STC-BERT (Satellite Traffic Classification-BERT): A Traffic Classification Model for Low-Earth-Orbit Satellite Internet Systems
Abstract
1. Introduction
2. Research Status
2.1. Traditional Traffic Classification Models
2.2. Pretrained Models
3. STC-BERT
3.1. Model Architecture
3.2. Data Processing and Traffic Cluster Encoding
3.2.1. Data Extraction
3.2.2. Traffic Cluster Embedding
3.3. Pretraining
3.4. Fine-Tuning
3.4.1. The Semantic-Enhancement Algorithm
3.4.2. Feature Fusion Module
4. Experimental Verification
4.1. Evaluation Metrics and Experimental Setup
4.2. Comparison with Existing Models
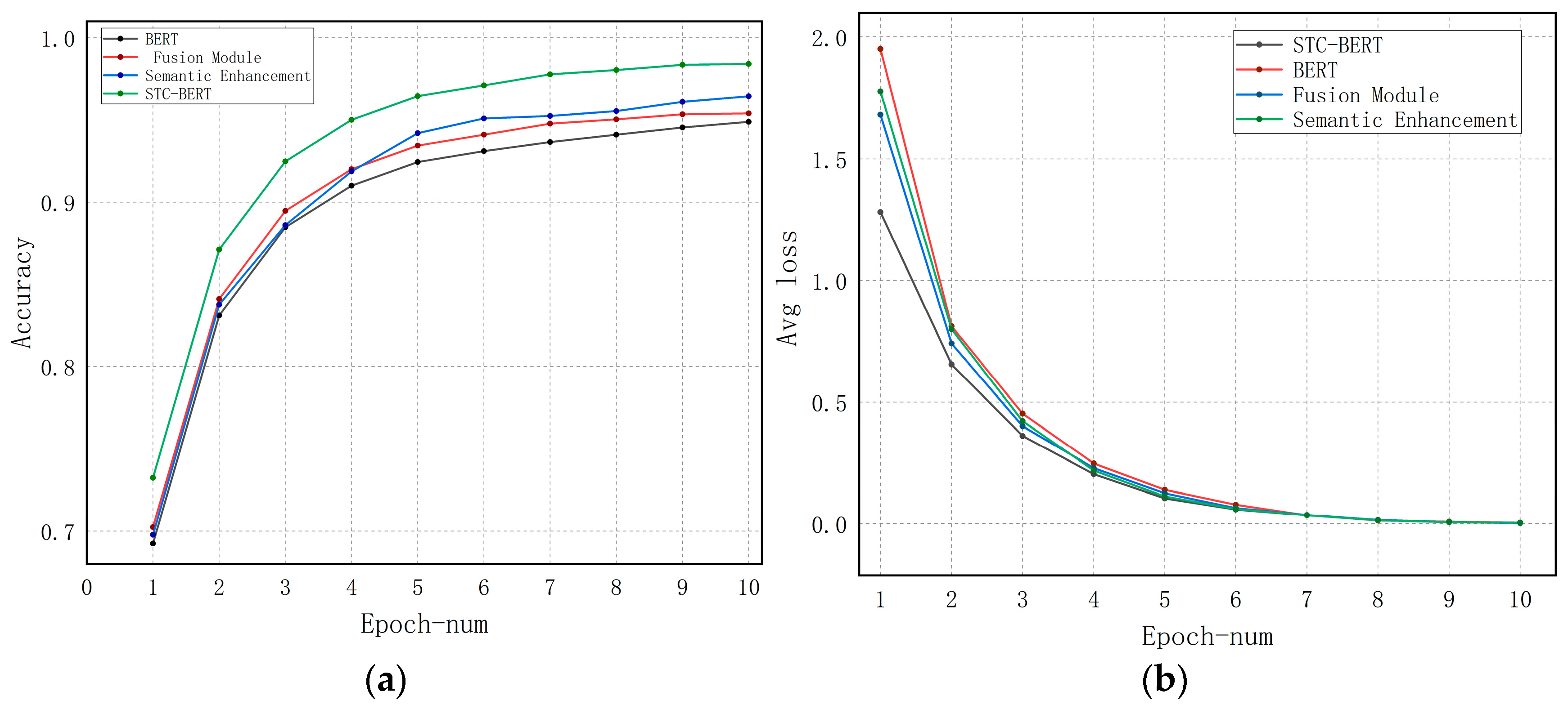
4.3. Ablation Experiments
5. Discussion
6. Conclusions
Author Contributions
Funding
Data Availability Statement
Acknowledgments
Conflicts of Interest
References
- Ying, T.; Wenting, J.; Zhao, G.; Wei, Z.; Zihe, G. Current Situation and Development Prospect of Satellite Internet. Int. Space 2024, 5, 57–63. [Google Scholar]
- Zorzi, M.; Zanella, A.; Testolin, A.; Grazia, M.D.F.D.; Zorzi, M. Cognition-Based Networks: A New Perspective on Network Optimization Using Learning and Distributed Intelligence. IEEE Access 2015, 3, 1512–1530. [Google Scholar] [CrossRef]
- Centenaro, M.; Costa, C.E.; Granelli, F.; Sacchi, C.; Vangelista, L. A Survey on Technologies, Standards and Open Challenges in Satellite IoT. IEEE Commun. Surv. Tutorials 2021, 23, 1693–1720. [Google Scholar] [CrossRef]
- Bu, Z.; Zhou, B.; Cheng, P.; Zhang, K.; Ling, Z.-H. Encrypted Network Traffic Classification Using Deep and Parallel Network-in-Network Models. IEEE Access 2020, 8, 132950–132959. [Google Scholar] [CrossRef]
- Zhou, P. Research and Design of P2P Traffic Detection System Based on DPI and DFI. Master’s Thesis, Guangxi University, Nanning, China, 2015. [Google Scholar]
- Zang, X.; Wang, T.; Zhang, X.; Gong, J.; Gao, P.; Zhang, G. Encrypted malicious traffic detection based on natural language processing and deep learning. Comput. Netw. 2024, 250, 110598. [Google Scholar] [CrossRef]
- Yu, L.; Tao, J.; Xu, Y.; Sun, W.; Wang, Z. TLS fingerprint for encrypted malicious traffic detection with attributed graph kernel. Comput. Netw. 2024, 247, 110475. [Google Scholar] [CrossRef]
- Yan, H.; He, L.; Song, X.; Yao, W.; Li, C.; Zhou, Q. Bidirectional Statistical Feature Extraction Based on Time Window for Tor Flow Classification. Symmetry 2022, 14, 2002. [Google Scholar] [CrossRef]
- Zhao, S.; Chen, S.; Wei, Z. Statistical Feature-Based Personal Information Detection in Mobile Network Traffic. Wirel. Commun. Mob. Comput. 2022, 2022, 5085200. [Google Scholar] [CrossRef]
- Wang, L.; Che, L.; Lam, K.-Y.; Liu, W.; Li, F. Mobile traffic prediction with attention-based hybrid deep learning. Phys. Commun. 2024, 66, 102420. [Google Scholar] [CrossRef]
- Ke, A.; Luo, J.; Cai, B. UNet-like network fused swin transformer and CNN for semantic image synthesis. Sci. Rep. 2024, 14, 16761. [Google Scholar] [CrossRef] [PubMed]
- Min, L.; Fan, Z.; Dou, F.; Sun, J.; Luo, C.; Lv, Q. Adaption BERT for Medical Information Processing with ChatGPT and Contrastive Learning. Electronics 2024, 13, 2431. [Google Scholar] [CrossRef]
- Jiao, X.; Yin, Y.; Shang, L.; Jiang, X.; Chen, X.; Li, L.; Wang, F.; Liu, Q. TinyBERT: Distilling BERT for Natural Language Understanding. arXiv 2019, arXiv:1909.10351. [Google Scholar] [CrossRef]
- He, H.Y.; Yang, Z.G.; Chen, X.N. PERT: Payload Encoding Representation from Transformer for Encrypted Traffic Classification. In Proceedings of the 2020 ITU Kaleidoscope: Industry-Driven Digital Transformation (ITU K), Ha Noi, Vietnam, 7–11 December 2020; pp. 1–8. [Google Scholar] [CrossRef]
- Wang, Y.; Gao, Y.; Li, X.; Yuan, J. Encrypted Traffic Classification Model Based on SwinT-CNN. In Proceedings of the 2023 4th International Conference on Computer Engineering and Application (ICCEA), Hangzhou, China, 7–9 April 2023; pp. 138–142. [Google Scholar] [CrossRef]
- Song, Z.; Zhao, Z.; Zhang, F.; Xiong, G.; Cheng, G.; Zhao, X.; Guo, S.; Chen, B. I2 RNN: An Incremental and Interpretable Recurrent Neural Network for Encrypted Traffic Classification. IEEE Trans. Dependable Secur. Comput. 2023. [Google Scholar] [CrossRef]
- Ma, Q.; Huang, W.; Jin, Y.; Mao, J. Encrypted Traffic Classification Based on Traffic Reconstruction. In Proceedings of the 2021 4th International Conference on Artificial Intelligence and Big Data (ICAIBD), Chengdu, China, 28–31 May 2021; pp. 572–576. [Google Scholar] [CrossRef]
- Zhang, X.; Ma, Y. An ALBERT-based TextCNN-Hatt hybrid model enhanced with topic knowledge for sentiment analysis of sudden-onset disasters. Eng. Appl. Artif. Intell. 2023, 123, 106136. [Google Scholar] [CrossRef]
- Liu, Y.; Ott, M.; Goyal, N.; Du, J.; Joshi, M.; Chen, D.; Levy, O.; Lewis, M.; Zettlemoyer, L.; Stoyanov, V. RoBERTa: A Robustly Optimized BERT Pretraining Approach. arXiv 2019, arXiv:1907.11692. [Google Scholar] [CrossRef]
- Sanh, V.; Debut, L.; Chaumond, J.; Wolf, T. DistilBERT, a distilled version of BERT: Smaller, faster, cheaper and lighter. arXiv 2019, arXiv:1910.01108. [Google Scholar] [CrossRef]
- Tian, X.; Zhang, Z.; Lin, S.; Qu, Y.; Xie, Y.; Ma, L. Farewell to Mutual Information: Variational Distillation for Cross-Modal Person Re-Identification. arXiv 2021, arXiv:2104.02862. [Google Scholar] [CrossRef]
- Lin, X.; Xiong, G.; Gou, G.; Li, Z.; Shi, J.; Yu, J. ET-BERT: A Contextualized Datagram Representation with Pre-training Transformers for Encrypted Traffic Classification. In Proceedings of the ACM Web Conference, Lyon, France, 25–29 April 2022; pp. 633–642. [Google Scholar]
- Wang, H.; Yu, D. Going Beyond Sentence Embeddings: A Token-Level Matching Algorithm for Calculating Semantic Textual Similarity. In Proceedings of the 61st Annual Meeting of the Association for Computational Linguistics (Volume 2: Short Papers), Toronto, Canada, 9–14 July 2023; Association for Computational Linguistics: Stroudsburg, PA, USA, 2023; pp. 563–570. [Google Scholar]
- Li, B.; Zhou, H.; He, J.; Wang, M.; Yang, Y.; Li, L. On the Sentence Embeddings from Pre-trained Language Models. In Proceedings of the 2020 Conference on Empirical Methods in Natural Language Processing (EMNLP), Online, 16–20 November 2020; Association for Computational Linguistics: Stroudsburg, PA, USA, 2020; pp. 9119–9130. [Google Scholar]
- Kim, Y. Convolutional Neural Networks for Sentence Classification. arXiv 2014, arXiv:1408.5882. [Google Scholar] [CrossRef]
- Zhao, S.; Chen, S.; Wang, F.; Wei, Z.; Zhong, J.; Liang, J. A Large-Scale Mobile Traffic Dataset for Mobile Application Identification. Comput. J. 2023, 67, 1501–1513. [Google Scholar] [CrossRef]
- Zhao, S.; Zhong, J.; Chen, S.; Liang, J. Comprehensive Mobile Traffic Characterization Based on a Large-Scale Mobile Traffic Dataset. In Network and System Security; NSS 2022. Lecture Notes in Computer Science, vol 13787; Springer: Cham, Switzerland, 2022. [Google Scholar] [CrossRef]
- Zhou, P.; Xie, X.; Lin, Z.; Yan, S. Towards Understanding Convergence and Generalization of AdamW. IEEE Trans. Pattern Anal. Mach. Intell. 2024, 46, 6486–6493. [Google Scholar] [CrossRef]
- Lotfollahi, M.; Siavoshani, M.J.; Zade, R.S.H.; Saberian, M. Deep packet: A novel approach for encrypted traffic classification using deep learning. Soft Comput. 2019, 24, 1999–2012. [Google Scholar] [CrossRef]
- Wang, W.; Zhu, M.; Zeng, X.; Ye, X.; Sheng, Y. Malware traffic classification using convolutional neural network for representation learning. In Proceedings of the 2017 International Conference on Information Networking (ICOIN), Da Nang, Vietnam, 11–13 January 2017. [Google Scholar] [CrossRef]
- Draper-Gil, G.; Lashkari, A.H.; Mamun, M.S.I.; Ghorbani, A.A. Characterization of Encrypted and VPN Traffic Using Time-Related Features. In Proceedings of the International Conference on Information Systems Security and Privacy (ICISSP), Rome, Italy, 19–21 February 2016. [Google Scholar] [CrossRef]
- van Ede, T.; Bortolameotti, R.; Continella, A.; Ren, J.; Dubois, D.J.; Lindorfer, M.; Choffnes, D.; van Steen, M.; Peter, A. FlowPrint: Semi-Supervised Mobile-App Fingerprinting on Encrypted Network Traffic. In Proceedings of the Network and Distributed System Security Symposium, San Diego, CA, USA, 23–26 February 2020. [Google Scholar] [CrossRef]
- Liu, X.; Liu, Z.; Zhang, Y.; Zhang, W.; Lv, D.; Zhou, Q. TCN enhanced novel malicious traffic detection for IoT devices. Connect. Sci. 2022, 34, 1322–1341. [Google Scholar]








| Dataset | USTC-TFC | |||
|---|---|---|---|---|
| Models | AC | PR | RC | F1 |
| DPI | 0.9640 | 0.9650 | 0.9631 | 0.9641 |
| PERT | 0.9909 | 0.9911 | 0.9910 | 0.9911 |
| ET-BERT | 0.9915 | 0.9915 | 0.9916 | 0.9916 |
| STC-BERT | 0.9931 | 0.9928 | 0.9878 | 0.9903 |
| Dataset | ISCX-VPN | |||
|---|---|---|---|---|
| Models | AC | PR | RC | F1 |
| DPI | 0.9758 | 0.9785 | 0.9745 | 0.9765 |
| PERT | 0.8229 | 0.7092 | 0.7173 | 0.6992 |
| ET-BERT | 0.9962 | 0.9936 | 0.9938 | 0.9937 |
| STC-BERT | 0.9949 | 0.9937 | 0.9951 | 0.9944 |
| Dataset | Cross-Platform | |||
|---|---|---|---|---|
| Models | AC | PR | RC | F1 |
| DPI | 0.8805 | 0.8004 | 0.7567 | 0.8138 |
| PERT | 0.9772 | 0.8628 | 0.8591 | 0.8550 |
| ET-BERT | 0.9728 | 0.9439 | 0.9119 | 0.9206 |
| STC-BERT | 0.9844 | 0.9725 | 0.9402 | 0.9561 |
| Dataset | CSTNET-TLS 1.3 | |||
|---|---|---|---|---|
| Models | AC | PR | RC | F1 |
| DPI | 0.8019 | 0.4315 | 0.2689 | 0.4022 |
| PERT | 0.8915 | 0.8846 | 0.8719 | 0.8741 |
| ET-BERT | 0.9737 | 0.9742 | 0.9742 | 0.9741 |
| STC-BERT | 0.9819 | 0.9770 | 0.9711 | 0.9740 |
Disclaimer/Publisher’s Note: The statements, opinions and data contained in all publications are solely those of the individual author(s) and contributor(s) and not of MDPI and/or the editor(s). MDPI and/or the editor(s) disclaim responsibility for any injury to people or property resulting from any ideas, methods, instructions or products referred to in the content. |
© 2024 by the authors. Licensee MDPI, Basel, Switzerland. This article is an open access article distributed under the terms and conditions of the Creative Commons Attribution (CC BY) license (https://creativecommons.org/licenses/by/4.0/).
Share and Cite
Liu, K.; Zhang, Y.; Lu, S. STC-BERT (Satellite Traffic Classification-BERT): A Traffic Classification Model for Low-Earth-Orbit Satellite Internet Systems. Electronics 2024, 13, 3933. https://doi.org/10.3390/electronics13193933
Liu K, Zhang Y, Lu S. STC-BERT (Satellite Traffic Classification-BERT): A Traffic Classification Model for Low-Earth-Orbit Satellite Internet Systems. Electronics. 2024; 13(19):3933. https://doi.org/10.3390/electronics13193933
Chicago/Turabian StyleLiu, Kexuan, Yasheng Zhang, and Shan Lu. 2024. "STC-BERT (Satellite Traffic Classification-BERT): A Traffic Classification Model for Low-Earth-Orbit Satellite Internet Systems" Electronics 13, no. 19: 3933. https://doi.org/10.3390/electronics13193933
APA StyleLiu, K., Zhang, Y., & Lu, S. (2024). STC-BERT (Satellite Traffic Classification-BERT): A Traffic Classification Model for Low-Earth-Orbit Satellite Internet Systems. Electronics, 13(19), 3933. https://doi.org/10.3390/electronics13193933
