Abstract
Aiming to address the problems of nonlinearity, a large time delay, poor adjustment ability, and a difficult parameter setting process of the tension control system of belt conveyor tensioning devices, an adaptive Proportional-Integral-Derivative (PID) parameter self-tuning algorithm based on an improved seeker optimization algorithm (ISOA) is proposed in this paper. The algorithm uses inertia weight random mutation to determine step size. An improved boundary reflection strategy avoids the defect of a large number of out-of-bound individuals gathering on the boundary in a traditional algorithm, and projects the individual reflection beyond the boundary into the boundary, which increases the diversity of the population and improves the convergence accuracy of the algorithm. To improve the system response speed and suppress the overshoot problem of the control target, coefficients related to the proportional term are introduced into the fitness function to accelerate the convergence of the algorithm. The improved algorithm is tested on three test functions such as Sphere and compared with other classical algorithms, which verify that the proposed algorithm is better in accuracy and stability. Finally, the interference and tracking performance of the ISOA-PID controller are verified in industrial experiments, which show that the PID controller optimized using the ISOA has good control quality and robustness.
1. Introduction
As an important part of a belt conveyor, the tension device is particularly important for long-distance, large-capacity, and high-speed conveyors. The dynamic characteristics of long-distance belt conveyors are obvious, and the operation is complex. The conveyor has different tension requirements in the three stages of start-up, stable operation, and shutdown. The conveyor belt stores or releases a large amount of energy in the transient process. This energy forms dynamic tension inside the conveyor belt. Too-large or too-small tension causes the conveyor tensioning device to show strong nonlinearity and time variability in the working process [1]. Therefore, determining how to realize continuous control of the tension of the tensioning device and make the tension adapt to changes in the external load in real time is of great significance for enhancing the safety and reliability of the conveyor, and improving the working efficiency of the conveying system.
The PID algorithm has a simple principle, good robustness, high reliability, and wide adaptability. The control effect mainly depends on the results of the parameter settings [2]. Due to the different application objects, PID controller parameter tuning has always been a complicated problem. The control problem can be simply regarded as an optimization problem, and optimal control parameters are sought to achieve higher solution accuracy. Therefore, it has always been a hot research point to use various intelligent optimization algorithms to self-tune the parameters of PID controllers.
Zhu, P. et al. [3] proposed the BP fuzzy neural network algorithm for constant tension PID control of a traction winch, which improved the accuracy of cable tension control. Meng, F. et al. [4] studied a constant tension control method based on a combination of GA and FOPID. Wang, Q. et al. [5] applied IMC PID control to the micro-tension control of a yarn-winding system. Khosravi, M.A. et al. [6] proposed a robust PID controller for cable robots. Wang, H. et al. [7] applied the PID algorithm to the dynamic tension control of a heavy-duty scraper conveyor. Xiao, Y. et al. [8] used a genetic algorithm to optimize the initial parameters and fuzzy rules of a fuzzy PID, which improved the control accuracy of strip tension and made the tension of a rolling mill more stable. Deng, L. et al. [9] proposed a new mechanical structure and tension control scheme for a transformer-winding device, which is superior to the traditional PID control rate in overcoming interference and the control effect.
The SOA was originally proposed in [10] to simulate the behavior of human search populations in order to solve real parameter optimization problems. Duan, S. et al. [11,12,13] applied the seeker optimization algorithm to the elastic collision engineering problem. Guo, J. et al. [14] used a new hybrid SOA for fractional-order modeling and the parameter identification of super-capacitors. Kumar, M.R. et al. [15] used an improved nonlinear adaptive SOA to design fractional-order controllers in the frequency domain. Dai, C. et al. [16] proposed a new neural network training evolution method using the SOA to adjust the structure and parameters of artificial neural networks. Zhu, C. et al. [17] proposed a multi-train timetable optimization method based on an improved seeker optimization algorithm (SOA) to suppress system track potential. Jordehi, A.R. [18] studied five chaos-based SOA strategies with four different chaotic mapping functions and selected the best strategy as the chaos scheme suitable for the SOA. To improve the motion control performance of autonomous underwater vehicles (AUVs), Wan, J. et al. [19] proposed a fractional-order PID (FOPID) strategy. Banerjee, A. et al. [20] applied the SOA to power system load tracking. Shaw, B. et al. [21] used the seeker optimization algorithm expert system to solve the economic dispatch problem. Tuba, M. et al. [22] improved the seeker optimization and firefly algorithms to solve the constrained optimization problem.
This study proposes an improved seeker optimization algorithm (ISOA) in order to determine the optimal PID control parameters that can well meet the dynamic performance requirements of the tension control system of a belt conveyor tensioning device. Section 2 introduces in detail the working principle of the belt conveyor tensioning mechanism and a mathematical model of the tensioning system. Section 3 introduces the principle of PID control and the standard seeker optimization algorithm (SOA), and then improves the improvement strategy and design of PID control for seeker collection and search. In Section 4, three typical test functions are selected to test their performance, and the optimization effects of the standard PSO, standard GA, and standard SOA are compared to prove the effectiveness of the proposed algorithm. Section 5 presents a simulation analysis and industrial test based on ISOA-PID control. Finally, conclusions are drawn in Section 6.
2. Mathematical Model of the Tensioning Device System
2.1. Working Principle of the Tensioning Device
The tensioning system acts according to the start–stop control instruction of the conveyor and the current running state of the conveyor; the structure of the belt conveyor tensioning device is shown in Figure 1. The feedback tension signal is transformed into a voltage signal that can be processed by the controller through the conditioning circuit, and then the signal is compared with the tension voltage signal given by the controller. Combined with the current state of the belt conveyor, a logic judgment is made, and the response command is issued to control the relevant actuators to take corresponding actions so as to adjust the conveyor belt tension to meet system requirements.
Figure 1.
Structure of belt conveyor tensioning device.
The requirements of the belt conveyor for the tensioning device are as follows: the tensioning device must meet the different tension requirements of the three stages of the conveyor start-up, stable operation, and shutdown, and it must accurately respond to changes in the load and maintain a constant tension during stable operation. In order to make the system stable, the tension value is kept within a certain range, and the actual tension value is not adjusted when it is within this range. When the tension exceeds this range, the tensioning brake is opened to drive the tensioning motor for adjustment; when the sampling tension exceeds the upper and lower limits set by the system, the system will stop in time and issue a fault alarm.
2.2. Mathematical Model of the Tensioning System
The linearized flow equation of the servo valve is shown in Equation (1):
Here, is the flow amplification factor; is the displacement of the valve core; is the flow pressure coefficient; and is the hydraulic cylinder pressure.
The flow continuity equation of the hydraulic cylinder is shown in Equation (2):
Here, is the effective area of the piston in the oil inlet chamber; is the total leakage coefficient of the hydraulic cylinder; is the displacement of the piston; is the effective bulk modulus of elasticity; and is the capacity of the oil inlet chamber.
The incremental equation of the output force of the hydraulic cylinder is shown in Equation (3):
Here, is the equivalent total mass; is the viscous damping coefficient; is the stiffness of the load spring; is the output force of the hydraulic cylinder; and is the friction resistance of the tensioning trolley.
The Laplace transform of Equations (1)–(3) is as follows:
By ignoring the smaller coefficients in the tensioning system and simplifying Equation (4), the following is obtained:
Here, is the natural frequency of the load; is the ratio of the series stiffness to the damping coefficient of the hydraulic and load; is the natural frequency formed by the parallel stiffness of the hydraulic and load springs and the load mass; is the hydraulic natural frequency; is the stiffness of the hydraulic spring; and , is the damping ratio.
Based on the above, the control system of the tension device is shown in Figure 2. is the amplifier gain; is the servo valve gain; and is the feedback coefficient.
Figure 2.
Tensioning device control system.
3. Controller Design
3.1. PID Control
A PID control system framework is shown in Figure 3.
Figure 3.
PID control system framework.
The deviation equation can be written as follows:
The control law of PID is shown in Equation (7):
Equation (7) is written in the form of a transfer function as shown in Equation (8):
Here, is the proportional coefficient; is the integral time constant; and is the differential time constant.
3.2. Standard Seeker Optimization Algorithm
The SOA is based on the traditional direct simulation of human search behavior. It is a research result obtained by analyzing human random search behavior with the help of artificial intelligence, swarm intelligence, and brain science [23]. The steps of the SOA are as follows:
- (1)
- Fitness function: The SOA only uses the fitness value to evaluate the pros and cons of the individual or solution in the process of search and evolution and as the basis for updating the individual position in the future so that the initial solution gradually evolves to the optimal solution. To obtain satisfactory transient dynamic characteristics, the time integral performance index of the absolute error is used as the minimum objective function. To prevent the control energy from being too large, the square of the control input is introduced. To avoid overshoot, a certain penalty control is adopted, namely, the optimum index:
Here, is the weight, and ; in general, , , and .
- (2)
- Search step size: The uncertain reasoning behavior of the SOA uses the approximation ability of the fuzzy system to simulate human intelligent search behavior so as to establish the relationship between the objective function value and step size. A Gaussian membership function is used to represent the search step fuzzy variable:
Here, is the Gaussian membership degree; is the input variable; and and are the parameters of the membership function.
- (3)
- Search direction: through an analysis and the modeling of human self-interest behavior, altruistic behavior, and pre-action behavior, the self-interest direction , altruistic direction , and pre-action direction of any search individual are obtained, respectively.
Considering the above three factors, the search direction is determined by the random weighted geometric average of the three directions.
Here, and are the best positions in ; is the best position in the collective history of the field where the -th search individual is located; is the best position the search individual has experienced so far; is a sign function, and and are constants in [0, 1].
- (4)
- Individual position update: after determining the search direction and step size, the position is updated.
Here, is the movement amount of search individual in -dimensional space, and and are the current position and updated position of search individual , respectively.
3.3. Improved Seeker Optimization Algorithm (ISOA)
The seeker optimization algorithm is the same as other intelligent algorithms. With continuous iteration, there may be stagnation of the search process and local aggregation of a large number of search individuals in the later stages, which ultimately lead to convergence of the algorithm. The result easily falls into the local optimum. Therefore, the convergence accuracy and convergence speed of the algorithm need to be improved, and the problem of a lack of diversity of population individuals in the later stages of the algorithm needs to be solved. This study proposes the following improvement strategies so that the algorithm can reasonably avoid the above problems:
- (1)
- Random dynamic variation of inertia weight
The standard SOA uses the gradient descent method to correct the iteration of the inertia weight. The learning rate in the gradient descent method is a fixed value, which is generally based on experience. The size of the learning rate value affects the search individual position update rate, which, in turn, affects the speed of the entire algorithm, causing it to converge to the global optimal solution. Therefore, when using the random inertia weight mutation strategy, if the individual is close to the optimal position in the initial state, the randomly generated inertia weight value may be relatively small, which can accelerate the convergence speed of the entire algorithm [24]. The random inertia weight mutation strategy can overcome the limitation of the linear decrease in the weight value in the gradient descent method not converging to the optimal point.
Here, and are the maximum and minimum values of the random dynamic inertia weight.
- (2)
- Boundary reflection strategy
In the process of movement, the position of the individual will exceed the limit of the given space. The standard SOA deals with the boundary by fixing the seekers beyond the boundary to the boundary, but this may cause a large number of seekers to gather at the boundary [25]. Due to the fact that standard SOA algorithm processors fix a large number of seekers beyond the boundary range on the boundary, setting boundary values for them will have a certain impact on the diversity of the population. Inspired by reverse learning, an improved boundary reflection strategy is obtained, and the seekers beyond the upper and lower boundaries are reflected and projected into the population boundary according to Equation (18), which avoids the defects of the standard SOA, increases the diversity of the population, and improves the convergence accuracy of the algorithm to a certain extent.
Here, is the update position of the -th particle; and are the upper and lower boundaries, respectively; and and are some restrictions on the random number generated by .
- (3)
- Improvement of the fitness function
Let the number of seekers in the population be , and the position vector of each particle be composed of three control parameters of the PID controller, that is, the dimension of the individual position vector. Then, the population can be represented by a matrix of . In the process of search and evolution, the SOA algorithm only uses the fitness value to evaluate the advantages and disadvantages of the individual or solution, and serves as the basis for updating the position of the individual in the future, so that the initial solution gradually evolves to the optimal solution. It is very important to construct a suitable fitness function, which directly affects the running speed of the algorithm and whether the global optimal solution can be found. For PID control, a reasonable proportional link coefficient is selected and applied to PID regulation. Through this idea, coefficient related to the proportional link is introduced into the fitness function to accelerate the convergence of the algorithm.
3.4. ISOA-PID Controller Optimization Design
The ISOA is used to optimize the deviation of the signal collected by the system, and the three parameters of the controller—, , and —are adjusted so that the comprehensive performance of the controller is optimal and the working requirements of the full load system are met. The self-tuning principle diagram of the controller parameters is shown in Figure 4.
Figure 4.
Parameter self-tuning principle of ISOA-PID controller.
The specific steps of the ISOA-PID algorithm to optimize the three parameters of the PID controller are shown in Figure 5.
Figure 5.
Flowchart of ISOA-PID algorithm.
4. Performance Analysis of the Algorithm
4.1. Selection of Optimization Functions
In this study, three typical functions are selected for optimization experiments, and the optimization effects of the PSO algorithm, GA, and SOA are used to prove the effectiveness of the ISOA proposed in this paper. The parameters of the three standard test functions are set as shown in Table 1.
Table 1.
Test function parameter settings.
- (1)
- Sphere function
- (2)
- Schaffer function
- (3)
- Rastrigin function
4.2. Parameter Settings
In this study, four algorithms are selected for performance comparisons: the standard SOA, the standard PSO algorithm, the standard GA, and the ISOA proposed in this paper. Based on the principle of consistent parameter setting, the basic parameters of each algorithm are set as follows:
GA: population size, 100; the maximum number of iterations, 100; crossover probability, 0.7; and mutation probability, 0.3.
ISOA: population size, 100; the maximum number of iterations, 100; the maximum membership value, 0.9500; the minimum membership value, 0.0111; the maximum weight, 0.9; and the minimum weight, 0.1.
PSO algorithm: population size, 100; the maximum number of iterations, 100; weight, 1; the individual learning coefficient, 1.49445; and the global learning coefficient, 1.49445.
SOA: population size, 100; the maximum number of iterations, 100; the maximum membership value, 0.9500; the minimum membership value, 0.0111; the maximum weight, 0.9; and the minimum weight, 0.1.
The hardware device used for the simulation of the above algorithm is a notebook with an Intel Core i7-5500 2.4 GHz CPU, 16 GB RAM, and a 64-bit operating system, and the simulation environment is Win10 MATLAB R2021b.
In this study, the convergence accuracy of the algorithm is evaluated by calculating the average value, and the stability of the algorithm is evaluated using the standard deviation. The results of the abnormal state are removed, the average and standard deviation of 10 similar data points are selected, and the experimental data are shown in Table 2. The convergence accuracy and stability of the improved seeker optimization algorithm, the ISOA, on three test functions are better than those of the other algorithms, thus proving that the ISOA has certain advantages.
Table 2.
Convergence accuracy and stability of different algorithms.
5. Simulation Analysis and Industrial Test
5.1. Simulation Analysis
By substituting the parameters of the belt conveyor tensioning device into the mathematical model, the transfer function of the tension control system can be obtained.
The ISOA algorithm is simulated by MATLAB simulation software, and the optimization process is simulated. The fitness function optimization curve and kp, ki, and kd optimization curves of the algorithm are obtained as shown in Figure 6 and Figure 7.
Figure 6.
ISOA fitness curve.
Figure 7.
Optimization curves of kp, ki, and kd.
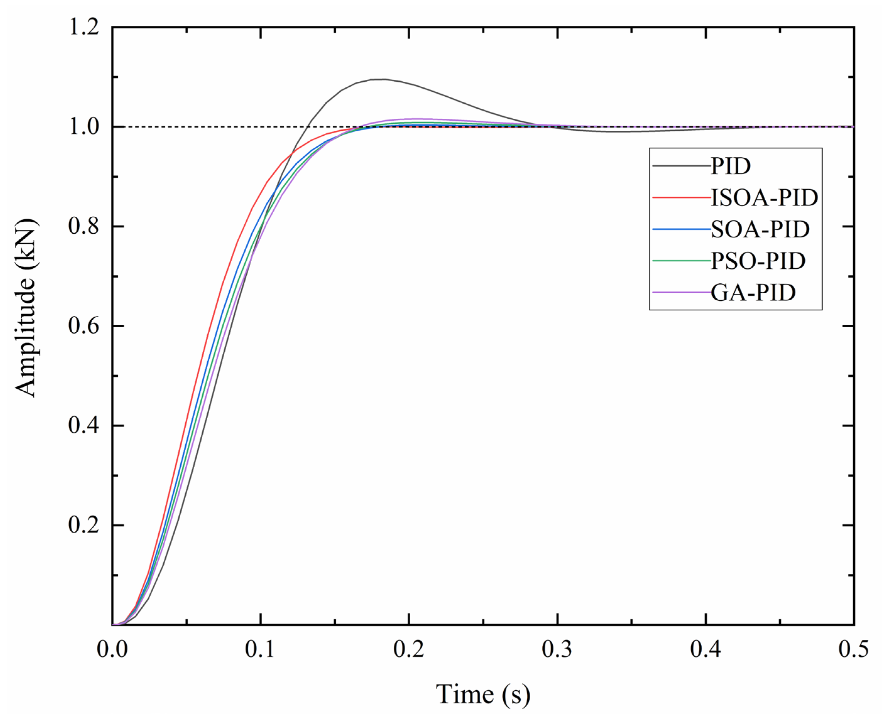
The four algorithms are run in MATLAB to obtain the three best PID parameters, and the simulation model of PID control is built in SIMULINK, and then the best PID control parameters are input into the controller. Figure 8 shows the PID step response of the belt conveyor tensioning system, and the simulation time is 0.5 s. The overshoot of ordinary PID control is 9%, and the steady-state response time is about 0.44 s. The output curve response of PSO-PID, GA-PID, and PSO-PID controllers is also very fast, and there is also a small overshoot, but this overshoot is much smaller than the overshoot of the PID controller. However, the ISOA-PID controller has a smaller overshoot; almost none. The steady-state response time of the ISOA-PID, SOA-PID, PSO-PID, and GA-PID control is 0.20 s, 0.25 s, 0.28 s, and 0.32 s, respectively.
Figure 8.
Step response of PID control system.
To simulate the sudden decrease or increase in tension in the loosening or tightening process of the belt conveyor, the control system model is built in SIMULINK as shown in Figure 9.
Figure 9.
SIMULINK model of control system.
When the setting system runs at 0.6 s and 1.2 s, disturbance is added, and the response speed of the ordinary PID control and the four types of optimized PID control can be observed at this time. The response speed of ISOA-PID to interference is the fastest, being the first to reach the set value stably, with good dynamic and static performance, the effect is shown in Figure 10.
Figure 10.
PID step response when the cylinder is tight and loose.
5.2. Industrial Test
An industrial test is carried out in the process of the upgrading and reconstruction project of an underground conveyor in a coal mine. The tensioning device is designed according to theoretical research and actual process requirements. The technical parameters of the belt conveyor used in the test are as follows: the conveyor length is 1500 m; the conveying capacity is 2000 t/h; the belt speed is 4.5 m/s; and the start tension is 150 kN. The tensioning hydraulic station motor power is 5.5 kW. The belt conveyor with a hydraulic tensioning device is model ZYJ-500/24D-B, with a maximum stroke of 30 m, maximum tension of 400 kN, and weight of 400 kg. The tension sensor adopts GAD10 as the mine is an intrinsically safe type, and the technical parameters are as follows: range: 1~10 t; operating voltage DC10V; output signal: DC (0~15) mV; and error: ±10%. The two ends of the tension sensor are connected to the wire rope. One end of the wire rope is connected to the tensioning trolley and the other end is connected to the fixed end, and the tension change signal of the conveyor belt is collected in real time. In Figure 11, the pressure gauge is installed on the pressure-measuring cylinder, which can display the pressure of the pressure-measuring cylinder in real time. Like the tension sensor of the wire rope, it can indirectly collect tension during the tensioning process. The collected tension change signal can be displayed from the monitoring platform after processing. The monitoring interface of the upper computer system in the central control room can view the operation of the conveyor and the real-time tension trend curve.
Figure 11.
Industrial test of hydraulic tensioning of belt conveyor.
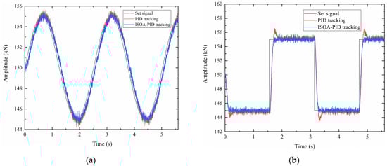
Figure 12 shows the tracking response of the tension signal under two different control modes. The ISOA-PID control system and the ordinary PID control system have a certain delay in the following starting position and the tracking process, and the delay of the PID control system is relatively larger. There is not much difference between the tracking PID control system and the ISOA-PID control system under the sinusoidal signal, and there is a certain overshoot in the tracking of the PID controller. The tracking effect of the ISOA-PID control system under the square-wave signal is much better than that of the PID control system, and there is no overshoot. Based on the above analysis, it can be concluded that ISOA-PID control can better follow the given tension signal and avoid the influence of the uncertainty and nonlinear interference of the tension of the belt conveyor on the dynamic performance of the control system.
Figure 12.
PID control system tension signal tracking response. (a) Sine signal tracking; (b) square-wave signal tracking.
6. Conclusions
In this study, the working principle of the belt conveyor tensioning system was analyzed, and a mathematical model of the tensioning device system was established, laying the foundation for subsequent research on PID parameter tuning of tension control.
A method of PID parameter tuning for the tension control of a belt conveyor tensioning device based on an improved seeker optimization algorithm was proposed. The inertia weight, boundary reflection strategy, and fitness function of the seeker optimization algorithm were improved to effectively avoid the problem of premature convergence, stagnation, or convergence to a local optimal solution when the SOA seeks the global optimal solution.
To verify the effectiveness of the PID controller based on ISOA tuning for the belt conveyor tensioning control system, simulation and industrial tests were carried out. The step response and interference performance of the PID tension control system tuned using four algorithms were analyzed, and the effect of the PID control system tuned using the ISOA-PID algorithm on the tension signal was studied. The industrial test and simulation show that the PID control system optimized using the ISOA has good control quality and robustness, and it can ensure good control performance.
Author Contributions
Conceptualization, Y.W.; methodology, Y.W.; investigation, Y.W. and L.W.; writing—original draft, Y.W.; writing—review and editing, Z.K.; supervision, Z.K.; project administration, Z.K. All authors have read and agreed to the published version of the manuscript.
Funding
This work was supported by the National Natural Science Foundation of China under grant 52174147 (project title: Research on Intelligent Control and Fault Diagnosis of Autonomous Inspection Robot for Belt Conveyor in Harsh Environment); Key Technology Research and Industrialization of Intelligent Lower Transportation Expandable Belt Conveyor Equipment (Taishan Industry Leading Talent Program).
Data Availability Statement
The data presented in this study are available on request from the corresponding author.
Conflicts of Interest
The authors declare no conflicts of interest.
References
- Zhu, L.; Jiang, W. Research on typical models of coal mine belt conveyor in China. Coal J. 2010, 35, 1916–1920. [Google Scholar]
- Liu, C.; Hu, M.; Yang, Q. Research on semi-physical simulation test technology of wave energy generation. J. Mech. Eng. 2021, 57, 286–296. [Google Scholar]
- Zhu, P.; Zhang, Q.; Zhao, Z.; Yang, B. BP fuzzy neural network PID based constant tension control of traction winch. Meas. Control 2022, 56, 857–873. [Google Scholar] [CrossRef]
- Meng, F.; Liu, S.; Liu, K. Design of an Optimal Fractional Order PID for Constant Tension Control System. IEEE Access 2020, 8, 58933–58939. [Google Scholar] [CrossRef]
- Wang, Q.; Li, A.; Li, Y.; Liu, J.; Shen, H.; Li, G. Microtension control for a yarn winding system with an IMC PID controller. Mech. Ind. 2019, 20, 609. [Google Scholar] [CrossRef]
- Khosravi, M.A.; Taghirad, H.D. Robust PID control of fully-constrained cable driven parallel robots. Mechatronics 2014, 24, 87–97. [Google Scholar] [CrossRef]
- Wang, H.; Zhang, Q.; Xie, F. Dynamic tension test and intelligent coordinated control system of a heavy scraper conveyor. IET Sci. Meas. Technol. 2017, 11, 871–877. [Google Scholar] [CrossRef]
- Xiao, Y.; Yu, A.; Qi, H.; Jiang, Y.; Zhou, W.; Gao, N.; Liu, W. Research on the tension control method of lithium battery electrode mill based on GA optimized Fuzzy PID. J. Intell. Fuzzy Syst. 2021, 40, 10211–10234. [Google Scholar] [CrossRef]
- Deng, L.; Suo, H.; Ren, H. Design of Insulation Tape Tension Control System of Transformer Winding Machine Based on Fuzzy PID. Sensors 2021, 21, 6512. [Google Scholar] [CrossRef]
- Dai, C.; Zhu, Y.; Chen, W. Seeker optimization algorithm. In Computational Intelligence and Security, Proceedings of the International Conference, CIS 2006, Guangzhou, China, 3–6 November 2006; Lecture Notes in Computer Science; Springer: Berlin/Heidelberg, Germany, 2007. [Google Scholar]
- Duan, S.; Luo, H.; Liu, H.; Huang, J. A Complex-Valued Encoding Multichain Seeker Optimization Algorithm for Engineering Problems. Sci. Program. 2022, 2022, 8249030. [Google Scholar] [CrossRef]
- Duan, S.; Luo, H.; Liu, H.; Prabowo, A.R. An Elastic Collision Seeker Optimization Algorithm for Optimization Constrained Engineering Problems. Math. Probl. Eng. 2022, 2022, 1344667. [Google Scholar] [CrossRef]
- Duan, S.; Luo, H.; Liu, H. A Multi-Strategy Seeker Optimization Algorithm for Optimization Constrained Engineering Problems. IEEE Access 2022, 10, 7165–7195. [Google Scholar] [CrossRef]
- Guo, J.; Liu, W.; Chu, L.; Zhao, J. Fractional-Order Modeling and Parameter Identification for Ultracapacitors with a New Hybrid SOA Method. Energies 2019, 12, 4251. [Google Scholar] [CrossRef]
- Kumar, M.R.; Deepak, V.; Ghosh, S. Fractional-order controller design in frequency domain using an improved nonlinear adaptive seeker optimization algorithm. Turk. J. Electr. Eng. Comput. Sci. 2017, 25, 4299–4310. [Google Scholar] [CrossRef]
- Dai, C.; Chen, W.; Zhu, Y.; Jiang, Z.; You, Z. Seeker optimization algorithm for tuning the structure and parameters of neural networks. Neurocomputing 2011, 74, 876–883. [Google Scholar] [CrossRef]
- Zhu, C.; Du, G.; Ding, Y.; Huang, W.; Wang, J.; Fan, M.; Zhu, Z. Rail potential control with train diagram optimization in multitrain DC traction power system. Int. J. Rail Transp. 2021, 10, 476–496. [Google Scholar] [CrossRef]
- Jordehi, A.R. Seeker optimisation (human group optimisation) algorithm with chaos. J. Exp. Theor. Artif. Intell. 2015, 27, 753–762. [Google Scholar] [CrossRef]
- Wan, J.; Liu, W.; Ding, X.; He, B. Fractional order PID motion control based on seeker optimization algorithm for AUV. In Proceedings of the OCEANS 2018 MTS/IEEE Charleston, Charleston, SC, USA, 22–25 October 2018; IEEE: Piscataway, NJ, USA, 2018. [Google Scholar]
- Banerjee, A.; Mukherjee, V.; Ghoshal, S.P. Seeker optimization algorithm for load-tracking performance of an autonomous power system. Int. J. Electr. Power Energy Syst. 2012, 43, 1162–1170. [Google Scholar] [CrossRef]
- Shaw, B.; Mukherjee, V.; Ghoshal, S.P. Solution of economic dispatch problems by seeker optimization algorithm. Expert Syst. Appl. 2012, 39, 508–519. [Google Scholar] [CrossRef]
- Tuba, M.; Bacanin, N. Improved seeker optimization algorithm hybridized with firefly algorithm for constrained optimization problems. Neurocomputing 2014, 143, 197–207. [Google Scholar] [CrossRef]
- Gholipour, E.; Nosratabadi, S.M. A new coordination strategy of SSSC and PSS controllers in power system using SOA algorithm based on Pareto method. Int. J. Electr. Power Energy Syst. 2015, 67, 462–471. [Google Scholar] [CrossRef]
- Zhao, Z.; Huang, S.; Wang, W. Simplified particle swarm optimization algorithm based on random inertia weight. Comput. Appl. Res. 2014, 31, 361–363+391. [Google Scholar]
- Ge, Y.; Zhao, R. Research on optimization of self-tuning PID system based on improved SOA algorithm. Instrum. Technol. Sens. 2020, 453, 108–113+116. [Google Scholar]
Disclaimer/Publisher’s Note: The statements, opinions and data contained in all publications are solely those of the individual author(s) and contributor(s) and not of MDPI and/or the editor(s). MDPI and/or the editor(s) disclaim responsibility for any injury to people or property resulting from any ideas, methods, instructions or products referred to in the content. |
© 2024 by the authors. Licensee MDPI, Basel, Switzerland. This article is an open access article distributed under the terms and conditions of the Creative Commons Attribution (CC BY) license (https://creativecommons.org/licenses/by/4.0/).











