Abstract
In the repeated launching process, there is an Aluminum Deposited Layer (ADL) on the rail surface. The ADL will melt when heated, and its different melting states will have an important influence on the armature melting process. Therefore, it is necessary to analyze the melting characteristics of the armature under different melting states of the ADL. Firstly, the ADL’s thickness and its melting state are analyzed. Secondly, theoretical calculation models of armature melting are established under the partially melted state and the fully melted state of the ADL, respectively, and the influence of the melting state of the ADL on armature melting is investigated. Finally, considering the effect of non-uniform contact pressure on contact resistance, a three-dimensional finite element simulation model of armature surface melting morphology was established based on multi-physics field coupling for a more accurate analysis of armature surface melting and making a comparative analysis with the experimental results and theoretical analysis results. The results show that the ADL’s thickness increases linearly with the number of shots. When the ADL’s thickness is thin enough, it is in a fully melting state. With the increase in the ADL’s thickness, the ADL will transition to a partially melting state. When the ADL is in a fully melting state, the melting of the armature decreases with the increase in the ADL’s thickness. When the ADL’s thickness reaches a certain value, the corresponding armature melting is reduced to the minimum and no longer changes. The maximum melting depth of the armature surface calculated by finite element is 0.617 mm, which is close to the experimental measurement result of 0.6 mm, verifying the accuracy of the model. The research results can provide a basis for studying the melting mechanism of the armature and provide technical support for controlling ADL and optimizing the design of the armature structure.
1. Introduction
Armature melting damage is associated with the electrical contact performance of the armature–rail interface [1,2,3,4]. Experimental studies have revealed that aluminum deposition occurs on the rail surface after multiple launches, and the ADL’s thickness has a cumulative effect on the number of shots [5,6,7]. When the armature moves on the rail surface during multiple launches, the aluminum deposition melts under the action of enormous Joule and friction heat at the interface. The ADL’s melting state is related to parameters such as launching current, launching velocity, and ADL’s thickness, which are, respectively, the partially melted state and the fully melted state. When the ADL is in a partially melted state, the entire melting process is the contact heat transfer between the armature and the ADL. When the ADL is in a fully melted state, the armature is in contact with the ADL before it is fully melted and is in contact with the copper rail after it is fully melted. Different melting states of the ADL correspond to different interface contact heat transfer processes, and the corresponding armature melting calculation model is also different. That is, the impact on the armature melting characteristics must not be nearly identical. Therefore, studying and analyzing the influence of the melting state of the ADL on the armature melting process is conducive to revealing the melting mechanism of the repeat-launch armature, providing technical support for inhibiting armature surface melting and optimizing the design of the armature structure. This is of great significance for improving the performance of the repeat-launch armature-rail sliding electrical contact and the system launching efficiency.
Xiao et al. [8] established the armature melting wear calculation model through the heat balance equation, analyzed the armature surface melting speed from the theoretical and experimental perspectives, verified the correctness of the theoretical calculation model of armature melting, and determined that the theoretical model has a certain reference significance. Li et al. [9] established the armature melting calculation model by considering the change of surface wear amount, temperature increase, and the effect of reverse force during the outward expansion of the armature tail. However, none of the research results consider the effect of the ADL’s melting. Yao et al. [10] considered ADL’s melting and established a model of armature melting based on the heat balance equation. However, they only considered the total melting state of the ADL and not the effect of its thickness, nor did they conduct an analysis of armature melting under the partial melting state.
Lin et al. [11] considered the coupling effect of electromagnetic, thermal, and structural fields to model and simulate the electromagnetic rail launch process. They obtained the current and temperature distribution characteristics of the armature surface but did not consider the effect of ADL’s melting nor illustrate the simulation of armature surface melting morphology. Hsieh et al. [12] coupled electromagnetic, structural, heat transfer, and other modules to establish a three-dimensional armature surface melting numerical calculation model and developed the EMAP3D finite element coding program to obtain the transient characteristics of the armature surface melting morphology. However, due to confidentiality reasons, the core technology of EMAP3D finite element coding was not disclosed. Yao et al. [13] and Zhang et al. [14], based on COMSOL finite element analysis software, coupled electromagnetic field, contact mechanics, and thermal field to establish a non-ideal contact heat transfer model. However, the modeling did not consider the material melting phase transition, so it could not accurately simulate the melting morphology on the armature surface. Additionally, it did not involve ADL’s melting.
In this paper, through analyzing ADL’s different melting states, armature melting theory and finite element calculation model are established under the partially melted state and the fully melted state of the ADL, respectively. Then, the influence of different melting states of the ADL on the armature’s melting process is investigated, which is of great significance for the subsequent control technology of the ADL and for revealing the melting mechanism of the contact interface to improve the launching performance.
2. ADL’s Thickness and Melting State Variation Characteristics
2.1. ADL’s Thickness Distribution
During electromagnetic launch tests, the armature slides over the rail surface at high speed. The massive interfacial heat source causes the armature to melt into liquid metal. This liquid metal continuously contacts the cold rail and ultimately produces a micrometer-thick ADL on the rail surface which is shown in Figure 1.
Figure 1.
ADL on the rail surface.
Under the condition of current line density 40 kA/mm and armature caliber 30 mm × 40 mm, through examining and analyzing rail samples, it was found that ADL’s thickness increased linearly with the number of shots as shown in Figure 2a. However, the ADL’s thickness was not proportionate to the increase in the number of shots. For example, when the number of shots doubled, the ADL’s thickness increased by about 1.5 times. To measure the ADL’s thickness, our team conducted repeated launch tests under the condition of online current density 20 kA/mm and armature caliber 20 mm × 20 mm. The relationship between the ADL’s thickness and the number of shots is shown in Figure 2b, which is similar to the change rule of the ADL in ref. [6], that is, the ADL’s thickness shows a trend of linear growth with the number of shots.
Figure 2.
ADL’s thickness versus number of shots: (a) 40 kA/mm [6]; (b) 20 kA/mm.
2.2. Analysis of the ADL’s Melting State
During repetitive launches, the armature moves over a rail surface coated with the ADL. The ADL’s main material is aluminum, which will melt under the effect of interface Joule heat and friction heat. It is prone to melting in the low-speed stage but not in the high-speed stage [10]. We conduct a preliminary study on the ADL’s melting and obtain the minimum thickness dmin and the maximum thickness value dmax that the ADL can be melted under certain launch conditions. For different current amplitudes, the variation curves of the ADL’s melting thickness with launch distance are pictured in Figure 3. If the ADL’s thickness d is greater than dmax, the ADL can be considered to be in a partially melted state. Conversely, if the ADL’s thickness d is smaller than dmin, it can be considered to be in a fully melted state.
Figure 3.
ADL’s melting thickness variation with launch distance.
3. Theoretical Model of Armature Melting
3.1. Heat Source at Interface
The schematic diagram of the electromagnetic rail launch is presented in Figure 4. The aluminum armature is in full contact with the two parallel copper rails. The strong pulse current I generates a powerful magnetic field B distributed as shown in the figure. Under the action of this strong magnetic field, the aluminum armature generates an electromagnetic thrust F, which propels the aluminum armature to slide on the surface of the copper rails at high speed.
Figure 4.
Schematic diagram of electromagnetic launch.
During the process of the armature sliding on the rail surface, Joule heat and frictional heat together form an interfacial heat source. For convenience, it is assumed that the contact area A (A = d1Y) remains unchanged, and the total heat source of the interface is uniformly distributed. If the driving current is I(t), contact resistance is Rc, Joule heat flux rate is expressed as:
Assuming that the armature tail length is d1, the tail inclination is θ, the rail spacing is X, and the armature height is Y. The analysis of the forces acting on the armature is presented in Figure 5. During the armature sliding process, under the extrusion of electromagnetic contact pressure FEM, sliding friction fc is produced. If the sliding friction coefficient of the armature and rail is μ, the friction heat flux rate is expressed as:
where is the inductance gradient, and U(t) is the armature motion speed.
Figure 5.
Force analysis of launching armature.
Thus, the total interfacial heat sources were estimated as:
Without considering interfacial heat loss, the interfacial heat source q flows to the armature side qa and the deposited layer rail side qr, respectively. Figure 6 displays the process of heat distribution at the interface between the armature and rail coated with the ADL.
Figure 6.
Heat distribution process at armature–rail interface with deposited layer.
3.2. Armature Melting Model for the Polished Rail
In the case of a polished rail, the aluminum armature is in direct contact with the copper rail. The melting point of the copper rail is much higher than that of the aluminum armature. After the armature melts, assuming that no melting will occur on the surface of the copper rail without considering the presence of a liquefied layer, the armature reaches melting point temperature Tm. The heat flux on the rail side in this case can be written as [15]:
By setting the average melting rate of the armature surface as vma (m/s) and disregarding the Joule temperature rise of the armature material itself as well as the convective heat transfer with the surrounding air, the heat flux at the armature interface can be approximated as:
where T0 denotes the room temperature, the subscript r represents the rail, a represents the armature, d represents the deposited layer, k represents the thermal conductivity, c represents the specific heat, ρ represents the density, and H represents the latent heat. According to the conservation of heat at the interface, the average melting rate of the armature is:
Assuming that the moment at which armature melting commences is tma, the volume lost due to armature melting wear at moment t is
Assuming that the total volume of the armature is Va and the armature sliding time is td, the percentage of armature melt wear throughout is
The armature is customarily fabricated from 6061 aluminum alloy, and the rail is constituted by a copper material. The ADL’s material is approximated to be the same as that of the armature. The material parameters are presented in Table 1; Figure 7 shows the typical current waveform. Assuming that the caliber parameters X = Y = 20 mm and d1 = 20 mm, the launch mass is 30 g, and the tail inclination angle is θ, the corresponding change curves of armature velocity and displacement are shown in Figure 8.
Table 1.
Material parameters.
Figure 7.
Current waveform.
Figure 8.
Armature’s velocity and displacement curves.
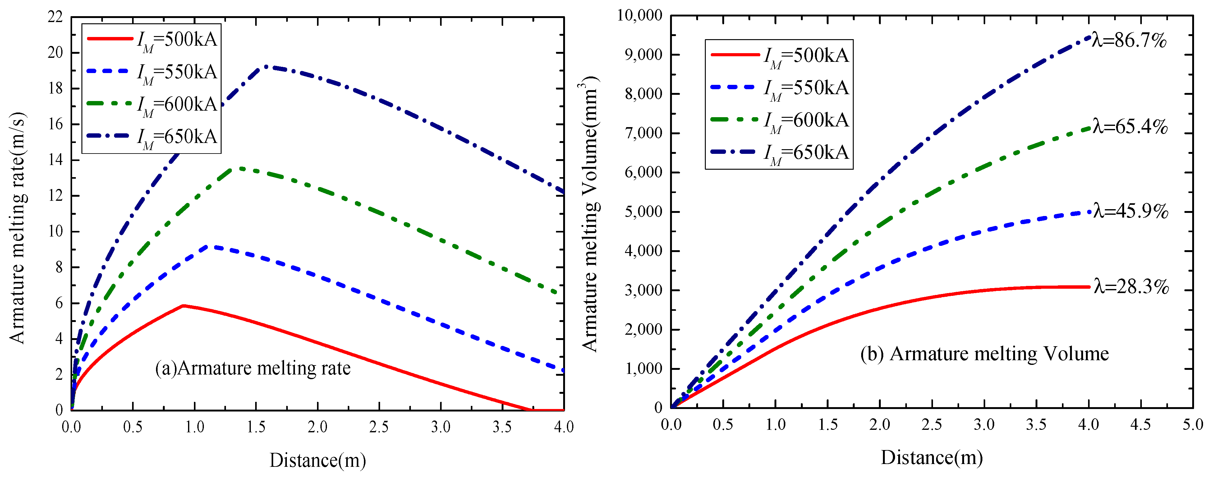
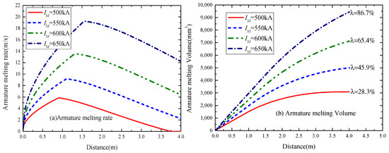
For a certain length of the rail, when it is taken as 4 m, and the current amplitude is set to different values, the change curves of armature melting rate and melting volume with respect to sliding distance are shown in Figure 9a,b. It can be observed that the melting rate increases and then decreases as the launching distance increase. This is because the armature melting rate is positively correlated with the current squared, as shown in Equation (6), while the current waveform is shown in Figure 7, with a sharp drop in the current waveform during the late launching phase. The armature melting volume gradually increases and tends to stabilize in the late stage of launching. Moreover, the larger the current amplitude is, the greater the armature melting rate and melting volume will be.
Figure 9.
Armature melting for different currents: (a) armature melting rate; (b) armature melting volume.
3.3. Armature Melting Model for ADL in a Partially Melted State
Assuming that the ADL’s thickness is sufficiently thick to be greater than dmax, the deposited layer is in a partially melted state. For the convenience of analysis, the actual melting thickness of the deposition is taken as the minimum melting thickness dmin, that is, the minimum heat absorbed on the rail side. Then, the corresponding heat absorbed on the armature side is the maximum, and the melting rate should also be the maximum. The total interface heat source minus the heat absorbed by the ADL is equal to the heat absorbed by the armature side, which is used for armature melting. Since the contact time tc = d1/U, ADL’s average melting rate in the course of the contact period is as follows:
Then, the heat flux absorbed by the ADL should be
According to the conservation of heat, the armature melting rate in the partially melted state of the ADL is as follows
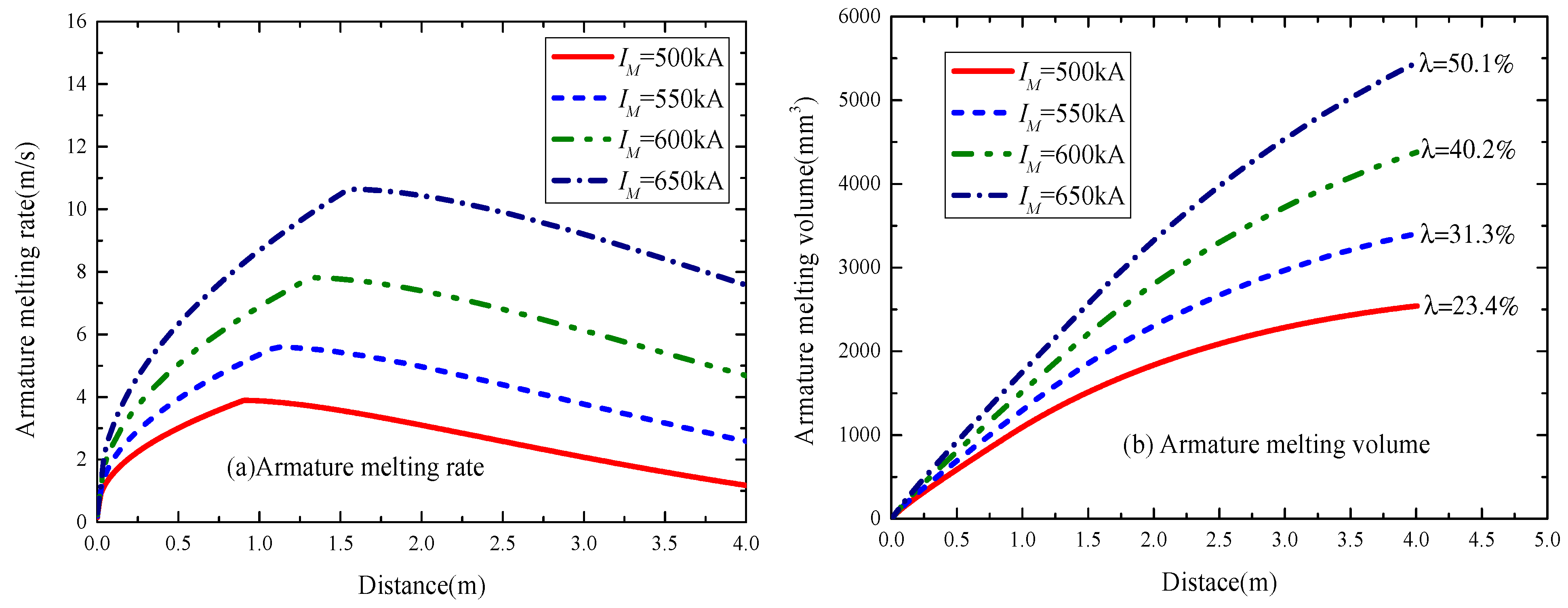
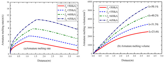
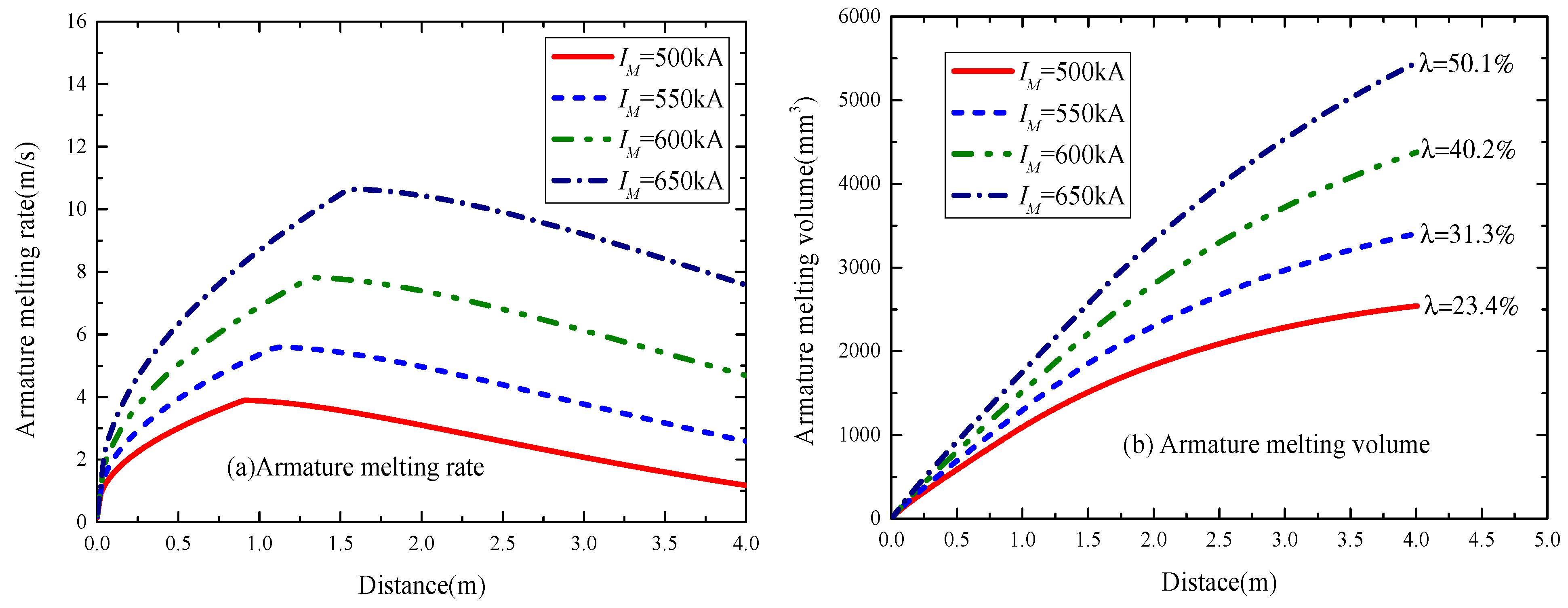
With the launching conditions kept identical to those of a polished rail, Figure 10 presents the correlation between the armature’s melting rate and melting volume for varying current amplitudes. The variation pattern of the armature’s melting rate and melting volume in relation to sliding distance is precisely the same as that of a polished rail. However, under the same current condition, the armature melting rate and volume for ADL in a partially melted state are smaller than those for a polished rail. For example, when the current amplitude is 600 kA, the armature melting volume is 40.2%, and the maximum armature melting rate is 8 m/s. In comparison, under the same current condition for a polished rail, the armature melting volume is 65.4% and the maximum armature melting rate is 14 m/s. That is, for ADL in partially melted state, the armature’s melting is suppressed compared to that for a polished rail. Moreover, the higher the current, the more the armature melting is suppressed.
Figure 10.
Armature melting under partially melted state of the ADL: (a) armature melting rate; (b) armature melting volume.
3.4. Armature Melting Model for ADL in a Fully Melted State
The time when the armature initially contacts with the ADL is denoted as tin, while tc represents the contact time. Assuming that at the beginning of contact moment tr(0 < tr < tc), the deposited layer is fully melted. Let ADL’s thickness be d0. Considering that at moment tr it is fully melted, there is a heat balance equation for ADL. Thus, the armature melting rate in the case of the fully melted state of ADL can be obtained as [9].
It is observed that the deposited layer is thicker in the initiation and low-speed phases. In the later stages of the high-speed launch phase, the ADL’s thickness gradually decreases. Based on the actual distribution characteristics of the deposits in [6], the ADL’s thickness distribution versus time is assumed as:
where , h0 is maximum thickness of ADL, a = 5/3, b = 0.5.
Now, we investigate the armature melting characteristics under different deposited layer thicknesses. Set h0 to be 120 μm, 100 μm, and 80 μm, respectively. Correspondingly, the ADL’s thickness distribution with respect to launching distance is illustrated in Figure 11. When the current amplitude is 600 kA, and the armature launching mass is 30 g, according to ref. [9], the minimum melting thickness of the ADL can be obtained (the dark blue curve pictured in Figure 11). As depicted by the dark blue curve in Figure 11, the ADL’s thickness distribution curves are all less than the minimum melting thickness of the ADL. Consequently, for these three thicknesses of the ADL, it can be fully melted.
Figure 11.
Deposited layer thickness curves.
Figure 12 presents the relationship curves of armature melting rate and melting volume calculated with respect to armature sliding distance under different deposited layer thicknesses. It can be observed that the armature melting rate exhibits the same trend as in the polished rail and partially melted state of the ADL, while the armature’s melting volume is continuously increasing. Evidently, the increase in the corresponding armature melting rate and melting volume exhibits a linear negative correlation with the ADL’s thickness. The larger the ADL’s thickness, the smaller the armature melting rate and melting volume. This is because the greater the ADL’s thickness, the more heat is absorbed for melting. Under the same interfacial heat source, the heat absorbed on the armature side will be less, resulting in a reduction in melting speed and melting volume.
Figure 12.
Armature melt for different deposited layer thicknesses: (a) armature melting rate; (b) armature melting volume.
Figure 13 illustrates the ADL distribution on the rail surface at the initial stage following the small-caliber repeat-launching test. More details regarding this experimental setup can be found in [10]. By measuring the ADL’s thickness after each launch and combining it with the ADL’s melting thickness under the launching conditions, it was determined that the ADL was in a fully melted state during the seven repeat-launching tests.
Figure 13.
ADL at the beginning of the rail.
Figure 14 depicts the melting morphology of the recovered armature surface. The armature melting morphology was measured each time to obtain the maximum melting depth of the armature surface, as indicated by the red curve in Figure 15. The armature melting model is employed for theoretical calculation under the condition of complete melting of the deposited layer. Armature melting velocity expressed by Equation (12) multiplied by the sliding time td gives the maximum melting depth on the armature surface. The variation curve of the maximum melting depth calculated by the model is shown as the blue curve in Figure 15. The change trend of the model calculation results is identical to that of the experimental measurement results, suggesting that the armature melting under the state of complete melting of the deposited layer gradually decreases with the increase in the number of launches.
Figure 14.
Recovered armature surface melting morphology: (a) armature photos; (b) melting morphology.
Figure 15.
Maximum melting depth on armature surface.
3.5. Analysis of the Influence of the ADL’s Melting State upon Armature Melting
In order to analyze the influence of the ADL’s melting state upon armature melting, the armature melting characteristics for the polished rail, those for ADL’s partially melted state, and those for the ADL’s fully melted state are now presented in Figure 16, in which the current amplitude is 600 kA, the launching mass is 30 g, and the length of the rail is 4 m.
Figure 16.
Armature melt for different deposited layer melting states: (a) armature melting rate; (b) armature melting volume.
At the initial launch, the rail surface is smooth and free of deposition. It can be observed that the armature melting rate and melting volume are both at their maximum, with the melting volume reaching 65.4%. As the number of launches increases, the ADL’s thickness gradually grows. When the ADL’s thickness is sufficiently small and smaller than the minimum melting thickness of the ADL, the ADL will be fully melted, accompanied by a corresponding decrease in the melting rate and melting volume. Within the range of the fully melted state, the larger the ADL’s thickness, the smaller the armature melting rate and melting volume. Until the ADL’s thickness is large enough such that it cannot be fully melted but only partially melted after numerous launches, the armature melting rate and melting volume decrease to the minimum, with the melting volume dropping to 40.2%. If the influence of the ADL’s thickness on the launch state and the heat source at the interface is not considered, the armature melting rate and volume will no longer change as the ADL’s thickness increases with the number of launches. In fact, when the ADL’s thickness is thicker, the interfacial current distribution will become uniform, and the interfacial heat source may become smaller. The armature melting rate and melting volume may continue to decrease until the armature melting volume and the liquid spattering volume reach a dynamic equilibrium, and the ADL’s thickness no longer increases, thus reaching the so-called steady state.
4. Finite Element Simulation Model of Armature Melting
For the convenience of analysis, the effect of contact pressure on contact resistance is not considered in the above theoretical model, and the contact resistivity calculation model of the armature rail interface coupled with contact pressure can be adopted as the CMY model [16], as
where σa and σr are the conductivity of the armature and rail materials, respectively, Hc is the hardness of the softer material, P is the contact pressure, and ρcontact is the unit contact resistivity.
The 3D finite element simulation model of the armature-deposited layer-rail is established in COMSOL finite element software [17], as depicted in Figure 17. The finite element simulation model specifically comprises a contact pressure module, a contact resistance model, an electromagnetic module, a motion module, and a thermal module. The joint action among these modules constitutes the current melting analysis model. The relationship between the modules is shown in Figure 18. The contact mechanics module generates contact pressure that acts on the contact resistance model. This provides the contact resistance boundary conditions for the electromagnetic module. The electromagnetic module generates interface Joule heat. The contact pressure module generates frictional heat in conjunction with the motion module. The Joule heat and frictional heat provide the interface heat source for the thermal module. Current melting is the outcome of the joint action of these modules.
Figure 17.
Three-dimensional simulation model of armature and rail.
Figure 18.
Relationship between the modules of the armature melting model.
COMSOL finite element analysis software is employed to conduct modeling and simulation of the aforementioned modules. The COMSOL simulation model includes the solid armature, deposited layer, and copper rail. A complete geometric model is established, and all geometric model parameter settings and mesh dissections are carried out. In order to enhance the calculation efficiency, the mesh of the contact area between the armature, deposited layer, and rail is refined, while the mesh of the non-contact area is coarsened. Taking the ADL’s thickness as 50 μm, the typical melting topography simulation results on the armature surface are obtained, as shown in Figure 19. The maximum melting depth occurs at the side edge of the rail surface, which is in accordance with the melting topography distribution law of the recovered armature surface in Figure 14.
Figure 19.
Armature melting morphology.
As shown in Figure 20, by varying the deposited layer thickness, the maximum armature surface melting depth under different thicknesses is simulated and calculated. The maximum value calculated by the theoretical model for the same thickness is also plotted. The results show the same trend. The melting depth of the polished rail is the largest. With increasing thickness, the armature surface melting depth first decreases and then stabilizes. Since the simulation is at 400 kA, from Figure 3, when the thickness is greater than 150 μm, it exceeds the maximum melting thickness. That is, less than 150 μm is in a fully melted state, and greater than 150 μm is in a partially melted state. In a fully melted state, armature melting decreases with ADL’s thickness increase. In a partially melted state, it almost stops changing. Table 2 shows the comparison of the maximum melting depth for polished rail. The finite element calculation of 0.617 mm is close to the test result of 0.6 mm, verifying the model’s accuracy. The theoretical model did not consider the effect of non-uniform contact pressure, and the finite element simulation model considered the effect of contact pressure. The melting morphology of the armature obtained by the finite element is consistent with the melting morphology of the surface of the armature recovered from the test and the melting morphology of the armature is shown in Figure 14, and the simulation morphology is shown in Figure 19. After considering the contact pressure, the finite element simulation results are closer to the measured values, which indicates that the contact pressure has an important effect on both armature melting and deposited layer melting, which cannot be ignored. The next step will be to continue to explore the development process of deposited layer melting, considering the effect of contact pressure on the basis of this study.
Figure 20.
Maximum melting depth with deposited layer thickness.
Table 2.
Maximum melting depth on armature surface.
5. Conclusions
The ADL’s melting state during the repeated launching process significantly influences the armature melting process. In this paper, the thickness variation characteristics of the deposited layer are analyzed first. The ADL’s melting state is determined based on its actual thickness. The theoretical calculation models of armature melting under the partially melted and fully melted states of the ADL are established to obtain the influence law of the ADL’s melting state on armature melting. Considering the impact of non-uniform contact pressure on contact resistance, a three-dimensional finite element simulation model of armature surface melting morphology is established and compared with test results and theoretical analysis results. The main findings are as follows:
- (1)
- The thickness of the deposited layer approximately increases linearly with the number of launches. When the deposited layer is sufficiently thin, it is in a fully melted state and gradually transitions to a partially melted state as the thickness increases.
- (2)
- In the fully melted state, the armature melting gradually decreases with the increase in deposited layer thickness. Once the deposited layer is in the partially melted state, the corresponding armature melting is reduced to a minimum and no longer changes with the increase in deposited layer thickness.
- (3)
- The maximum melting depth of the armature surface calculated by finite element analysis is 0.617 mm, which is close to the experimental measurement result of 0.6 mm, verifying the model’s accuracy.
The research results provide a basis for studying the melting mechanism of the repeated launch armature and are of great significance for further improving the performance of armature rail sliding electric contact and system launch efficiency. In the future, determining how to accurately express the specific value of the melting thickness of the deposited layer rather than just the range needs to be further investigated, and the development process of deposited layer melting considering the effect of contact pressure on the basis of this study needs to be further explored.
Author Contributions
Conceptualization, J.Y.; data curation, T.Z.; formal analysis, Q.F.; investigation, S.W.; methodology, J.Y.; project administration, T.Z.; resources, J.Y.; software, S.W.; supervision, T.Z.; validation, S.W.; visualization, Q.F. and J.Y.; writing—original draft, J.Y.; writing—review and editing, J.Y.; scientific research, J.Y. All authors have read and agreed to the published version of the manuscript.
Funding
This work was supported in part by the National Natural Science Foundation of China under Grant 52207009 and Grant 62073173; and in part by the Key Research and Development Plan of Jiangsu Province, China under grant BE2023838.
Data Availability Statement
The data presented in this study are available on request from the corresponding author.
Acknowledgments
The authors would like to thank their teachers, friends, and other colleagues for their discussions on simulation and comments on this paper.
Conflicts of Interest
Author Qiang Fu was employed by the company Nari Group Corporation. Author Shibing Wu was employed by the company Zhejiang Changxing County Power Supply Co., Ltd. The remaining authors declare that the research was conducted in the absence of any commercial or financial relationships that could be construed as a potential conflict of interest.
References
- Ma, W.M.; Lu, J.Y. Research progress and challenges of electromagnetic launch technology. Trans. China Electrotech. Soc. 2023, 38, 3943–3959. [Google Scholar]
- Du, X.; Liu, S.; Guan, J. Design and Experimental Study of a Curved Contact Quadrupole Railgun. Electronics 2022, 11, 3108. [Google Scholar] [CrossRef]
- Chen, L.; Xu, X.; Wang, Z.; Xu, J.; You, P.; Lan, X. Melting Distribution of Armature in Electromagnetic Rail Launcher. IEEE Trans. Plasma Sci. 2023, 51, 234–242. [Google Scholar] [CrossRef]
- Zhang, P.; Shu, T.; Li, T. Electromagnetic Characteristics Analysis of Quadrupole Compound Orbital Electromagnetic Launcher with Different Configurations. Electronics 2022, 11, 2650. [Google Scholar] [CrossRef]
- Li, Y.; Yao, P.; Li, Z.; Zhou, H.; Wang, X.; Zhao, Y.; Kang, L.; Deng, M. Deposition characteristics and wear mechanism of CuCrZr electromagnetic launch rail. Mater. Sci. Eng. Powder Metall. 2022, 27, 409–418. [Google Scholar]
- Meger, R.A.; Cairns, R.L.; Douglass, S.R.; Huhman, B.; Neri, J.M.; Carney, C.J.; Jones, H.N.; Cooper, K.; Feng, J.; Brintlinger, T.H.; et al. EM gun bore life experiments at Naval research laboratory. IEEE Trans. Plasma Sci. 2012, 41, 1533–1537. [Google Scholar] [CrossRef]
- Cooper, K.P.; Jones, H.; Meger, R.A. Analysis of railgun barrel materials. IEEE Trans. Magn. 2007, 43, 120–125. [Google Scholar] [CrossRef]
- Xiao, Z. Friction and Wear Behavior of Armature-Rail Sliding Electrical Contact Surface. Ph.D. Thesis, Huazhong University of Science and Technology, Wuhan, China, 2012. [Google Scholar]
- Li, B.; Lu, J.; Tan, S.; Jiang, Y.; Zhang, Y. Effect of interfacial roughness of sliding electrical contact on the melting characteristics of armature. Trans. China Electrotech. Soc. 2018, 33, 1607–1615. [Google Scholar]
- Yao, J.; Sun, J.; Bao, J.; Zhang, T. Study on Suppressing Effect of Deposited Layer on Armature Melting at Sliding Electrical Contact Interfaces. Trans. China Electrotech. Soc. 2024, 39, 5958–5968. [Google Scholar]
- Lin, Q.H.; Li, B.M. Modeling and simulation of electromagnetic railgun launching process based on a transient multi-physical field solver. Acta Armamentarii 2020, 41, 1697–1707. [Google Scholar]
- Hsieh, K.T. Numerical study on groove formation of rails for various materials. IEEE Trans. Magn. 2005, 41, 380–382. [Google Scholar] [CrossRef]
- Yao, J.; Chen, L.; Xia, S.; He, J.; Li, C. The Effect of Current and Speed on Melt Erosion at Rail-Armature Contact in Railgun. IEEE Trans. Plasma Sci. 2019, 47, 2302–2308. [Google Scholar] [CrossRef]
- Zhang, J.; Lu, J.; Tan, S.; Zhang, Y.; Li, B. A magnetic diffusion model of electromagnetic launcher considering initial contact pressure. Trans. China Electrotech. Soc. 2022, 37, 488–495. [Google Scholar]
- Edin, E.B. Melt Wear Control of Metals in High-Speed Sliding Contacts. Ph.D. Thesis, Rensselaer Polytechnic Institute Troy, New York, NY, USA, 2008. [Google Scholar]
- Yovanovich, M. Four Decades of Research on Thermal Contact, Gap, and Joint Resistance in Microelectronics. IEEE Trans. Compon. Packag. Technol. 2005, 28, 182–206. [Google Scholar] [CrossRef]
- Pei, C.G.; Liu, G.Z.; Jin, Y.X.; Yuan, Z.K.; Wang, D.W. Dynamic analysis of electromagnetically launched integrated projectiles based on COMSOL. J. Gun Launch Control 2024, 45, 104–112. [Google Scholar]
Disclaimer/Publisher’s Note: The statements, opinions and data contained in all publications are solely those of the individual author(s) and contributor(s) and not of MDPI and/or the editor(s). MDPI and/or the editor(s) disclaim responsibility for any injury to people or property resulting from any ideas, methods, instructions or products referred to in the content. |
© 2024 by the authors. Licensee MDPI, Basel, Switzerland. This article is an open access article distributed under the terms and conditions of the Creative Commons Attribution (CC BY) license (https://creativecommons.org/licenses/by/4.0/).



















