Effect of Coupling Impedance on Stability Assessment of Grid-Forming Converters Under Various Grid Conditions
Abstract
1. Introduction
2. Small-Signal Modeling and Impedance Characteristics of GFM Converter
2.1. Small-Signal Impedance Modeling of GFM
2.2. Impedance Frequency Scan Verification
3. Analysis of Factors Affecting Coupling Impedance
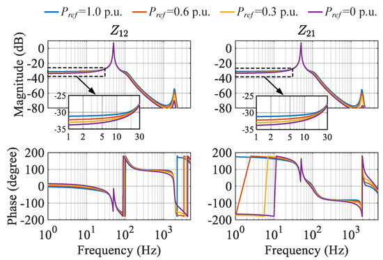
3.1. Effect of Steady-State Operating Point on Coupling Impedance
3.2. Effect of Active Power Loop on Coupling Impedance
3.3. Effect of Reactive Power Loop on Coupling Impedance
- (1)
- The reactive power loop gain GQ is the most sensitive to frequency coupling, and the larger the parameters nq and ωq, the greater the degree of frequency coupling;
- (2)
- The changes in the steady-state operating points also influence frequency coupling, with the degree of frequency coupling gradually increasing as the power level Pref rises;
- (3)
- The variations in the active power loop gain GP have minimal impact on frequency coupling, with only slight effects observed near the fundamental frequency.
4. Stability Analysis and Simulation Validation
4.1. Stability Analysis and Simulation Validation under Different Steady-State Operating Points
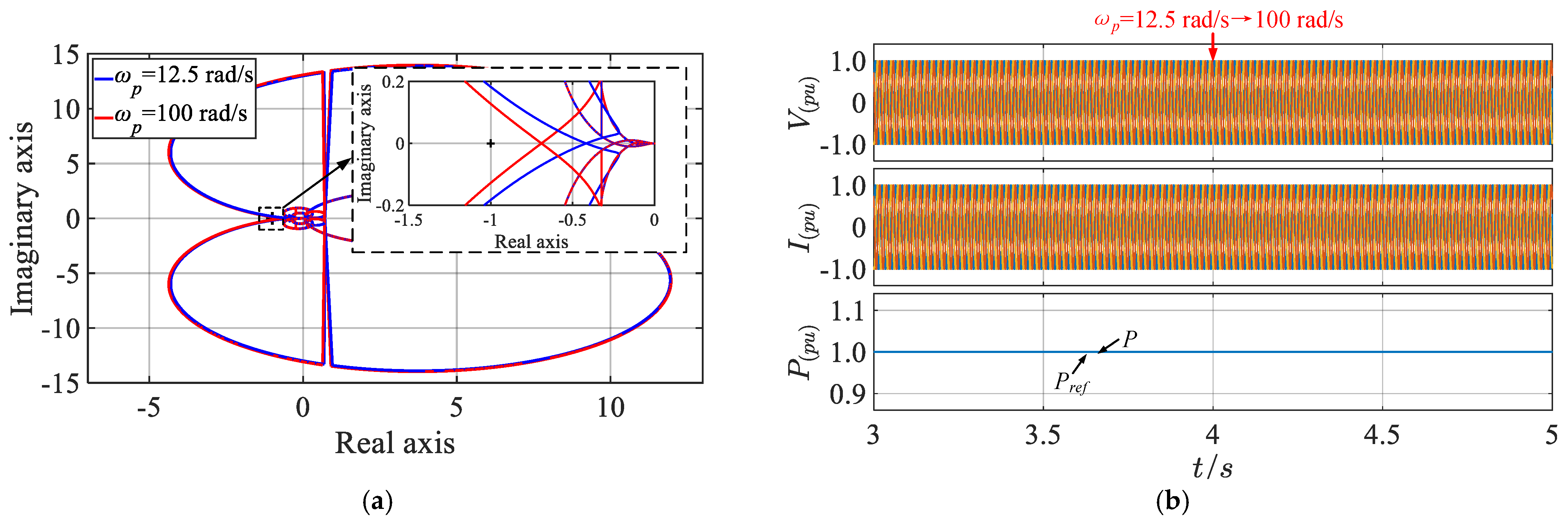
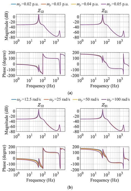
4.2. Stability Analysis and Simulation Validation under Different Active Power Loop Parameters
4.3. Stability Analysis and Simulation Validation under Different Reactive Power Loop Parameters
5. Conclusions
Author Contributions
Funding
Data Availability Statement
Conflicts of Interest
References
- Bahrani, B.; Ravanji, M.H.; Kroposki, B.; Ramasubramanian, D.; Guillaud, X.; Prevost, T.; Cutululis, N.-A. Grid-Forming Inverter-Based Resource Research Landscape: Understanding the Key Assets for Renewable-Rich Power Systems. IEEE Power Energy Mag. 2024, 22, 18–29. [Google Scholar] [CrossRef]
- Pan, D.; Wang, X.; Liu, F.; Shi, R. Transient Stability of Voltage-Source Converters With Grid-Forming Control: A Design-Oriented Study. IEEE J. Emerg. Sel. Top. Power Electron. 2020, 8, 1019–1033. [Google Scholar] [CrossRef]
- Rosso, R.; Wang, X.; Liserre, M.; Lu, X.; Engelken, S. Grid-Forming Converters: Grid-Synchronization, and Future Trends—A Review. IEEE Open J. Ind. Appl. 2021, 2, 93–109. [Google Scholar] [CrossRef]
- Xin, H.; Huang, L.; Zhang, L.; Wang, Z.; Hu, J. Synchronous instability mechanism of p-f droop-controlled voltage source converter caused by current saturation. IEEE Trans. Power Syst. 2016, 31, 5206–5207. [Google Scholar] [CrossRef]
- Chen, J.; O’Donnell, T. Parameter Constraints for Virtual Synchronous Generator Considering Stability. IEEE Trans. Power Syst. 2019, 34, 2479–2481. [Google Scholar] [CrossRef]
- Huang, L.; Xin, H.; Wang, Z.; Wu, K.; Wang, H.; Hu, J.; Lu, C. A Virtual Synchronous Control for Voltage-Source Converters Utilizing Dynamics of DC-Link Capacitor to Realize Self-Synchronization. IEEE J. Emerg. Sel. Top. Power Electron. 2017, 5, 1565–1577. [Google Scholar] [CrossRef]
- Johnson, B.B.; Dhople, S.V.; Hamadeh, A.O.; Krein, P.T. Synchronization of parallel single-phase inverters with virtual oscillator control. IEEE Trans. Power Electron. 2014, 29, 6124–6138. [Google Scholar] [CrossRef]
- Li, Y.; Vilathgamuwa, D.; Loh, P.C. Design, analysis, and real-time testing of a controller for multibus microgrid system. IEEE Trans. Power Electron. 2004, 19, 1195–1204. [Google Scholar] [CrossRef]
- Fan, B.; Liu, T.; Zhao, F.; Wu, H.; Wang, X. Review of Current-Limiting Control of Grid-Forming Inverters Under Symmetrical Disturbances. IEEE Open J. Power Electron. 2022, 3, 955–969. [Google Scholar] [CrossRef]
- Liao, Y.; Wang, X.; Blaabjerg, F. Passivity-Based Analysis and Design of Linear Voltage Controllers For Voltage-Source Converters. IEEE Open J. Ind. Electron. Soc. 2020, 1, 114–126. [Google Scholar] [CrossRef]
- Li, C.; Yang, Y.; Cao, Y.; Wang, L.; Dragicevic, T.; Blaabjerg, F. Frequency and Voltage Stability Analysis of Grid-Forming Virtual Synchronous Generator Attached to Weak Grid. IEEE J. Emerg. Sel. Top. Power Electron. 2022, 10, 2662–2671. [Google Scholar] [CrossRef]
- Wu, H.; Ruan, X.; Yang, D.; Chen, X.; Zhao, W.; Lv, Z.; Zhong, Q.-C. Small-Signal Modeling and Parameters Design for Virtual Synchronous Generators. IEEE Trans. Ind. Electron. 2016, 63, 4292–4303. [Google Scholar] [CrossRef]
- Liao, Y.; Wang, X.; Liu, F.; Xin, K.; Liu, Y. Sub-Synchronous Control Interaction in Grid-Forming VSCs with Droop Control. In Proceedings of the 2019 4th IEEE Workshop on the Electronic Grid (eGRID), Xiamen, China, 11–14 November 2019; pp. 1–6. [Google Scholar]
- Rodriguez, P.; Candela, I.; Citro, C.; Rocabert, J.; Luna, A. Control of grid-connected power converters based on a virtual admittance control loop. In Proceedings of the 2013 15th European Conference on Power Electronics and Applications (EPE), Lille, France, 3–5 September 2013; pp. 1–10. [Google Scholar]
- Zhao, F.; Wang, X.; Zhu, T. Low-Frequency Passivity-Based Analysis and Damping of Power-Synchronization Controlled Grid-Forming Inverter. IEEE J. Emerg. Sel. Top. Power Electron. 2023, 11, 1542–1554. [Google Scholar] [CrossRef]
- Wu, W.; Chen, Y.; Zhou, L.; Luo, A.; Zhou, X.; He, Z.; Yang, L.; Xie, Z.; Liu, J.; Zhang, M.; et al. Sequence Impedance Modeling and Stability Comparative Analysis of Voltage-Controlled VSGs and Current-Controlled VSGs. IEEE Trans. Ind. Electron. 2019, 66, 6460–6472. [Google Scholar] [CrossRef]
- Wu, W.; Zhou, L.; Chen, Y.; Luo, A.; Dong, Y.; Zhou, X.; Xu, Q.; Yang, L.; Guerrero, J.M. Sequence-Impedance-Based Stability Comparison Between VSGs and Traditional Grid-Connected Inverters. IEEE Trans. Power Electron. 2019, 34, 46–52. [Google Scholar] [CrossRef]
- Peng, Y.; Yin, T.; Li, M.; Wang, Y.; Hu, D.; Liu, Z. A Sequence Impedance Modeling of VSG With Consideration of Inner Loops Control. In Proceedings of the 2019 4th IEEE Workshop on the Electronic Grid (eGRID), Xiamen, China, 11–14 November 2019; pp. 1–5. [Google Scholar]
- Shi, K.; Wang, Y.; Sun, Y.; Xu, P.; Gao, F. Frequency-Coupled Impedance Modeling of Virtual Synchronous Generators. IEEE Trans. Power Syst. 2021, 36, 3692–3700. [Google Scholar] [CrossRef]
- Chen, J.; Zhang, X.; Yang, Y.; Chen, J.; Chen, X. Impedance modelling and grid integration stability evaluation of three-phase virtual synchronous generator. IET Power Electron. 2022, 15, 80–91. [Google Scholar] [CrossRef]
- Pedra, J.; Sainz, L.; Monjo, L. Review and Improvements to the Measurements of the VSC Impedance Transfer Matrix. IEEE Trans. Power Deliv. 2024, 39, 1283–1298. [Google Scholar] [CrossRef]
- Wang, X.; Harnefors, L.; Blaabjerg, F. Unified Impedance Model of Grid-Connected Voltage-Source Converters. IEEE Trans. Power Electron. 2018, 33, 1775–1787. [Google Scholar] [CrossRef]
- White Paper: Grid Forming Functional Specifications for BPS-Connected Battery Energy Storage Systems. NERC, September 2023. [Online]. Available online: https://www.nerc.com/ (accessed on 1 September 2023).
- Harnefors, L. Modeling of Three-Phase Dynamic Systems Using Complex Transfer Functions and Transfer Matrices. IEEE Trans. Ind. Electron. 2007, 54, 2239–2248. [Google Scholar] [CrossRef]












| Parameter | Value | Parameter | Value |
|---|---|---|---|
| Rated voltage VN | 563 V | Droop gain mp | 0.02 p.u. |
| Rated power Pref | 200 kW | Droop gain nq | 0.08 p.u. |
| DC-side voltage Vdc | 1300 V | Cut-off frequency ωp | 12.5 rad/s |
| Filter inductance Lf | 300 μH | Cut-off frequency ωq | 50 rad/s |
| Filter resistance Rf | 0.01 Ω | Voltage controller kp_V | 0.04 S |
| Filter capacitance Cf | 35 μF | Voltage controller ki_V | 347 S/s |
| Short-circuit ratio SCR | 1~7 | Current controller kp_I | 1.26 Ω |
| R/X ratio of grid impedance Rg/Xg | 0.1 | Current controller ki_I | 420 Ω/s |
Disclaimer/Publisher’s Note: The statements, opinions and data contained in all publications are solely those of the individual author(s) and contributor(s) and not of MDPI and/or the editor(s). MDPI and/or the editor(s) disclaim responsibility for any injury to people or property resulting from any ideas, methods, instructions or products referred to in the content. |
© 2024 by the authors. Licensee MDPI, Basel, Switzerland. This article is an open access article distributed under the terms and conditions of the Creative Commons Attribution (CC BY) license (https://creativecommons.org/licenses/by/4.0/).
Share and Cite
Tang, H.; Wang, J.; Wu, C.; Wang, Y. Effect of Coupling Impedance on Stability Assessment of Grid-Forming Converters Under Various Grid Conditions. Electronics 2024, 13, 4382. https://doi.org/10.3390/electronics13224382
Tang H, Wang J, Wu C, Wang Y. Effect of Coupling Impedance on Stability Assessment of Grid-Forming Converters Under Various Grid Conditions. Electronics. 2024; 13(22):4382. https://doi.org/10.3390/electronics13224382
Chicago/Turabian StyleTang, Haiguo, Jinhao Wang, Chao Wu, and Yong Wang. 2024. "Effect of Coupling Impedance on Stability Assessment of Grid-Forming Converters Under Various Grid Conditions" Electronics 13, no. 22: 4382. https://doi.org/10.3390/electronics13224382
APA StyleTang, H., Wang, J., Wu, C., & Wang, Y. (2024). Effect of Coupling Impedance on Stability Assessment of Grid-Forming Converters Under Various Grid Conditions. Electronics, 13(22), 4382. https://doi.org/10.3390/electronics13224382

