A Software Defect Prediction Method That Simultaneously Addresses Class Overlap and Noise Issues after Oversampling
Abstract
1. Introduction
- We propose a software defect prediction method, AS-KDENN, which can simultaneously address class imbalance, class overlap, and noise issues. The experimental results demonstrate that our proposed method can effectively improve the performance of software defect prediction (SDP).
- We introduce a method called KDENN that can simultaneously handle noise and class overlap issues, and the experimental results show that the KDENN method can effectively improve the class overlap and noise problems generated after synthetic sampling.
- To illustrate the effectiveness of our proposed method, a comprehensive evaluation of the AS-KDENN method was conducted on 19 datasets, and a comparative analysis was performed with commonly used methods that combine class imbalance with handling class overlap or noise.
2. Related Work
2.1. Class Imbalance
2.2. Class Overlap
2.3. Data Noise
3. Materials and Methods
3.1. Method Overview
3.2. Oversampling
- Step1: Calculate the number of synthetic samples needed:
- Step2: Calculate the proportion of majority class samples among the K-nearest neighbors. The formula for this is as follows:
- Step3: Normalize
- Step4: Based on the sample weights, calculate the number of new samples that need to be generated for each minority class sample. The formula for this is as follows:
- Step5: Calculate the number of samples to be generated for each minority sample based on , and synthesize new samples using the following formula:
3.3. Noise and Class Overlap Handling
| Algorithm 1. KDENN handles noise and class overlapping data |
| Input: Training data T |
| threshold for the positive-to-negative density ratio:th |
| Begin |
| Step1: Using KDE to remove noisy data |
| 1: Divide the training data T into non-defective data and defective data |
| 2: Calculate the kernel density for each sample in dataset , denoted as |
| 3: Calculate the kernel density for each sample in dataset , denoted as |
| 4: In the dataset, remove the data points with a probability density below 2% as noise to obtain a new dataset |
| 5: In the dataset, remove the data points with a probability density below 2% as noise to obtain a new dataset |
| 6: Merge datasets and to obtain dataset P after removing noise |
| Step2: Removing class overlapping data based on KDE and K-nearest neighbors |
| 1: Calculate the kernel density for each sample in dataset , denoted as |
| 2: Calculate the kernel density for each sample in dataset , denoted as |
| 3: Find the ten nearest neighbors for each sample, denoted as |
| 4: Calculate the ratio of positive to negative samples in , denoted as |
| 5: For each sample |
| 6: IF : |
| delete all negative sample data from this cluster |
| 7: Calculate for X, |
| 8: IF and |
| delete this positive sample |
| 9: End for |
| 10: Output:Obtain the final dataset after removing noise and overlapping instances |
4. Experimental Design
4.1. Research Problem and Experimental Process
- RQ1: Is our proposed AS-KDENN more effective than other common oversampling methods for handling noise or class overlap?
- RQ2: Is our proposed data noise and overlap removal method (KDENN) equally as effective as other oversampling methods?
- RQ3: How efficient is our proposed method in the software defect prediction process?
4.2. Experimental Setup
4.3. Datasets
4.4. Model Evaluation
- Recall: Also known as sensitivity, Recall reflects the ability to correctly predict defects. It is defined as
- 2.
- Geometric Mean (G-mean): G-mean is a comprehensive evaluation metric often used to assess the performance of classifiers on imbalanced datasets. It reflects the classifier’s ability to correctly identify both positive and negative samples, and provides a better indication of model performance compared to simple classification accuracy. The calculation formula is as follows:
- 3.
- Balanced Accuracy (Ba): In binary classification, Balanced accuracy is the arithmetic mean of the accuracy of positive and negative samples. When there is class imbalance, the accuracy of the majority class can be misleading. Using Balanced accuracy helps avoid exaggerated evaluations based on a single metric for imbalanced datasets. It is defined as
5. Results and Discussion
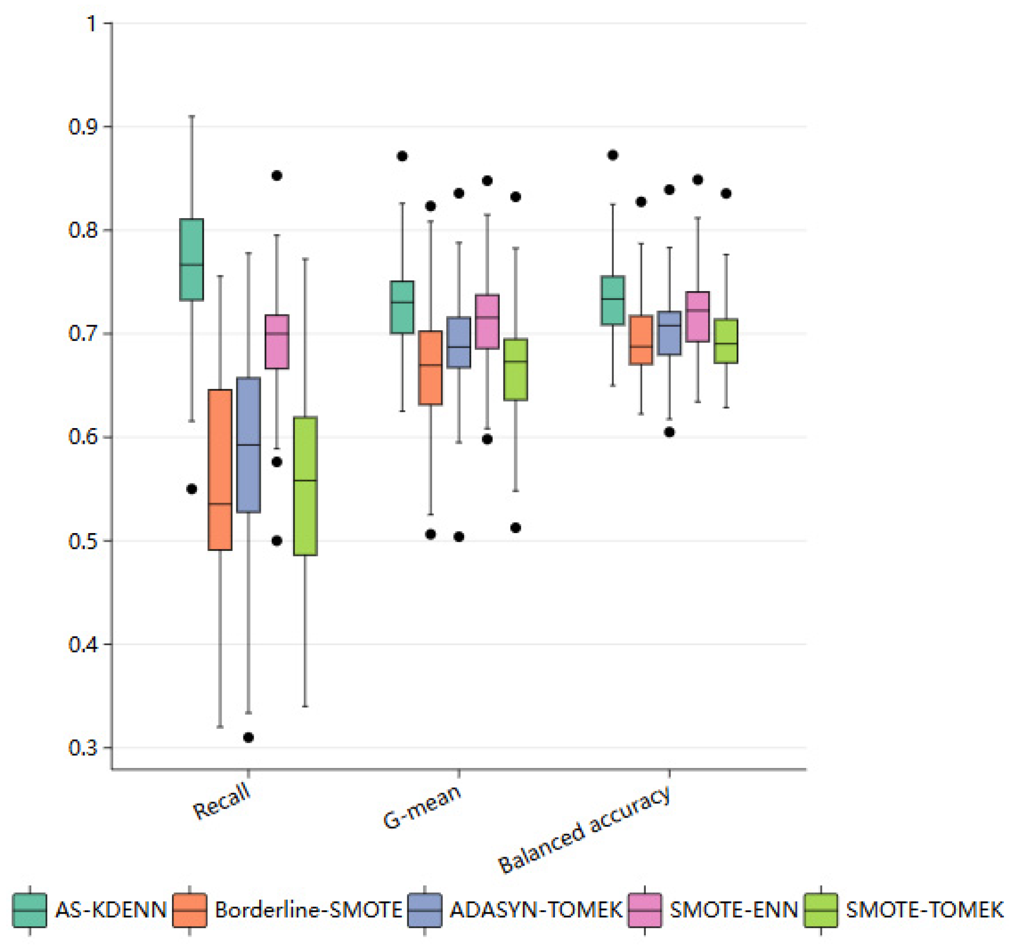
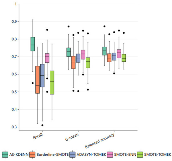
5.1. Q1: Is Our Proposed AS-KDENN More Effective than Other Common Oversampling Methods That Handle Noise or Class Overlap?
- (A)
- Comparison Methods
- (B)
- Statistical Analysis
- (C)
- Result Analysis
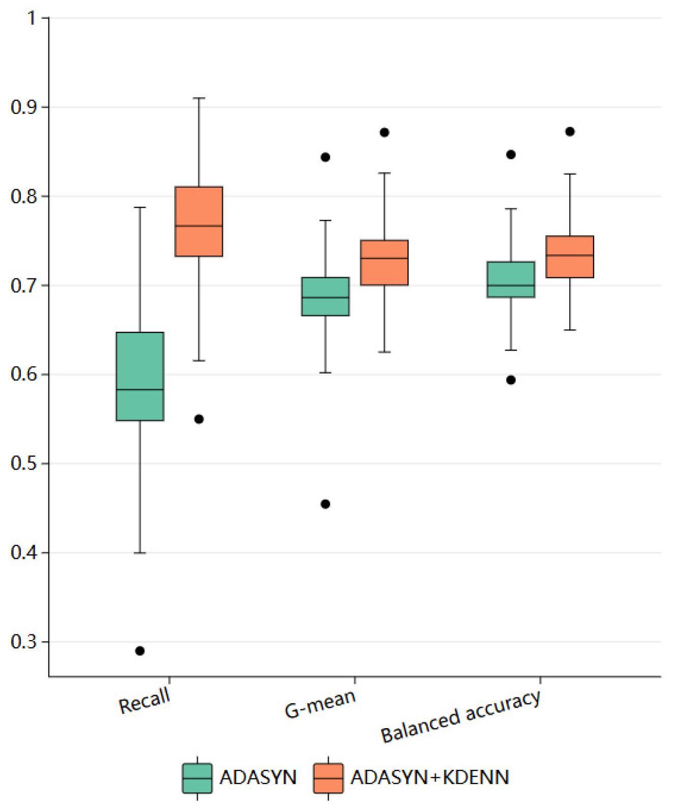
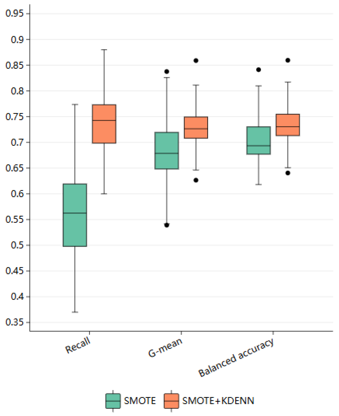
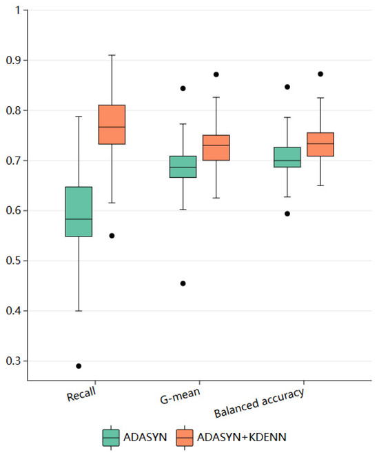
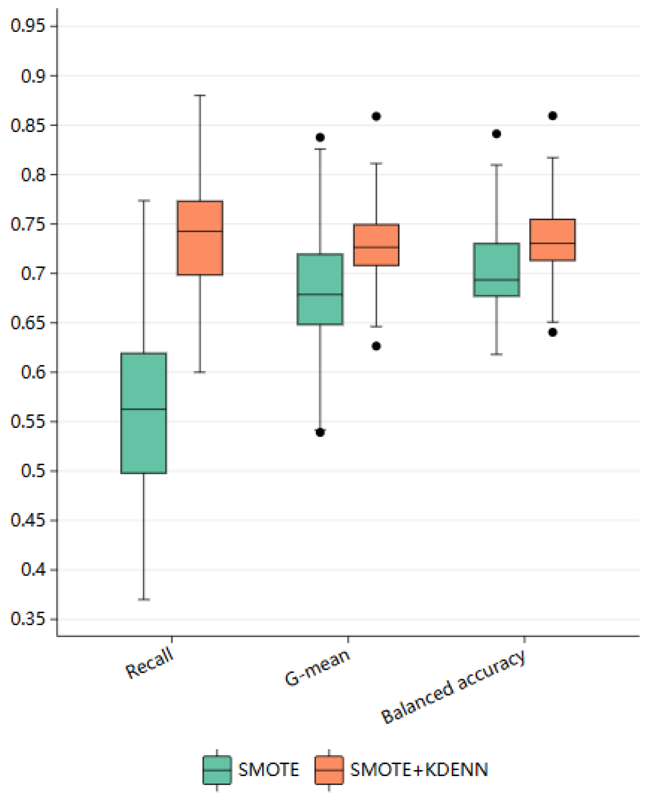
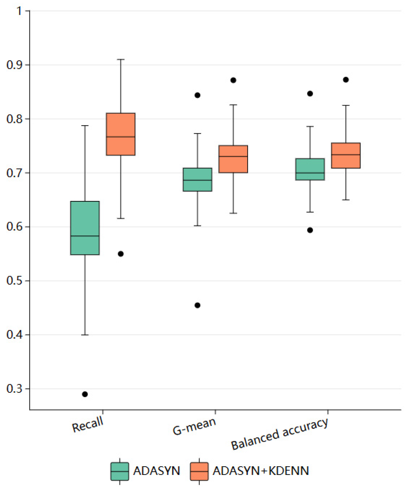
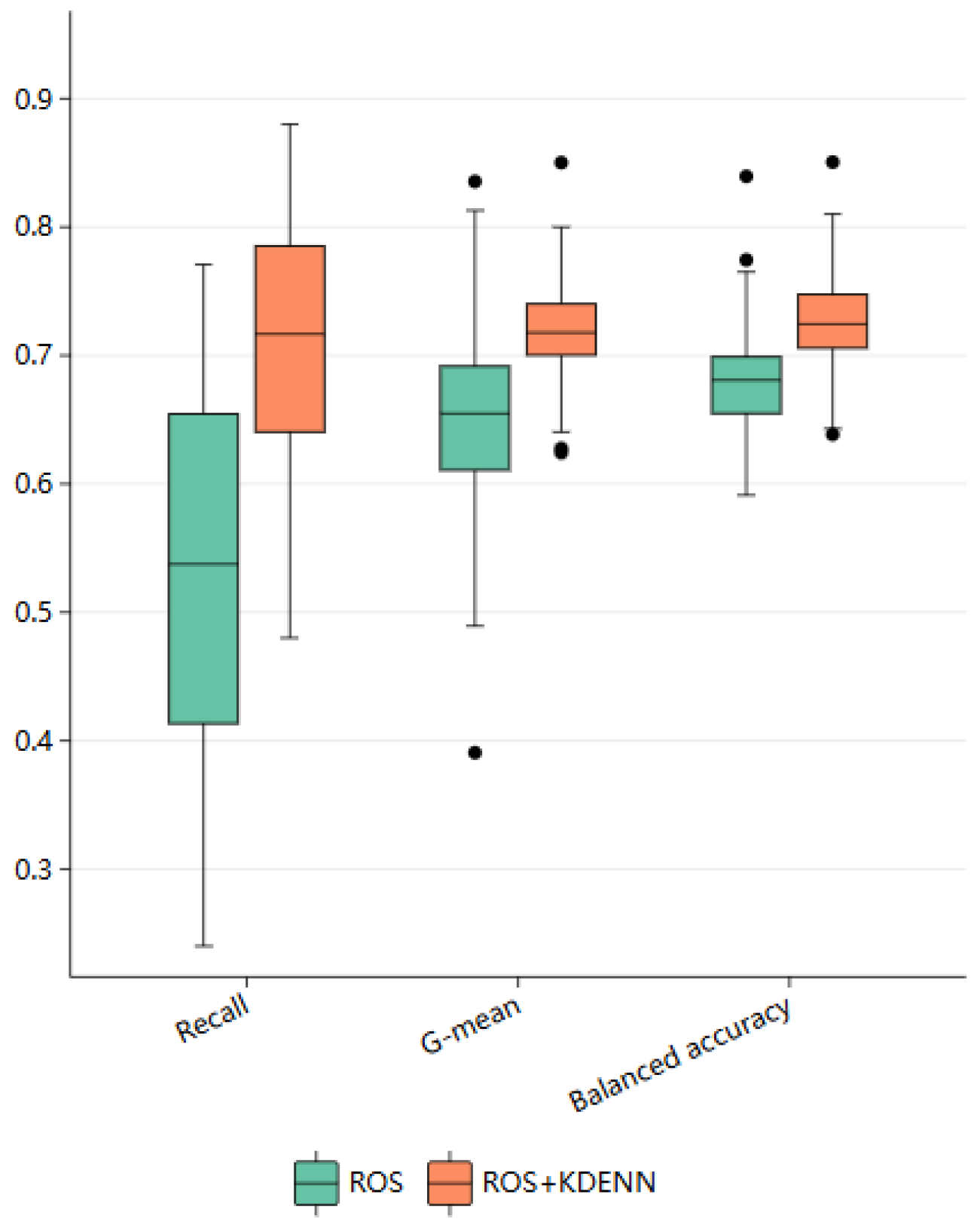
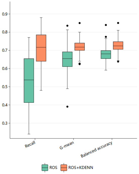
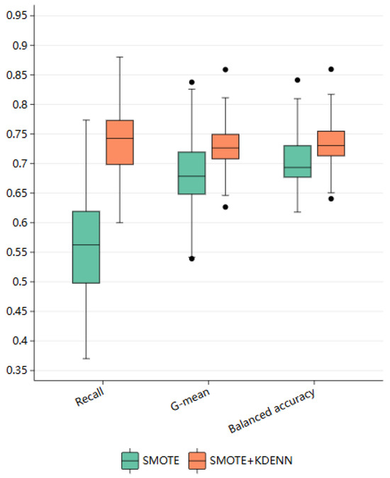
5.2. Q2: Does Using the KDENN Method for Handling Class Overlap and Noise on Oversampled Data Help Improve the Performance of Software Defect Prediction Models?
- (A)
- Comparison Method
- (B)
- Statistical Analysis
- (C)
- Result Analysis
5.3. Q3: How Efficient Is Our Proposed Method in the Software Defect Prediction Process?
- (A)
- Comparison Method
- (B)
- Statistical Analysis
- (C)
- Result Analysis
6. Conclusions and Future Work
Author Contributions
Funding
Data Availability Statement
Conflicts of Interest
References
- Pelayo, L.; Dick, S. Applying Novel Resampling Strategies to Software Defect Prediction. In Proceedings of the NAFIPS 2007—2007 Annual Meeting of the North American Fuzzy Information Processing Society, San Diego, CA, USA, 24–27 June 2007; pp. 69–72. [Google Scholar] [CrossRef]
- Hall, T.; Beecham, S.; Bowes, D.; Gray, D.; Counsell, S. A Systematic Literature Review on Fault Prediction Performance in Software Engineering. IEEE Trans. Softw. Eng. 2012, 38, 1276–1304. [Google Scholar] [CrossRef]
- Gong, L.; Zhang, H.; Zhang, J.; Wei, M.; Huang, Z. A Comprehensive Investigation of the Impact of Class Overlap on Software Defect Prediction. IEEE Trans. Softw. Eng. 2023, 49, 2440–2458. [Google Scholar] [CrossRef]
- Bhandari, K.; Kumar, K.; Sangal, A.L. Data Quality Issues in Software Fault Prediction: A Systematic Literature Review. Artif. Intell. Rev. 2023, 56, 7839–7908. [Google Scholar] [CrossRef]
- Croft, R.; Babar, M.A.; Chen, H. Noisy Label Learning for Security Defects. In 2022 Mining Software Repositories Conference (MSR 2022), Proceedings of the IEEE International Working Conference on Mining Software Repositories, Pittsburgh, PA, USA, 23–24 May 2022; IEEE Computer Society: Los Alamitos, CA, USA, 2022; pp. 435–447. [Google Scholar] [CrossRef]
- Herzig, K.; Just, S.; Zeller, A. It’s Not a Bug, It’s a Feature: How Misclassification Impacts Bug Prediction. In Proceedings of the 2013 35th International Conference on Software Engineering (ICSE), San Francisco, CA, USA, 18–26 May 2013; pp. 392–401. [Google Scholar] [CrossRef]
- Bowes, D.; Hall, T.; Gray, D. DConfusion: A Technique to Allow Cross Study Performance Evaluation of Fault Prediction Studies. Autom. Softw. Eng. 2014, 21, 287–313. [Google Scholar] [CrossRef]
- Menzies, T.; Dekhtyar, A.; Distefano, J.; Greenwald, J. Problems with Precision: A Response to “Comments on ‘Data Mining Static Code Attributes to Learn Defect Predictors’”. IEEE Trans. Softw. Eng. 2007, 33, 637–640. [Google Scholar] [CrossRef]
- Wang, S.; Yao, X. Using Class Imbalance Learning for Software Defect Prediction. IEEE Trans. Reliab. 2013, 62, 434–443. [Google Scholar] [CrossRef]
- Riquelme Santos, J.C.; Ruiz Sánchez, R.; Rodríguez García, D.; Moreno, J. Finding Defective Modules from Highly Unbalanced Datasets. Actas Talleres Jorn. Ing. Softw. Y Bases Datos 2008, 2, 67–74. [Google Scholar]
- Jimenez, M.; Rwemalika, R.; Papadakis, M.; Sarro, F.; Le Traon, Y.; Harman, M. The Importance of Accounting for Real-World Labelling When Predicting Software Vulnerabilities. In Proceedings of the 2019 27th ACM Joint Meeting on European Software Engineering Conference and Symposium on the Foundations of Software Engineering, Tallinn, Estonia, 26–30 August 2019; ESEC/FSE 2019. Association for Computing Machinery: New York, NY, USA, 2019; pp. 695–705. [Google Scholar] [CrossRef]
- Ahluwalia, A.; Falessi, D.; Di Penta, M. Snoring: A Noise in Defect Prediction Datasets. In Proceedings of the 2019 IEEE/ACM 16th International Conference on Mining Software Repositories (MSR), Montreal, QC, Canada, 25–31 May 2019; pp. 63–67. [Google Scholar] [CrossRef]
- Pandey, S.K.; Tripathi, A.K. An Empirical Study toward Dealing with Noise and Class Imbalance Issues in Software Defect Prediction. Soft Comput. 2021, 25, 13465–13492. [Google Scholar] [CrossRef]
- Benni, K.E.; Keung, J.; Phannachitta, P.; Monden, A.; Mensah, S. MAHAKIL: Diversity Based Oversampling Approach to Alleviate the Class Imbalance Issue in Software Defect Prediction. IEEE Trans. Softw. Eng. 2018, 44, 534–550. [Google Scholar] [CrossRef]
- Vo, M.T.; Nguyen, T.; Vo, H.A.; Le, T. Noise-Adaptive Synthetic Oversampling Technique. Appl. Intell. 2021, 51, 7827–7836. [Google Scholar] [CrossRef]
- Chawla, N.V.; Bowyer, K.W.; Hall, L.O.; Kegelmeyer, W.P. SMOTE: Synthetic Minority Over-Sampling Technique. JAIR 2002, 16, 321–357. [Google Scholar] [CrossRef]
- He, H.; Bai, Y.; Garcia, E.A.; Li, S. ADASYN: Adaptive Synthetic Sampling Approach for Imbalanced Learning. In Proceedings of the 2008 IEEE International Joint Conference on Neural Networks (IJCNN), Hong Kong, 1–8 June 2008; IEEE: New York, NY, USA, 2008; pp. 1322–1328. [Google Scholar] [CrossRef]
- Gong, L.; Jiang, S.; Jiang, L. Tackling Class Imbalance Problem in Software Defect Prediction through Cluster-Based Over-Sampling with Filtering. IEEE Access 2019, 7, 145725–145737. [Google Scholar] [CrossRef]
- Kim, S.; Zhang, H.; Wu, R.; Gong, L. Dealing with Noise in Defect Prediction. In Proceedings of the 2011 33RD International Conference on Software Engineering (ICSE), Honolulu, HI, USA, 21–28 May 2011; IEEE: New York, NY, USA, 2011; pp. 481–490. [Google Scholar]
- Alan, O.; Catal, C. Thresholds Based Outlier Detection Approach for Mining Class Outliers: An Empirical Case Study on Software Measurement Datasets. Expert Syst. Appl. 2011, 38, 3440–3445. [Google Scholar] [CrossRef]
- Shi, H.; Ai, J.; Liu, J.; Xu, J. Improving Software Defect Prediction in Noisy Imbalanced Datasets. Appl. Sci. 2023, 13, 10466. [Google Scholar] [CrossRef]
- Puri, A.; Kumar Gupta, M. Improved Hybrid Bag-Boost Ensemble with K-Means-SMOTE–ENN Technique for Handling Noisy Class Imbalanced Data. Comput. J. 2020, 65, 124–138. [Google Scholar] [CrossRef]
- Sáez, J.A.; Luengo, J.; Stefanowski, J.; Herrera, F. SMOTE–IPF: Addressing the Noisy and Borderline Examples Problem in Imbalanced Classification by a Re-Sampling Method with Filtering. Inf. Sci. 2015, 291, 184–203. [Google Scholar] [CrossRef]
- Chen, L.; Fang, B.; Shang, Z.; Tang, Y. Tackling Class Overlap and Imbalance Problems in Software Defect Prediction. Softw. Qual. J. 2018, 26, 97–125. [Google Scholar] [CrossRef]
- Shao, X.; Yan, Y. Noise-Robust Gaussian Distribution Based Imbalanced Oversampling. In Algorithms and Architectures for Parallel Processing; Tari, Z., Li, K., Wu, H., Eds.; Springer Nature: Singapore, 2024. [Google Scholar] [CrossRef]
- Azhar, N.A.; Pozi, M.S.M.; Din, A.M.; Jatowt, A. An Investigation of SMOTE Based Methods for Imbalanced Datasets with Data Complexity Analysis. IEEE Trans. Knowl. Data Eng. 2023, 35, 6651–6672. [Google Scholar] [CrossRef]
- Luque, A.; Carrasco, A.; Martín, A.; de las Heras, A. The Impact of Class Imbalance in Classification Performance Metrics Based on the Binary Confusion Matrix. Pattern Recognit. 2019, 91, 216–231. [Google Scholar] [CrossRef]
- Vuttipittayamongkol, P.; Elyan, E.; Petrovski, A. On the Class Overlap Problem in Imbalanced Data Classification. Knowl.-Based Syst. 2021, 212, 106631. [Google Scholar] [CrossRef]
- Shen, J.; Li, Z.; Lu, Y.; Pan, M.; Li, X. Mitigating the Impact of Mislabeled Data on Deep Predictive Models: An Empirical Study of Learning with Noise Approaches in Software Engineering Tasks. Autom. Softw. Eng. 2024, 31, 33. [Google Scholar] [CrossRef]
- Ali, A.; Shamsuddin, S.M.; Ralescu, A. Classification with Class Imbalance Problem: A Review. Int. J. Advance Soft Compu. Appl. 2015, 7, 176–204. [Google Scholar]
- Arisholm, E.; Briand, L.C.; Johannessen, E.B. A Systematic and Comprehensive Investigation of Methods to Build and Evaluate Fault Prediction Models. J. Syst. Softw. 2010, 83, 2–17. [Google Scholar] [CrossRef]
- García, V.; Sánchez, J.S.; Marqués, A.I.; Florencia, R.; Rivera, G. Understanding the Apparent Superiority of Over-Sampling through an Analysis of Local Information for Class-Imbalanced Data. Expert Syst. Appl. 2020, 158, 113026. [Google Scholar] [CrossRef]
- Han, H.; Wang, W.-Y.; Mao, B.-H. Borderline-SMOTE: A New Over-Sampling Method in Imbalanced Data Sets Learning. In Advances in Intelligent Computing; Huang, D.-S., Zhang, X.-P., Huang, G.-B., Eds.; Springer: Berlin/Heidelberg, Germany, 2005; pp. 878–887. [Google Scholar] [CrossRef]
- Arafa, A.; El-Fishawy, N.; Badawy, M.; Radad, M. RN-SMOTE: Reduced Noise SMOTE Based on DBSCAN for Enhancing Imbalanced Data Classification. J. King Saud Univ.—Comput. Inf. Sci. 2022, 34 Pt A, 5059–5074. [Google Scholar] [CrossRef]
- Yang, W.; Pan, C.; Zhang, Y. An Oversampling Method for Imbalanced Data Based on Spatial Distribution of Minority Samples SD-KMSMOTE. Sci. Rep. 2022, 12, 16820. [Google Scholar] [CrossRef] [PubMed]
- Gong, L.; Jiang, S.; Wang, R.; Jiang, L. Empirical Evaluation of the Impact of Class Overlap on Software Defect Prediction. In Proceedings of the 2019 34th IEEE/ACM International Conference on Automated Software Engineering (ASE), San Diego, CA, USA, 11–15 November 2019; pp. 698–709. [Google Scholar] [CrossRef]
- Goel, N.; Singaravelu, M.; Gupta, S.; Namana, S.; Singh, R.; Kumar, R. Parameterized Clustering Cleaning Approach for High-Dimensional Datasets with Class Overlap and Imbalance. SN Comput. Sci. 2023, 4, 464. [Google Scholar] [CrossRef]
- Bernhardt, M.; Castro, D.C.; Tanno, R.; Schwaighofer, A.; Tezcan, K.C.; Monteiro, M.; Bannur, S.; Lungren, M.P.; Nori, A.; Glocker, B.; et al. Active Label Cleaning for Improved Dataset Quality under Resource Constraints. Nat. Commun. 2022, 13, 1161. [Google Scholar] [CrossRef] [PubMed]
- Liu, C.; Jin, S.; Wang, D.; Luo, Z.; Yu, J.; Zhou, B.; Yang, C. Constrained Oversampling: An Oversampling Approach to Reduce Noise Generation in Imbalanced Datasets With Class Overlapping. IEEE Access 2022, 10, 91452–91465. [Google Scholar] [CrossRef]
- Stefanowski, J. Overlapping, Rare Examples and Class Decomposition in Learning Classifiers from Imbalanced Data. In Emerging Paradigms in Machine Learning; Ramanna, S., Jain, L.C., Howlett, R.J., Eds.; Springer: Berlin/Heidelberg, Germany, 2013; pp. 277–306. [Google Scholar] [CrossRef]
- Tang, W.; Khoshgoftaar, T.M. Noise Identification with the K-Means Algorithm. In Proceedings of the 16th IEEE International Conference on Tools with Artificial Intelligence, Boca Raton, FL, USA, 15–17 November 2004; pp. 373–378. [Google Scholar] [CrossRef]
- Batista, G.E.A.P.A.; Prati, R.C.; Monard, M.C. A Study of the Behavior of Several Methods for Balancing Machine Learning Training Data. SIGKDD Explor. Newsl. 2004, 6, 20–29. [Google Scholar] [CrossRef]
- López, V.; Fernández, A.; García, S.; Palade, V.; Herrera, F. An Insight into Classification with Imbalanced Data: Empirical Results and Current Trends on Using Data Intrinsic Characteristics. Inf. Sci. 2013, 250, 113–141. [Google Scholar] [CrossRef]
- Le, T.; Baik, S.W. A Robust Framework for Self-Care Problem Identification for Children with Disability. Symmetry 2019, 11, 89. [Google Scholar] [CrossRef]
- Le, T.; Lee, M.Y.; Park, J.R.; Baik, S.W. Oversampling Techniques for Bankruptcy Prediction: Novel Features from a Transaction Dataset. Symmetry 2018, 10, 79. [Google Scholar] [CrossRef]
- Lang, C.I.; Sun, F.-K.; Lawler, B.; Dillon, J.; Dujaili, A.A.; Ruth, J.; Cardillo, P.; Alfred, P.; Bowers, A.; Mckiernan, A.; et al. One Class Process Anomaly Detection Using Kernel Density Estimation Methods. IEEE Trans. Semicond. Manuf. 2022, 35, 457–469. [Google Scholar] [CrossRef]
- Jureczko, M.; Madeyski, L. Towards Identifying Software Project Clusters with Regard to Defect Prediction. In Proceedings of the 6th International Conference on Predictive Models in Software Engineering, Timişoara, Romania, 12–13 September 2010; PROMISE ’10; Association for Computing Machinery: New York, NY, USA, 2010; pp. 1–10. [Google Scholar] [CrossRef]
- D’Ambros, M.; Lanza, M.; Robbes, R. An Extensive Comparison of Bug Prediction Approaches. In Proceedings of the 2010 7th IEEE Working Conference on Mining Software Repositories (MSR 2010), Cape Town, South Africa, 2–3 May 2010; pp. 31–41. [Google Scholar] [CrossRef]
- Shepperd, M.; Song, Q.; Sun, Z.; Mair, C. Data Quality: Some Comments on the NASA Software Defect Datasets. IEEE Trans. Softw. Eng. 2013, 39, 1208–1215. [Google Scholar] [CrossRef]
- Wu, R.; Zhang, H.; Kim, S.; Cheung, S.-C. ReLink: Recovering Links between Bugs and Changes. In Proceedings of the 19th ACM SIGSOFT Symposium and the 13th European Conference on Foundations of Software Engineering, Szeged, Hungary, 5–9 September 2011; ACM: Szeged, Hungary, 2011; pp. 15–25. [Google Scholar] [CrossRef]
- D’Ambros, M.; Lanza, M.; Robbes, R. Evaluating Defect Prediction Approaches: A Benchmark and an Extensive Comparison. Empir. Software Eng. 2012, 17, 531–577. [Google Scholar] [CrossRef]
- New Applications of Ensembles of Classifiers | Pattern Analysis and Applications. Available online: https://link.springer.com/article/10.1007/s10044-003-0192-z (accessed on 21 September 2024).
- Fan, G.; Diao, X.; Yu, H.; Yang, K.; Chen, L. Software Defect Prediction via Attention-Based Recurrent Neural Network; Wiley: Hoboken, NJ, USA, 2019. [Google Scholar] [CrossRef]
- Mahmood, Z.; Bowes, D.; Lane, P.C.R.; Hall, T. What Is the Impact of Imbalance on Software Defect Prediction Performance? In Proceedings of the 11th International Conference on Predictive Models and Data Analytics in Software Engineering, Beijing, China, 21 October 2015; PROMISE ’15. Association for Computing Machinery: New York, NY, USA, 2015; pp. 1–4. [Google Scholar] [CrossRef]
- Macbeth, G.; Razumiejczyk, E.; Ledesma, R.D. Cliff’s Delta Calculator: A Non-Parametric Effect Size Program for Two Groups of Observations; ResearchGate: Berlin, Germany, 2010. [Google Scholar] [CrossRef]












| Dataset | Project | #Instances | #Metrics | #Faulty Instances | Defective Ratio | Imbalance Ratio |
|---|---|---|---|---|---|---|
| Promise | prop-1.csv | 18,471 | 20 | 2738 | 14.80% | 5.75 |
| prop-2.csv | 23,014 | 20 | 2431 | 10.60% | 8.47 | |
| prop-3.csv | 10,274 | 20 | 1180 | 11.50% | 7.71 | |
| prop-4.csv | 8718 | 20 | 840 | 9.60% | 9.38 | |
| prop-5.csv | 8516 | 20 | 1299 | 15.30% | 5.56 | |
| ivy-2.0.csv | 352 | 20 | 40 | 11.36% | 7.8 | |
| jedit-4.2.csv | 367 | 20 | 48 | 13.08% | 6.65 | |
| Relink | safe.csv | 56 | 26 | 22 | 39.29% | 1.55 |
| zxing.csv | 399 | 26 | 118 | 29.57% | 2.38 | |
| NASA | MW1.csv | 253 | 37 | 27 | 10.67% | 8.37 |
| PC1.csv | 705 | 37 | 61 | 8.70% | 10.56 | |
| PC3.csv | 1077 | 37 | 134 | 12.40% | 7.04 | |
| PC4.csv | 1458 | 37 | 178 | 12.20% | 7.19 | |
| PC5.csv | 1711 | 38 | 471 | 27.50% | 2.63 | |
| AEEEM | xerces-1.2.csv | 440 | 20 | 71 | 16.14% | 5.2 |
| PDE.csv | 1497 | 15 | 209 | 14.00% | 6.16 | |
| xalan-2.4.csv | 723 | 20 | 110 | 15.20% | 5.57 | |
| jdt.csv | 997 | 15 | 206 | 20.70% | 3.84 | |
| mylyn.csv | 1862 | 15 | 245 | 13.20% | 6.6 |
| Method | Recall | G-Mean | Ba |
|---|---|---|---|
| AS-KDENN vs. Borderline-SMOTE | 3.81 × 10−6 | 7.25 × 10−5 | 2.67 × 10−5 |
| AS-KDENN vs. ADASYN-TOMEK | 3.81 × 10−6 | 1.64 × 10−4 | 1.64 × 10−3 |
| AS-KDENN vs. SMOTE-ENN | 1.91 × 10−5 | 1.4 × 10−2 | 1.69 × 10−3 |
| AS-KDENN vs. SMOTE-TOMEK | 3.81 × 10−6 | 5.34 × 10−5 | 1.69 × 10−3 |
| Project | Recall | G-Mean | Ba |
|---|---|---|---|
| jdt.csv | 0.77(large) | 0.0925(negligible) | 0.005(negligible) |
| mw1.csv | 0.6775(large) | 0.485(large) | 0.3025(small) |
| mylyn.csv | 0.885(large) | 0.635(large) | 0.565(large) |
| ivy-2.0.csv | 0.76(large) | 0.5875(large) | 0.4825(large) |
| jedit-4.2.csv | 0.68(large) | 0.505(large) | 0.41(medium) |
| safe.csv | 0.5075(large) | 0.1(negligible) | 0.14(negligible) |
| xerces-1.2.csv | 0.725(large) | 0.37(medium) | 0.3325(medium) |
| new_zxing.csv | 0.9825(large) | −0.2125(small) | −0.05(negligible) |
| PC1.csv | 0.75(large) | 0.575(large) | 0.47(medium) |
| PC3.csv | 0.88(large) | 0.5825(large) | 0.53(large) |
| PC4.csv | 0.87(large) | 0.55(large) | 0.565(large) |
| PC5.csv | 1.0(large) | −0.3(small) | −0.005(negligible) |
| PDE.csv | 1.0(large) | 0.91(large) | 0.82(large) |
| xalan-2.4.csv | 0.87(large) | 0.6925(large) | 0.6125(large) |
| prop-1.csv | 1.0(large) | 0.24(small) | 0.34(medium) |
| prop-2.csv | 1.0(large) | −0.175(small) | −0.205(small) |
| prop-3.csv | 1.0(large) | 0.605(large) | 0.61(large) |
| prop-4.csv | 0.99(large) | 0.785(large) | 0.63(large) |
| prop-5.csv | 1.0(large) | 0.76(large) | 0.885(large) |
| Project | Recall | G-Mean | Ba |
|---|---|---|---|
| jdt.csv | 0.575(large) | −0.08(negligible) | −0.11(negligible) |
| mw1.csv | 0.12(negligible) | 0.0925(negligible) | 0.0975(negligible) |
| mylyn.csv | 0.8475(large) | 0.6625(large) | 0.64(large) |
| ivy-2.0.csv | −0.0225(negligible) | 0.01(negligible) | 0.01(negligible) |
| jedit-4.2.csv | 0.1025(negligible) | −0.01(negligible) | −0.0175(negligible) |
| safe.csv | 0.4475(medium) | 0.22(small) | 0.245(small) |
| xerces-1.2.csv | 0.23(small) | 0.2275(small) | 0.2125(small) |
| zxing.csv | 0.6575(large) | −0.1525(small) | 0.065(negligible) |
| PC1.csv | −0.1675(small) | −0.1225(negligible) | −0.115(negligible) |
| PC3.csv | 0.29(small) | 0.125(negligible) | 0.1375(negligible) |
| PC4.csv | 0.5375(large) | 0.37(medium) | 0.4(medium) |
| PC5.csv | 0.735(large) | −0.2275(small) | 0.13(negligible) |
| PDE.csv | 0.4825(large) | 0.15(small) | 0.14(negligible) |
| xalan-2.4.csv | 0.165(small) | −0.005(negligible) | −0.005(negligible) |
| prop-1.csv | 1.0(large) | 0.44(medium) | 0.45(medium) |
| prop-2.csv | 1.0(large) | 0.485(large) | 0.505(large) |
| prop-3.csv | 1.0(large) | 0.78(large) | 0.78(large) |
| prop-4.csv | 0.975(large) | 0.8(large) | 0.7(large) |
| prop-5.csv | 1.0(large) | 0.3975(medium) | 0.635(large) |
| Project | Recall | G-Mean | Ba |
|---|---|---|---|
| jdt.csv | 0.89(large) | 0.1(negligible) | −0.085(negligible) |
| mw1.csv | 0.5375(large) | 0.3275(small) | 0.1875(small) |
| mylyn.csv | 0.9425(large) | 0.68(large) | 0.635(large) |
| ivy-2.0.csv | 0.7825(large) | 0.63(large) | 0.455(medium) |
| jedit-4.2.csv | 0.8075(large) | 0.6825(large) | 0.605(large) |
| safe.csv | 0.5825(large) | 0.385(medium) | 0.4925(large) |
| xerces-1.2.csv | 0.705(large) | 0.29(small) | 0.255(small) |
| new_zxing.csv | 0.985(large) | −0.0975(negligible) | 0.035(negligible) |
| PC1.csv | 0.7175(large) | 0.5675(large) | 0.47(medium) |
| PC3.csv | 0.9325(large) | 0.7(large) | 0.6525(large) |
| PC4.csv | 0.93(large) | 0.675(large) | 0.68(large) |
| PC5.csv | 1.0(large) | −0.04(negligible) | 0.14(negligible) |
| PDE.csv | 1.0(large) | 0.85(large) | 0.715(large) |
| xalan-2.4.csv | 0.94(large) | 0.8475(large) | 0.775(large) |
| prop-1.csv | 1.0(large) | 0.315(small) | 0.205(small) |
| prop-2.csv | 1.0(large) | 0.185(small) | 0.105(negligible) |
| prop-3.csv | 1.0(large) | 0.76(large) | 0.755(large) |
| prop-4.csv | 1.0(large) | 0.915(large) | 0.83(large) |
| prop-5.csv | 1.0(large) | 0.77(large) | 0.875(large) |
| Project | Recall | G-Mean | Ba |
|---|---|---|---|
| jdt.csv | 0.8425(large) | 0.105(negligible) | 0.005(negligible) |
| mw1.csv | 0.6225(large) | 0.3825(medium) | 0.3025(small) |
| mylyn.csv | 0.94(large) | 0.475(large) | 0.565(large) |
| ivy-2.0.csv | 0.7(large) | 0.495(large) | 0.4825(large) |
| jedit-4.2.csv | 0.705(large) | 0.495(large) | 0.41(medium) |
| safe.csv | 0.5925(large) | 0.28(small) | 0.14(negligible) |
| xerces-1.2.csv | 0.805(large) | 0.6025(large) | 0.3325(medium) |
| new_zxing.csv | 0.965(large) | −0.0825(negligible) | −0.05(negligible) |
| PC1.csv | 0.9075(large) | 0.82(large) | 0.47(medium) |
| PC3.csv | 0.9575(large) | 0.75(large) | 0.53(large) |
| PC4.csv | 0.9375(large) | 0.66(large) | 0.565(large) |
| PC5.csv | 0.9975(large) | −0.25(small) | −0.005(negligible) |
| PDE.csv | 1.0(large) | 0.785(large) | 0.82(large) |
| xalan-2.4.csv | 0.84(large) | 0.605(large) | 0.6125(large) |
| prop-1.csv | 1.0(large) | 0.485(large) | 0.34(medium) |
| prop-2.csv | 1.0(large) | 0.57(large) | −0.205(small) |
| prop-3.csv | 1.0(large) | 0.76(large) | 0.61(large) |
| prop-4.csv | 0.99(large) | 0.855(large) | 0.63(large) |
| prop-5.csv | 1.0(large) | 0.91(large) | 0.885(large) |
| Project | Recall | G-Mean | Ba |
|---|---|---|---|
| Random+KDENN vs. Random | 3.81 × 10−6 | 2.67 × 10−5 | 2.67 × 10−5 |
| SMOTE+KDENN vs. SMOTE | 3.81 × 10−6 | 3.81 × 10−6 | 3.81 × 10−6 |
| ADASYN+KDENN vs. ADASYN | 3.81 × 10−6 | 1.64 × 10−4 | 3.81 × 10−5 |
Disclaimer/Publisher’s Note: The statements, opinions and data contained in all publications are solely those of the individual author(s) and contributor(s) and not of MDPI and/or the editor(s). MDPI and/or the editor(s) disclaim responsibility for any injury to people or property resulting from any ideas, methods, instructions or products referred to in the content. |
© 2024 by the authors. Licensee MDPI, Basel, Switzerland. This article is an open access article distributed under the terms and conditions of the Creative Commons Attribution (CC BY) license (https://creativecommons.org/licenses/by/4.0/).
Share and Cite
Wang, R.; Liu, F.; Bai, Y. A Software Defect Prediction Method That Simultaneously Addresses Class Overlap and Noise Issues after Oversampling. Electronics 2024, 13, 3976. https://doi.org/10.3390/electronics13203976
Wang R, Liu F, Bai Y. A Software Defect Prediction Method That Simultaneously Addresses Class Overlap and Noise Issues after Oversampling. Electronics. 2024; 13(20):3976. https://doi.org/10.3390/electronics13203976
Chicago/Turabian StyleWang, Renliang, Feng Liu, and Yanhui Bai. 2024. "A Software Defect Prediction Method That Simultaneously Addresses Class Overlap and Noise Issues after Oversampling" Electronics 13, no. 20: 3976. https://doi.org/10.3390/electronics13203976
APA StyleWang, R., Liu, F., & Bai, Y. (2024). A Software Defect Prediction Method That Simultaneously Addresses Class Overlap and Noise Issues after Oversampling. Electronics, 13(20), 3976. https://doi.org/10.3390/electronics13203976

