Abstract
Optimized guidelines for the design of power converters are crucial to achieve the expected goals in terms of performance, efficiency, power density, etc. Therefore, they are the basis for industrial success or failure. Resonant converters based on Dual Active Bridges (DABs) are particularly sensitive to the design process due to their inherently nonlinear behaviour; thus, they are in the spotlight for research and development at present. Plenty of design methodologies can be found in the literature but each of them is specific to the perspective of the authors, the performed analysis, the assumptions made, and the design objectives. It is critical to understand the Key Performance Indicators (KPIs) and design methodologies of a resonant DAB converter. There is a significant lack of articles that concisely and clearly summarize this. Different design methodologies are analyzed and compared with respect to the most important KPIs, and the most relevant demos and experiences are pointed out so that designers can select the best choice for their assignment. These results will help designers understand the design methodologies and carefully choose one based on the application, analysis, and design objectives.
1. Introduction
With the increasing integration of power converters in the electrical grid, there is a need for the continuous development of and continuous research on power converters. Traditionally, electrical energy was produced by burning certain types of fuels, such as oil, gas, or carbon. The availability of material resources such as gas, oil, or carbon, together with the large amount of pollution they produce and the direct effect on climate change, are the major problems with this traditional way of producing energy. The widespread adoption of Photovoltaic (PV) energy as an energy source has led to lower costs, which therefore makes it more attractive than traditional forms of electricity production. The integration of new energy sources, such as PV energy, Wind Turbines (WTs) and Battery Energy Storage Systems (BESSs), is necessary and requires continuous development and research on these technologies to make sure they are able to fulfil the electrical grid requirements. The main drawback of renewable energies is how difficult it is to forecast how much will energy will ultimately be produced. Therefore, alternatives that allow for energy to be absorbed or injected into the grid based on production and consumption are necessary, so applications such as BESS, Solid State Transformer (SST), and vehicle-to-grid (V2G) systems will be critical in the future, to maintain the stability of the grid.
Thanks to the advantages of resonant converters based on dual active bridges (DABs) such as their high efficiency, high power density, bidirectional power flow, galvanic isolation, and soft switching capabilities, they are a promising topology for applications such as electric vehicles (EVs), SSTs, PV energy, BESSs, H2 storage applications, and Wireless Power Transfer (WPT). With the continuous increase in the integration of renewable energies and the measures adopted by governments to transition to an electric means of transportation, resonant converters based on DABs are gaining in popularity.
From the EV perspective, h1EVs will be the dominant transportation option in the future. The current research on this topic focuses on on-board charging modules, stationary charging stations, fast-charging stations using high DC power, etc. References [1,2,3,4,5,6,7,8,9,10] address the applications of DABs and resonant DABs for EVs.
An important alternative to autonomous driving and wireless electric vehicle charging is WPT, which is discussed in [11,12,13]. In the future, EVs will be charged in a wireless way.
As mentioned previously, the stability of the electrical grid will depend mainly on power converters in the future; this is why SST applications will be critical. Several approaches are covered in [9,10,14,15,16,17,18,19,20,21]. Ideally, electricity generation in the future will rely only on non-polluting renewable energy sources and energy will be stored in batteries. This is why batteries will also be critical to grid stability. The applications of resonant converters based on DABs in BESSs are mentioned in [22,23,24,25,26,27]. The current topology solutions for BESSs tend to connect individual battery racks or strings to DC/DC converters, and these are connected to a central DC/AC converter. A resonant DAB is a promising topology that could be used to implement a DC/DC converter connected to a central DC/AC.
Finally, other applications, such as PV energy, hybrid PV-BESSs, H2 storage and WTs, are mentioned in [17,18,23,24,26].
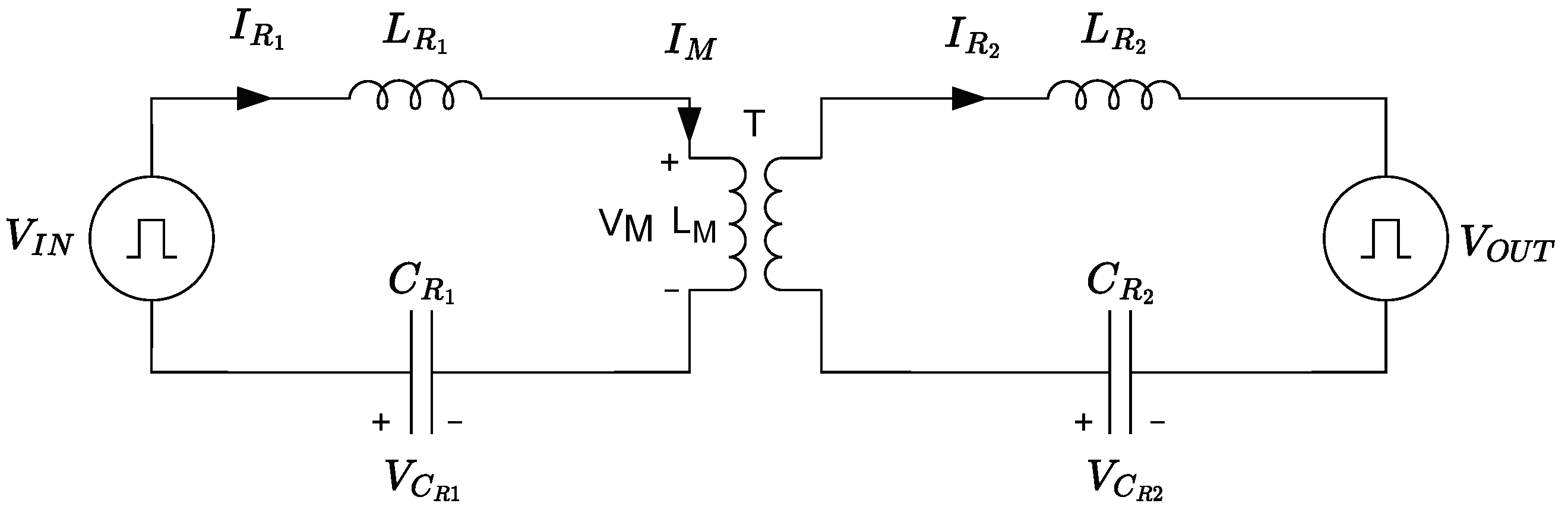
A resonant converter is normally made of three fundamentals parts, as can be observed in Figure 1. This type of converter is normally operated with a 50% duty cycle, mainly using phase shift modulation (PSM) or pulse frequency modulation (PFM). Several articles already summarized the structure of these types of converters, their modulation, and their control in detail [28,29,30,31,32,33,34].
Figure 1.
General structure of a resonant converter based on the Dual Active Bridge (DAB).
- A primary switch network can act either as a driver bridge or a rectifier bridge depending on its application and topology.
- A resonant network can be of many types, including LC, LLC, CLLC, CLLLC, etc.
- A secondary switch network can act either as a driver bridge or rectifier bridge depending on its application and topology.
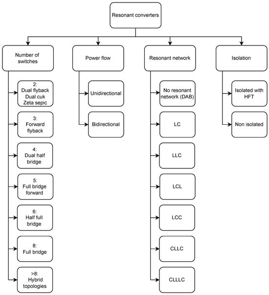
Depending on the resonant network, there are several variants of resonant converters, such as LC, LLC, CLLC, CLLLC, LCC, etc. The design methodologies of these types of converters are highly nonlinear, since the resonance produced in the resonant network is complex and the parameters involved in the design of the converter are linked to each other.
Since the converter’s performance and efficiency depend, to a large extent, on its correct design, design methodologies are a key point in the development of this type of converter. The literature lacks articles that describe the different design methodologies that exist in detail, as well as the common points that exist between them. In addition, each design methodology is particular to the perspective of the author, the assumptions made, and the performed analysis. After a thorough review of the different design methodologies and their common points, it is concluded that the methodologies can be classified according to the way in which the resonant network parameters are obtained: analytical, iterative procedures, optimization algorithms, graphical solutions, or hybrid procedures using a combination of the previous types. When designing this type of converter, trying to directly calculate the values of the resonant elements is complex due to the number of unknowns that must be calculated and because obtaining equations that can define the optimal values is complex. For this reason, intermediate parameters are used for the design of these converters. These parameters are normally the quality factor (Q), the inductor ratio (k), the normalized frequency (fs), and he characteristic impedance (Zr).
This article will mainly focus on an analysis of the design methodologies for LC, LLC, and CLLC resonant network topologies. The converters with an LC resonant network, as noted in the literature, are mainly designed using analytical procedures or a combination of analytical procedures with iteratives or graphical procedures [35,36,37,38,39,40,41,42,43,44,45]. With the continuous development of Artificial Intelligence (AI) and optimization algorithms, it is becoming more and more common to find design methodologies that use optimization algorithms [46,47]. For LLC and CLLC topologies, analytical methodologies or combinations of analytical methodologies with iterative or graphical procedures are also the predominant method. References [48,49,50,51,52,53,54,55,56,57,58,59,60,61,62] cover the design of an LLC resonant converter using analytical procedures and analytical procedures mixed with iterative or graphical solutions, while the authors of [63,64,65,66] cover design methodologies based on optimization algorithms. Finally, articles [67,68,69,70,71,72,73,74,75,76,77,78,79,80] cover the design methodologies of a CLLC resonant converter using analytical procedures and analytical procedures mixed with iterative or graphical solutions, while the authors of [81,82,83] cover design methodologies based on optimization algorithms.
The main objective of this article is to serve as a tool or guide for the design of resonant converters based on DABs. Design methodologies will be classified, and common points will be identified. Various aspects are discussed to help designers in different ways, which include the following:
- How to choose the most suitable methodology to achieve different design objectives;
- How to choose a design methodology based on an evaluation of certain key performance indicators (KPIs), such as computational cost, complexity, design accuracy, and time;
- How to choose the most suitable converter topology depending on its application. The topology is also influenced by the power flow requirements, and whether the power flow is unidirectional or bidirectional;
- The best choice of hardware technology and software platform.
After reading this article, the reader will have an overview of the state-of-the-art design methodologies for this type of converter. In addition, after reading the considerations, the reader will have a clearer understanding of the recommended topology, how to tailor design objectives to the converters’ application, the best methodology to use according to the resources and time available, and the best hardware and software platforms to use. This will achieve great time savings in converter design, which are crucial for product development.
This paper is organized as follows: In Section 2, the design methodologies are described. First, in Section 2.1, the common points of these different design methodologies are described, and then in Section 2.2, Section 2.3 and Section 2.4, the classification of these existing methodologies for LC, LLC, and CLLC resonant networks are described with a wide sample of collected articles. Next, in Section 3, a detailed discussion with the most important considerations from the perspective of design objectives, the power flow direction of the converter, application, hardware and software considerations is covered. Finally, in Section 4, the main conclusions of this article, future works to be carried out, and the most promising lines of research at the moment are listed. Due to the large number of parameters and acronyms used in the article, a list with the most used parameters and acronyms across the article can be found in the Glossary and Nomenclature.
As an appendix to the article, Appendix A summarizes the converter analysis using the First Harmonic Approximation (FHA) approach and references are provided to further elaborate on the different existing analysis techniques.
2. Design Methodologies
2.1. Common Points of the Design Methodologies
The design methodology of a resonant converter is a critical and challenging aspect of the development process for these types of converters, due to the interdependencies between various parameters and how they influence one another. For instance, increasing one parameter might lead to a reduction in the RMS current, but this could simultaneously reduce the Zero Voltage Switching (ZVS) region. Therefore, it is essential to identify the optimal values of the converter’s parameters to optimize specific design objectives, depending on the application and the design requirements.
Designing a resonant converter based on the DAB involves determining the appropriate values for the resonant network elements as well as the transformer turn ratio to meet the desired specifications. The design process can be understood as a black box where, based on a given set of input parameters and on a particular methodology, the optimal values of the resonant network and transformer turns are calculated.
In the context of resonant converters, various topologies exist. Depending on the chosen topology, the number of elements in the resonant network will vary, which in turn influences the complexity of the design methodology.
Another important consideration is the intended application, which affects the voltage range and rated power of the converter. The design process and analysis differ, for example, when designing a CLLC converter for a DCT application as compared to a CLLC converter for bidirectional applications, such as a BESS.
The input parameters of any design methodology are generally as follows:
- The primary bridge input voltage range, [Vinmin, Vinmax];
- The secondary bridge output voltage range, [Voutmin, Voutmax];
- The rated power, Pr;
- The switching frequency range, [fmin, fmax];
- The electrical parameters of the elements of the circuit such as the parasitic capacitance of the switches, Coss, on the resistance, Ron, etc.
Using the provided input information along with a specific analysis technique and modeling, the converter’s parameters are calculated. Depending on the selected topology, these parameters might vary. For instance, in an LC topology, only two elements form the resonant network, while in a CLLC topology, five elements are involved, considering the magnetizing inductance. In the latter case, the main parameters to be considered are the following:
- The primary resonant inductor, Lr1;
- The primary resonant capacitor, Cr1;
- The secondary resonant inductor, Lr2;
- The secondary resonant capacitor, Cr2;
- The magnetizing inductance, Lm;
- The transformer turn ratio, N.
Developing optimal design methodologies is a complex process due to the number of variables involved and the contradictory relationships between them. Typically, after analyzing and modeling the converter, the design procedure is simplified. By introducing intermediate parameters, the degree of freedom is reduced from m to n where n < m, thereby simplifying the design process. These parameters that allow us to simplify the design procedure and the internal relation between parameters are mainly:
- The quality factor, Q;
- The inductor ratio, k;
- The characteristic impedance, Zr;
- The load resistance, RL;
- The normalized frequency, fn = fs/fr.
The quality factor, Q, is defined as the ratio of reactance to resistance, which indicates efficiency at a given frequency. Alternatively, it can be expressed as the ratio of the maximum energy stored per cycle (Emaxcycle) to the energy dissipated per cycle (Edisscycle), as shown in Equation (1).
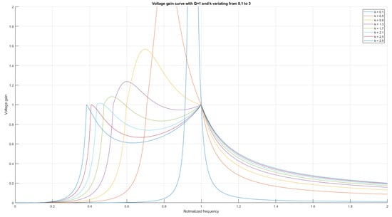
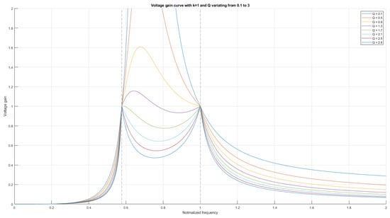
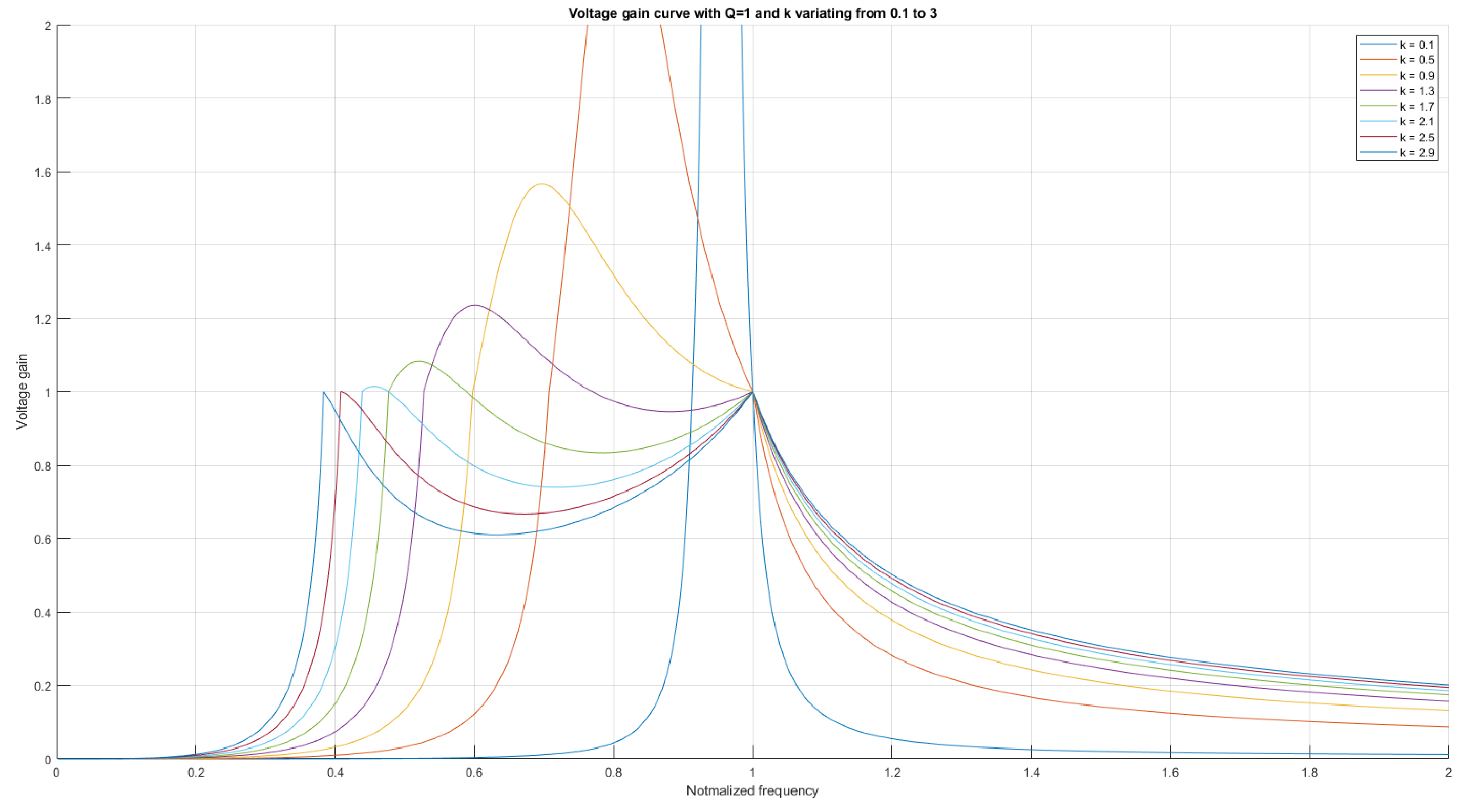
As shown in Equation (1), the quality factor, Q, is inversely proportional to the dissipated energy. Additionally, the quality factor influences and shapes the voltage gain curve. In the voltage gain curve shown in Figure A12, a boundary point can be observed, similar to the resonant frequency, which demarcates the boundary between the capacitive and the inductive region of the resonant network. Since the voltage gain curve depends on Q, modifying Q means modifying the inductive and capacitive regions and thereby affecting the regions where ZVS and Zero Current Switching (ZCS) are possible. It is desirable to keep the converter operating at a point in the inductive region, since ZVS is only possible in this region and the converter’s capability to perform ZVS is crucial to its performance.
In a similar manner, the inductor ratio, k, is defined as the ratio of magnetizing inductance to resonant inductance. This intermediate parameter is closely related to the converter’s performance, as it directly impacts the resonant current. Since the losses in the converter are proportional to the resonant current, an increase in the resonant current results in higher losses and lower efficiency. Therefore, k has a direct influence on the converter’s performance: the greater the value of k is, the higher the RMS of the resonant current is and, consequently, the greater the losses are.
The normalized frequency, fn, relates the switching frequency to the resonant frequency. A change in the normalization frequency implies a change in either the switching frequency or the resonant frequency. By adjusting the normalized frequency, the converter’s voltage gain and output voltage can be controlled. Furthermore, changing the normalized frequency alters the operating point, modifying the voltage gain curve and affecting the performance, stability, and ZVS regions, among other factors.
A general workflow for the design methodology is summarized in Figure 2. First, an analysis of the converter topology is conducted based on the design requirements to understand how intermediate parameters influence the voltage gain curve, switching frequency range, soft switching capabilities, and power loss. Second, using FHA, Time Domain Modeling (TDM) or the frequency domain, among others, a methodology is developed based on iterative procedures, analytical calculations with constraints, optimization algorithms to find the optimal solution, etc.
Figure 2.
General design methodology.
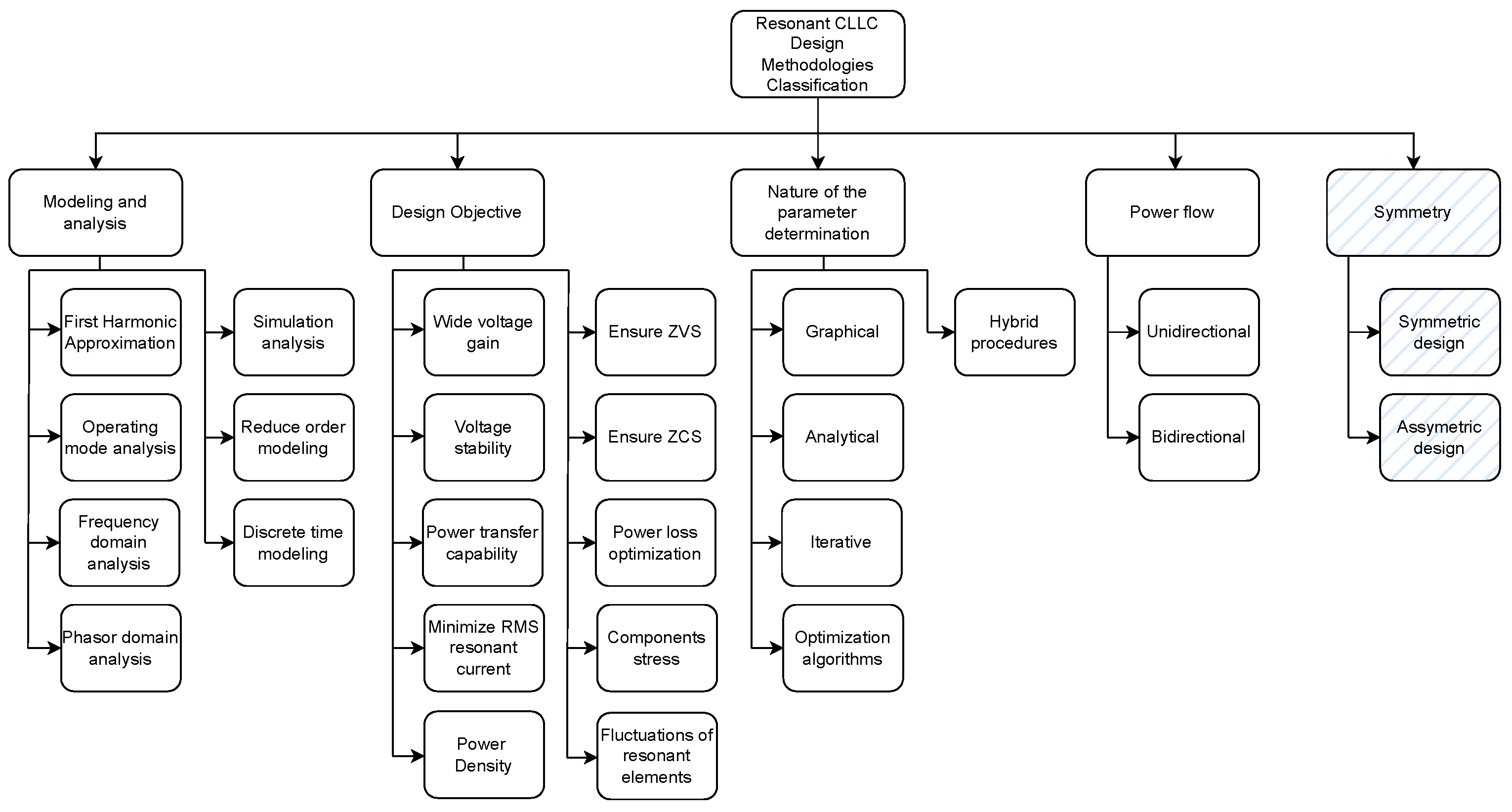
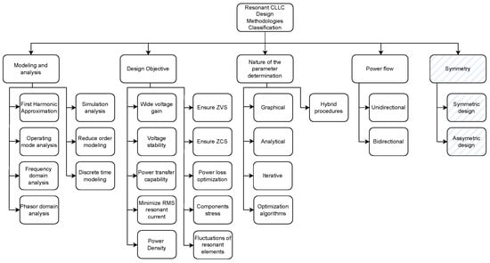
The design methodologies of the resonant converter based on the DAB with LC, LLC, and CLLC resonant networks are classified in greater detail as shown in Figure 3.
Figure 3.
Design methodology classification of the resonant converter based on the DAB.
This classification is based on observations from the literature and the current state of the art. Several factors influence the development of a design methodology. From the perspective of modeling or analysis techniques, there are various options available. Most of the design methodologies are based on or incorporate FHA as the primary analysis technique. Different analysis techniques yield different equations, which can lead to varying results. Some methodologies may use FHA when the switching frequency is equal to or near the resonant frequency. In contrast, for a wide range of switching frequencies, other analysis techniques such as TDM, complete Fourier analysis, the phasor domain, or the Laplace domain are recommended. TDM, while convenient for developing new design methodologies, often requires a deep understanding of the converter’s behaviour or advanced computational tools. Another critical factor is the design objectives. Design objectives significantly shape the design methodology, as the approach to achieving a wide input voltage range differs from that required to achieve soft switching capabilities. Therefore, design methodologies are strongly influenced by the specific design objectives.
Regarding the procedure for determining the values of the resonant elements, methodologies can be classified into graphical, analytical, iterative, optimization algorithms, and combinations of these approaches. Furthermore, designing a converter for an unidirectional application such as PV systems is not the same as designing the converter for a bidirectional application like a BESS. Thus, methodologies can be classified based on power flow. A special classification exists for the CLLC topology, where the converter can be designed symmetrically, meaning that the primary resonant inductor and capacitor are the only unknowns while the secondary inductor and capacitor are derived from the transformer’s reflection or asymmetrically, without the transformer reflection. Each of these factors, which help to classify design methodologies, are discussed in detail below.
- Modeling and analysis technique: There are design methodologies that rely on an analysis performed using FHA. FHA is accurate when the switching frequency is near the resonant frequency; however, FHA may not precisely describe the resonant current when the switching frequency deviates significantly from the resonant frequency. In such cases, the design methodology based on FHA may not be suitable. For applications with a wide frequency range, other modeling and analysis techniques are required to accurately describe the behaviour of the resonant current. To achieve this, techniques such as TDM (operating modes (OMs)) or frequency analysis in the Laplace or complex domain are commonly used.
- Design objective: The design methodologies can also be classified based on the design objectives, which vary depending on the application and the operating point of the converter. Common design objectives are a wide voltage gain, voltage stability at the output, a power transfer capability, minimizing the RMS value of the resonant current and thus, minimizing losses, ensuring soft switching operation, that is, ensuring ZVS and/or ZCS, power loss optimization with optimization algorithms mostly, component stress, power density, etc. Based on the topology and the resonant network configuration, design objectives will differ. For instance, a key design objective for DCT applications using a CLLC resonant network is accounting for the fluctuations in the values of the resonant elements, as these can significantly impact the performance.
- Symmetric or asymmetric design: As shown in Figure 3, the classification of the design methodologies according to symmetry is highlighted in light blue, indicating that this applies for the CLLC resonant network. Since the CLLC resonant network has four resonant elements, the design methodology can be divided in two types:
- –
- Symmetric: These design methodologies assume that the resonant elements are identical after reflection. Specifically, by calculating the value of Lr1 and Cr1, the values of Lr2 and Cr2 can be derived using the transformer turn ratio N. This type of design is commonly used in many applications, but particularly in voltage matching scenarios such as DCT applications.
- –
- Asymmetric: Those design methodologies that consider that resonant elements will not be the same as forward and reverse mode are not the same and they do not have the same behavior. This type of design is widely use when the range of the input voltage varies a lot such as in BESSs and EVs.
- Nature of the resonant parameter’s determination: Ultimately, designing the converter involves determining the proper values of the resonant elements, that is, the resonant inductors and resonant capacitors. The number of resonant inductors and capacitors may vary depending on the topology. The method by which these values are determined depends on the nature of the design methodology, and can differ accordingly:
- –
- Graphical design: Through graphical design, relationships between intermediate parameters and design objectives, such as the voltage gain curve, power losses, and soft switching conditions, can be established. With these graphics, how intermediate parameters affect the performance of the converter can be observed and thus, the values of the resonant elements could be delimited. Naturally, the graphical design depends on the performed analysis and the derived equations. Since the solution is somehow obtained graphically, there may be a trade-off in terms of the accuracy of the solution.
- –
- Analytical design: This is the most used design methodology. It relies on an in-depth analysis of the converter to obtain equations and inequations that describe the behavior of the converter. Typically, equations are derived to achieve soft switching capabilities, such as ZVS and ZCS for the entire load range, and meet with the gain requirements considering the voltage range of the input and output, minimizing the RMS resonant current, voltage stability, etc.
- –
- Iterative procedures: Iterative procedures are based on trial and error. The intermediate parameters, commonly used to design the converter, have a significant impact on the voltage gain characteristics, soft switching capabilities, the stress of the components, and the peak of the resonant current. By selecting an initial value for each parameter and defining a range of values, it is possible to calculate how these parameters affect the design objectives. If the design objectives are met, the design procedure is completed; otherwise, the current values are discarded and new values are generated. A predefined number of iterations should be established to prevent excessively long resolution times.
- –
- Optimization algorithms: These design methodologies use optimization algorithms to determine the optimal values of the resonant elements to meet with a design objective. The most common design objectives used with optimization algorithms include increasing efficiency by reducing power losses as well as increasing power density by designing a planar power transformer. The most common optimization algorithms used are the Genetic Algorithm (GA), Particle Swarm Optimization (PSO), Ant Colony (AC), Simulated annealing (SA), and combinations of these algorithms. The combinations of different algorithms helps avoid a local maximum, reduce computing time, and improve overall solution quality.
- –
- Hybrid procedures: Other design methodologies employ hybrid procedures using a combination of the previous approaches, for instance, using analytical methods combined with iterative procedures or analytical methods combined with graphical procedures.
The following subsections are organized as follows. Section 2.2 presents a classification, examples, and a comparison of the design methodologies for an LC converters. Section 2.3 provides a classification, examples, and a comparison of design methodologies for an LLC topology. Finally, Section 2.4 presents a similar analysis but for CLLC and CLLLC topologies.
2.2. Design Methodologies for LC-DAB Resonant Converter
The Series Resonant Converter (SRC) based on the DAB with an LC resonant network is the simplest topology, consisting on one resonant inductor and one resonant capacitor in the primary bridge. The general schematic of this type of converter is shown in Figure A3 of Appendix A.
To provide a clear overview of the design methodologies, a comparison table is presented in Table 1 which includes several design methodologies and associated articles. Experimental validations are reported in articles [35,36,37,38,40,42,43,44,46,47], thus representing design methodologies that were experimentally tested and show their validity as an alternative to the design of these converters. In contrast, articles [39,41,45], only carried out simulations without the experimental validation of the proposed methodologies, which is an open point for research.
Table 1.
Overview of design methodologies for LC resonant network.
As observed in Table 1, several design methodologies combine analysis using a specific modeling technique with the graphical representation of key parameters to obtain a solution. The typical intermediate parameters for these types of converters are the quality factor and the normalized frequency. By assigning specific values to the quality factor and normalized frequency, different solutions can be obtained. Depending on the design objective, the variables plotted can vary.
Increasing efficiency by minimizing losses and ensuring soft switching capabilities are the general design objectives, as can be seen in many articles, such as in [35,36,37,38,46,47]. To obtain accurate solutions, frequency domain analysis with complete Fourier series is used in [37,46,47]. The equivalent circuit for the topology of Figure A3 is shown in Figure 4.
Figure 4.
Equivalent circuit of the LC topology.
Among design methodologies that use optimization algorithms [46,47], ref. [46] it does not consider only the fundamental harmonic but the entire Fourier series. If all the frequencies are considered and not only the first harmonic, VAB and VCD can be calculated as follows:
where:
- Vin is a DC constant input voltage;
- is the switching angular frequency, that is, ;
- N is the transformer ratio;
- is the phase shift between both power supplies.
By using Kirchoff’s law of voltages:
By using Kirchoff’s law of currents:
By solving these equations, the expression of the state variables and can be obtained as:
where:
- M is the voltage gain, defined as:
- fn is the normalized frequency, defined as follows, with being the switching frequency and fr being the resonant frequency.
- is the phase shift between both power supplies
By representing different key parameters, such as power transfer versus phase shift, characteristic impedance, the RMS value of the resonant current at different frequencies, losses with different transformer turns ratios, losses with different quality factors and frequencies, the converter is designed. These graphics can provide valuable information for determining the appropriate values of intermediate parameters.
In [35], an LC converter is designed through several graphics, representing the losses in the primary and secondary, losses based on the transformer turn ratio and losses based on normalized frequency and the quality factor.
Using this type of methodology, graphical solutions can lead to mistakes, as the solution is obtained through the interpretation of the graphics. A better approach to improving the design and its accuracy is to use optimization algorithms instead of graphical-based solutions. The methodology is similar; however, when determining the values of intermediate parameters, an optimization algorithm such as PSO or GA can be used.
In [46], PSO is used to obtain the optimal values of the normalized frequency, the characteristic impedance, and the transformer turn ratio that minimize the losses. The losses in an LC resonant converter are primarily due to switching losses, conduction losses, and parasitic capacitances losses. The expressions for each of these losses are described in [46]:
- Due to ZVS capabilities, the switches on the driving bridge only experience turn-off losses, which can be calculated as listed below. In the case of the rectifier bridge, only turn-on losses and diode recovery losses are considered.where tru is the voltage rise time, tfi is the current fall time, Qr is the reverse recovery charge, Ioff is the current through the switch during the off time, and Ion is the current through the switch during the on time.
- Conduction losses will always be present due to the ON resistance of the switches, in cases of MOSFETs. This loss is directly proportional to the RMS value of the resonant current (Ir1,rms) and can be estimated with Equation (12). It is important to note that this equation is an approximation, representing a time-averaged calculation of the losses. To calculate the conduction losses in detail, it is necessary to perform the integral over a complete period of the instantaneous current.
- Losses in the resonant capacitor also are present and can be calculated as:
The definition of a cost function to optimize the efficiency in both the forward and reverse mode of a converter is explained in [47]. A very detailed model of the losses of the converter is provided and combined with PSO algorithm to find the optimal values of the converter.
The use of optimization algorithms can significantly complicate the design process, as many other factors must be considered, such as the algorithm getting stuck in local optima, the time it takes to find a solution, and the initial configuration of the algorithm, among others. These problems are briefly discussed in several papers, such as [28,81].
A different approach to design a resonant converter is combining iterative procedures with analytical procedures instead of optimization algorithms. Typically, iterative procedures follow the flowchart depicted in Figure 5. This methodology is used to design an LC resonant converter in [43]. It provides detailed information about component losses, component temperatures, waveforms, as well as experimental validation. The design methodology followed in the article can be summarized as follows:
Figure 5.
Generalized iterative procedure for LLC design.
- A steady state analysis with time domain equations is performed to derive key equations and constraints;
- With these key equations, an iterative procedure is initiated to find the values of the normalized frequency, fn, and the quality factor, Q, that satisfy the following two equations:
- Once the quality factor and switching frequency are calculated, the resonant parameters can be derived using the following equations:
where:
- is the resonant angular frequency, while fr is the resonant frequency;
- Zr is characteristic impedance, and RL is the load resistance;
- fn is the normalized frequency and fs is the switching frequency;
- Q is the quality factor.
To provide an overview of the LC resonant converters, a summary list of the designed converters is presented in Table 2. As shown in the table, not all articles provide sufficient information on the designed converters; therefore, the unknown parameters will be marked with an ‘*’.
Table 2.
Overview of the designed converters with an LC resonant network.
- In a power converter, the performance of the converter is one of the most important KPIs to avoid energy losses. This is why most of the design methodologies focus on increasing the efficiency of the converter. The most straightforward approach to increasing efficiency is to reduce losses and ensure soft switching over the entire operating range of the converter. Therefore, the most common design objectives to achieve higher efficiency include reducing the RMS value of the resonant current, using wide bandgap (WBG) semiconductors due to the lowering of resistance and thus, lower losses, ensuring soft switching, that is, ensuring ZVS in the driver bridge and ZCS in the rectifier bridge, etc.
- As can be deduced from Table 2, the designed converters are laboratory prototypes of low power and are thus far from being suitable for high-power applications such as BESSs. Due to this, there is a considerable field of research to characterize the design procedures of high-power converters using techniques such as the paralleling of converters or multi-phase resonant converters.
- In the literature, it can be observed that the LC resonant network is the least used topology, as there are fewer articles focused on the design of this type of converter.
- In terms of controls, PFM or PSM are the mainstream solutions with a 50% duty cycle. The switching frequency is normally in the range of 10 kHz–200 kHz. It is important to note that increasing the frequency can decrease the size of the resonant elements, but the drawback is that losses might increase, as well as the requirements for the microcontroller in terms of clock frequency. Another research gap is that of asymmetric duty modulation, which there are few articles that apply it to these converters.
- Depending on the operating point of the converter, different modeling techniques may be more suitable. If the converter is operated at a switching frequency near the resonant frequency, then FHA could be used. On the contrary, if the switching frequency range is wide, it is advisable to use a different modeling that can accurately describe the resonant phenomenon, such as TDM or the entire Fourier series.
2.3. Design Methodologies for LLC-DAB Resonant Converter
The resonant converter based on the DAB with an LLC resonant network is a widely studied and popular topology primarily used in unidirectional applications. This topology is shown in Figure A4 of Appendix A.
To provide a clear overview of the design methodologies and the state-of-the-art LLC converter, several articles have been reviewed. Through this analysis, it can be concluded that the majority of the applications of the LLC resonant converter are general purpose applications of DC converters with a high power density such as in power supplies, on board EV chargers, low power batteries, low power DCT, and PV converters. In [57,61], an LLC converter is designed for SST or DCT applications. On the other hand, general purpose converters are designed in [48,49,50,51,52,53,54,55,60,64,65,66]. The most common design objective is to achieve high efficiency with a wide range of input voltage. A medium voltage solar converter is designed in [58]. Most of the designed converters are unidirectional converters, and thus bidirectional LLC converters represent an important research area, now and in the future.
To provide a brief overview of the state-of-the-art LLC resonant converter, a comparison table is presented in Table 3. Among the articles, it noteworthy that most demonstrate and validate the proposed methodology through experimental validation [48,49,50,51,52,53,54,56,57,59,60,61,62,65]. On the other hand, some proposed methodologies require experimental validation to compare the simulation results obtained [55,58,63,64,66]. The experimental validation and testing of these design methodologies remain an open research topic.
Table 3.
Overview of design methodologies of LLC converter.
As shown in Table 3, most of the intended applications are unidirectional, primarily focusing on general purpose converters such as power supplies, EV chargers, low power BESSs, etc. The most common design objectives focus on enhancing efficiency by reducing losses and ensuring soft switching in the entire load range.
The standard design methodology of the LLC converter is similar to the one used in [49]. It is important to understand that this methodology was one of the first approaches developed, and noting the evolution of design methodologies is essential. In [49], FHA is used to analyze the converter and to determine the peak value of the resonant current, as the resonant current is proportional to the losses in the converter.
Ideally the resonant current RMS value should be reduced while ensuring that the resonant current can discharge the parasitic capacitances of the switches. Therefore, there is a tradeoff between reducing the RMS value of the resonant current and maintaining soft switching conditions. Considering both the requirements for conduction loss and soft switching, the magnetizing inductance should be designed using the following equation:
where:
- tdead is the dead time;
- Coss is the parasitic capacitance of the switches;
- fs is the switching frequency.
With the magnetizing inductance designed, the resonant inductor and capacitor can be derived using intermediate parameters with the following equations:
- Inductor ratio:
- Quality factor:
In conclusion, there are two equations and two unknown parameters, Q and k. By appropriately choosing the values of Q and k, all the resonant parameters can be derived using the resonant frequency equation. Both parameters will influence the voltage gain curve, so their values must be selected to meet with the voltage gain requirements while ensuring soft switching and thus, reducing losses. In the specific case of [49], a graphic showing the peak of the resonant current is used to appropiately select the values of Q and k.
The standard design methodology is summarized as follows:
- First, the design requirements are defined, including the input and output voltages, the switching frequency, etc.;
- The magnetizing inductance is calculated considering the dead time, ensuring that parasitic capacitances are discharged during dead time, allowing ZVS to be achieved. Additionally, the greater the magnetizing inductance is, the lower the current is and, consequently, the losses are;
- With the magnetizing inductance determined, the optimal values of k and Q must be selected based on the design objectives, typically minimizing the losses and meeting the voltage gain requirements;
- Finally, using the resonant frequency equation, the values of Lr1 and Cr1 are calculated.
This design methodology is the most basic and does not account for many factors, besides being based on FHA, which, depending on the switching frequency range, may or may not be accurate.
More advanced methodologies can be found in the literature, such as those presented in [63,64,66]. In these methodologies, the resonant parameters are not obtained analytically as in the standard procedure; instead, optimization algorithms are employed to find the optimal values that meet with specific design objectives.
An innovate approach is discussed in [64], where the dynamic phasor-based analysis technique is used to analyze the behaviour of the converter. In addition, this approach provides important insights on transformer design, which is a key element to optimize in this type of converter. This approach designs the converter to optimize the losses. On the other hand, [64] uses a GA to find the optimal values of the following:
- The number of turns of the resonant inductor, NLr1;
- The length of the resonant inductor gap, lLr1gap;
- The number of capacitors in parallel, NCP;
- The number of turns in the primary side of the HFT, NP;
- The number of turns in the secondary side of the HFT, NS;
- The length of the gap of the HFT, lTgap.
The objective function of the GA is designed to minimize power loss and find a switching frequency range close to the resonant frequency to avoid malfunction. With the outputs of the algorithm, the resonant parameters can be calculated using the following equations:
where:
- Rg is the reluctance;
- Req is the reluctance of the gapped core, that is equivalent to the reluctance of a core of length lc and relative permeability ;
- lc is the core length;
- relative permeability of the equivalent core;
- lgap is the length of the gap;
- Ae is the cross-sectional area of the gap;
- is the relative permeability;
- is the magnetic permeability of free space.
Other design methodologies combine optimization algorithms with graphical solutions, such as that in [65]. Design methodologies based on optimization algorithms can be complex and require high computational effort.
If the computational effort and the convergence time of the solution need to be reduced, optimization algorithms can be replaced by design methodologies based on iterative procedures, as in articles [48,51,52,56,58]. These methodologies are based on a thorough analysis of the converter using FHA or other modeling techniques to obtain key equations and constraints. Using these equations and constraints, the process becomes an iterative procedure that involves increasing or decreasing certain intermediate parameters. Iterative procedures can be summarized as shown in the flowchart in Figure 5;
A brief description of each of the stages of the design methodology depicted in Figure 5 includesw the following:
- Input stage: The first stage is the input of the iterative procedure. In this stage, design requirements are established and boundaries and the range of the parameters that will be iterated are defined. Commonly used design requirements include the input voltage range, output voltage range, switching frequency, electrical characteristics of switches and high-frequency transformer, etc.
- Iterative stage: In the iterative stage, a thorough analysis of the converter is performed to obtain key equations and constraints based on the design objectives and the modeling technique. A possible solution is proposed, and the key equations are evaluated. If the proposed solution meets the design objectives, the data can be accepted as the solution. Otherwise, the data are discarded, and an iteration is performed, increasing or decreasing the parameters. Additional constraints are typically checked with the proposed solution, such as ensuring ZVS, the RMS values of currents, total losses, or others. In addition, in this stage, a comparison is made between the last possible solution and the new solution to determine if the new solutions are changing significantly from the previous solutions, thereby avoiding unnecessary iterations.
- Output stage: Finally, the resonant parameters of the converter are derived using the results from the iterative procedure.
Iterative methodologies, combined with the time domain analysis of the converter can provide effective solutions with lower complexity and computational effort.
Finally, another approach to determine the values of the resonant parameters is using graphical methodologies.
Graphical methodologies provide an easy way to obtain solutions, but mistakes can occur. These methodologies are typically based on the simple analysis of the converter using FHA. With the resulting equations, various plots can be created to show how the voltage gain curve changes with respect to intermediate parameters, how the peak of the resonant current changes with respect to intermediate parameters, how total losses change, and so on. By visually examining these curves, the intermediate parameters can be estimated or the range of these can be narrowed down. Graphical methodologies are useful for the preliminary design of resonant converters, as it allows for quick analysis without the need to spend excessive time on the design process.
To conclude, Table 4 summarizes the converters designed using different methodologies for an LLC resonant network.
Table 4.
Overview of the designed converters with an LLC resonant network.
- Most of the designed converters are intended for unidirectional applications, and are thereby useful for applications such as in EV chargers, power supplies (PS), and PV converters. Even though several articles explain the design process of this type of converter for bidirectional applications, it is not the most suitable topology for bidirectional applications such as BESSs.
- As with the LC resonant converter, the LLC-designed converters are prototypes with low power and, thus far, from high-power applications. The only solution close to a high-power application of a PV converter is the one described in [58]. Therefore, further research is needed on the design of these converters for high-power applications such as EV chargers, PV converters, bidirectional applications for BESSs, etc.
- Due to the unidirectional power flow in most applications, the primary bridge is used as a driver bridge, operating the switches at a 50% duty cycle with PFM while the secondary bridges is typically a rectifier. Synchronous rectification can help improve efficiency and ZCS capabilities in the rectifier. The LLC converter is an useful topology for unidirectional applications such as PV applications, EV chargers, and PS.
- Most common design objectives are similar to those in the LC and CLLC topologies, including minimizing losses and thus, increasing efficiency, ensuring ZVS for the whole load range and ensuring the voltage conversion ratio and a wide input voltage range to support applications of PV energy and BESSs.
2.4. Design Methodologies for CLLC-DAB Resonant Converter
The resonant DAB with a CLLC resonant network is the most popular topology for bidirectional applications because of the symmetry of the resonant network, with a resonant inductor and capacitor on each bridge.
To provide a clear vision of the state-of-the-art design methodologies for the CLLC converter, various articles have been examined. Through analysis, it can be concluded that most of the applications of a CLLC resonant converter are DCT/SST, BESSs, EVs, EV chargers, etc. Different design methodologies and design objectives for DCT/SST are described in [68,73,74,77,78,81,82,83]. The most common design objectives in DCT/SST applications are the voltage conversion ratio, power transfer, and stability. In contrast, several papers have been reviewed that focus on battery applications such as those in [69,70,71,72,75,76,79,80,84]. The most common design objectives focus on maximizing efficiency to reduce losses, increasing the ZVS region, minimizing the RMS value of the resonant current, etc.
To provide a quick overview of the state-of-the-art design methodologies for CLLC converters, a comparison table is presented in Table 5. The design methodology presented in [80] was not experimentally validated, whereas the other methodologies mentioned in [68,69,70,71,72,73,74,75,76,77,78,79,81,82,83,84] have been experimentally validated. Therefore, the results presented here reflect applicable design methodologies, since they were experimentally validated.
Table 5.
Overview of design methodologies of CLLC converter.
From Table 5, it can be deduced that most of the methodologies are based on the use of FHA as a modeling and analysis technique. In addition, symmetrical design is preferred over asymmetrical design because symmetrical design is easier to implement, as it only requires the design of a resonant inductor, a resonant capacitor, and a magnetizing inductance.
Based on the summary table of design methodologies, this section is organized as follows: first, the standard design procedure for the resonant CLLC converter will be briefly explained. Next, specific design methodologies for DCT/SST applications will be discussed, as particular assumptions are made for these applications, which could also be applied to the design of power converters for BESS applications. Finally, design methodologies for battery applications will be summarized, considering the most typical design objectives.
The standard design methodology for the CLLC resonant converter is based on a symmetrical design using FHA to analyze the converter. The performance of the converter is closely related with the ZVS and ZCS capabilities, so the design of the magnetizing inductance is carried out so that ZVS and ZCS are achieved for the primary and secondary bridges, respectively, across the entire load range. To achieve this, the resonant current must be able to discharge the parasitic capacitances of the switches during the dead time. Therefore, the design of the magnetizing inductance is related to dead time and parasitic capacitance as observed in Equation (20).
Equation (20) establishes the upper limit of the magnetizing inductance. The greater the magnetizing inductance is, the lower the magnetizing current and the better the magnetic integration are. Therefore, the magnetizing inductance is typically designed as follows:
With the magnetizing inductance designed, the rest of the parameters can be derived using intermediate parameters, such as the quality factor and the inductor ratio. With a thorough analysis, the influence of the intermediate parameters on the converter behaviour can be determined, such as the influence in voltage gain conversion, the RMS value of the resonant current, the load range variation, etc. With the selected Q and k, the resonant inductor and resonant capacitor of the primary bridge can be derived. Finally, by symmetrically designing the converter, the values of the resonant inductor and capacitor of the secondary bridge can be calculated as well using the reflection of the transformer. Monotonic voltage gain curves are preferred because of control purposes; therefore, for the design of Lr1, Lr2, Cr1, and Cr2, this should be considered. The standard design methodology can then be summarized as follows:
- The design of the transformer turns ratio, N, considering nominal input and output voltages;
- The design of the magnetizing inductance, Lm, considering ZVS and ZCS capabilities for the whole load range;
- The design of the resonant inductor, Lr1 and Lr2, based on voltage gain requirements for both forward and reverse mode using intermediate parameters;
- (a)
- If k is large, the switching frequency range is wide and therefore, to be able to reach the preferred voltage gain, a big deviation from the resonant frequency is needed. Deviation from the resonant frequency is not positive;
- (b)
- If k is small, the voltage gain curve can appear to be nonlinear and this is not positive from a control perspective since, ideally, the voltage gain curve should be monotonic to be able to control the output voltage in a linear way;
- The design of the resonant capacitor, Cr1 and Cr2, based on the operating frequency range;
- Finally, by using a symmetrical design, the resonant elements in the secondary bridge can be calculated using reflection on the transformer.
When designing a CLLC DAB resonant converter for a DCT/SST application, the typical design objectives are the voltage conversion ratio, stability, and maximum power transfer. This is due to there being other converters in charge of controlling the delivered power in DCT/SST applications.
In DCT/SST applications, the converter is normally operated at resonant frequency. Therefore, FHA can be used as a modeling technique. Since operating at resonant frequency is critical for the performance of the converter, the fluctuations of the values of resonant inductances and capacitances with the temperature and operating point must be considered in the design process. The design methodology must provide a way to calculate Lr1, Lr2, Cr1, Cr2, and Lm. Directly calculating these parameters is difficult due to their interdependencies; therefore, intermediate parameters are typically defined. These parameters are usually the following:
- Normalized angular frequency and normalized frequency:
- Characteristic impedance:
- Inductor ratio:
- Quality factor:
In [68,82], a design methodology is explained that addresses the design objectives of the voltage conversion ratio, stability, power transfer, and the fluctuation in the values of resonant elements with the temperature and operating point. Generally, most of the design methodologies do not account for fluctuations in the resonant elements or in the input and output voltages. These considerations become critical when designing a commercial product as fluctuations are inevitable. In addition, when the operating frequency of the converter is equal to the resonant frequency, the fluctuations in the values of the resonant elements can cause the converter to operate at a different frequency from the resonant. Understanding the influence of these fluctuations, as described in [68,82], is crucial.
With further analysis, the design methodology can be summarized as:
- Design of transformer turns ratio (N): According to the input and output nominal voltages, the transformer turns ratio can be designed as follows:
- To meet with voltage stability and power transfer criteria considering fluctuations, the following equations are used to design intermediate parameters:
- (a)
- The value of the quality factor while operating in forward mode, Q1, can be expressed as:where and are the possible variation ranges of inductances and capacitors, respectively, Q1min is the minimum quality factor when the power flows from the LV side to the HV side, is equal to the minimum ratio of the instantaneous secondary voltage and current when the power flows from the LV side to the HV side, while ReqR is in the reverse mode, when power flows from the HV side to the LV side.
- (b)
- On the other hand, the value of the quality factor while operating in reverse mode, , can be expressed as:
- (c)
- Finally, the inductor ratio, k, can be calculated as described in the equation below to meet with minimum and maximum voltage gains:where , , and can be calculated as:where is expressed as in Equation (42).
- The resonant elements can be calculated using the intermediate parameters as follows:
On the other hand, one approach to improving analytical design methodologies is to use optimization algorithms that use the equations and constraints obtained through FHA or TDM analysis. Another typical design objective is to maximize the efficiency of the converter. One approach to achieving this is minimizing the losses in the converter. A detailed power loss model is presented in [81]. According to [81], the total power loss for a CLLC converter can be expressed as described in Appendix A.
With a detailed analysis of the converter, the total power loss can be estimated for a certain converter parameter solution, Lr1, Lr2, Cr1, Cr2, and Lm. By using optimization algorithms such as GA or PSO, optimal values for Lr1, Lr2, Cr1, Cr2, and Lm can be obtained to minimize or maximize an objective function, in this case, minimizing the total power loss. Optimization algorithms have been used in [81,82,83] to achieve the design objectives. However, when using optimization algorithms, there is always the risk of getting stuck in the local optimum, and the algorithms may take too long to converge on the optimal solution. The performance of these algorithms is highly dependent on the initial starting point for the iterations. To address these drawbacks, Bin Zhao et al. propose a combination of GA and PSO to more quickly find the optimal solution [81].
With a similar approach, Fanfan Lin et al. propose, in [82], another optimization algorithm-based design methodology for a DCT application. The design objectives are similar but, in this case, optimal solutions are obtained separately for all the design objectives, so that in the end, the final solution for the intermediate parameters can be calculated as:
where kVCR is the optimal solution considering the voltage conversion ratio design objective, kstability is the optimal solution considering the stability design objective, and kEfficiency is the optimal solution considering efficiency and thus minimizing power loss.
From a voltage conversion ratio perspective, the converter must be able to maintain output voltage within a certain allowable range, considering the possible fluctuations of the parameters. It can be concluded that a larger k is beneficial for a robust voltage conversion ratio, but it may lead to an increase in power density. From a stability perspective, a larger k is recommended for improving system stability. Finally, from an efficiency perspective, a power loss analysis is performed to find the total power loss of the converter. It can be concluded from the efficiency graphics versus power with different k values that a larger k is beneficial for higher efficiency.
This design methodology can be summarized as follows:
- Obtain the optimal solution from the perspective of the voltage conversion ratio. To achieve this, a PSO algorithm is used to estimate the optimal solution considering fluctuations of the input and output voltages.
- Obtain the optimal solution from the perspective of system stability. A limit for the GM is established and a PSO algorithm is used to find the optimal solution, considering fluctuations in the resonant parameters.
- Obtain the optimal solution from the perspective of efficiency. With the developed power loss model, which is very similar to that explained in the previous article, a PSO algorithm will find the optimal solution to minimize power loss.
- The final optimal solution is the maximum between the three solutions considering the voltage conversion, stability, and efficiency.
- The value of k is chosen considering that . It should be noted that increasing k will cause a bigger volume; therefore, k should be chosen close to the kmin.
- Finally, resonant parameters are calculated in a symmetrical way, such as:
The value of the magnetizing inductance is calculated in the standard way, that is, to achieve ZVS, the magnetizing inductance must be able to discharge the parasitic capacitances of the switches during the dead time, as described in Equation (20).
These methodologies are closely related to DCT application and symmetrical design. However, the CLLC topology is also attractive for applications such as BESSs, EV chargers, and PV converters. These systems have the unique characteristic of having an input voltage that is not constant and can vary significantly depending on factors such as the State of Charge (SoC) of the battery or the required power of the PV field. For wide input voltage range applications, which also require a wide switching frequency range, asymmetric design methodologies are recommended. In applications such as EVs or BESSs, efficiency is a key design objective, and the focus is on efficiency optimization. Efficiency can be improved in several ways such as ensuring ZVS for the entire load range, minimizing the resonant current, minimizing circulation loss, etc. Therefore, the influence of intermediate parameters must be studied to optimize efficiency.
Designing the CLLC converter symmetrically is the most common and straightforward approach. This is why, in addition to using an iterative methodology, reference [84] proposes an iterative procedure to design a resonant converter asymmetrically. An asymmetric design can offer multiple advantages in applications where forward mode and reverse mode operations exhibit different behaviors. This approach is well suited for BESS applications, as the behaviour of the charge and discharge procedures can differ.
As described in detail in the article, the characteristics and behavior of the converter can be specified by two parameters:
- h: the symmetry coefficient for an S-type CLLC (a traditional symmetrical CLLC resonant network).
- k: the inductor ratio.
A time domain analysis (OM analysis) is performed on the converter to obtain the ZVS and ZCS regions with the different operating modes of the converter. The design objectives are achieving ZVS and ZCS for the entire load range as well as being able to achieve the required voltage gain considering the entire load range, even light loads. The design methodology can be summarized as follows:
- Initial values are given to N, k, and h0, to calculate the minimum and maximum voltage gains for both forward and reverse mode. The normalized rated power is defined as the smaller value between the maximum normalized power that can achieve the maximum voltage gain in forward mode () and the minimum normalized power that can achieve the minimum voltage gain in reverse mode ().
- Check if the normalized power for reverse mode is less than 50% of the rated power considering a tolerance. If , increase the value of h and return to step 1. Otherwise, if , decrease the value of h and return to step 2.
- Calculate the characteristic impedance and calculate the minimum normalized ZVS current to check that the converter can realize ZVS. If ZVS is achieved, the procedure is finished; otherwise, increase h.
- Similar to step 1, recalculate , , , , and . The tolerance should be met.
- While keeping unchanged, adjust so that is satisfied.
- Similar to step 3, verify that ZVS is achieved for the whole load range. If ZVS is achieved, the procedure is finished; otherwise, decrease .
- While reducing , adjust to maintain . Meanwhile, always observe whether is not less than . Otherwise, increase the value of h and return to step 4.
- Verify whether the full range of ZVS has been achieved. If ZVS is achieved, the procedure is finished; otherwise, go to step 7.
- Finally, with the iterative results, the values of n, k, h, and Zr are calculated. With these, the resonant elements can be calculated as:
Finally, by using Area Product (AP) optimization, the variations in the maximum AP capacity of each magnetic component (, , and ) can be calculated. The equivalent asymmetrical design of the converter can be obtained as:
Other design methodologies in the literature use TDM, such asthe studies in [71,73,74,75,78,80,84]. Most of these methodologies focus on the same design objectives, including a wide output voltage range with a narrow frequency range, ZVS that is achievable across the entire load range, and primarily, maximizing efficiency.
To conclude, most of the proposed design methodologies use only one resonant frequency. Ref. [69] proposes the existence of two resonance frequencies that allow the designed converter to have a response or output characteristics independent of the load. This novel design methodology is proposed in [69] for BESSs. As mentioned, design requirements differ between DCT/SST and BESS application. In BESS applications, the input voltage varies much more significantly than in DCT/SST applications, which creates the need for new methodologies that consider the charge and discharge procedures. Two resonant frequencies can be defined so that the converter can operate as a voltage source or current source: when discharging is beneficial to be able to maintain constant current (CC) and when charging is beneficial to be able to maintain constant voltage (CV). These resonant frequencies can be defined as:
The CV charging procedure is carried out with fr2 while the CC procedure is carried out with fr1. Given this, the design of Lr1 should consider that CC and CV must be achievable during resonance. Analyzing the converter, it can be deduced that the output current is dependent on Lm and the first resonant frequency; therefore, it is logical to design Lm considering this as:
where:
- N is the transformer turns ratio;
- is the first resonant frequency;
- is the current in the CC mode.
The design of the resonant inductor of the primary can be designed considering that CV mode must be met:
The selection of fr2 will be critical to optimize the losses of the converter. Performing a loss analysis, the optimal value of fr2 should be obtained. With the value of Lr1 calculated and fr2, the resonant capacitor of the primary bridge can be then obtained using Equation (65). To achieve the output voltage and output current independently of the load conditions with the dual resonant frequencies, a symmetrical design is needed for the resonant elements of the secondary so that:
To conclude the review of the design methodologies for the CLLC DAB, a summary in Table 6 with the designed converters using different methodologies is attached:
Table 6.
Overview of the designed converters with CLLC resonant networks.
- Most of the design converters are prototypes, distant from real high-power applications in the field of BESSs for renewable energy, PV fields, EV chargers, DCT/SST, and so on. Thus, it is necessary to research the design methodologies of a prototype that could be used in high-power renewable energy applications.
- The most common modulation technique used in resonant converters is PFM. Thus, there is a research gap in other modulation techniques in resonant converters such as Asymmetric PWM (APWM) or hybrid modulation techniques combining phase shift modulation (PSM), PFM, PWM, and optimization algorithms.
- Design objectives can vary a lot from one paper to another, but generally, ZVS conditions, optimizing efficiency, reducing losses, voltage conversion, and system stability are the most common objectives. Design methodologies heavily depend on the analysis of the converter performed and thus the modeling technique and the analysis technique are key points.
3. Discussion
Based on the information provided in Section 2 regarding the design methodologies, this section will discuss the options for designing a converter based on the specific requirements. Prior to designing a power converter, certain input information is needed to guide the design process. The most common input information is listed below.
- Electrical rated parameters: These parameters include the input voltage range, output voltage range, rated current, rated power, whether the converter will be a single-phase or three-phase converter, the switching frequency range, and the nominal temperature of operation, among others.
- Type of application: Designing a converter for operation as DCT/SST with a bidirectional power flow is different from designing a converter for unidirectional applications such as a DC/DC PV converter or one intended for BESS applications. It is not the same as designing a converter to be operated as a DCT/SST with a bidirectional power flow compaared to the design of a converter to be used as a unidirectional DC/DC PV converter or to design a converter that will be uses in a BESS. The type of application will determine if the power flow is unidirectional or bidirectional and whether the operating point will be constant or varied.
- Hardware technology: The hardware selection is a crucial aspect of the design. The hardware not only considers switch devices such as MOSFETs or IGBTs, but the hardware will influence key parameters of the converter such as the frequency range, minimum dead time, the on resistance of the switch, the rising time and falling time, the rated current and voltages, etc. Currently, there are two options: traditional silicon-based (Si) devices or WBG devices.
- Software technology: A microcontroller is required for any converter to manage voltage sensors, current sensors, temperature sensors, etc. In addition, the microcontroller has to be able to generate the gate signals to control the switches. The choice of software technology will depend on the switching frequency, the computational requirements of the control algorithms, the number and type of sensors, etc.
3.1. Considerations Based on Design Objectives
First, an analysis of the most common design objectives with the different types of design methodologies is performed. The results can be observed in Table 7 and the reasons are listed below.
Table 7.
Considerations based on design objectives to choose methodology.
- Wide voltage gain is a common design objective for BESS and EV chargers’ applications, since the battery voltage can vary significantly and therefore so can the voltage gain required. The most suitable design methodologies to understand this design objective and design with a simple approach are graphical and analytical solutions. Graphical solutions can provide useful information on the gain curve of the converter while, with an analysis, the minimum and maximum voltage gain can be derived, using the input and output voltages’ range.
- Voltage stability is a general design objective that is intrinsically desired for the converter. However, it is a common design objective in SST applications such as DCT, as commonly these kind of applications have a fixed operating point at the resonant frequency and thus, the voltage can be affected by fluctuations that have to be considered in the design process using an analytical solution.
- Power transfer capability is also a common design objective in DCT/SST applications since the power is not really controlled by the resonant converter, but an additional inverter is normally connected with the resonant converter. Due to this, the resonant converter must be able to provide full power transfer. This design objective can be understood plainly by using graphical and analytical equations to represent the power transfer against control variables such as the switching frequency or phase shift.
- Power losses in a resonant converter are directly related to the RMS value of the resonant current and therefore, by minimizing the RMS value of the resonant current, the losses can be reduced significantly. Normally, when it comes to minimizing or optimizing certain parameters, optimization algorithms are a suitable option. Another approach is to deeply analyze the converter to obtain an equation of the resonant current. That equation can then be derived with respect to certain parameters and equaled to 0 to find the minimum. This second option is more complex, since finding an accurate expression of the resonant current will require the use of time domain models and perhaps the use of computational tools.
- Power density is a critical requirement for a product to be commercially successfully. This requirement is commonly applied in on-board EV chargers and for power supply applications. The most straightforward approach to increasing power density is raising the nominal frequency and designing the high-frequency transformer in such a way that the leakage and magnetizing inductances of the transformer can act as resonant inductors, eliminating the need for additional individual inductors. The transformer is commonly a planar transformer, and for the design of this transformer, optimization algorithms are recommended to find the optimal values of distances between primary and secondary windings as well as the thickness of the air gap.
- The performance of a resonant converter is closely related to ensuring soft switching, that is, ZVS in the driver bridge and ZCS in the rectifier bridge. Most of the articles in the literature have considerations to ensure soft switching. The most common approach is through analysis or graphical solutions. Graphical solutions can establish a boundary for ZVS and ZCS based on the switching frequency, while analytical solutions can provide inequations to ensure soft switching.
- As mentioned with the design objective to minimize the RMS value of the resonant current, optimizing the total power loss of a converter is a crucial design objective so that the efficiency can be increased. When it comes to minimizing or optimizing parameters, the best option is to use optimization algorithms. Even when using optimization algorithms to optimize power losses, a deep analysis is required to find the power loss model of the converter. In conclusion, optimization algorithms can be used in a combined way with analysis to obtain the power loss model.
- Resonant tank elements as well as switches undergo sudden changes and spikes in currents and voltages, so a detailed study of the stress of the components is crucial. The maximum voltages and currents that will be given in the components must be calculated and established to make a proper sizing of the elements. The best approach to do this is through analysis and thus using analytical solutions.
- The inductance of an inductor or the capacitance of a capacitor are not fixed values; these values can fluctuate based on the operating point of the converter and the temperature. These fluctuations are critical and must be considered in every design of any converter for any application. This design objective is especially important for DCT/SST applications, as in these applications the converter is operated at a specific operating point, which is designed to be at the resonant frequency. Through detailed analysis, as described in [77], the fluctuations of the resonant elements will cause the resonant frequency to vary and thus the switching frequency will not be equal to the resonant frequency. That means that the voltage gain will be affected, affecting the voltage stability. Generally, the operation at a switching frequency that is different than the resonant frequency causes the additional loss of the converter. Therefore, fluctuations in the values of resonant elements have a direct influence on voltage stability as well as efficiency. Also, intermediate parameters are related to the values of resonant elements: if the values of the resonant elements are fluctuating, the intermediate parameters Q and k will also fluctuate and, as already mentioned in Section 2.1, these parameters heavily affect converter performance.
Each type of design methodology can be evaluated using certain KPIs, as summarized in Table 7.
- Computational cost: The use of iterative procedures and optimization algorithms may require powerful computers to find a solution within a short timeframe. Depending on the initial values, the configuration of the number of iterations, and the evolution of the parameters, these types of design methodologies can incur a high computational cost.
- Complexity: Designing a converter using FHA as an analysis technique differs from using TDMs such as OMs. Certain operating modes of the converter may lead to equations that either have no solution or are difficult to solve.
- Accuracy: Typically, resonant converters based on the DAB are designed by finding optimal values of the intermediate parameters. These optimal values will be more accurate if iterative or analytical procedures are used. In contrast, graphical solutions may lead certain errors to occur. Additionally, inaccuracies might arise if FHA is used when the switching frequency range is wide, since FHA only considers the fundamental harmonic.
- Available information: The more information that is available about a design methodology in the literature, the better, as it will be easier to find relevant information about it.
- Continuous development: It is important to know whether these types of design methodologies will continue to evolve or not. Today, design methodologies involving optimization algorithms, AI, or computational analysis are likely to experience significant advances.
To determine the KPIs of each methodology, it will be evaluated on a scale from 1 to 5, where 1 represents the lowest value and 5 is the highest. For instance, if a design methodology has a score of 1 for the computational cost, that means that the design methodology requires a small computational cost, while if the socre is 5, that means that the design methodology requires a lot of computational effort.
From Figure 6, it can be concluded that:
Figure 6.
Evaluation of design methodologies with certain Key Performance Indicators (KPIs).
- With the increasing development of AI and ML, design methodologies based on optimization algorithms, AI, or simulations are expected to grow. This is due to the fact that by using these tools, more optimal solutions can be obtained without the need to make a very exhaustive analysis of the converter. The main advantage of this type of design methodology is the optimizations that can be achieved. On the other hand, the major drawback can be the computational cost and the requirement to converge to solutions. Therefore, it will be important to conduct research about the combination of optimization algorithms and AI to try to reduce the required time to obtain solutions.
- Graphical methodologies are a suitable option for preliminary designs or to quickly understand the influence of certain parameters on the converter’s behavior. These design methodologies can also be used as a first step in the design process, to narrow down the range of possible solutions or designs. The main advantage of these types of methodologies is their simplicity and rapid implementation, while the main disadvantage is their inaccuracy. However, when combined with analytical or iterative procedures, relatively robust design methodologies can be achieved.
- Iterative methodologies can be seen as simplifications that do not require as much computational cost as optimization algorithms, due to the fact that these methodologies internally iterate until the optimal solution is found. It is common to find this type of methodology combined with analytical or graphical methodologies. These methodologies have the advantage of being flexible, adaptable, and efficient. On the other hand, iterative procedures generally require a good initial assumption and a good stopping criterion for their iterations. Therefore, if these parameters are not carefully selected, convergence may be slow or even diverge in some cases. Because they require fewer computational resources and can be combined with detailed analysis techniques such as TDM, they are considered quite promising methodologies.
- Analytical design methodologies can achieve effective results but require extensive knowledge of the converter and the analysis technique used. It is quite common to use FHA as a technique for the analysis and development of design methodologies. The main issue with this is that depending on the switching frequency range, FHA might be suitable or not. Other modeling techniques can always be used, such as TDM, but these have the disadvantage in that they tend to be more complex and sometimes require computational tools to obtain solutions to the equations.
- Finally, hybrid methodologies can be a very promising option for the development of design methodologies, since they allow us to obtain the best aspects of the previous ones and combine them into one design methodology. Thus, an important point of research would be to combine the best aspects of all these methodologies into one design methodology.
3.2. Considerations Based on Power Flow
Resonant converters can have either a unidirectional power flow or a bidirectional power flow. Based on the application, a resonant network topology can be more suitable than others. Based on the literature, Table 8 summarizes the most common type of power flow depending on the resonant network structure:
Table 8.
Considerations based on power flow and typical resonant tank structures.
From the reviewed literature, it can be concluded that:
- All the designed converters with the CLLC resonant tank have a bidirectional power flow. This is mainly because the converter has a resonant inductor and capacitor in both the primary and secondary transformer. Therefore, the forward and reverse mode can be designed individually. This is important for bidirectional applications with slightly different behaviours in the forward and reverse modes, such as the discharge or charge procedure of a battery.
- In the case of the LLC resonant network, fourteen of the nineteen reviewed articles have designed a power converter with a unidirectional power flow. Due to this fact, the LLC resonant tank is preferred for unidirectional applications, such as power supply or PV applications.
- Finally, the LC resonant network is a simplification of the LLC resonant tank, where the magnetizing inductance is negligible or not considered in the design of the converter, making it a similar topology to that of the LLC. In this case, five of twelve articles have designed a unidirectional converter.
Therefore, based on the application and the power flow requirements, certain topologies of the resonant tank are preferred or more used and therefore more studies in the literature and information about design procedures can be found. This means that to design a resonant converter for BESS applications, it would make more sense to choose a CLLC topology than an LLC topology since it will be easier to find information in the literature about design methodologies and controls of a CLLC topology for BESS applications.
3.3. Considerations Based on Application
In a similar manner to that with the power flow considerations, based on the application, it is more optimal or suitable to use one topology or another for the resonant tank. Table 9 summarizes the most common and usual applications of resonant converters based on the DAB, and the recommended and most used topology in the literature by application.
Table 9.
Considerations based on application, to choose resonant tank topology.
Due to the resonant inductor and capacitor in both the primary and secondary bridge, the CLLC resonant tank topology is an attractive topology for bidirectional applications where the forward and reverse mode show different behaviours. Therefore, there are two options to design this type of converter: asymmetrically, that is, with independent solutions for the resonant elements of the primary bridge and secondary bride, or symmetrically, that is, by solving the resonant elements of the primary, the secondary elements can be derived using the transformer’s reflection. On the other hand, typically the LLC converter is designed for a unidirectional power flow, designing the resonant tank of the primary bridge with considerations of the power flow and operating point in a forward mode.
3.4. Considerations Based on Hardware
This subsections is intended to provide considerations to select the technology of the switch as well as the inductor type and size, cooling system, etc.
Considerations based on hardware are those considerations to choose the switch and the technology of the switch, the inductor type and size, the cooling of the system, etc. Based on the requirements, some conclusions are listed below:
- The breakdown voltage of the switch will depend on the input voltage range and the application.
- The size of the passive elements such as inductors and capacitors: the higher the frequency the smaller the size.
- The cooling system: Switches and passive elements will generate heat, and that heat has to be extracted to maintain the switches and passive elements within an optimized temperature range. Ideally, to increase power density, cooling systems have to be removed and thus the semiconductors and passive elements have to be able to hold high working temperatures.
- The lower the resistance of the switches and the Equivalent Series Resistance (ESR) of capacitors and inductors are, the better they will dissipate less heat due to lower power losses.
- Devices should fulfil requirements with respect to Electromagnetic Compatibility (EMC).
- Available and affordable raw materials must be used in order to reduce the price of the power converter as well as the use of cheap and reliable manufacturer process to minimize the manufacturing time of the converter.
Today, most of the power converters are manufacturers using semiconductor substrates such as silicon (Si), which is the most commonly used. However, Si-based switches have various crucial limitations that can be solved by using new technologies and WBG materials such as silicon carbide (SiC), gallium nitride (GaN), gallium oxide (Ga2O3), etc.
Therefore, based on the design requirements and the application, it may be suitable to use traditional Si-based switches or to use new technology switches such as a WBG. The major limitations of Si-based devices in high voltage applications are:
- Power losses;
- Low switching frequency;
- Poor high-temperature performance;
- Low voltage.
On the other hand, WBG materials are a promising solution for switches that can enhance the limitations of the traditional Si-based switches. The main advantages of WBGs over traditional Si-based switches for high-voltage applications are te following:
- Reduced switching recovery time and thus faster switching;
- Higher temperature operation;
- Lower resistance and thus a reduction in losses;
- Because of the faster switching, passive elements are reduced and thus power density is increased;
- Cooling systems are not required or are less bulky because of the higher temperature operation range.
Due to this, it is recommendable to use WBG switches in the following situations:
- The higher the switching frequency, the higher the losses and the temperature can be. Due to this, it is recommendable to use WBG materials to reduce the switching times and increase the temperature of the operating point.
- If power density is an important requirement, such as in on-board electric vehicle chargers, increasing switching frequency can allow us to reduce the sizing of the passive elements, that is, the resonant inductors and capacitors. Because the switching frequency is increased, it is again recommendable to use WBG materials.
On the other hand, WBG materials also present certain disadvantages that must be taken into account during the design process:
- These types of materials are more expensive than the traditional Si-based materials, and therefore, reducing the cost of SiC is key to accelerate its adoption.
- If you wanted to manufacture a product based on SiC, you might encounter supply chain issues, as it is still an emerging material and not all manufacturers provide solutions.
- High-performance gate drivers are required to manage the switching speed of a SiC device. A fast fault response time is needed to protect SiC devices against short-circuits.
In addition, depending on the voltages, the switches have to bear with the power density requirements, the topology of each bridge can change, and it might be convenient to choose one or another configuration. There are mainly four configurations that can be observed in Figure 7.
Figure 7.
Possible configurations of the switches in a bridge, from top left to bottom right: (a) Symmetrical half bridge (HF). (b) Full bridge (FB). (c) Stacked full bridge (FB). (d) Asymmetrical half bridge (HF).
Depending on the nominal power of the converter to be designed and the input voltage requirements:
- Both the symmetrical half bridge and the asymmetrical half bridge are recommended for low-power applications and step-down applications. In addition, power density is important, since the number of switches is reduced to two.
- The full bridge configuration is used in medium- and high-power applications.
- The stacked full bridge configuration is used in cases of high input voltage and step-down applications due to the reduced voltage stress on the switches.
3.5. Considerations Based on Software
At the core of every power converter there is a controller, which is responsible for the following:
- The reading and conversion of temperature sensors, current sensors, voltage sensors, etc.;
- The management of digital input and outputs of the converter;
- The execution of control algorithms and task management;
- The driving of the switches.
The controller must be specifically selected based on the number and types of sensors, the number of digital input and outputs, the complexity and density of the control algorithms, the required memory size, the required memory access times, the required communication protocols, the interface with the user, etc.
A preliminary design review is necessary to establish the initial requirements and to make a market study to find the best hardware platform to develop the software in terms of power supply, environmental specifications, the number of cores, memory size and organization, interfaces, size, communication protocols, task management, price, available documentation and libraries, manufacturer support and significance, etc.
3.6. Considerations Based on Modulation
As already mentioned in several articles, such as in [31], there are mainly four types of modulation that could be used with resonant converters, although only two of them are primarily used while the others are still under research:
- Pulse frequency modulation (PFM).
- Phase shift modulation (PSM).
- Asymmetric duty modulation (APWM).
- Hybrid combinations of the previous modulations.
The choice of one modulation or another will depend on many factors, among them, the switching frequency and the clock frequency of the selected controller. The clock frequency of the controller or the period of the control task of the controller must be at least twice the switching frequency to properly control the power converter. Therefore, if the frequency is high (more than 100 kHz), the controller begins to require significantly high execution times of the control task, which in turn leads to a considerable increase in the cost of the controller. Additionally, the potential loss of control accuracy due to the inability to adequately sample the signals must also be taken into account.
In conclusion:
- For low-power and low switching frequency applications, PSM can be used as modulation.
- On the other hand, for high frequency applications with relatively linear voltage gain curves in the switching frequency range, PFM can be used as modulation since it is more accurate than PSM due to sample times and the analog-to-digital converters’ precision.
- In cases of poor converter performance, hybrid modulations can be used to improve performance, always considering the above aspects.
3.7. Other Considerations
Finally, to conclude, some statistics observed in the reviewed literature are shown, which may offer clues to the evolution that the design methodologies of these converters may take. See Figure 8.
Figure 8.
Design methodology statistics.
- It can be deduced that the design methodologies based on analytical methods are the most common and widespread, since with a deep analysis of the converter behavior, the conditions for soft switching to be fulfilled can be found and the performance of the converter is highly related with soft switching capabilities.
- Hybrid design methodologies allow us to combine the main advantages of each of the design methodologies and that is why 19% of the studied methodologies use hybrid methods combining analytical, iterative, graphical, and optimization algorithms.
- With the current continuous development of AI and optimization algorithms, the design methodologies based on optimization algorithms combined with analysis techniques will increase in the future.
From the perspective of the modeling technique (see Figure 9) used to analyze the behaviour of the converter:
Figure 9.
Modeling technique statistics.
- FHA is the most widely used modeling technique due to its simplicity and because it can be very accurate if the switching frequency is near to the resonant frequency. Other articles instead of using only the fundamental harmonic use the whole Fourier series.
- On the other hand, there are certain applications and design objectives that are more suitable for use of TDM. TDM can be complex and might require computational tools. This is why it is not widely used.
- Other modeling techniques are used that are not that common, such as the phasor domain, state plane analysis, Laplace domain, small signal modeling, and combinations of the previous techniques such as FHA combined with TDM.
4. Future Trends and Conclusions
For the development of resonant converters based on the DAB, it is critical to understand and know the different approaches for the design methodologies, as the performance of the converter is heavily affected by the design methodology. The design process of these types of converters is complex due to the high nonlinearities and the number of unknowns.
Many articles can be found about design methodologies, but there is a complete lack of articles that highlight, classify, and evaluate design methodologies. The main purpose of this article is to serve as a tool or guide to help designers in the design process.
This article successfully classifies design methodologies into five groups: analytical methodologies, iterative procedures, graphical methods, optimization algorithms, and combinations of the previous four. Several references are provided so that the reader can learn more about the different design methodologies. The proposed design methodology types are evaluated based on their computational cost, complexity, the accuracy of the solutions, the available information, and continuous development.
With all the analyses of the design methodologies, considerations are provided for different aspects, considerations that help converter designers understand the most common design objectives and how to approach the design methodology in order to meet certain requirements. Based on application and power flow, topologies are recommended such as the CLLC for bidirectional applications such as BESSs or SST, and LLC for unidirectional applications such as PV converters or stationary electric vehicle chargers. Additional considerations based on hardware design, modulation, and software design are given. Finally, two summary diagrams are also shown with the modeling techniques and design methodologies used according to the topology, so that the reader can observe the trends and where the research is going.
Thanks to the provided study, it can be highlighted that design methodologies require a precise analysis and accurate modeling of the converter, so this is still an important point of the research, analysis, and modeling of the resonant converters.
As mentioned in this article, some of the design methodologies mentioned were only validated in simulations and thus it is an open point of research to experimentally validate the design methodologies.
Design methodologies are evolving along with other technologies such as AI and ML. This is why in the future, multiple design methodologies will emerge based on AI, ML, and simulations’ results. This is a pending research point: the combination of AI, optimization algorithms, and simulations result in the creation of versatile design methodologies. Also, another pending research point is the creattion of a design methodology that can combine all the advantages of the different design methodologies that exist, analytical, iterative, graphical, and optimization algorithms.
Finally, given the characteristics of high-power density, bidirectional power transfer, isolation, and others, these topologies are very interesting for BESSs, EVs, PV, storage, WPT, SST applications, etc. The literature clearly lacks articles about design methodologies of resonant DAB converters applied to real high-power applications in BESSs, EVs, WPT, and SST, so the design and experimental validation of this type of converters for high-power applications is an important point of future research. Given the high-power requirement and since most of the designed converters are low-power laboratory prototypes, there are several options that are more suitable for high-power converters:
- Interleaving converters: Interleaving involves connecting multiple converter stages to the same voltage source and one or more outputs. Interleaving converters can have several advantages such as improved efficiency, a lower input and output voltage ripple, higher power density, better thermal management, reduced electromagnetic interference, etc.
- Multi-phase converter: Generally, a resonant DAB is a single-phase converter, but there are alternatives that could use three phases or multiple phases in order to increase power. In the case of multiple phases, the problem is that the design of the high-frequency transformer is complex.
Future work to be developed from this article involves the development of a new methodology for the optimal design of these converters for high-power applications, the manufacturing of an experimental converter, and the experimental validation of the designed converter.
Supplementary Materials
The following supporting information can be downloaded at: https://www.mdpi.com/article/10.3390/electronics13234748/s1.
Author Contributions
Conceptualization, R.A.G.P., J.M.-C.-A., E.G.D. and J.M.C.S.; Funding acquisition, J.M.-C.-A., E.G.D. and J.M.C.S.; Investigation, R.A.G.P., J.M.-C.-A., E.G.D. and J.M.C.S.; Methodology, R.A.G.P., J.M.-C.-A., E.G.D. and J.M.C.S.; Project administration, J.M.-C.-A., E.G.D. and J.M.C.S.; Resources, R.A.G.P., J.M.-C.-A., E.G.D. and J.M.C.S.; Supervision, J.M.-C.-A., E.G.D. and J.M.C.S.; Visualization, R.A.G.P., J.M.-C.-A., E.G.D. and J.M.C.S.; Writing—original draft, R.A.G.P.; Writing—Review and editing, R.A.G.P., J.M.-C.-A., E.G.D. and J.M.C.S. All authors have read and agreed to the published version of the manuscript.
Funding
This work was supported by the Spanish State Research Agency (AEI) through the Project TED2021-131604B-I00 funded by MCIN/AEI/10.13039/501100011033 and by the European Union Next GenerationEU/PRTR.
Data Availability Statement
Data are contained within the article or Supplementary Material.
Conflicts of Interest
Authors Rafael Amadeo García Pérez and Jesús Muñoz-Cruzado Alba were employed by the company eks Energy. The remaining authors declare that the research was conducted in the absence of any commercial or financial relationships that could be construed as a potential conflict of interest.
Glossary and Nomenclature
| Acronym | Description |
| PV | Photovoltaic |
| WT | Wind turbines |
| BESS | Battery energy storage systems |
| SST | Solid state transformer |
| V2G | Vehicle-to-grid |
| DAB | Dual active bridge |
| EV | Electric vehicle |
| WPT | Wireless power transfer |
| DC/DC | DC to DC power converter |
| DC/AC | DC to AC power converter |
| LC | LC resonant network |
| LLC | LLC resonant network |
| CLLC | CLLC resonant network |
| CLLLC | CLLLC resonant network |
| Q | Quality factor |
| k | Inductor ratio |
| Zr | Characteristic impedance |
| RL | Load resistance |
| Resonant angular frequency | |
| Switching angular frequency | |
| Normalized angular frequency | |
| fs | Switching frequency |
| fr | Resonant frequency |
| fn | Normalized frequency |
| AI | Artificial Intelligence |
| KPI | Key performance indicators |
| FHA | First harmonic approximation |
| RMS | Root mean quared value |
| ZVS | Zero voltage switching |
| DCT/DCX | DC transformer |
| N | Transformer turn ratio |
| ZCS | Zero current switching |
| TDM | Time domain model |
| OM | Operating modes |
| GA | Genetic algorithm |
| PSO | Particle Swarm Optimization |
| AC | Ant Colony |
| SA | Simulated Annealing |
| SRC | Series resonant converter |
| Phase shift between sources | |
| M | Voltage gain |
| PFM | Pulse frequency modulation |
| Relative permeability | |
| Permeability of free space | |
| PS | Power supply |
| RODD-PSO | Randomly ocurring distributed delayed PSO |
| HV | High voltage |
| LV | Low voltage |
| SoC | State of charge |
| h | Symmetry coefficient |
| AP | Area Product optimization |
| CC | Constant current |
| CV | Constant voltage |
| APWM | Asymmetric Pulse Width Modulation |
| PSM | Phase shift modulation |
| IGBT | Insulated-Gate Bipolar Transistor |
| MOSFET | Metal-Oxide-Semiconductor Field-Effect Transistor |
| WBG | Wide bandgap materials |
| ML | Machine Learning |
| ESR | Equivalent Series Resistance |
| EMC | Electromagnetic Compatibility |
| EMI | Electromagnetic Interference |
| HB | Half bridge |
| FB | Full bridge |
| SSM | State Space Modeling |
| HFT | High-Frequency Transformer |
| FR | Frequency response or frequency domain analysis |
| VCR | Voltage conversion ratio |
| Pr | Rated power |
| S Domain | Laplace domain |
| Phasor Domain | Phasor domain analysis |
| SSM | Small signal modeling |
| PWM | Pulse width modulation |
| SPWM | Synchronous PWM |
| SR | Synchronous Rectification |
| SiC | Silicon carbide |
Appendix A. Analysis of Resonant Converters
Appendix A.1. Resonant Converter Topologies
Resonant converters can be classified attending to multiple criteria, as described in many overview articles, such as in references [28,29,30,31,33]. A summary of the resonant converter’s classification is shown in Figure A1.
Figure A1.
DAB-based resonant converters classification.
Figure A1.
DAB-based resonant converters classification.

Typically, CLLC and CLLLC are considered the same topology, but in certain articles, the magnetizing inductance is negligible with respect to the resonant inductor size. The most common topologies for a resonant converter based on the DAB can be observed from Figure A2, Figure A3, Figure A4, Figure A5 and Figure A6. In these figures, the voltage between A and B would be the input voltage of the resonant network while the voltage between C and D would be the output voltage of the resonant network.
Figure A2.
Traditional DAB converter topology.
Figure A2.
Traditional DAB converter topology.

Figure A3.
Resonant LC converter topology.
Figure A3.
Resonant LC converter topology.

Figure A4.
Resonant LLC converter topology.
Figure A4.
Resonant LLC converter topology.

Figure A5.
Resonant CLLC converter topology.
Figure A5.
Resonant CLLC converter topology.

Figure A6.
Resonant CLLLC converter topology.
Figure A6.
Resonant CLLLC converter topology.

Appendix A.2. Basic Analysis Using FHA
To analyze the behavior of the converter, the most commonly used technique is based on FHA. Resonant converters based on the DAB topology are normally operated with a 50% duty cycle in both bridges so that the resonant network input is a square wave in that half the period is and the other half is . Most common modulation techniques are based on PSM or FSM. Plenty of information about modulation techniques is available in different articles, such as in references [28,29,30,31,32,33,34,85,86].
As mentioned, the most used analysis technique for resonant converters is based on FHA. Since the topology of the converter has a resonant network, when operating at a switching frequency near to the resonant frequency, waveforms of voltage and current in the resonant network are almost sinusoidal. Thus, the circuit could be analyzed based on the fact that only the first harmonic is significant. The analysis using FHA is the same in principle for any topology. In this analysis, the CLLC topology will be selected and the same analysis can be performed on any other topology.
Figure A7.
Equivalent circuit of a CLLC converter using First Harmonic Approximation (FHA).
Figure A7.
Equivalent circuit of a CLLC converter using First Harmonic Approximation (FHA).

The equivalent circuit for the topology of Figure A5 can be observed in Figure A8 for the forward mode and in Figure A9 for the reverse mode. Forward mode is when power is being transferred from the primary to the secondary bridge while reverse mode is when power is being transferred from the secondary to the primary bridge.
Figure A8.
Equivalent circuit using FHA in forward mode.
Figure A8.
Equivalent circuit using FHA in forward mode.

Figure A9.
Equivalent circuit using FHA in reverse mode.
Figure A9.
Equivalent circuit using FHA in reverse mode.

The input voltage of the resonant network can be easily calculated using the Fourier series. The Fourier series of a square wave of frequency can be expressed as follows:
With the assumption that only the first harmonic is significant if switching frequency is near the resonant frequency, Equation (A1) can be transformed into Equation (A2).
With the assumptions of FHA, the equivalent circuit can be analyzed and we can infer what happens in the resonant network, what the voltage gain curve is, what the losses in the converter are, what the soft switching conditions are, etc.
Appendix A.3. Voltage Gain Analysis
To analyze how the voltage gain curve of the converter varies with the switching frequency and other parameters, the voltage gain equation must be calculated. This analysis can be found in several articles, such as in [72,76]. From the figure below, associating impedances and using Kirchoff’s laws the following equations are obtained:
Figure A10.
Equivalent circuit associating impedances.
Figure A10.
Equivalent circuit associating impedances.

Using Kirchhoff’s laws:
where:
By defining some important intermediate parameters to simplify the analysis and the equation and to simplify the design methodologies, the voltage gain can be expressed as in Equation (A8).
where the intermediate parameters used are:
- Normalized frequency:
- Resonant frequency:
- Inductor ratio:
- Quality factor:
The voltage gain curve as can be observed with the expression, highly depends on the switching frequency, inductor ratio, quality factor, and resonant frequency. By giving fixed values to Q and varying k, the influence of k in the voltage gain curve can be observed, as shown in Figure A11, and by giving fixed values to k and varying Q, the influence of Q in the voltage gain curve can be observed, as shown in Figure A12.
Figure A11.
Influence of the inductor ratio (k) in the gain curve with quality factor (Q) equal to 1.
Figure A11.
Influence of the inductor ratio (k) in the gain curve with quality factor (Q) equal to 1.

Figure A12.
Influence of Q in the gain curve with k = 1.
Figure A12.
Influence of Q in the gain curve with k = 1.

As can be observed in Figure A11 and Figure A12, these intermediate parameters Q and k have to be designed considering the switching frequency range, the minimum and maximum voltage gain requirements, the voltage stability, the losses, and the load variation. The dashes lines in Figure A12 represents the frequencies with a unitary voltage gain.
If the converter is operated under light conditions or no-load conditions, the quality factor will take a very low value or will be close to 0. On the other hand, when the converter is operated at a full load, the quality factor will take a large value. The lower limit of the quality factor will set the minimum switching frequency while the upper limit of the quality factor will set the upper limit of the switching frequency. Ideally, the switching frequency range should be narrow in order to avoid operating the converter away from the resonant frequency.
Appendix A.4. Soft Switching
The most important difference between the DAB and any other DC/DC topology against the resonant DAB converter is that the resonant converter can do soft switching in a natural way. The performance of the resonant converter is highly affected with the soft switching capabilities. Design methodologies must make sure that ZVS and/or ZCS are possible in the whole operating range of the converter.
The most straight forward way to design the converter to meet the soft switching requirement is to design the magnetizing inductance so that during the dead time this current is able to discharge the parasitic capacitances of the switches and thus the switches will switch with zero voltage across them. This applies in the driver bridge, that is, the bridge whose switches received gate signals. On the other hand, for the bridge that usually operates as a rectifier, synchronous rectification can make sure that the current across the switch is zero before switching, so that ZCS is achieved.
Appendix A.5. Power Loss Modeling
One of the most common design objectives is to reduce power losses and thus increase the efficiency of the converter. To do that, a detailed analysis of the losses that occur in the converter has to be performed. The losses of the converter can be classified mainly into the following:
- Conduction losses: Losses related to the ON resistance of the switches.
- Switching losses: Losses related to the switch ON and switch OFF of the switches.
- Magnetic component losses: Losses related to the resonant inductor and the high-frequency transformer. These losses can be divided into the following:
- –
- Core losses.
- –
- Winding losses.
Several papers have explained the power loss model of the resonant DAB converter. According to [81], the total power loss of a CLLC converter can be expressed as:
where:
- is the driving loss, and it is proportional to the switching frequency. It can be calculated as in Equation (A14) using the gate charge, gate voltage, and the switching frequency.
- is the conduction loss, and it is proportional to the resonant current and the resistance of the switches, in the cases of the MOSFETs. It can be calculated as described in Equation (A15). It is important to clarify that this equation is an approximation, a time-averaged calculation of losses. In order to calculate the conduction losses in detail, it is necessary to perform the integral over a complete period of the instantaneous current.
- is the switching losses, which are mainly related with turn-off losses since ZVS should be achieved in the driver bridge and ZCS should be achieved in the rectifier bridge. It can be calculated as in Equation (A16) and it is proportional to the magnetizing inductance, dead time, and switching frequency.
- is the copper loss of the high-frequency transformer. It can be calculated as described in Equation (A17) and it is proportional to the resonant current.
- is the core loss of the high-frequency transformer, due to the magnetic materials used. It can be calculated as described in Equation (A18), by using the Setinmetz equation.
- is the losses in the resonant capacitor, and it can be calculated using Equation (A19).
The power loss model is important to be able to design the converter so that the power loss is minimized.
Appendix A.6. Other Modeling Techniques
There are other modeling techniques that are more accurate but that also are more complex and that might require computational tools. One way to obtain accurate equations that describe the behaviour of the converter is using TDM techniques, such as OM. This modeling technique has been widely used and researched in many papers, such as in [71,73,78,80,84] and many others. The OM analysis is based on describing the behaviour of the converter using a combination of possible situations:
- Positive clamped stage (P).
- Negative clamped stage (N).
- Freewheeling stage (O).
With the combination of these stages, different modes can be described and the constraints to keep operating at a certain mode can be calculated.
Another way to precisely describe the behaviour of the converter is using the frequency domain or Laplace domain. Solving equations in the Laplace domain is much easier and thus, solutions can be obtained that later can be transferred to the time domain. Laplace domain analysis is used in articles such as in [74,75].
References
- Nikola Mirkovic, Luis Ruiz Chamorro, Alberto Delgado, Pedro Alou, Miroslav Vasic 30kW Bidirectional Inductive Power Transfer Charger With Intermediate Coil for EV Applications IEEE Trans. Power Electron. 2024, 39, 9007–9024. [CrossRef]
- Jia, M.; Sun, H.; Cai, J.; Zhang, H.; Zhou, Z.; Chen, J. GaN and SiC Based 500kHz Resonant Bidirectional DC/DC Design for 800V OBCM Application. In Proceedings of the 2024 IEEE Applied Power Electronics Conference and Exposition (APEC), Long Beach, CA, USA, 25–29 February 2024; Institute of Electrical and Electronics Engineers Inc.: Piscataway, NJ, USA, 2024; pp. 2425–2432. [Google Scholar] [CrossRef]
- Mary, N.J.; Sathyan, S.; Suryawanshi, H.M. A Three-Level Resonant DAB Converter Featuring Minimized Circulating Losses for EV Battery Charging. IEEE Trans. Ind. Electron. 2023, 70, 7879–7890. [Google Scholar] [CrossRef]
- Arena, G.; Chub, A.; Lukianov, M.; Strzelecki, R.; Vinnikov, D.; Carne, G.D. A Comprehensive Review on DC Fast Charging Stations for Electric Vehicles: Standards, Power Conversion Technologies, Architectures, Energy Management, and Cybersecurity. IEEE Open J. Power Electron. 2024, 5, 1573–1611. [Google Scholar] [CrossRef]
- Patil, N.S.; Shukla, A. Review and Comparison of MV grid-connected Extreme Fast Charging Converters for Electric Vehicles. In Proceedings of the 2021 National Power Electronics Conference (NPEC), Bhubaneswar, India, 15–17 December 2021; Institute of Electrical and Electronics Engineers Inc.: Piscataway, NJ, USA, 2021. [Google Scholar] [CrossRef]
- Shreyas; Kumar, M. Design and Analysis of LLC Resonant Converter for Electric Vehicle Battery Charging. In Proceedings of the 2023 IEEE 3rd International Conference on Sustainable Energy and Future Electric Transportation (SEFET), Bhubaneswar, India, 9–12 August 2023; Institute of Electrical and Electronics Engineers Inc.: Piscataway, NJ, USA, 2023. [Google Scholar] [CrossRef]
- Bhanja, S.; Joshua, A.M.; Vittal, K.P. Control of CLLC Resonant Converter in Grid Connected Electric Bus charging station. In Proceedings of the 2022 IEEE 3rd Global Conference for Advancement in Technology (GCAT), Bangalore, India, 7–9 October 2022; Institute of Electrical and Electronics Engineers Inc.: Piscataway, NJ, USA, 2022. [Google Scholar] [CrossRef]
- Muhammetoglu, B.; Jamil, M. Dual Active Bridge Converter with Interleaved and Parallel Operation for Electric Vehicle Charging. Energies 2024, 17, 4258. [Google Scholar] [CrossRef]
- Bipu, M.R.H.; Montes, O.; Teng, F.; Wang, D.; Awal, M.A.; Yu, W.; Husain, I.; Lukic, S. Design, Control, and Protection of a 13.2kV, 1MVA Solid State Transformer for Electric Vehicle Extreme Fast Charging Station. IEEE Trans. Transp. Electrif. 2024. early access. [Google Scholar] [CrossRef]
- Seram, R.D.; Lulbadda, K.T.; Sidhu, T.; Williamson, S.S. A Quad-Active Bridge (QAB)-Based Solid-State Transformer for Fast Charging of Light/Medium and Heavy Electric Vehicles. In Proceedings of the 2024 IEEE International Conference on Industrial Technology (ICIT), Bristol, UK, 25–27 March 2024; Institute of Electrical and Electronics Engineers Inc.: Piscataway, NJ, USA, 2024. [Google Scholar] [CrossRef]
- Lun, B.A.W.; Cao, S.; Naayagi, R.T.; Lee, S.S. DAB LCC Resonant Converter Triple Phase Shift Control Bi-directional Wireless Power Transfer. In Proceedings of the 2024 8th International Conference on Green Energy and Applications (ICGEA), Singapore, 14–16 March 2024; Institute of Electrical and Electronics Engineers Inc.: Piscataway, NJ, USA, 2024; pp. 6–11. [Google Scholar] [CrossRef]
- Soyoye, B.; Bhattacharya, I.; Dhason, M.V.A. Enhancing Efficiency and Robustness in Bi-directional Wireless Power Transfer via CLLLC Resonant Networks. In Proceedings of the 2024 IEEE International Symposium on Electromagnetic Compatibility, Signal & Power Integrity (EMC+ SIPI), Phoenix, AZ, USA, 5–9 August 2024; IEEE: Piscataway, NJ, USA, 2024; pp. 537–543. [Google Scholar] [CrossRef]
- Lee, J.; Kim, D.U.; Kim, S.; Lee, S.H. Design and Validation of a 100 kW, 60 kHz, High Efficiency, Loosely-Coupled-Resonant Dual-Active-Bridge Converter. IEEE Trans. Ind. Electron. 2024. early access. [Google Scholar] [CrossRef]
- Solanki, J.B.; Chudasama, K.J. Design and Simulation of Dual Active Bridge Converters to Enhance Performance of Solid State Transformers. In Proceedings of the 2024 Parul International Conference on Engineering and Technology (PICET), Waghodia, India, 3–4 May 2024; IEEE: Piscataway, NJ, USA, 2024; pp. 1–6. [Google Scholar] [CrossRef]
- Chahar, S.; Patel, H.; Hatua, K. Control of Cascaded H—Bridge and Series Resonant Dual Active Bridge (DC-DC) based Solid State Transformer under Unbalance Grid. In Proceedings of the 2024 IEEE International Communications Energy Conference (INTELEC), Bengaluru, India, 4–7 August 2024; Institute of Electrical and Electronics Engineers Inc.: Piscataway, NJ, USA, 2024. [Google Scholar] [CrossRef]
- Liserre, M.; Costa, L.; Guo, Z.; D’amato, D.; Queiroz, S.S.; Huang, A. Last Developments and New Technologies in Solid-State Transformer. In Proceedings of the 2024 IEEE 15th International Symposium on Power Electronics for Distributed Generation Systems (PEDG), Luxembourg, 23–26 June 2024; Institute of Electrical and Electronics Engineers Inc.: Piscataway, NJ, USA, 2024. [Google Scholar] [CrossRef]
- Siemaszko, D.; Mogorovic, M. Enabling MVDC PV Collection Grids with Modular Solid State Transformers. In Proceedings of the 2024 IEEE Sixth International Conference on DC Microgrids (ICDCM), Columbia, SC, USA, 5–8 August 2024; Institute of Electrical and Electronics Engineers Inc.: Piscataway, NJ, USA, 2024. [Google Scholar] [CrossRef]
- Ogan, S.E.; Chakraborty, S.; Geury, T.; Hegazy, O. Lifetime and Cost Analysis of DC-DC Solid State Transformers for Wind Applications. In Proceedings of the 2024 International Symposium on Power Electronics, Electrical Drives, Automation and Motion (SPEEDAM), Ischia, Italy, 19–21 June 2024; Institute of Electrical and Electronics Engineers Inc.: Piscataway, NJ, USA, 2024; pp. 611–618. [Google Scholar] [CrossRef]
- Burugula, V.; Sharma, S.; Dhiman, S.; Aljumah, O.; Bhattacharya, S. Control of parallel connected Dual Active Bridge converters under unbalanced input voltages in an MV compliant Solid State Transformer. In Proceedings of the 2024 IEEE Transportation Electrification Conference and Expo (ITEC), Xi’an, China, 10–13 October 2024; Institute of Electrical and Electronics Engineers Inc.: Piscataway, NJ, USA, 2024. [Google Scholar] [CrossRef]
- Henao-Muñoz, A.C.; Pepiciello, A.; Debbat, M.; Tarrasó, A.; Domínguez-García, J.L. State Space Modeling and Small-Signal Stability Analysis of a Multiport Soft Open Point Based on the Triple Active Bridge Converter. In Proceedings of the 2024 International Conference on Smart Energy Systems and Technologies (SEST), Torino, Italy, 10–12 September 2024; IEEE: Piscataway, NJ, USA, 2024; pp. 1–6. [Google Scholar] [CrossRef]
- Huber, J.E.; Kolar, J.W. Applicability of Solid-State Transformers in Today’s and Future Distribution Grids. IEEE Trans. Smart Grid 2019, 10, 317–326. [Google Scholar] [CrossRef]
- Pridala, M.; Supolik, M.; Prazenica, M. Choosing Right Topology for Bidirectional Power Converter Used in a Battery Storage System Based on Efficiency and Economic Perspective. In Proceedings of the 2024 ELEKTRO (ELEKTRO), Zakopane, Poland, 20–24 May 2024; Institute of Electrical and Electronics Engineers Inc.: Piscataway, NJ, USA, 2024. [Google Scholar] [CrossRef]
- Safayatullah, M.; Rezaii, R.; Alaql, F.; Batarseh, I. A Three-Port DC-DC-DC Converter based on Dual Active Bridge Series Resonant Topology for Electric Vehicle DC Fast Charging Applications. In Proceedings of the 2022 IEEE Energy Conversion Congress and Exposition (ECCE), Detroit, MI, USA, 9–13 October 2022; Institute of Electrical and Electronics Engineers Inc.: Piscataway, NJ, USA, 2022. [Google Scholar] [CrossRef]
- Ganjavi, A.; Gorji, S.A.; Hakemi, A.; Moradi, A.; Sera, D. Design and Implementation of an SiC-based 48 V–380 V Dual Active Bridge DC-DC Converter for Batteries Employed in Green Hydrogen Microgrids. In Proceedings of the 2022 IEEE 7th Southern Power Electronics Conference (SPEC), Nadi, Fiji, 5–8 December 2022; Institute of Electrical and Electronics Engineers Inc.: Piscataway, NJ, USA, 2022. [Google Scholar] [CrossRef]
- Zou, H.; Yu, R.; Anand, R.; Tong, J.; Huang, A.Q. A GaN Variable-Frequency Series Resonant Dual-Active-Bridge Bidirectional AC-DC Converter for Battery Energy Storage System. In Proceedings of the 2023 IEEE Applied Power Electronics Conference and Exposition (APEC), Orange County, FL, USA, 19–23 March 2023; Institute of Electrical and Electronics Engineers Inc.: Piscataway, NJ, USA, 2023; pp. 150–157. [Google Scholar] [CrossRef]
- Chen, X.; Batarseh, I. A Modified Three-Port Bidirectional LLC Resonant Converter for Renewable Power Systems. In Proceedings of the 2021 IEEE Energy Conversion Congress and Exposition (ECCE), Virtual, 10–14 October 2021; Institute of Electrical and Electronics Engineers Inc.: Piscataway, NJ, USA, 2021; pp. 2067–2073. [Google Scholar] [CrossRef]
- Wu, C.Y.; Lo, K.Y. Design of a Bidirectional CLLC Resonant DC-DC Converter for Energy Storage System. In Proceedings of the 2023 IEEE International Future Energy Electronics Conference (IFEEC), Sydney, Australia, 20–23 November 2023; Institute of Electrical and Electronics Engineers Inc.: Piscataway, NJ, USA, 2023; pp. 67–71. [Google Scholar] [CrossRef]
- He, J.; Chen, Y.; Lin, J.; Chen, J.; Cheng, L.; Wang, Y. Review of Modeling, Modulation, and Control Strategies for the Dual-Active-Bridge DC/DC Converter. Energies 2023, 16, 6646. [Google Scholar] [CrossRef]
- Kowstubha, P.; Krishnaveni, K.; Reddy, K.R. Review on different control strategies of LLC series resonant converters. In Proceedings of the 2014 International Conference on Advances in Electrical Engineering (ICAEE), Vellore, India, 9–11 January 2014. [Google Scholar] [CrossRef]
- Wei, Y. Review of Techniques for Resonant Converters with Wide Voltage Gain Range Applications. IEEE Trans. Transp. Electrif. 2023, 10, 5544–5569. [Google Scholar] [CrossRef]
- Wei, Y.; Luo, Q.; Mantooth, A. Overview of Modulation Strategies for LLC Resonant Converter. IEEE Trans. Power Electron. 2020, 35, 10423–10443. [Google Scholar] [CrossRef]
- Yang, B.; Ge, Q.; Zhao, L.; Zhou, Z. Analysis and Comparison of High Power Bidirectional Isolated DC/DC Converters for Power Electronic Transformer; Analysis and Comparison of High Power Bidirectional Isolated DC/DC Converters for Power Electronic Transformer. In Proceedings of the 2018 21st International Conference on Electrical Machines and Systems (ICEMS), Jeju, Republic of Korea, 7–10 October 2018. [Google Scholar]
- Zhao, B.; Song, Q.; Liu, W.; Sun, Y. Overview of dual-active-bridge isolated bidirectional DC-DC converter for high-frequency-link power-conversion system. IEEE Trans. Power Electron. 2014, 29, 4091–4106. [Google Scholar] [CrossRef]
- Mudiyanselage, G.A.; Keshmiri, N.; Emadi, A. A Review of DC-DC Resonant Converter Topologies and Control Techniques for Electric Vehicle Applications. IEEE Open J. Power Electron. 2023, 4, 945–964. [Google Scholar] [CrossRef]
- Apte, P.; Lin, S.; Frager, L.; Friebe, J. Design Considerations for a 50 kW Dual Bridge Series Resonant DC/DC Converter with Wide-Input Voltage Range for Solid-State Transformers. In Proceedings of the 2021 IEEE Energy Conversion Congress and Exposition (ECCE), Virtual, 10–14 October 2021; Institute of Electrical and Electronics Engineers Inc.: Piscataway, NJ, USA, 2021; pp. 1164–1170. [Google Scholar] [CrossRef]
- Li, X.; Bhat, A.K. Analysis and design of high-frequency isolated dual-bridge series resonant DC/DC converter. IEEE Trans. Power Electron. 2010, 25, 850–862. [Google Scholar] [CrossRef]
- Kundu, U.; Sikder, S.; Kumar, A.; Sensarma, P. Frequency domain analysis and design of isolated bidirectional series resonant DC-DC converter. In Proceedings of the 2016 IEEE International Conference on Power Electronics, Drives and Energy Systems (PEDES), Trivandrum, India, 14–17 December 2016; Institute of Electrical and Electronics Engineers Inc.: Piscataway, NJ, USA, 2017; pp. 1–6. [Google Scholar] [CrossRef]
- Sanchez, A.C.; Diaz, N.L.; Member, I.; Chamorro, H.R.; Bayona, J.F. A Novel Analysis and Design Assessment for Series Resonant Converters Operating Above Resonance. In Proceedings of the 2012 10th IEEE/IAS International Conference on Industry Applications, Fortaleza, Brazil, 5–7 November 2012. [Google Scholar]
- Khatua, M.; Afridi, K.K. Design and Control of a Dual-Bridge Series-Resonant Converter based Onboard EV Charger. In Proceedings of the 2022 IEEE 23rd Workshop on Control and Modeling for Power Electronics (COMPEL), Tel Aviv, Israel, 20–23 June 2022; Institute of Electrical and Electronics Engineers Inc.: Piscataway, NJ, USA, 2022. [Google Scholar] [CrossRef]
- Wang, H.; Saha, T.; Zane, R. Analysis and Design of a Series Resonant Converter with Constant Current Input and Regulated Output Current. In Proceedings of the 2017 IEEE Applied Power Electronics Conference and Exposition (APEC), Tampa, FL, USA, 26–30 March 2017; IEEE: Piscataway, NJ, USA, 2017. [Google Scholar]
- Sooksatra, S. Analysis of Asymmetrical Series Resonant Converter Using State-plane Diagram. In Proceedings of the 2019 International Conference on Power, Energy and Innovations (ICPEI), Pattaya, Thailand, 16–18 October 2019. [Google Scholar]
- Wu, L.; Wang, J.; Liu, Z.; Zhang, S. Analysis and design of LC series converter considering effect of parasitic components. In Proceedings of the 2012 International Conference on Computer Distributed Control and Intelligent Environmental Monitoring, Zhangjiajie, China, 5–6 March 2012; pp. 126–130. [Google Scholar] [CrossRef]
- Jia, P.; Yuan, Y. Analysis and implementation of LC series resonant converter with secondary side clamp diodes under DCM operation for high step-up applications. J. Power Electron. 2019, 19, 363–379. [Google Scholar] [CrossRef]
- Borkar, S.S.; Guruswamy, K.P. Performance Analysis of Half-Bridge LC Resonant Converter for UPS Battery Charging Application. In Proceedings of the 2023 International Conference on Recent Trends in Electronics and Communication (ICRTEC), Mysore, India, 10–11 February 2023; Institute of Electrical and Electronics Engineers Inc.: Piscataway, NJ, USA, 2023. [Google Scholar] [CrossRef]
- Sadangi, B.V.; Chaturvedi, P.; Patro, S.K.; Nema, S. Soft Starting Algorithm to minimize the transient inductor current and transient capacitor voltage in series resonant Dual Active Bridge Converter. In Proceedings of the 2022 IEEE 2nd International Conference on Sustainable Energy and Future Electric Transportation (SeFeT), Hyderabad, India, 4–6 August 2022; Institute of Electrical and Electronics Engineers Inc.: Piscataway, NJ, USA, 2022. [Google Scholar] [CrossRef]
- Wang, S.; Zheng, Z.; Li, Y. Optimal Design Methodology of Bidirectional Dual Active Bridge Series Resonant DC/DC Converter. In Proceedings of the 2019 IEEE 13th International Conference on Power Electronics and Drive Systems (PEDS), Toulouse, France, 9–12 July 2019. [Google Scholar]
- Kundu, U.; Pant, B.; Sikder, S.; Kumar, A.; Sensarma, P. Frequency Domain Analysis and Optimal Design of Isolated Bidirectional Series Resonant Converter. IEEE Trans. Ind. Appl. 2018, 54, 356–366. [Google Scholar] [CrossRef]
- Fang, Z.; Duan, S.; Chen, C.; Chen, X.; Zhang, J. Optimal design method for LLC resonant converter with wide range output voltage. In Proceedings of the 2013 Twenty-Eighth Annual IEEE Applied Power Electronics Conference and Exposition (APEC), Long Beach, CA, USA, 17–21 March 2013; pp. 2106–2111. [Google Scholar] [CrossRef]
- Lu, B.; Liu, W.; Liang, Y.; Lee, F.C.; Wyk, J.D.V. Optimal design methodology for LLC resonant converter. In Proceedings of the Twenty-First Annual IEEE Applied Power Electronics Conference and Exposition, Dallas, TX, USA, 19–23 March 2006; pp. 533–538. [Google Scholar] [CrossRef]
- Xu, M.; Ji, J.; Li, Z.; Wang, Y.; Du, J.; Ma, H. Design methodology of LLC converters based on simplified mode analysis for wide output range. In Proceedings of the 2016 IEEE 25th International Symposium on Industrial Electronics (ISIE), Santa Clara, CA, USA, 8–10 June 2016; Institute of Electrical and Electronics Engineers Inc.: Piscataway, NJ, USA, 2016; pp. 465–470. [Google Scholar] [CrossRef]
- Wei, Y.; Mantooth, A. Optimal design automation tool for LLC converter based on time domain modelling. In Proceedings of the 2021 IEEE Design Methodologies Conference (DMC), Virtual, 14–15 July 2021; Institute of Electrical and Electronics Engineers Inc.: Piscataway, NJ, USA, 2021. [Google Scholar] [CrossRef]
- Lin, F.; Zhang, X.; Huang, J. Resonant Parameter Design for the LLC-Type Dual Active Bridge Converter with Considerations of Voltage Conversion Gain and Stability in the Cascaded System. In Proceedings of the APEC 2020: Thirty-Fifth Annual IEEE Applied Power Electronics Conference and Exposition, New Orleans, LA, USA, 15–19 March 2020. [Google Scholar]
- Hillers, A.; Christen, D.; Biela, J. Design of a Highly Efficient Bidirectional Isolated LLC Resonant Converter. In Proceedings of the 2012 15th International Power Electronics and Motion Control Conference, Novi Sad, Serbia, 4–6 September 2012. [Google Scholar]
- Lin, R.L.; Lin, C.W. Design criteria for resonant tank of LLC DC-DC resonant converter. In Proceedings of the IECON 2010-36th Annual Conference on IEEE Industrial Electronics Society, Glendale, AZ, USA, 7–10 November 2010; pp. 427–432. [Google Scholar] [CrossRef]
- Simone, S.D.; Adragna, C.; Spini, C.; Gattavari, G. Design-oriented steady state analysis of LLC resonant converters based on FHA. In Proceedings of the International Symposium on Power Electronics, Electrical Drives, Automation and Motion 2006, Taormina, Italy, 23–26 May 2006; pp. 200–207. [Google Scholar] [CrossRef]
- Kumar Jaiswal, V.; Ghoshal, A. A design methodology of bidirectional LLC resonant converter for energy storage systems. In Proceedings of the ITEC Asia-Pacific 2019: 2019 IEEE Transportation Electrification Conference and Expo, Asia-Pacific: New Paradigm Shift, Sustainable E-Mobility, International Convention Center, Jeju, Republic of Korea, 8–10 May 2019. [Google Scholar]
- Tan, K.; Yu, R.; Guo, S.; Huang, A.Q. Optimal design methodology of bidirectional LLC resonant DC/DC converter for solid state transformer application. In Proceedings of the IECON 2014–40th Annual Conference of the IEEE Industrial Electronics Society, Dallas, TX, USA, 29 October–1 November 2014; Institute of Electrical and Electronics Engineers Inc.: Piscataway, NJ, USA, 2014; pp. 1657–1664. [Google Scholar] [CrossRef]
- Bhuvela, P.; Taghavi, H.; Nasiri, A. Design Methodology for a Medium Voltage Single Stage LLC Resonant Solar PV Inverter. In Proceedings of the 2023 12th International Conference on Renewable Energy Research and Applications (ICRERA), Oshawa, ON, Canada, 29 August–1 September 2023; Institute of Electrical and Electronics Engineers Inc.: Piscataway, NJ, USA, 2023; pp. 556–562. [Google Scholar] [CrossRef]
- Deng, J.; Li, S.; Hu, S.; Mi, C.C.; Ma, R. Design methodology of LLC resonant converters for electric vehicle battery chargers. IEEE Trans. Veh. Technol. 2014, 63, 1581–1592. [Google Scholar] [CrossRef]
- Barnawal, P.J.; Lal, V.N.; Singh, R.K. Analysis and Design of LLC Based Dual Half Active Bridge Resonant Converter. In Proceedings of the 2022 IEEE Energy Conversion Congress and Exposition (ECCE), Detroit, MI, USA, 9–13 October 2022; Institute of Electrical and Electronics Engineers Inc.: Piscataway, NJ, USA, 2022. [Google Scholar] [CrossRef]
- Wen, H.; Jiao, D.; Lai, J.S. Optimal Design Methodology for High Frequency GaN Based Step-up LLC Resonant Converter. In Proceedings of the 2019 IEEE 4th International Future Energy Electronics Conference (IFEEC), Singapore, 25–28 November 2019; Institute of Electrical and Electronics Engineers Inc.: Piscataway, NJ, USA, 2019. [Google Scholar] [CrossRef]
- Abdel-Rahman, S. Resonant LLC Converter: Operation and Design 250W 33Vin 400Vout Design Example; Infineon Technologies North America (IFNA) Corp.: Houston, TX, USA, 2012. [Google Scholar]
- Liao, Y.; Liang, J.; Yang, D.; Chen, K.; Li, J.; Yan, Y. Optimal Design Method of LLC-DAB Hybrid Bidirectional DC-DC Converter Based on Multi-objective Particle Swarm Optimization. In Proceedings of the 2022 4th International Conference on Smart Power & Internet Energy Systems (SPIES), Beijing, China, 27–30 October 2022; Institute of Electrical and Electronics Engineers Inc.: Piscataway, NJ, USA, 2022; pp. 250–255. [Google Scholar] [CrossRef]
- Bender, L.A.; Waltrich, G. An Algorithmic Approach to Optimize LLC Resonant Converter Design. In Proceedings of the 2023 IEEE 8th Southern Power Electronics Conference (SPEC), Florianopolis, Brazil, 26–29 November 2023; Institute of Electrical and Electronics Engineers Inc.: Piscataway, NJ, USA, 2023. [Google Scholar] [CrossRef]
- Liu, Z.; Sun, K.; Yi, Z. Optimal Design of Full-Bridge Three-Level LLC Converter Based on Time-Domain Analysis. In Proceedings of the 2023 IEEE 2nd International Power Electronics and Application Symposium (PEAS), Guangzhou, China, 10–13 November 2023; Institute of Electrical and Electronics Engineers Inc.: Piscataway, NJ, USA, 2023; pp. 374–379. [Google Scholar] [CrossRef]
- Khoobroo, E.; Ashrafinia, B.; Akhbari, M. Optimal design of LLC resonant converter with improved controllability. IEEE Comput. Soc. 2014, 5, 396–401. [Google Scholar] [CrossRef]
- Jung, J.H.; Kim, H.S.; Ryu, M.H.; Baek, J.W. Design methodology of bidirectional CLLC resonant converter for high-frequency isolation of DC distribution systems. IEEE Trans. Power Electron. 2013, 28, 1741–1755. [Google Scholar] [CrossRef]
- Huang, J.; Zhang, X.; Shuai, Z.; Zhang, X.; Wang, P.; Koh, L.H.; Xiao, J.; Tong, X. Robust circuit parameters design for the CLLC-type DC transformer in the hybrid AC-DC microgrid. IEEE Trans. Ind. Electron. 2019, 66, 1906–1918. [Google Scholar] [CrossRef]
- Jo, C.H.; Kim, S.M.; Choe, M.Y.; Kang, S.J.; Kim, D.H. Design Methodology of Bidirectional Resonant CLLC Converter with Dual Resonant Frequencies for Wide Voltage Range. In Proceedings of the 2023 11th International Conference on Power Electronics and ECCE Asia (ICPE 2023-ECCE Asia), Jeju, Republic of Korea, 22–25 May 2023; Institute of Electrical and Electronics Engineers Inc.: Piscataway, NJ, USA, 2023; pp. 1986–1991. [Google Scholar] [CrossRef]
- Ye, Q.; Guan, Y.; Wang, Y.; Xu, D. A High-Efficiency and High-Power-Density GaN HEMT Based CLLC Resonant Converter for Energy Storage Systems. In Proceedings of the 2021 IEEE 12th Energy Conversion Congress & Exposition-Asia (ECCE-Asia), Singapore, 24–27 May 2021; Institute of Electrical and Electronics Engineers Inc.: Piscataway, NJ, USA, 2021; pp. 638–643. [Google Scholar] [CrossRef]
- Ge, J.; Ma, H. A Parameter Design Method of CLLC Resonant Converter Based on Time-Domain Model. IEEE Comput. Soc. 2020, 10, 2883–2888. [Google Scholar] [CrossRef]
- Dhakar, A.K.; Soni, A.; Bansal, H.O. Design and Control of a Bi-directional CLLC Resonant Converter for Low voltage Energy Storage Systems. In Proceedings of the 2020 IEEE 17th India Council International Conference (INDICON), New Delhi, India, 10–13 December 2020; Institute of Electrical and Electronics Engineers Inc.: Piscataway, NJ, USA, 2020. [Google Scholar] [CrossRef]
- Lv, Z.; Yan, X.; Fang, Y.; Sun, L. Mode analysis and optimum design of bidirectional CLLC resonant converter for high-frequency isolation of DC distribution systems. In Proceedings of the 2015 IEEE Energy Conversion Congress and Exposition (ECCE), Montreal, QC, Canada, 20–24 September 2015; Institute of Electrical and Electronics Engineers Inc.: Piscataway, NJ, USA, 2015; pp. 1513–1520. [Google Scholar] [CrossRef]
- Wang, Y.; Zhao, W.; Liu, B.; Li, W. Optimal Design of Resonant Network for Resonant Converter. IEEE Trans. Ind. Appl. 2022, 58, 7469–7478. [Google Scholar] [CrossRef]
- Wang, Y.; Zhao, W.; Liu, B. Optimal Design of Resonant Network for CLLC Resonant Converter. In Proceedings of the IEEE 4th International Electrical and Energy Conference (CIEEC 2021), Wuhan, China, 28–30 May 2021; Institute of Electrical and Electronics Engineers Inc.: Piscataway, NJ, USA, 2021. [Google Scholar] [CrossRef]
- Zhang, S.; Li, L. Analysis and optimal parameter selection of Full bridge bidirectional CLLC converter for EV. In Proceedings of the 2021 IEEE 16th Conference on Industrial Electronics and Applications (ICIEA), Chengdu, China, 1–4 August 2021; Institute of Electrical and Electronics Engineers Inc.: Piscataway, NJ, USA, 2021; pp. 751–756. [Google Scholar] [CrossRef]
- Zhao, B.; Zhang, X.; Huang, J. Design of CLLC Resonant Converters for the Hybrid AC/DC Microgrid Applications. In Proceedings of the 2018 IEEE International Power Electronics and Application Conference and Exposition (PEAC), Crowne Plaza Shenzhen Longgang City Centre, Shenzhen, China, 4–7 November 2018. [Google Scholar]
- Zhao, L.; Pei, Y.; Wang, L.; Pei, L.; Li, Z.; Cao, W. An RMS Current Oriented Optimal Design Method for Bidirectional CLLC-DCX Converter. In Proceedings of the 2023 IEEE 2nd International Power Electronics and Application Symposium (PEAS), Guangzhou, China, 10–13 November 2023; IEEE: Piscataway, NJ, USA, 2023; pp. 1234–1238. [Google Scholar] [CrossRef]
- Min, J.; Ordonez, M. Asymmetric Parameters Design for Bidirectional Resonant CLLC Battery Charger. In Proceedings of the 2020 IEEE Energy Conversion Congress and Exposition (ECCE), Detroit, MI, USA, 11–15 October 2020; Institute of Electrical and Electronics Engineers Inc.: Piscataway, NJ, USA, 2020; pp. 5375–5379. [Google Scholar] [CrossRef]
- Wang, L.; Luo, Q.; Luo, T. A Time-Domain Optimization Design Methodology for CLLC Resonant Converter. In Proceedings of the 2021 IEEE 1st International Power Electronics and Application Symposium (PEAS), Shanghai, China, 12–15 November 2021; Institute of Electrical and Electronics Engineers Inc.: Piscataway, NJ, USA, 2021. [Google Scholar] [CrossRef]
- Zhao, B.; Zhang, X.; Huang, J. AI algorithm-based two-stage optimal design methodology of high-efficiency CLLC resonant converters for the hybrid AC-DC microgrid applications. IEEE Trans. Ind. Electron. 2019, 66, 9756–9767. [Google Scholar] [CrossRef]
- Lin, F.; Zhang, X.; Li, X. Design Methodology for Symmetric CLLC Resonant DC Transformer Considering Voltage Conversion Ratio, System Stability, and Efficiency. IEEE Trans. Power Electron. 2021, 36, 10157–10170. [Google Scholar] [CrossRef]
- Lin, F.; Zhang, X.; Li, X. Two-Objective-Oriented Resonant Parameter Design for Symmetrical CLLC Dual Active Bridge Converter with Swarm Intelligence. In Proceedings of the 2020 IEEE 9th International Power Electronics and Motion Control Conference (IPEMC2020-ECCE Asia), Nanjing, China, 29 November–2 December 2020; Institute of Electrical and Electronics Engineers Inc.: Piscataway, NJ, USA, 2020; pp. 1816–1820. [Google Scholar] [CrossRef]
- Zhao, L.; Pei, Y.; Wang, L.; Pei, L.; Cao, W.; Gan, Y. Design Methodology of Bidirectional Resonant CLLC Charger for Wide Voltage Range Based on Parameter Equivalent and Time Domain Model. IEEE Trans. Power Electron. 2022, 37, 12041–12064. [Google Scholar] [CrossRef]
- Kang, F.; Liu, Z.; Zhang, X.; Wen, Z.; Yi, H.; Zhuo, F. Research on Control Strategy of an Isolated Two-Stage Battery Storage Converter. In Proceedings of the 2023 IEEE/IAS Industrial and Commercial Power System Asia (I&CPS Asia), Chongqing, China, 14–16 July 2023; Institute of Electrical and Electronics Engineers (IEEE): Piscataway, NJ, USA, 2023; pp. 737–742. [Google Scholar] [CrossRef]
- Singh, S.; Samanta, S. Modeling and Optimal Control of Modified Pulse Width Modulation on Series Resonant-based Dual Active Bridge. IEEE J. Emerg. Sel. Top. Ind. Electron. 2023, 5, 908–916. [Google Scholar] [CrossRef]
Disclaimer/Publisher’s Note: The statements, opinions and data contained in all publications are solely those of the individual author(s) and contributor(s) and not of MDPI and/or the editor(s). MDPI and/or the editor(s) disclaim responsibility for any injury to people or property resulting from any ideas, methods, instructions or products referred to in the content. |
© 2024 by the authors. Licensee MDPI, Basel, Switzerland. This article is an open access article distributed under the terms and conditions of the Creative Commons Attribution (CC BY) license (https://creativecommons.org/licenses/by/4.0/).








