Abstract
Natural ventilation is a critical method for reducing energy consumption for heating, cooling, and ventilating buildings. Recent research has focused on utilizing environmental IoT data from both inside and outside buildings for NVR prediction based on a deep learning model. To design an accurate NVR prediction model while considering individual building environments, various knowledge-sharing methods can be applied, such as transfer learning and ensemble models for cross-building prediction. However, the characteristics of learning data and model parameters should be considered when applying transfer learning and ensemble models to predict NVR with different spatial and temporal domains. In this paper, we propose a way to design an NVR prediction model for a cross-building environment by normalizing the training data, selecting transfer learning layers that are well-suited to the data environment, and augmenting NVR knowledge via ensemble methods. Based on the experimental results, we confirm that the proposed knowledge-sharing deep learning approach, while considering the normalizing of training data, the selecting transfer learning layers, and augmenting the NVR knowledge approach, can improve the accuracy up to 11.8% in the two different offices and seasons.
1. Introduction
The indoor environment of architectural structures significantly affects the health and productivity of the occupants, underscoring the importance of adequate ventilation. Particularly, heating, ventilation, and air conditioning (HVAC) systems can help indoor temperature and humidity and control ventilation to sustain a stable environment within buildings. On the other hand, predicting natural ventilation provides an efficient strategy for minimizing energy expenditures on heating, cooling, and ventilation for the structural components of buildings for air exchange between indoor and outdoor environments. The role of natural ventilation in buildings extends beyond energy savings and sustainability by reducing carbon footprints and enhancing indoor air quality. Improved indoor air quality directly impacts the health and productivity of occupants, making natural ventilation an essential component of modern building design. Therefore, the broader significance of effective natural ventilation includes contributing to healthier living environments and environmental conservation efforts.
Recently, some studies have reported the application of machine learning and deep learning technologies to predict the natural ventilation rate (NVR), effectively harnessing natural ventilation [1,2,3,4]. The calculation of NVR takes into account variables from both the interior and exterior building environments, necessitating ongoing IoT (Internet of Things) sensing for accurate prediction. However, reality often presents a scenario where there is an insufficiency of IoT sensing data for prediction in targeted buildings [5,6]. Since for machine learning and deep learning models to provide high prediction accuracy, it is essential. With a considerable volume of data [7,8,9], NVR predictions could potentially degrade the reliability of prediction accuracy with insufficient IoT sensing learning data.
One of the solutions is using transfer learning. Transfer learning is widely used, and it is a methodological approach whereby models developed for a specific purpose within a target domain are repurposed to address challenges within a different target environment [10,11,12,13]. Transfer learning facilitates the intelligent application of knowledge acquired in one domain to solve tasks in another. Recent studies have reported some strategies to overcome the shortage of learning data [3,4,14,15,16,17,18,19,20] in the energy and building fields. These strategies involve the utilization of operational data gathered from assorted buildings as the source data to provide knowledge transfer to target buildings.
In this paper, we focus on employing transfer learning for NVR prediction across distinct spatial and seasonal contexts. To design a transfer learning model to provide high NVR accuracy in a temporally and spatially imbalanced data environment, first match the imbalanced distributions of the two learning data. In addition, ensemble techniques are used to design a model that is robust to the environment of the target domain using the transferred knowledge. For that, we mitigate these distributional differences by normalizing the distributions of source data, which are collected from different spatial and temporal areas related to the target domain data necessitating transfer learning. In addition, we select transfer learning layers that are part of cross-spatial and temporal transfer learning while considering the amount of imbalanced data. Finally, we present an enhanced NVR prediction model that employs ensemble techniques to enhance knowledge transfer, compensating for the knowledge shortage resulting from limited training data.
The summary of the proposed methodologies is as follows:
- Normalization of learning data distributions across different spatial and temporal domains.
- Selection of transfer learning layers suitable for the data environment
- Enhancement of knowledge through ensembles
Based on the experimental results, we confirm that the proposed knowledge-sharing deep learning approach, considering normalizing training data, selecting transfer learning layers, and augmenting the NVR knowledge approach, can improve the accuracy up to 11.8% in the two different offices and seasons.
2. Background
Machine learning and deep learning-based regression predictions conventionally demand extensive datasets. However, in domain-specific applications such as NVR predictions, the requirement for continuous IoT sensing may lead to insufficient learning data. Recently, the strategy of employing transfer learning has been investigated as a solution to counteract the challenges posed by limited data availability within the building domain, leveraging operational data amassed from disparate buildings. Zhang et al. [14] introduced an innovative transfer learning approach aimed at addressing the issue of power load forecasting within smart grids. They developed a source task selection algorithm to avert the transfer of detrimental knowledge. Cheong et al. [15] advanced a methodology predicated on transfer learning for the anticipation of building energy demand with a 24 h forecast horizon. Yu et al. [3] engaged in forecasting the thermal response of buildings across diverse environmental and operational settings for the facilitation of smart building management, employing cross-building transfer techniques with buildings located in Beijing and Shanghai.
Data augmentation represents a method to enhance data diversity and volume in contexts of data paucity, thereby facilitating data-centric modeling through the generation of supplemental data. Recently, some studies have reported the integration of data augmentation and transfer learning, especially for building energy and HVAC control optimization. Zhou et al. [16] leveraged BiGAN (Bidirectional Generative Adversarial Networks) for data augmentation, introducing an integrated forecasting model for energy system loads in scenarios of limited data availability. They proposed a methodology for analyzing the fidelity of generated data by assessing similarities between the generated and target data. Lu et al. [17] advanced a calibrated simulation model aimed at simplifying the training of data-driven prediction models amidst a scarcity of authentic building domain data. Furthermore, Ye et al. [18] unveiled a revised S2P (Sequence to Point) algorithm designed to delineate heat, ventilation, and HVAC loads within total building energy usage.
Data augmentation serves as a strategy to mitigate the problems associated with data insufficiency in data-driven modeling through the generation of additional data. In this case, the data augmentation encounters two primary challenges: the potential lack of reliability in the generated data and the reconstruction of parameters in tune with retraining newly generated data. To avoid these problems and enhance model efficacy from the standpoint of modeling, the various strategies are under investigation. Among them, ensemble techniques are widely used as a method of fusing multiple models to overcome the instability and limitations of a single model. In recent developments, research has turned towards enhancing the generalizability of models within the building energy and HVAC control domains through the use of ensemble methods combined with the application of transfer learning. X. Fang et al. [19] introduced a multi-source ensemble transfer learning framework, Multi-LSTM-DANN (Long Short-Term Memory Domain-Adversarial Neural Network), which leverages LSTM-DANN neural networks and similarity metrics to elevate the prediction accuracy of building power consumption utilizing data from multiple building sources. Park et al. [20] proposed an ensemble transfer learning technique aimed at leveraging data from other individuals to forecast personal thermal comfort. Furthermore, I. Shaer et al. [4] developed the HMCOVP (Hierarchical Model for CO2 Variation Predictions), which distinctively enhanced accuracy by employing an ensemble model to effectively harness the wisdom of crowds. Table 1 shows the summary of previous works in building domains with transfer learning methods compared to ours.
Table 1.
Comparison of transfer learning methods in building domain.
This study has two distinct characteristics:
- A transfer learning method is proposed in an environment where the size of the original data are similar to the size of the target data, while existing studies are conducted in an environment where the original data are more than four times larger than the target data.
- An effective transfer learning method is proposed by considering the distribution differences between the source and target data and normalizing the source data to match the distribution of the target data.
3. Research Method
In this paper, we focus on using transfer learning for NVR prediction across different spatial and seasonal contexts. To achieve high NVR accuracy in spatially and seasonally imbalanced data environments, we first match the distributions of the two imbalanced training datasets. We then design a pre-trained model (i.e., PredTrain) by developing an environmentally robust model for the source domain using ensemble techniques. The knowledge from this PredTrain is transferred to the model for the target environment. Finally, the model is trained with data from the target environment to ensure it performs well in the new environment. Figure 1 in this paper summarizes the proposed method, which implements a model specialized for NVR prediction across various spatial and seasonal contexts.
Figure 1.
Summary of the proposal method.
The proposed model includes architectures designed to handle both spatial and temporal data variations. The model trains with specific attention to these variations, employing normalization and transfer learning to ensure robust performance across different environments. The training process involves selecting appropriate layers for transfer learning and using ensemble methods to enhance prediction accuracy. Detailed descriptions of the model architectures, training processes, and data normalization techniques are provided to offer a comprehensive understanding of the methodology.
3.1. Data Sources
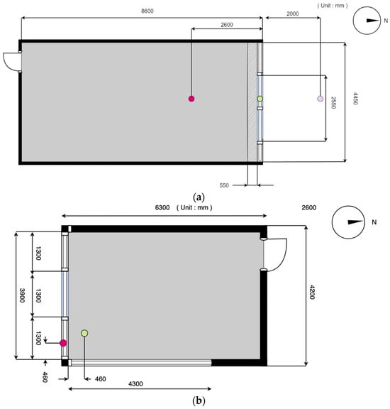
In this paper, we propose a way to predict the NVR using indoor and outdoor environmental data measured through IoT sensing in a cross-building environment with different spatial and temporal domains. The summer data used for the experiment was collected from an office on the 4th floor of a university research building in Daejeon, Republic of Korea, from 21 June to 10 July 2019, over a total of 20 days, between 2 PM and 6 PM. The autumn data were collected from an office on the 1st floor of the same university research building from 1 October to 19 November 2019, over a total of 41 days, between 2 PM and 6 PM. The environment for data collection maintained a constant open area by keeping two tilting windows open while the rest were closed in an office freely accessible for entry and exit. Additionally, to measure NVR and indoor and outdoor environmental data, window-mounted slits and indoor and outdoor environmental sensors were installed. The floor plan of the environment where data were collected is shown in Figure 2.
Figure 2.
Floor plan of the environmental data experiment space: (a) Summer data environment, (b) Autumn data environment. This figure illustrates the layout of the offices where data were collected, providing context for the spatial variations considered in the study. red dots and green dots represent indoor and outdoor environmental variable measuring sensors. pink dots represent sensors for measuring natural ventilation.
NVR is calculated using the airflow velocity measured by airflow sensors and the open area of the slit installed in the tilting windows. The calculated NVR is determined as the average value of the airflow sensors, as shown in Equation (1). V represents the airflow velocity, and A denotes the effective area of the slit installed in the tilting windows, which is, essentially, the area through which the air enters. The interval for sampling data were set to one minute, with a total of 7164 samples collected for summer and 19,307 samples for autumn.
In this study, the IoT dataset for constructing the NVR prediction model comprises indoor and outdoor features such as Pd (pressure difference), Pa (atmospheric pressure), Wd (wind direction), Ws (wind speed), SR (solar radiation), Tin (indoor air temperature), Tout (outdoor air temperature), RHin (indoor relative humidity), RHout (outdoor relative humidity), Td (difference in indoor/outdoor air temperature), and RHd (difference in indoor/outdoor relative humidity). The dataset, consisting of Pd, Pa, Wd, Ws, SR, Tin, Tout, RHin, RHout, Td, RHd, and NVR, is referred to as the dataset for NVR prediction. Table 2 summarizes the dataset for NVR prediction. Pd, Pa, Wd, Ws, and Td are well-known factors that significantly impact NVR. Conversely, SR, Tin, Tout, RHin, RHout, and RHd are factors that relatively have less influence on NVR [1].
Table 2.
Summary of the dataset for NVR prediction: This table lists the indoor and outdoor environmental features used for NVR prediction, detailing the parameters measured and their relevance to the study.
3.2. Foundation DNN-Based NVR Prediction Method
In this study, we employ a Foundation NVR prediction model based on Deep Neural Networks (DNN) for predicting the NVR. DNNs, algorithms inspired by the human neural network, are designed to recognize arbitrary patterns [21]. Considering the small size of the input values for NVR prediction, the Foundation NVR prediction model is structured with fewer nodes and thinner layers.
The structure of the Foundation NVR prediction model proposed in this study is illustrated in Figure 2. This predictive model comprises five layers, each consisting of 100 nodes, adopting a configuration of [100, 100, 100, 100, 100]. To address the issue of model overfitting, a DropOut layer was incorporated after each layer. In terms of detailed model settings, the ReLU activation function was employed after each layer to prevent the Gradient Vanishing problem common in regression tasks [22,23,24]. The proportion of nodes to be deactivated during the learning process in each DropOut layer was set to 25%. The optimization function used during the model training process was Adam, with a learning rate set at 0.001.
The input data for NVR prediction in Figure 3 was normalized to ensure that all features have the same scale. This normalization helps speed up the training process and improve model performance. Specifically, each feature was scaled to have a zero mean and unit variance.
Figure 3.
Structure of the Foundation NVR prediction model.
The model training was conducted using a batch size of 32, and the dataset was split into training and validation sets with a ratio of 80:20. To enhance the robustness of the model, data augmentation techniques such as random shuffling and resampling were applied. The model was trained for 200 epochs, with EarlyStopping implemented to prevent overfitting during the training process. The EarlyStopping mechanism monitored the validation loss, and training was halted if the validation loss did not improve for 20 consecutive epochs.
The performance of the model was evaluated using metrics such as Mean Absolute Error (MAE). The validation set was used to tune the hyperparameters and assess the model’s ability to generalize to unseen data. Hyperparameters such as learning rate, batch size, and dropout rate were optimized using grid search. This systematic approach ensured that the best combination of hyperparameters was selected for the final model.
3.3. Normalization of Learning Data Distributions across Various Spatial and Temporal Domains
In machine learning, accurate numerical prediction typically requires a large amount of data. However, numerical predictions within the building domain, such as NVR predictions, necessitate periodic IoT sensing, consuming considerable time. Consequently, NVR predictions usually occur in data-scarce environments, demanding effective machine learning methods under such constraints. Transfer learning, as a strategy, exploits data from similar domains or tasks to transfer knowledge, thus enhancing model performance through the reuse of knowledge. This approach is straightforward when the datasets reside within the same domain and can be represented using the same model. However, distinct seasonal patterns, prompted by seasonal variations, necessitate consideration of data differences [3,25]. This study underscores the necessity of normalization methods that account for data variations due to seasonal and spatial differences (environments with distinct learning data distributions across various spatial and temporal domains) when employing transfer learning methods. We propose a more effective knowledge transfer technique that considers differences in learning data distributions across various spatial and temporal domains compared to conventional knowledge transfer methods.
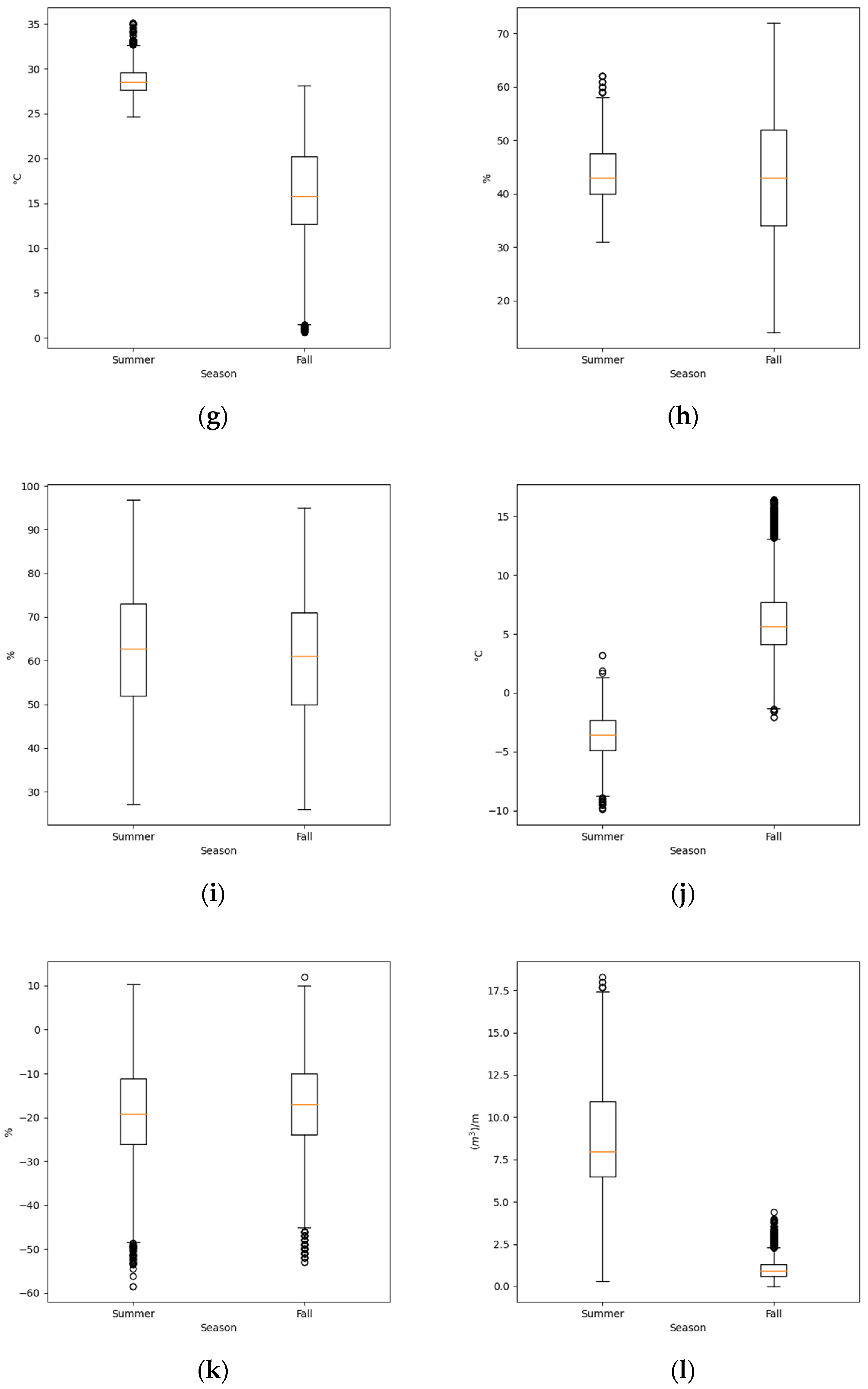
Figure 4 illustrates a box plot representation of the data (Pd, Pa, Wd, Ws, SR, Tin, Tout, RHin, RHout, Td, and RHd) used for NVR prediction, highlighting the seasonal differences encountered within NVR environments during summer and autumn. Key influencers on NVR, Pd, and Ws exhibited substantial differences between seasons, mirroring the seasonal variance in NVR and validating a significant correlation. Specifically, the critical factor Wd displayed an average seasonal angular difference of 50°. In the case of Td, it was observed that more than 98% of values were below zero during summer, while more than 97% exceeded zero during autumn, indicative of internal temperatures being lower than external temperatures due to summer cooling and vice versa due to autumn heating. Such contrasting behaviors of Td across seasons could lead to incorrect knowledge transfer when implementing Transfer Learning, underscoring the need for preprocessing that accounts for these seasonal characteristics prior to transfer. Tin and Tout also confirmed higher readings during the summer when considering seasonal attributes, as compared to the autumn. SR exhibited substantial differences due to the variance in solar elevation between the seasons. In contrast, humidity-related parameters such as RHin, RHout, and RHd, though marginally higher in summer due to seasonal traits, did not show as pronounced differences as the other factors. Consequently, Figure 4 facilitates the verification of seasonal data variation due to distinct seasonal traits. This paper highlights the need for effective knowledge transfer, taking into account the above distinct seasonal differences.

Figure 4.
Box plot of data for NVR prediction (a) Pd, (b) Pa, (c) Wd, (d) Ws, (e) SR, (f) Tin, (g) Tout, (h) RHin, (i) RHout, (j) Td, (k) RHd, and (l) NVR. The middle yellow line represents the median position.
We aim to achieve effective knowledge transfer by considering the differences in data distribution due to seasonal variations. We propose a method to normalize source data to align with the target data, addressing the discrepancies arising from seasonal differences in data distribution. Algorithm 1 details the data normalization method suggested. Firstly, we calculate the mean and standard deviation values for the source data S. Then, we subtract the mean value of S from each element in the source data S and compute the mean and standard deviation values for T. Finally, we adjust S to match the distribution of the Target data. In conclusion, Algorithm 1 is exploited to align the distribution of source and target data to address seasonal and spatial differences. This approach allows deep learning models to generalize well in various environments.
| Algorithm 1. Normalize between source and target data |
| Input: Source data S, Target data T Output: Normalized Source data Snorm 1. Calculate the mean (Smean) and standard deviation (Sstd) of Source Data (S) 2. Standardize Source Data (S): For each element in Source Data (S): Subtract Smean from the element Divide the result by Sstd Store the result in Sstandardized 3. Calculate the mean (Tmean) and standard deviation (Tstd) of Target Data (T) 4. Adjust Sstandardized to match the distribution of Target Data (T): For each element in Sstandardized: Multiply the element by Tstd Add Tmean to the result Store the result in Snorm 5. Return Snorm |
3.4. Selection of an Appropriate Transfer Learning Domain for the Data Environment
This research seeks to facilitate effective knowledge transfer across diverse seasonal and spatial data contexts. The tuning and hyper-parameterization of models for efficient knowledge transfer is a subject of active research [26,27,28]. In particular, methods of transfer learning based on the similarity between data domains have been explored, as have the transfer learning domains contingent on the size and resemblance of source and target data [5,29]. We propose a more effective approach to knowledge transfer by selecting and training in a transfer learning domain that is well-suited to the environmental data for NVR prediction, surpassing the efficacy of conventional knowledge transfer methods.
Previous studies have shown that when using transfer learning in an environment where the source data are small and not very similar to the target data, it is effective to freeze the upper layers and retrain the remaining layers [26,29]. Based on the previous research, we propose freezing the upper layers and retraining the lower layers for NVR prediction. Figure 5 shows the transfer learning model proposed for NVR prediction with freezing the upper layers and retraining the lower layers. In our model, the PredTrain is created by training on source data that has undergone the normalization assumptions proposed in Section 3.3 and then conducting transfer learning on the target data. Based on previous research, we experimentally explored the appropriate transfer learning domain for the data environment by sequentially freezing the layers from the top to the bottom in the Foundation DNN-Based NVR Prediction model. Our transfer learning approach involved freezing the upper layers of the model and retraining the lower layers to adapt to the new data environment. This method leverages pre-existing knowledge while fine-tuning the model for specific target domains.
Figure 5.
Selection of an Appropriate Transfer Learning Domain for the Data Environment Method.
3.5. Augmenting for NVR Knowledge
In this paper, we propose effective methods of transfer learning across different spatial and temporal. Generally, machine learning requires large amounts of data for accurate numerical prediction, and transfer learning can improve performance by reusing knowledge from different domains or tasks. However, data collection within the building domain, such as for NVR prediction, demands continuous IoT sensing, leading to a potential shortage of source data for PredTrain, which can hinder smooth transfer learning. This study aims for effective knowledge transfer in situations where both source and target data are scarce, proposing a method of knowledge augmentation through ensembles. The ensemble methods, which train and merge multiple models, can overcome the limitations of instability in single models and enhance prediction accuracy [30,31,32,33]. In particular, ensemble methods based on bagging aggregate models trained on different training datasets enable more accurate classification and regression problem-solving than single models [34,35]. We propose a knowledge-sharing deep learning model that expands the domain of knowledge transferred beyond that of single-model transfer learning by employing a bagging-based ensemble to address the issue of insufficient knowledge transfer due to data scarcity.
Figure 6 illustrates a bagging-based ensemble model for NVR prediction. For the selection of training data for the bagging-based ensemble model, principal characteristics used for NVR prediction such as Pd, Wd, Pa, and Ws were included, and the remaining data, including SR, Tin, Tout, RHin, RHout, Td, and RHd were dependently selected and explored through greedy search. The selected training data are categorized into four types: Data 1 (Pd, Pa, Wd, Ws, SR, Tin, RHin, RHout, Td, and RHd), Data 2 (Pd, Pa, Wd, Ws, SR, Tin, Tout, RHin, RHout, and Td), Data 3 (Pd, Pa, Wd, Ws, SR, Tout, RHout, Td, and RHd), and Data 4 (Pd, Pa, Wd, Ws, SR, Tin, Tout, RHin, RHout, Td, and RHd). These four types of training data are used for the foundation NVR prediction model, which has the same model structure, and an aggregation of each Foundation NVR model trained on these four types of data are used to predict NVR.
Figure 6.
Increasing Knowledge through Ensemble.
4. Experimental Results
4.1. Evaluation Environments
In this study, to simulate a data-deficient environment, data for a specific number of days were randomly sampled and used. Section 4.2 of the paper experiments within a fixed target data environment to analyze the performance of the normalization method for training data distributions across different spatial and temporal domains, as proposed in Section 3.3. That is, we assess the performance enhancement of the source data transformed by the method suggested in Section 3.4. In Section 4.2, experiments were conducted using a fixed set of 500 source data samples as the target data, with 250, 500, and 1000 source data samples used in the trials. Section 4.3 proceeds to experiment with the selection of an appropriate transfer learning domain for the data environment, as proposed in Section 3.4, using a fixed set of 1000 source data samples and experimenting with 250, 500, and 1000 target data samples. Section 4.4 of the paper demonstrates the results in various source and target data quantity environments, analyzing the performance of the knowledge-sharing model proposed in this study. Data randomly sampled at 250, 500, and 1000 from the source season was subjected to transfer learning to data randomly sampled at 250, 500, and 1000 from the target season, displaying prediction performance across a total of nine combinations.
We utilize the SCORE proposed by the study and Accuracy (Acc) to calculate the prediction performance of the model. The SCORE is based on the MAE. MAE is calculated by taking the absolute differences between the actual values and the predicted values, then summing and averaging them. One of the advantages of MAE is that it is not sensitive to outliers and is intuitive, as it is expressed in the same units as the actual and predicted values [36,37]. Considering environmental variables used for NVR prediction as xi, the NVR values predicted by the model would be pi. The MAE represents the average value obtained after converting the differences between the actual NVR measurements and the predicted NVR values into absolute values and then summing and averaging them. The method for computing the MAE is as described in Equation (3).
While MAE offers the advantage of being intuitive, as it is expressed in the same units as the actual and predicted values, this study deals with data whose distribution has been altered due to seasonal patterns. Therefore, comparing predictive performance with MAE can be challenging due to the absolute numerical differences between summer and autumn data. To address this, the study proposes a method that normalizes the distribution by dividing the calculated MAE by the average NVR value for each season. The method for computing the SCORE based on MAE proposed by this study is outlined in Equation (4).
Acc is an evaluative metric proposed by this study. It calculates the absolute difference between the actual value and the predicted value and recognizes the prediction as correct if the difference is less than a certain multiple (w times) of the NVR average value; if the difference is greater, it is considered incorrect. Acc is defined by the following Equations (5) and (6). Equation (5) returns a 1 for a correct prediction within the error margin of w times the error range and a 0 for an incorrect prediction. Equation (6) represents the rate of correct answers in a set of n data samples. In this study, the weight w is set to 0.2, which means that a prediction is considered correct if the absolute difference between the actual value and the predicted value is less than 20% of the NVR average.
Table 3 shows various scenarios for the classification model. Scenario S1 represents the baseline model that serves as a control group to assess the effects of additional techniques without using Transfer Learning. Scenario S2 introduces Transfer Learning but does not incorporate the normalization strategy proposed in this study. Scenario S3 applies the novel approach suggested by our study, which includes normalization of training data distribution across various spatial and temporal scales, along with TL. Finally, S4 is the scenario that applies the knowledge augmentation method through the ensemble proposed by this study.
Table 3.
Scenarios for the classification model.
4.2. Results of Improved Knowledge Transfer of Normalized Source Data
In this study, we address the challenges of NVR prediction due to data scarcity by utilizing Transfer Learning. Considering the ineffective nature of Transfer Learning due to the distributional differences between the source and target domain data, we propose a method that normalizes data from both domains before applying Transfer Learning. This chapter evaluates the performance of the deep learning model improved by the normalized source data.
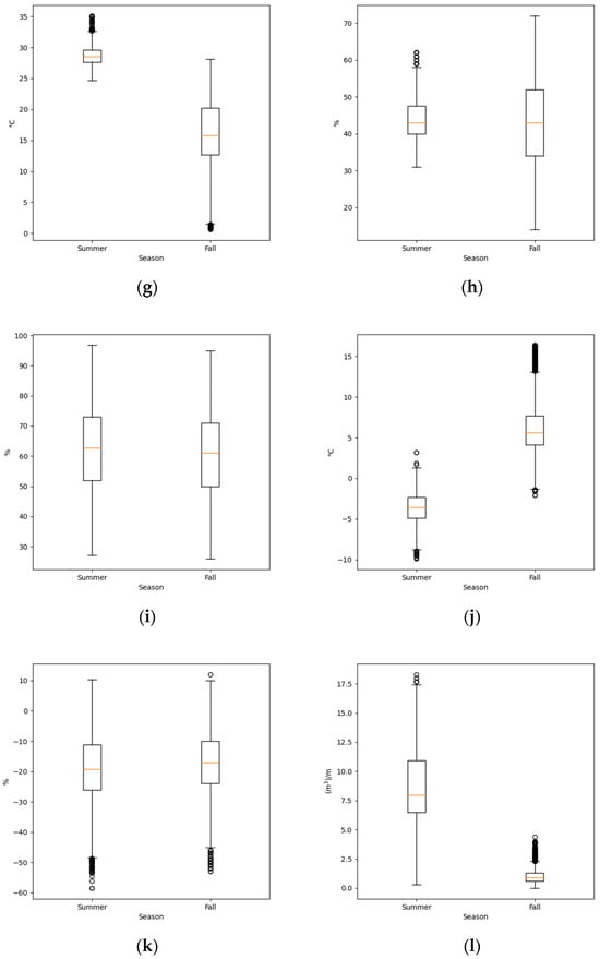
Figure 7 presents a comparative analysis of scenarios S1, S2, and S3 during summer and autumn. Scenario S1 demonstrates that it maintains consistent prediction capabilities without the influence of Transfer Learning (TL). In Scenario S2, an observed slight improvement in the Area Under the Curve (AUC) as the source data size increases implies that a greater volume of data within TL may provide some performance benefits. However, such improvements did not exceed the performance of S1, which could indicate that the knowledge transfer has not occurred effectively. This ultimately suggests potential limitations in the model’s capacity to adapt to new data without normalization. Scenario S3, in contrast, exhibits a clear advantage, showing a consistently higher AUC across all data sizes when compared to S1 and S2. Notably, as the source data size increases, there is a trend toward continuous performance enhancement, which suggests that the model’s ability to generalize from the source domain to the target domain has improved.
Figure 7.
Comparative analysis of scenarios S1, S2, and S3. (a) Summer. (b) Autumn.
The S3 scenario proposed by this study surpasses both other scenarios across all data sizes. Notably, the performance improvement of S3 is consistent, unlike S2, where benefits diminish beyond a certain data size, highlighting the advantages of the normalization method proposed by the study. When comparing Scenarios S2 and S3, the data distribution normalization proposed by this study appears to mitigate the overfitting to the source domain that can occur in conventional TL settings. The normalization method can enhance the robustness of the model in real-life scenarios where the target data may significantly differ from the pre-collected source dataset, thereby improving generalization performance.
4.3. Result of the Selection of Freezing Layers
In this study, we propose a more effective method of knowledge transfer by selecting an appropriate transfer learning domain and training within that domain, as opposed to general knowledge transfer. In this section, we evaluate the performance of S3 based on the number of layers frozen, using S1 as the control group for comparison. The evaluation was conducted on a model proposed by the study with five layers, each with [100, 100, 100, 100, 100] units, by sequentially freezing from the top layer to the lower layers.
Figure 8 illustrates the accuracy of the Transfer Learning model in summer and autumn environments based on the number of frozen layers and the target data. S1 serves as the control group for the Transfer Learning model, maintaining consistent prediction capabilities regardless of the number of layers frozen. S3 observes the performance changes in the Transfer Learning model as the number of frozen layers varies. The scenarios depicted in this figure are represented as S1 (Target Data Size) and S3 (Target Data Size). For instance, S1 (500) uses the scenario S1 model with a target data size of 500. When observing the performance changes in S3 with variations in the number of layers, it is consistently shown that accuracy improves from 0 to 2 frozen layers. However, accuracy tends to decline from 2 to 5 frozen layers. Notably, freezing all layers results in the lowest accuracy, demonstrating a performance similar to S1, which does not apply Transfer Learning. This suggests that the incorrect selection of frozen layers could potentially lead to the failure of knowledge transfer.

Figure 8.
Accuracy of the Transfer Learning model based on the number of layers frozen and the target data: (a) summer, (b) autumn.
The degree of performance improvement across all target data sizes consistently shows the highest accuracy when two layers are frozen, with up to a 7% improvement in accuracy achievable. Notably, in the scenario S3 (500), when the number of frozen layers ranges from 1 to 3, it outperforms the S1 (1000) scenario. This suggests that optimized Transfer Learning can overcome the potential limitations associated with smaller amounts of target data.
4.4. Results of Increasing Knowledge through Ensemble
To validate the performance improvement from the ensemble knowledge enhancement proposed in this study, the performances of scenarios S1, S3, and S4 were assessed using two metrics: Acc and SCORE. Additionally, to observe performance changes across various target and source data environments, experiments were conducted with target and source data in quantities of 250, 500, and 1000, selected at random. Table 4 and Table 5 display the accuracy of the data for each scenario in summer and autumn environments, respectively. The number of source data does not affect the accuracy because S1 does not use transfer learning. The accuracy of S1 shows the same appearance without being affected by the size of the source data. The scenarios utilizing Transfer Learning, S3 and S4, show higher performance than S1, which was trained on the same target data, thus demonstrating the effectiveness of knowledge transfer using Transfer Learning. Notably, across all experiments, an increase in the quantity of source data correlates with an improvement in accuracy, suggesting that more source data enhances the robustness of the model. Furthermore, within experiments that were trained on the same target and source data, scenario S4 exhibits higher accuracy than S3, indicating a model-level performance improvement in S4. In particular, scenario S4 shows higher performance than scenario S1, which was trained on 500 target data using 250 and 500 source data, suggesting that even with less target and source data, a more robust model can be constructed. In terms of accuracy for different scenarios in a summer environment, when the target data were 250 and the source data were 500, scenario S4 demonstrates a potential performance improvement of up to 11.8% according to the Acc metric. This surpasses the performance of scenario S3, trained with 500 target data, and an equal number of source data. This outcome indicates that the ensemble-based robustness enhancement method proposed by this study is effective in overcoming potential performance limitations due to a lack of target data, more so than conventional Transfer Learning.
Table 4.
Accuracy of data for each scenario (S1, S3 and S4) in summer.
Table 5.
Accuracy of data for each scenario (S1, S3 and S4) in autumn.
5. Conclusions
Although recent research utilized internal and external IoT data for NVR prediction, it was difficult to provide accurate NVR predictions in the insufficient data collection environment. Therefore, cross-prediction models that consider spatial and temporal variations are needed for NVR prediction. In this paper, we propose an NVR prediction model for spatial and temporal cross-predictions based on transfer learning and ensemble methods. The proposed model aimed for overall performance enhancement by implementing transfer learning in situations where both source and target data are insufficient. Additionally, considering the different distributions of spatial and temporal data, we designed a knowledge-sharing deep learning model through normalization of training data, selection of a transfer learning domain suitable for the data environment, and knowledge enhancement via ensembles. Based on the experimental results, we confirmed that the proposed approach can enhance the performance of transfer learning and identify potential limitations in the ability of the model to adapt to new data without normalizing the training data distribution according to different spatial and temporal domains. Also, we confirmed that the performance of transfer learning with a select number of frozen layers can improve accuracy by up to 7%. Finally, utilizing ensemble methods can overcome the limitations of single-model instability and improve prediction accuracy by up to 11.8%. In conclusion, we found out the limitations of conventional transfer learning in special situations with scarce source and target data, and the proposed method can enhance the robustness of the deep learning-based NVR prediction model.
6. Discussion
This study aimed to address the challenges associated with predicting NVR in buildings using deep learning models, particularly in environments with limited IoT sensing data. NVR is crucial for optimizing natural ventilation, which plays a significant role in environmental sustainability, reducing energy consumption, and enhancing indoor air quality and occupant health. By employing transfer learning and ensemble methods, we sought to enhance the accuracy and robustness of NVR predictions across different spatial and temporal contexts. The proposed methodologies included normalizing learning data distributions across various spaces and times, selecting transfer learning layers suitable for the data environment, and enhancing knowledge through ensembles. These approaches were designed to mitigate the discrepancies in data distribution and to improve the model’s generalization capabilities.
Despite the promising results, several limitations should be acknowledged. The scope of this research was limited to data from two different offices and two seasons. Such a limited scope may not generalize well to buildings with different layouts, usage patterns, climates, or environmental conditions. Therefore, future research should focus on validating the proposed methods in a wider range of building types and environmental conditions to further establish their generalization capabilities. Additionally, the reliance on deep learning models presents challenges related to the interpretability and transparency of the predictions.
Given the limited data available, it is essential to conduct further research to collect more extensive datasets and validate the models in diverse settings. This will help to ensure that the proposed methods can be generalized and applied effectively across various scenarios. Exploring hybrid models that combine deep learning with physics-based or rule-based approaches could offer enhanced robustness and interpretability, making them more suitable for practical applications in diverse building environments.
The findings of this study have significant implications for smart building management and future IoT technologies. By improving the accuracy and robustness of NVR predictions, the proposed methods can contribute to more efficient and sustainable building management practices. Accurate NVR predictions enable better control of natural ventilation, leading to energy savings, improved indoor air quality, and enhanced occupant comfort and productivity. In smart building management, the integration of advanced NVR prediction models can optimize HVAC operations, reduce energy consumption, and support environmental sustainability goals. Furthermore, the application of IoT technologies in conjunction with these models can facilitate real-time monitoring and control, allowing for dynamic adjustments based on changing environmental conditions.
In conclusion, this study provides a comprehensive framework for predicting NVR in buildings using advanced deep learning techniques. The methodologies proposed here demonstrate significant potential for application in smart building management and future IoT technologies. By addressing the limitations of conventional transfer learning and leveraging ensemble methods, we have developed a robust approach that can adapt to various building environments and conditions. Future research should focus on expanding the scope of validation to include a wider range of building types, usage patterns, and climatic conditions. Exploring hybrid models that combine deep learning with physics-based or rule-based approaches will also be crucial for enhancing model interpretability and robustness. The findings of this study pave the way for more efficient and sustainable building management practices, contributing to the broader goals of environmental conservation and occupant health.
Author Contributions
M.K. and S.L. conceptualized and designed the experiments; M.K. designed and implemented the detection system; S.L. validated the proposed method; M.K. and S.L. wrote the study. All authors have read and agreed to the published version of the manuscript.
Funding
This research was funded by a 2023 research grant from Sangmyung University (2023-A000-0379).
Data Availability Statement
Data are unavailable due to privacy.
Conflicts of Interest
The authors declare no conflicts of interest.
References
- Yang, S.; Kim, M.; Lee, S. Deep-Learning-Based Natural Ventilation Rate Prediction with Auxiliary Data in Mismeasurement Sensing Environments. Electronics 2023, 12, 3294. [Google Scholar] [CrossRef]
- Park, H.; Park, D. Comparative analysis on predictability of natural ventilation rate based on machine learning algorithms. Build. Environ. 2021, 195, 107744. [Google Scholar] [CrossRef]
- Chen, Y.; Tong, Z.; Zheng, Y.; Samuelson, H.; Norford, L. Transfer learning with deep neural networks for model predictive control of HVAC and natural ventilation in smart buildings. J. Clean. Prod. 2020, 254, 119866. [Google Scholar] [CrossRef]
- Shaer, I.; Shami, A. Hierarchical Modelling for CO2 Variation Prediction for HVAC System Operation. Algorithms 2023, 16, 256. [Google Scholar] [CrossRef]
- Zhang, Y.; Zhou, Z.; Du, Y.; Shen, J.; Li, Z.; Yuan, J. A data transfer method based on one dimensional convolutional neural network for cross-building load prediction. Energy 2023, 277, 127645. [Google Scholar] [CrossRef]
- Fang, X.; Gong, G.; Li, G.; Chun, L.; Li, W.; Peng, P. A hybrid deep transfer learning strategy for short term cross-building energy prediction. Energy 2021, 215 Pt B, 119208. [Google Scholar] [CrossRef]
- Shorten, C.; Khoshgoftaar, T.M. A survey on image data augmentation for deep learning. J. Big Data 2019, 6, 60. [Google Scholar] [CrossRef]
- Lemley, J.; Bazrafkan, S.; Corcoran, P. Smart augmentation learning an optimal data augmentation strategy. IEEE Access 2017, 5, 5858–5869. [Google Scholar] [CrossRef]
- Zhang, Z.; Duan, F.; Sole-Casals, J.; Dinares-Ferran, J.; Cichocki, A.; Yang, Z.; Sun, Z. A novel deep learning approach with data augmentation to classify motor imagery signals. IEEE Access 2019, 7, 15945–15954. [Google Scholar] [CrossRef]
- Pan, S.J.; Yang, Q. A Survey on Transfer Learning. IEEE Trans. Knowl. Data Eng. 2010, 22, 1345–1359. [Google Scholar] [CrossRef]
- Zhuang, F.; Qi, Z.; Duan, K.; Xi, D.; Zhu, Y.; Zhu, H.; Xiong, H.; He, Q. A Comprehensive Survey on Transfer Learning. Proc. IEEE 2021, 109, 43–76. [Google Scholar] [CrossRef]
- Shaha, M.; Pawar, M. Transfer Learning for Image Classification. In Proceedings of the 2018 Second International Conference on Electronics, Communication and Aerospace Technology (ICECA), Coimbatore, India, 29–31 March 2018; pp. 656–660. [Google Scholar]
- Kora, P.; Ooi, C.P.; Faust, O.; Raghavendra, U.; Gudigar, A.; Chan, W.Y.; Meenakshi, K.; Swaraja, K.; Plawiak, P.; Acharya, U.R. Transfer learning techniques for medical image analysis: A review. Biocybern. Biomed. Eng. 2002, 42, 79–107. [Google Scholar] [CrossRef]
- Zhang, Y.; Luo, G. Short term power load prediction with knowledge transfer. Inf. Syst. 2015, 53, 161–169. [Google Scholar] [CrossRef]
- Fan, C.; Sun, Y.; Xiao, F.; Ma, J.; Lee, D.; Wang, J.; Tseng, Y.C. Statistical investigations of transfer learning-based methodology for short-term building energy predictions. Appl. Energy 2020, 262, 114499. [Google Scholar] [CrossRef]
- Zhou, D.; Ma, S.; Hao, J.; Han, D.; Huang, D.; Yan, S.; Li, T. An electricity load forecasting model for Integrated Energy System based on BiGAN and transfer learning. Energy Rep. 2020, 6, 3446–3461. [Google Scholar] [CrossRef]
- Lu, Y.; Tian, Z.; Zhang, Q.; Zhou, R.; Chu, C. Data augmentation strategy for short-term heating load prediction model of residential building. Energy 2021, 235, 121328. [Google Scholar] [CrossRef]
- Ye, K.; Kim, H.; Hu, Y.; Lu, N.; Wu, D.; Rehm, P.J. A Modified Sequence-to-point HVAC Load Disaggregation Algorithm. In Proceedings of the 2023 IEEE Power & Energy Society General Meeting (PESGM), Orlando, FL, USA, 16–20 July 2023; pp. 1–5. [Google Scholar]
- Fang, X.; Gong, G.; Li, G.; Chun, L.; Peng, P.; Li, W. A general multi-source ensemble transfer learning framework integrate of LSTM-DANN and similarity metric for building energy prediction. Energy Build. 2021, 252, 111435. [Google Scholar] [CrossRef]
- Park, H.; Park, D.Y. Prediction of individual thermal comfort based on ensemble transfer learning method using wearable and environmental sensors. Build. Environ. 2022, 207 Pt B, 108492. [Google Scholar] [CrossRef]
- Yi, H.; Shiyu, S.; Xiusheng, D.; Zhigang, C. A study on Deep Neural Networks framework. In Proceedings of the 2016 IEEE Advanced Information Management, Communicates, Electronic and Automation Control Conference (IMCEC 2016), Xi’an, China, 3–5 October 2016; pp. 1519–1522. [Google Scholar]
- Hawkins, D.M. The problem of overfitting. J. Chem. Inf. Comput. Sci. 2004, 44, 1–12. [Google Scholar] [CrossRef]
- Srivastava, N.; Hinton, G.; Krizhevsky, A.; Sutskever, I.; Salakhutdinov, R. Dropout: A simple way to prevent neural networks from overfitting. J. Mach. Learn. Res. 2014, 15, 1929–1958. [Google Scholar]
- Hu, Z.; Zhang, J.; Ge, Y. Handling Vanishing Gradient Problem Using Artificial Derivative. IEEE Access 2021, 9, 22371–22377. [Google Scholar] [CrossRef]
- Ribeiro, M.; Grolinger, K.; ElYamany, H.F.; Higashino, W.A.; Capretz, M.A.M. Transfer learning with seasonal and trend adjustment for cross-building energy forecasting. Energy Build. 2018, 165, 352–363. [Google Scholar] [CrossRef]
- Vrbančič, G.; Podgorelec, V. Transfer Learning with Adaptive Fine-Tuning. IEEE Access 2020, 8, 196197–196211. [Google Scholar] [CrossRef]
- Ramdan, A.; Heryana, A.; Arisal, A.; Kusumo, R.B.S.; Pardede, H.F. Transfer Learning and Fine-Tuning for Deep Learning-Based Tea Diseases Detection on Small Datasets. In Proceedings of the 2020 International Conference on Radar, Antenna, Microwave, Electronics, and Telecommunications (ICRAMET 2020), Virtual, 18–20 November 2020; pp. 206–211. [Google Scholar]
- Liao, L.; Li, H.; Shang, W.; Ma, L. An Empirical Study of the Impact of Hyperparameter Tuning and Model Optimization on the Performance Properties of Deep Neural Networks. Assoc. Comput. Mach. 2022, 31, 3. [Google Scholar] [CrossRef]
- Gao, Y.; Ruan, Y.; Fang, C.; Yin, S. Deep learning and transfer learning models of energy consumption forecasting for a building with poor information data. Energy Build. 2020, 223, 110156. [Google Scholar] [CrossRef]
- Opitz, D.; Maclin, R. Popular ensemble methods: An empirical study. J. Artif. Intell. Res. 1999, 11, 169–198. [Google Scholar] [CrossRef]
- Xing, Y.; Ma, E.W.M.; Tsui, K.-L.; Pecht, M. An ensemble model for predicting the remaining useful performance of lithium-ion batteries. Microelectron. Reliab. 2013, 53, 811–882. [Google Scholar] [CrossRef]
- Kim, M.; Lee, S. Power Transformer Voltages Classification with Acoustic Signal in Various Noisy Environments. Sensors 2022, 22, 1248. [Google Scholar] [CrossRef] [PubMed]
- Gao, X.; Shan, C.; Hu, C.; Niu, Z.; Liu, Z. An Adaptive Ensemble Machine Learning Model for Intrusion Detection. IEEE Access 2019, 7, 82512–88252. [Google Scholar] [CrossRef]
- Ribeiro, M.H.D.M.; Coelho, L.D.S. Ensemble approach based on bagging, boosting and stacking for short-term prediction in agribusiness time series. Appl. Soft Comput. 2020, 86, 105837. [Google Scholar] [CrossRef]
- Ganaie, M.A.; Hu, M.; Malik, A.K.; Tanveer, M.; Suganthan, P.N. Ensemble deep learning: A review. Eng. Appl. Artif. Intell. 2022, 115, 105151. [Google Scholar] [CrossRef]
- Willmott, C.J.; Matsuura, K. Advantages of the mean absolute error (MAE) over the root mean square error (RMSE) in assessing average model performance. Clim. Res. 2005, 30, 79–82. [Google Scholar] [CrossRef]
- Chai, T.; Draxler, R.R. Root mean square error (RMSE) or mean absolute error (MAE)–Arguments against avoiding RMSE in the literature. Geosci. Model Dev. 2014, 7, 1247–1250. [Google Scholar] [CrossRef]
Disclaimer/Publisher’s Note: The statements, opinions and data contained in all publications are solely those of the individual author(s) and contributor(s) and not of MDPI and/or the editor(s). MDPI and/or the editor(s) disclaim responsibility for any injury to people or property resulting from any ideas, methods, instructions or products referred to in the content. |
© 2024 by the authors. Licensee MDPI, Basel, Switzerland. This article is an open access article distributed under the terms and conditions of the Creative Commons Attribution (CC BY) license (https://creativecommons.org/licenses/by/4.0/).