A High-Quality and Convenient Camera Calibration Method Using a Single Image
Abstract
1. Introduction
- (i)
- High convenience: The proposed method only requires a single image of a commonly used planar checkboard, avoiding reliance on complex calibration objects or large datasets.
- (ii)
- High accuracy: An enhancement in calibration accuracy has been achieved through a designed decoupled calibration procedure, a proposed distortion parameter algorithm, and an exploration of the optimal state of the calibration board.
- (iii)
- High stability: The calibration guidelines effectively constrain the state of the calibration board, reducing fluctuations in the calibration results caused by changes in the state of the calibration board.
2. Imaging Model
3. Methodology
3.1. Distortion Correction
| Algorithm 1: Distortion parameter estimation based on enumeration theory |
| Input:, resolution (W pixels × H pixels) |
| Output: |
| , , , , , err = 1 × 1010 |
| for u ← do |
| for v ← do |
| for ← do |
| for ← do |
| compute (6) → E |
| if E < err |
| err v |
| end if |
| end for |
| end for |
| end for |
| end for |
3.2. Remaining Parameters Estimation
3.3. The Guidance in the Calibration Procedure
- (i)
- Initialization. Set the values of the state of the calibration object, camera internal parameters, lens distortion parameters, and the noise level of corners.
- (ii)
- Single-factor numerical simulation. A single factor is selected for adjustment, and the other factors are held constant. The state of the calibration object is then changed. Combined with the set values in step (i), the accuracy of the proposed method is evaluated under this state of the calibration object. The factor is changed several times, and the relationship between the factor and the calibration quality is obtained.
- (iii)
- Repetition. Step (ii) is repeated until the relationship between all factors and the calibration quality is obtained.
- (I)
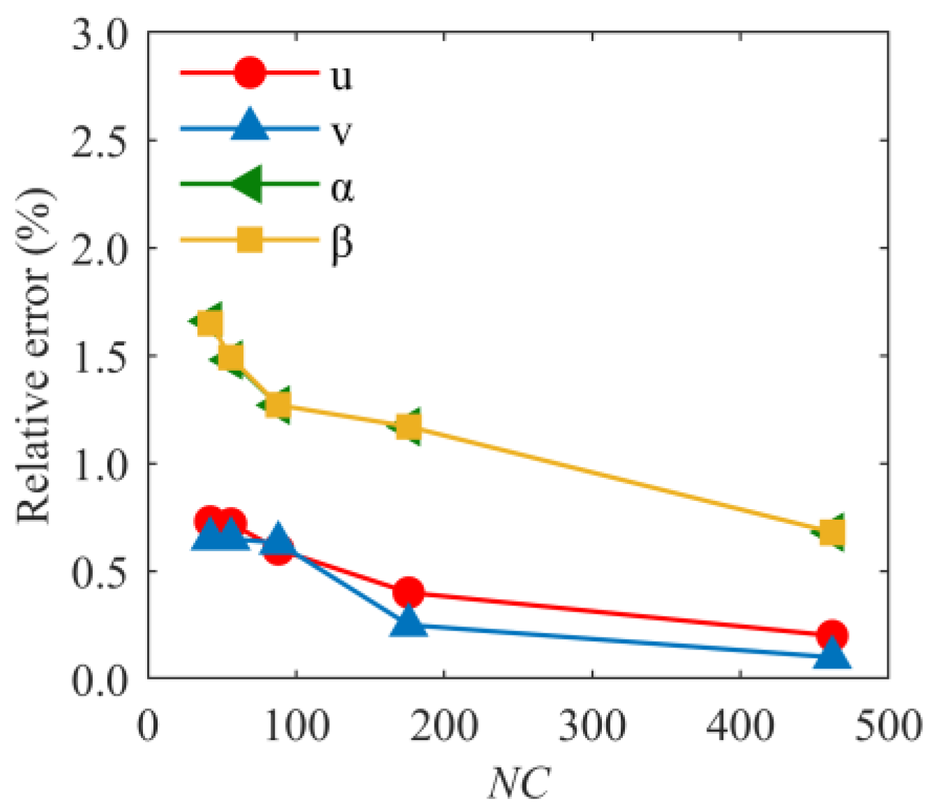
- The number of corners
- (II)
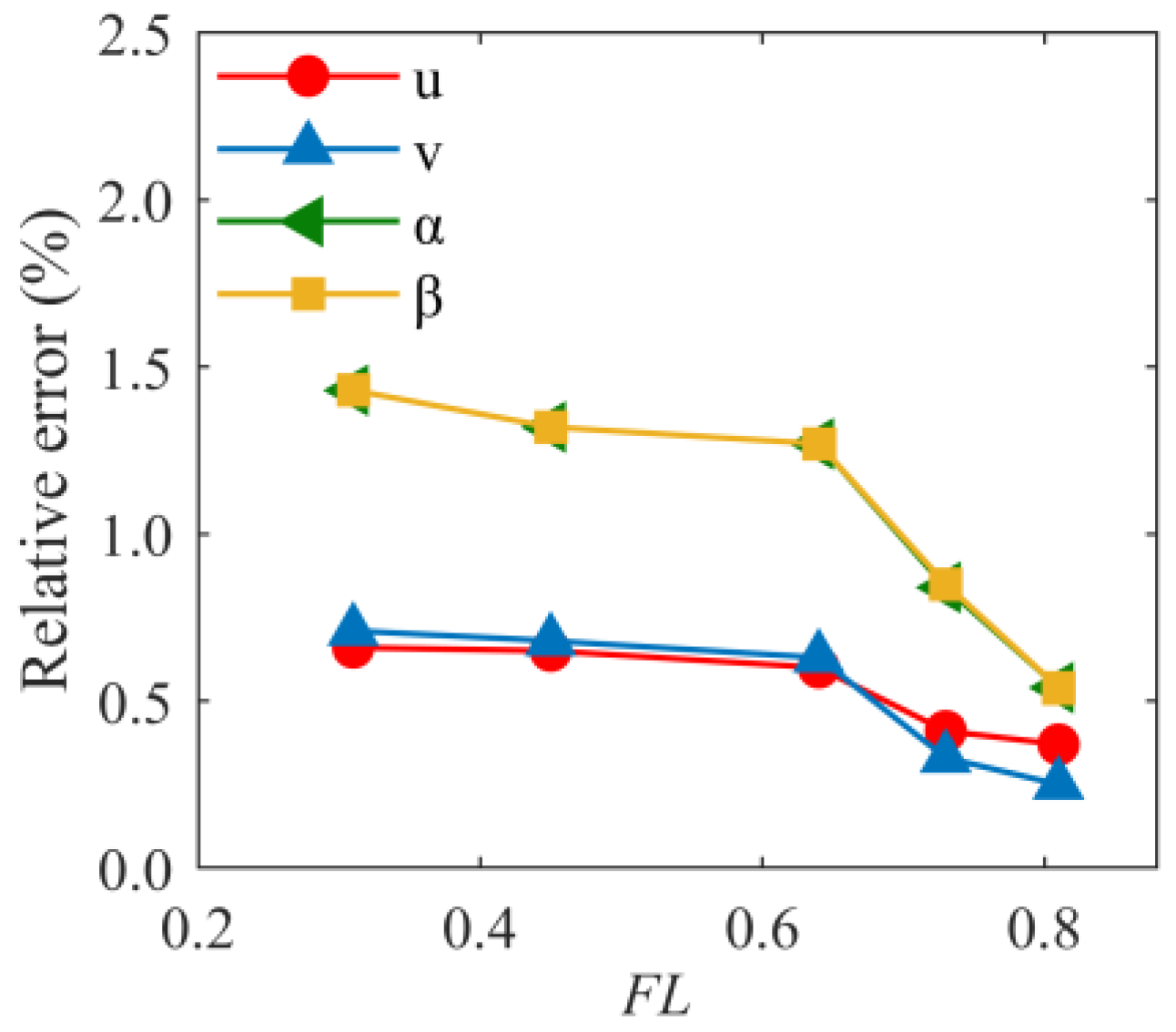
- The fullness level
- (III)
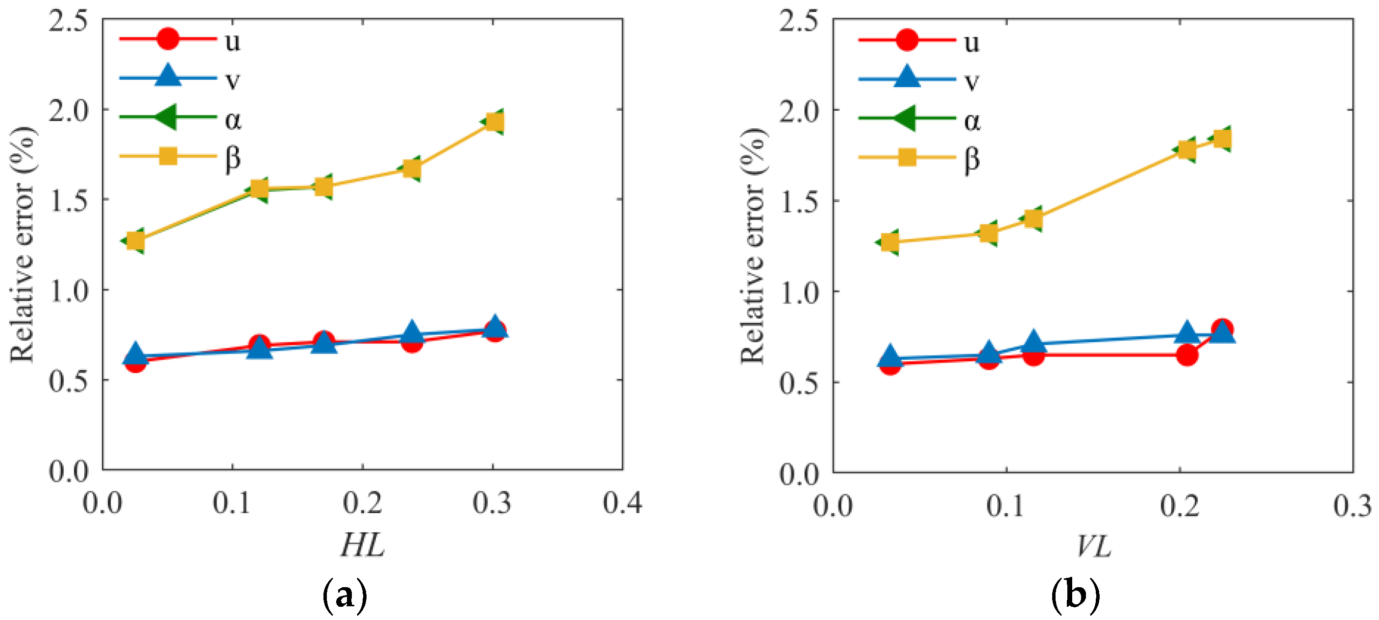
- The symmetry level
- (IV)
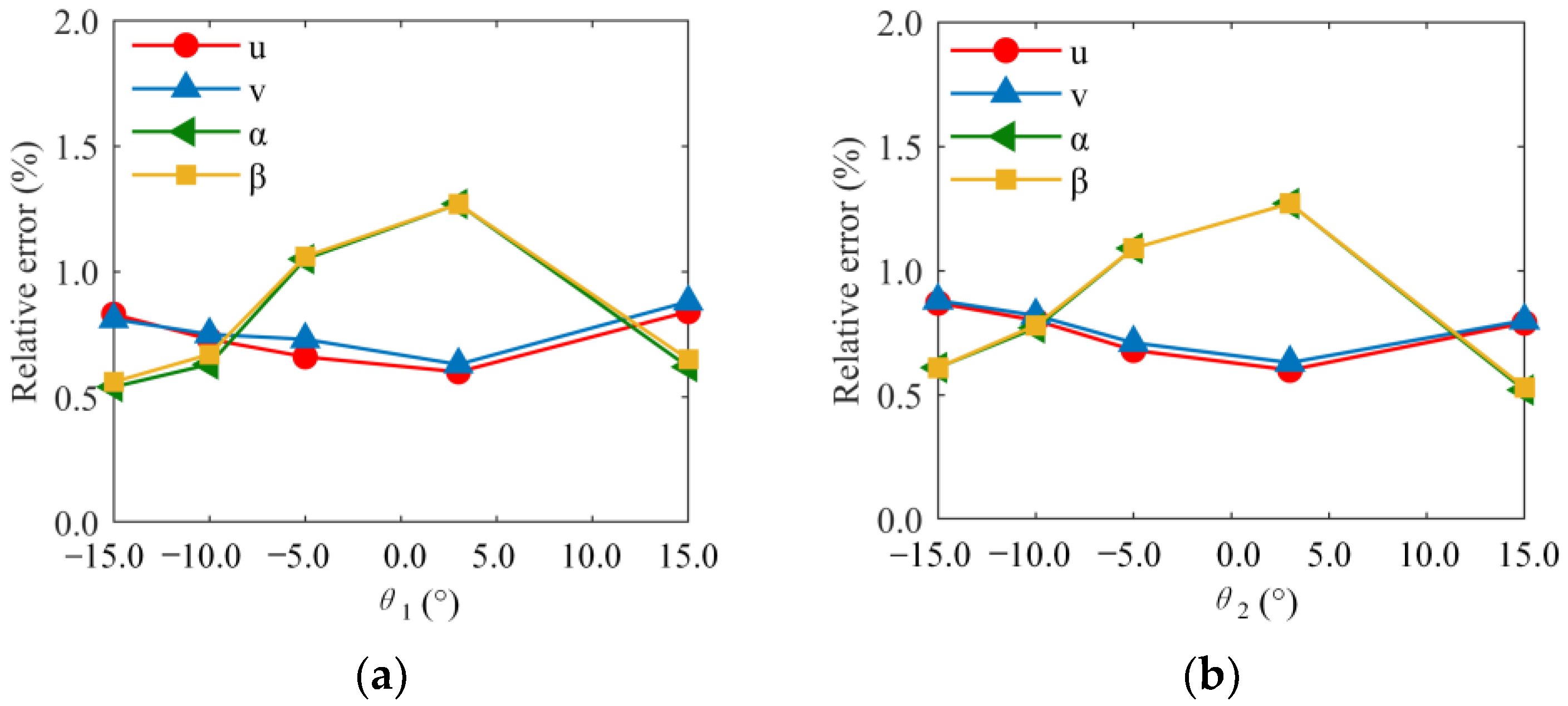
- The inclination angle
- (i)
- The number of corners in the image should be as many as possible.
- (ii)
- The pattern should cover as much of the camera’s field of view as possible.
- (iii)
- The corners in the image should be more symmetrical about the image midline.
- (iv)
- The inclination angle of the checkerboard in the image can be appropriately large.
4. Experiment and Analysis
4.1. Anti-Noise Performance Test
4.2. Accuracy Assessment
5. Conclusions
Author Contributions
Funding
Data Availability Statement
Conflicts of Interest
References
- Faugeras, O.D.; Toscani, G. The calibration problem for stereo. In Proceedings of the IEEE Computer Society Conference on Computer Vision and Pattern Recognition(CVPR), Miami Beach, FL, USA, 22–26 June 1986; pp. 15–20. [Google Scholar]
- Jeung, D.; Jung, K.Y.H.; Lee, H.J.; Hong, J.S. Augmented reality-based surgical guidance for wrist arthroscopy with bone-shift compensation. Comput. Meth. Programs Biomed. 2023, 230, 107323. [Google Scholar] [CrossRef] [PubMed]
- Baca, J.G.A.; Jantos, T.; Theuermann, M.; Hamdad, M.A.; Steinbrener, J.; Weiss, S.; Almer, A.; Perko, R. Automated Data Annotation for 6-DoF AI-Based Navigation Algorithm Development. J. Imaging 2021, 7, 236. [Google Scholar] [CrossRef] [PubMed]
- Chen, C.; Yu, J.; Gao, N.; Zhang, Z.H. High accuracy 3D calibration method of phase calculation-based fringe projection system by using LCD screen considering refraction error. Opt. Lasers Eng. 2020, 126, 105870. [Google Scholar] [CrossRef]
- Chai, B.H.; Wei, Z.Z. Stratified camera calibration algorithm based on the calibrating conic. Opt. Express 2023, 31, 1282–1302. [Google Scholar] [CrossRef] [PubMed]
- Luhmann, T.; Fraser, C.; Maas, H.G. Sensor modelling and camera calibration for close-range photogrammetry. ISPRS J. Photogramm. Remote Sens. 2016, 115, 37–46. [Google Scholar] [CrossRef]
- Guan, B.L.; Yu, Y.J.; Su, A.; Shang, Y.; Yu, Q.F. Self-calibration approach to stereo cameras with radial distortion based on epipolar constraint. Appl. Opt. 2019, 58, 8511–8521. [Google Scholar] [CrossRef]
- Jin, J.; Li, X.F. Efficient camera self-calibration method based on the absolute dual quadric. J. Opt. Soc. Am. A Opt. Image Sci. Vis. 2013, 30, 287–292. [Google Scholar] [CrossRef]
- Zhang, Z.Y. Camera calibration with one-dimensional objects. IEEE Trans. Pattern Anal. Mach. Intell. 2004, 26, 892–899. [Google Scholar] [CrossRef]
- Zhang, Z.Y. A flexible new technique for camera calibration. IEEE Trans. Pattern Anal. Mach. Intell. 2000, 22, 1330–1334. [Google Scholar] [CrossRef]
- Jiang, J.; Zeng, L.C.; Chen, B.; Lu, Y.; Xiong, W. An accurate and flexible technique for camera calibration. Computing 2019, 101, 1971–1988. [Google Scholar] [CrossRef]
- Yu, J.; Liu, Y.; Zhang, Z.H.; Gao, F.; Gao, N.; Meng, Z.Z.; Jiang, X.Q. High-accuracy camera calibration method based on coded concentric ring center extraction. Opt. Express 2022, 30, 42454–42469. [Google Scholar] [CrossRef] [PubMed]
- Tsai, R.Y. A versatile camera calibration technique for high-accuracy 3D machine vision metrology using off-the-shelf TV cameras and lenses. IEEE J. Robot. Autom. 1987, 3, 323–344. [Google Scholar] [CrossRef]
- Wang, Q.; Yan, C.; Tan, R.X.; Feng, Y.Y.; Sun, Y.; Liu, Y. 3D-CALI: Automatic calibration for camera and LiDAR using 3D checkerboard. Measurement 2022, 203, 111971. [Google Scholar] [CrossRef]
- Zhang, Y.; Zhao, X.; Qian, D. Learning-Based Distortion Correction and Feature Detection for High Precision and Robust Camera Calibration. IEEE Robot. Autom. Lett. 2022, 7, 10470–10477. [Google Scholar] [CrossRef]
- Hold-Geoffroy, Y.; Piché-Meunier, D.; Sunkavalli, K.; Bazin, J.-C.; Rameau, F.; Lalonde, J.-F. A Perceptual Measure for Deep Single Image Camera and Lens Calibration. IEEE Trans. Pattern Anal. Mach. Intell. 2023, 45, 10603–10614. [Google Scholar] [CrossRef] [PubMed]
- Jeong, M.; Byun, H.; Lee, S. Learning Camera Parameters with Weighted Edge Attention From Single-View Images. IEEE Access 2023, 11, 16896–16906. [Google Scholar] [CrossRef]
- Wang, J.H.; Shi, F.H.; Zhang, J.; Liu, Y.C. Camera calibration from a single frame of planar pattern. In Proceedings of the 8th International Conference on Advanced Concepts for Intelligent Vision Systems, Antwerp, Belgium, 18–21 September 2006; pp. 576–587. [Google Scholar]
- Zhou, F.Q.; Cui, Y.; Gao, H.; Wang, Y.X. Line-based camera calibration with lens distortion correction from a single image. Opt. Lasers Eng. 2013, 51, 1332–1343. [Google Scholar] [CrossRef]
- Zhang, Z.; Zhao, R.J.; Liu, E.H.; Yan, K.; Ma, Y.B. A single-image linear calibration method for camera. Measurement 2018, 130, 298–305. [Google Scholar] [CrossRef]
- Miyagawa, I.; Arai, H.; Koike, H. Simple camera calibration from a single image using five points on two orthogonal 1-D objects. IEEE Trans. Image Process. 2010, 19, 1528–1538. [Google Scholar] [CrossRef]
- Chen, H.T. Geometry-Based Camera Calibration Using Five-Point Correspondences From a Single Image. IEEE Trans. Circuits Syst. Video Technol. 2017, 27, 2555–2566. [Google Scholar] [CrossRef]
- Ardakani, H.K.; Mousavinia, A.; Safaei, F. Four points: One-pass geometrical camera calibration algorithm. Vis. Comput. 2019, 36, 413–424. [Google Scholar] [CrossRef]
- Lee, J.Y. Robust Camera Calibration with a Single Image by Planar Homography. In Proceedings of the 18th IEEE International Conference on Advanced Video and Signal Based Surveillance (AVSS), Madrid, Spain, 29 November–2 December 2022; pp. 1–7. [Google Scholar]
- Huang, B.; Zou, S.P. A New Camera Calibration Technique for Serious Distortion. Processes 2022, 10, 488. [Google Scholar] [CrossRef]
- Genovese, K. Single-image camera calibration with model-free distortion correction. Opt. Lasers Eng. 2024, 181, 108348. [Google Scholar] [CrossRef]
- Ricolfe-Viala, C.; Sanchez-Salmeron, A.J. Camera calibration under optimal conditions. Opt. Express 2011, 19, 10769–10775. [Google Scholar] [CrossRef]




















| Symbol | Description |
|---|---|
| The world coordinate frame | |
| The camera coordinate frame | |
| oxy | The image plane coordinate frame |
| P | |
| An ideal projection 2D point without lens distortion | |
| An actual 2D point based on the camera imaging model | |
| A distorted corner of ith row and jth column | |
| Coordinates of the principal points in oxy | |
| Focal length | |
| Radial distortion coefficients | |
| W, H | The width and height of an image |
| m, n | The number of rows and columns of corners |
| NC | The number of corners in an image |
| FL | Fullness level of corners in an image |
| HL, VL | Horizontal and vertical symmetry level of corners in an image |
| , | |
| Re | Mean squared reprojection error |
| Parameter | Resolution | α (Pixel) | β (Pixel) | u (Pixel) | v (Pixel) | (Pixel−2) | (Pixel−4) |
|---|---|---|---|---|---|---|---|
| Truth | 1600 × 1200 | 2800 | 2800 | 810 | 605 | −5.0 × 10−8 | 2.0 × 10−14 |
| Method | (Pixel) | (Pixel) | u (Pixel) | v (Pixel) | (Pixel−2) | (Pixel−4) |
|---|---|---|---|---|---|---|
| Proposed | 1423.4 | 1423.2 | 989.0 | 538.0 | −4.2 × 10−8 | 4.2 × 10−14 |
| Wang’s [18] | 1516.9 | 1519.7 | 960.0 | 540.0 | −4.1 × 10−8 | 4.1 × 10−14 |
| Zhang’s [15] | 1458.2 | 1458.3 | 983.7 | 548.0 | 4.3 × 10−8 | −4.2 × 10−14 |
| Huang’s [25] | 1507.4 | 1507.3 | 975.8 | 546.0 | 4.7 × 10−8 | −4.8 × 10−14 |
| Genovese’s [26] | 1378.8 | 1379.0 | 994.4 | 539.8 | 4.3 × 10−8 | −4.1 × 10−14 |
| WM-Zhang’s [10] | 1439.4 | 1439.3 | 990.7 | 547.7 | 4.2 × 10−8 | −4.3 × 10−14 |
| Method | Image 1 (Pixel) | Image 2 (Pixel) | Image 3 (Pixel) | Image 4 (Pixel) | Image 5 (Pixel) |
|---|---|---|---|---|---|
| None | 11.902 | 10.578 | 10.863 | 10.796 | 10.360 |
| Proposed | 5.551 | 3.618 | 3.870 | 3.348 | 3.434 |
| Wang’s [18] | 5.660 | 3.989 | 4.170 | 3.534 | 3.754 |
| Zhang’s [15] | 5.514 | 3.792 | 4.113 | 3.546 | 3.747 |
| Huang’s [25] | 6.958 | 4.058 | 4.351 | 3.834 | 5.622 |
| Genovese’s [26] | 6.372 | 3.693 | 3.887 | 3.353 | 3.539 |
| WM-Zhang’s [10] | 6.426 | 3.201 | 3.716 | 3.278 | 3.177 |
| Method | Image 1 (Pixel) | Image 2 (Pixel) | Image 3 (Pixel) | Image 4 (Pixel) | Image 5 (Pixel) |
|---|---|---|---|---|---|
| Proposed | 0.386 | 0.289 | 0.273 | 0.267 | 0.273 |
| Wang’s [18] | 0.896 | 0.824 | 0.528 | 0.924 | 0.765 |
| Zhang’s [15] | 0.389 | 0.293 | 0.296 | 0.295 | 0.274 |
| Huang’s [25] | 0.704 | 0.372 | 0.302 | 0.504 | 0.379 |
| Genovese’s [26] | 0.392 | 0.345 | 0.317 | 0.313 | 0.295 |
| WM-Zhang’s [10] | 0.403 | 0.252 | 0.267 | 0.222 | 0.228 |
Disclaimer/Publisher’s Note: The statements, opinions and data contained in all publications are solely those of the individual author(s) and contributor(s) and not of MDPI and/or the editor(s). MDPI and/or the editor(s) disclaim responsibility for any injury to people or property resulting from any ideas, methods, instructions or products referred to in the content. |
© 2024 by the authors. Licensee MDPI, Basel, Switzerland. This article is an open access article distributed under the terms and conditions of the Creative Commons Attribution (CC BY) license (https://creativecommons.org/licenses/by/4.0/).
Share and Cite
Qin, X.; Xia, X.; Xiang, H. A High-Quality and Convenient Camera Calibration Method Using a Single Image. Electronics 2024, 13, 4361. https://doi.org/10.3390/electronics13224361
Qin X, Xia X, Xiang H. A High-Quality and Convenient Camera Calibration Method Using a Single Image. Electronics. 2024; 13(22):4361. https://doi.org/10.3390/electronics13224361
Chicago/Turabian StyleQin, Xufang, Xiaohua Xia, and Huatao Xiang. 2024. "A High-Quality and Convenient Camera Calibration Method Using a Single Image" Electronics 13, no. 22: 4361. https://doi.org/10.3390/electronics13224361
APA StyleQin, X., Xia, X., & Xiang, H. (2024). A High-Quality and Convenient Camera Calibration Method Using a Single Image. Electronics, 13(22), 4361. https://doi.org/10.3390/electronics13224361

