a result, the iteration count for traditional optimization algorithms increased from 11 to 13, while for the algorithm proposed in this paper, it increased from 6 to 9 iterations. Hence, in MEPA control, the additional computational load arising from the complex model proposed in this paper can be compensated for by the optimization algorithm on a comprehensive level.

Figure 13.
Simulation diagram of traditional algorithm optimization algorithm current angle iteration.
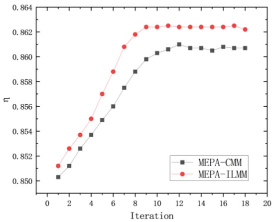
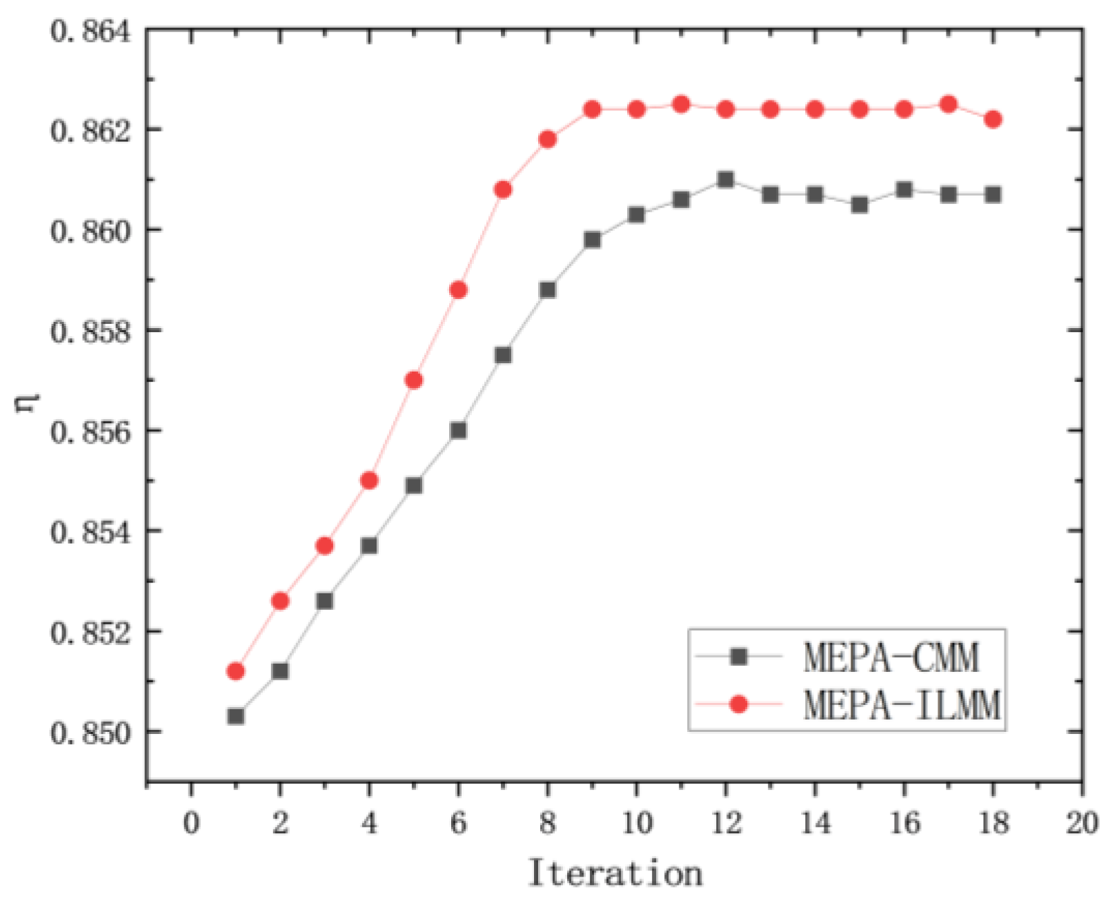
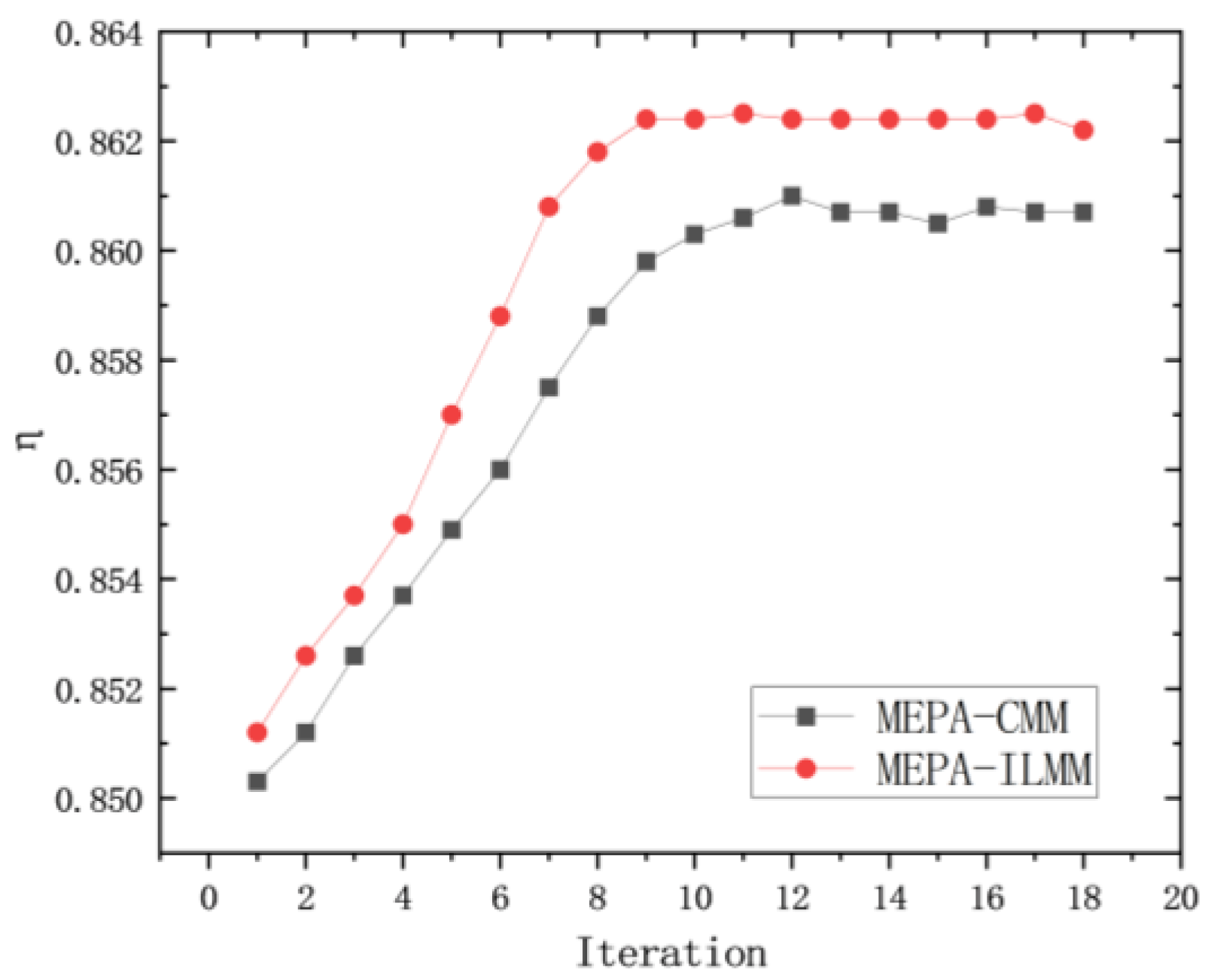
As illustrated in Figure 14, when utilizing the efficiency calculation model as a control variable and employing two identical optimization algorithms, there are some discrepancies in the final iteration counts and motor efficiency. The efficiency of the conventional model stabilizes at approximately 86.07%, while the efficiency of the proposed efficiency calculation model stabilizes at around 86.25%. This difference arises because the new efficiency calculation model takes into account the impact of iron loss on the optimal current angle, resulting in certain disparities in the optimal current angles sought by the two models and, consequently, affecting motor efficiency. According to simulation results, the improvement in efficiency is not significant, approximately 0.18%. However, due to the substantial influence of iron loss resistance on motor speed, this discrepancy varies with changing operating conditions.

Figure 14.
Efficiency simulation diagram of conventional optimization algorithm.
Due to significant variations in motor efficiency under different load conditions, the experimental setup involves a comparative analysis of three algorithms under various load conditions to derive their respective efficiency–speed curves. The efficiency trends relative to speed for the three algorithms are depicted in Figure 15. It is evident from the graph that the system efficiency changes relatively little under both no-load (Figure 15a) and full-load (Figure 15d) operating conditions for all three algorithms. Specifically, under no-load conditions, the respective peak efficiencies for the three algorithms are 90.27%, 90.02%, and 90.375% (arranged according to the order of the algorithms in the figure). The efficiency experiences an improvement of 0.355, with the highest enhancement of 4.24% occurring at 200 rpm. The overall average efficiency is increased by 0.795%.

Figure 15.
Different load condition efficiency-speed experimental curves for three control strategies: (a) = 0 Nm; (b) = 0.35 Nm; (c) = 0.4 Nm (d) = 0.6 Nm.
Under full load conditions, the peak efficiencies of the three algorithms are 80.38%, 80.81%, and 80.86%, with relatively modest improvements. In comparison to the traditional MEPA control algorithm, the most pronounced efficiency enhancement occurs at 800 revolutions per minute (rpm), rising from 54.94% to 55.91%, representing a 0.957% increase. Across the entire speed range, an overall average efficiency improvement of 0.59% is achieved.
However, significant disparities in efficiency are observed at medium-to-low load levels. As shown in the Table 4 and Table 5, at a motor load of 0.35 Nm, the peak efficiencies of the three algorithms are 85.4%, 87.15%, and 88.17%. Relative to the traditional MEPA control algorithm, there is a 1.02% efficiency improvement. Particularly noteworthy is the efficiency increase from 33.41% to 35.95% at 200 rpm, reflecting a gain of 2.536%. The average efficiency improvement across the entire speed range is 1.625%.

Table 4.
Peak efficiency of three algorithms.

Table 5.
The efficiency improvement of the proposed algorithm compared with the traditional algorithm.
Similarly, at a motor load of 0.4 Nm, the peak efficiencies are 85.44%, 85.7%, and 86.89%. In comparison to the traditional MEPA control algorithm, there is a 1.19% increase in peak efficiency. At 800 rpm, the most substantial efficiency improvement is observed, rising from 61.75% to 65.13%, a gain of 3.375%. The overall average efficiency improvement across the entire speed range is 2.15%.
In summary, this paper conducted efficiency characteristic tests on a small PMSM as presented in Table 1. The experiments utilized the MEPA control algorithm proposed in this study, examining efficiency characteristics under various loads and speeds. The primary aim was to enhance the efficiency of the PMSM under complex operating conditions. Due to the utilization of the ILMM as the foundation for the system efficiency calculation model, the efficiency improvement at high speeds is relatively subtle, while a significant enhancement is observed at mediumto-low speeds.
Under different loads, using the average efficiency across the entire speed range as a metric, the improvement ranges between 0.991% and 2.15%. When considering the efficiency improvement magnitude as the metric, the maximum achievable improvement reaches 3.375%. The experimental subject was a small PMSM, and the MEPA control algorithm was applied to investigate efficiency characteristics under diverse loads and speeds. The findings highlight a noteworthy efficiency improvement, particularly at mediumto-low speeds, demonstrating the effectiveness of the proposed control algorithm in enhancing the motor’s performance under challenging operating conditions.
5. Conclusions
This paper proposes a novel system efficiency calculation method based on the ILMM, which comprehensively considers inverter losses, PMSM copper losses, and iron losses. By utilizing DC-side power as the input for calculating system efficiency, it effectively alleviates the complexity associated with computations related to complex loss models. Through simulation and experimental comparisons, the differences between the efficiency calculation model based on the ILMM and CMM are analyzed under various operating conditions. Specifically, simulations were conducted using two different efficiency calculation models under the same control algorithm, and their differences were compared. Compared to the system efficiency calculation model derived from the CMM, the ILMM-derived system efficiency function more accurately describes the efficiency of an actual motor drive system.
To enhance the performance of the PMSM drive system, improvements were made to the traditional discrete gradient descent algorithm, enabling adaptive changes in the search step size and improving system convergence speed. The enhanced discrete gradient descent optimization algorithm adapts the step size, significantly reducing the required iteration count for controller optimization. Simulation experiments were conducted to examine the impact of different initial step sizes on the iteration count, revealing a reduced dependency on the initial step size compared to traditional optimization algorithms.
Based on the aforementioned system efficiency calculation model and the improved optimization algorithm, a MEPA control algorithm based on the direct current side system efficiency model is proposed. To evaluate the effectiveness of this algorithm, load characteristic experiments were conducted on the motor using three different algorithms. The results indicate that under various load conditions, the proposed algorithm leads to varying degrees of efficiency improvement in the PMSM drive system. Particularly noteworthy is the overall increase in efficiency observed, especially under moderate load conditions. A significant improvement in system efficiency was particularly noticeable under medium-to-low load conditions. Compared to the MTPA control algorithm, under constant load conditions, the proposed algorithm increases the average efficiency of the drive system by 2.25% to 4.32% across different speeds. Similarly, compared to the traditional MEPA control algorithm, under constant load conditions, the proposed algorithm increases the average efficiency of the system by 0.59% to 2.15% across different speed ranges when using average efficiency as the metric.
In practical applications, the accuracy of the efficiency calculation model is crucial, as the control variable is the current angle. When computing system efficiency, other parameters should remain relatively constant. MTPA control can be applied to quickly stabilize the motor in a steady state when the motor speed undergoes significant changes or the load abruptly changes. Subsequently, an optimization algorithm can be used to gradually adjust the current angle. By ensuring stability, the motor can gradually enter the optimal efficiency state and operate long-term. The speed at which this state is reached depends on the convergence speed of the optimization algorithm and the stability recognition threshold. For scenarios with small load variations, online control methods can be employed, and due to the stability recognizer, there is no need for iterative optimization at each stage of motor operation, significantly reducing controller requirements. In situations with frequent load changes, the proposed new efficiency function can be used to appropriately adjust the stability recognition threshold, further shortening the iteration time.
Author Contributions
Conceptualization, F.X.; software, H.R.; formal analysis, F.X.; data curation, H.Z.; writing—original draft preparation, H.R.; writing—review and editing, H.R. All authors have read and agreed to the published version of the manuscript.
Funding
This study was funded by the Open Foundation of State Key Laboratory of Mechanical Transmission, China (Grant No. SKLMT-MSKFKT-202111), National Key R&D Program (2018YBB1309404, 2018YBB1309401), National Natural Science Foundation of China (Grant No. 52105127), the Natural Science Foundation of Zhejiang Province (Grant No. LGG22E050025).
Data Availability Statement
Data are contained within the article.
Acknowledgments
The authors are grateful for the help provided by the School of Mechanical Engineering at Zhejiang University of Technology.
Conflicts of Interest
The authors declare no conflicts of interest.
Nomenclature
PMSM | Permanent magnet synchronous motor |
MTPA | Maximum Torque per Ampere algorithm |
MEPA | Maximum Efficiency per Ampere algorithm |
ILMM | Iron loss motor model |
CMM | Traditional motor model |
VSI | Voltage source Inverter |
Mechanical speed | |
Electrical angular velocity | |
Efficiency | |
Electromagnetic torque | |
d, q axis stator voltages | |
DC-side voltage | |
Considering the distortion introduced by the inverter, the d- and q-axis voltages. | |
DC-side current | |
Current vector | |
d, q axis armature currents | |
d, q axis iron loss currents | |
d, q axis output currents | |
d-q axis inductances | |
Pole pairs | |
Magnet flux linkage | |
Resistance of stator winding | |
Iron loss resistance | |
Dead zone distortion voltage of the inverter | |
Current angle | |
Load torque | |
Copper loss power | |
Iron loss power |
References
- Liu, X.; Chen, H.; Zhao, J.; Belahcen, A. Research on the Performances and Parameters of Interior PMSM Used for Electric Vehicles. IEEE Trans. Ind. Electron. 2016, 63, 3533–3545. [Google Scholar] [CrossRef]
- Krasopoulos, C.T.; Beniakar, M.E.; Kladas, A.G. Multicriteria PM Motor Design Based on ANFIS Evaluation of EV Driving Cycle Efficiency. IEEE Trans. Transp. Electrif. 2018, 4, 525–535. [Google Scholar] [CrossRef]
- Du, J.; Wang, X.; Lv, H. Optimization of Magnet Shape Based on Efficiency Map of IPMSM for EVs. IEEE Trans. Appl. Supercond. 2016, 26, 1–7. [Google Scholar] [CrossRef]
- Lu, C.; Ferrari, S.; Pellegrino, G. Two Design Procedures for PM Synchronous Machines for Electric Powertrains. IEEE Trans. Transp. Electrif. 2017, 3, 98–107. [Google Scholar] [CrossRef]
- Ge, H.; Miao, Y.; Bilgin, B.; Nahid-Mobarakeh, B.; Emadi, A. Speed Range Extended Maximum Torque Per Ampere Control for PM Drives Considering Inverter and Motor Nonlinearities. IEEE Trans. Power Electron. 2016, 32, 7151–7159. [Google Scholar] [CrossRef]
- Damiano, A.; Floris, A.; Fois, G.; Porru, M.; Serpi, A. Modelling and Design of PM Retention Sleeves for High-Speed PM Synchronous Machines. In Proceedings of the 2016 6th International Electric Drives Production Conference (EDPC), Nuremberg, Germany, 30 November–1 December 2016; pp. 118–125. [Google Scholar]
- Rabiei, A.; Thiringer, T.; Alatalo, M.; Grunditz, E.A. Improved Maximum-Torque-Per-Ampere Algorithm Accounting for Core Saturation, Cross-Coupling Effect, and Temperature for a PMSM Intended for Vehicular Applications. IEEE Trans. Transp. Electrif. 2016, 2, 150–159. [Google Scholar] [CrossRef]
- Liu, Q.; Hameyer, K. High-Performance Adaptive Torque Control for an IPMSM With Real-Time MTPA Operation. IEEE Trans. Energy Convers. 2017, 32, 571–581. [Google Scholar] [CrossRef]
- Kim, S.; Yoon, Y.-D.; Sul, S.-K.; Ide, K. Maximum Torque per Ampere (MTPA) Control of an IPM Machine Based on Signal Injection Considering Inductance Saturation. IEEE Trans. Power Electron. 2013, 28, 488–497. [Google Scholar] [CrossRef]
- Inoue, T.; Inoue, Y.; Morimoto, S.; Sanada, M. Maximum Torque Per Ampere Control of a Direct Torque-Controlled PMSM in a Stator Flux Linkage Synchronous Frame. IEEE Trans. Ind. Appl. 2016, 52, 2360–2367. [Google Scholar] [CrossRef]
- Ahmed, A.; Sozer, Y.; Hamdan, M. Maximum Torque per Ampere Control for Buried Magnet PMSM Based on DC-Link Power Measurement. IEEE Trans. Power Electron. 2017, 32, 1299–1311. [Google Scholar] [CrossRef]
- Sun, T.; Wang, J.; Chen, X. Maximum Torque Per Ampere (MTPA) Control for Interior Permanent Magnet Synchronous Machine Drives Based on Virtual Signal Injection. IEEE Trans. Power Electron. 2014, 30, 5036–5045. [Google Scholar] [CrossRef]
- Ni, R.; Xu, D.; Wang, G.; Ding, L.; Zhang, G.; Qu, L. Maximum Efficiency Per Ampere Control of Permanent-Magnet Synchronous Machines. IEEE Trans. Ind. Electron. 2015, 62, 2135–2143. [Google Scholar] [CrossRef]
- Sun, T.; Wang, J.; Koc, M. Virtual Signal Injection Based Direct Flux Vector Control of IPMSM Drives. IEEE Trans. Ind. Electron. 2016, 63, 4773–4782. [Google Scholar] [CrossRef]
- Consoli, A.; Scarcella, G.; Scelba, G.; Testa, A. Steady-State and Transient Operation of IPMSMs Under Maximum-Torque-per-Ampere Control. IEEE Trans. Ind. Appl. 2010, 46, 121–129. [Google Scholar] [CrossRef]
- Liu, S.; Song, Z.; Liu, Y.; Chen, Y.; Liu, C. Flux-Weakening Controller Design of Dual Three-Phase PMSM Drive System With Copper Loss Minimization. IEEE Trans. Power Electron. 2022, 38, 2351–2363. [Google Scholar] [CrossRef]
- Sun, T.; Wang, J. Extension of Virtual-Signal-Injection-Based MTPA Control for Interior Permanent-Magnet Synchronous Machine Drives Into the Field-Weakening Region. IEEE Trans. Ind. Electron. 2015, 62, 6809–6817. [Google Scholar] [CrossRef]
- Deng, W.; Zhao, Y.; Wu, J. Energy Efficiency Improvement via Bus Voltage Control of Inverter for Electric Vehicles. IEEE Trans. Veh. Technol. 2017, 66, 1063–1073. [Google Scholar] [CrossRef]
- Liang, G.; Liao, W.; Zhang, Z.; Ni, D.; Huang, S.; Li, M.; Wen, Y.; Gao, J. An Optimized Pulsewidth Modulation for Dual Three-Phase PMSM Under Low Carrier Ratio. IEEE Trans. Power Electron. 2022, 37, 3062–3072. [Google Scholar] [CrossRef]
- Gu, M.; Wang, Z.; Wang, B. Optimization of Torque Ripple for Low-Carrier-Ratio Dual Three-Phase PMSM With Pulse Pattern Control. IEEE Trans. Power Electron. 2023, 38, 15091–15096. [Google Scholar] [CrossRef]
- Estima, J.O.; Marques Cardoso, A.J. Efficiency Analysis of Drive Train Topologies Applied to Electric/Hybrid Vehicles. IEEE Trans. Veh. Technol. 2012, 61, 1021–1031. [Google Scholar] [CrossRef]
- Ding, X.; Liu, G.; Du, M.; Guo, H.; Duan, C.; Qian, H. Efficiency Improvement of Overall PMSM-Inverter System Based on Artificial Bee Colony Algorithm Under Full Power Range. IEEE Trans. Magn. 2016, 52, 1–4. [Google Scholar] [CrossRef]
- Yang, F.; Taylor, A.R.; Bai, H.; Cheng, B.; Khan, A.A. Using d–q Transformation to Vary the Switching Frequency for Interior Permanent Magnet Synchronous Motor Drive Systems. IEEE Trans. Transp. Electrif. 2015, 1, 277–286. [Google Scholar] [CrossRef]
- Sun, T.; Koç, M.; Wang, J. MTPA Control of IPMSM Drives Based on Virtual Signal Injection Considering Machine Parameter Variations. IEEE Trans. Ind. Electron. 2017, 65, 6089–6098. [Google Scholar] [CrossRef]
- Zhang, C.; Guo, Q.; Li, L.; Wang, M.; Wang, T. System Efficiency Improvement for Electric Vehicles Adopting a Permanent Magnet Synchronous Motor Direct Drive System. Energies 2017, 10, 2030. [Google Scholar] [CrossRef]
- Yu, K.; Wang, Z. An Online Compensation Method of VSI Nonlinearity for Dual Three-Phase PMSM Drives Using Current Injection. IEEE Trans. Power Electron. 2022, 37, 3769–3774. [Google Scholar] [CrossRef]
- Lei, J.; Fang, S.; Huang, D.; Wang, Y. Enhanced Deadbeat Predictive Current Control for PMSM Drives Using Iterative Sliding Mode Observer. IEEE Trans. Power Electron. 2023, 38, 13866–13876. [Google Scholar] [CrossRef]
- Balamurali, A.; Feng, G.; Lai, C.; Tjong, J.; Kar, N.C. Maximum Efficiency Control of PMSM Drives Considering System Losses Using Gradient Descent Algorithm Based on DC Power Measurement. IEEE Trans. Energy Convers. 2018, 33, 2240–2249. [Google Scholar] [CrossRef]
- De Kooning, J.D.M.; Van De Vyver, J.; Meersman, B.; Vandevelde, L. Maximum Efficiency Current Waveforms for a PMSM Including Iron Losses and Armature Reaction. IEEE Trans. Ind. Appl. 2017, 53, 3336–3344. [Google Scholar] [CrossRef]
- Lai, C.; Feng, G.; Tian, J.; Li, Z.; Zuo, Y.; Balamurali, A.; Kar, N.C. PMSM Drive System Efficiency Optimization Using a Modified Gradient Descent Algorithm With Discretized Search Space. IEEE Trans. Transp. Electrif. 2020, 6, 1104–1114. [Google Scholar] [CrossRef]
- Guo, Q. Design and Implementation of a Loss Optimization Control for Electric Vehicle In-Wheel Permanent-Magnet Synchronous Motor Direct Drive System. Appl. Energy 2017, 204, 1317–1332. [Google Scholar] [CrossRef]
- Urasaki, N.; Senjyu, T.; Uezato, K. Investigation of Influences of Various Losses on Electromagnetic Torque for Surface-Mounted Permanent Magnet Synchronous Motors. IEEE Trans. Power Electron. 2003, 18, 131–139. [Google Scholar] [CrossRef]
- Kumar, P.; Bhaskar, D.V.; Muduli, U.R.; Beig, A.R.; Behera, R.K. Iron-Loss Modeling With Sensorless Predictive Control of PMBLDC Motor Drive for Electric Vehicle Application. IEEE Trans. Transp. Electrif. 2021, 7, 1506–1515. [Google Scholar] [CrossRef]
Disclaimer/Publisher’s Note: The statements, opinions and data contained in all publications are solely those of the individual author(s) and contributor(s) and not of MDPI and/or the editor(s). MDPI and/or the editor(s) disclaim responsibility for any injury to people or property resulting from any ideas, methods, instructions or products referred to in the content. |
© 2024 by the authors. Licensee MDPI, Basel, Switzerland. This article is an open access article distributed under the terms and conditions of the Creative Commons Attribution (CC BY) license (https://creativecommons.org/licenses/by/4.0/).