MRT-YOLO: A Fine-Grained Feature-Based Method for Object Detection
Abstract
1. Introduction
- (1)
- We improved the YOLOv8 backbone network by introducing a multi-scale feature fusion module, enhancing the network’s feature extraction capabilities and global modeling capacity.
- (2)
- The integration of multi-scale feature fusion modules with the BiFPN structure [10] enhances the richness and expressiveness of features.
- (3)
- A detection structure suitable for dense small objects has been designed, effectively improving the model’s detection performance for small-scale targets.
2. Related Work
2.1. YOLO Algorithm
2.2. Multi-Scale Object Detection
2.3. Object Detection in Autonomous Driving
3. Materials and Methods
3.1. Overview of Algorithms
3.2. Downsampling Module
3.3. Channel Attention Mechanism
3.4. Backbone Multi-Scale Feature Fusion Module
3.5. Multi-Scale Small Object Detection Structure
3.6. MRT-YOLO Network Structure
4. Results
4.1. Dataset
4.2. Experimental Environment
4.3. Evaluation Metrics
4.4. Analysis of Ablation Experiments
5. Discussion
6. Conclusions
Author Contributions
Funding
Data Availability Statement
Conflicts of Interest
References
- Kuderer, M.; Gulati, S.; Burgard, W. Learning driving styles for autonomous vehicles from demonstration. In Proceedings of the 2015 IEEE International Conference on Robotics and Automation (ICRA), Seattle, WA, USA, 26–30 May 2015; pp. 2641–2646. [Google Scholar]
- Ren, S.; He, K.; Girshick, R.; Sun, J. Faster R-CNN: Towards Real-Time Object Detection with Region Proposal Networks. Adv. Neural Inf. Process. Syst. 2015, 28, 91–99. [Google Scholar] [CrossRef] [PubMed]
- Liu, W.; Anguelov, D.; Erhan, D.; Szegedy, C.; Reed, S.; Fu, C.Y.; Berg, A.C. SSD: Single Shot MultiBox Detector. In Proceedings of the 2016 European Conference on Computer Vision (ECCV), Amsterdam, The Netherlands, 11–14 October 2016; Springer: Cham, Switzerland, 2016; pp. 21–37. [Google Scholar]
- Duan, K.; Bai, S.; Xie, L.; Qi, H.; Huang, Q.; Tian, Q. Centernet: Keypoint triplets for object detection. In Proceedings of the 2019 IEEE/CVF International Conference on Computer Vision (ICCV), Seoul, Republic of Korea, 27 October–2 November 2019; IEEE: Piscataway, NJ, USA, 2019; pp. 6568–6577. [Google Scholar]
- Wang, W.; Han, Z.; Gadekallu, T.R.; Raza, S.; Tanveer, J.; Su, C. Lightweight Blockchain-Enhanced Mutual Authentication Protocol for UAVs. IEEE Internet Things J. 2024, 11, 9547–9557. [Google Scholar] [CrossRef]
- Li, R.; Wang, Z.; Fang, L.; Peng, C.; Wang, W.; Xiong, H. Efficient Blockchain-Assisted Distributed Identity-Based Signature Scheme for Integrating Consumer Electronics in Metaverse. IEEE Trans. Consum. Electron. 2024, 70, 3770–3780. [Google Scholar] [CrossRef]
- Zhu, X.; Su, W.; Lu, L.; Li, B.; Wang, X.; Dai, J. Deformable DETR: Deformable Transformers for End-to-End Object Detection. arXiv 2020, arXiv:2004.10934. [Google Scholar] [CrossRef]
- Vaswani, A.; Shazeer, N.; Parmar, N.; Uszkoreit, J.; Jones, L.; Gomez, A.N.; Kaiser, Ł.; Polosukhin, I. Attention is all you need. arXiv 2017, arXiv:1706.03762. [Google Scholar]
- Gupta, A.; Illanko, K.; Fernando, X. Object detection for connected and autonomous vehicles using CNN with attention mechanism. In Proceedings of the 2022 IEEE 95th Vehicular Technology Conference: (VTC2022-Spring), Helsinki, Finland, 19–22 June 2022; pp. 1–6. [Google Scholar]
- Tan, M. BiFPN: Efficient Feature Pyramid for Object Detection. In Proceedings of the IEEE/CVF Conference on Computer Vision and Pattern Recognition (CVPR), Seattle, WA, USA, 14–19 June 2020; pp. 11287–11296. [Google Scholar]
- Redmon, J.; Divvala, S.; Girshick, R.; Farhadi, A. You only look once: Unified, real-time object detection. In Proceedings of the IEEE Conference on Computer Vision and Pattern Recognition (CVPR), Las Vegas, NV, USA, 27–30 June 2016; IEEE: Piscataway, NJ, USA, 2016; pp. 779–788. [Google Scholar]
- Redmon, J.; Farhadi, A. YOLO9000: Better, faster, stronger. In Proceedings of the IEEE Conference on Computer Vision and Pattern Recognition (CVPR), Honolulu, HI, USA, 21–26 July 2017; IEEE: Piscataway, NJ, USA, 2017; pp. 7263–7271. [Google Scholar]
- Redmon, J.; Farhadi, A. YOLOv3: An incremental improvement. arXiv 2018, arXiv:1804.02767. [Google Scholar]
- Bochkovskiy, A.; Wang, C.-Y.; Liao, H.-Y.M. YOLOv4: Optimal speed and accuracy of object detection. arXiv 2020, arXiv:2004.10934. [Google Scholar]
- Ultralytics. YOLOv5: V6.0. 12 October 2021. Available online: https://github.com/ultralytics/yolov5 (accessed on 1 September 2024).
- Li, C.; Li, L.; Jiang, H.; Weng, K.; Geng, Y.; Li, L.; Ke, Z.; Li, Q.; Cheng, M.; Nie, W.; et al. YOLOv6: A single-stage object detection framework for industrial applications. arXiv 2022, arXiv:2209.02976. [Google Scholar]
- Wang, C.-Y.; Bochkovskiy, A.; Liao, H.-Y.M. YOLOv7: Trainable bag-of-freebies sets new state-of-the-art for real-time object detectors. arXiv 2022, arXiv:2207.02696. [Google Scholar]
- Li, Y.; Wu, C.-Y.; Fan, H.; Mangalam, K.; Xiong, B.; Malik, J.; Feichtenhofer, C. MViTv2: Enhanced Multiscale Vision Transformers for Object Detection. In Proceedings of the IEEE/CVF International Conference on Computer Vision and Pattern Recognition (CVPR), Montreal, QC, Canada, 10–17 October 2021; pp. 1234–1243. [Google Scholar]
- Zhang, C.; Liu, L.; Zang, X.; Liu, F.; Zhang, H.; Song, X.; Chen, J. DETR++: Improved End-to-End Object Detection with Transformers. arXiv 2021, arXiv:2105.15075. [Google Scholar]
- Tan, M.; Le, Q.V. EfficientDet: Scalable and Efficient Object Detection. In Proceedings of the IEEE/CVF Conference on Computer Vision and Pattern Recognition (CVPR), Seattle, WA, USA, 14–19 June 2020; pp. 10781–10790. [Google Scholar]
- Zhang, K.; Wu, Y.; Wang, J.; Wang, Y.; Wang, Q. Semantic Context-Aware Network for Multiscale Object Detection in Remote Sensing Images. IEEE Geosci. Remote Sens. Lett. 2021, 19, 1–5. [Google Scholar] [CrossRef]
- He, Q.; Xu, A.; Ye, Z.; Zhou, W.; Cai, T. Object detection based on lightweight YOLOX for autonomous driving. Sensors 2023, 23, 7596. [Google Scholar] [CrossRef] [PubMed]
- Ding, P.; Qian, H.; Chu, S. SlimYOLOv4: Lightweight object detector based on YOLOv4. J. Real-Time Image Proc. 2022, 19, 487–498. [Google Scholar] [CrossRef]
- Li, J.; Ye, J. Edge-YOLO: Lightweight Infrared Object Detection Method Deployed on Edge Devices. Appl. Sci. 2023, 13, 4402. [Google Scholar] [CrossRef]
- Li, J.; Xu, R.; Ma, J.; Zou, Q.; Ma, J.; Yu, H. Domain adaptive object detection for autonomous driving under foggy weather. In Proceedings of the IEEE/CVF Winter Conference on Applications of Computer Vision (WACV), Waikoloa, HI, USA, 2–7 January 2023; pp. 1–10. [Google Scholar]
- Mahaur, B.; Mishra, K.K. Small-object detection based on YOLOv5 in autonomous driving systems. Pattern Recogn. Lett. 2023, 168, 115–122. [Google Scholar] [CrossRef]
- Lv, W.; Zhao, Y.; Chang, Q.; Huang, K.; Wang, G.; Liu, Y. RT-DETRv2: Improved Baseline with Bag-of-Freebies for Real-Time Detection Transformer. arXiv 2024, arXiv:2407.17140. [Google Scholar]
- Shin, H.C.; Roth, H.R.; Gao, M.; Lu, L.; Xu, Z.; Nogues, I.; Yao, J.; Mollura, D.; Summers, R.M. Deep Convolutional Neural Networks for Computer-Aided Detection: CNN Architectures, Dataset Characteristics and Transfer Learning. IEEE Trans. Med. Imaging 2016, 35, 1285–1298. [Google Scholar] [CrossRef] [PubMed]
- Sunkara, R.; Luo, T. No More Strided Convolutions or Pooling: A New CNN Building Block for Low-Resolution Images and Small Objects. In Proceedings of the Joint European Conference on Machine Learning and Knowledge Discovery in Databases, Grenoble, France, 7 August 2022; pp. 443–459. [Google Scholar]
- Hu, J.; Shen, L.; Sun, G. Squeeze-and-Excitation Networks. In Proceedings of the IEEE/CVF Conference on Computer Vision and Pattern Recognition (CVPR), Salt Lake City, UT, USA, 18–23 June 2018; pp. 7132–7141. [Google Scholar]
- Lin, M.; Chen, Q.; Yan, S. Network in network. arXiv 2013, arXiv:1312.4400. [Google Scholar]
- Elfwing, S.; Uchibe, E.; Doya, K. Sigmoid-weighted linear units for neural network function approximation in reinforcement learning. Neural Netw. 2018, 107, 3–11. [Google Scholar] [CrossRef] [PubMed]
- Lin, T.Y.; Dollár, P.; Girshick, R.; He, K.; Hariharan, B.; Belongie, S. Feature Pyramid Networks for Object Detection. In Proceedings of the IEEE/CVF Conference on Computer Vision and Pattern Recognition (CVPR), Honolulu, HI, USA, 21–26 July 2017; pp. 2117–2125. [Google Scholar]
- Liu, M.; Zhu, X.; Huang, J. Path Aggregation Network for Instance Segmentation. In Proceedings of the IEEE/CVF Conference on Computer Vision and Pattern Recognition (CVPR), Salt Lake City, UT, USA, 18–23 June 2018; pp. 8759–8768. [Google Scholar]
- Zheng, Z.; Zhang, H.; Zhang, C.; Ren, X.; Sun, J. Distance-IoU Loss: Faster and Better Learning for Bounding Box Regression. In Proceedings of the IEEE/CVF Conference on Computer Vision and Pattern Recognition (CVPR), Seattle, WA, USA, 14–19 June 2020; pp. 399–408. [Google Scholar]
- Zhang, T.; Sun, K.; Zuo, W. Distribution Focal Loss for Dense Object Detection. In Proceedings of the IEEE/CVF International Conference on Computer Vision (ICCV), Seoul, Republic of Korea, 27 October–2 November 2019; pp. 6837–6846. [Google Scholar]
- Zheng, X.; Zhu, X.; Ma, H.; Wang, W.; Li, H.; Wang, X. VisDrone: A Synthetic Benchmark for Vision-based Object Detection and Tracking. arXiv 2020, arXiv:2004.03295. [Google Scholar]
- Yu, F.; Koltun, V.; Funkhouser, T. BDD100K: A Diverse Driving Video Database with Scalable Annotation Tooling. arXiv 2020, arXiv:2005.02855. [Google Scholar]













| SPD-Conv | Channel Attention | Feature Fusion MFL | Multi-Scale Small Object Detection Structure | mAP@.5(%) | Precision | Recall | GFLOPs | |
|---|---|---|---|---|---|---|---|---|
| 0 | 52.9 | 72.5 | 48.7 | 28.7 | ||||
| 1 | ✓ | 53.3 | 71.9 | 49.1 | 29.6 | |||
| 2 | ✓ | 53.2 | 70.7 | 49.4 | 30.2 | |||
| 3 | ✓ | 54.2 | 69.4 | 51.3 | 33.8 | |||
| 4 | ✓ | 55.1 | 70.2 | 52.4 | 37.4 | |||
| 5 | ✓ | ✓ | 53.9 | 70.4 | 49.9 | 31.1 | ||
| 6 | ✓ | ✓ | ✓ | 54.8 | 69.1 | 52.3 | 34.6 | |
| 7 | ✓ | ✓ | ✓ | ✓ | 56.2 | 70.6 | 53.1 | 42.6 |
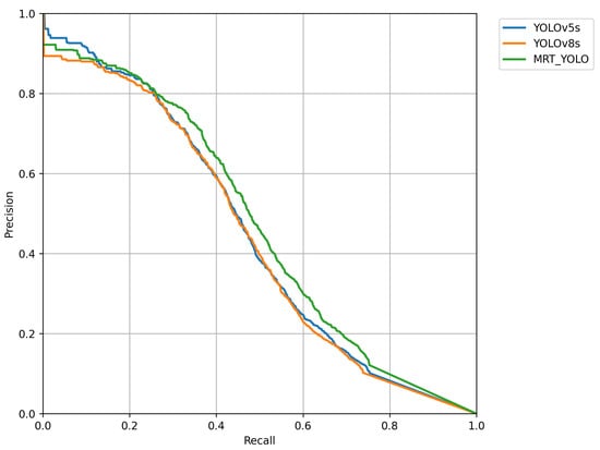
| Model | Precision | Recall | mAP@.5(%) | Speed | FPS | GPU |
|---|---|---|---|---|---|---|
| YOLOv5s | 51.7 | 36.3 | 45.0 | 32.7ms | 30.6 | Tesla P100 |
| YOLOv8s | 51.6 | 37.0 | 45.2 | 32.4ms | 30.9 | Tesla P100 |
| MRT-YOLO | 51.3 | 42.6 | 47.8 | 41.2ms | 24.3 | Tesla P100 |
Disclaimer/Publisher’s Note: The statements, opinions and data contained in all publications are solely those of the individual author(s) and contributor(s) and not of MDPI and/or the editor(s). MDPI and/or the editor(s) disclaim responsibility for any injury to people or property resulting from any ideas, methods, instructions or products referred to in the content. |
© 2024 by the authors. Licensee MDPI, Basel, Switzerland. This article is an open access article distributed under the terms and conditions of the Creative Commons Attribution (CC BY) license (https://creativecommons.org/licenses/by/4.0/).
Share and Cite
Yan, H.; Gao, F.; Zhao, J.; Zhang, X. MRT-YOLO: A Fine-Grained Feature-Based Method for Object Detection. Electronics 2024, 13, 4687. https://doi.org/10.3390/electronics13234687
Yan H, Gao F, Zhao J, Zhang X. MRT-YOLO: A Fine-Grained Feature-Based Method for Object Detection. Electronics. 2024; 13(23):4687. https://doi.org/10.3390/electronics13234687
Chicago/Turabian StyleYan, Haoran, Feng Gao, Jiajia Zhao, and Xing Zhang. 2024. "MRT-YOLO: A Fine-Grained Feature-Based Method for Object Detection" Electronics 13, no. 23: 4687. https://doi.org/10.3390/electronics13234687
APA StyleYan, H., Gao, F., Zhao, J., & Zhang, X. (2024). MRT-YOLO: A Fine-Grained Feature-Based Method for Object Detection. Electronics, 13(23), 4687. https://doi.org/10.3390/electronics13234687

