Two-Timescale Design for RIS-Aided Multicell MIMO Systems with Transceiver Hardware Impairments
Abstract
1. Introduction
- The two-timescale scheme is adopted to design the beamforming at the BS and RIS, respectively, based on instantaneous CSI and statistical CSI, for less computational complexity and less channel estimation overhead.
- We derive the closed-form achievable rate expression, which holds for an arbitrary number of BS antennas and RIS elements under Rician fading. The properties of the achievable rate in different cases are analyzed to draw useful insights.
- The GA method is applied to maximize the sum rate and the minimum user rate by optimizing the phase shifts of the RIS.
- Finally, numerical results validate our analytical conclusions and reveal that increasing the number of RIS elements can compensate for the influence of THWIs and effectively reduce the costs of the communication hardware.
2. System Model
3. Analysis of Uplink Achievable Rate
4. Phase Shift Optimization
| Algorithm 1: Mutation Algorithm |
| for do |
| for do ; |
| if then |
| The n-th chromosome of individual mutates to ; |
| end if |
| end for |
| end for |
| Algorithm 2: Two-Point Crossover Algorithm |
| Initialize ; |
| for do; |
| Select the c-th and -th parents from the parents; |
| Randomly generate integers from and satisfy ; |
| Generate the s-th offspring, and the N chromosomes of the s-th offspring are the |
| chromosomes of the c-th parent, the chromosomes of the -th parent, the |
| chromosomes of the c-th parent; |
| end for |
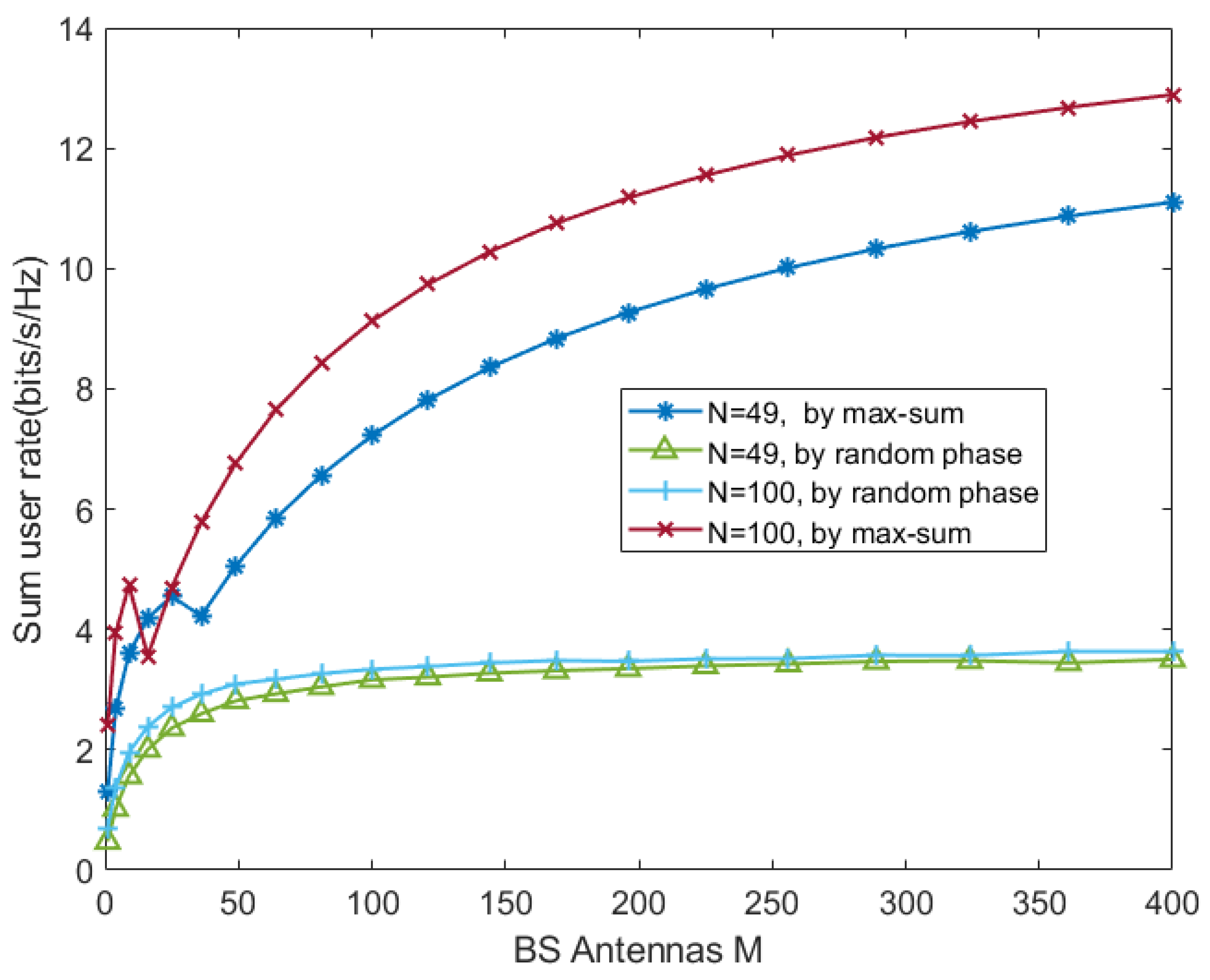
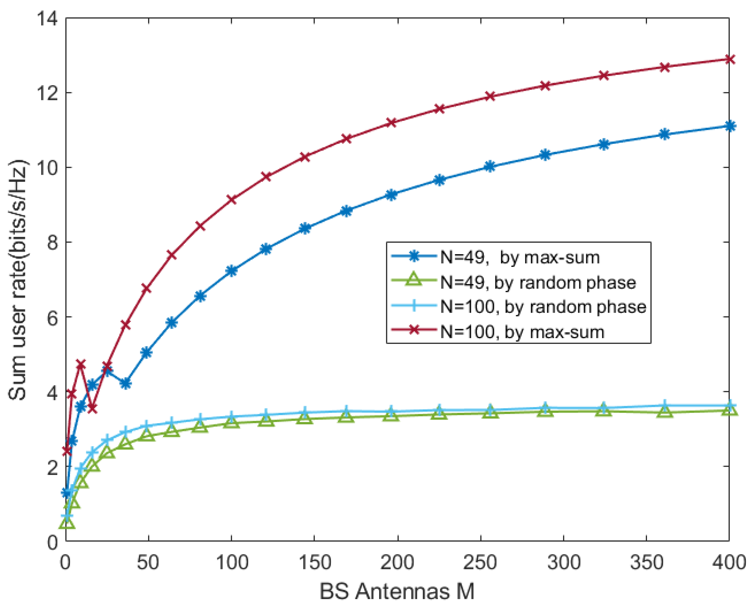
5. Simulation Results
6. Conclusions
Author Contributions
Funding
Data Availability Statement
Conflicts of Interest
Appendix A
References
- An, J.; Xu, C.; Ng, D.W.K.; Alexandropoulos, G.C.; Huang, C.; Yuen, C.; Hanzo, L. Stacked Intelligent Metasurfaces for Efficient Holographic MIMO Communications in 6G. IEEE J. Sel. Areas Commun. 2023, 41, 2380–2396. [Google Scholar] [CrossRef]
- Huang, C.; Hu, S.; Alexandropoulos, G.C.; Zappone, A.; Yuen, C.; Zhang, R.; Di Renzo, M.; Debbah, M. Holographic MIMO Surfaces for 6G Wireless Networks: Opportunities, Challenges, and Trends. IEEE Wirel. Commun. 2020, 27, 118–125. [Google Scholar] [CrossRef]
- Wang, J.; Wang, H.; Han, Y.; Jin, S.; Li, X. Joint Transmit Beamforming and Phase Shift Design for Reconfigurable Intelligent Surface Assisted MIMO Systems. IEEE Trans. Cogn. Commun. Netw. 2021, 7, 354–368. [Google Scholar] [CrossRef]
- Di Renzo, M.; Zappone, A.; Debbah, M.; Alouini, M.-S.; Yuen, C.; de Rosny, J.; Tretyakov, S. Smart Radio Environments Empowered by Reconfigurable Intelligent Surfaces: How It Works, State of Research, and The Road Ahead. IEEE J. Sel. Areas Commun. 2020, 38, 2450–2525. [Google Scholar] [CrossRef]
- Xie, H.; Xu, J.; Liu, Y.-F. Max-Min Fairness in IRS-Aided Multi-Cell MISO Systems via Joint Transmit and Reflective Beamforming. In Proceedings of the ICC 2020—2020 IEEE International Conference on Communications (ICC), Dublin, Ireland, 7–11 June 2020; pp. 1–6. [Google Scholar] [CrossRef]
- Xu, S.; Chen, C.; Du, Y.; Wang, J.; Zhang, J. Intelligent Reflecting Surface Backscatter Enabled Uplink Coordinated Multi-Cell MIMO Network. IEEE Trans. Wirel. Commun. 2023, 22, 5685–5696. [Google Scholar] [CrossRef]
- Pan, C.; Ren, H.; Wang, K.; Xu, W.; Elkashlan, M.; Nallanathan, A.; Hanzo, L. Multicell MIMO Communications Relying on Intelligent Reflecting Surfaces. IEEE Trans. Wirel. Commun. 2020, 19, 5218–5233. [Google Scholar] [CrossRef]
- Jiang, L.; Li, X.; Matthaiou, M.; Jin, S. Joint User Scheduling and Phase Shift Design for RIS Assisted Multi-Cell MISO Systems. IEEE Wirel. Commun. Lett. 2023, 12, 431–435. [Google Scholar] [CrossRef]
- Zhang, Y.; Di, B.; Zhang, H.; Han, Z.; Poor, H.V.; Song, L. Meta-Wall: Intelligent Omni-Surfaces Aided Multi-Cell MIMO Communications. IEEE Trans. Wirel. Commun. 2022, 21, 7026–7039. [Google Scholar] [CrossRef]
- Qiu, J.; Yu, J.; Dong, A.; Yu, K. Joint Beamforming for IRS-Aided Multi-Cell MISO System: Sum Rate Maximization and SINR Balancing. IEEE Trans. Wirel. Commun. 2022, 21, 7536–7549. [Google Scholar] [CrossRef]
- Abrardo, A.; Dardari, D.; Renzo, M.D. Intelligent Reflecting Surfaces: Sum-Rate Optimization Based on Statistical Position Information. IEEE Trans. Commun. 2021, 69, 7121–7136. [Google Scholar] [CrossRef]
- Zhi, K.; Pan, C.; Ren, H.; Wang, K. Power Scaling Law Analysis and Phase Shift Optimization of RIS-Aided Massive MIMO Systems with Statistical CSI. IEEE Trans. Commun. 2022, 70, 3558–3574. [Google Scholar] [CrossRef]
- Zhi, K.; Pan, C.; Ren, H.; Wang, K. Statistical CSI-Based Design for Reconfigurable Intelligent Surface-Aided Massive MIMO Systems with Direct Links. IEEE Wirel. Commun. Lett. 2021, 10, 1128–1132. [Google Scholar] [CrossRef]
- Wang, P.; Fang, J.; Wu, Z.; Li, H. Two-Timescale Beamforming for IRS-Assisted Millimeter Wave Systems: A Deep Unrolling-Based Stochastic Optimization Approach. In Proceedings of the 2022 IEEE 12th Sensor Array and Multichannel Signal Processing Workshop (SAM), Trondheim, Norway, 20–23 June 2022; pp. 191–195. [Google Scholar] [CrossRef]
- Zhi, K.; Pan, C.; Ren, H.; Wang, K.; Elkashlan, M.; Di Renzo, M.; Schober, R.; Poor, H.V.; Wang, J.; Hanzo, L. Two-Timescale Design for Reconfigurable Intelligent Surface-Aided Massive MIMO Systems with Imperfect CSI. IEEE Trans. Inf. Theory 2023, 69, 3001–3033. [Google Scholar] [CrossRef]
- Dai, J.; Ge, J.; Zhi, K.; Pan, C.; Zhang, Z.; Wang, J.; You, X. Two-Timescale Transmission Design for RIS-Aided Cell-Free Massive MIMO Systems. IEEE Trans. Wirel. Commun. 2023, 1. [Google Scholar] [CrossRef]
- Yang, S.; Lyu, W.; Xiu, Y.; Zhang, Z.; Yuen, C. Active 3D Double-RIS-Aided Multi-User Communications: Two-Timescale-Based Separate Channel Estimation via Bayesian Learning. IEEE Trans. Commun. 2023, 71, 3605–3620. [Google Scholar] [CrossRef]
- Huang, H.; Zhang, C.; Zhang, Y.; Ning, B.; Gao, H.; Fu, S.; Qiu, K.; Han, Z. Two-Timescale-Based Beam Training for RIS-Aided Millimeter-Wave Multi-User MISO Systems. IEEE Trans. Veh. Technol. 2023, 72, 11884–11897. [Google Scholar] [CrossRef]
- Wu, C.; You, C.; Liu, Y.; Han, S.; Renzo, M.D. Two-Timescale Design for STAR-RIS-Aided NOMA Systems. IEEE Trans. Commun. 2024, 72, 585–600. [Google Scholar] [CrossRef]
- Peng, Z.; Chen, X.; Pan, C.; Elkashlan, M.; Wang, J. Performance Analysis and Optimization for RIS-Assisted Multi-User Massive MIMO Systems with Imperfect Hardware. IEEE Trans. Veh. Technol. 2022, 71, 11786–11802. [Google Scholar] [CrossRef]
- Peng, Z.; Li, T.; Pan, C.; Ren, H.; Wang, J. RIS-Aided D2D Communications Relying on Statistical CSI with Imperfect Hardware. IEEE Commun. Lett. 2022, 26, 473–477. [Google Scholar] [CrossRef]
- Chu, Z.; Zhong, J.; Xiao, P.; Mi, D.; Hao, W.; Tafazolli, R.; Feresidis, A.P. RIS Assisted Wireless Powered IoT Networks with Phase Shift Error and Transceiver Hardware Impairment. IEEE Trans. Commun. 2022, 70, 4910–4924. [Google Scholar] [CrossRef]
- Zheng, H.; Pan, C.; Zhang, C.; Li, X.; He, C.; Yang, Y.; Dai, M. Robust Transmission Design for RIS-Aided Wireless Communication with Both Imperfect CSI and Transceiver Hardware Impairments. IEEE Internet Things J. 2023, 10, 4621–4635. [Google Scholar] [CrossRef]
- Zhang, Y.; Xia, W.; Zhao, H.; Zheng, G.; Lambotharan, S.; Yang, L. Performance Analysis of RIS-Assisted Cell-Free Massive MIMO Systems with Transceiver Hardware Impairments. IEEE Trans. Commun. 2023, 71, 7258–7272. [Google Scholar] [CrossRef]
- Bao, T.; Wang, H.; Yang, H.-C.; Wang, W.-J.; Hasna, M.O. Performance Analysis of RIS-aided Communication Systems over the Sum of Cascaded Rician Fading with imperfect CSI. In Proceedings of the 2022 IEEE Wireless Communications and Networking Conference (WCNC), Austin, TX, USA, 10–13 April 2022; pp. 399–404. [Google Scholar] [CrossRef]
- Xu, P.; Niu, W.; Chen, G.; Li, Y.; Li, Y. Performance Analysis of RIS-Assisted Systems with Statistical Channel State Information. IEEE Trans. Veh. Technol. 2022, 71, 1089–1094. [Google Scholar] [CrossRef]
- Salhab, A.M.; Samuh, M.H. Accurate Performance Analysis of Reconfigurable Intelligent Surfaces Over Rician Fading Channels. IEEE Wirel. Commun. Lett. 2021, 10, 1051–1055. [Google Scholar] [CrossRef]









Disclaimer/Publisher’s Note: The statements, opinions and data contained in all publications are solely those of the individual author(s) and contributor(s) and not of MDPI and/or the editor(s). MDPI and/or the editor(s) disclaim responsibility for any injury to people or property resulting from any ideas, methods, instructions or products referred to in the content. |
© 2024 by the authors. Licensee MDPI, Basel, Switzerland. This article is an open access article distributed under the terms and conditions of the Creative Commons Attribution (CC BY) license (https://creativecommons.org/licenses/by/4.0/).
Share and Cite
Zhang, S.; Guo, W.; Dai, J.; Zhu, F. Two-Timescale Design for RIS-Aided Multicell MIMO Systems with Transceiver Hardware Impairments. Electronics 2024, 13, 704. https://doi.org/10.3390/electronics13040704
Zhang S, Guo W, Dai J, Zhu F. Two-Timescale Design for RIS-Aided Multicell MIMO Systems with Transceiver Hardware Impairments. Electronics. 2024; 13(4):704. https://doi.org/10.3390/electronics13040704
Chicago/Turabian StyleZhang, Shilong, Weiran Guo, Jianxin Dai, and Feng Zhu. 2024. "Two-Timescale Design for RIS-Aided Multicell MIMO Systems with Transceiver Hardware Impairments" Electronics 13, no. 4: 704. https://doi.org/10.3390/electronics13040704
APA StyleZhang, S., Guo, W., Dai, J., & Zhu, F. (2024). Two-Timescale Design for RIS-Aided Multicell MIMO Systems with Transceiver Hardware Impairments. Electronics, 13(4), 704. https://doi.org/10.3390/electronics13040704

